Modelling, Parametric Study, and Optimisation of 3D Model-Scale Helicopter’s Rotor Blade with Piezoelectric Actuators
Abstract
1. Introduction
2. Materials and Methods
2.1. Configuration of Model-Scale Rotor Blade
2.2. Finite Element Model
2.3. Parametric Study
| Objective function: | f(a) ⟹ max |
| Design variables: | 16.0 ≤ lCF ≤ 22.0 mm |
| 24.0 ≤ lspar ≤ 46.0 mm | |
| 0.5 ≤ tspar ≤ 2.0 mm | |
| 0.25 ≤ tskin ≤ 1.0 mm | |
| 0 ≤ lMFC ≤ 80 mm |
2.4. Static Behaviour of the Rotor Blade
2.5. Optimisation
3. Results
3.1. Model Validation
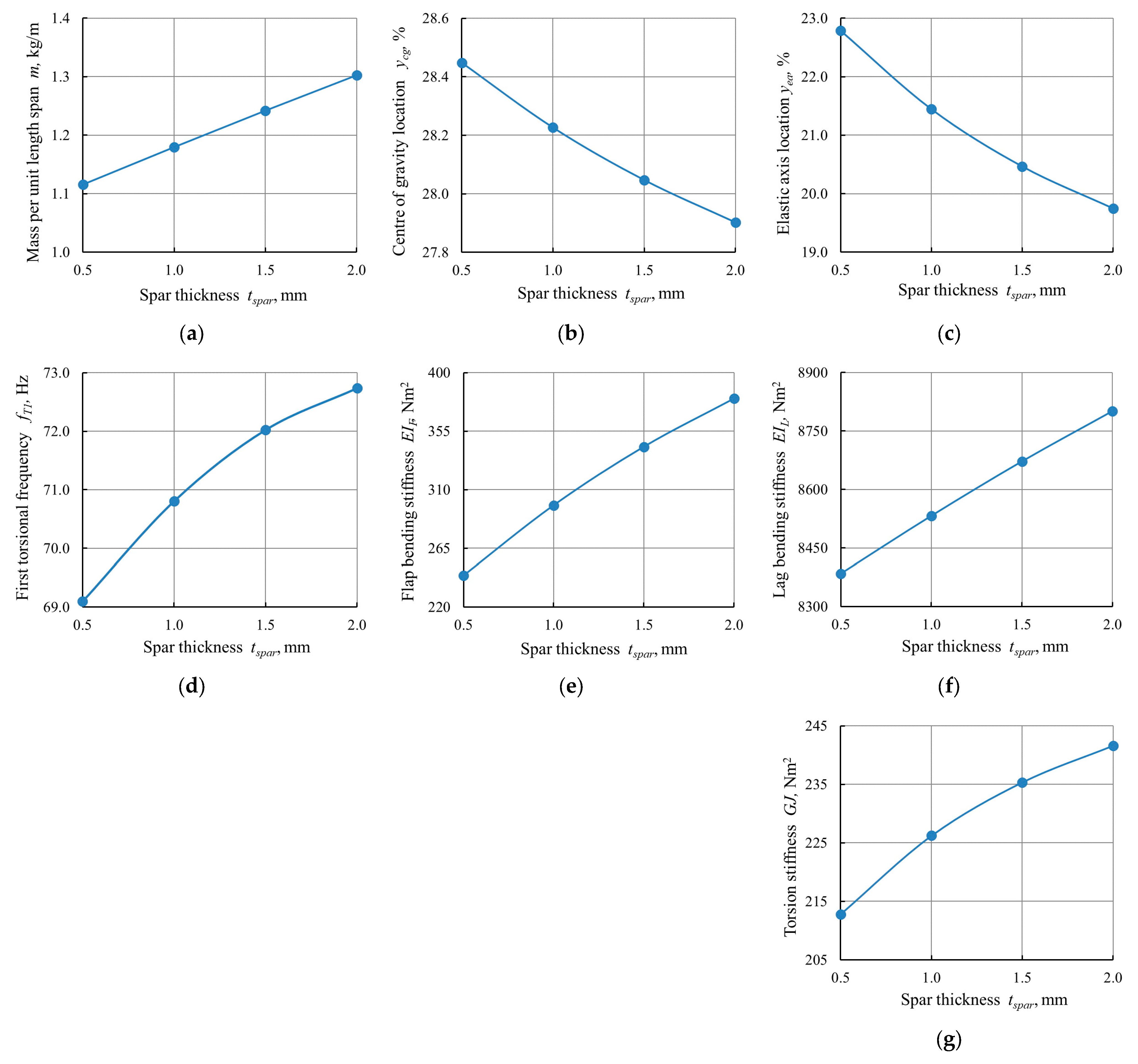
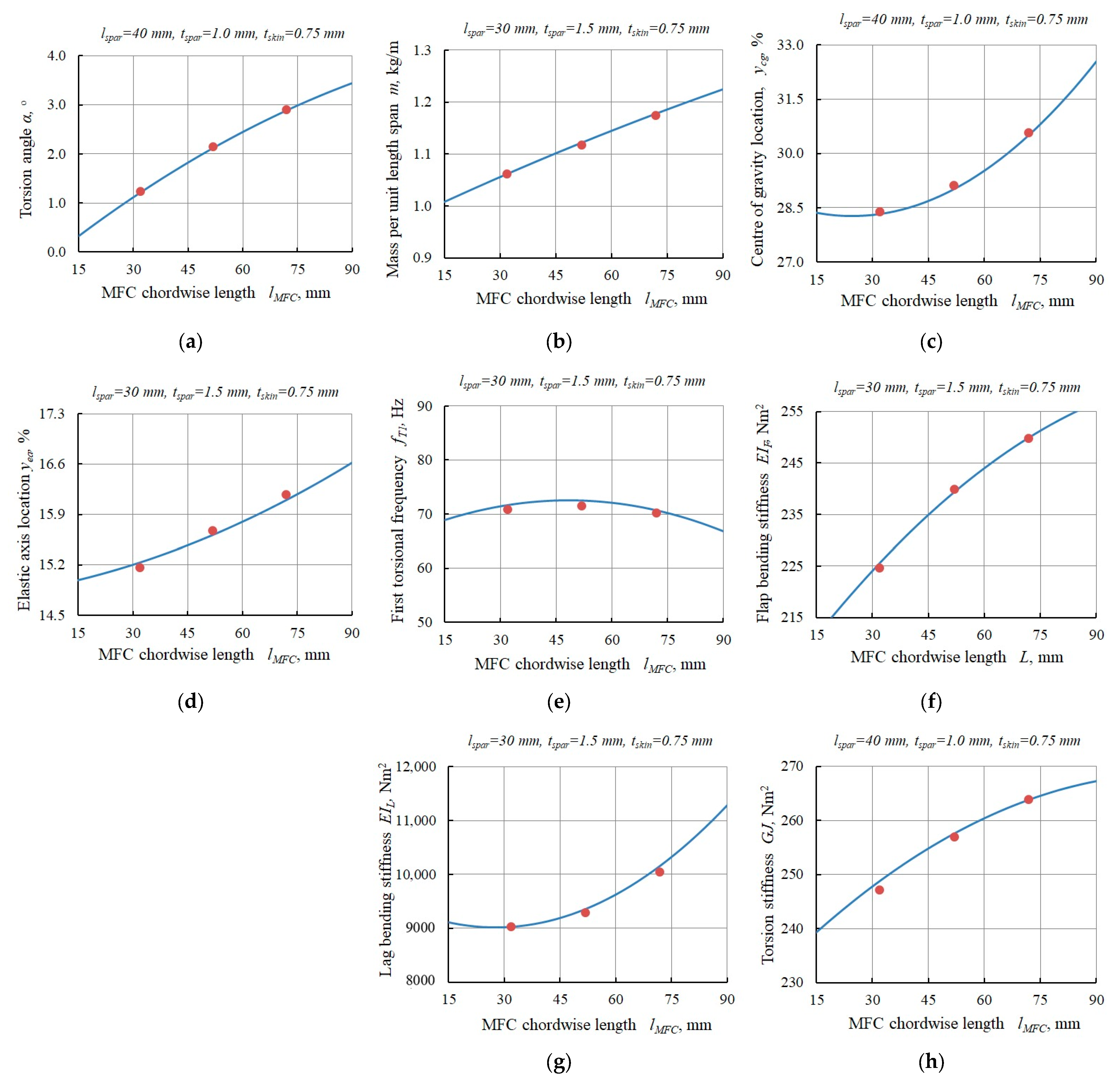
3.2. Parametric Study and Analysis
3.3. Optimisation
| Objective function: | Design variables: | Constraints: | ||
| f(a) ⟹ max | 24.0 ≤ lspar ≤ 46.0 | [mm] | 22 ≤ ycg ≤ 30 | [%] |
| 0.5 ≤ tspar ≤ 2.0 | [mm] | 10 ≤ yea ≤ 25 | [%] | |
| 0.25 ≤ tskin ≤ 1.0 | [mm] | m ≤ 1.35 | [kg/m] | |
| 14 ≤ lMFC ≤ 90 | [mm] | fT1 ≥ 67.9 | [Hz] | |
| 100 ≤ EIFlap ≤ 500 | [Nm2] | |||
| 2600 ≤ EILag ≤ 15,400 | [Nm2] | |||
| 64 ≤ GJ ≤ 320 | [Nm2] |
4. Conclusions
- The 3D numerical model was developed by means of the finite element software ANSYS and compared with the reference rotor model-scale blade. Most characteristics of the experimental rotor blade were in good agreement with those predicted by the numerical model. The differences from the experimental ones were no more than 6.5%, except for lag bending and torsion stiffness.
- The influences of the blade’s cross-sectional dimensions were investigated without changing the aerodynamic profile. The spar flange thickness and spar flange length showed a negligible effect on the twist angle. Skin thickness had the greatest influence, accounting for ~57% of the twist angle. To activate the piezoelectric effect, the thermal analogy was used.
