Nitrogen Position Matters: Synthetic Strategies, Functional Behavior and Dual Roles in Medicine and Materials in the Imidazopyridine Family
Abstract
1. Introduction
2. Synthetic Methodologies to Obtain Imidazopyridines
2.1. Imidazo[1,5-a]pyridines
2.2. Imidazo[1,2-a]pyridines
2.3. Imidazo[4,5-b]pyridines and Imidazo[4,5-c]pyridines
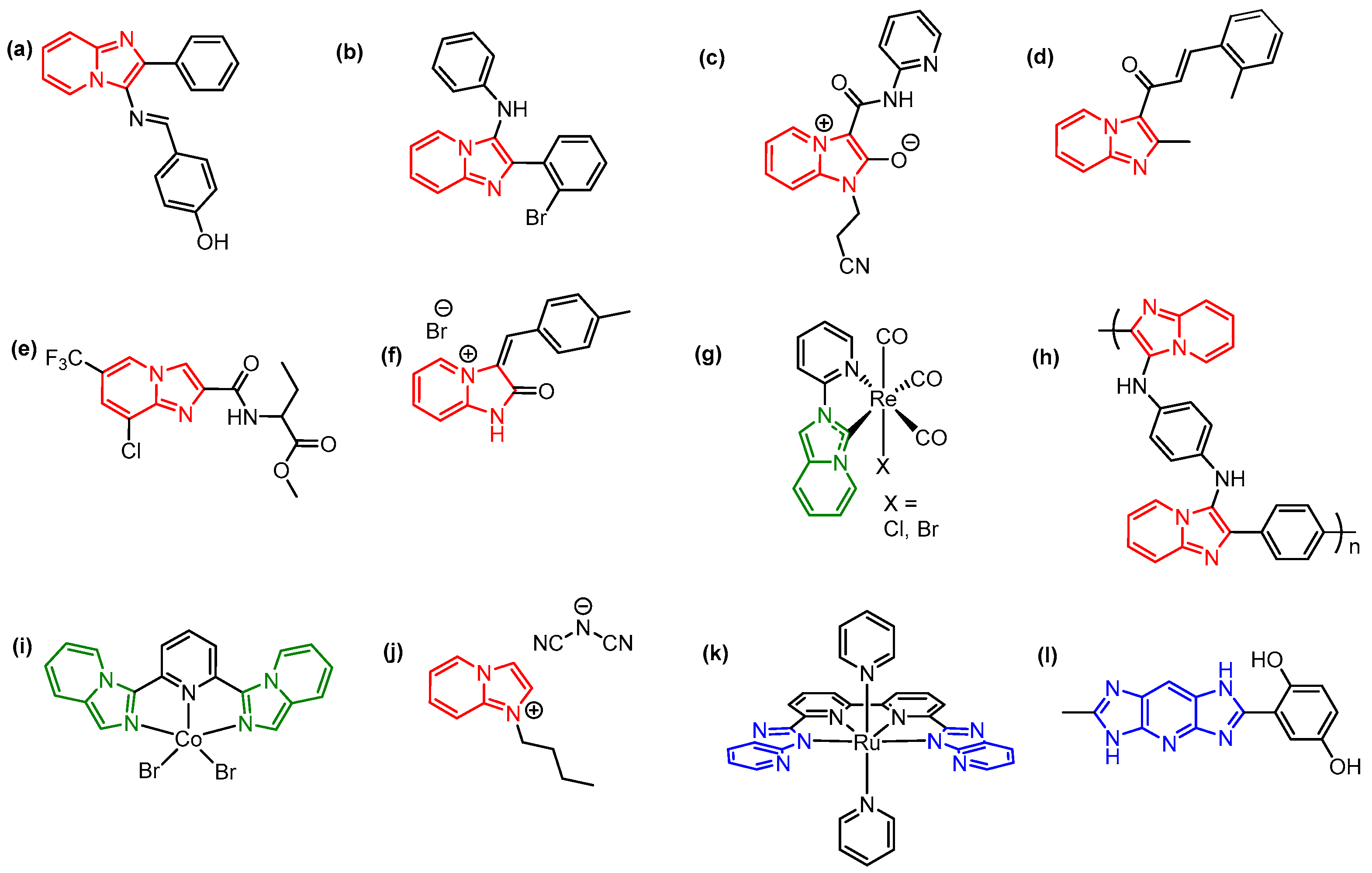
3. Imidazopyridines as Ligands in Coordination Chemistry
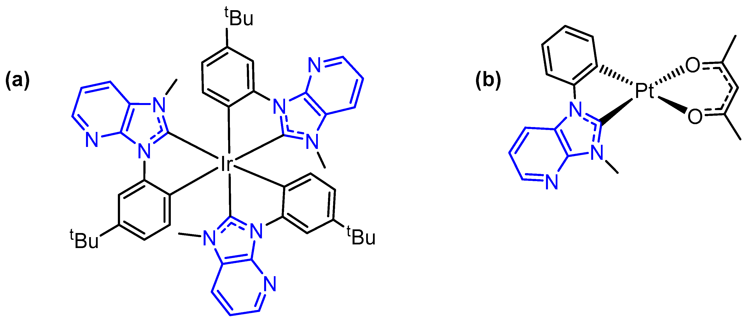
3.1. Imidazo[1,5-a]pyridines
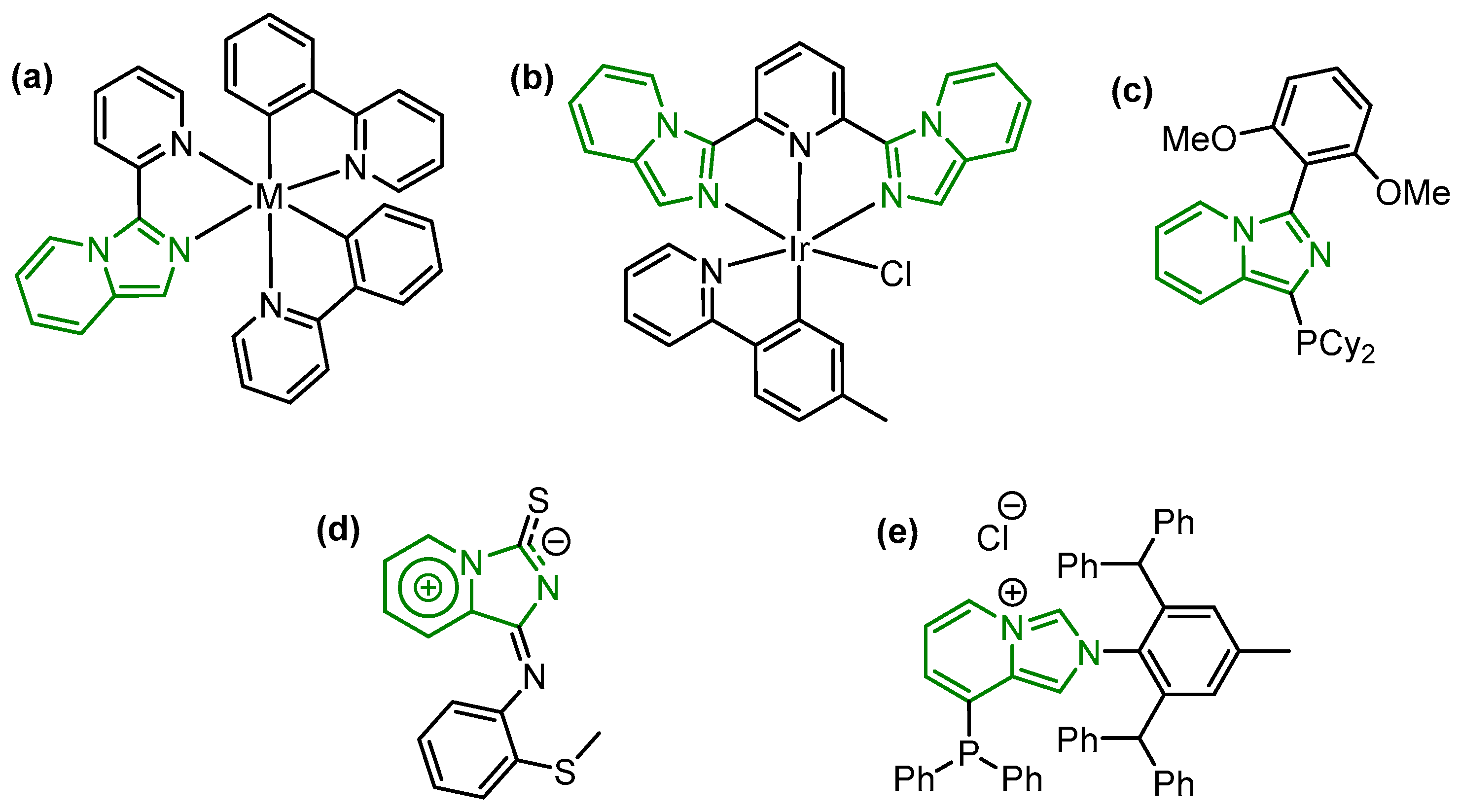
3.2. Imidazo[1,2-a]pyridines
3.3. Imidazo[4,5-b]pyridines and Imidazo[4,5-c]pyridines
4. Luminescence Properties of Imidazopyridines Compounds
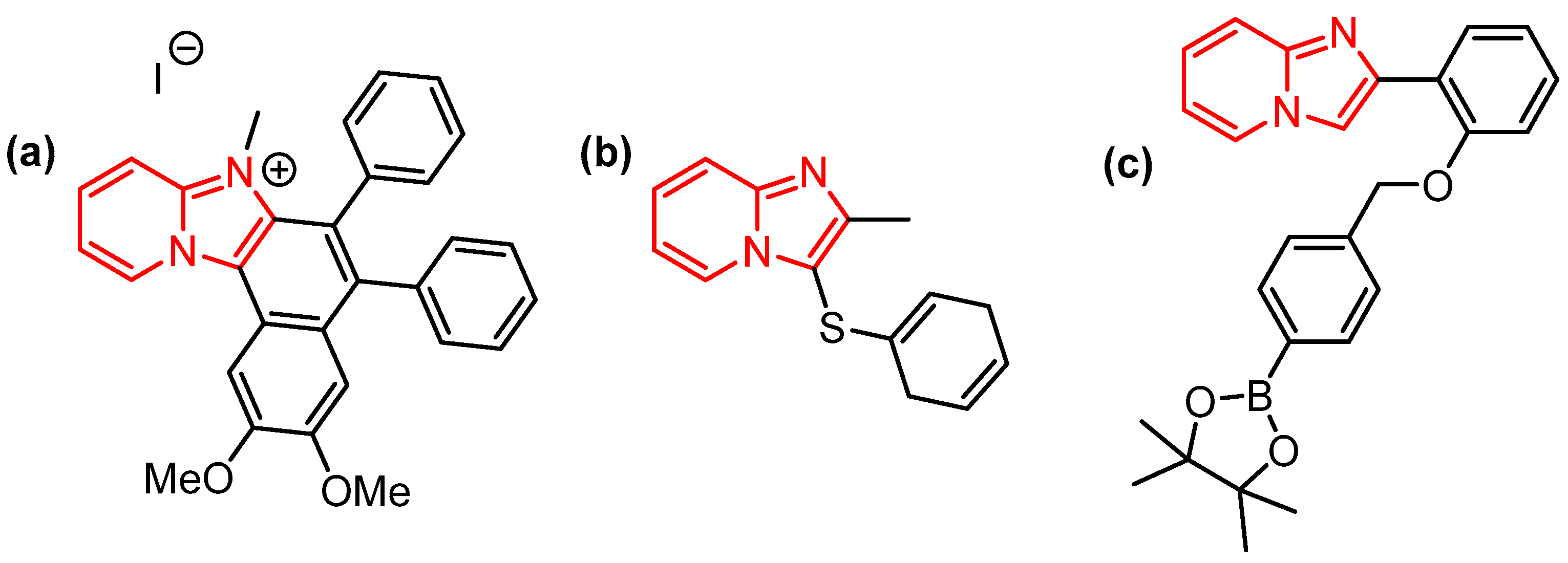
4.1. Imidazo[1,5-a]pyridines
4.2. Imidazo[1,2-a]pyridines
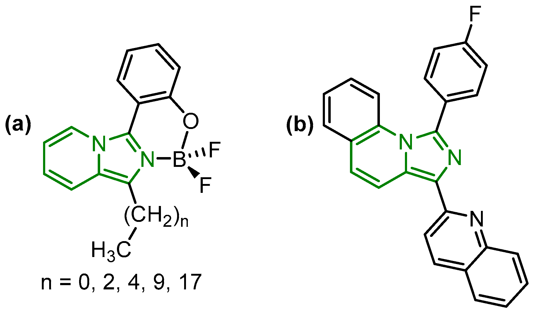
4.3. Imidazo[4,5-b]pyridines and Imidazo[4,5-c]pyridines
5. Optoelectronic Devices Incorporating Imidazopyridines
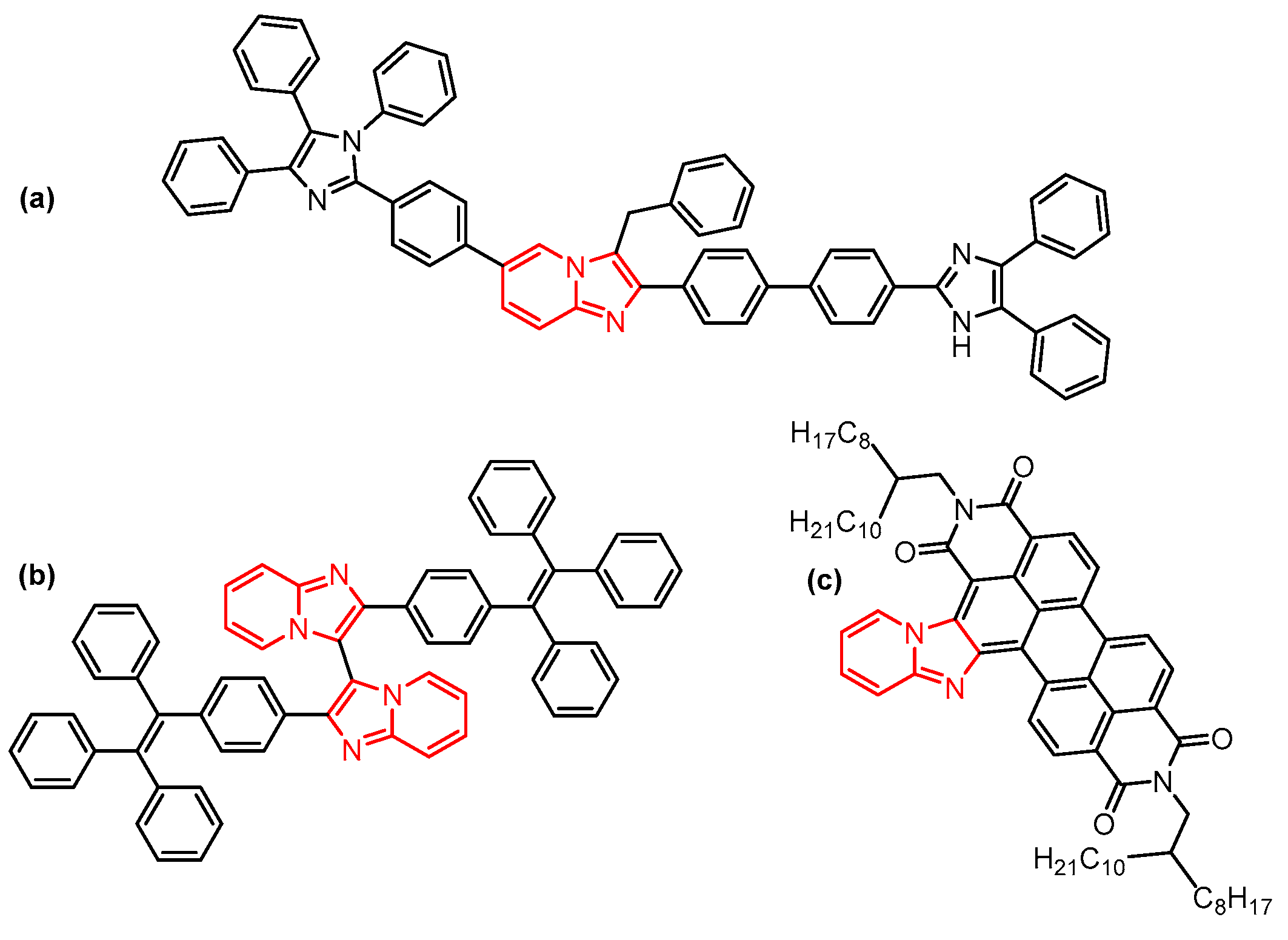
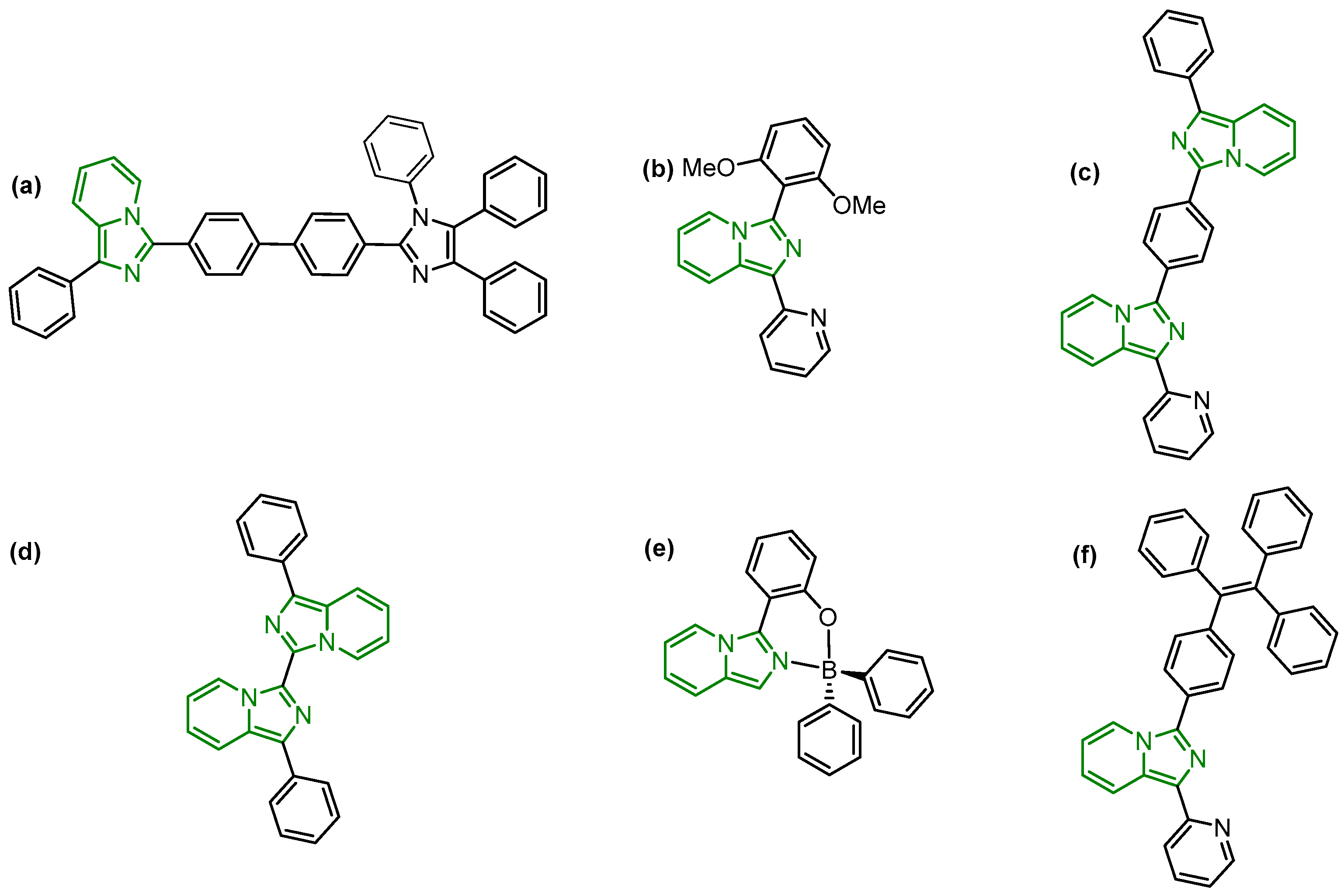
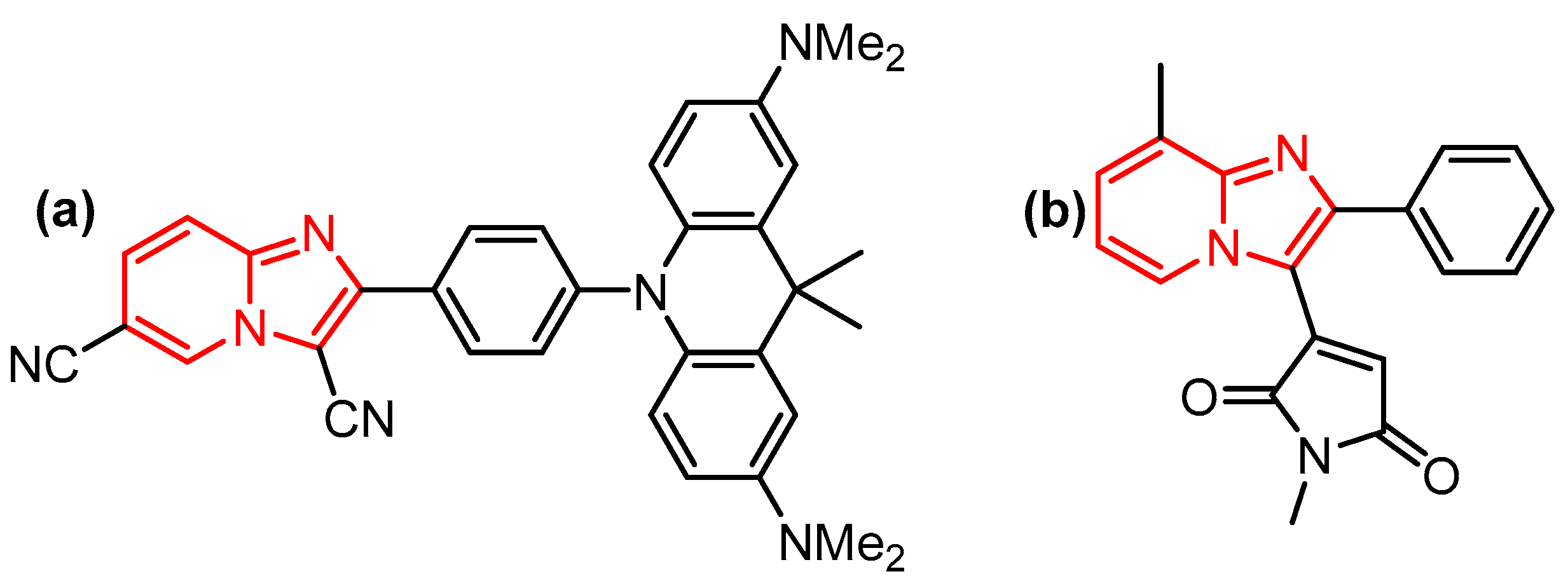
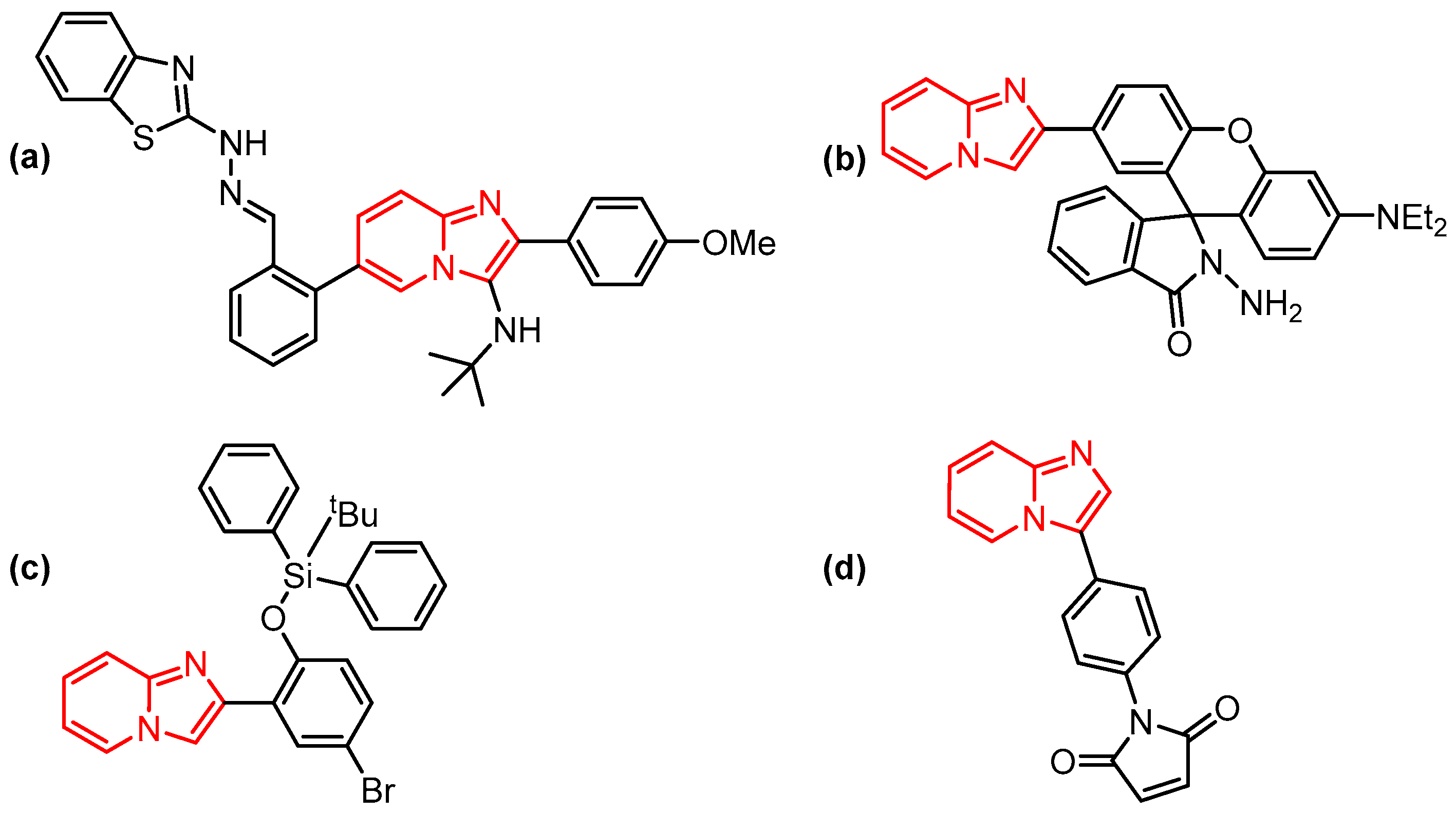
5.1. Imidazo[1,5-a]pyridines
5.2. Imidazo[1,2-a]pyridines
5.3. Imidazo[4,5-b]pyridines and Imidazo[4,5-c]pyridines
6. Molecular Sensors Based on Imidazopyridines
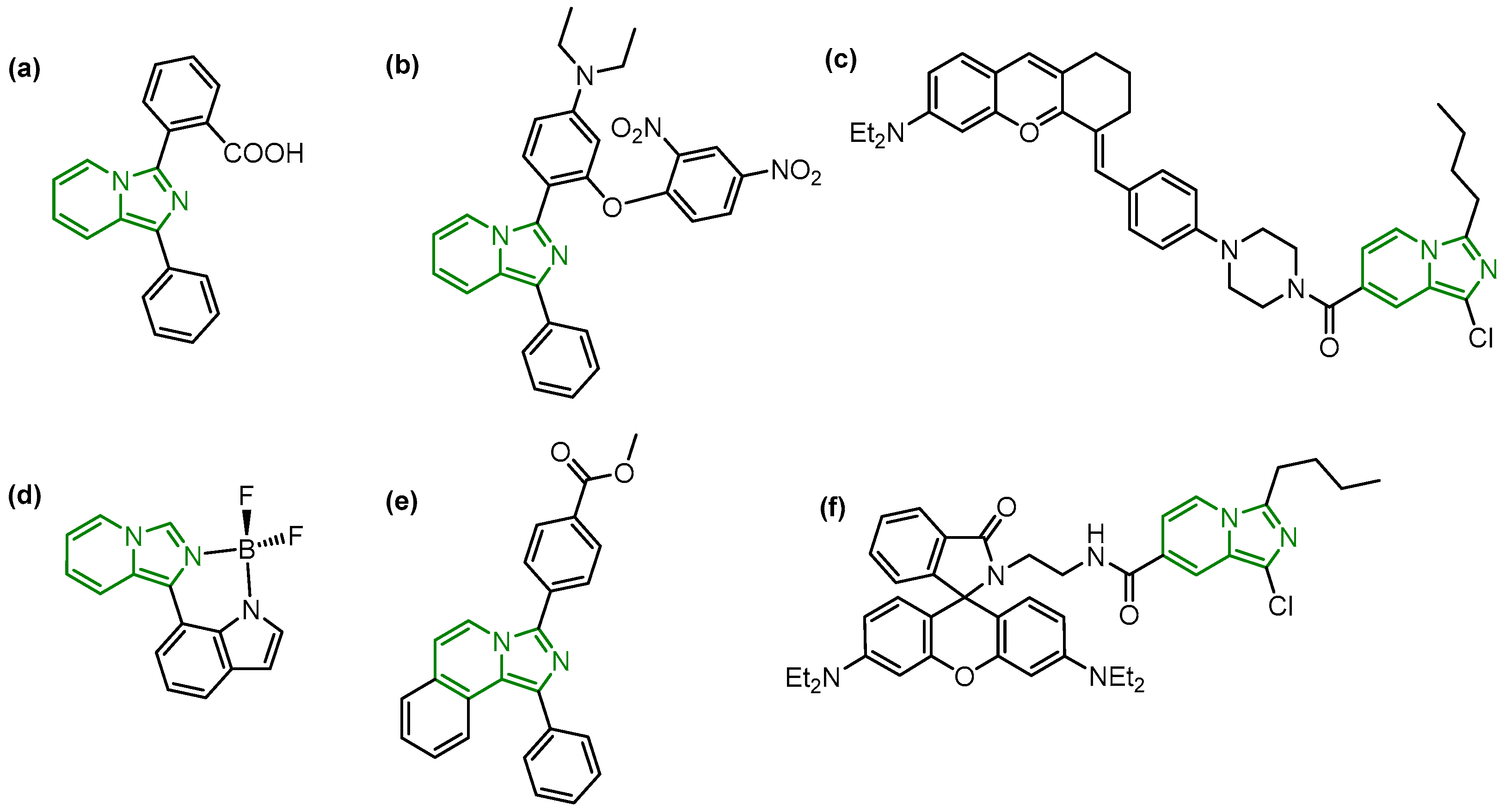
6.1. Imidazo[1,5-a]pyridines
6.2. Imidazo[1,2-a]pyridines
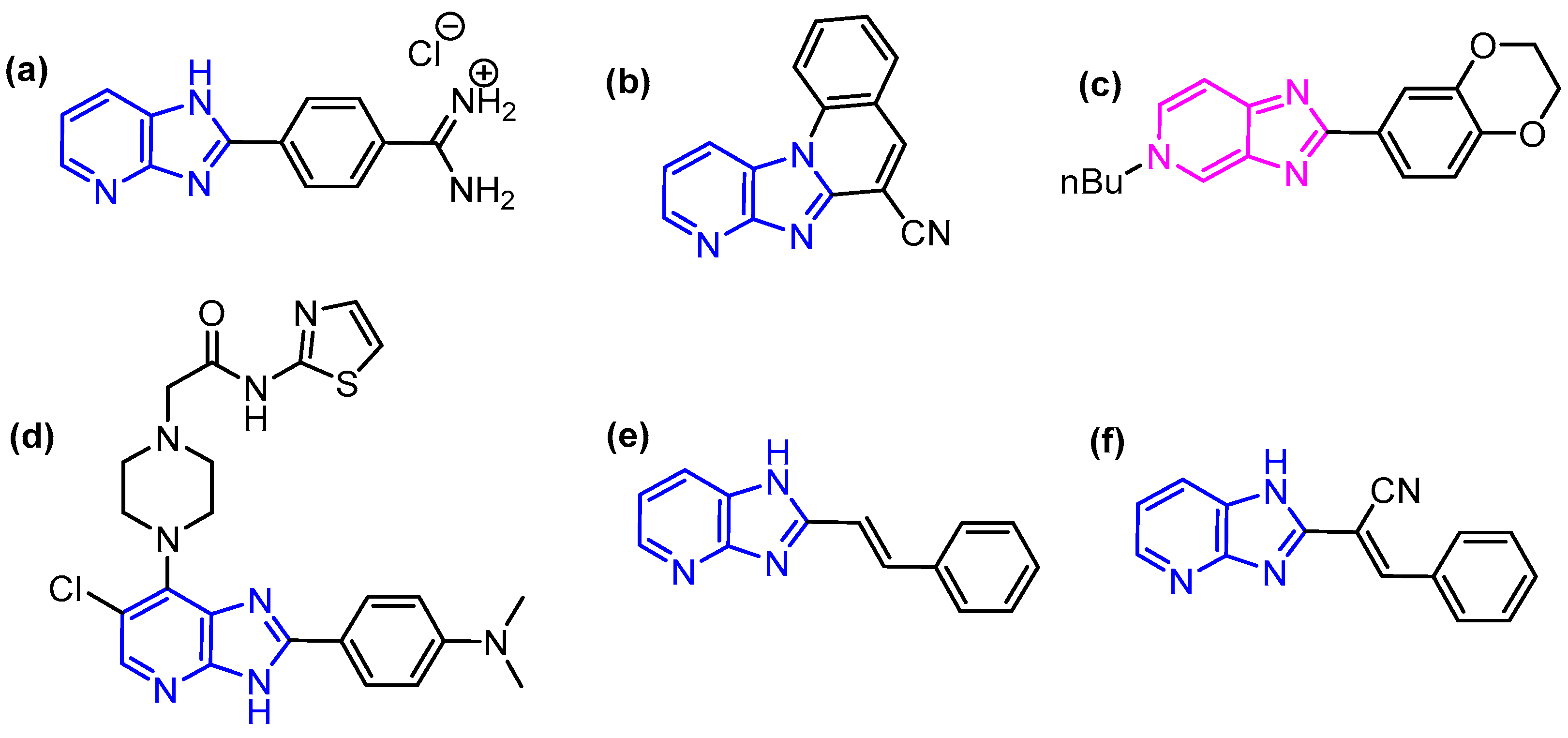
6.3. Imidazo[4,5-b]pyridines and Imidazo[4,5-c]pyridines
7. Imidazopyridine Derivatives as Sensitizers for Confocal Microscopy and Fluorescent Luminogens for Cell Sensing
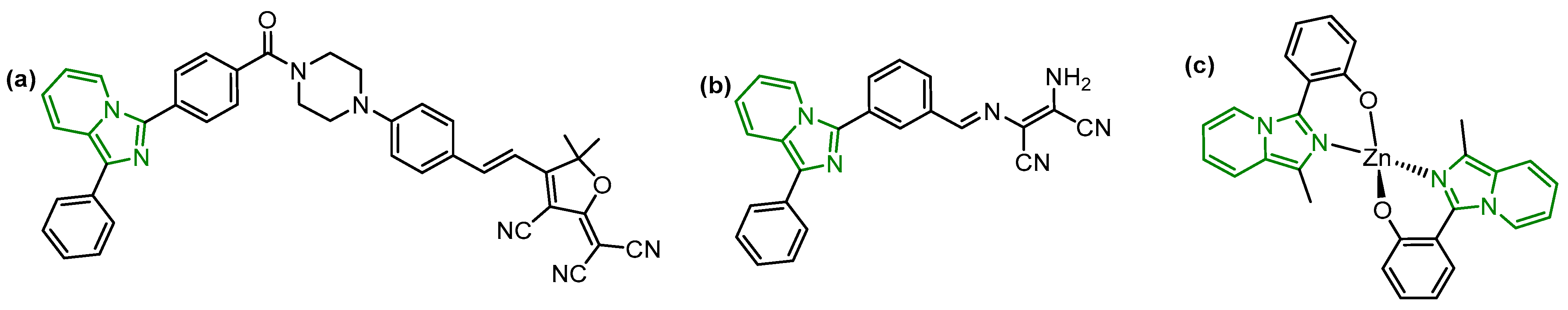
7.1. Imidazo[1,5-a]pyridines
7.2. Imidazo[1,2-a]pyridines
7.3. Imidazo[4,5-b]pyridines and Imidazo[4,5-c]pyridines
8. Imidazopyridines and Their Coordination Compounds as Catalysts
8.1. Imidazo[1,5-a]pyridines
8.2. Imidazo[1,2-a]pyridines
8.3. Imidazo[4,5-b]pyridines and Imidazo[4,5-c]pyridines
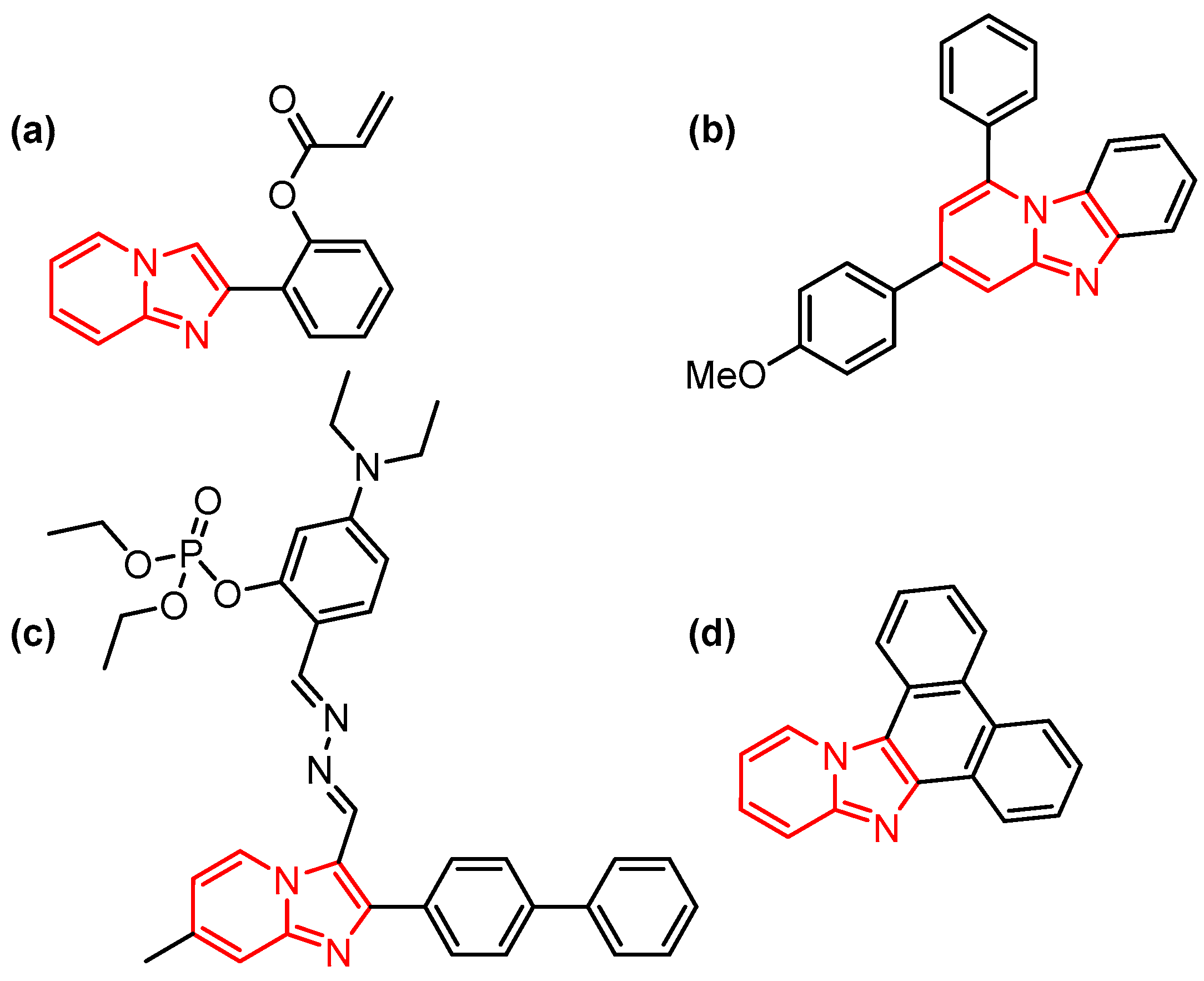
9. Biological and Medical Applications of Imidazopyridines
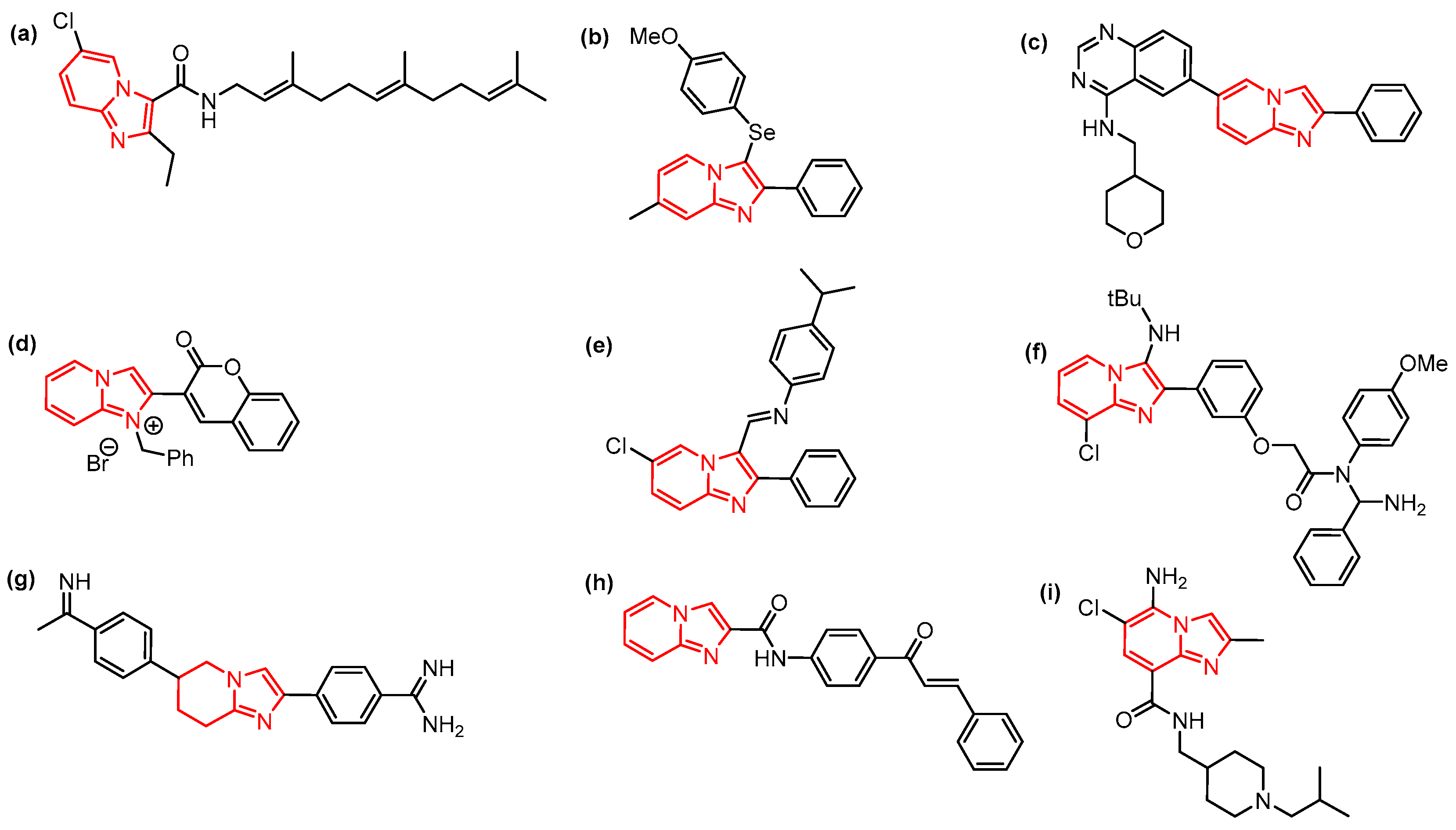
9.1. Imidazo[1,5-a]pyridines
9.2. Imidazo[1,2-a]pyridines
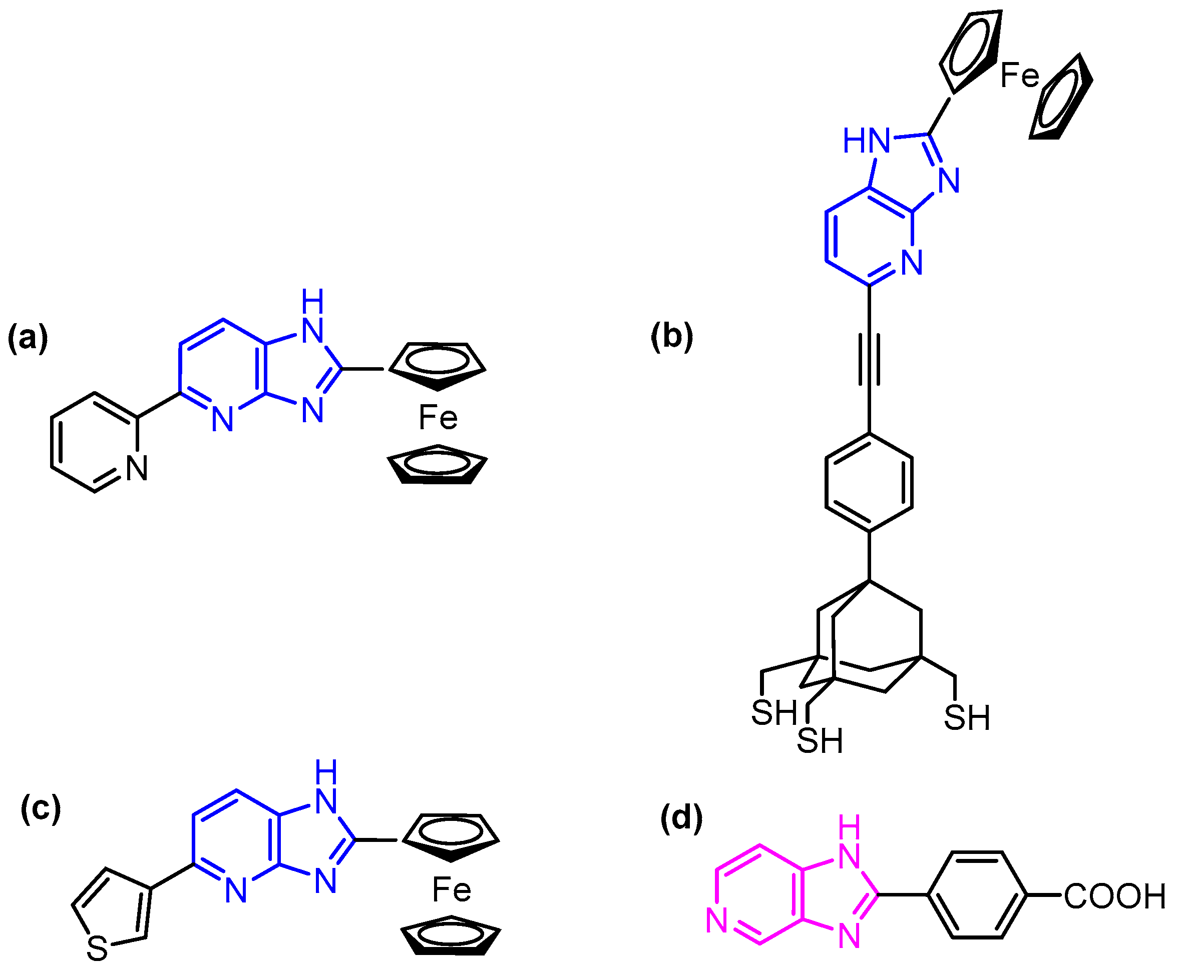
9.3. Imidazo[4,5-b]pyridines and Imidazo[4,5-c]pyridines
10. Miscellaneous Applications
11. Conclusions
Author Contributions
Funding
Institutional Review Board Statement
Informed Consent Statement
Data Availability Statement
Conflicts of Interest
Abbreviations
| AIE | Aggregation Induced Emission |
| ATP | Adenosine TriPhosphate |
| CRI | Color Rendering Index |
| CT | Charge Transfer |
| DMSO | DiMethylSulphOxide |
| DNA | DeoxyriboNucleic Acid |
| D-π-A | Donor-π-Acceptor |
| DSSC | Dye-Sensitized Solar Cell |
| EGFR | Epidermal Growth Factor Receptor |
| EQE | External Quantum Efficiency |
| ESIPT | Excited State Intramolecular Proton Transfer |
| FMOF | Fluorinated Metal Organic Framework |
| FRET | Fluorescence Resonance Energy Transfer |
| GABA | γ-AminoButyric Acid |
| GBB reaction | Groebke–Blackburn–Bienaymé reaction |
| HOMO | Highest Occupied Molecular Orbital |
| ICT | Intramolecular Charge Transfer |
| IRAP | Insulin-Regulated AminoPeptidase |
| kr | Radiative rate constant |
| LEC | Light-Emitting Electrochemical Cell |
| LOD | Limit of Detection |
| LUMO | Lowest Unoccupied Molecular Orbital |
| MIC | Minimum Inhibitory Concentration |
| MLCT | Metal to Ligand Charge Transfer |
| MOF | Metal Organic Framework |
| NHC | Nitrogen Heterocyclic Carbene |
| NIR | Near InfraRed |
| OFET | Organic Field Effect Transistor |
| OLED | Organic Light Emitting Diodes |
| OPV | Organic PhotoVoltaic |
| PDI | Perylene DiImide |
| PDT | PhotoDynamic Therapy |
| PhOLED | Phosphorescent Organic Light Emitting Diode |
| PLQY | PhotoLuminescence Quantum Yield |
| POP | Bis{2-(diphenylphosphanyl)phenyl}ether |
| RIR | Restriction of Intramolecular Rotation |
| RNA | RiboNucleic Acid |
| SAR | Structure-Activity Relationship |
| TADF | Thermally Activated Delayed Fluorescence |
| TD-DFT | Time-Dependent Density Functional Theory |
| TICT | Twisted Intramolecular Charge Transfer |
| TMPE | TriMethylolPropane Ethoxylate |
| TPE | TetraPhenyl Ethylene |
| T3P | PropylPhosphonic anhydride |
| 1,2-a | Imidazo[1,2-a]pyridine |
| 1,5-a | Imidazo[1,5-a]pyridine |
| 4,5-b | Imidazo[4,5-b]pyridine |
| 4,5-c | Imidazo[4,5-c]pyridine |
| ΦF | Fluorescence Quantum Yield |
References
- Tschitschibabin, A.E. Zur Tautomerie des α-Amino-pyridins, IV. Mitteilung: Eine Darstellungsmethode des Pyrimidazols und seiner Homologen. Ber. Dtsch. Chem. Ges. 1925, 58, 1704. [Google Scholar] [CrossRef]
- Weidenhagem, R.; Weeden, U. Über neue Imidazoloverbindungen der heterocyclischen Reihe (VII. Mitteil. über Imidazole). Ber. Dtsch. Chem. Ges. 1938, 71, 2347. [Google Scholar] [CrossRef]
- Petrow, V.; Saper, J. 282. Some 5-azaquinoxalines and 4-azabenziminazoles. J. Chem. Soc. 1948, 1389. [Google Scholar] [CrossRef]
- Bower, J.D.; Ramage, G.R. Heterocyclic Systems Related to Pyrrocoline. Part I.2: 3a-Diazaindene. J. Chem. Soc. 1955, 2834. [Google Scholar] [CrossRef]
- Ashok, P.; Chaudhran, K.; Sharma, A. Progress in the Development of Imidazopyridine-Based Fluorescent Probes for Diverse Applications. Crit. Rev. Anal. Chem. 2022, 54, 2148. [Google Scholar] [CrossRef]
- Volpi, G.; Laurenti, E.; Rabezzana, R. Imidazopyridine Family: Versatile and Promising Heterocyclic Skeletons for Different Applications. Molecules 2024, 29, 2668. [Google Scholar] [CrossRef] [PubMed]
- Volpi, G. Luminescent Imidazo[1,5-a]pyridine Scaffold: Synthetic Heterocyclization Strategies-Overview and Promising Applications. Asian J. Org. Chem. 2022, 11, e202200171. [Google Scholar] [CrossRef]
- Bukhryakov, K.V.; Kurkin, A.V.; Yurovskaya, M.A. Synthetic approaches to imidazo[4,5-b]pyridine derivatives (review). Chem. Heterocycl. Compd. 2011, 47, 646. [Google Scholar] [CrossRef]
- Ramana Reddy, M.; Darapaneni, C.M.; Patil, R.D.; Kumari, H. Recent synthetic methodologies for imidazo[1,5-a]pyridines and related heterocycles. Org. Biomol. Chem. 2022, 20, 3440. [Google Scholar] [CrossRef]
- Panda, J.; Raigurum, B.P.; Mishra, M.; Mohapatra, S.; Nayak, S. Recent Advances in the Synthesis of Imidazo[1,2-a]pyridines: A Brief Review. ChemistrySelect 2022, 7, e202103987. [Google Scholar] [CrossRef]
- Kishbaugh, T.L.S. Pyridines and Imidazopyridines with Medicinal Significance. Curr. Top. Med. Chem. 2016, 16, 3274. [Google Scholar] [CrossRef]
- Mali, S.N.; Pandey, A. Recent Developments in Medicinal and In Silico Applications of Imidazopyridine Derivatives: Special Emphasis on Malaria, Trypanosomiasis, and Tuberculosis. Chem. Afr. 2022, 5, 1215. [Google Scholar] [CrossRef]
- Reddy Sanapalli, B.K.; Ashames, A.; Sigalapalli, D.K.; Shaik, A.B.; Bhandare, R.R.; Yele, V. Synthetic Imidazopyridine-Based Derivatives as Potential Inhibitors against Multi-Drug Resistant Bacterial Infections: A Review. Antibiotics 2022, 11, 1680. [Google Scholar] [CrossRef]
- Khatun, S.; Singh, A.; Bader, G.N.; Ahmad Sofi, F. Imidazopyridine, a promising scaffold with potential medicinal applications and structural activity relationship (SAR): Recent advances. J. Biomol. Struct. Dyn. 2022, 40, 14279. [Google Scholar] [CrossRef] [PubMed]
- Delgado, O.; Delgado, F.; Vega, J.A.; Trabanco, A.A. N-bridged 5,6-bicyclic pyridines: Recent applications in central nervous system disorders. Eur. J. Med. Chem. 2015, 97, 719. [Google Scholar] [CrossRef] [PubMed]
- Lefin, R.; van der Walt, M.M.; Milne, P.J.; Terre’Blanche, G. Imidazo[1,2-a]pyridines possess adenosine A1 receptor affinity for the potential treatment of cognition in neurological disorders. Bioorg. Med. Chem. Lett. 2017, 27, 3963. [Google Scholar] [CrossRef] [PubMed]
- Priyadarsini Mishra, N.; Mohapatra, S.; Das, T.; Nayak, S. Imidazo[1,2-a]pyridine as a promising scaffold for the development of antibacterial agents. J. Heterocycl. Chem. 2022, 59, 2051. [Google Scholar] [CrossRef]
- Altaher, A.M.H.; Adris, M.A.; Aliwaini, S.H. Imidazo[1,2-a]pyridine Based Compounds, The Hopeful Anti-Cancer Therapy. Sys. Rev. Pharm. 2021, 12, 79. [Google Scholar]
- Sucu, B.O. Biological evaluation of imidazopyridine derivatives as potential anticancer agents against breast cancer cells. Med. Chem. Res. 2022, 31, 2231. [Google Scholar] [CrossRef]
- Lee, Y.-Y.; Zseng, H.-W.; Tsai, Z.-H.; Su, Y.-S.; Hu, C.-H.; Lee, H.M. Isomeric Palladium Complexes Bearing Imidazopyridine-Based Abnormal Carbene Ligands: Synthesis, Characterization, and Catalytic Activity in Direct C–H Arylation Reaction. Organometallics 2019, 38, 805. [Google Scholar] [CrossRef]
- Mihorianu, M.; Franz, M.H.; Jones, P.G.; Freytag, M.; Kelter, G.; Fiebig, H.-H.; Tamm, M.; Neda, I. N-Heterocyclic carbenes derived from imidazo-[1,5-a]pyridines related to natural products: Synthesis, structure and potential biological activity of some corresponding gold(I) and silver(I) complexes. Appl. Organomet. Chem. 2016, 30, 581. [Google Scholar] [CrossRef]
- Volpi, G.; Rabezzana, R. Imidazo[1,5-a]pyridine derivatives: Useful, luminescent and versatile scaffolds for different applications. New J. Chem. 2021, 45, 5737. [Google Scholar] [CrossRef]
- Yashwantrao, G.; Naik, V.; Badani, P.; Saha, S. Designing Multifunctional AIEgens by Molecular Engineering of Imidazo[1,2-a]pyridine For Color Tunable Molecular Salts, Anti-Counterfeit Applications and Sensing of Mn2+, Ag+, and Fe3+. Chem. Eur. J. 2025, 31, e202500047. [Google Scholar] [CrossRef]
- Hong, Y.; Zhao, Y.; Guo, Y.; Wang, Y.; Ma, L. AIE activity, mechanochromism, acidchromism, and high-level anti-counterfeiting based on multifunctional tetraphenylvinyl imidazolopyridine. J. Lumin. 2024, 273, 120678. [Google Scholar] [CrossRef]
- Ahmad Tali, J.; Kumar, G.; Kumar Sharma, B.; Rasool, Y.; Sharma, Y.; Shankar, R. Synthesis and site selective C–H functionalization of imidazo-[1,2-a]pyridines. Org. Biomol. Chem. 2023, 21, 7267. [Google Scholar] [CrossRef] [PubMed]
- Krishnamoorthy, I.G. The suppression of intramolecular charge transfer emission by tautomerism in 2-(4′-amino-2′-hydroxyphenyl)-1H-imidazo-[4,5-c]pyridine: Intramolecular proton transfer versus intermolecular proton transfer. J. Photochem. Photobiol. A Chem. 2021, 413, 113199. [Google Scholar]
- Kothavale, S.; Lee, K.H.; Lee, J.Y. 3-Cyano Imidazopyridine Acceptor-based Bipolar and n-type Host Materials for Phosphorescent Organic Light-Emitting Diodes. Asian J. Org. Chem. 2018, 7, 2218. [Google Scholar] [CrossRef]
- Wang, J.; Mason, R.; Van Derveer, D.; Feng, K.; Bu, X.R. Convenient Preparation of a Novel Class of Imidazo[1,5-a]pyridines: Decisive Role by Ammonium Acetate in Chemoselectivity. J. Org. Chem. 2003, 68, 5415. [Google Scholar] [CrossRef] [PubMed]
- Magra, K.; Darari, M.; Domenichini, E.; Francés-Monerris, A.; Cebrián, C.; Beley, M.; Pastore, M.; Monari, A.; Assfeld, X.; Haacke, S.; et al. Photophysical Investigation of Iron(II) Complexes Bearing Bidentate Annulated Isomeric Pyridine-NHC Ligands. J. Phys. Chem. C 2020, 124, 18379. [Google Scholar] [CrossRef]
- Wang, L.B.; Pan, J.; Tang, C.L.; Bu, X.R.; Wang, J. Microwave-prompted rapid and efficient synthesis of 3-alkyl substituted imidazo[1,5-a]pyridines. Chin. Chem. Lett. 2007, 18, 390. [Google Scholar] [CrossRef]
