Interannual Variation in Key Quality Constituents in Shiqian Taicha Manufactured as Green and Black Tea (2021–2023)
Abstract
1. Introduction
2. Materials and Methods
3. Results
3.1. Moisture Content, Water-Soluble Extract, Gallic Acid and Total Ash
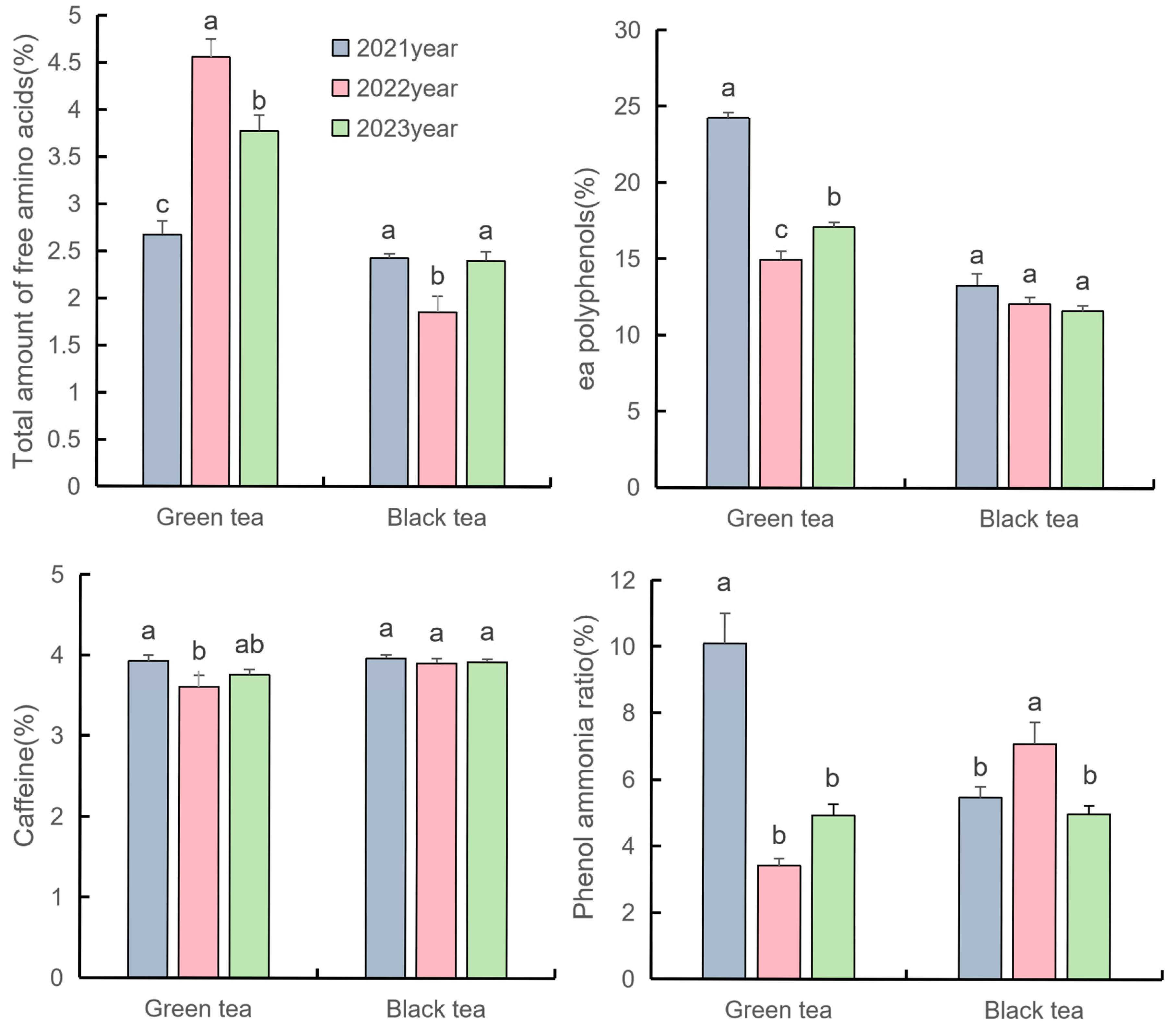
3.2. Free Amino Acids, Tea Polyphenols, Caffeine and Phenol-to-Amino Ratio
3.3. Total Catechins and Catechin Composition
3.4. Comprehensive Quality Evaluation
4. Discussion
4.1. Interannual Variation in Basic Quality Traits and Storage Stability
4.2. Balancing Polyphenols and Amino Acids: Implications for Flavor
4.3. Catechin Profile, Gallic Acid Formation and Processing Conditions
4.4. Performance of Membership Function Evaluation and Comparison with Other Teas
4.5. Practical Implications, Limitations and Future Research
5. Conclusions
Author Contributions
Funding
Institutional Review Board Statement
Informed Consent Statement
Data Availability Statement
Conflicts of Interest
References
- Graham, H.N. Green tea composition, consumption, and polyphenol chemistry. Prev. Med. 1992, 21, 334–350. [Google Scholar] [CrossRef]
- Harbowy, M.E.; Balentine, D.A. Tea chemistry. Crit. Rev. Plant Sci. 1997, 16, 415–480. [Google Scholar] [CrossRef]
- Cabrera, C.; Artacho, R.; Giménez, R. Beneficial effects of green tea—A review. J. Am. Coll. Nutr. 2006, 25, 79–99. [Google Scholar] [CrossRef]
- Hilal, Y.; Engelhardt, U.H. Characterisation of white tea—Comparison to green and black tea. J. Consum. Prot. Food Saf. 2007, 2, 414–421. [Google Scholar] [CrossRef]
- Zhang, L.; Ho, C.-T.; Zhou, J.; Santos, J.S.; Armstrong, L.; Granato, D. Chemistry and biological activities of processed Camellia sinensis teas: A comprehensive review. Trends Food Sci. Technol. 2020, 101, 139–149. [Google Scholar] [CrossRef]
- Farag, M.A.; El-Ahmady, S.H.; Abou-Sir, M.; El-Seedi, H.R.; Wessjohann, L.A.; Dai, H.; Zou, X. Metabolomics in tea products; a compile of applications for enhancing agricultural traits and quality control analysis of Camellia sinensis. Food Chem. 2023, 404, 134628. [Google Scholar] [CrossRef]
- Wen, M.; Zhu, M.; Han, Z.; Ho, C.-T.; Granato, D.; Zhang, L. Comprehensive applications of metabolomics on tea science and technology: Opportunities, hurdles, and perspectives. Compr. Rev. Food Sci. Food Saf. 2023, 22, 4890–4924. [Google Scholar] [CrossRef] [PubMed]