- An optimal design of the model-scale rotor blade was carried out to demonstrate the capabilities of the developed optimisation methodology. Verification of the approximation equations was confirmed using the coefficient of determination, and validation was performed using finite element solutions at points outside the experimental design. The optimum results were also verified by finite element solutions.
- It was established that, with the optimised geometric parameters of the cross-section, the maximum active twist reaches 5.2°, while the positions of the elastic axis and the centre of gravity exhibit only minor deviations from those of the reference model. The placement of the piezoelectric actuators significantly influences both the flapwise bending and torsional stiffness of the blade.
- Parametric studies using response surfaces can be used by designers to investigate the influence of different design parameters on the behaviour functions. The use of approximation equations enables the engineer to find an optimal compromise between the required blade twist angle, the dimensions of its cross-section, and the specified structural constraints.
Funding
Institutional Review Board Statement
Informed Consent Statement
Data Availability Statement
Conflicts of Interest
Abbreviations
| UD | Unidirectional |
| GFRP | Glass Fibre Reinforced Plastic |
| MFC | Macro-Fibre Composite |
| RSM | Response Surface Method |
| FE | Finite Element |
Appendix A. Parametric Study
Appendix A.1. Dependence of Constraints on Spar Flange Length

Appendix A.2. Dependence of Constraints on Spar Flange Thickness

Appendix A.3. Dependence of Constraints on Spar Circular Fitting

Appendix A.4. Dependence of Constraints on Skin Thickness

References
- Friedmann, P.P.; Millott, T.A. Vibration Reduction in Rotorcraft Using Active Control: A Comparison of Various Approaches. J. Guid. Control Dyn. 1995, 18, 664–673. [Google Scholar] [CrossRef]