- Rahmati, A.; Khalesi, Z. One-Pot Three-Component Synthesis of Imidazo[1,5-a]pyridines. Int. J. Org. Chem. 2011, 1, 15. [Google Scholar] [CrossRef]
- Patil, S.G.; Jadhav, J.S.; Sankpal, S.T. Mg3N2-assisted one-pot synthesis of 1,3-disubstituted imidazo[1,5-a]pyridine. RSC Adv. 2020, 10, 11808. [Google Scholar] [CrossRef]
- Mandal, A.; Patel, B.K. Rationalization of weak interactions in two fluorescence active imidazo-[1,5-a]-pyridine derivatives: A combined experimental and computational study. J. Mol. Struct. 2017, 1147, 735. [Google Scholar] [CrossRef]
- Li, M.Y.; Xie, Y.; Ye, Y.; Zou, Y.; Jiang, H.F.; Zeng, W. Cu(I)-Catalyzed Transannulation of N-Heteroaryl Aldehydes or Ketones with Alkylamines via C(sp3)–H Amination. Org. Lett. 2014, 16, 6232. [Google Scholar] [CrossRef]
- Wang, H.; Xu, W.; Wang, Z.; Yu, L.; Xu, K. Copper-Catalyzed Oxidative Amination of sp3 C–H Bonds under Air: Synthesis of 1,3-Diarylated Imidazo[1,5-a]pyridines. J. Org. Chem. 2015, 80, 2431. [Google Scholar] [CrossRef] [PubMed]
- Nguyen, H.T.H.; Nguyen, O.T.K.; Truong, T.; Phan, N.T.S. Synthesis of imidazo[1,5-a]pyridines via oxidative amination of the C(sp3)-H bond under air using metal-organic framework Cu-MOF-74 as an efficient heterogeneous catalyst. RSC Adv. 2016, 6, 36039. [Google Scholar] [CrossRef]
- Gupta, A.K.; De, D.; Tomar, K.; Bharadwaj, P.K. A Cu(II) metal–organic framework with significant H2 and CO2 storage capacity and heterogeneous catalysis for the aerobic oxidative amination of C(sp3)–H bonds and Biginelli reactions. Dalton Trans. 2018, 47, 1624. [Google Scholar] [CrossRef]
- Monika, S.; Ramesh, R. One-pot synthesis of 1,3-disubstituted imidazo[1,5-a]pyridines via acceptorless dehydrogenative coupling of primary alcohols promoted by binuclear ruthenium(II) N^O-chelating complexes. Appl. Oragnomet. Chem. 2022, 37, e6986. [Google Scholar] [CrossRef]
- Tanomsiri, G.; Boonmee, S.; Chaisan, N.; Tummatorn, J.; Thongsornkleeb, C.; Ruchirawat, S. Strategic Methodologies for Efficient Synthesis of Imidazo[1,5-a]pyridine and Benzazepine Analogs via the Unique Ritter-Type Reaction. ACS Org. Inorg. Au 2025, 5, 117. [Google Scholar] [CrossRef] [PubMed]
- Hu, Z.; Hou, J.; Liu, J.; Yu, W.; Chang, J. Synthesis of imidazo[1,5-a]pyridines via I2-mediated sp3 C–H amination. Org. Biomol. Chem. 2018, 16, 5653. [Google Scholar] [CrossRef]
- Fukuda, T.; Miyake, H.; Abe, S.; Yagishita, F.; Iida, H. Flavin–Iodine-Catalyzed Aerobic Oxidative Tandem C(sp3)−H Imination and Amination: Synthesis of Fluorescent Imidazo[1,5-a]pyridines from Pyridylmethanes and Aminomethanes. Adv. Synth. Catal. 2024, 367, e202400854. [Google Scholar] [CrossRef]
- Shibahara, F.; Sugiura, R.; Yamaguchi, E.; Kitagawa, A.; Murai, T. Synthesis of Fluorescent 1,3-Diarylated Imidazo[1,5-a]pyridines: Oxidative Condensation−Cyclization of Aryl-2-Pyridylmethylamines and Aldehydes with Elemental Sulfur as an Oxidant. J. Org. Chem. 2009, 74, 3566. [Google Scholar] [CrossRef]
- Crawforth, J.M.; Paoletti, M. A one-pot synthesis of imidazo[1,5-a]pyridines. Tetrahedron Lett. 2009, 50, 4916. [Google Scholar] [CrossRef]
- Ramesha, A.B.; Sandhya, N.C.; Pavan Kumar, C.S.; Hiremath, M.; Mantelingu, K.; Rangappa, K.S. A novel approach for the synthesis of imidazo and triazolopyridines from dithioesters. New J. Chem. 2016, 40, 7637. [Google Scholar] [CrossRef]
- Ramesha, A.B.; Pavan Kumar, C.S.; Sandhya, N.C.; Kumara, M.N.; Mantelingu, K.; Rangappa, K.S. Tandem approach for the synthesis of 3-sulfenylimidazo[1,5-a]pyridines from dithioesters. RSC Adv. 2016, 6, 48375–48378. [Google Scholar] [CrossRef]
- Shibahara, F.; Kitagawa, A.; Yamaguchi, E.; Murai, T. Synthesis of 2-Azaindolizines by Using an Iodine-Mediated Oxidative Desulfurization Promoted Cyclization of N-2-Pyridylmethyl Thioamides and an Investigation of Their Photophysical Properties. Org. Lett. 2006, 8, 5621. [Google Scholar] [CrossRef]
- Tahara, S.; Shibahara, F.; Maruyama, T.; Murai, T. Iodine-mediated cyclization of N-thioacyl-1-(2-pyridyl)-1,2-aminoalcohols and their subsequent condensation leading to the formation of novel bis(1-imidazo[1,5-a]pyridyl)arylmethanes. Chem. Commun. 2009, 7009. [Google Scholar] [CrossRef]
- Singh, D.; Sharma, S.; Kumar, M.; Kaur, I.; Shankar, R.; Pandey, S.K.; Singh, V. An AcOH-mediated metal free approach towards the synthesis of bis-carbolines and imidazopyridoindole derivatives and assessment of their photophysical properties. Org. Biomol. Chem. 2019, 17, 835. [Google Scholar] [CrossRef] [PubMed]
- Wang, Q.; Zhang, S.; Guo, F.; Zhang, B.; Hu, P.; Wang, Z. Natural α-Amino Acids Applied in the Synthesis of Imidazo[1,5-a]N-heterocycles under Mild Conditions. J. Org. Chem. 2012, 77, 11161. [Google Scholar] [CrossRef] [PubMed]
- Wang, H.; Xu, W.; Xin, L.; Liu, W.; Wang, Z.; Xu, K. Synthesis of 1,3-Disubstituted Imidazo[1,5-a]pyridines from Amino Acids via Catalytic Decarboxylative Intramolecular Cyclization. J. Org. Chem. 2016, 81, 3681. [Google Scholar] [CrossRef]
- Arvapalli, V.S.; Chen, G.; Kosarev, S.; Tan, M.E.; Xie, D.; Yet, L. Microwave-assisted organic synthesis of 3-substituted-imidazo[1,5-a]pyridines. Tetrahedron Lett. 2010, 51, 284. [Google Scholar] [CrossRef]
- Wu, Y.-D.; Geng, X.; Gao, Q.; Zhang, J.; Wu, X.; Wu, A.-X. Iodine-promoted sequential dual oxidative Csp3–H amination/Csp3–H iodination reactions: Efficient synthesis of 1-iodoimidazo[1,5-a]pyridines. Org. Chem. Front. 2016, 3, 1430. [Google Scholar] [CrossRef]
- Herr, J.M.; Rössiger, C.; Albrecht, G.; Yanagi, H.; Göttlich, R. Solvent-free microwave-assisted synthesis of imidazo[1,5-a]pyridine and –quinoline derivatives. Synth. Commun. 2019, 49, 2931. [Google Scholar] [CrossRef]
- Groebke, K.; Weber, L.; Mehlin, F. Synthesis of Imidazo[1,2-a] annulated Pyridines, Pyrazines and Pyrimidines by a Novel Three-Component Condensation. Synlett 1998, 6, 661. [Google Scholar] [CrossRef]
- Blackburn, C.; Guan, B.; Fleming, P.; Shiosaki, K.; Tsai, S. Parallel synthesis of 3-aminoimidazo[1,2-a]pyridines and pyrazines derived from isonitriles. Tetrahedron Lett. 1998, 39, 3635. [Google Scholar] [CrossRef]
- Bienaymé, H.; Bouzid, K. A new heterocyclic multicomponent reaction for the combinatorial synthesis of fused 3-aminoimidazoles. Angew. Chem. Int. Ed. 1998, 37, 2234. [Google Scholar] [CrossRef]
- Calderón-Rangel, D.; Corona-Díaz, A.; González-Gámez, I.A.; Gámez-Montaño, R. One-Pot Synthesis of Imidazo[1,2-a]pyridines via Groebke–Blackburn–Bienaymé Reaction. Chem. Proc. 2025, 18, 10. [Google Scholar]
- Varma, R.S.; Kumar, D. Microwave-accelerated three-component condensation reaction on clay: Solvent-free synthesis of imidazo[1,2-a] annulated pyridines, pyrazines and pyrimidines. Tetrahedron Lett. 1999, 40, 7665. [Google Scholar] [CrossRef]
- Zhu, D.-J.; Chen, J.-X.; Liu, M.-C.; Ding, J.-C.; Wu, H.-Y. Catalyst- and Solvent-free Synthesis of Imidazo[1,2-a]pyridines. J. Braz. Chem. Soc. 2009, 20, 482. [Google Scholar] [CrossRef]
- Stasyuk, A.J.; Banasiewicz, M.; Cyrański, M.K.; Gryko, D.T. Imidazo[1,2-a]pyridines Susceptible to Excited State Intramolecular Proton Transfer: One-Pot Synthesis via an Ortoleva–King Reaction. J. Org. Chem. 2012, 77, 5552. [Google Scholar] [CrossRef]
- Monreal-Corona, R.; Stasyuk, A.J.; Solà, M.; Pla-Quintana, A.; Poater, A. Unveiling the Reaction Mechanisms of the Synthesis and the Excited State Intramolecular Proton Transfer of 2-(2′-hydroxyphenyl)imidazo[1,2-a]pyridine. ChemPhysChem 2024, 25, e202400069. [Google Scholar] [CrossRef]
- Veer, B.; Singh, R. Facile synthesis of 2-arylimidazo[1,2-a]pyridines catalysed by DBU in aqueous ethanol. Proc. R. Soc. A 2019, 475, 20190238. [Google Scholar] [CrossRef]
- Doraghi, F.; Serajian, A.; Karimian, S.; Larijani, B.; Mahdavi, M. The cyclization and functionalization reactions involving N-phenacylpyridinium salts. Chem. Pap. 2024, 78, 6821. [Google Scholar] [CrossRef]
- Li, X. Cu(I)-Catalysed Oxidative Coupling of 2-Aminopyridines with β-Keto Esters: Synthesis of Imidazo[1,2-a]Pyridine-3-Carboxylates. J. Chem Res. 2012, 35, 525. [Google Scholar] [CrossRef]
- Wang, X.; Ma, L.; Yu, W. Synthesis of Imidazo[1,2-a]pyridines by the Bis(acetyloxy)(phenyl)-λ3-iodane-Mediated Oxidative Coupling of 2-Aminopyridines with β-Keto Esters and 1,3-Diones. Synthesis 2011, 15, 2445. [Google Scholar] [CrossRef]
- Reen, G.K.; Kumar, A.; Sharma, P. Recent advances on the transition-metal-catalyzed synthesis of imidazo[1,2-a]pyridines. Beilstein J. Org. Chem. 2019, 15, 165. [Google Scholar] [CrossRef]
- Wang, Y.; Li, S.; Wang, X.; Yao, Y.; Feng, L.; Ma, C. A multi pathway coupled domino strategy: I2/TBHP-promoted synthesis of imidazopyridines and thiazoles via sp3, sp2 and sp C–H functionalization. RSC Adv. 2022, 12, 5919. [Google Scholar] [CrossRef] [PubMed]
- Yu, Y.; Su, Z.; Cao, H. Strategies for Synthesis of Imidazo[1,2-a]pyridine Derivatives: Carbene Transformations or C−H Functionalizations. Chem. Rec. 2019, 19, 2105. [Google Scholar] [CrossRef]
- Santra, S.; Mitra, S.; Bagdi, A.K.; Hajra, A. Iron(III)-catalyzed three-component domino strategy for the synthesis of imidazo[1,2-a]pyridines. Tetrahedron Lett. 2014, 55, 5151. [Google Scholar] [CrossRef]
- Chen, X.; Sun, P.; Mo, B.; Chen, C.; Peng, J. Palladium-Catalyzed Synthesis of Fluorescent Benzo[4,5]imidazo[1,2-a]pyridines through Annulation Reaction of Benzimidazoles and Alkynyl Bromides with Internal Alkynes. J. Org. Chem. 2021, 86, 352. [Google Scholar] [CrossRef] [PubMed]
- Jiang, S. Copper (II) complex supported on magnetic nanoparticles as a novel nanocatalyst for the synthesis of imidazo[1,2-a]pyridines. Mol. Divers. 2024, 28, 3859. [Google Scholar] [CrossRef]
- Zhou, Z.; Luo, D.; Li, G.; Yang, Z.; Cui, L.; Yang, W. Copper-catalyzed three-component reaction to synthesize polysubstituted imidazo[1,2-a]pyridines. RSC Adv. 2022, 12, 20199. [Google Scholar] [CrossRef]
- Yan, R.-L.; Yan, H.; Ma, C.; Ren, Z.-Y.; Gao, X.-A.; Huang, G.-S.; Liang, Y.-M. Cu(I)-Catalyzed Synthesis of Imidazo[1,2-a]pyridines from Aminopyridines and Nitroolefins Using Air as the Oxidant. J. Org. Chem. 2012, 77, 2024. [Google Scholar] [CrossRef] [PubMed]
- Reddy, K.R.; Reddy, A.S.; Shankar, R.; Kant, R.; Das, P. Copper-Catalyzed Oxidative C−H Amination: Synthesis of Imidazo[1,2-a]-N-Heterocycles from N-Heteroaryl Enaminones. Asian J. Org. Chem. 2015, 4, 573. [Google Scholar] [CrossRef]
- Cacchi, S.; Ciogli, A.; Demitri, N.; Fabrizi, G.; Ghirha, F.; Goggiamani, A.; Iazzetti, A.; Lamba, D. Copper-Catalyzed C-N Bond Formation via C-H Functionalization: Facile Synthesis of Multisubstituted Imidazo[1,2-a]pyridines from N-(2-Pyridinyl)enaminones. Synthesis 2018, 50, 3513. [Google Scholar]
- Cao, H.; Liu, X.; Zhao, L.; Cen, J.; Lin, J.; Zhu, Q.; Fu, M. One-pot regiospecific synthesis of imidazo[1,2-a]pyridines: A novel, metal-free, three-component reaction for the Formation of C–N, C–O, and C–S Bonds. Org. Lett. 2014, 16, 146. [Google Scholar] [CrossRef] [PubMed]
- Changunda, C.R.K.; Venkatesh, B.C.; Mokone, W.K.; Rousseaus, A.L.; Brady, D.; Fernandes, M.A.; Bode, M.L. Efficient one-pot synthesis of functionalised imidazo[1,2-a]pyridines and unexpected synthesis of novel tetracyclic derivatives by nucleophilic aromatic substitution. RSC Adv. 2020, 10, 8104. [Google Scholar] [CrossRef]
