Next Article in Journal
UAS-Based Photogrammetric Assessment of Geomorphological Changes Along the Lilas River (Evia Island, Central Greece) After the August 2020 Flood
Previous Article in Journal
Reinforcement Learning-Based PID Gain Optimization for Delta Parallel Robot Trajectory Tracking
Previous Article in Special Issue
Eco-Friendly Thermoplastic Starch Nanocomposite Films Reinforced with Microfibrillated Cellulose (MFC) from Fraxinus uhdei (Wenz.) Lingelsh
 
 
Font Type:
Arial Georgia Verdana
Font Size:
Aa Aa Aa
Line Spacing:
Column Width:
Background:
Article

Mechanical Properties of Mono-Fibre and Intraply Hybrid Sisal–Flax Fibre-Reinforced Composites: A Comparative Study

1
Department of Mechanical Engineering, University of Malta, MSD 2080 Msida, Malta
2
School of Mechanical Engineering, Zhejiang Sci-Tech University, Hangzhou 310018, China
*
Author to whom correspondence should be addressed.
Appl. Sci. 2026, 16(3), 1455; https://doi.org/10.3390/app16031455
Submission received: 12 January 2026 / Revised: 26 January 2026 / Accepted: 28 January 2026 / Published: 31 January 2026
(This article belongs to the Special Issue Green Composite Materials: Design, Application, and Recycling)

Featured Application

The studied intraply sisal/flax hybrid composites are appropriate for semi-structural and structural uses where a balanced combination of mechanical performance, cost efficiency, and environmental sustainability is required, especially in cases where transverse, shear, and compressive loading conditions are enhanced by hybridisation compared to mono-fibre systems.

Abstract

The growing demand for sustainable alternatives to synthetic composites has increased the interest in natural-fibre-reinforced composites (NFRCs), due to their reduced environmental impact. This study presents a comparative investigation of the mechanical properties of mono-fibre and intraply sisal/flax hybrid composites as cost-effective bio-based solutions. Flax offers high tensile performance but is constrained by higher cost and geographical availability. Sisal, on the other hand, is widely available at lower cost, but exhibits a coarser morphology and reduced processing versatility. Mechanical testing demonstrated that intraply hybrids achieved well-balanced performance, with reduced flax content still delivering competitive tensile strength and stiffness when compared to the higher performing mono-fibre flax composites. However, sisal-rich and hybrid laminates outperformed mono-fibre flax composites in transverse and shear behaviour, with the 67% sisal/33% flax hybrid composite exhibiting the highest transverse properties and the 33% sisal/67% flax hybrid achieving the highest shear properties. Rule-of-mixtures models predicted longitudinal tensile behaviour effectively, while Halpin–Tsai models successfully estimated shear but not transverse and compressive properties. Compressive strength showed limited variation across configurations. Failure analysis identified intra-yarn fracture in flax, limited resin infiltration in sisal, and compressive failure modes such as brooming and microbuckling. Overall, intraply sisal/flax hybrid mats provide a structurally efficient, sustainable, and economically viable alternative to mono-fibre natural composites.

1. Introduction

The demand for sustainable alternatives to conventional synthetic composites has gained widespread attention [1]. The increasing focus on renewable and biodegradable materials with high mechanical performance has led to extensive research on natural fibre-reinforced composites (NFRCs) [2,3]. Many industries have already adopted natural fibres in structural and non-structural applications, notably in transportation and civil engineering [4]. These composites offer several advantages, particularly offering a less energy-intensive life cycle alternative [5]. The end-of-life degradation cycle can be enhanced further through the use of bio-based resins, thermoset matrices derived from natural oils such as linseed or pine [3].
Despite these advantages, synthetic fibres continue to outperform natural alternatives in terms of tensile strength and stiffness and can be produced at finer dimensions [6,7,8,9]. Natural fibres, by contrast, have inherent variability and larger diameters, making direct substitution of high-performance synthetics difficult. Nonetheless, for applications requiring moderate mechanical performance, certain natural fibres exhibit competitive properties. NFRCs can therefore serve as a viable bridge between low-performance thermoplastics and high-end synthetic composites. Careful material selection and structural placement are essential, as improper application may lead to suboptimal performance [2,10]. For instance, some researchers concentrated their efforts on investigating the influence of fibre pre-treatment and the hydrophilic behaviour on the overall composite performance [6,11].
Fibre selection is critical in the manufacture of natural-fibre-reinforced composites (NFRCs). Among the wide range of available fibres, sisal, flax, and hemp are commonly used in structural and non-structural applications. This study focuses on sisal and flax. Various research has been conducted on natural reinforced mono-fibre composites. Santos et al. [12] used flax fibre yarns as a reinforcement for additive manufactured (AM) structures, to be used in large-scale civil engineering structures. Some companies [13] have implemented flax-based composites for internal panels and other bodywork in the automotive industry. Flax-based composites offer relatively high tensile strength when compared to other natural fibres. They are also well-established in industrial production with consistent and repeatable characteristics [14,15]. Colamartino et al. [16] investigated the static and dynamic properties of high-performance flax composites and claim that flax composites presented competing mechanical properties to glass fibre composites with similar resin systems. Further studies, such as that conducted by Baley et al. [17], reinforce the idea that flax is a high-performing fibre. The review states that although variations are inevitable, mainly due to the intrinsic nature of fibre production, careful processing and controls during fibre growth and extraction can achieve excellent composite properties with low variability. However, flax fibres are relatively expensive and are mainly harvested in limited climates, with France and Belgium being the predominant producers [18]. Sisal, on the other hand, is a fibre that can be harvested in a wide range of environments, such as in South America, Africa, and Asia, with a significant reduction in production costs [19]. Peças et al. [9] indicate a cost ranging from 600 to 700 USD/ton for sisal, while the cost of flax is at least three times more, ranging from 2100 to 4200 USD/ton. The coarse, rigid nature of sisal fibres hinders automated spinning, typically limiting yarns to above 1000 tex. The end result leads to thick mats with variable fibre uniformity [19,20]. Zuccarello et al. [21] investigated the effect of the sisal fibre inherent anisotropy and variability and suggested that the fibrillar structure of sisal fibres is highly anisotropic. The anisotropy significantly influences the strength of the bio-composites under transversal tensile/compressive, longitudinal compressive and shear loading. Jayashri et al. [22] investigated the use of sisal and flax fibres for the development of an automotive beam bumper. While flax composites have a higher stiffness and strength, the energy absorbed by sisal-based composites is similar to the flax-based composite.
The application of natural fibres in composite materials can be improved by including a mix of other natural fibres with distinct characteristics. Hybrid composites composed of two or more reinforcing fibres can make use of the superior qualities of the individual phases, leading to alternative, improved mechanical characteristics [23,24]. Hybridisation is commonly applied in synthetic fibres such as carbon and glass fibre. The method was mainly employed as a means to reduce cost or to tailor the mechanical characteristics of the finished composites [7,8]. For example, Ramesh et al. [25], incorporated sisal and jute natural fibres with synthetic fibre to develop a hybrid, cost-effective and environmentally friendly natural/synthetic glass fibre composite. Through hybridisation, the longitudinal tensile strength of the composite was enhanced when compared to the individual sisal- or jute-based composite. Furthermore, the addition of glass fibre reduced overall water absorption, mitigating one of the downsides of natural fibres. Hybridisation in composite materials can be implemented through varying configurations. Interply hybrids consist of stacked mono-material layers, while intraply hybrids integrate different fibres within a single ply [23]. The relevant literature shows that the number of works focused on hybrid intraply natural-fibre-reinforced composites is relatively rare when compared to interply and short-fibre configurations [25,26,27,28,29,30,31,32,33,34,35,36].
This study investigated natural sisal/flax intraply hybrid composites, a less explored area in material science. The mechanical properties of hybrid and mono-fibre composites are evaluated using tensile, shear, and compressive tests. The objective is to determine whether low-cost, widely available sisal can partially or fully replace flax without significant performance loss, supporting cost reduction and sustainable material use in industrial applications. Key aspects of this research include the following:
  • A less common fibre combination by exploring the use of sisal and flax fibres together in an intraply hybrid composite configuration;
  • Addressing a research gap by focusing on the combination of weaving and hybridisation of natural fibres;
  • Assessing the applicability of micromechanics models found in the literature that are amended to incorporate the effect of hybridisation and predict the main mechanical properties of mono-fibre and hybrid sisal/flax-reinforced composites.