- Scharbert, S.; Hofmann, T. Molecular definition of black tea taste by means of quantitative studies, taste reconstitution, and omission experiments. J. Agric. Food Chem. 2005, 53, 5377–5384. [Google Scholar] [CrossRef] [PubMed]
- Xu, Y.-Q.; Zhang, Y.-N.; Chen, J.-X.; Wang, F.; Du, Q.-Z.; Yin, J.-F. Quantitative analyses of the bitterness and astringency of catechins from green tea. Food Chem. 2018, 258, 16–24. [Google Scholar] [CrossRef]
- Narukawa, M.; Morita, K.; Hayashi, Y. L-Theanine elicits umami taste with inosine 5′-monophosphate. Biosci. Biotechnol. Biochem. 2008, 72, 3015–3017. [Google Scholar] [CrossRef] [PubMed]
- Kaneko, S.; Kumazawa, K.; Masuda, H.; Henze, A.; Hofmann, T. Molecular and sensory studies on the umami taste of Japanese green tea. J. Agric. Food Chem. 2006, 54, 2688–2694. [Google Scholar] [CrossRef]
- Lee, J.; Chambers, D.H. A lexicon for flavor descriptive analysis of green tea. J. Sens. Stud. 2007, 22, 256–272. [Google Scholar] [CrossRef]
- Jiang, H.; Yu, F.; Qin, L.; Zhang, N.; Cao, Q.; Schwab, W.; Li, D.; Song, C. Dynamic change in amino acids, catechins, alkaloids, and gallic acid in six types of tea processed from the same batch of fresh tea (Camellia sinensis L.) leaves. J. Food Compos. Anal. 2019, 77, 28–38. [Google Scholar] [CrossRef]
- Obanda, M.; Owuor, P.O.; Mang’oka, R. Changes in the chemical and sensory quality parameters of black tea due to variations of fermentation time and temperature. Food Chem. 2001, 75, 395–404. [Google Scholar] [CrossRef]
- Owuor, P.O.; Obanda, M. The effect of withering conditions on black tea quality. Food Chem. 2001, 72, 319–327. [Google Scholar] [CrossRef]
- Mahanta, P.K.; Baruah, H.K. Theaflavin pigment formation and polyphenol oxidase activity as criteria of fermentation in orthodox and CTC teas. J. Agric. Food Chem. 1992, 40, 860–863. [Google Scholar] [CrossRef]
- Feng, Z.; Zheng, P.; Zhang, L.; Li, Y.; Gao, H.; Zhang, L.; Ho, C.-T.; Wan, X. Tea aroma formation from six model manufacturing processes. Food Chem. 2019, 285, 347–354. [Google Scholar] [CrossRef]
- Guo, Z.; Barimah, A.O.; Yin, X.; Chen, Q.; Shi, J.; El-Seedi, H.R.; Zou, X. Intelligent evaluation of taste constituents and polyphenols-to-amino acids ratio in matcha tea powder using near infrared spectroscopy. Food Chem. 2021, 353, 129372. [Google Scholar] [CrossRef]
- Savitzky, A.; Golay, M.J.E. Smoothing and differentiation of data by simplified least squares procedures. Anal. Chem. 1964, 36, 1627–1639. [Google Scholar] [CrossRef]