- Sanaeishoar, H.; Bashirpour, M.; Mohave, F. An Expeditious One-pot Synthesis of Imidazo[1,2-a]pyridines using ZnCl2.SiO2 as a Recyclable HeterogeneousCatalyst under Solvent-free Condition. J. Appl. Chem. Res. 2016, 10, 75. [Google Scholar]
- Subba Reddy, B.V.; Sivaramakrishna Reddy, P.; Jayasudhan Reddy, Y.; Yadav, J.S. InBr3-catalyzed three-component, one-pot synthesis of imidazo[1,2-a]pyridines. Tetrahedron Lett. 2011, 52, 5789. [Google Scholar] [CrossRef]
- Kundu, S.; Basu, B. Graphene-oxide catalysed multi-component reactions: Green synthesis of a library of 3-sulfenylimidazo[1,2-a]pyridines. RSC Adv. 2015, 5, 50178. [Google Scholar] [CrossRef]
- Mahaur, P.; Pandey, H.; Srivastava, V.; Singh, S. Photocatalytic synthesis of imidazo[1,2-a]pyridines via C(sp)3–H functionalization using ethylarene as a sustainable surrogate of acetophenone and luminescence studies. Org. Biomol Chem. 2025, 23, 10867. [Google Scholar] [CrossRef]
- Yang, B.; Tao, C.; Shao, T.; Gong, J.; Che, C. One-pot synthesis of tetracyclic fused imidazo[1,2-a] systems via cascade/retro-aza-ene sequences. Beilstein J. Org. Chem. 2016, 12, 145. [Google Scholar] [CrossRef]
- Bhutia, Z.T.; Das, D.; Chatterjee, A.; Banerjee, M. Efficient and “Green” Synthetic Route to Imidazo[1,2-a]pyridine by Cu(II)–Ascorbate-Catalyzed A3-Coupling in Aqueous Micellar Media. ACS Omega 2019, 4, 4481. [Google Scholar] [CrossRef]
- Corona-Díaz, A.; Calderón-Rangel, D.; García-García, D.; Rentería-Gómez, M.A.; Gámez-Montaño, R. Sonochemical Synthesis of Imidazo[1,2-a]pyridines via Groebke–Blackburn–Bienaymé Reaction Catalyzed by TSOH. Chem. Proc. 2025, 18, 25. [Google Scholar]
- Yu, X.; Wei, F. Synthesis of a novel imidazo[1,2-a]pyridines derivative as high selective fluorescent sensor for cyanide detection. J. Mol. Struct. 2025, 1330, 141528. [Google Scholar] [CrossRef]
- Karale, U.B.; Kalari, S.; Shivakumar, J.; Makane, V.B.; Babar, D.A.; Thakare, R.P.; Nagendra Babu, B.; Chopra, S.; Rode, H.B. Ligand-free Pd-catalysed decarboxylative arylation of imidazo[1,2-a]pyridine-3-carboxylic acids with aryl bromides. RSC Adv. 2016, 6, 65095. [Google Scholar] [CrossRef]
- Mondal, B.; Ghosh, P.; Kundu, M.K.; Kumar Das, T.; Das, S. Palladium catalyzed 8-aminoimidazo[1,2-a]pyridine (AIP) directed selective β-C(sp2)–H arylation. Org. Biomol. Chem. 2021, 19, 360. [Google Scholar] [CrossRef] [PubMed]
- Wu, D.; Liu, M.; Li, Z.; Dang, M.; Liu, X.; Li, J.; Huang, L.; Ren, Y.; Zhang, Z.; Liu, W.; et al. Synthesis and fungicidal activity of novel imidazo[4,5-b]pyridine derivatives. Heterocycl. Commun. 2019, 25, 8. [Google Scholar] [CrossRef]
- Padmaja, R.D.; Devi, V.C.; Mukku, N.; Chanda, K.; Maiti, B. Rapid Construction of an Imidazo[4,5-b]pyridine Skeleton from 2-Chloro-3-nitropyridine via Tandem Reaction in H2O-IPA Medium. ACS Omega 2018, 3, 4583. [Google Scholar] [CrossRef]
- Krause, M.; Foks, H.; Gobis, K. Pharmacological Potential and Synthetic Approaches of Imidazo[4,5-b]pyridine and Imidazo[4,5-c]pyridine Derivatives. Molecules 2017, 22, 399. [Google Scholar] [CrossRef]
- Dymińska, L.; Ga̧gor, A.; Ma̧czka, M.; Wȩgliński, Z.; Hanuza, J. XRD studies, vibrational spectra, and molecular structure of 1H-imidazo[4,5-b]pyridine based on DFT quantum chemical calculations. J. Raman Spectrosc. 2010, 41, 1021. [Google Scholar] [CrossRef]
- Casimiro-Garcia, A.; Heemstra, R.J.; Bigge, C.F.; Chen, J.; Ciske, F.A.; Davis, J.A.; Ellis, T.; Esmaeil, N.; Flynn, D.; Han, S.; et al. Design, synthesis, and evaluation of imidazo[4,5-c]pyridin-4-one derivatives with dual activity at angiotensin II type 1 receptor and peroxisome proliferator-activated receptor-γ. Bioorg. Med. Chem. Lett. 2013, 23, 767. [Google Scholar] [CrossRef] [PubMed]
- Martínez-Palou, R.; Gerardo Zepeda, L.; Höpfl, H.; Montoya, A.; Guzmán-Lucero, D.J.; Guzmán, J. Parallel and automated library synthesis of 2-long alkyl chain benzoazoles and azole[4,5-b]pyridines under microwave irradiation. Mol. Divers. 2005, 9, 361. [Google Scholar] [CrossRef]
- Myllymäki, M.J.; Koskinen, A.M.P. A rapid method for the preparation of 2-substituted oxazolo[4,5-b]pyridines using microwave-assisted direct condensation reactions. Tetrahedron Lett. 2007, 48, 2295–2298. [Google Scholar] [CrossRef]
- Dekhane, D.V.; Pawar, S.S.; Gupta, S.V.; Shingare, M.S.; Thore, S.N. Lithium bromide catalyzed solvent free method for synthesis of 2-substituted benzimidazoles and imidazopyridines. Chin. Chem. Lett. 2010, 21, 519. [Google Scholar] [CrossRef]
- René, O.; Souverneva, A.; Magnuson, S.R.; Fauber, B.P. Efficient syntheses of 2-fluoroalkylbenzimidazoles and -benzothiazoles. Tetrahedron Lett. 2013, 54, 201. [Google Scholar] [CrossRef]
- Gobis, K.; Foks, H.; Serocki, M.; Augustynowicz-Kopeć, E.; Napiórkowska, A. Synthesis and evaluation of in vitro antimycobacterial activity of novel 1H-benzo[d]imidazole derivatives and analogues. Eur. J. Med. Chem. 2015, 89, 13. [Google Scholar] [CrossRef] [PubMed]
- Kale, R.P.; Shaikh, M.U.; Jadhav, R.G.; Gill, C.H. Eco-friendly and facile synthesis of 2-substituted-1H-Imidazo[4,5-b]pyridine in aqueous medium by air oxidation. Tetrahedron Lett. 2009, 50, 1780. [Google Scholar] [CrossRef]
- Wang, F.; Tran-Dubé, M.; Scales, S.; Johnson, S.; McAlpine, I.; Ninkovic, S. A simple and convenient two-step, one-pot synthesis of hetero-imidazoles from nitroaminoaryls catalyzed by Ytterbium triflate. Tetrahedron Lett. 2013, 54, 4054. [Google Scholar] [CrossRef]
- Harer, S.L.; Bhatia, M.S. In-silico docking based design and synthesis of [1H,3H] imidazo[4,5-b] pyridines as lumazine synthase inhibitors for their effective antimicrobial activity. J. Pharm. Bioallied Sci. 2014, 6, 285. [Google Scholar] [CrossRef]
- Lemrová, B.; Smyslová, P.; Popa, I.; Oždian, T.; Zajdel, P.; Soural, M. Directed solid-phase synthesis of trisubstituted imidazo[4,5-c]pyridines and imidazo[4,5-b]pyridines. ACS Comb. Sci. 2014, 16, 558. [Google Scholar] [CrossRef]
- Álvarez, C.M.; Álvarez-Miguel, L.; García-Rodríguez, R.; Martín-Álvarez, J.M.; Miguel, D. 3-(pyridin-2-yl)imidazo[1,5-a]pyridine (pyridylindolizine) as ligands in complexes of transition and main-group metals. Eur. J. Inorg. Chem. 2015, 29, 4921. [Google Scholar] [CrossRef]
- Durini, S.; Ardizzoia, G.A.; Therrien, B.; Brenna, S. Tuning the fluorescence emission in mononuclear heteroleptic trigonal silver(I) complexes. New J. Chem. 2017, 41, 3006. [Google Scholar] [CrossRef]
- Ardizzoia, G.A.; Brenna, S.; Durini, S.; Therrien, B.; Veronelli, M. Synthesis, Structure, and Photophysical Properties of Blue-Emitting Zinc(II) Complexes with 3-Aryl-Substituted 1-Pyridylimidazo[1,5-a]pyridine Ligands. Eur. J. Inorg. Chem. 2014, 26, 4310. [Google Scholar] [CrossRef]
- Cerrato, V.; Volpi, G.; Priola, E.; Giordana, A.; Garino, C.; Rabezzana, R.; Diana, E. Mono-, Bis-, and Tris-Chelate Zn(II) Complexes with Imidazo[1,5-a]pyridine: Luminescence and Structural Dependence. Molecules 2023, 28, 3703. [Google Scholar] [CrossRef] [PubMed]
- Imada, Y.; Mukai, S.; Tahara, K.; Kozai, N.; Itaya, M.; Yoshida, Y.; Ueta, S.; Arakawa, Y.; Minagawa, K.; Yagishita, F. Divalent metal complexes of N,O- and N,N-bidentate imidazo[1,5-a]pyridine ligands: Synthesis, crystal structures, and photophysical properties. Inorg. Chim. Acta 2023, 555, 121584. [Google Scholar] [CrossRef]
- Tronnier, A.; Schleicher, D.; Strassner, T. (C∧C*)-cyclometalated platinum(II) imidazo[1,5-a]pyridine NHC complexes—Synthesis and characterization. J. Organomet. Chem. 2015, 775, 155. [Google Scholar] [CrossRef]
- Zhang, X.; He, C.; Yang, X.; Zhang, Q.; Li, Y.; Yao, J. FeII, CoII and NiII complexes based on 1-chloro-3-(pyridin-2-yl)imidazo[1,5-a]pyridine: Synthesis, structures, single-molecule magnetic and electrocatalytic properties. New J. Chem. 2022, 46, 21780. [Google Scholar] [CrossRef]
- Kundu, N.; Abtab, S.M.T.; Kundu, S.; Endo, A.; Teat, S.J.; Chaudhury, M. Triple-Stranded Helicates of Zinc(II) and Cadmium(II) Involving a New Redox-Active Multiring Nitrogenous Heterocyclic Ligand: Synthesis, Structure, and Electrochemical and Photophysical Properties. Inorg. Chem. 2012, 51, 2652. [Google Scholar] [CrossRef]
- Zhang, Y.-W.; Das, R.; Li, Y.; Wang, Y.-Y.; Ha, Y.-F. Synthesis, Characterization, and Properties of Organometallic Molecular Cylinders Bearing Bulky Imidazo[1,5-a]pyridine-Based N-Heterocyclic Carbene Ligands. Chem. Eur. J. 2019, 25, 5472. [Google Scholar] [CrossRef]
- Pischedda, S.; Stoccoro, S.; Zucca, A.; Sciortino, G.; Ortu, F.; Clarkson, G.J. Synthesis and characterization of new Pd(II) and Pt(II) complexes with 3-substituted 1-(2-pyridyl)imidazo[1,5-a]pyridine ligands. Dalton Trans. 2021, 50, 4859. [Google Scholar] [CrossRef]
- Zhou, T.; Gao, P.; Bisz, E.; Dziuk, B.; Lalancette, R.; Szostak, R.; Szostak, M. Well-defined, air- and moisture-stable palladium–imidazo[1,5-a]pyridin-3-ylidene complexes: A versatile catalyst platform for cross-coupling reactions by L-shaped NHC ligands. Catal. Sci. Technol. 2022, 12, 6581. [Google Scholar] [CrossRef] [PubMed]
- Kim, J.; Hahm, H.; Ryu, J.Y.; Byun, S.; Park, D.-A.; Lee, S.H.; Lim, H.; Lee, J.; Hong, S. Pyridine-Chelated Imidazo[1,5-a]Pyridine N-Heterocyclic Carbene Nickel(II) Complexes for Acrylate Synthesis from Ethylene and CO2. Catalysts 2020, 10, 758. [Google Scholar] [CrossRef]
- Burstein, C.; Lehmann, C.W.; Glorious, F. Imidazo[1,5-a]pyridine-3-ylidenes—Pyridine derived N-heterocyclic carbene ligands. Tetrahedron 2005, 61, 6207. [Google Scholar] [CrossRef]
- Roseblade, S.J.; Ros, A.; Monge, D.; Alcarazo, M.; Alvarez, E.; Lassaletta, J.M.; Fernandez, R. Imidazo[1,5-a]pyridin-3-ylidene/Thioether Mixed C/S Ligands and Complexes Thereof. Organometallics 2007, 26, 2570. [Google Scholar] [CrossRef]
- Cinco, A.; Ardizzoia, G.A.; Brenna, S.; Therrien, B.; Colombo, G. Boron-Centered Compounds: Exploring the Optical Properties of Spiro Derivatives with Imidazo[1,5-a]Pyridines. Molecules 2025, 30, 2552. [Google Scholar] [CrossRef]
- Colombo, G.; Cinco, A.; Brenna, S.; Furrer, J.; Therrien, B.; Ardizzoia, G.A. Luminescent blue emissive bis(alkynyl) borane compounds with a N,O-coordinated ligand. Dyes Pig. 2023, 220, 111722. [Google Scholar] [CrossRef]
- Colombo, G.; Ardizzoia, G.A.; Furrer, J.; Therrien, B.; Brenna, S. Driving the Emission Towards Blue by Controlling the HOMO-LUMO Energy Gap in BF2-Functionalized 2-(Imidazo[1,5-a]pyridin-3-yl)phenols. Chem. Eur. J. 2021, 27, 12380. [Google Scholar] [CrossRef]
- Colombo, G.; Romeo, A.; Ardizzoia, G.A.; Furrer, J.; Therrien, B.; Brenna, S. Boron difluoride functionalized (tetrahydroimidazo[1,5-a]pyridin-3-yl)phenols: Highly fluorescent blue emissive materials. Dyes Pigment. 2020, 182, 108636. [Google Scholar] [CrossRef]
- Mahajan, S.; Sawant, S.D. C–H Functionalization of Imidazo[1,5-a]pyridines: A Metal-Free Approach for Methylene Insertion to Access C(sp2)–C(sp3)–H–C(sp2) Bond Formation. ACS Omega 2024, 9, 49071. [Google Scholar] [CrossRef]
- Colombo, G.; Cinco, A.; Vola, C.; Therrien, B.; Ardizzoia, G.A.; Brenna, S. Blue-Emissive Fluorescent Zinc(II) Complexes with Bis(imidazo[1,5-a]pyridine)methane Ligands. Eur. J. Inorg. Chem. 2024, 27, e202400251. [Google Scholar] [CrossRef]