2. Constituent Phases, Composite Fabrication and Specimens

2.1. Natural Fibres: Sisal and Flax

Commercial sisal and flax yarns were used to develop the composites. Sisal fibres consisted of a 1429-tex twisted yarn sourced from Portugal, while flax fibres made up of 137-tex single-ply yarn and 333-tex two-ply yarn were sourced from Germany. The study deliberately employed fibres in their as-received condition, without further pretreatment, to ensure that the measured response reflects the market available fibre characteristics. These fibres were used to produce uniaxial mono-fibre and hybrid mats, with the 137-tex flax yarn placed in the warp direction at predefined spacing to stabilise the loom and minimise weft crimp. The 333-tex flax yarn and/or 1429-tex sisal yarn were used in the weft direction as the load-bearing fibres.
The individual tensile properties of both the sisal 1429-tex and flax 333-tex yarns were measured using an Instron 5066 universal testing machine from High Wycombe, Buckinghamshire, UK, in accordance with ISO 2062 [37] standards, equipped with a 10 kN load cell. The tensile strength and Young’s modulus are given in Table 1. The density of the individual fibres was measured using Archimedes’ principle as per ASTM D792-20 [38], that is, measuring the weight of each sample in air and the volume by submerging the equivalent sample in a fluid of known density (Acetone P.A.). Testing yielded a nominal density of 1.24 g/cm3 and 1.45 g/cm3 for sisal and flax, respectively. The relatively accurate volumetric measurement was also used to identify the average cross-sectional area of the yarns, used for the identification of stress developed during testing. The difference in fibre density effectively implies that the use of five, two-ply flax yarns (333 tex × 5) is equivalent in volume to one 1429-tex sisal yarn. Therefore, for hybridisation, five two-ply flax yarns were aligned together and introduced as a group during the weaving process, as described in Section 2.3 and Figure 1. It is acknowledged that the overall 5-yarn flax characteristics such as compaction and permeability can change. In particular, given that the flax yarns are of a smaller tex than the sisal yarn, the 5 flax yarns will randomly compact together. Nonetheless the yarns were not intertwined but simply aligned and grouped together. In this study, it is therefore assumed that the individual flax yarns contribute equally and independently to the overall density and material properties.

2.2. Bio-Based Resin

The resin system used was a Pro-Set INF bio-component epoxy, manufactured by PRO-SET (Hampshire, UK), that was further modified and enhanced with additives. The additives were a mixture of zinc chloride and glycerol. The additives were initially mixed with the Pro-Set INF resin system (INF-117G) while the hardener (INF-2048) was subsequently added and mixed together via a Witeg Labortechnik magnetic stirrer manufactured in Wertheim, Germany. The resulting resin system was left to degas for approximately 10 min before being used for resin infusion. The mechanical properties of the resin are given in Table 2, tested by Ullah et al. [41] in accordance with prevailing standards. The supplier of the resin grants a bio-based content of 36% and costs circa USD 28,000 per tonne.

2.3. Natural Fibre Reinforced Composites

Uniaxial mats were woven in two main configurations: mono-fibre and hybrid. Four composite configurations were investigated, one reinforced exclusively with sisal yarns M-100S and the other with only flax yarns M-100F. The other two configurations consisted of intraply hybrid systems, incorporating both sisal and flax in varying fibre volume fractions, namely 67% sisal and 33% flax intraply—H-67S/33F, and 33% sisal and 67% flax intraply—H-33S/67F. The equivalent fibre mass fractions for the H-67S/33F and H-33S/67F hybrid composites defined through Equations (1) and (2) are 63.5% sisal/36.5% flax and 29.6% sisal/70.4% flax mass ratios, respectively. Figure 1 shows the representative hybrid intraply configurations with 137-tex flax spaced at 20 mm and being used in the warp direction to stitch the uniaxial mat, while Figure 2 shows the fabricated mats.
m s = ρ s V s ρ s V s + ρ f V f
m f = ρ f V f ρ s V s + ρ f V f
Bio-composites were manufactured by vacuum-assisted resin infusion at −0.1 bar, without external heating. The process consisted of resin degassing for 10 min, infusion performed in 3 min, a 5 h vacuum hold at −0.1 bar, followed by ambient curing for at least 12 h. The resin volume was calculated to achieve a target fibre volume fraction of 30% based on fibre mass, density, and laminate dimensions. Nonetheless, post-infusion measurements showed some deviations. Fibre, matrix, and void volume fractions were determined from the pre-infusion fibre mass W f t o t , the final composite mass W c and the average trimmed composite volume V c e . The prevailing equations for the determination of fibre, matrix and void volume fractions are given in Table 3.
Table 4 gives the composite nomenclature, fibre volume, mass ratios, woven mat areal mass, fibre, matrix and void fractions together with the specimen thickness. Differences in fibre volume fractions can be attributed to resin uptake and fibre wettability, with sisal fibre requiring more resin.

2.4. Test Specimens and Material Characterisation Approach

The composites were tested under tensile, compressive and shear loadings. A total of six specimens were tested for each material property and test configuration. All samples were cut using a laser cutter (Helix 24 systems, Epilog Laser fabricated in Golden, CO, USA) as opposed to the use of waterjet cutting, to avoid any water absorption [42].
The tensile samples were produced in accordance with the ASTM D3039 [43] for both longitudinal (fibres oriented axially at 0 degrees) (15 mm × 250 mm) and transverse (fibres oriented perpendicularly at 90 degrees) (25 mm × 175 mm) samples. For the compressive samples, the ASTM D3410 [44] standard was applied, where the longitudinal specimen dimensions were 10 mm × 140 mm, while the transverse specimen dimensions were 25 mm × 140 mm. As for the shear samples, the standard ASTM D5379M [45] with V-notch was employed. All samples were tested at 2 mm/min crosshead speed. The break surface of longitudinal tensile samples was further analysed through SEM imaging. The SEM images were performed with a Carl Zeiss Merlin Field Emission SEM manufactured in Oberkochen, Germany, in conjunction with an Ametek EDAX trident system, produced in Mahwah, NJ, USA. Images were taken from a representative sample from each group.

2.5. Micromechanics Approach

Various analytical solutions based on micromechanics can be found in the literature to predict the mechanical properties of composite materials [46]. The predominant straightforward solutions follow the rule of mixture, which has found applicability in predicting the tensile and Poisson’s ratio of composites. In this study, the micromechanics solutions were adopted to cater for the hybridisation through Equations (8) and (9), as shown in Table 5. Assuming no fibre buckling, the same rule-of-mixture approach can be adopted to evaluate the compressive stiffness, but in this case the resin compressive stiffness E c = 2.63 GPa is applied. The compressive stiffness of flax and sisal fibres is not known and is practically difficult to establish without specialised equipment. Consequently, the compressive stiffness is assumed to be comparable to the tensile stiffness, notwithstanding the well-recognised differences in the mechanical behaviour of natural fibres. While this constitutes a simplified and inherently basic assumption, the adopted values nevertheless provide a necessary benchmark for the present analysis. In the case of the transverse and shear stiffness properties the Halpin–Tsai model [47] was adopted. The solutions were also amended to consider the effect of hybridisation, as shown in Equations (10)–(12) and (14)–(16), respectively, as shown in Table 5. The minor Poisson’s ratio v 21 follows the fundamental orthotropic relationship between the major Poisson’s ratio and the corresponding stiffness as per Equation (13).
Composite tensile strength is governed by the constituent phase strengths developed at the lowest constituent ultimate tensile strain [46]. Flax fibres, though the stiffest, exhibit the lowest strain to failure, followed by sisal fibres and resin. Upon the failure of the flax fibres, the micromechanics approach assumes that abrupt composite failure occurs. Tensile strength predictions for intraply hybrids follow this principle, weighted by constituent volume fractions (Equations (18)–(20) in Table 6). Transverse tensile strength is dominated by the weaker resin and is predicted using a mechanics-of-materials approach by accounting for fibre spacing and orientation within a representative volume element (Equations (21)–(23) in Table 6). Shear strength follows the same formulation, with hybridisation incorporated through fibre modulus ratios. Compressive strength results from multiple competing mechanisms, including fibre microbuckling, matrix transverse failure, and shear failure. The lowest predicted strength defines failure. In this study, micromechanical analysis identified shear failure as the governing mode. The equivalent compressive strength is therefore predicted to be twice the shear strength (Equation (25) in Table 6).

