A Novel Hybrid Whale Optimization Algorithm-Based SLM (HWOA-SLM) for PAPR Reduction in Optical IM/DD OFDM Systems
Abstract
1. Introduction
1.1. Importance of Work
1.2. Related Works
1.3. Motivation
1.4. Contributions and Novelties
- A new SLM scheme is proposed that utilizes the HWOA algorithm to optimize phase factors dynamically, replacing inefficient random searches.
- The method significantly reduces the computational burden compared to exhaustive search techniques, while improving PAPR reduction, power efficiency, and signal fidelity (BER/PSD).
- Simulation results validate that the HWOA-SLM offers the fastest convergence rate and the most effective global solution for PAPR reduction when compared to leading benchmarks.
1.5. Paper Organization
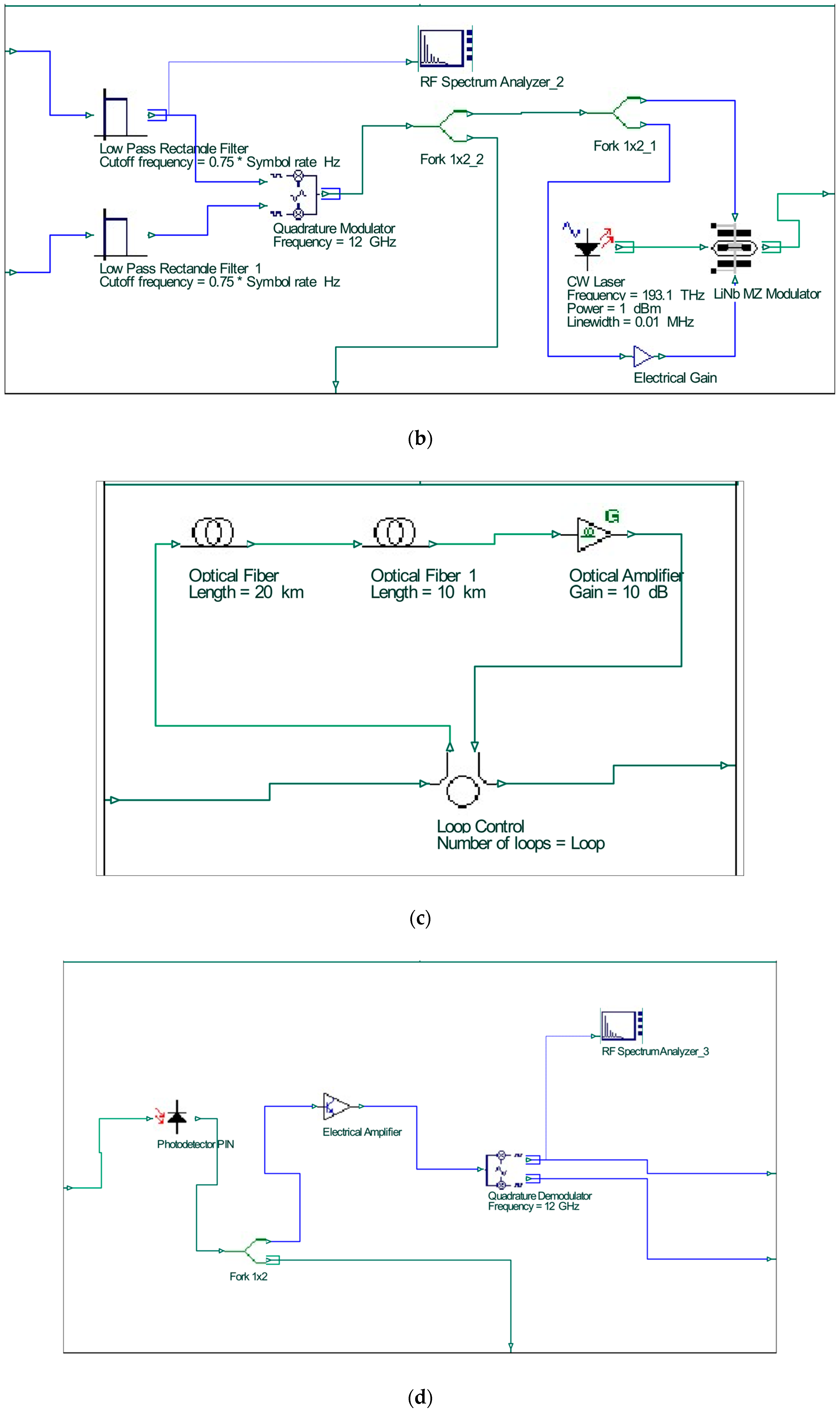