- Cavinato, L.M.; Volpi, G.; Fresta, E.; Garino, C.; Fin, A.; Barolo, C. Microwave-Assisted Synthesis, Optical and Theoretical Characterization of Novel 2-(imidazo[1,5-a]pyridine-1-yl)pyridinium Salts. Chemistry 2021, 3, 714. [Google Scholar] [CrossRef]
- Guckian, A.L.; Doering, M.; Ciesielski, M.; Walter, O.; Hjelm, J.; O’Boyle, N.M.; Henry, W.; Browne, W.R.; McGarvey, J.J.; Vos, J.G. Assessment of intercomponent interaction in phenylene bridged dinuclear ruthenium(ii) and osmium(ii) polypyridyl complexes. Dalton Trans. 2004, 3934. [Google Scholar] [CrossRef] [PubMed]
- Panda, S.; Baliyan, R.; Dhara, S.; Huang, K.-H.; Lahiri, G.K. Redox induced oxidative C–C coupling of non-innocent bis(heterocyclo)methanides. Dalton Trans. 2021, 50, 16647. [Google Scholar] [CrossRef]
- Sozzi, M.; Chierotti, M.R.; Gobetto, R.; Gomila, R.M.; Marzaroli, V.; Priola, E.; Volpi, G.; Zago, S.; Frontera, A.; Garino, C. One-Dimensional and Two-Dimensional Zn(II) Coordination Polymers with Ditopic Imidazo[1,5-a]pyridine: A Structural and Computational Study. Molecules 2024, 29, 653. [Google Scholar] [CrossRef]
- Kulmaczewski, R.; Halcrow, M.A. Iron(II) complexes of 2,6-bis(imidazo[1,2-a]pyridin-2-yl)pyridine and related ligands with annelated distal heterocyclic donors. Dalton Trans. 2023, 52, 14928. [Google Scholar] [CrossRef]
- Giuso, V.; Jouaiti, E.; Cebrián, C.; Parant-Aury, S.; Kyritsakas, N.; Gourlaouen, C.; Mauro, M. Symmetry-Broken Charge-Transfer Excited State in Homoleptic Zinc(II) Imidazo[1,2-a]pyridine Complexes. ChemPhotoChem 2023, 7, e202300092. [Google Scholar] [CrossRef]
- Divya, D.; Mala, R.; Nandhagopal, M.; Narayanasamy, M.; Thennarasu, S. Coordination of Distal Carboxylate Anion Alters Metal Ion Specific Binding in Imidazo[1,2-a]pyridine Congeners. J. Fluoresc. 2023, 33, 1397. [Google Scholar] [CrossRef]
- Dam, J.; Ismail, Z.; Kurebwa, T.; Gangat, N.; Harmse, L.; Marques, H.M.; Lemmerer, A.; Bode, M.L.; de Koning, C.B. Synthesis of copper and zinc 2-(pyridin-2-yl)imidazo[1,2-a]pyridine complexes and their potential anticancer activity. Eur. J. Med. Chem. 2017, 126, 353. [Google Scholar] [CrossRef]
- Yong, G.; Qiao, S.; Xie, Y.; Wang, Z. Cadmium(II) and Zinc(II) Coordination Polymers with 1D Ladder and 2D Basket Weave Layer Structures Constructed from a New T-Shaped Ligand. Eur. J. Inorg. Chem. 2006, 22, 4483. [Google Scholar] [CrossRef]
- Chang, Y.-C.; Lee, J.-Y.; Chiang, C.-F.; Chung, T.-Y.; Lee, H.M. Isomeric Imidazopyridine-Based NHC Ligands: Enhanced Catalytic Activity of an Electron-Donating Remote NHC in a PEPPSI-Type Palladium Complex. ACS Omega 2025, 10, 52076. [Google Scholar] [CrossRef]
- Song, G.; Zhang, Y.; Li, X. Rhodium and Iridium Complexes of Abnormal N-Heterocyclic Carbenes Derived from Imidazo[1,2-a]pyridine. Organometallics 2008, 27, 1936. [Google Scholar] [CrossRef]
- Modak, S.; Borah, S.; Prakasham, A.P.; Shaikh, M.M.; Butcher, R.J.; Gangwar, M.; Ghosh, P. A comparison between (a/n-NHC)PdX2(pyridine) and (a/n-NHC)2PdX2 (X = I, Cl) type complexes of abnormal fused-bicyclic imidazo[1,2-a]pyridine based N-heterocyclic carbene (a-NHC) and of normal imidazole based N-heterocyclic carbene (n-NHC) ligands in the Suzuki-Miyaura coupling reactions. Inorg. Chim. Acta 2019, 498, 119090. [Google Scholar]
- Vrban, L.; Martinac, I.A.; Hranjec, M.; Pocrnić, M.; Galić, N.; Kobetić, R.; Vianello, R. Proton and Metal Dication Affinities of Tetracyclic Imidazo[4,5-b]Pyridine-Based Molecules: Insights from Mass Spectrometry and DFT Analysis. Molecules 2025, 30, 2684. [Google Scholar] [CrossRef] [PubMed]
- Wu, Y.; Xin, Y.; Pan, Y.; Yiu, S.-M.; Yan, J.; Lau, K.C.; Duan, L.; Chi, Y. Ir(III) Metal Emitters with Cyano-Modified Imidazo[4,5-b]pyridin-2-ylidene Chelates for Deep-Blue Organic Light-Emitting Diodes. Adv. Sci. 2024, 11, 2309389. [Google Scholar] [CrossRef]
- Colombo, G.; Ardizzoia, G.A.; Brenna, S. Imidazo[1,5-a]pyridine-based derivatives as highly fluorescent dyes. Inorg. Chim. Acta 2022, 535, 120849. [Google Scholar] [CrossRef]
- Mohbiya, D.R.; Sekar, N. Tuning ‘Stokes Shift’ and ICT Character by Varying the Donor Group in Imidazo[1,5-a]pyridines: A Combined Optical, DFT, TD-DFT and NLO Approach. ChemistrySelect 2018, 3, 1635. [Google Scholar] [CrossRef]
- Debata, B.P.; Patel, S.; Vaidyanathan, S. Imidazo[1,5-a]pyridine–benzilimidazole conjugated (donor–π–acceptor) greenish-yellow fluorophores and their applications in white light-emitting diodes, acidochromism and anticounterfeiting. J. Mater. Chem. C 2025, 13, 10413. [Google Scholar] [CrossRef]
- Giordano, M.; Volpi, G.; Garino, C.; Cardano, F.; Barolo, C.; Viscardi, G.; Fin, A. New fluorescent derivatives from papaverine: Two mechanisms to increase the quantum yield. Dyes Pigment. 2023, 218, 111482. [Google Scholar] [CrossRef]
- Volpi, G.; Garino, C.; Fresta, E.; Casamassa, E.; Giordano, M.; Barolo, C.; Viscardi, G. Strategies to increase the quantum yield: Luminescent methoxylated imidazo[1,5-a]pyridines. Dyes Pigment. 2021, 192, 109455. [Google Scholar] [CrossRef]
- Volpi, G.; Galliano, S.; Buscaino, R.; Viscardi, G.; Barolo, C. Fluorescent trifluoromethylated imidazo[1,5-a]pyridines and their application in luminescent down-shifting conversion. J. Lumin. 2022, 242, 118529. [Google Scholar] [CrossRef]
- Marchesi, A.; Brenna, S.; Ardizzoia, G.A. Synthesis and emissive properties of a series of tetrahydro (imidazo[1,5-a]pyrid-3-yl)phenols: A new class of large Stokes shift organic dyes. Dyes Pigment. 2019, 161, 457. [Google Scholar] [CrossRef]
- Renno, G.; Cardano, F.; Volpi, G.; Barolo, C.; Viscardi, G.; Fin, A. Imidazo[1,5-a]pyridine-Based Fluorescent Probes: A Photophysical Investigation in Liposome Models. Molecules 2022, 27, 3856. [Google Scholar] [CrossRef] [PubMed]
- Yagishita, F.; Kozai, N.; Nii, C.; Tezuka, Y.; Uemura, N.; Yoshida, Y.; Mino, T.; Sakamoto, M.; Kawamura, Y. Synthesis of Dimeric Imidazo[1,5-a]pyridines and Their Photophysical Properties. ChemistrySelect 2017, 2, 10694. [Google Scholar] [CrossRef]
- Vasylets, O.; Kulhanek, N.; Kirchner, M.; Göttlich, R. Symmetrical Imidazo[1,5-a]pyridine Dimers as Novel Organic Light Emitters: Bidirectional Synthesis and Photoluminescence Characterization. Eur. J. Org. Chem. 2026, 29, e202500888. [Google Scholar] [CrossRef]
- Yagishita, F.; Hoshi, K.; Mukai, S.; Kinouchi, T.; Katayama, T.; Yoshida, Y.; Minagawa, K.; Furube, A.; Imada, Y. Effect of Phenolic Substituent Position in Boron Complexes of Imidazo[1,5-a]pyridine. Asian J. Org. Chem. 2022, 11, e202200040. [Google Scholar] [CrossRef]
- Hazarika, S.; Ilango, B.; Parthasarathy, V.; Velusamy, M.; Kathiravan, A. Tetraphenylethylene tethered 1-(pyridine-2-yl)imidazo[1,5-a]pyridine: Synthesis, aggregation induced emission, copper(II) ion detection and imaging of latent fingerprint. Dyes Pigment. 2024, 231, 112387. [Google Scholar] [CrossRef]
- Yagishita, F.; Kinouchi, T.; Hoshi, K.; Tezuka, Y.; Jibu, Y.; Karatsu, T.; Uemura, N.; Yoshida, Y.; Mino, T.; Sakamoto, M.; et al. Highly efficient blue emission from boron complexes of 1-(o-hydroxyphenyl)imidazo[1,5-a]pyridine. Tetrahedron 2018, 74, 3728. [Google Scholar] [CrossRef]
- Ardizzoia, G.A.; Brenna, S.; Durini, S.; Therrien, B. Synthesis and characterization of luminescent zinc(II) complexes with a N,N-bidentate 1-pyridylimidazo[1,5-a]pyridine ligand. Polyhedron 2015, 90, 214. [Google Scholar] [CrossRef]
- Ardizzoia, G.A.; Colombo, G.; Therrien, B.; Brenna, S. Tuning the Fluorescence Emission and HOMO-LUMO Band Gap in Homoleptic Zinc(II) Complexes with N,O-Bidentate (Imidazo[1,5-a]pyrid-3-yl)phenols. Eur. J. Inorg. Chem. 2019, 13, 1825. [Google Scholar] [CrossRef]
- Volpi, G.; Priola, E.; Garino, C.; Daolio, A.; Rabezzana, R.; Benzi, P.; Giordana, A.; Diana, E.; Gobetto, R. Blue fluorescent zinc(II) complexes based on tunable imidazo[1,5-a]pyridines. Inorg. Chim. Acta 2020, 509, 119662. [Google Scholar] [CrossRef]
- Volpi, G.; Giordana, A.; Priola, E.; Rabezzana, R.; Diana, E. Luminescent Imidazo[1,5-a]pyridine Cores and Corresponding Zn(II) Complexes: Structural and Optical Tunability. Inorganics 2025, 13, 283. [Google Scholar] [CrossRef]
- Herr, J.M.; Rössiger, C.; Locke, H.; Wilhelm, M.; Becker, J.; Heimbrodt, W.; Schlettwein, D.; Göttlich, R. Synthesis, optical and theoretical characterization of heteroleptic Iridium(III) Imidazo[1,5-a]pyridine and -quinoline complexes. Dyes Pigment. 2020, 180, 108512. [Google Scholar] [CrossRef]
- Yang, X.; Dou, C.; Wang, B.; Zhang, Q.; Li, Y. Iridium(III) complexes containing imidazo[1,5-a]pyridine-based ligands as photocatalysts for the [4 + 2] cycloaddition reactions of maleimides and N,N-dimethylanilines. J. Mol. Struct. 2025, 1325, 141015. [Google Scholar] [CrossRef]
- Stipurin, S.; Strassner, T. Phosphorescent Cyclometalated Platinum(II) Hexahydroimidazo[1,5-a]pyridinylidene Complexes. Eur. J. Inorg. Chem. 2022, 25, e202200295. [Google Scholar] [CrossRef]
- Asbai, Z.; Bonfiglio, A.; Mercandelli, P.; Polo, F.; Mauro, M. Cationic rhenium(I) complexes bearing a π-accepting pyridoannulated N-heterocyclic carbene ligand: Synthesis, photophysical, electrochemical and theoretical investigation. Polyhedron 2021, 197, 115025. [Google Scholar] [CrossRef]
- Salassa, L.; Garino, C.; Albertino, A.; Volpi, G.; Nervi, C.; Gobetto, R.; Hardcastle, K.I. Computational and Spectroscopic Studies of New Rhenium(I) Complexes Containing Pyridylimidazo[1,5-a]pyridine Ligands: Charge Transfer and Dual Emission by Fine-Tuning of Excited States. Organometallics 2008, 27, 1427. [Google Scholar] [CrossRef]
- Blanco-Rodríguez, A.M.; Kvapilová, H.; Sýkora, J.; Towrie, M.; Nervi, C.; Volpi, G.; Záliš, S.; Vlček, A., Jr. Photophysics of Singlet and Triplet Intraligand Excited States in [ReCl(CO)3(1-(2-pyridyl)-imidazo[1,5-a]pyridine)] Complexes. J. Am. Chem. Soc. 2014, 136, 5963. [Google Scholar] [CrossRef] [PubMed]
- Giuso, V.; Gourlaouen, C.; Delporte-Pébay, M.; Groizard, T.; Vanthuyne, N.; Crassous, J.; Daniel, C.; Mauro, M. Chiroptical activity of benzannulated N-heterocyclic carbene rhenium(I) tricarbonyl halide complexes: Towards efficient circularly polarized luminescence emitters. Phys. Chem. Chem. Phys. 2024, 26, 4855. [Google Scholar] [CrossRef]
- Uoyama, H.; Goushi, K.; Shizu, K.; Nomura, H.; Adachi, C. Highly efficient organic light-emitting diodes from delayed fluorescence. Nature 2012, 492, 234. [Google Scholar] [CrossRef] [PubMed]
- Douhal, A.; Amat-Guerri, F.; Acuña, A.U. Photoinduced Intramolecular Proton Transfer and Charge Redistribution in Imidazopyridines. J. Phys. Chem. 1995, 99, 76. [Google Scholar] [CrossRef]
- Jouaiti, E.; Giuso, V.; Cianfrani, D.; Kyritsakas, N.; Gourlaouen, C.; Mauro, M. Bright V-Shaped bis-Imidazo[1,2-a]pyridine Fluorophores with Near-UV to Deep-Blue Emission. Chem. Asian J. 2022, 17, e202200903. [Google Scholar] [CrossRef]
- Zucolotto Cocca, L.H.; Pelosi, A.G.; Valverde, J.V.P.; le Bescont, J.; Breton-Patient, C.; Piguel, S.; Mendonça, C.R.; De Boni, L. 3-arylthioimidazo[1,2-a]pyridine derivatives: A theoretical and experimental study of its photophysical properties. J. Photochem. Photobiol. A Chem. 2023, 440, 114675. [Google Scholar] [CrossRef]
- Velázquez-Olvera, S.; Salgado-Zamora, H.; Velázquez-Ponce, M.; Campos-Aldrete, E.; Reyes-Arellano, A.; Pérez-González, C. Fluorescent property of 3-hydroxymethyl imidazo[1,2-a]pyridine and pyrimidine derivatives. Chem. Cent. J. 2012, 6, 83. [Google Scholar] [CrossRef]