- Stilo, F.; Bicchi, C.; Cordero, C.; Rubiolo, P.; Sgorbini, B.; Liberto, E. Seasonal and interannual variation of non-volatile and volatile components in tea (Camellia sinensis) leaves: A review. Molecules 2020, 25, 2447. [Google Scholar] [CrossRef]
- Wang, Y.; Ho, C.-T.; Huang, Q.; Jiang, Y.; Zhang, Y. Effects of temperature and light on quality-related metabolites of tea (Camellia sinensis) leaves: A review. Food Res. Int. 2022, 161, 111882. [Google Scholar] [CrossRef]
- Ahmed, S.; Griffin, T.S.; Kraner, D.; Schaffner, M.K.; Sharma, D.; Hazel, M.; Leitch, A.R.; Orians, C.M.; Han, W.; Stepp, J.R.; et al. Environmental factors variably impact tea secondary metabolites in the context of climate change. PLoS ONE 2014, 9, e109126. [Google Scholar] [CrossRef]
- Paiva, L.; Nunes, C.; Marques, G.; Oliveira, C.; Madureira, A.R.; Pintado, M. Influence of seasonal and yearly variation on phenolic profiles, caffeine, and antioxidant activities of green tea (Camellia sinensis (L.) Kuntze) from Azores. Appl. Sci. 2021, 11, 7439. [Google Scholar] [CrossRef]
- Wei, K.; Wang, L.-Y.; Zhou, J.; He, W.; Zeng, J.-M.; Jiang, Y.-W.; Cheng, H. Catechin contents in tea (Camellia sinensis) as affected by cultivar and environment and their relation to chlorophyll contents. Food Chem. 2011, 125, 44–48. [Google Scholar] [CrossRef]
- Ku, K.-M.; Choi, J.-N.; Kim, J.; Kim, J.K.; Yoo, L.G.; Lee, S.J.; Hong, Y.-S.; Lee, C.H. Metabolomics analysis reveals the compositional differences of shade grown tea (Camellia sinensis L.). J. Agric. Food Chem. 2010, 58, 418–426. [Google Scholar] [CrossRef]
- Lee, J.-E.; Lee, B.-J.; Chung, J.-O.; Hwang, J.-A.; Lee, S.-J.; Lee, C.-H.; Hong, Y.-S. Geographical and climatic dependencies of green tea (Camellia sinensis) metabolites: A 1H NMR-based metabolomics study. J. Agric. Food Chem. 2010, 58, 10582–10589. [Google Scholar] [CrossRef]
- Lee, J.-E.; Lee, B.-J.; Chung, J.-O.; Shin, H.-J.; Lee, S.-J.; Lee, C.-H.; Hong, Y.-S. 1H NMR-based metabolomic characterization during green tea (Camellia sinensis) fermentation. Food Res. Int. 2011, 44, 597–604. [Google Scholar] [CrossRef]
- Lee, J.-E.; Lee, B.-J.; Chung, J.-O.; Hwang, J.-A.; Lee, S.-J.; Lee, C.-H.; Hong, Y.-S. Metabolomic unveiling of a diverse range of green tea (Camellia sinensis) metabolites dependent on geography. Food Chem. 2015, 174, 452–459. [Google Scholar] [CrossRef]
- Lin, K.; Wang, A.; Li, Y.; Li, L.; Wei, J.; Zhou, F.; Zhao, D.; Yan, D. Exploring genetic variation and trait correlations in ‘Shiqian Taicha’ tea based on comprehensive analyses of morphological and biochemical diversity. Horticulturae 2024, 10, 1128. [Google Scholar] [CrossRef]