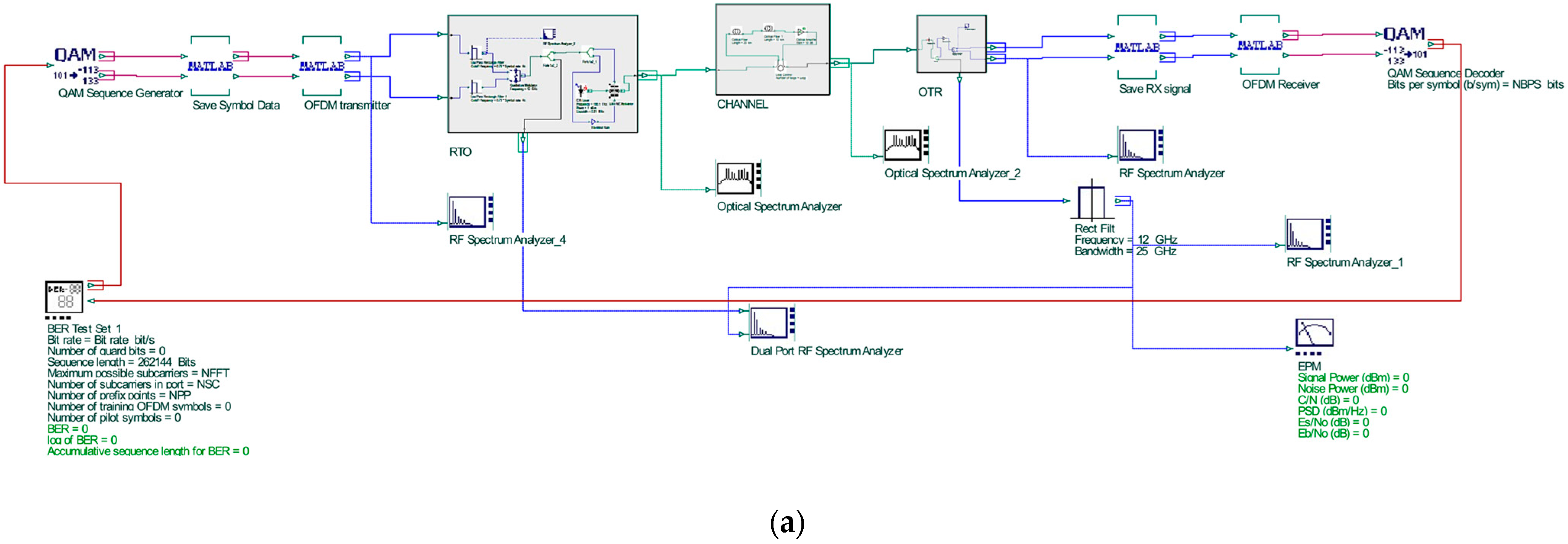
2. Optical OFDM System Model and PAPR
3. SLM Technique and Problem Formulation
4. The Proposed HWOA-SLM Technique
4.1. Phase 1: Seeding (Initial Exploration)
- Let be the objective function (PAPR value).
- Generate random phase vectors.
- Select the best vector such that:
4.2. Phase 2: Whale Optimization Loop
- Shrinking Encircling Prey (Exploitation)
- B.
- Spiral Updating (Bubble-Net Attack)
- C.
- Search for Prey (Exploration)
4.3. Hybrid Modifications (Discrete and Greedy)
- Smart Seeding (Initialization): Unlike standard WOA which initializes blindly, we employ a preliminary random search (Seeding Phase) to inject high-quality ‘Leader’ candidates into the initial population. This prevents early stagnation in local minima common to random initialization.