- Tomoda, H.; Hirano, T.; Saito, S.; Mutai, T.; Araki, K. Substituent Effects on Fluorescent Properties of Imidazo[1,2-a]pyridine-Based Compounds. Bull. Chem. Soc. Jpn. 1999, 72, 1327. [Google Scholar] [CrossRef]
- Zheng, Q.; Li, X.; Kurpiewska, K.; Dömling, A. Synthesis of Tunable Fluorescent Imidazole-Fused Heterocycle Dimers. Org. Lett. 2022, 24, 5014. [Google Scholar] [CrossRef] [PubMed]
- Abe, S.; Katayama, T.; Furube, A.; Tabata, A.; Yoshida, Y.; Ueta, S.; Arakawa, Y.; Minagawa, K.; Imada, Y.; Yagishita, F. Synthesis of naphthalene-fused imidazo[1,2-a]pyridinium salts showing green luminescence with high quantum yields and large Stokes shift. Org. Biomol. Chem. 2025, 23, 4355. [Google Scholar] [CrossRef] [PubMed]
- Zhu, Y.; Sun, X.; Yuan, Y.; Zhao, X.; Zhai, Z.; Song, B.; Zhang, W.; Zhu, X.; Hao, X.-Q. Imidazo[1,2-a]pyridine-based polarity and viscosity-dependent fluorescent probes and application in selective detection of 2,6-dichloro-4-nitroaniline. Dyes Pigment. 2024, 231, 112425. [Google Scholar] [CrossRef]
- Valverde, J.V.P.; Pelosi, A.G.; Zucolotto Cocca, L.H.; Marbello, O.D.; le Bescont, J.; Breton-Patient, C.; Piguel, S.; Silva, D.L.; De Boni, L.; Mendonça, C.R. Two-photon absorption in imidazo[1,2-a]pyridine derivatives: Study of nonlinear optical response and dipolar properties. J. Mol. Liq. 2023, 373, 121250. [Google Scholar] [CrossRef]
- Mala, R.; Divya, D.; Vijayan, P.; Narayanasamy, M.; Thennarasu, S. Two Imidazo[1,2-a]pyridine Congeners Show Aggregation-Induced Emission (AIE): Exploring AIE Potential for Sensor and Imaging Applications. ChemistrySelect 2022, 7, e202103408. [Google Scholar] [CrossRef]
- Tong, L.; Yang, Y.; Zhang, L.; Tao, J.; Sun, B.; Song, C.; Qi, M.; Yang, F.; Zhao, M.; Jiang, J. Design, Synthesis of Hydrogen Peroxide Response AIE Fluorescence Probes Based on Imidazo[1,2-a] Pyridine. Molecules 2024, 29, 882. [Google Scholar] [CrossRef]
- Xiao, S.; Liu, Z.; Zhao, J.; Pei, M.; Zhang, G.; He, W. A novel fluorescent sensor based on imidazo[1,2-a]pyridine for Zn2+. RSC Adv. 2016, 6, 27119. [Google Scholar] [CrossRef]
- Mala, R.; Suman, K.; Nandhagopak, M.; Narayanasamy, M.; Thennarasu, S. Chelation of specific metal ions imparts coplanarity and fluorescence in two imidazo[1,2-a]pyridine derivatives: Potential chemosensors for detection of metal ions in aqueous and biosamples. Biomol. Spectr. 2019, 222, 117236. [Google Scholar] [CrossRef]
- Sun, J.; Xi, M.; Su, Z.-S.; He, H.-X.; Tian, M.; Li, H.-Y.; Zhang, H.-K.; Mao, T.; Zhang, Y.-X. Highly Efficient Greenish-Yellow Phosphorescent Organic Light-Emitting Diodes Based on a Novel 2,3-Diphenylimidazo[1,2-a]Pyridine Iridium(III) Complex. Chin. Phys. Lett. 2016, 33, 038501. [Google Scholar] [CrossRef]
- Yao, C.; Xue, Z.; Lian, M.; Xu, X.; Zhao, J.; Zhou, G.; Wu, Y.; Yu, D.; Wong, W.-Y. Phosphorescent iridium(III) complexes based on 2-phenylimidazo[1,2-a]pyridine-type ligands: Synthesis, photophysical, electrochemical, and electrophosphorescent properties. J. Organomet. Chem. 2015, 784, 31. [Google Scholar] [CrossRef]
- Takizawa, S.; Nishida, J.; Tsuzuki, T.; Tokito, S.; Yamashita, Y. Phosphorescent Iridium Complexes Based on 2-Phenylimidazo[1,2-a]pyridine Ligands: Tuning of Emission Color toward the Blue Region and Application to Polymer Light-Emitting Devices. Inorg. Chem. 2007, 46, 4308. [Google Scholar] [CrossRef]
- Zargariyan, M.; Roohi, H. Fine-tuning the photophysical properties of Imidazo[1,2-a]pyridine-based dyes by the change in substituent and solvent media: DFT and TD-DFT studies. Mol. Phys. 2025, 123, e2376212. [Google Scholar] [CrossRef]
- Bhosle, A.A.; Banerjee, M.; Thakuri, A.; Vishwakarma, O.D.; Chatterjee, A. An ESIPT-active orange-emissive 2-(2′-hydroxyphenyl)imidazo[1,2-a]pyridine-derived chemodosimeter for turn-on detection of fluoride ions via desilylation. RSC Adv. 2024, 14, 33312. [Google Scholar] [CrossRef] [PubMed]
- Mutai, T.; Ohkawa, T.; Shono, H.; Araki, K. The development of aryl-substituted 2-phenylimidazo[1,2-a]pyridines (PIP) with various colors of excited-state intramolecular proton transfer (ESIPT) luminescence in the solid state. J. Mater. Chem. C 2016, 4, 3599. [Google Scholar] [CrossRef]
- Mutai, T.; Sawatani, H.; Shinda, T.; Shono, H.; Araki, K. Tuning of excited-state intramolecular proton transfer (ESIPT) fluorescence of imidazo[1,2-a]pyridine in rigid matrices by substitution effect. J. Org. Chem. 2013, 78, 2482. [Google Scholar] [CrossRef]
- Shigemitsu, Y.; Mutai, T.; Houjou, H.; Araki, K. Excited-State Intramolecular Proton Transfer (ESIPT) Emission of Hydroxyphenylimidazopyridine: Computational Study on Enhanced and Polymorph-Dependent Luminescence in the Solid State. J. Phys. Chem. A 2012, 116, 12041. [Google Scholar] [CrossRef]
- Paras; Vivek; Sharma, S.; Ramachandran, C.N. Effect of Electron-Donating Substituents and an Electric Field on the ΔEST of Selected Imidazopyridine Derivatives: A DFT Study. J. Phys. Chem. A 2024, 128, 8428. [Google Scholar] [CrossRef]
- Lai, D.; Hajra, A.; Sinha, S. Synthesis, Characterization, and Photophysical Investigation of a Dyad Comprising 8-Methyl-2-phenylimidazo[1,2-a]pyridine and N-methyl Maleimide for Photoinduced Electron Transfer. ChemistrySelect 2025, 10, e01958. [Google Scholar] [CrossRef]
- Boček, I.; Hranjec, M.; Vianello, R. Imidazo[4,5-b]pyridine derived iminocoumarins as potential pH probes: Synthesis, spectroscopic and computational studies of their protonation equilibria. J. Mol. Liq. 2022, 355, 118982. [Google Scholar] [CrossRef]
- Hranjec, M.; Perin, N.; Boček Pavlinac, I.; Vianello, R. When position matters—Diverse optical properties of two tetracyclic imidazo[4,5-b]pyridine regioisomers differing in one nitrogen atom position. J. Mol. Struct. 2026, 1350, 144109. [Google Scholar] [CrossRef]
- Yang, X.; Zhou, X.; Zhang, Y.-X.; Li, D.; Li, C.; You, C.; Chou, T.-C.; Su, S.-J.; Chou, P.-T.; Chi, Y. Blue Phosphorescence and Hyperluminescence Generated from Imidazo[4,5-b]pyridin-2-ylidene-Based Iridium(III) Phosphors. Adv. Sci. 2022, 9, 2201150. [Google Scholar] [CrossRef] [PubMed]
- Pinter, P.; Pittkowski, R.; Soellner, J.; Strassner, T. The Chameleonic Nature of Platinum(II) Imidazopyridine Complexes. Chem. Eur. J. 2017, 23, 14173. [Google Scholar] [CrossRef] [PubMed]
- Behera, S.K.; Karak, A.; Krishnamoorthy, G. Photophysics of 2-(4′-Amino-2′-hydroxyphenyl-1H-imidazo[4,5-c]pyridine and Its Analogues: Intramolecular Proton Transfer versus Intramolecular Charge Transfer. J. Phys. Chem. B 2015, 119, 2330. [Google Scholar] [CrossRef]
- Brenlla, A.; Veiga, M.; Pérez Lustres, J.L.; Ríos Rodríguez, M.C.; Rodríguez-Prieto, F.; Mosquera, M. Photoinduced Proton and Charge Transfer in 2-(2′-Hydroxyphenyl)imidazo[4,5-b]pyridine. J. Phys. Chem. B 2013, 117, 884. [Google Scholar] [CrossRef] [PubMed]
- Colombo, G.; Cinco, A.; Ardizzoia, G.A.; Brenna, S. Long-Alkyl Chain Functionalized Imidazo[1,5-a]pyridine Derivatives as Blue Emissive Dyes. Colorants 2023, 2, 179. [Google Scholar] [CrossRef]
- Albrecht, G.; Rössiger, C.; Herr, J.M.; Locke, H.; Yanagi, H.; Göttlich, R.; Schlettwein, D. Optimization of the Substitution Pattern of 1,3-Disubstituted Imidazo[1,5-a]Pyridines and -Quinolines for Electro-Optical Applications. Phys. Status Solidi B 2019, 257, 1900677. [Google Scholar] [CrossRef]
- Girase, J.D.; Kajjam, A.B.; Dubey, D.K.; Kesavan, K.K.; Jou, J.-H.; Vaidyanathan, S. Unipolar 1-phenylimidazo[1,5-a]pyridine: A new class of ultra-bright sky-blue emitters for solution-processed organic light emitting diodes. New J. Chem. 2022, 46, 16717. [Google Scholar] [CrossRef]
- Fresta, E.; Volpi, G.; Garino, C.; Barol, C.; Costa, R.D. Contextualizing yellow light-emitting electrochemical cells based on a blue-emitting imidazo-pyridine emitter. Polyhedron 2018, 140, 129. [Google Scholar] [CrossRef]
- Weber, M.D.; Garino, C.; Volpi, G.; Casamassa, E.; Milanesio, M.; Barolo, C.; Costa, R.D. Origin of a counterintuitive yellow light-emitting electrochemical cell based on a blue-emitting heteroleptic copper(I) complex. Dalton Trans. 2016, 45, 8984. [Google Scholar] [CrossRef] [PubMed]
- Irfan, A.; Chaudhry, A.R.; Al-Sehemi, A.G.; Assiri, M.A.; Hussain, A. Charge carrier and optoelectronic properties of phenylimidazo[1,5-a]pyridine-containing small molecules at molecular and solid-state bulk scales. Comput. Mater. Sci. 2019, 170, 109179. [Google Scholar] [CrossRef]
- Nagarajan, N.; Velmurugan, G.; Prakas, A.; Shakti, N.; Katiyar, M.; Venuvanalingam, P.; Renganathan, R. Highly emissive luminogens based on imidazo[1,2-a]pyridine for electroluminescent applications. Chem. Asian J. 2014, 9, 294. [Google Scholar] [CrossRef]
- Zheng, X.-H.; Zhao, J.-W.; Chen, X.; Cai, R.; Yang, G.-X.; Zhu, J.-J.; Tang, S.-S.; Lin, Z.-H.; Tao, S.-L.; Tong, Q.-X. Imidazo[1,2-a]pyridine as an Electron Acceptor to Construct High-Performance Deep-Blue Organic Light-Emitting Diodes with Negligible Efficiency Roll-Off. Chemistry 2020, 26, 8588. [Google Scholar] [CrossRef]
- Yahwantrao, G.; Poojary, M.; Verma, A.; Thakkar, C.; Tripathi, A.; Badani, P.; Bose, S.; Saha, S. Rationally designed imidazo[1,2-a]pyridine based AIEgens for non-doped OLEDs with high efficiency and low-efficiency roll-offs. J. Mater. Chem. C 2025, 13, 23120. [Google Scholar] [CrossRef]
- Liao, Y.; Wang, C.; Dai, L.; Shao, G.; Chen, X.; Wu, D.; Xia, J. ortho-π-Extension of perylene diimides via one-pot annulation of imidazo[1,2-a]pyridine or imidazo[1,2-a]pyrazine for n-type organic field-effect transistors. J. Mater. Chem. C 2025, 13, 6888. [Google Scholar] [CrossRef]
- Lee, J.; Chen, H.-F.; Batagoda, T.; Coburn, C.; Djurovich, P.I.; Thompson, M.E.; Forrest, S.R. Deep blue phosphorescent organic light-emitting diodes with very high brightness and efficiency. Nat. Mater. 2016, 15, 92. [Google Scholar] [CrossRef]
- Wu, C.; Wu, Y.; Tong, K.-N.; Kuhn, M.; Yiu, S.-M.; Kung, Y.-C.; Hung, W.-Y.; Yan, J.; Zhou, X.; Wei, G.; et al. Blue-emitting iridium(III) phosphors with functional imidazo[4,5-b]pyridin-2-ylidene cyclometalates: Designs aimed at greater steric hindrance. J. Mater. Chem. C 2025, 13, 12663. [Google Scholar] [CrossRef]
- Yan, J.; Feng, Z.-Q.; Wu, Y.; Zhou, D.-Y.; Yiu, S.-M.; Chan, C.-Y.; Pan, Y.; Lau, K.C.; Liao, L.-S.; Chi, Y. Blue Electrophosphorescence from Iridium(III) Phosphors Bearing Asymmetric Di-N-aryl 6-(trifluoromethyl)-2H-imidazo[4,5-b]pyridin-2-ylidene Chelates. Adv. Mater. 2023, 36, 2305273. [Google Scholar] [CrossRef]
- Liu, T.-Z.; Yuan, Y.-C.; Zhao, B.-X. An imidazo[1,5-a]pyridines-based ratiometric fluorescent probe for sensing sulfur dioxide derivatives in real samples based on a FRET mechanism. Spectrochim. Acta Part A Mol. Biomol. Spectrosc. 2022, 282, 121694. [Google Scholar] [CrossRef]
- Ge, Y.; Xing, X.; Liu, A.; Ji, R.; Shen, S.; Cao, X. A novel imidazo[1,5-a]pyridine-rhodamine FRET system as an efficient ratiometric fluorescent probe for Hg2+ in living cells. Dyes Pigment. 2017, 146, 136. [Google Scholar] [CrossRef]
- Yuan, Q.; Chen, L.-L.; Zhu, X.-H.; Yuan, Z.-H.; Duan, Y.-T.; Yang, Y.-S.; Wang, B.-Z.; Wang, X.-M.; Zhu, H.-L. An imidazo[1,5-a]pyridine-derivated fluorescence sensor for rapid and selective detection of sulfite. Talanta 2020, 217, 121087. [Google Scholar] [CrossRef]