3. Results—Material Properties and Comparative Study

3.1. Longitudinal Tensile Stiffness and Strength

Tensile data values were obtained from the load-strain measurements. Representative stress–strain curve for the different samples is shown in Figure 3. The experimental and predicted analytical results for tensile strength (XT), Young’s modulus (Ε1T) and Poisson’s ratio (ν12) are presented in Table 7, Table 8 and Table 9.
The calculated analytical results based on the actual fibre volume fractions exhibited moderate to good agreement with experimental values, with deviations ranging from −12.6% to −3.1% for Young’s modulus, −21.8% to 27.4% for tensile strength and −17% to 8.2% for Poisson’s ratio. Predictions for Young’s modulus exhibited minimal deviation from experimental values (mean absolute percentage error < 6.4%), confirming the model’s reliability. Again, similar to the experimental Young’s modulus test results, an increase in flax content correlated to increased stiffness.
The intraply fibres exhibit a quasi-linear increase in tensile strength (XT) and Young’s modulus (Ε1T), with an increase in flax content. The overall best tensile strength was observed in the M-100F sample, regardless of the fibre volume fraction. The M-100S, H-67S/33F and H-33S/67F samples exhibited a decrease of 41.9%, 23.6%, 16.5% in tensile strength, and a decrease of 41.7%, 19.6%, 9.6% in Young’s modulus, compared to mono-fibre M-100F flax composites. The reduction in strength and stiffness properties is primarily attributed to the intrinsic tensile strength of flax fibres, that also has higher fibre wettability when compared to sisal fibres. From a cost perspective, the mono-fibre M-100F flax specimens still provide an added cost-advantage over the hybrid and sisal-based composites when the fibre ratio is kept at 30% or below. However, the hybrid composites H-67S/33F and H-33F/67F, with a plausible cost reduction of 18.5% and 9%, prove to be in strong contention. Upon increasing the fibre volume fraction, the hybrid specimens become more cost-effective in terms of both strength and stiffness properties.
The apparent increase in tensile properties for the H-33S/67F when compared to the H-67S/33F is attributed to the increase in flax content that enhances the load-bearing capacity of the hybrid lamina in a quasi-linear manner. In addition, flax fibres generally provide better fibre–matrix adhesion and more efficient stress transfer due to their more uniform microstructure and controlled processing, whereas sisal fibres exhibit higher variability and surface irregularities.
In principle, the analytical models underestimate the strength properties, bar for the calculated strength of the mono-fibre sisal-based composite. Zuccarello et al. [21] have shown that the simple rule-of-mixture (ROM) model does not consider fibre interfacial interaction, twisting and other defects. A correction factor of 0.85 was applied to the maximum tensile strength of the sisal fibre ( σ f i b ), and a better fit to the empirical tests was achieved. Applying the same 0.85 correction value for this study, the predicted tensile strength for M-100S was 109.6 MPa, reducing the error to 18.4%. The variation can be explained by other forces such as crimp factor, fibre twist and improper fibre wettability. The latter is more evident for the relatively thicker sisal yarns.
The incorporation of flax fibres appears to improve fibre–matrix interaction by filling inter-fibre voids, resulting in a more compact architecture with fewer resin-rich areas. However, a review of the analytical data reveals an unexpected underestimation of the composite properties for the flax-based composites, with a deviation of −18.4% for the tensile strength of the mono-fibre flax composite. The observed underestimation is contrary to expectation, as analytical models, which do not account for inherent fibre and composite defects, should theoretically overestimate the values [15,48]. The discrepancy is primarily attributed to the use of tensile properties from the flax fibre yarns rather than single fibres within the model, a methodology employed in other works. As noted by Aldroubi et al. [49], the tensile properties of flax fibres are highly scale-dependent, exhibiting a reverse relationship between properties and material scale. A reduction of approximately 55% was observed when comparing the tensile strength of a single fibre (1067 MPa) to that of a yarn (479 MPa). These findings are further corroborated by other authors [50,51], with Zhu et al. finding that the mechanical properties of technical fibres were only 57% of the elementary fibres.
Consequently, when the rule-of-mixtures (ROM) model is applied without modification using the mechanical properties of flax yarn, the model will inherently under predict the composite’s performance. When the ROM is corrected by applying a factor of 1.55 to the flax fibre properties within Equations (18) and (19), the error is reduced, changing to −7.73%, 13.6% and 12.8% for the H-67S/33F (112.3 MPa), H-33S/67F (151.1 MPa) and M-100F (179.6 MPa) composites, respectively.
The tensile strength values obtained for the M-100S in the present study were consistent with the range typically reported in the literature. Jayashri et al. reference [22], as seen in Table 10. The higher values reported by Zuccarello et al. [21] may be ascribed to the type of sisal reinforcement employed in the study, consisting of unidirectional fibres as opposed to the yarn fibres used in this study. Unidirectional fibres comprising straight, long bundles promote more efficient load transfer, as the fibres are predominantly aligned with the loading direction. However, this configuration is constrained by the maximum extractable fibre length. By contrast, the utilisation of fibre yarns and cordage provides broader applicability and facilitates industrial-scale implementation.
The M-100F composite exhibited a similar trend to the M-100S, with tensile strength values positioned at the lower end of those reported in the current literature. The reduced tensile strength observed in the present study is primarily attributed to the fibre volume fraction. Furthermore, Mahjoub and Harzallah [52] demonstrated that the fibre tex exerts a significant influence on composite tensile performance, with lower tex values yielding superior properties. This improvement has been associated with enhanced fibre packing density and improved alignment within finer yarns.
The hybrid composites (H-67S/33F and H-33S/67F) exhibited substantially higher tensile strength than values reported in the literature that uses either sisal or flax combined with other fibres. An increase of 40% and 297% relative to the Queiroz et al. [35] and Sumesh et al. [27], respectively, is evident. This enhancement can be attributed to the predominance of unidirectional yarns in the present study. For instance, Sumesh et al. [27] reinforced their composites with short fibres, which promoted a more uniform, near-isotropic load distribution but resulted in lower ultimate tensile strength. The study by de Queiroz et al. [35] employed intraply reinforcements and is therefore more comparable. The present work presented superior mechanical performance, primarily due to the higher intrinsic properties of flax and sisal when compared to jute. When compared to interply composites, the tensile strength reported by Benkhelladi et al. [53] presented 48% lower mechanical properties than those found H-33S/67F. The reduction is mainly due to the 80/20—jute/flax proportion, where the reinforcement is predominantly made from jute. Finally, Hadlahalli et al. [28] stated a tensile strength that was 32% higher than that observed for H-33S/67F, largely as a result of the inclusion of glass fibres as reinforcement. The authors presented values for the glass fibre composites of approximately 214.54 MPa, while the sisal composite presented values of 35.43 MPa.
Table 10. Comparison of tensile strength and modulus with other studies.
Table 10. Comparison of tensile strength and modulus with other studies.
TypeFibre TypeFibre/MatrixXT [MPa]Ε1T, [GPa]Reference
Mono-fibreSisal28/72 by vol%92.574.63Current
Sisal30/70 by wt%107.808.50[22]
Sisal40/60 by vol%290.0015.00[21]
Flax29/71 by vol%159.227.94Current
Flax43/57 by wt%204.9017.10[22]
Flax-181.4017.70[16]
Flax41/59 by vol%298.0030.00[17]
HybridH-67S/33F30/70 by vol%121.716.38Current
H-33S/67F31/69 by vol%132.987.18Current
Short fibres—Ramie/Flax30/50 by wt%33.463.82[27]
Interply—Sisal/Stinging nettle40/60 by vol%67.53-[30]
Intraply—Jute/Sisal57.5/42.5 by vol%95.0010.00[35]
Interply—Jute/Flax80/20 by wt%69.302.13[53]
Interply—Sisal/GF/Eggshell Powder44.74/55.26 wt%195.23-[28]

3.2. Transverse Tensile Stiffness and Strength

Representative stress–strain curve can be seen in Figure 4 with the corresponding transverse modulus and strength presented in Table 11. As opposed to the longitudinal samples, the results indicate that the tensile transverse strength data does not present any linear behaviour compared to flax content. The H-33S/67F sample demonstrated the best overall result for tensile strength (YT) and stiffness (Ε2T), compared to the other samples. The stiffness (Ε2T) shows a quasilinear increase from samples containing less sisal fibres. For these samples the addition of flax in the hybrid composites has beneficial effects.
The increasing trend in both stiffness and strength is disrupted by the M-100F sample, which shows a sharp decline in both strength and stiffness values. These results are consistent with other tests, where M-100F exhibited high tensile strength (XT) along the fibre direction but lower mechanical properties in the transverse direction (YT), shear (S12), and compression (Xc) as shown further on. The behaviour can be better understood by the failure modes described in Section 4.
Table 11 also compares the experimental transverse stiffness and strength to the analytical solutions. In the case of the transverse stiffness, the best correlation was found when ϵ = 0 was assumed in Equation (12). The ϵ value ranging between 0 and dictates the influence of the matrix’s transverse stiffness on the composite. Small values indicate that the fibres are not effective in enhancing the transverse properties [46]. The differences between the analytical and experimental results are significantly high, particularly for the M-100F composite samples even when the interaction of the matrix transverse stiffness is assumed to be negligible. Using the experimental Ε2T and the actual V f i b the closest correlation was achieved when the representative volume element was square, typically found in these test samples, if one considered the individual sisal and flax acting individually. Again, the analytical solutions fail to accurately predict the experimental results, albeit the authors are confident with the experimental test results attained where the predicted minor Poisson’s ratio was relatively similar to the experimental test results for composite consisting mainly of sisal fibres. In the case of flax-dominant samples H-33S/67F and M-100F, the minor Poisson’s ratio was not accurately predicted, suggesting that other mechanisms are developing, possibly pointing towards anisotropic behaviour.