- Discretization-Aware Mapping: We introduce a specialized Discrete Mapping operator (Equation (17)) that projects continuous whale positions onto the nearest valid phase constellation point {±1, ±j} after every position update, ensuring strictly valid SLM candidates.
- Greedy-Mutualism Mechanism: To counter the stochastic volatility of standard WOA, we implement a Greedy Update Rule (Equation (18)). This ensures monotonicity in convergence; a whale’s position is only updated if the new discrete phase sequence yields a strictly lower PAPR, effectively combining exploration with aggressive exploitation.”
4.3.1. Discrete Mapping
4.3.2. Greedy Update Rule
4.3.3. Mutation Operator
4.3.4. Final Selection
| Algorithm 1. Pseudocode for HWOA-SLM |
![]() |
5. Simulation Results and Discussion
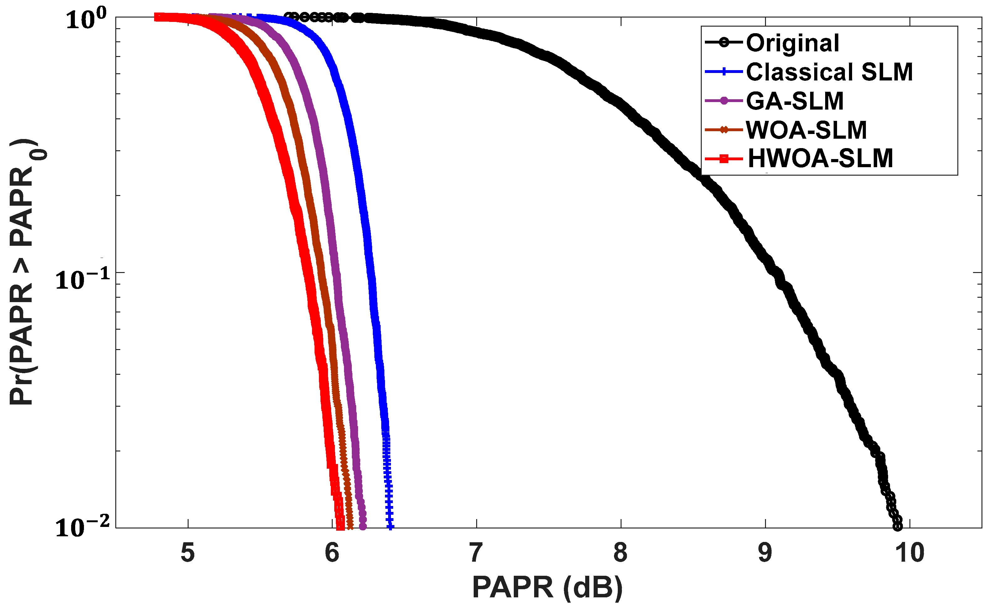
5.1. PAPR Reduction Performance
5.2. Power Saving Efficiency
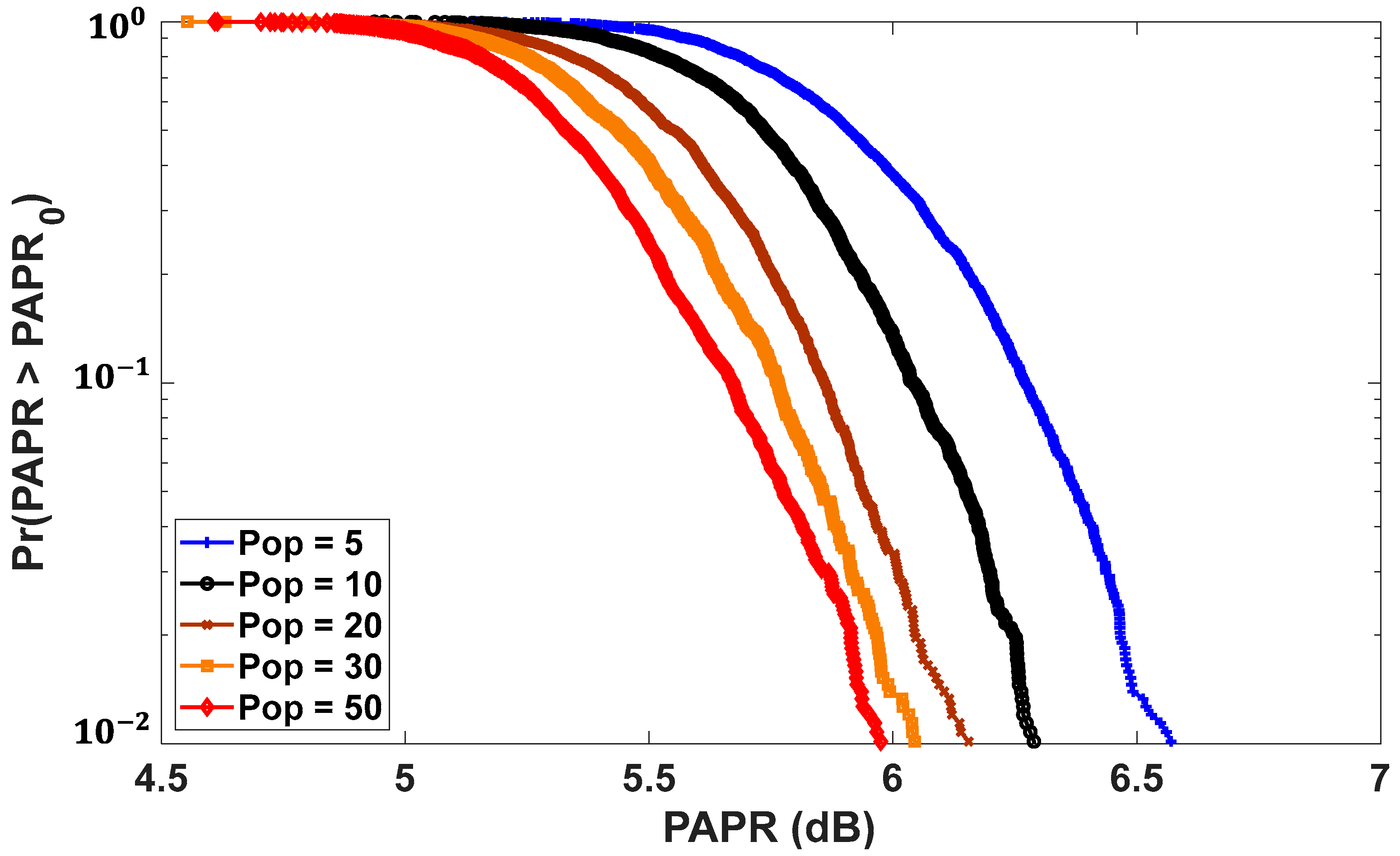
5.3. Parameter Sensitivity Analysis of the HWOA-SLM Algorithm
5.4. Power Spectral Density (PSD) Analysis
5.5. BER Performance Analysis
5.6. Comparative Analysis of Computational Complexity
6. Conclusions
Author Contributions
Funding
Institutional Review Board Statement
Informed Consent Statement
Data Availability Statement
Acknowledgments
Conflicts of Interest
Abbreviations
| ACO-OFDM | Asymmetrically Clipped Optical OFDM |
| ADO-OFDM | Asymmetrically clipped DC-biased O-OFDM |
| ASCO-OFDM | Asymmetrically Clipped OFDM |
| BER | Bit Error Ratio |
| C-SLM | Conventional Selective Mapping |
| CCDF | Complementary Cumulative Distribution Function |
| DCO-OFDM | Direct Current Biased Optical OFDM |
| FBMC | Filter Bank Multicarrier |
| GA | Genetic Algorithm |
| Gbps | Gigabits per second |
| HSA | Harmony Search Optimization |
| HWOA-SLM | Hybrid Whale Optimization Algorithm-Selective Mapping |
| ICF | Iterative Clipping and Filtering |
| IFFT | Inverse Fast Fourier Transform |
| IM/DD | Intensity Modulation/Direct Detection |
| ISI | Inter-Symbol Interference |
| LACO-OFDM | Layered Asymmetrically Clipped Optical OFDM |
| LED | Light Emitting Diode |
| ML | Machine Learning |
| O-FBMC | Optical Filter Bank Multicarrier |
| O-NOMA | Optical Non-Orthogonal Multiple Access |
| OFDM | Orthogonal Frequency Division Multiplexing |
| OSNR | Optical signal-to-noise ratio |
| OTR | Optical to RF converter |
| PAPR | Peak-to-Average Power Ratio |
| PI | Phase Insertion |