- Hwang, S.M.; Yun, D.; Kim, C. An Imidazo[1,5-α]Pyridine-Based Fluorometric Chemodosimeter for the Highly Selective Detection of Hypochlorite in Aqueous Media. J. Fluoresc. 2019, 29, 451. [Google Scholar] [CrossRef] [PubMed]
- Chen, S.; Li, H.; Hou, P. A large stokes shift fluorescent probe for sensing of thiophenols based on imidazo[1,5-a]pyridine in both aqueous medium and living cells. Anal. Chim. Acta 2017, 993, 63. [Google Scholar] [CrossRef]
- Strianese, M.; Brenna, S.; Ardizzoia, G.A.; Guarnieri, D.; Lamberti, M.; D’Auria, I.; Pellecchia, C. Imidazo-pyridine-based zinc(II) complexes as fluorescent hydrogen sulfide probes. Dalton Trans. 2021, 50, 17075. [Google Scholar] [CrossRef]
- Han, X.-H.; Zhao, P.; Tank, M.-K.; Yang, L.; Wang, Q.; Zhang, S.-S. An imidazo[1,2-a]pyridine-functionalized xanthene fluorescent probe for naked-eye detection of Hg2+ and its application in cell imaging and test strips. Sens. Diagn. 2024, 3, 1062. [Google Scholar] [CrossRef]
- Li, D.; Wang, Q.; Rao, N.; Zhang, Y.; Le, Y.; Liu, L.; Li, L.; Huang, L.; Yan, L. Development of Imidazo[1,2-a]pyridine-based probe for detection of hydrazine and its applications in imaging of HepG2 cell. J. Mol. Struct. 2021, 1239, 130521. [Google Scholar] [CrossRef]
- Dhamapurkar, Y.A.; Chaudhran, P.A.; Chandrakar, L.; Bahiram, Y.M.; Sharma, A. Imidazo[1,2-a]pyridine Based D-π-A Fluorescent Sensor for Detection of Diethylcyanophosphonate. ChemistrySelect 2024, 9, e202303240. [Google Scholar] [CrossRef]
- Zhu, Y.; Liao, K.; Li, Y.; Zhang, W.; Song, B.; Hao, X.-Q.; Zhu, X. Dual-state emissive imidazo[1,2-a]pyridines with full color emission, acidochromism, viscosity-dependent fluorescence, and bioimaging applications. Dyes Pigment. 2024, 224, 112004. [Google Scholar] [CrossRef]
- Zhang, B.; Suo, Q.; Li, Q.; Hu, J.; Zhu, Y.; Gao, Y.; Wang, Y. Multiresponsive chemosensors based on ferrocenylimidazo[4,5-b]pyridines: Solvent-dependent selective dual sensing of Hg2+ and Pb2+. Tetrahedron 2022, 120, 132878. [Google Scholar] [CrossRef]
- Kitagawa, T.; Hanai, N.; Kawano, T.; Tono, A.; Tabata, H.; Kobayashi, T.; Hirai, K.; Okazaki, T. Metal-ion sensor composed of self-assembled monolayer of amine ligand formed by the use of molecular tripod. J. Phys. Org. Chem. 2023, 36, e4493. [Google Scholar] [CrossRef]
- Zhang, B.; Suo, Q.; Li, Q.; Zhu, Y.; Gao, X.; Lv, L.; Gao, Y.; Jia, H.; Wang, Y. New Sulfur-Containing Ferrocenylimidazo[4,5-b]pyridines: Multiresponsive Hg2+ Ion Sensing and Structure-Sensing Correlation. ChemistrySelect 2022, 7, e202103565. [Google Scholar] [CrossRef]
- Xie, Z.-B.; Yue, T.-C.; Dong, Q.-W.; Ma, Q.-C.; Cao, Q.-W.; Wang, L.-L.; Wang, D.-Z. Selective detection of Fe3+ and Congo red adsorption properties studies of Ln-complexes based on imidazopyridine carboxylic acid ligand. Polyhedron 2024, 249, 116777. [Google Scholar] [CrossRef]
- Volpi, G.; Lace, B.; Garino, C.; Priola, E.; Artuso, E.; Cerreia Vioglio, P.; Barolo, C.; Fin, A.; Genre, A.; Prandi, C. New substituted imidazo[1,5-a]pyridine and imidazo[5,1-a]isoquinoline derivatives and their application in fluorescence cell imaging. Dyes Pigment. 2018, 157, 298. [Google Scholar] [CrossRef]
- Chen, S.; Li, H.; Hou, P. A novel imidazo[1,5-a]pyridine-based fluorescent probe with a large Stokes shift for imaging hydrogen sulfide. Sens. Actuators B Chem. 2018, 256, 1086. [Google Scholar] [CrossRef]
- Xia, H.; Wang, X.; Huang, W.; Jiang, X.; Han, X.; Wang, C. A fluorescent probe with a vanillin–pyridine–imidazole core structure for carboxylesterase detection in macrophage polarization during bone homeostasis. Front. Chem. 2025, 13, 1666238. [Google Scholar] [CrossRef] [PubMed]
- Cui, R.; Liu, C.; Zhang, P.; Qin, K.; Ge, Y. An Imidazo[1,5-a]pyridine Benzopyrylium-Based NIR Fluorescent Probe with Ultra-Large Stokes Shifts for Monitoring SO2. Molecules 2023, 28, 515. [Google Scholar] [CrossRef]
- Yagishita, F.; Katayama, T.; Kawamura, Y.; Watanabe, G.; Abe, S.; Ogawa, I.; Tabata, A.; Yoshida, Y.; Masu, H.; Ueta, S.; et al. Blue Luminescent Boron Complexes Based on N,N-Type Imidazo[1,5-a]pyridine Ligand for Mitochondrial Imaging. Asian J. Org. Chem. 2024, 13, e202400189. [Google Scholar] [CrossRef]
- Reviglio, C.; Volpi, G.; Wyart, E.; Ciubini, B.; Prandi, C.; Barolo, C.; Porporato, P.E.; Garino, C. Imidazopyridines as fluorogenic substrates for esterase detection. J. Photochem. Photobiol. A Chem. 2025, 462, 116256. [Google Scholar] [CrossRef]
- Song, G.-J.; Bai, S.-Y.; Dai, X.; Cao, X.-Q.; Zhao, B.-X. A ratiometric lysosomal pH probe based on the imidazo[1,5-a]pyridine–rhodamine FRET and ICT system. RSC Adv. 2016, 6, 41317. [Google Scholar] [CrossRef]
- Zhu, M.; Wang, L.; Wu, X.; Na, R.; Wang, Y.; Li, Q.X.; Hammock, B.D. A novel and simple imidazo[1,2-a]pyridin fluorescent probe for the sensitive and selective imaging of cysteine in living cells and zebrafish. Anal. Chim. Acta 2019, 1058, 155. [Google Scholar] [CrossRef] [PubMed]
- Srivastava, S.; Thakur, N.; Singh, A.; Shukla, P.; Maikhuri, V.K.; Garg, N.; Prasad, A.; Pandey, R. Development of a fused imidazo[1,2-a]pyridine based fluorescent probe for Fe3+ and Hg2+ in aqueous media and HeLa cells. RSC Adv. 2019, 9, 29856. [Google Scholar] [CrossRef]
- Thakur, A.; Sharma, A. Imidazo[1,2-a]pyridine based small organic fluorescent molecules for selective detection of nerve agents simulants. Spectrochim. Acta Part A Mol. Biomol. Spectrosc. 2022, 282, 121633. [Google Scholar] [CrossRef]
- Banerji, B.; Chatterjee, S.; Chandrasekar, K.; Bera, S.; Majumder, L.; Prodha, C.; Chaudhuri, K. Expedient synthesis of a phenanthro-imidazo-pyridine fused heteropolynuclear framework via CDC coupling: A new class of luminophores. Org. Biomol. Chem. 2017, 15, 4130. [Google Scholar] [CrossRef][Green Version]
- Yang, X.; Wang, B.; Li, Y. Iridium(III) and Rhodium(III) Complexes with Imidazo[1,5-a]pyridine-Based Cyclometalating Ligands: Synthesis, Photophysical and Electrochemical Properties, and Catalytic Activities Toward the [4 + 2] Cycloaddition Reactions of Tertiary Anilines and Maleimides. Appl. Organomet. Chem. 2024, 39, e7934. [Google Scholar]
- Yaghishita, F.; Nagamori, T.; Shimokawa, S.; Hoshi, K.; Yoshida, Y.; Imada, Y.; Kawamura, Y. Visible-light-induced oxidative coupling reaction of benzylic amines using iridium(III) complex of pincer type imidazo[1,5-a]pyridine ligand. Tetrahedron Lett. 2020, 61, 151782. [Google Scholar] [CrossRef]
- Jacoby, S.A.; Harris, N.W.; Wiemann, A.; Glenn, C.D.; Kantzler, A.R.; Dinh, L.P.; Yet, L. Suzuki-Miyaura and Buchwald-Hartwig Cross-Coupling Reactions Utilizing a Set of Complementary Imidazopyridine Monophosphine Ligands. ChemistrySelect 2024, 9, e202305085. [Google Scholar] [CrossRef]
- Yagishita, F.; Shimokawa, S.; Uemura, N.; Yoshida, Y.; Mino, T.; Sakamoto, M.; Kawamura, Y. Palladium-Catalyzed Mizoroki–Heck Reaction of Aryl Iodides with Allyl Aryl Ethers Using Imidazo[1,5-a]pyridines. ChemistrySelect 2017, 2, 10143. [Google Scholar] [CrossRef]
- Yagishita, F.; Nomura, K.; Shiono, S.; Nii, C.; Mino, T.; Sakamoto, M.; Kawamura, Y. Palladium–catalyzed Mizoroki–Heck Reaction Using Imidazo[1,5-a]pyridines. ChemistrySelect 2016, 1, 4560. [Google Scholar] [CrossRef]
- Ardizzoia, G.A.; Ghiotti, D.; Therrien, B.; Brenna, S. Homoleptic complexes of divalent metals bearing N,O-bidentate imidazo[1,5-a]pyridine ligands: Synthesis, X-ray characterization and catalytic activity in the Heck reaction. Inorg. Chim. Acta 2018, 471, 384. [Google Scholar] [CrossRef]
- Rayasingh, A.R.; Manivannan, V. Palladium(II) and platinum(II) complexes of disubstituted imidazo[1,5-a]pyridine and imidazolylpyridine: Coordination chemistry, versatile catalysis, and biophysical study. Dalton Trans. 2025, 54, 7741. [Google Scholar] [CrossRef]
- Shibahara, F.; Shibata, Y.; Murai, T. Imidazo[1,5-a]pyridinylidenes as π-Accepting NHC Ligands in Catalysis. Chem. Lett. 2021, 50, 1892. [Google Scholar] [CrossRef]
- Roy, S.; Javed, S.; Olmstead, M.M.; Patra, A.K. First structural example of a metal uncoordinated mesoionic imidazo[1,5-a]pyridine and its precursor intermediate copper complex: An insight to the catalytic cycle. Dalton Trans. 2011, 40, 12866. [Google Scholar] [CrossRef] [PubMed]
- Jia, B.; Liu, Z.; Gao, Z.; Zhou, S.; Wu, M.; Zhang, Q.; Zhang, X.; Chen, S.; Yang, X.; Li, Y. Cu(II) and Cu(I) complexes based on derivatives of imidazo[1,5-a]pyridine: Synthesis, structures, in situ metal-ligand reactions, and catalytic activity. Chin. J. Inorg. Chem. 2025, 41, 1020. [Google Scholar]
- Zhang, Q.; Cui, Y.-F.; Zhang, X.-M.; Li, Y.-H.; Yao, J.-L. Manganese(II) and Copper(I) Compounds Based on Two Derivatives of Imidazo[1,5-a]pyridine: Synthesis, Structures, Magnetic Properties, and Catalytic Activity. Chin. J. Struct. Chem. 2022, 41, 2203148. [Google Scholar]
- D’Alterio, M.C.; D’Auria, I.; Gaeta, L.; Tedesco, C.; Brenna, S.; Pellecchia, C. Are Well Performing Catalysts for the Ring Opening Polymerization of L-Lactide under Mild Laboratory Conditions Suitable for the Industrial Process? The Case of New Highly Active Zn(II) Catalysts. Macromolecules 2022, 55, 5115. [Google Scholar] [CrossRef]
- Gentile, M.; Gaeta, L.; Brenna, S.; Pellecchia, C. Efficient chemical recycling of poly(L-lactic acid) via either alcoholysis to alkyl lactate or thermal depolymerization to L-lactide promoted by Zn(II) catalysts. Polym. Test. 2025, 143, 108727. [Google Scholar] [CrossRef]
- Kang, C.; Kim, S.; Han, W.; Tyu, H.; Seong, W.; Kim, J.; Park, D.-E.; Park, S.; Park, K.; Park, H.M.; et al. In situ generated diphenylphosphine-chelated imidazo[1,5-a]pyridin-3-ylidene nickel(0) catalysts for highly efficient acrylate synthesis from ethylene and CO2. J. CO2 Util. 2025, 91, 103004. [Google Scholar] [CrossRef]
- Engen, K.; Lundbäck, T.; Yadav, A.; Puthiyaparambath, S.; Rosenström, U.; Gising, J.; Jenmalm-Jensen, A.; Hallberg, M.; Larhed, M. Inhibition of Insulin-Regulated Aminopeptidase by Imidazo[1,5-a]pyridines-Synthesis and Evaluation. Int. J. Mol. Sci. 2024, 25, 2516. [Google Scholar] [CrossRef] [PubMed]
- Truong, D.T.; Ho, K.; Nhi, H.T.Y.; Nguyen, V.H.; Dang, T.T.; Nguyen, M.T. Imidazole[1,5-a]pyridine derivatives as EGFR tyrosine kinase inhibitors unraveled by umbrella sampling and steered molecular dynamics simulations. Sci. Rep. 2024, 14, 12218. [Google Scholar] [CrossRef] [PubMed]
- Marner, M.; Kulhanek, N.; Eichberg, J.; Hardes, K.; Dal Molin, M.; Rybniker, J.; Kirchner, M.; Schäberle, T.F.; Göttlich, R. Design, synthesis and antimycobacterial activity of imidazo[1,5-a]quinolines and their zinc-complexes. RSC Med. Chem. 2024, 15, 1746. [Google Scholar] [CrossRef]
- Kamal, A.; Subba Rao, A.V.; Lakshma Nayak, V.; Subba Reddy, N.V.; Swapna, K.; Ramakrishna, G.; Alvala, M. Synthesis and biological evaluation of imidazo[1,5-a]pyridine-benzimidazole hybrids as inhibitors of both tubulin polymerization and PI3K/Akt pathway. Org. Biomol. Chem. 2014, 12, 9864. [Google Scholar] [CrossRef]
- Gopathi, R.; Pradeep Kumar, M.; Jagadeeesh Kumar, G.; Syamprasad, N.P.; Geetanjali Kodiripala, B.; Naidu, V.G.M.; Nagendra Babu, B. Exploration of the cytotoxic and microtubule disruption potential of novel imidazo[1,5-a]pyridine-based chalcones. RSC Med. Chem. 2025, 16, 1188. [Google Scholar] [CrossRef]