3.3. In-Plane Modulus of Rigidity and Shear Strength

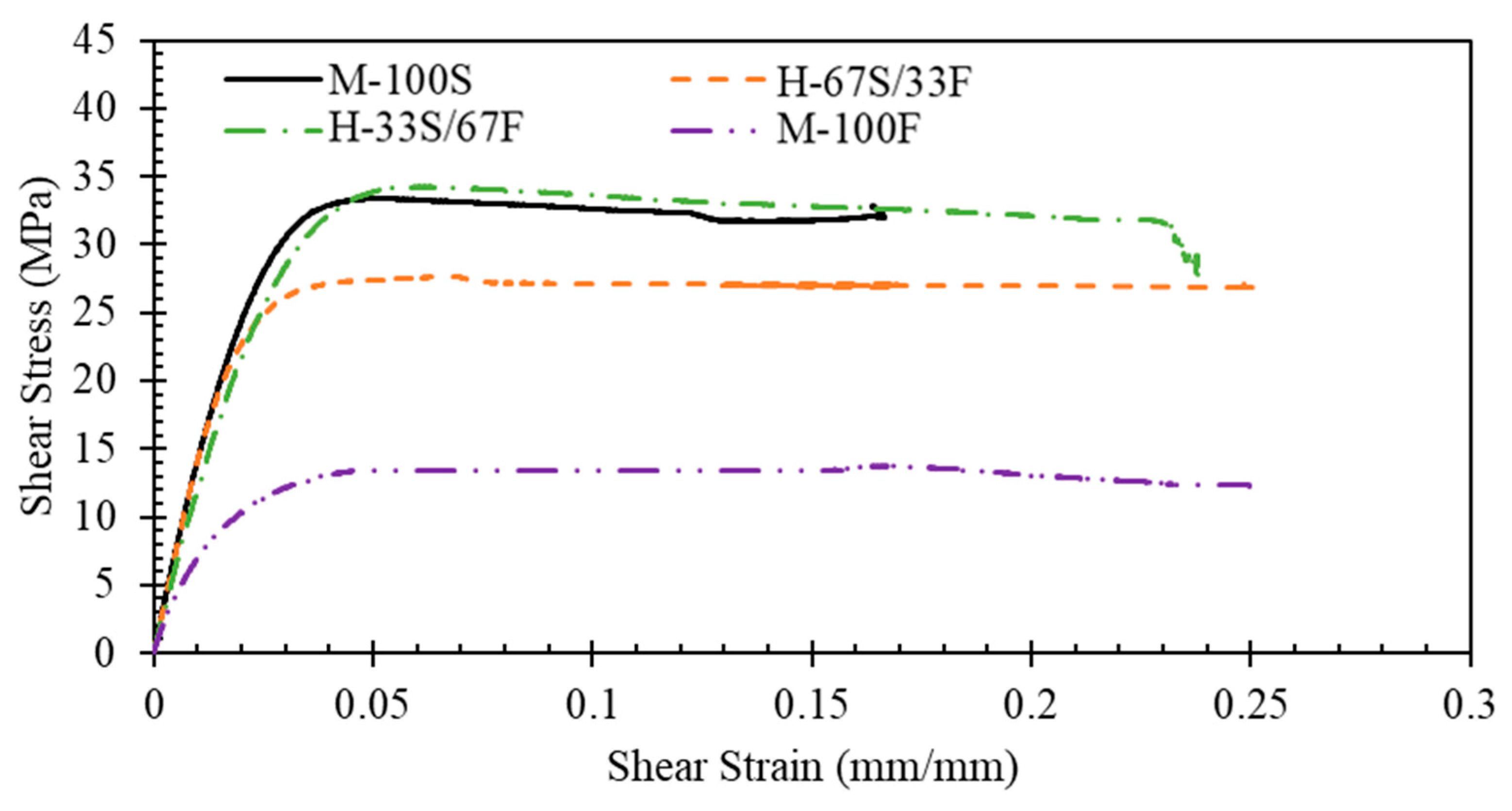
The load and strain were closely monitored, yielding representative stress–strain curves as seen in Figure 5. The curves show that apart from the M-100F specimens a similar stiffness stress–strain behaviour is observed. The equivalent modulus of rigidity and shear strength for the different samples can be seen in Table 12.
The hybrid samples presented the best results in shear strength, with H-33S/67F yielding 11.5%, 25.5% and 71.7% higher shear strength than M-100S, H-67S/33F and M-100F, respectively. As for stiffness, little variation was seen between M-100S, H-67S/33F and H-33S/67F samples, with no statistical difference (F (3) = 1.33, p = 0.29). However, the M-100F composites presented the lowest divergent values for both strength and stiffness. This is a similar trend as observed for the transverse tensile stiffness and strength. Shear in composites is highly dependent on fibre characteristics and interfacial adhesion. Furthermore, the failure and crack propagation are a determining factor in shear strength. The failure mode determines if the breakage occurs within the fibre or in the fibre–matrix interface [54], which will eventually influence the material properties. Further details on the failure modes recorded during testing can be found in Section 4. From a cost perspective, the hybrid composites are the most favourable even if off the shelf bio-based epoxy resin is used.
The Halpin–Tsai [47] micromechanics analytical solution provides a good prediction of the modulus of rigidity for the all the samples bar the M-100F samples. The best fit was found when ϵ was set to zero, suggesting minimal shear enhancement from the fibres. The calculated shear strength was relatively close to the experimental values, particularly when the experimentally determined modulus of rigidity was applied.

3.4. Compressive Loading Along the Fibre (Longitudinal) Direction

The tests were performed in accordance with ASTM D3410 [44] using the IITRO compression fixture and test method. Compressive properties were derived from load–strain gauge measurements. The resulting stress–strain behaviour is illustrated in Figure 6. A comparative analysis of compressive strength and modulus is presented in Table 13.
The data shows no clear improvement in compressive strength with respect to sisal or flax content. The highest compressive strengths were attained for H-67S/33F and M-100F, with very similar values. A slight reduction in strength of no more than 5.4% was attained for the M-100S samples. In contrast, the stiffness values exhibited more pronounced variation. A distinct two-stage response was observed, wherein sisal-fibre-dominated composites (M-100S, H-67S/33F) demonstrated higher stiffness than the flax-dominated composites (H-33S/67F, M-100F). Within each group—sisal- and flax-dominated—no statistically significant increase in stiffness was identified with increasing flax fibre volume. For the sisal-dominated group, an increase of 5% was observed between H-67S/33F and H-33S/67F, which is considered negligible. Overall, the best performing composite for compression loading was found to be the H-33S/67F hybrid composite. Given the small variations in properties between the H-33S/67F and M-100S, depending on the cost of the resin, both configurations can be considered as the most cost-effective. The improved strength observed in sisal-based samples can be attributed to the yarn structure and fibre stiffness. Sisal yarns are composed of longer fibres than flax yarns, which influences compressive behaviour. Longer fibres tend to fail through buckling, whereas the shorter flax fibres are more prone to shear-induced failure. A detailed discussion is provided in the failure mode analysis.
Assuming equal tensile and compressive fibre stiffness and a predefined resin compressive stiffness, the composite compressive stiffness was predicted using a rule-of-mixtures micromechanical model. The model predicts increased stiffness with flax addition but diverges from experimental results for flax-based composites, while closely matching sisal-based composites. Predicted compressive strengths are significantly higher than experimental values, except for M-100F. Among the considered failure mechanisms, shear failure provided the closest agreement, although the experimental shear strength used was already divergent for M-100F.

4. Failure Modes and Scanning Electron Microscopy (SEM)

Failure mode analysis was undertaken to better understand and explain the results attained from the mechanical tests. The fractured surfaces reveal the effectiveness of the resin infusion, interfacial interaction between fibre–matrix and fibre behaviour within the composite structure after failure, leading to a more in-depth analysis.

4.1. Failure Modes for Longitudinal Fibre Samples Under Tensile Loading

Figure 7 presents the failure characteristics observed in the tensile specimens. All samples experienced complete, catastrophic fracture, with no residual fibre bridging. Common failure features included fibre pull-out and surface resin fracture. According to ASTM-D3039 [43], the observed failure modes were classified as AGM (Angle, Gauge, Multimode) for M-100S, LGT (Lateral, Gauge, Top) for H-67S/33F, AWB (Angle, One-Width from Edge) for H-33S/67F, and LGM (Lateral, Gauge, Multimode) for M-100F. Fracture morphology varied with fibre type. Flax-reinforced composites exhibited minimal fibre pull-out, while sisal-reinforced specimens showed extensive pull-out with exposed fibre bundles.
The differences in composite failure mode can be explained by variations in fibre thickness that directly affect fibre strength [55], with thinner mats presenting better overall strength. As seen in Mahjoub and Harzallah [52], the reduction in yarn tex also yielded better overall mechanical properties; as such, the flax fibre being more consistent tends to present a more distributed load distribution. On the other hand, the sisal fibre has a higher fibre thickness and lower interfacial strength, leading to fibre breakage after fibre slippage and pull-out.
Interfacial behaviour strongly affects composite performance. SEM analysis of longitudinal tensile fracture surfaces (Figure 8) showed that M-100S exhibited interfacial voids and discontinuities. For instance, pulled-out sisal fibres appear largely clean and show minimal resin adhesion, with both mechanisms indicating weak fibre–matrix bonding. Although surface treatments such as alkalisation or silanisation could improve adhesion, they would increase manufacturing cost and may reduce biodegradability [6,56]. Resin-rich zones between sisal fibres likely further contribute to the lower mechanical performance of M-100S compared with M-100F.
Overall, the micrographs reveal distinct differences in fibre–matrix interaction. Sisal fibres showed some adhesion to the matrix but predominantly failed at the interface, with limited matrix penetration into the yarn. In contrast, flax fibres exhibited enhanced wettability, stronger interfacial bonding, and reduced evidence of fibre pull-out. The H-67S/33F samples (Figure 8c) showed fracture features similar to those of sisal fibres in the hybrid composite, while flax fibres exhibited improved fibre–matrix bonding with minimal voids or interfacial failure. Fibre pull-out observed in Figure 8d is attributed to short fibres or embedded lengths below the critical load-transfer threshold. In H-33S/67F (Figure 8e,f), effective matrix infiltration into flax bundles was evidenced with fractured fibres remaining embedded. Figure 8g,h further show that flax fibres exhibited fewer resin-rich zones and more uniform matrix coverage than sisal. This behaviour is attributed to the finer, more flexible, and highly fibrillated structure of flax yarns, which promotes resin penetration during infusion. Overall, micrographs indicate limited matrix penetration and predominantly interfacial failure in sisal fibres, whereas flax fibres showed superior wettability, stronger interfacial bonding, and reduced fibre pull-out.