| PSD | Power Spectral Density |
| PSO | Particle Swarm Optimization |
| PTS | Partial Transmit Sequence |
| QAM | Quadrature Amplitude Modulation |
| SCF | Simplified Clipping and Filtering |
| SLM | Selective Mapping |
| SMF | Single Mode Fiber |
| SPM | Self-Phase Modulation |
| Tbps | Terabits per second |
| TR | Tone Reservation |
| RTO | RF to Optical converter |
| VLC | Visible Light Communication |
| VLM | Vandermonde-Like Matrix |
| WDM-PON | Wavelength Division Multiplexing-Passive Optical Network |
| WOA | Whale Optimization Algorithm |
References
- Karahan, B.; Develi, I.; Canbilen, A.E.; Alsalameh, H. ABER Performance of OFDM-IM systems by RIS design in the presence of IQI and α-μ fading. Eng. Sci. Technol. Int. J. 2024, 56, 101778. [Google Scholar] [CrossRef]
- Sharif, A. PAPR Reduction of Optical OFDM Signals in Visible Light Communications. ICT Express 2019, 5, 202–205. [Google Scholar] [CrossRef]
- Mhatre, K. Efficient Selective Mapping PAPR Reduction Technique. Procedia Comput. Sci. 2015, 45, 620–627. [Google Scholar] [CrossRef]
- Wang, H. A Hybrid PAPR Reduction Method Based on SLM and Multi-Data Block PTS for FBMC/OQAM Systems. Information 2018, 9, 246. [Google Scholar] [CrossRef]
- Alhalabi, M.; El-Nahal, F.I.; Taşpınar, N. Comparison of different modulation techniques for optical OFDM Intensity Modulation and Direct Detection IM/DD system. In Proceedings of the 2019 IEEE 7th Palestinian International Conference on Electrical and Computer Engineering (PICECE), Gaza, Palestine, 26–27 March 2019. [Google Scholar] [CrossRef]
- Alhalabi, M.; Taşpınar, N.; Wadi, M. Performance analysis of a low-cost directly modulated OFDM-based optical wireless communication systems. Wirel. Pers. Commun. 2026, 140, 1–18. [Google Scholar] [CrossRef]
- Taşpınar, N.; Alhalabi, M. Performance Investigation of Long-Haul High Data Rate Optical OFDM IM/DD System with Different QAM Modulations. J. Electr. Eng. Elektrotech. Cas. 2021, 72, 192–197. [Google Scholar] [CrossRef]
- Alhalabi, M.; Taşpınar, N. Performance investigation of bidirectional hybrid long-haul optical IM/DD OFDM WDM-PON using OOK-RSOA remodulation. Mühendislik Bilimleri ve Araştırmaları Dergisi 2022, 4, 54–61. [Google Scholar] [CrossRef]
- Alhalabi, M.; Taşpınar, N.; El-Nahal, F.I. Bidirectional intensity modulated/direct detection optical OFDM WDM-PON system. Optoelectron. Lett. 2023, 19, 83–87. [Google Scholar] [CrossRef]