- Chopra, I. Review of state of art of smart structures and integrated systems. AIAA J. 2002, 40, 2145−2187. [Google Scholar] [CrossRef]
- Thakkar, D.; Ganguli, R. Active twist control of smart helicopter rotor—A survey. Aerosp. Sci. Technol. 2005, 57, 429–448. [Google Scholar] [CrossRef]
- Han, D.; Zhang, Y. Research progess in active twist rotor. Acta Aerodyn. Sin. 2025, 43, 52–66. (In Chinese) [Google Scholar] [CrossRef]
- Chen, P.C.; Chopra, I. Induced strain actuation of composite beams and rotor blades with embedded piezoceramic elements. J. Smart Mater. Struct. 1996, 5, 35–48. [Google Scholar] [CrossRef]
- Chen, P.C.; Chopra, I. Hover testing of smart rotor with induced-strain actuation of blade twist. AIAA J. 1997, 35, 6–16. [Google Scholar] [CrossRef]
- Chen, P.C.; Chopra, I. Wind tunnel test of a smart rotor model with individual blade twist control. J. Intell. Mater. Syst. Struct. 1997, 8, 414−425. [Google Scholar] [CrossRef]
- Bent, A.A.; Hagood, N.W. Piezoelectric Fiber Composites with Interdigitated Electrodes. J. Intell. Mater. Syst. Struct. 1997, 8, 903–919. [Google Scholar] [CrossRef]
- Sodano, H.A.; Park, G.; Inman, D.J. An investigation into the performance of macro-fiber composites for sensing and structural vibration applications. Mech. Syst. Signal Process. 2004, 18, 683–697. [Google Scholar] [CrossRef]
- Derham, R.C.; Hagood, N.W. Rotor design using smart materials to actively twist blades. In Proceedings of the 52nd Annual Forum of the American Helicopter Society, Washington, DC, USA, 4–6 June 1996; pp. 1242–1252. [Google Scholar]
- Rodgers, J.P.; Hagood, N.W.; Weems, D.B. Design and Manufacture of an Integral Twist-Actuated Rotor Blade. In Proceedings of the 38th AIAA/ASME/ASCE/AHS/ASC Structures, Structural Dynamics and Materials Conference and Adaptive Structures Forum, Kissimmee, FL, USA, 7–10 April 1997. [Google Scholar] [CrossRef]