4.2. Failure Modes for Transverse Fibre Samples Under Tensile Loading

Figure 9a, shows that M-100S failed mainly at the sisal–matrix interface, with limited fibre tearing. This once again points towards poor interfacial adhesion and low fibre wettability. Incorporation of flax in H-67S/33F resulted in a marked strength reduction, with failure occurring between sisal yarns (Figure 9b), which is also attributed to the reduced number of fibres at the fracture surface. The higher tensile strength observed for H-67S/33F is associated with increased fibre interaction, evidenced by extensive fibre tearing and sisal fibres present on the flax side of the fracture. Here, failure occurred primarily at the sisal–flax interface (Figure 9c). In M-100F, failure occurred mainly between flax yarns (Figure 9d), indicating weaker flax–flax interfaces than sisal–matrix interfaces. This is consistent with transverse tensile results and the absence of fibre fibrillation. These observations agree with Zuccarello et al. [21], who reported a two-order-of-magnitude reduction in transverse tensile strength for pure sisal composites, partly due to fibre splitting.

4.3. Failure Modes for Specimens Subject to Shear Loading

Shear tests showed no complete fracture, with failure occurring mainly within the resin and at fibre interfaces. Figure 10 illustrates fibre sliding during testing. Sisal fibres exhibited no clear fibre splitting, whereas flax fibres showed visible splitting between yarns and colour changes in flax-rich regions pointing towards fibre–matrix failure. Sisal failure was dominated by poor fibre–matrix adhesion, with crack propagation through the resin and between sisal yarns, consistent with tensile failure modes. In contrast, the shorter fibre morphology of flax allowed damage to propagate within the yarn, which may explain the lower shear strength of flax-dominated composites.
Samples H-67S/33F had the advantage of benefiting from both the lower fibre splitting and the crack propagation within the flax, thus mitigating the negative effects seen for the pure flax composite (M-100F).

4.4. Failure Modes for Compressive Loaded Specimens

Compressive failure modes are complex and varied; as seen in Figure 11, the failure can occur mainly in three distinct manners, plastic microbuckling, buckling delamination and fibre crushing. All modes of failure were observed. Sisal yarns tend to split and suffer buckling delamination (Figure 11a). Figure 11b,c show that with the buckling delamination, signs of plastic microbuckling are also evident. Furthermore, the flax fibres within the hybrids show signs of fibre crushing or brooming. The M-100F composite presented brooming failure, fibre crushing and microbuckling. In contrast, the sisal fibres do not broom or suffer fibre crushing, helping the composite maintain shape with little to no bulging in the width direction. The data shows that all the samples presented similar failure modes, which is reflected in the compressive properties where little to no statistical variations were seen for the compressive strength and stiffness.

5. Conclusions

The mechanical properties of mono-fibre and intraply sisal/flax composites were obtained and analysed. The results showed that the hybrids exhibited good overall mechanical properties (tensile, shear and compressive strength and modulus) when compared to the M-100F or M-100S. Lower flax content proved beneficial in terms of structural to cost-efficiency proving an alternative composite to the mono-fibre configurations. In particular, the following conclusions were drawn:
  • Flax composites showed the highest longitudinal tensile strength, representing increases of ~40% and ~42% over M-100S.
  • Hybrid composites (H-67S/33F, H-33S/67F) reduced flax content while maintaining competitive tensile performance, offering a cost-effective alternative to M-100F with large-scale resin supply.
  • Rule-of-mixtures micromechanical models can predict longitudinal tensile strength and stiffness when accurate fibre properties are used.
  • Compared with the literature, sisal/flax hybrids provide superior tensile properties relative to other natural fibre combinations.
  • Sisal-dominated composites outperformed M-100F in transverse tensile and shear properties.
  • Transverse strength and modulus were the highest for H-67S/33F, while shear strength and modulus peaked for H-33S/67F.
  • Intraply sisal/flax hybrids offer clear cost and structural advantages under transverse- and shear-dominated loading.
  • Halpin–Tsai models poorly predicted transverse tensile stiffness and strength, particularly for M-100F, indicating the need for improved correction factors.
  • Halpin–Tsai models adequately captured shear behaviour except for M-100F, where experimentally measured shear modulus is required.
  • Overall, the Halpin–Tsai models predict no direct fibre contribution to transverse or shear stiffness, with optimal agreement achieved when the reinforcement efficiency parameter ϵ was set to zero. In contrast, experimental observations demonstrated stiffness variations attributable to microstructural mechanisms, including fibrillation and fibre bridging, highlighting the limitations of the analytical model in capturing these effects.
  • Longitudinal compressive strength showed limited variation across composites, with H-67S/33F providing the best performance.
  • Compressive modulus was governed by the dominant fibre; sisal-rich composites exhibited higher stiffness than flax-rich ones.
  • Rule-of-mixtures predictions for compressive stiffness were valid for sisal-dominated composites but failed for flax-dominated systems, requiring accurate flax compressive stiffness data.
  • Compressive failure modes were consistent across samples (brooming, fibre crushing, microbuckling), contrasting with micromechanical predictions that suggested shear-dominated failure.
  • Failure analysis and SEM showed greater matrix penetration in flax yarns, while sisal exhibited limited infiltration, attributed to thicker twisted yarns and lower fibre wettability.

Author Contributions

Conceptualization, methodology, validation, formal analysis, investigation and data curation, D.K.K.C., J.J., T.U. and B.E.G.; writing—original draft preparation, D.K.K.C. and D.C.; writing—review and editing and supervision, D.C., M.M. and C.M.-F.; project administration and funding acquisition, D.C. and H.L. All authors have read and agreed to the published version of the manuscript.

Funding

This research was funded by Xjenza Malta and the Ministry for Science and Technology of the People’s Republic of China (MOST), through the SINO-MALTA Fund 2022 Call (Science and Technology Cooperation) for the project ECO-Composite, project no: Sino-Malta 2022-04.

Institutional Review Board Statement

Not applicable.

Informed Consent Statement

Not applicable.

Data Availability Statement

The data presented in this study are available on request from the corresponding author.

Conflicts of Interest

The authors declare no conflict of interest.