- Taşpınar, N.; Alhalabi, M. Peak-to-average power ratio (PAPR) reduction using discrete invasive weed optimization (DIWO) in coherent detection optical OFDM (CO-OFDM) communication systems. Wirel. Pers. Commun. 2024, 139, 715–732. [Google Scholar] [CrossRef]
- Alhalabi, M.; Taşpınar, N.; Wadi, M. PAPR reduction using discrete forest optimization algorithm based on SLM technique in intensity modulated direct detection optical OFDM communication systems. Int. J. Commun. Syst. 2025, 38, e70126. [Google Scholar] [CrossRef]
- Chen, L.; Krongold, B.; Evans, J. Performance Analysis for Optical OFDM Transmission in Short-Range IM/DD Systems. J. Lightw. Technol. 2012, 30, 974–983. [Google Scholar] [CrossRef]
- Singhal, S.; Sharma, D. A Review and Comparative Analysis of PAPR Reduction Techniques of OFDM System. Wirel. Pers. Commun. 2024, 135, 777–803. [Google Scholar] [CrossRef]
- Mondal, S. Approach to Reduce PAPR in Orthogonal Frequency Division Multiplexing Technique. Turk. J. Comput. Math. Educ. 2021, 12, 4480–4484. [Google Scholar] [CrossRef]
- Rana, M.; Tithy, T.; Rahman, N.; Hasan, M. PAPR Reduction Techniques and Their Bit Error Rate Measurement at OFDM in LTE System. Int. J. AdHoc Netw. Syst. 2022, 12. Available online: https://papers.ssrn.com/sol3/papers.cfm?abstract_id=4270985 (accessed on 10 February 2026). [CrossRef]
- Faraj, B.; Siddiq, A. Peak to Average Power Ratio Reduction for OFDM with IM System. In Proceedings of the 2022 4th International Conference on Advanced Science and Engineering (ICOASE), Zakho, Iraq, 21–22 September 2022; pp. 95–100. [Google Scholar] [CrossRef]
- Abdulhussein, A.; Hikmat, N. Comparative Study of Peak to Average Power Ratio in OFDM and FBMC Systems. In Proceedings of the 2021 7th International Conference on Space Science and Communication (IconSpace), Johor Bahru, Malaysia, 23–24 November 2021; pp. 140–145. [Google Scholar] [CrossRef]
- Krikunov, S.; Bychkov, R.; Blagodarnyi, A.; Ivanov, A. Clustering and Fitting to Reduce PAPR in Multi-User OFDM Systems. In Proceedings of the 25th International Conference on Digital Signal Processing and Its Applications (DSPA), Moscow, Russia, 29–31 March 2023; pp. 1–6. [Google Scholar] [CrossRef]
- Prasad, S.; Arun, S. Hanowa Matrix based SLM Technique for PAPR Reduction in OFDM Systems. In Proceedings of the 2023 International Conference for Advancement in Technology (ICONAT), Goa, India, 24–26 January 2023; pp. 1–5. [Google Scholar] [CrossRef]