- Schulz, H.; Engelhardt, U.H.; Wegent, A.; Drews, H.H.; Lapczynski, S. Application of near-infrared reflectance spectroscopy to the determination of the quality parameters of tea. J. Agric. Food Chem. 1999, 47, 5064–5067. [Google Scholar] [CrossRef]
- Wang, J.; Zareef, M.; He, P.; Sun, H.; Chen, Q.; Li, H.; Ouyang, Q.; Guo, Z.; Zhang, Z.; Xu, D. Evaluation of matcha tea quality index using portable NIR spectroscopy coupled with chemometric algorithms. J. Sci. Food Agric. 2019, 99, 5019–5027. [Google Scholar] [CrossRef]
- Qin, O.; Li, W.; Bosoon, P.; Rui, K.; Chen, Q. Simultaneous quantification of chemical constituents in matcha with visible-near infrared hyperspectral imaging technology. Food Chem. 2021, 350, 129141. [Google Scholar] [CrossRef]
- Zadeh, L.A. Fuzzy sets. Inf. Control 1965, 8, 338–353. [Google Scholar] [CrossRef]
- Zimmermann, H.-J. Fuzzy Set Theory—And Its Applications, 4th ed.; Springer: Boston, MA, USA, 2001. [Google Scholar]
- GB/T 8302-2013; Tea—Sampling. China Agriculture Press: Beijing, China, 2013.
- Zhao, H.F.; Zhou, S.Z.; Wang, J.L.; Hu, H.J.; Cao, Y.; Jian, Y.Y.; Yang, T. Building the Rapid field Detection Model of Guizhou Tea Quality Based on Near Infrared Spectroscopy. J. Guizhou Tea 2022, 1, 37–42. (In Chinese) [Google Scholar]
- GB/T 8304-2013; Tea—Determination of Moisture Content. China Agriculture Press: Beijing, China, 2013.
- GB/T 8305-2013; Tea—Determination of Water Extracts Content. China Agriculture Press: Beijing, China, 2013.
- GB/T 8306-2013; Tea—Determination of Total Ash Content. China Agriculture Press: Beijing, China, 2013.
- GB/T 8312-2013; Tea—Determination of Caffeine Content. China Agriculture Press: Beijing, China, 2013.
- GB/T 8314-2013; Tea—Determination of Free Amino Acids Content. China Agriculture Press: Beijing, China, 2013.
- GB/T 8313-2018; Tea—Determination of Total Polyphenols and Catechins Content. Standards Press of China: Beijing, China, 2018.
- ISO 14502-1:2005; Determination of Substances Characteristic of Green and Black Tea—Part 1: Content of Total Polyphenols in Tea—Colorimetric Method Using Folin-Ciocalteu Reagent. ISO: Geneva, Switzerland, 2005.
- ISO 14502-2:2005; Determination of Substances Characteristic of Green and Black Tea—Part 2: Content of Catechins in Green Tea—Method Using High-Performance Liquid Chromatography. ISO: Geneva, Switzerland, 2005.