References

  1. Dolz, M.; Martinez, X.; Sá, D.; Silva, J.; Jurado, A. Composite materials, technologies and manufacturing: Current scenario of European Union shipyards. Ships Offshore Struct. 2023, 19, 1157. [Google Scholar] [CrossRef]
  2. Neto, J.; Queiroz, H.; Aguiar, R.; Lima, R.; Cavalcanti, D.; Banea, M.D. A Review of Recent Advances in Hybrid Natural Fiber Reinforced Polymer Composites. J. Renew. Mater. 2022, 10, 561–589. [Google Scholar] [CrossRef]
  3. Pender, K.; Bacharoudis, K.; Romoli, F.; Greaves, P.; Fuller, J. Feasibility of Natural Fibre Usage for Wind Turbine Blade Components: A Structural and Environmental Assessment. Sustainability 2024, 16, 5533. [Google Scholar] [CrossRef]
  4. dos Santos, N.V.; Giubilini, A.; Cardoso, D.C.T.; Minetola, P. Exploring printing methods for continuous natural fiber-reinforced thermoplastic biocomposites: A comparative study. Sustain. Mater. Technol. 2025, 43, e01253. [Google Scholar] [CrossRef]
  5. Skosana, S.J.; Khoathane, C.; Malwela, T. Driving towards sustainability: A review of natural fiber reinforced polymer composites for eco-friendly automotive light-weighting. J. Thermoplast. Compos. Mater. 2025, 38, 754–780. [Google Scholar] [CrossRef]
  6. Gomez, N.A.; Grech, B.E.; Muscat, M.; Muscat-Fenech, C.D.; Camilleri, D.; Sinagra, E.; Lanfranco, S. Chemical and physical modifications of the surface of sisal agave fibre used as a reinforcement in epoxy resin—A Review. J. Nat. Fibers 2024, 21, 2390077. [Google Scholar] [CrossRef]
  7. Ullah, T.; Hussain, M.; Ali, M.; Umair, M. Impact of auxeticity on mechanical properties of 3Dwoven auxetic reinforced thermoplastic composites. Polym. Compos. 2022, 44, 897. [Google Scholar] [CrossRef]
  8. Safdar, M.M.; Khan, M.I.; Ullah, T.; Shaker, K.; Nawab, Y.; Rizwan, Z.; Asghar, M.A.; Umair, M. Effect of fillers and weave architecture hybridization on the impact performance of 3D woven hybrid green composites. Polym. Compos. 2023, 45, 1776. [Google Scholar] [CrossRef]
  9. Peças, P.; Carvalho, H.; Salman, H.; Leite, M. Natural Fibre Composites and Their Applications: A Review. J. Compos. Sci. 2018, 2, 66. [Google Scholar] [CrossRef]
  10. Pickering, K.L.; Aruan Efendy, M.G.; Le, T.M. A review of recent developments in natural fibre composites and their mechanical performance. Compos. Part A Appl. Sci. Manuf. 2015, 83, 98–112. [Google Scholar] [CrossRef]
  11. Ladaci, N.; Saadia, A.; Belaadi, A.; Boumaaza, M.; Chai, B.X.; Abdullah, M.M.S.; Al-Khawlani, A.; Ghernaout, D. ANN and RSM Prediction of Water Uptake of Recycled HDPE Biocomposite Reinforced with Treated Palm Waste W. filifera. J. Nat. Fibers 2024, 21, 2356697. [Google Scholar] [CrossRef]
  12. Santos, N.V.; Cardoso, D.C. 3D printing of vegetable yarn-reinforced polymer components. J. Clean. Prod. 2023, 415, 137870. [Google Scholar] [CrossRef]
  13. Bcomp. The Future of Automotive Design. 2025. Available online: https://www.bcomp.com/news/the-future-of-automotive-design/ (accessed on 12 December 2025).
  14. Das, S.C.; La Rosa, A.D.; Goutianos, S.; Grammatikos, S.A. Chapter 9—Flax fibers, their composites and application. In Plant Fibers, Their Composites, and Applications; Mavinkere Rangappa, S., Parameswaranpillai, J., Siengchin, S., Ozbakkaloglu, T., Wang, H., Eds.; Elsevier: Amsterdam, The Netherlands, 2022. [Google Scholar] [CrossRef]
  15. Baley, C.; Bourmaud, A.; Davies, P. Eighty years of composites reinforced by flax fibres: A historical review. Compos. Part A Appl. Sci. Manuf. 2021, 144, 106333. [Google Scholar] [CrossRef]
  16. Colamartino, I.; Pinato, E.; Cavasin, M.; Tagliabue, M.; Anghileri, M.; Boniardi, M. Static, dynamic and impact properties of a high-performance flax-fiber composite. Results Mater. 2023, 20, 100493. [Google Scholar] [CrossRef]
  17. Baley, C.; Gomina, M.; Breard, J.; Bourmaud, A.; Davies, P. Variability of mechanical properties of flax fibres for composite reinforcement. A review. Ind. Crops Prod. 2020, 145, 111984. [Google Scholar] [CrossRef]
  18. Stavropoulos, P.; Mavroeidis, A.; Papadopoulos, G.; Roussis, I.; Bilalis, D.; Kakabouki, I. On the Path towards a “Greener” EU: A Mini Review on Flax (Linum usitatissimum L.) as a Case Study. Plants 2023, 12, 1102. [Google Scholar] [CrossRef] [PubMed]
  19. Li, Y.; Mai, Y.-W.; Ye, L. Sisal fibre and its composites: A review of recent developments. Compos. Sci. Technol. 2000, 60, 2037–2055. [Google Scholar] [CrossRef]
  20. Ramzy, A.; Beermann, D.; Steuernagel, L.; Meiners, D.; Ziegmann, G. Developing a new generation of sisal composite fibres for use in industrial applications. Compos. Part B Eng. 2014, 66, 287–298. [Google Scholar] [CrossRef]
  21. Zuccarello, B.; Militello, C.; Bongiorno, F. Influence of the anisotropy of sisal fibers on the mechanical properties of high performance unidirectional biocomposite lamina and micromechanical models. Compos. Part A Appl. Sci. Manuf. 2021, 143, 106320. [Google Scholar] [CrossRef]
  22. Wagh, J.P.; Malagi, R.R.; Madgule, M. Investigative studies on natural fiber reinforced composites for automotive bumper beam applications. J. Reinf. Plast. Compos. 2025, 44, 2524–2534. [Google Scholar] [CrossRef]
  23. Ahmed, M.M.; Dhakal, H.; Zhang, Z.; Barouni, A.; Zahari, R. Enhancement of impact toughness and damage behaviour of natural fibre reinforced composites and their hybrids through novel improvement techniques: A critical review. Compos. Struct. 2021, 259, 113496. [Google Scholar] [CrossRef]
  24. Cavalcanti, D.K.K.; Banea, M.D.; Neto, J.S.S.; Lima, R.A.A.; da Silva, L.F.M.; Carbas, R.J.C. Mechanical characterization of intralaminar natural fibre-reinforced hybrid composites. Compos. Part B Eng. 2019, 175, 107149. [Google Scholar] [CrossRef]
  25. Ramesh, M.; Palanikumar, K.; Reddy, K.H. Influence of fiber orientation and fiber content on properties of sisal-jute-glass fiber-reinforced polyester composites. J. Appl. Polym. Sci. 2016, 133, 42968. [Google Scholar] [CrossRef]
  26. Kaushik, D.; Gairola, S.; Varikkadinmel, B.; Singh, I. Static and dynamic mechanical behavior of intra-hybrid jute/sisal and flax/kenaf reinforced polypropylene composites. Polym. Compos. 2023, 44, 515–523. [Google Scholar] [CrossRef]
  27. Sumesh, K.R.; Ajithram, A.; Palanisamy, S.; Kavimani, V. Mechanical properties of ramie/flax hybrid natural fiber composites under different conditions. Biomass Convers. Biorefinery 2024, 14, 29579–29590. [Google Scholar] [CrossRef]
  28. Chandrashekar, P.H.; Nagarajachari, U.; Girijappa, Y.G.T.; Chandregowda, H.B.; Kalappa, P. Synergistic effects of sisal/glass fiber hybridization and eggshell powder filler on the performance of eco-friendly polymer composites. Polym. Compos. 2025, 46, 1327–1341. [Google Scholar] [CrossRef]
  29. Ganesan, V.; Shanmugam, V.; Alagumalai, V.; Kaliyamoorthy, B.; Das, O.; Misra, M. Optimisation of mechanical behaviour of Calotropis gigantea and Prosopis juliflora natural fibre-based hybrid composites by using Taguchi-Grey relational analysis. Compos. Part C Open Access 2024, 13, 100433. [Google Scholar] [CrossRef]
  30. Adam, H.M.; Bogale, T.M.; Paramasivam, V. Studies on mechanical properties characterization of hybrid sisal and stinging nettle fiber reinforced epoxy composite material. J. Mater. Res. Technol. 2025, 37, 5086–5102. [Google Scholar] [CrossRef]
  31. Sundeep, D.; Varadaraj, E.K.; Ephraim, S.D.; Sastry, C.C.; Krishna, A.G. Mechanical, morphological and thermal analysis of unidirectional fabricated sisal/flax hybrid natural fiber composites. Surf. Topogr. Metrol. Prop. 2022, 10, 015028. [Google Scholar] [CrossRef]
  32. Mulenga, T.K.; Ude, A.U.; Chinnasamy, V. Mechanical analysis of sisal fiber/bio-epoxy/fly-ash reinforced hybrid composites. J. Compos. Mater. 2023, 57, 4463–4477. [Google Scholar] [CrossRef]
  33. Atmakuri, A.; Palevicius, A.; Kolli, L.; Vilkauskas, A.; Janusas, G. Development and Analysis of Mechanical Properties of Caryota and Sisal Natural Fibers Reinforced Epoxy Hybrid Composites. Polymers 2021, 13, 864. [Google Scholar] [CrossRef]
  34. Masud, M.; Mubashar, A. Effect of hybridization on the mechanical performance and cost efficiency of carbon/flax bio-hybrid composites. Polym. Compos. 2024, 45, 9766–9784. [Google Scholar] [CrossRef]
  35. de Queiroz, H.F.M.; dos Santos, N.V.; Neto, J.S.S.; Banea, M.D. Mechanical characterization of novel natural fibre-reinforced composites via a three-dimensional fibre architecture. Compos. Sci. Technol. 2025, 261, 110996. [Google Scholar] [CrossRef]
  36. Yashas Gowda, T.G.; Vinod, A.; Madhu, P.; Mavinkere Rangappa, S.; Siengchin, S.; Jawaid, M. Mechanical and thermal properties of flax/carbon/kevlar based epoxy hybrid composites. Polym. Compos. 2022, 43, 5649–5662. [Google Scholar] [CrossRef]
  37. ISO 2062:2009; Textiles—Yarns from Packages—Determination of Single-End Breaking Force and Elongation at Break Using Constant Rate of Extension (CRE) Tester. ISO International: Geneva, Switzerland, 2009. [CrossRef]
  38. ASTM D792-20; Standard Test Methods for Density and Specific Gravity (Relative Density) of Plastics by Displacement. ASTM International: West Conshohocken, PA, USA, 2020. [CrossRef]
  39. Rouway, M.; Nachtane, M.; Tarfaoui, M.; Chakhchaoui, N.; Omari, L.; Fraija, F.; Cherkaoui, O. Prediction of Mechanical Performance of Natural Fibers Polypropylene Composites: A comparison Study. In IOP Conference Series: Materials Science and Engineering, Proceedings of the International Conference on Advances in Energy Technologies, Environment, El Jadida, Morocco, 13–14 December 2018; IOP Publishing: Bristol, UK, 2020; Volume 948. [Google Scholar] [CrossRef]
  40. Baley, C.; Kervoëlen, A.; Le Duigou, A.; Goudenhooft, C.; Bourmaud, A. Is the low shear modulus of flax fibres an advantage for polymer reinforcement? Mater. Lett. 2016, 185, 534–536. [Google Scholar] [CrossRef]
  41. Ullah, T.; Camilleri, D.; Sinagra, E.; Ellul Grech, B. Eco-Accelerators: Enhancing the Curing and Strength of Bio-Based Epoxy Materials. Applied Science—Special Issue Polymer Chemistry and Environmental Chemistry. 2026, under review.
  42. Neto, J.S.S.; de Queiroz, H.F.M.; Cavalcanti, D.K.K.; Aguiar, R.A.A.; Pereira, A.B.; Banea, M.D. Effect of ultraviolet radiation and water spraying on the mechanical properties of multi-walled carbon nanotubes reinforced natural fiber and hybrid composites. J. Appl. Polym. Sci. 2021, 139, 51915. [Google Scholar] [CrossRef]
  43. ASTM D3039/D3039M; Standard Test Method for Tensile Properties of Polymer Matrix Composite Materials; ASTM International. West Conshohocken, PA, USA, 2017. [CrossRef]
  44. ASTM D3410/D3410M-16e1; Standard Test Method for Compressive Properties of Polymer Matrix Composite Materials with Unsupported Gage Section by Shear Loading. ASTM International: West Conshohocken, PA, USA, 2003. [CrossRef]
  45. ASTM D5379/D5379M; Standard Test Method for Shear Properties of Composite Materials by the V-Notched Beam Method; ASTM International. West Conshohocken, PA, USA, 2019. [CrossRef]
  46. Jones, R. Mechanics of Composite Materials; Taylor & Francis: Boca Raton, FL, USA, 1999; ISBN 1-56032-712-X. [Google Scholar]
  47. Halpin, J.C.; Tsai, S.W. Effects of Environmental Factors on Composite Materials. AFML-TR-67-423; Air Force Material Laboratory, Wright-Patterson Air Force Base: Riverside, OH, USA, 1969.
  48. Andersons, J.; Modniks, J. A probabilistic model of the tensile strength of a UD flax–fabric-reinforced polymer composite. Polym. Compos. 2018, 39, 2101–2109. [Google Scholar] [CrossRef]
  49. Aldroubi, S.; Kasal, B.; Yan, L.; Bachtiar, E.V. Multi-scale investigation of morphological, physical and tensile properties of flax single fiber, yarn and unidirectional fabric. Compos. Part B Eng. 2023, 259, 110732. [Google Scholar] [CrossRef]
  50. Zhu, J.; Zhu, H.; Njuguna, J.; Abhyankar, H. Recent Development of Flax Fibres and Their Reinforced Composites Based on Different Polymeric Matrices. Materials 2013, 6, 5171–5198. [Google Scholar] [CrossRef]
  51. Stochioiu, C.; Ciolcă, M.; Deca, A.-L. Mechanical Characterization of Flax and Hemp Fibers Cultivated in Romania. Materials 2024, 17, 4871. [Google Scholar] [CrossRef]