- Priyanka, P.; Shaik, R.; Vijaya, K.; Sasi, P.; Ruthvik, P.; Raja, A. Improved MFO Algorithm Based PTS Scheme in OFDM Systems for PAPR Reduction. In Proceedings of the 4th International Conference on Signal Processing and Communication (ICSPC), Coimbatore, India, 23–24 March 2023; pp. 153–157. [Google Scholar] [CrossRef]
- Ishmiev, I.; Loginov, S. M-Sequence Based Partial Transmit Sequence PAPR Reduction Technique. In Proceedings of the Systems of Signals Generating and Processing in the Field of on Board Communications, Moscow, Russia, 14–16 March 2023; pp. 1–5. [Google Scholar] [CrossRef]
- Tu, Y.; Chang, C. A Novel Low Complexity Two-Stage Tone Reservation Scheme for PAPR Reduction in OFDM Systems. Sensors 2023, 23, 950. [Google Scholar] [CrossRef]
- Yuan, Y.; Wei, S.; Luo, X.; Xu, Z.; Guan, X. Adaptive PTS Scheme Based on Fuzzy Neural Network for PAPR Reduction in OFDM System. Digit. Signal Process. 2022, 126, 103492. [Google Scholar] [CrossRef]
- Padarti, V.; Dasari, C.; Dokala, P.; Chowtapalli, V.; Avula, L. An Efficient Clipping Method for PAPR Reduction in OFDM Systems. In Proceedings of the International Conference on Inventive Computation Technologies (ICICT), Nepal, Lalitpur, 20–22 July 2022; pp. 624–629. [Google Scholar] [CrossRef]
- Sivadas, N. PAPR Reduction of OFDM Systems Using H-SLM Method with a Multiplierless IFFT/FFT Technique. ETRI J. 2022, 44, 379–388. [Google Scholar] [CrossRef]
- Kumar, A.; Gaur, N.; Nanthaamornphong, A. Reducing PAPR in NOMA Waveforms Using Genetic-Enhanced PTS and SLM: A Low-Complexity Approach for Improved throughput, power spectral density, and Power Efficiency. Results Eng. 2025, 26, 104893. [Google Scholar] [CrossRef]
- Ibraheem, Z.; Ahmed, K.; Fazea, Y.; Madi, M. Boosted PTS Method with Mu-Law Companding Techniques for PAPR Reduction in OFDM Systems. Wirel. Pers. Commun. 2022, 124, 423–436. [Google Scholar] [CrossRef]
- Mayakannan, A.; Arvind, C.; Dhinakar, P.; Sasikala, G.; Sathyasri, B.; Srihari, K.; Shanmuganathan, V. Neural Network-Based Regression Assisted PAPR Reduction Method for OFDM Systems. Sādhanā 2022, 47, 242. [Google Scholar] [CrossRef]
- Yu, J.; Liu, J.; Ma, Y.; Liu, Z. PAPR Reduction in OFDM System Using a New Quantum Genetic Algorithm. In Proceedings of the 2021 5th International Conference on Electronic Information Technology and Computer Engineering, Xiamen, China, 22–24 October 2021; pp. 1056–1060. [Google Scholar] [CrossRef]