- Alapati, K.B.; Sravani, D.; Gouthamsri, S.; Sailaja, B.B.V.; Sarith, B.; Nalla, S. Design, synthesis and biological various aryl derivatives of (pyridin-4-yl) imidazo[1,5-a]pyridin-1-yl)oxazoles as anticancer agents. Chem. Data Collect. 2024, 54, 101162. [Google Scholar] [CrossRef]
- Roy, M.; Chakravarthi, B.V.S.K.; Jayabaskaran, C.; Karande, A.A.; Chakravarty, A.R. Impact of metal binding on the antitumor activity and cellular imaging of a metal chelator cationic imidazopyridine derivative. Dalton Trans. 2011, 40, 4855–4864. [Google Scholar] [CrossRef] [PubMed]
- Scattolin, T.; Andreetta, G.; Mauceri, M.; Rizzolio, F.; Demitri, N.; Canzonieri, V.; Visentin, F. Imidazo[1,5-a]pyridine-3-ylidenes and dipyridoimidazolinylidenes as ancillary ligands in Palladium allyl complexes with potent in vitro anticancer activity. J. Organomet. Chem. 2021, 952, 122014. [Google Scholar] [CrossRef]
- Ghanta, S.; Chandrasekhar, C.; Sravani, D.; Bhuvan Tej, M.; Syed, T.; Kumar Kapavarapu, R.; Ramesh Raju, R. Design and Synthesis of Various Aryl Amide Derivatives of Imidazo[1,5-a] Pyridine-1,2,4-Thiadiazoles: In Vitro Cytotoxicity Evaluation and In Silico Molecular Docking Studies. Chem. Biodiver. 2024, 22, e202401380. [Google Scholar] [CrossRef]
- Hoshi, K.; Itaya, M.; Tahara, K.; Matsumoto, A.; Tabata, A.; Nagamune, H.; Yoshida, Y.; Hase, E.; Minamikawa, T.; Yasui, T.; et al. Two-photon excitable boron complex based on tridentate imidazo[1,5-a]pyridine ligand for heavy-atom-free mitochondria-targeted photodynamic therapy. RSC Adv. 2021, 11, 26403. [Google Scholar] [CrossRef]
- Prostota, Y.; Kachkovsky, O.D.; Reis, L.V.; Santos, P.F. New unsymmetrical squaraine dyes derived from imidazo[1,5-a]pyridine. Dyes Pigment. 2013, 96, 554. [Google Scholar] [CrossRef]
- Yagishita, F.; Tanigawa, J.; Nii, C.; Tabata, A.; Nagamune, H.; Takanari, H.; Imada, Y.; Kawamura, Y. Fluorescent Imidazo[1,5-a]pyridinium Salt for a Potential Cancer Therapy Agent. ACS Med. Chem. Lett. 2019, 10, 1110. [Google Scholar] [CrossRef]
- Correia, J.H.; Rodrigues, J.A.; Pimenta, S.; Dong, T.; Yang, Z. Photodynamic Therapy Review: Principles, Photosensitizers, Applications, and Future Directions. Pharmaceutics 2021, 13, 1332. [Google Scholar] [CrossRef] [PubMed]
- Zhao, X.; Liu, J.; Fan, J.; Chao, H.; Peng, X. Recent progress in photosensitizers for overcoming the challenges of photodynamic therapy: From molecular design to application. Chem. Soc. Rev. 2021, 50, 4185. [Google Scholar] [CrossRef]
- Liu, R.; Marshall, K.; Ma, R.; Thi Pham, K.L.; Shetye, G.; Liu, Z.; Cho, S.; Jeong, H.; Franzblau, S.G.; Moraski, G.C.; et al. Syntheses and studies of deuterated Imdiazo[1,2-a] pyridine-3-carboxamides with potent anti-tuberculosis activity and improved metabolic properties. Bioorg. Chem. 2022, 128, 106074. [Google Scholar] [CrossRef] [PubMed]
- Kang, S.; Kim, R.Y.; Seo, M.J.; Lee, S.; Kim, Y.M.; Seo, M.; Seo, J.J.; Ko, Y.; Choi, I.; Jang, J.; et al. Lead Optimization of a Novel Series of Imidazo[1,2-a]pyridine Amides Leading to a Clinical Candidate (Q203) as a Multi- and Extensively-Drug-Resistant Anti-tuberculosis Agent. J. Med. Chem. 2014, 57, 5293. [Google Scholar] [CrossRef]
- Abdelaziz, R.; Di Trani, J.M.; Sahile, H.; Mann, L.; Richter, A.; Liu, Z.; Bueler, S.A.; Cowen, L.E.; Rubinstein, J.L.; Imming, P. Imidazopyridine Amides: Synthesis, Mycobacterium smegmatis CIII2CIV2 Supercomplex Binding, and In Vitro Antimycobacterial Activity. ACS Omega 2023, 8, 19081. [Google Scholar] [CrossRef]
- Dos Santos, D.C.; Rafique, J.; Saba, S.; Grinevicius, V.M.A.S.; Filho, D.W.; Zamoner, A.; Braga, A.L.; Pedrosa, R.C.; Ourique, F. IP-Se-06, a Selenylated Imidazo[1,2-a]pyridine, Modulates Intracellular Redox State and Causes Akt/mTOR/HIF-1 α and MAPK Signaling Inhibition, Promoting Antiproliferative Effect and Apoptosis in Glioblastoma Cells. Oxid. Med. Cell. Longev. 2022, 1, 3710449. [Google Scholar] [CrossRef]
- Li, M.; Wang, D.; Li, Q.; Luo, F.; Zhong, T.; Wu, H.; Xiong, L.; Yuan, M.; Su, M.; Fan, Y. Design, Synthesis and Biological Evaluation of 6-(Imidazo[1,2-a]pyridin-6-yl)quinazoline Derivatives as Anticancer Agents via PI3Kα Inhibition. Int. J. Mol. Sci. 2023, 24, 6851. [Google Scholar] [CrossRef]
- Armendariz-Barrientos, K.; Pérez, L.A.; Lagunas-Rivera, S.; Alcaraz-Contreras, Y.; García-Revilla, M.A.; Prado-Garcia, H.; García-Becerra, R.; Vazquez, M. Novel N-quaternary coumarin-3-yl-imidazo[1,2-a]pyridines as fluorescent hybrids: Their synthesis and biological evaluation in cancer cells. Results Chem. 2025, 13, 101959. [Google Scholar] [CrossRef]
- Kanthecha, D.A.; Bhatt, B.S.; Patel, M.N. Synthesis, characterization and biological activities of imidazo[1,2-a]pyridine based gold(III) metal complexes. Helyon 2019, 5, e01968. [Google Scholar] [CrossRef]
- Roby, O.; Kadiri, F.Z.; Loukhmi, Z.; Moutaouakil, M.; Tighadouini, S.; Saddik, R.; Aboulmouhajir, A. Synthesis of new set of imidazo[1,2-a]pyridine-schiff bases derivatives as potential antimicrobial agents: Experimental and theoretical approaches. J. Mol. Struct. 2023, 1292, 136186. [Google Scholar] [CrossRef]
- Kolomiiets, O.; Tsygankov, A.V.; Kornet, M.N.; Brazhko, A.A.; Musatov, V.I.; Chebanov, V.A. Synthesis of imidazo[1,2-a]pyridine-containing peptidomimetics by tandem of Groebke-Blackburn-Bienaymé and Ugi reaction. Beilstein J. Org. Chem. 2023, 26, 727. [Google Scholar] [CrossRef]
- Abdel-Shafi, A.A.; Fathi, A.M.; Ismail, M.A.; Boykin, D.W. Antiprotozoal agents as water soluble singlet oxygen photosensitizers: Imidazo[1,2-a]pyridine and 5,6,7,8-tetrahydro-imidazo[1,2-a]pyridine derivatives. J. Luminesc. 2017, 181, 164. [Google Scholar] [CrossRef]
- Agarwal, D.S.; Beteck, R.M.; Ilbeigi, K.; Caljon, G.; Legoabe, L.J. Design and synthesis of imidazo[1,2-a]pyridine-chalcone conjugates as antikinetoplastid agents. Chem. Biol. Drug Des. 2023, 103, e14400. [Google Scholar] [CrossRef] [PubMed]
- Hussain, R.; Rehman, W.; Khan, S.; Maalik, A.; Hefnawy, M.; Alanazi, A.S.; Khan, Y.; Rasheed, L. Imidazopyridine-Based Thiazole Derivatives as Potential Antidiabetic Agents: Synthesis, In Vitro Bioactivity, and In Silico Molecular Modeling Approach. Pharmaceuticals 2023, 16, 1288. [Google Scholar] [CrossRef]
- Onoue, S.; Igarashi, N.; Yamauchi, Y.; Kojima, T.; Murase, N.; Zhou, Y.; Yamada, S.; Tsuda, Y. In vitro phototoxic potential and photochemical properties of imidazopyridine derivative: A novel 5-HT4 partial agonist. J. Pharm. Sci. 2008, 97, 4307. [Google Scholar] [CrossRef]
- Zucolotto Cocca, L.H.; Valverde, J.V.P.; le Bescont, J.; Breton-Patient, C.; Piguel, S.; Silva, D.L.; Mendonca, C.R.; De Boni, L. Photophysical properties of 3-arylthioimidazo[1,2-a]pyridine derivatives: The role of peripheral electron-donating and electron-withdrawing groups in the advance of organic materials engineering. J. Mol. Struct. 2024, 1300, 137221. [Google Scholar] [CrossRef]
- Hase, E.; Takanari, H.; Hoshi, K.; Okamoto, M.; Tabata, A.; Nagamune, H.; Minamikawa, T.; Yasui, T.; Yoshida, Y.; Minagawa, K.; et al. Two- and three-photon excitable quaternized imidazo[1,2-a]pyridines as mitochondrial imaging and potent cancer therapy agents. Org. Biomol. Chem. 2020, 18, 7571. [Google Scholar] [CrossRef]
- Devi, N.; Singh, D.; Rawal, R.K.; Bariwal, J.; Singh, V. Medicinal Attributes of Imidazo[1,2-a]pyridine Derivatives: An Update. Curr. Top. Med. Chem. 2016, 16, 2963. [Google Scholar] [CrossRef]
- Goel, R.; Luxami, V.; Paul, K. Imidazo[1,2-a]pyridines: Promising Drug Candidate for Antitumor Therapy. Curr. Top. Med. Chem. 2016, 16, 3590. [Google Scholar] [CrossRef] [PubMed]
- Deep, A.; Bhatia, R.K.; Kaur, R.; Kumar, S.; Jain, U.K.; Singh, H.; Batra, S.; Kaushik, D.; Deb, P.K. Imidazo[1,2-a]pyridine Scaffold as Prospective Therapeutic Agents. Curr. Top. Med. Chem. 2017, 17, 238. [Google Scholar] [CrossRef]
- Narayan, A.; Patel, S.; Baile, S.B.; Jain, S.; Sharma, S. Imidazo[1,2-a]Pyridine: Potent Biological Activity, SAR and Docking Investigations (2017–2022). Infect. Disord. Drug Targets 2024, 24, e200324228067. [Google Scholar] [CrossRef] [PubMed]
- Reddyrajula, R.; Dalimba, U.K. Structural modification of zolpidem led to potent antimicrobial activity in imidazo[1,2-a]pyridine/pyrimidine-1,2,3-triazoles. New J. Chem. 2019, 43, 16281. [Google Scholar] [CrossRef]
- Tahiroğlu, V.; Gören, K.; Bağlan, M. In Silico drug evaluation by molecular docking, ADME studies and DFT calculations of 2-(6-chloro-2-(4-chlorophenyl)imidazo[1,2-a]pyridin-3-yl)-N,N-dipropylacetamide. BMC Pharmacol. Toxicol. 2025, 26, 116. [Google Scholar] [CrossRef]
- Samanta, S.; Kumar, S.; Aratikatla, E.K.; Ghorpade, S.R.; Singh, V. Recent developments of imidazo[1,2-a]pyridine analogues as antituberculosis agents. RSC Med. Chem. 2023, 14, 644. [Google Scholar] [CrossRef]
- Boček Pavlinac, I.; Zlatić, K.; Persoons, L.; Daelemans, D.; Banjanac, M.; Radonanović, V.; Butković, K.; Kralk, M.; Hranjec, M. Biological Activity of Amidino-Substituted Imidazo[4,5-b]pyridines. Molecules 2022, 28, 34. [Google Scholar] [CrossRef]
- Lončar, B.; Perin, N.; Mioč, M.; Boček, I.; Grgić, L.; Kralij, M.; Tomić, S.; Radić Stojković, M.; Hranjec, M. Novel amino substituted tetracyclic imidazo[4,5-b]pyridine derivatives: Design, synthesis, antiproliferative activity and DNA/RNA binding study. Eur. J. Med. Chem. 2021, 217, 113342. [Google Scholar] [CrossRef]
- Bourichi, S.; Misbahi, H.; Rodi, Y.K.; Chahdi, F.O.; Essassi, E.M.; Szabó, S.; Szalontai, B.; Gajdács, M.; Molnár, J.; Spengler, G. In Vitro Evaluation of the Multidrug Resistance Reversing Activity of Novel Imidazo[4,5-b]pyridine Derivatives. Anticancer Res. 2018, 38, 3999. [Google Scholar] [CrossRef]
- Altaib, M.; Doganc, F.; Kaşkatepe, B.; Göker, H. Synthesis of some new 2-(substituted-phenyl)imidazo[4,5-c] and[4,5-b]pyridine derivatives and their antimicrobial activities. Mol. Diver. 2024, 28, 2817. [Google Scholar] [CrossRef]
- Bavetsias, V.; Sun, C.; Bouloc, N.; Reynisson, J.; Workman, O.; Linardopoulos, S.; McDonald, E. Hit generation and exploration: Imidazo[4,5-b]pyridine derivatives as inhibitors of Aurora kinases. Bioorg. Med. Chem. Lett. 2007, 17, 6567. [Google Scholar] [CrossRef]
- Bavetsias, V.; Large, J.M.; Sun, C.; Bouloc, N.; Kosmopoulou, V.; Matteucci, M.; Wilsher, N.E.; Martins, V.; Reynisson, J.; Atrash, B.; et al. Imidazo[4,5-b]pyridine derivatives as inhibitors of Aurora kinases: Lead optimization studies toward the identification of an orally bioavailable preclinical development candidate. J. Med. Chem. 2010, 53, 5213. [Google Scholar] [CrossRef]
- Hranjec, M.; Lučić, B.; Ratkaj, I.; Kraljević Pavelić, S.; Piantanida, I.; Pavelić, K.; Karminski-Zamola, G. Novel imidazo[4,5-b]pyridine and triaza-benzo[c]fluorene derivatives: Synthesis, antiproliferative activity and DNA binding studies. Eur. J. Med. Chem. 2011, 46, 2748. [Google Scholar] [CrossRef] [PubMed]
- Boček Pavlinac, I.; Šljubura, C.; Zlatić, K.; Kralj, M.; Fabijanić, I.; Banjanac, M.; Radić Stojković, M.; Hranjec, M. Synthesis, Biological Evaluation, and Interaction with Calf Thymus-DNA of Mono- and Diamidino-Substituted Imidazo[4,5-b]pyridines. ChemMedChem 2025, 20, e202500640. [Google Scholar]