  52. Mahjoub, W.; Harzallah, O. Physical and Mechanical Characterization of Flax Fibers: From Elementary Fiber to Yarn. Fibers 2025, 13, 87. [Google Scholar] [CrossRef]
  53. Benkhelladi, A.; Laouici, H.; Bouchoucha, A. Tensile and flexural properties of polymer composites reinforced by flax, jute and sisal fibres. Int. J. Adv. Manuf. Technol. 2020, 108, 895–916. [Google Scholar] [CrossRef]
  54. Park, S.Y.; Choi, W.J. Review of material test standardization status for the material qualification of laminated thermosetting composite structures. J. Reinf. Plast. Compos. 2020, 40, 235. [Google Scholar] [CrossRef]
  55. Nagamadhu, M.; Kivade, S.B.; Basavaraju, S.; Channabasappa, M.K.G.; Subramanya, R.; Malyadri, T. Influence of textile properties and textile pattern on sisal reinforced Poly Vinyl Ester (Flex GR 200-60) composite. Adv. Mater. Process. Technol. 2023, 9, 315–331. [Google Scholar] [CrossRef]
  56. Xie, Y.; Hill, C.A.S.; Xiao, Z.; Militz, H.; Mai, C. Silane coupling agents used for natural fiber/polymer composites: A review. Compos. Part A Appl. Sci. Manuf. 2010, 41, 806. [Google Scholar] [CrossRef]
Figure 1. Representative intraply hybrid composites. (a) Sisal 33%/flax 67% H-33S/67F, 137-tex flax in the wrap direction and 1 sisal yarn (1429 tex) to 10 flax yarns (333 tex) unit cell in the weft direction. (b) Representative 5 flax yarns to 1 sisal yarn. (c) Schematic of H-33S/67F unit cell. (d) Schematic of H-67S/33F unit cell.
Figure 1. Representative intraply hybrid composites. (a) Sisal 33%/flax 67% H-33S/67F, 137-tex flax in the wrap direction and 1 sisal yarn (1429 tex) to 10 flax yarns (333 tex) unit cell in the weft direction. (b) Representative 5 flax yarns to 1 sisal yarn. (c) Schematic of H-33S/67F unit cell. (d) Schematic of H-67S/33F unit cell.
Applsci 16 01455 g001
Figure 2. Fabricated woven uniaxial mono-fibre and hybrid intraply sisal/flax mats.
Figure 2. Fabricated woven uniaxial mono-fibre and hybrid intraply sisal/flax mats.
Applsci 16 01455 g002
Figure 3. Representative longitudinal tensile stress–strain curves of M-100S, H-67S/33F, H-33S/67F and M-100F.
Figure 3. Representative longitudinal tensile stress–strain curves of M-100S, H-67S/33F, H-33S/67F and M-100F.
Applsci 16 01455 g003
Figure 4. Representative transverse tensile stress–strain curves of M-100S, H-67S/33F, H-33S/67F and M-100F.
Figure 4. Representative transverse tensile stress–strain curves of M-100S, H-67S/33F, H-33S/67F and M-100F.
Applsci 16 01455 g004
Figure 5. Representative shear stress–strain curves of the samples.
Figure 5. Representative shear stress–strain curves of the samples.
Applsci 16 01455 g005
Figure 6. Representative compressive stress–strain curves for the composite samples.
Figure 6. Representative compressive stress–strain curves for the composite samples.
Applsci 16 01455 g006
Figure 7. Representative failure of tensile specimens (a) M-100S AGM, (b) H-67S/33F LGT, (c) H-33S/67F AWB and (d) M-100F LGM.
Figure 7. Representative failure of tensile specimens (a) M-100S AGM, (b) H-67S/33F LGT, (c) H-33S/67F AWB and (d) M-100F LGM.
Applsci 16 01455 g007
Figure 8. SEM imaging of the break surface of the longitudinal tensile samples: (a) Sisal/matrix interface, M-100S, (b) Pulled-out sisal fibre, M-100S, (c) Overview of break surface, H-67S/33F, (d) Interface between matrix and flax for H-67S/33F sample, (e) Sisal pull–out, Y-33F/67S, (f) Interface between the sisal and flax fibres, Y-33F/67S, (g) Overview of break surface, M-100F and (h) Flax fibre, M-100F.
Figure 8. SEM imaging of the break surface of the longitudinal tensile samples: (a) Sisal/matrix interface, M-100S, (b) Pulled-out sisal fibre, M-100S, (c) Overview of break surface, H-67S/33F, (d) Interface between matrix and flax for H-67S/33F sample, (e) Sisal pull–out, Y-33F/67S, (f) Interface between the sisal and flax fibres, Y-33F/67S, (g) Overview of break surface, M-100F and (h) Flax fibre, M-100F.
Applsci 16 01455 g008
Figure 9. Tensile transverse failure modes for (a) M-100S, (b) H-67S/33F, (c) H-33S/67F and (d) M-100F.
Figure 9. Tensile transverse failure modes for (a) M-100S, (b) H-67S/33F, (c) H-33S/67F and (d) M-100F.
Applsci 16 01455 g009
Figure 10. Representative failure mode and close-up of the notch region of the shear samples with (a) M-100S, (b) H-67S/33F, (c) H-33S/67F and (d) M-100F.
Figure 10. Representative failure mode and close-up of the notch region of the shear samples with (a) M-100S, (b) H-67S/33F, (c) H-33S/67F and (d) M-100F.
Applsci 16 01455 g010
Figure 11. Representative longitudinal compressive failure of: (a) M-100S, (b) H-67S/33F, (c) H-33S/67F, and (d) M-100F.
Figure 11. Representative longitudinal compressive failure of: (a) M-100S, (b) H-67S/33F, (c) H-33S/67F, and (d) M-100F.
Applsci 16 01455 g011
Table 1. Fibre properties and density.
Table 1. Fibre properties and density.
Fibre Type/DataSisalFlax
tex1429333
Cost per tonne in USD [9]600–7002100–4200
Density (sisal ρ s ; flax ρ f ) [g/cm3]1.241.45
Tensile strength ( s i s a l   σ s u l t ; f l a x   σ f u l t ) , [MPa]198.1 ± 6.32311.3 ± 18.4
Young’s modulus, (sisal E s ; flax E f ) [GPa]7.54 ± 0.8218.23 ± 0.79
Poisson’s ratio ( s i s a l   v f s ; f l a x   v f f ) based on [39]0.320.45
Shear modulus ( s i s a l   G f s ; f l a x   G f f ) [GPa] based on G f s = E s 2 ( 1 + v f s ) for sisal and on [40] for flax2.852.5
Table 2. Pro-Set INF 117G/2048 resin system properties [41].
Table 2. Pro-Set INF 117G/2048 resin system properties [41].
TensileShearCompressiveDensity
Strength X m t [MPa]Modulus E m [GPa]Poisson’s Ratio v m Strength S m [MPa]Modulus G m [GPa]Strength X m c [MPa]Modulus E c [GPa] ρ m (g cm−3)
68.13.480.3643.91.33102.63.151.13
Table 3. Fibre, matrix and void volume fractions based on fibre yarn densities, composite weight and volume.
Table 3. Fibre, matrix and void volume fractions based on fibre yarn densities, composite weight and volume.
PropertyMono-Fibre Sisal OnlyMono-Fibre Flax OnlyIntraply Hybrid
Fibre volume fraction, V f i b V f i b = W f t o t ρ s V c e (3) V f i b = W f t o t ρ f V c e (4) V f i b = W f t o t m s ρ f + W f t o t m f ρ s ρ s ρ f V c e (5)
Matrix volume fraction, V m V m = W c W f t o t ρ m V c e (6)
Void fraction, V v V v = 1 ( V f i b + V m ) (7)
Table 4. The physical properties of the composites under investigation.
Table 4. The physical properties of the composites under investigation.
NomenclatureM-100SH-67S/33FH-33S/67FM-100F
Woven mat propertiesFibre volume ratio V s = 1
V f = 0
V s = 0.67
V f = 0.33
V s = 0.33
V f = 0.67
V s = 0
V f = 1
Fibre mass ratio m s = 1
m f = 0
m s = 0.635
m f = 0.365
m s = 0.296
m f = 0.704
m s = 0
m f = 1
Cost percentage based on [9]16.7–28.5%47.1–54.6%75.3–78.9%100%
Area mass (g/m2)1045106110181077
Composite specimen propertiesFibre volume fraction V f i b 0.280.300.310.29
Matrix volume fraction V m 0.6830.6440.6400.667
Void volume fraction V v 0.0370.05560.04990.0423
Thickness (mm)2.61 ± 0.0632.63 ± 0.062.78 ± 0.0993.08 ± 0.092
Table 5. Governing stiffness equations based on micromechanics approach [46].
Table 5. Governing stiffness equations based on micromechanics approach [46].
PropertyMicromechanics Approach
Longitudinal tensile stiffness, E 1 T E 1 T = E s V s + E f V f V f i b + E m V m (8)
Major Poisson’s ratio v 12 v 12 = v f s V s + v f f V f V f i b + v m V m (9)
Transverse tensile stiffness E 2 T E 2 f i b = E s E f E s V f + E f V m (10) μ = E 2 f i b E m 1 E 2 f i b E m + ϵ (11) E 2 T = 1 + ϵ μ V f i b 1 μ V f i b E m (12)
Minor Poisson’s ratio v 21 v 21 = E 1 T v 12 E 2 T (13)
Shear modulus G 12 G f i b = G f s G f f G f s V f + G f f V m (14) μ = G f i b G m 1 G f i b G m + ϵ (15) G 12 = 1 + ϵ μ V f i b 1 μ V f i b G m (16)
Longitudinal compressive stiffness, E 1 C E 1 C = E s V s + E f V f V f i b + E c V m (17)
Table 6. Strength equations based on micromechanics approach [46].
Table 6. Strength equations based on micromechanics approach [46].
PropertyPrevailing Micromechanics Approach
Longitudinal tensile strength X T M-100S X T = σ s u l t V f i b + ε s u l t E m V m (18)
Hybrid sisal/flax X T = σ f u l t V f V f i b + ε f u l t E s V s V f i b + E m V m (19)
M-100F X T = σ f u l t V f i b + ε f u l t E m V m (20)
Transverse tensile strength Y T Y T = E 2 T d s E m E s V s + E f V f 1 + 1 ε m u l t (21)
Representative volume elementSquare: d s = 4 V f i b π (22)Hexagon: d s = 2 3 V f i b π   (23)
Shear strength S 12 S 12 = G 12 d s E m G f s V s + G f f V f 1 + 1 γ m u l t (24)
Longitudinal compressive strength X C X C = 2 S 12 (25)
Table 7. Experimental and analytical longitudinal stiffness, Ε1T.
Table 7. Experimental and analytical longitudinal stiffness, Ε1T.
Young’s Modulus, Ε1T, [GPa]M-100SH-67S/33FH-33S/67FM-100F
Experimental data4.63 ± 0.426.38 ± 0.827.18 ± 0.207.94 ± 0.28
Analytical data
(based on actual V f i b —Equation (8))
4.495.576.777.61
Difference (%)−3.1%−12.6%−5.7%−4.2%
Table 8. Experimental and analytical Poisson’s ratio, ν12.
Table 8. Experimental and analytical Poisson’s ratio, ν12.
Poisson’s Ratio, ν12M-100SH-67S/33FH-33S/67FM-100F
Experimental data0.31 ± 0.090.39 ± 0.080.43 ± 0.120.36 ± 0.03
Analytical data
(based on actual V f i b —Equation (9))
0.3350.3410.3570.371
Difference (%)8.2%−12.6%−17.1%3.0%
Table 9. Experimental and analytical longitudinal tensile strength, XT.
Table 9. Experimental and analytical longitudinal tensile strength, XT.
Tensile Strength, XT, [MPa]M-100SH-67S/33FH-33S/67FM-100F
Experimental data92.57 ± 7.00121.71 ± 8.34132.98 ± 12.06159.22 ± 5.41
Analytical data
(based on actual V f i b —Equations (18)–(20))
117.995.2115.7130.0
Difference (%)27.4%−21.8%−13.0%−18.4%
Analytical adjusted
σ s u l t = 85% = 168 MPa
σ f u l t = 155% = 482 MPa
109.6112.3151.1179.6
Difference adjusted (%)18.4%−7.7%13.6%12.8%
Table 11. Transverse tensile data for the composite samples.
Table 11. Transverse tensile data for the composite samples.
DataM-100SH-67S/33FH-33S/67FM-100F
Young’s modulus Ε2T, [GPa]2.36 ± 0.062.69 ± 0.393.05 ± 0.041.12 ± 0.18
Analytical data (based on actual V f i b —Equations (14)–(16) with ϵ = 0 )4.104.294.485.55
Difference %73.6%59.4%46.8%306.0%
Tensile strength YT, [MPa]13.05 ± 0.8510.03 ± 1.6517.33 ± 1.0810.08 ± 0.91
Analytical data (based on actual V f i b , experimental Ε2T and assuming a square RVE Equations (21) and (22))51.052.453.218.1
Difference %290.6%422.0%207.2%79.8%
Poisson’s ratio ν210.14 ± 0.010.14 ± 0.020.08 ± 0.020.1 ± 0.04
Based on experimental Ε1T, Ε2T, and ν12 (Equation (13))0.1580.1640.1820.05
Difference%12.9%17.5%128.3%−49.2%
Table 12. Shear properties for the different composites.
Table 12. Shear properties for the different composites.
DataM-100SH-67S/33FH-33S/67FM-100F
Modulus of rigidity G12, [GPa]1.45 ± 0.071.49 ± 0.051.41 ± 0.150.85 ± 0.15
Analytical data (based on actual V f i b —Equations (10)–(12) with ϵ = 0 )1.561.571.571.54
Difference %7.9%5.5%11.2%81.0%
Shear strength S12, [MPa]32.93 ± 4.3629.26 ± 3.3936.73 ± 2.0521.39 ± 3.9
Analytical data (based on actual V f i b , experimental G12 and assuming a square RVE Equations (22) and (24))33.6533.6132.2120.08
Difference %2.2%18.6%−9.6%−3.55%
Table 13. Compressive experimental and analytical mechanical properties.
Table 13. Compressive experimental and analytical mechanical properties.
DataM-100SH-67S/33FH-33S/67FM-100F
Compressive modulus, E1c [GPa]4.90 ± 0.645.17 ± 0.744.17 ± 0.264.60 ± 0.5
Analytical data (based on actual V f i b and tensile fibre stiffness)4.265.366.567.39
Difference %−13.0%3.7%57.4%60.7%
Compressive strength, Xc [MPa]39.06 ± 2.0041.30 ± 2.3241.01 ± 1.6038.33 ± 2.23
Analytical data (based on experimental shear strength Equation (25))65.8658.5273.4642.78
Difference %68.6%41.7%79.1%11.6%
Disclaimer/Publisher’s Note: The statements, opinions and data contained in all publications are solely those of the individual author(s) and contributor(s) and not of MDPI and/or the editor(s). MDPI and/or the editor(s) disclaim responsibility for any injury to people or property resulting from any ideas, methods, instructions or products referred to in the content.