- Zou, F.; Liu, Z.; Xin, H.; Wang, G. A Novel PAPR Reduction Scheme for OFDM Systems Based on Neural Networks. Wirel. Commun. Mob. Comput. 2021, 2021, 5574807. [Google Scholar] [CrossRef]
- Xing, Z.; Liu, K.; Rajasekaran, A.; Yanikomeroglu, H.; Liu, Y. A Hybrid Companding and Clipping Scheme for PAPR Reduction in OFDM Systems. IEEE Access 2021, 9, 61565–61576. [Google Scholar] [CrossRef]
- Kumar, A.; Yamini, K.A.P.; Kaliaperumal, K.; Alsowail, R.A.; Nishant, G. A Systematic PAPR Analysis of Optical 5G Waveforms Using Advanced and Deep Learning PAPR Algorithms: Estimation of PAPR, PSD, and BER. Wirel. Netw. 2025, 31, 1861–1883. [Google Scholar] [CrossRef]
- Kumar, A.; Sarveswara, R.; Babu, G.; Gaur, N.; Nanthaamornphong, A. Analysis of PAPR Reduction Algorithms for Optical OFDM 5G Radio Waveform System for Visible Light Communication. J. Opt. Commun. 2025. [Google Scholar] [CrossRef]
- Wu, M.; Zhang, J.; Xie, Y.; Shi, Y.; Yao, T. Peak-to-Average Power Ratio Reduction Scheme in DCO-OFDM with a Combined Index Modulation and Convex Optimization. IEICE Trans. Fundam. 2024, 107–A, 1425–1429. [Google Scholar] [CrossRef]
- Zenhom, Y.; Hamad, K.I.; Alghassab, M.; Elnabawy, M.M. Optical-OFDM VLC System: Peak-to-Average Power Ratio Enhancement and Performance Evaluation. Sensors 2024, 24, 2965. [Google Scholar] [CrossRef]
- Bauml, R.; Fischer, R.; Huber, J. Reducing the Peak-to-Average Power Ratio of Multicarrier Modulation by Selected Mapping. Electron. Lett. 1996, 32, 2056–2057. [Google Scholar] [CrossRef]
- Wang, C.; Quyang, Y. Low-Complexity Selected Mapping Schemes for Peak-to-Average Power Ratio Reduction in OFDM Systems. IEEE Trans. Signal Process. 2005, 53, 4652–4660. [Google Scholar] [CrossRef]
- Mirjalili, S.; Lewis, A. The Whale Optimization Algorithm. Adv. Eng. Softw. 2016, 95, 51–67. [Google Scholar] [CrossRef]
- Chakraborty, S.; Saha, A.K.; Sharma, S.; Mirjalili, S.; Chakraborty, R. A novel enhanced whale optimization algorithm for global optimization. Comput. Ind. Eng. 2021, 153, 107086. [Google Scholar] [CrossRef]














| Component Name | Variable Name | Value |
|---|---|---|
| Global System | Sequence Length | 262,144 |
| Samples per Bit | 4 | |
| Bit Rate | 40 Gbps | |
| Number of samples | 1,048,576 | |
| Symbol Rate | 20 × 109 Symbols/s (4-QAM) | |
| OFDM modulator | FFT points | 128 |
| Number of used subcarriers | 80 | |
| Cyclic prefix | 5 | |
| CW laser | Operating wavelength | 1552.5 nm |