- Kapp, K.; Hakala, E.; Orav, A.; Pohjala, L.; Vuorela, P.; Püssa, T.; Vuorela, H.; Raal, A. Commercial peppermint (Mentha × piperita L.) teas: Antichlamydial effect and polyphenolic composition. Food Res. Int. 2013, 53, 608–618. [Google Scholar] [CrossRef]
- Debjani, C.; Das, S.; Das, H. Aggregation of Sensory Data Using Fuzzy Logic for Sensory Quality Evaluation of Food. J. Food Sci. Technol. 2013, 50, 1088–1096. [Google Scholar] [CrossRef]
- Zhu, Y.; Luo, Y.; Wang, P.; Zhao, M.; Li, L.; Hu, X.; Chen, F. Simultaneous determination of free amino acids in pu-erh tea and their changes during fermentation. Food Chem. 2016, 194, 643–649. [Google Scholar] [CrossRef]
- Wold, S.; Sjöström, M.; Eriksson, L. PLS-regression: A basic tool of chemometrics. Chemom. Intell. Lab. Syst. 2001, 58, 109–130. [Google Scholar] [CrossRef]
- Sanderson, G.W.; Co, H.; Gonzalez, J.G. Formation of black tea aroma. J. Agric. Food Chem. 1973, 21, 576–585. [Google Scholar] [CrossRef]
- Fu, H.H.; Li, J.X.; Qiu, Y.; Zhang, Y.P.; Han, J.; Huang, X.Y. Using a Fuzzy Analytic Hierarchy Process to Formulate an Effectual Tea Assessment System. Sustainability 2020, 12, 6131. [Google Scholar] [CrossRef]
- Kim, Y.; Goodner, K.L.; Park, J.-D.; Choi, J.; Talcott, S.T. Changes in secondary metabolites of green tea during fermentation by Aspergillus oryzae and its effect on antioxidant potential. Food Res. Int. 2013, 53, 670–677. [Google Scholar] [CrossRef]
- Fernández, P.L.; Martín, M.J.; González, A.G.; Pablos, F. HPLC determination of catechins and caffeine in tea. Differentiation of green, black and instant teas. Analyst 2000, 125, 421–425. [Google Scholar] [CrossRef] [PubMed]
- ISO 3103:2019; Tea—Preparation of Liquor for Use in Sensory Tests. International Organization for Standardization: Geneva, Switzerland, 2019.
- Crozier, A.; Jaganath, I.B.; Clifford, M.N. Dietary phenolics: Chemistry, bioavailability and effects on health. Nat. Prod. Rep. 2009, 26, 1001–1043. [Google Scholar] [CrossRef]
- Wei, Q.; Wolf-Hall, C.; Hall III, C.A. Application of Raisin Extracts as Preservatives in Liquid Bread and Bread Systems. J. Food Sci. 2009, 74, R47–R52. [Google Scholar] [CrossRef]
- Lambert, J.D.; Yang, C.S. Mechanisms of cancer prevention by tea constituents. J. Nutr. 2003, 133, 3262S–3267S. [Google Scholar] [CrossRef] [PubMed]
- Cai, H.; Zhong, Z.; Li, Z.; Zhang, X.; Fu, H.; Yang, B.; Zhang, L. Metabolomics in quality formation and characterisation of tea products: A review. Int. J. Food Sci. Technol. 2022, 57, 4001–4014. [Google Scholar] [CrossRef]
- Cao, Q.-Q.; Fu, Y.-Q.; Wang, J.-Q.; Zhang, L.; Wang, F.; Yin, J.-F.; Xu, Y.-Q. Sensory and chemical characteristics of Tieguanyin oolong tea after roasting. Food Chem. X 2021, 12, 100178. [Google Scholar] [CrossRef]
- Cao, L.; Guo, X.; Liu, G.; Song, Y.; Ho, C.-T.; Hou, R.; Zhang, L.; Wan, X. A comparative analysis for the volatile compounds of various Chinese dark teas using combinatory metabolomics and fungal solid-state fermentation. J. Food Drug Anal. 2018, 26, 112–123. [Google Scholar] [CrossRef]
- Chen, L.; Liu, F.; Yang, Y.; Tu, Z.; Lin, J.; Ye, Y.; Xu, P. Oxygen-enriched fermentation improves the taste of black tea by reducing the bitter and astringent metabolites. Food Res. Int. 2021, 148, 110613. [Google Scholar] [CrossRef]