Share and Cite

MDPI and ACS Style

Cavalcanti, D.K.K.; Joy, J.; Ullah, T.; Camilleri, D.; Ellul Grech, B.; Muscat-Fenech, C.; Muscat, M.; Li, H. Mechanical Properties of Mono-Fibre and Intraply Hybrid Sisal–Flax Fibre-Reinforced Composites: A Comparative Study. Appl. Sci. 2026, 16, 1455. https://doi.org/10.3390/app16031455

AMA Style

Cavalcanti DKK, Joy J, Ullah T, Camilleri D, Ellul Grech B, Muscat-Fenech C, Muscat M, Li H. Mechanical Properties of Mono-Fibre and Intraply Hybrid Sisal–Flax Fibre-Reinforced Composites: A Comparative Study. Applied Sciences. 2026; 16(3):1455. https://doi.org/10.3390/app16031455

Chicago/Turabian Style

Cavalcanti, Daniel K. K., Jobin Joy, Tehseen Ullah, Duncan Camilleri, Brian Ellul Grech, Claire Muscat-Fenech, Martin Muscat, and Hongjun Li. 2026. "Mechanical Properties of Mono-Fibre and Intraply Hybrid Sisal–Flax Fibre-Reinforced Composites: A Comparative Study" Applied Sciences 16, no. 3: 1455. https://doi.org/10.3390/app16031455

APA Style

Cavalcanti, D. K. K., Joy, J., Ullah, T., Camilleri, D., Ellul Grech, B., Muscat-Fenech, C., Muscat, M., & Li, H. (2026). Mechanical Properties of Mono-Fibre and Intraply Hybrid Sisal–Flax Fibre-Reinforced Composites: A Comparative Study. Applied Sciences, 16(3), 1455. https://doi.org/10.3390/app16031455

Note that from the first issue of 2016, this journal uses article numbers instead of page numbers. See further details here.

Article Metrics

Back to TopTop