| Power | 1 dBm | |
| Line width | 0.016 nm (0.01 MHz) | |
| Mach-Zehnder modulator | Extinction ratio | 30 dB |
| Switching bias voltage | 4 V | |
| Switching RF voltage | 4 V | |
| Insertion loss | 1 dB | |
| PIN photodetector | Dark current | 10 nA |
| Responsivity type | InGaAs | |
| Shot noise distribution | Gaussian |
| Methods | Number of Searches | PAPR at (dB) | PAPR Reduction Gain (dB) |
|---|---|---|---|
| Original signal | 0 | 9.9 | - |
| Classical SLM | U = 256 | 6.4 | 3.5 |
| GA-SLM | = 16 × 16 = 256 | 6.2 | 3.7 |
| WOA-SLM | = 16 × 16 = 256 | 6.1 | 3.8 |
| The proposed HWOA-SLM | = 56 + 20 × 10 = 256 | 6 | 3.9 |
| Algorithm | PAPR (dB) | PAPR Reduction (dB) | Power Saving (%) |
|---|---|---|---|
| Original Signal | 9.9 | - | - |
| SLM | 6.4 | 3.5 | 55.3% |
| GA-SLM | 6.2 | 3.7 | 57.3% |
| WOA-SLM | 6.1 | 3.8 | 58.3% |
| HWOA-SLM | 6.0 | 3.9 | 59.3% |
Disclaimer/Publisher’s Note: The statements, opinions and data contained in all publications are solely those of the individual author(s) and contributor(s) and not of MDPI and/or the editor(s). MDPI and/or the editor(s) disclaim responsibility for any injury to people or property resulting from any ideas, methods, instructions or products referred to in the content. |
© 2026 by the authors. Licensee MDPI, Basel, Switzerland. This article is an open access article distributed under the terms and conditions of the Creative Commons Attribution (CC BY) license.
Share and Cite
Alhalabi, M.; Taşpınar, N.; Sönmezocak, T. A Novel Hybrid Whale Optimization Algorithm-Based SLM (HWOA-SLM) for PAPR Reduction in Optical IM/DD OFDM Systems. Appl. Sci. 2026, 16, 2349. https://doi.org/10.3390/app16052349
Alhalabi M, Taşpınar N, Sönmezocak T. A Novel Hybrid Whale Optimization Algorithm-Based SLM (HWOA-SLM) for PAPR Reduction in Optical IM/DD OFDM Systems. Applied Sciences. 2026; 16(5):2349. https://doi.org/10.3390/app16052349
Chicago/Turabian StyleAlhalabi, Mahmoud, Necmi Taşpınar, and Temel Sönmezocak. 2026. "A Novel Hybrid Whale Optimization Algorithm-Based SLM (HWOA-SLM) for PAPR Reduction in Optical IM/DD OFDM Systems" Applied Sciences 16, no. 5: 2349. https://doi.org/10.3390/app16052349
APA StyleAlhalabi, M., Taşpınar, N., & Sönmezocak, T. (2026). A Novel Hybrid Whale Optimization Algorithm-Based SLM (HWOA-SLM) for PAPR Reduction in Optical IM/DD OFDM Systems. Applied Sciences, 16(5), 2349. https://doi.org/10.3390/app16052349