- Li, X.; Dai, H.; Zhang, H.; Zou, X. Study on improving aroma quality of summer–autumn black tea by red-light irradiation during withering. LWT 2022, 154, 112597. [Google Scholar] [CrossRef]



| Year | Moisture | Water Extract | Gallic Acid | Total Ash | Total Free Amino Acids | Tea Polyphenols | ||
|---|---|---|---|---|---|---|---|---|
| 2021 | 0.232 | 0.623 | 0.397 | 0.616 | 0.553 | 0.514 | ||
| 2022 | 0.439 | 0.757 | 0.547 | 0.298 | 0.461 | 0.702 | ||
| 2023 | 0.210 | 0.501 | 0.294 | 0.553 | 0.539 | 0.399 | ||
| Year | Caffeine | Phenol-to-amino ratio | Total catechins | Catechin | Epicatechin (EC) | Epigallocatechin gallate (EGCG) | ||
| 2021 | 0.467 | 0.229 | 0.530 | 0.480 | 0.476 | 0.462 | ||
| 2022 | 0.744 | 0.399 | 0.644 | 0.323 | 0.273 | 0.528 | ||
| 2023 | 0.602 | 0.256 | 0.599 | 0.407 | 0.430 | 0.539 | ||
| Year | Epicaltechin gallate (ECG) | Epigallocatechin (EGC) | Mean membership score | Rank | ||||
| 2021 | 0.459 | 0.592 | 0.474 | 2 | ||||
| 2022 | 0.710 | 0.261 | 0.506 | 1 | ||||
| 2023 | 0.458 | 0.387 | 0.441 | 3 | ||||
| Year | Moisture | Water Extract | Gallic Acid | Total Ash | Total Free Amino Acids | Tea Polyphenols | ||
|---|---|---|---|---|---|---|---|---|
| 2021 | 0.647 | 0.413 | 0.386 | 0.445 | 0.618 | 0.499 | ||
| 2022 | 0.637 | 0.646 | 0.636 | 0.560 | 0.641 | 0.719 | ||
| 2023 | 0.436 | 0.642 | 0.559 | 0.485 | 0.464 | 0.646 | ||
| Year | Caffeine | Phenol-to-amino ratio | Total catechins | Catechin | Epicatechin (EC) | Epigallocatechin gallate (EGCG) | ||
| 2021 | 0.425 | 0.598 | 0.517 | 0.432 | 0.500 | 0.407 | ||
| 2022 | 0.646 | 0.301 | 0.626 | 0.455 | 0.549 | 0.539 | ||
| 2023 | 0.645 | 0.345 | 0.466 | 0.536 | 0.480 | 0.525 | ||
| Year | Epicaltechin gallate (ECG) | Epigallocatechin (EGC) | Mean membership score | Rank | ||||
| 2021 | 0.524 | 0.417 | 0.488 | 3 | ||||
| 2022 | 0.726 | 0.512 | 0.585 | 1 | ||||
| 2023 | 0.578 | 0.477 | 0.520 | 2 | ||||
Disclaimer/Publisher’s Note: The statements, opinions and data contained in all publications are solely those of the individual author(s) and contributor(s) and not of MDPI and/or the editor(s). MDPI and/or the editor(s) disclaim responsibility for any injury to people or property resulting from any ideas, methods, instructions or products referred to in the content. |
© 2026 by the authors. Licensee MDPI, Basel, Switzerland. This article is an open access article distributed under the terms and conditions of the Creative Commons Attribution (CC BY) license.
Share and Cite
Zhang, Y.; Gao, X.; Guo, C. Interannual Variation in Key Quality Constituents in Shiqian Taicha Manufactured as Green and Black Tea (2021–2023). Appl. Sci. 2026, 16, 1614. https://doi.org/10.3390/app16031614
Zhang Y, Gao X, Guo C. Interannual Variation in Key Quality Constituents in Shiqian Taicha Manufactured as Green and Black Tea (2021–2023). Applied Sciences. 2026; 16(3):1614. https://doi.org/10.3390/app16031614
Chicago/Turabian StyleZhang, Yuan, Xiubing Gao, and Can Guo. 2026. "Interannual Variation in Key Quality Constituents in Shiqian Taicha Manufactured as Green and Black Tea (2021–2023)" Applied Sciences 16, no. 3: 1614. https://doi.org/10.3390/app16031614
APA StyleZhang, Y., Gao, X., & Guo, C. (2026). Interannual Variation in Key Quality Constituents in Shiqian Taicha Manufactured as Green and Black Tea (2021–2023). Applied Sciences, 16(3), 1614. https://doi.org/10.3390/app16031614