- Mullagiri, K.; Nayak, V.L.; Sunkari, S.; Sai Mani, G.; Devi Guggilapu, S.; Nagaraju, B.; Alariffi, A.; Kamal, A. New (3-(1H-benzo[d]imidazol-2-yl))/(3-(3H-imidazo[4,5-b]pyridin-2-yl))-(1H-indol-5-yl)(3,4,5-trimethoxyphenyl)methanone conjugates as tubulin polymerization inhibitors. MedChemComm 2018, 9, 275. [Google Scholar] [CrossRef]
- Boček, I.; Hok, L.; Persoons, L.; Daelemans, D.; Vianello, R.; Hranjec, M. Imidazo[4,5-b]pyridine derived tubulin polymerization inhibitors: Design, synthesis, biological activity in vitro and computational analysis. Bioorg. Chem. 2022, 127, 106032. [Google Scholar] [CrossRef]
- Elyoussfi, A.; Azghay, I.; Dadou, S.; Daoudi, W.; Ahari, M.H.; Amhamdi, H.; Benchat, N.; El Aatiaoui, A.; Salhi, A.; Dafali, A. The effect of functional groups on the inhibitory efficacy of newly synthesized Imidazopyridines compounds against the corrosion of mild steel in acidic environments: Electrochemical, thermodynamic, surface and computational investigations (Part B). J. Mol. Struct. 2023, 1291, 136025. [Google Scholar] [CrossRef]
- Ech-chihbi, E.; Nahlé, A.; Salim, R.; Oudda, H.; El Hajjaji, F.; El Kalai, F.; El Aatiaoiu, A.; Taleb, M. An Investigation into Quantum Chemistry and Experimental Evaluation of Imidazopyridine Derivatives as Corrosion Inhibitors for C-Steel in Acidic Media. J. Bio Tribo-Corros. 2019, 5, 24. [Google Scholar] [CrossRef]
- Salim, R.; Nahlé, A.; El Hajjaji, F.; Ech-chihbi, E.; Benhiba, F.; El Kalai, F.; Benchat, N.; Oudda, H.; Guenbour, A.; Taleb, M.; et al. Experimental, Density Functional Theory, and Dynamic Molecular Studies of Imidazopyridine Derivatives as Corrosion Inhibitors for Mild Steel in Hydrochloric Acid. Surf. Eng. Appl. Electrochem. 2021, 57, 233. [Google Scholar] [CrossRef]
- Idlahoussaine, N.; El Ibrahimi, B.; Ait Addi, A.; Daoudi, W.; Idouhli, R.; Lasri, M.; Yilmaz, M.; El Ouardi, M.; El Aatiaoui, A.; Abouelfida, A. Investigating the effectiveness of an imidazopyridine-based compound as an anti-corrosive additive for mild steel in molar hydrochloric acid solutions: A mutual multi-facet experimental and computational approach. Phys. Chem. Chem. Phys. 2025, 27, 11144. [Google Scholar] [CrossRef]
- Yadav, M.; Behera, D.; Kumar, S. Experimental and theoretical investigation on adsorption and corrosion inhibition properties of imidazopyridine derivatives on mild steel in hydrochloric acid solution. Surf. Interface Anal. 2014, 46, 640. [Google Scholar] [CrossRef]
- Martinho, L.A.; de Lima, D.M.; Praciano, V.H.J.G.; Oliveira, S.C.C.; Andrade, C.K.Z. Phytotoxicity Study of (Amino)imidazo[1,2-a]pyridine Derivatives Toward the Control of Bidens pilosa, Urochloa decumbens, and Panicum maximum Weeds. J. Agric. Food Chem. 2025, 73, 298. [Google Scholar] [CrossRef] [PubMed]
- Ishida, Y.; Ota, K.; Ito, S.; Nakahama, T.; Miki, H.; Yoshikawa, H. Synthesis of novel herbicidal sulfonylureas containing an imidazo[1,2-a]pyridine moiety. J. Pestic. Sci. 1993, 18, 175. [Google Scholar] [CrossRef]
- Liu, Z.; Song, R.; Zhang, D.; Wu, R.; Liu, T.; Wu, Z.; Zhang, J.; Hu, D. Synthesis, insecticidal activity, and mode of action of novel imidazopyridine mesoionic derivatives containing an amido group. Pest Manag. Sci. 2022, 78, 4983. [Google Scholar] [CrossRef]
- Liu, Z.; Song, R.; Zhang, D.; Wu, R.; Liu, T.; Wu, Z.; Song, B. New Synthetic Method and Insecticidal Activities of Novel Imidazopyridine Mesoionic Derivatives Containing an Ester Group. J. Agric. Food Chem. 2022, 70, 1019. [Google Scholar] [CrossRef]
- N’guessan, J.-P.D.U.; Coulibaly, S.; Kouaho, A.T.; Angora, K.E.; Drissa, S.; Ouattara, M. Anti-fungal Activities of imidazo[1,2-a]pyridine-based Chalcone Hybrids Against Aspergillus fumigatus. J. Chem. Res. 2025, 10, 210. [Google Scholar]
- Nandhagopal, M.; Mala, R.; Somarathinam, K.; Dhakshinamurthy, D.; Narayanasamy, M.; Vijayan, P.; Shankar, M.M. Anti-fungal effects of novel N-(tert-butyl)-2-(pyridin-2-yl)imidazo[1,2-a]pyridin-3-amine derivative and it’s in-vitro, in-silico, and mode of action against Candida spp. Arch. Microbiol. 2024, 206, 186. [Google Scholar] [CrossRef] [PubMed]
- Lu, Y.; Wu, K.; Yan, Y.; Xu, Z. Design, synthesis, nematicidal and fungicidal activities of imidazo[1,2-a] pyridine derivatives containing amino acids. Results Chem. 2025, 18, 102780. [Google Scholar] [CrossRef]
- Lu, Y.; Guo, Q.; Zhao, W.; Zhao, W.; Xu, Z. Design, synthesis, and nematicidal and fungicidal activity of 8-chloro-6-(trifluoromethyl) imidazo[1,2-a]pyridine thiadiazole/triazole derivatives. Chin. J. Pestic. Sci. 2025, 27, 842. [Google Scholar]
- Yao, Y.; Li, X.; Zhou, L.; Liu, J.; Zhong, W.; Liu, M. Design, Synthesis, and Insecticidal Activities of Imidazo[4,5-b]Pyridine Compounds Containing Amino Fragment. Chem. Biodivers. 2025, 22, e00514. [Google Scholar] [CrossRef]
- Plutecka, A.; Hoffmann, M.; Rychlewska, U.; Kucybała, Z.; Pączkowski, J.; Pyszka, I. Relationship between structure and photoinitiating abilities of selected bromide salts of 2-oxo-2,3-dihydro-1H-imidazo[1,2-a]pyridine (IMP): Influence of the solvent and the substitution in benzaldehyde on the course of its reaction with IMP. Acta Crystallogr. B Struct. Sci. 2006, B62, 135. [Google Scholar] [CrossRef] [PubMed]
- Pyszka, I.; Kucybała, Z.; Pączkowski, J. Development of new dyeing photoinitiators based on benzylideneimidazopyridine dyes. J. Polym. Sci. Part A Polym. Chem. 2003, 41, 3048. [Google Scholar] [CrossRef]
- Chen, H.; Zhang, Y.; Bonfiglio, A.; Morlet-Savary, F.; Mauro, M.; Lalevée, J. Rhenium(I) N-Heterocyclic Carbene Complexes in Photoinitiating Systems for Polymerization upon Visible Light: Development of Photosensitive Resins for 3D and 4D Applications. ACS Appl. Polym. Mater. 2021, 3, 464. [Google Scholar] [CrossRef]
- Chen, T.; Ye, F.; Hu, R.; Tang, B.Z. Multicomponent Polymerizations of Isocyanides, Aldehydes, and 2-Aminopyridine toward Imidazo[1,2-a]pyridine-Containing Fused Heterocyclic Polymers. Macromolecules 2022, 55, 8590. [Google Scholar] [CrossRef]
- Cui, Y.; Ge, Y.; Li, Y.; Tao, J.; Yao, J.; Dong, Y. Single-ion magnet behavior of two pentacoordinate CoII complexes with a pincer ligand 2,6-bis(imidazo[1,5-a]pyridin-3-yl)pyridine. Struct. Chem. 2020, 31, 547. [Google Scholar] [CrossRef]
- Kitaoka, S.; Kitagawa, Y.; Nozoe, R.; Nobuoka, K. Syntheses and properties of imidazopyridine-based ionic liquids. J. Ion. Liq. 2024, 4, 100100. [Google Scholar] [CrossRef]
- Rajabi, S.; Rüttger, F.; Lücken, J.; Dechert, S.; John, M.; Meyer, F. Ruthenium Complexes of Rigid, Dianionic, Tetradentate N-Donor Ligands and their Potential as Catalysts for Water Oxidation. Eur. J. Inorg. Chem. 2022, 26, e202200597. [Google Scholar] [CrossRef]
- Yang, H.; Liu, H.; Zhang, J.; Zhang, T.; Zhu, X.; Liu, Z.; Zhu, L.; Cao, C.C.; Xu, G.; Zhu, M. Enhancing lithium-ion desolvation with robust polyhydroquinone-diimidazopyridine nanofibers for high-rate Li–S batteries. EES Batter. 2025, 1, 1301. [Google Scholar] [CrossRef]
































| Isomer | 1,5-a | 1,2-a | 4,5-b | 4,5-c |
|---|---|---|---|---|
| Synthesis | Acid-catalyzed condensations, oxidative annulations, and decarboxylative pathways. | GBB multicomponent reaction; condensation with α-halo ketones. | Condensation of diaminopyridines with carboxylic acids; reductive pathway. | Condensation of diaminopyridines; solid-state or metal-assisted synthesis. |
| Coordination | Bidentate N,N-chelator; NHC precursors; 1D/2D coordination polymers. | Symmetric Zn(II) complexes; NHC ligands; intercalating Au(III) complexes. | Carbene (NHC) precursors for metal complexes. | NHC precursors; lanthanide coordination polymers. |
| Photophysical behavior | Tunable ICT fluorescence; Aggregation-Induced Emission (AIE). | ESIPT activity (with phenolic donors); blue-shifted fluorescence. | High-performance blue/deep-blue phosphorescence (Ir/Pt complexes). | ESIPT activity; dual fluorescence and solvent-dependent tautomeric emission. |
| Optoelectronics | Down-conversion layers for LEDs; sky-blue LEC and OLED emitters. | High-efficiency deep-blue OLEDs; n-type semiconductors for OFETs. | Ultra-efficient PhOLEDs (EQE up to 34.7%). | - |
| Sensing | FRET/ratiometric probes for Hg2+ and H2S; dosimeters for sulfites and hypochlorite. | AIE sensors for Cd2+, Hg2+, and Al3+; ESIPT-based fluoride sensors; cyanide detection. | pH-sensitive iminocoumarins; ferrocene-based probes for Hg2+ and Pb2+. | Ln-complexes for Fe3+ sensing and dye adsorption. |
| Bioimaging | Bright probes for plant cells, lipid vesicles, and mitochondria; enzymatic imaging. | Imaging of Hg2+, cysteine, and Fe3+ in living cells (HeLa/HepG2) and zebrafish. | Visualization of Hg2+ ions in living cells via confocal microscopy. | Sparsely explored for cellular bioimaging. |
| Catalysis | Photoredox (Ir/Rh); Suzuki/Heck (Pd); polymerization and depolymerization of L-lactide (Zn). | NHC-Pd catalysts for cross-coupling (Heck, Suzuki, and Buchwald-Hartwig). | - | - |
| Medicine | Enzyme inhibitors (IRAP, EGFR); anti-TB activity; photosensitizers for PDT. | Marketed drugs (Zolpidem); anti-TB (Q203); antiparassitic agents. | Aurora kinase inhibitors; antiviral activity; DNA intercalators. | Antibacterial and antifungal screenings; enzyme inhibitors. |
| Other | Single-ion magnets (Co); photoinitiators for 3D/4D printing. | Corrosion inhibitors; pesticides (herbicides, insecticides, fungicides); ionic liquids. | Water oxidation (Ru); separators for Li-S batteries; insecticides. | - |
Disclaimer/Publisher’s Note: The statements, opinions and data contained in all publications are solely those of the individual author(s) and contributor(s) and not of MDPI and/or the editor(s). MDPI and/or the editor(s) disclaim responsibility for any injury to people or property resulting from any ideas, methods, instructions or products referred to in the content. |
© 2026 by the authors. Licensee MDPI, Basel, Switzerland. This article is an open access article distributed under the terms and conditions of the Creative Commons Attribution (CC BY) license.
Share and Cite
Cinco, A.; Vola, C.; Ardizzoia, G.A.; Brenna, S.; Colombo, G. Nitrogen Position Matters: Synthetic Strategies, Functional Behavior and Dual Roles in Medicine and Materials in the Imidazopyridine Family. Appl. Sci. 2026, 16, 1937. https://doi.org/10.3390/app16041937
Cinco A, Vola C, Ardizzoia GA, Brenna S, Colombo G. Nitrogen Position Matters: Synthetic Strategies, Functional Behavior and Dual Roles in Medicine and Materials in the Imidazopyridine Family. Applied Sciences. 2026; 16(4):1937. https://doi.org/10.3390/app16041937
Chicago/Turabian StyleCinco, Anita, Chiara Vola, G. Attilio Ardizzoia, Stefano Brenna, and Gioele Colombo. 2026. "Nitrogen Position Matters: Synthetic Strategies, Functional Behavior and Dual Roles in Medicine and Materials in the Imidazopyridine Family" Applied Sciences 16, no. 4: 1937. https://doi.org/10.3390/app16041937
APA StyleCinco, A., Vola, C., Ardizzoia, G. A., Brenna, S., & Colombo, G. (2026). Nitrogen Position Matters: Synthetic Strategies, Functional Behavior and Dual Roles in Medicine and Materials in the Imidazopyridine Family. Applied Sciences, 16(4), 1937. https://doi.org/10.3390/app16041937