- Shin, S.J.; Cesnik, C.E.S.; Hall, S.R. Design and Simulation of Integral Twist Control for Helicopter Vibration Reduction. Int. J. Control Autom. Syst. 2007, 5, 24–34. [Google Scholar]
- Shin, S.J.; Cesnik, C.E.S.; Wilkie, W.K.; Wilbur, M.L. Design and Manufacturing of a Model–scale Active Twist Rotor Prototype Blade. J. Intell. Mater. Syst. Struct. 2008, 19, 1443–1456. [Google Scholar] [CrossRef]
- Kreshock, A.R.; Thornburgh, R.P.; Wilbur, M.L.; Langston, C.W. Experimental bench testing of an active-twist rotor blade. In Proceedings of the 53rd AIAA/ASME/ ASCE/AHS/ASC Structures, Structural Dynamics and Materials Conference, Honolulu, HI, USA, 23–26 April 2012; pp. 1922–1937. [Google Scholar] [CrossRef]
- Monner, H.P.; Opitz, S.; Riemenschneider, J.; Wierach, P. Evolution of active twist rotor designs at DLR. In Proceedings of the 49th AIAA/ASME/ASCE/AHS/ASC Structures, Structural Dynamics, and Materials Conference, Schaumburg, IL, USA, 7–10 April 2008; pp. 5080–5090. [Google Scholar] [CrossRef]
- Monner, H.P.; Riemenschneider, J.; Opitz, S.; Schulz, M. Development of active twist rotors at the German Aerospace Center (DLR). In Proceedings of the 52nd AIAA/ASME/ASCE/AHS/ASC Structures, Structural Dynamics and Materials Conference, Denver, CO, USA, 4–7 April 2011; pp. 1823–1832. [Google Scholar] [CrossRef]
- Opitz, S.; Riemenschneider, J.; Hoffmann, F.; Schneider, O. Measurement of the dynamic tip twist angles of an Active Twist model scale rotor blade. In Proceedings of the 36th European Rotorcraft Forum, Paris, France, 7–9 September 2010. [Google Scholar]
- Riemenschneider, J.; Opitz, S. Measurement of twist deflection in active twist rotor. Aerosp. Sci. Technol. 2011, 15, 216−223. [Google Scholar] [CrossRef]
- Van der Wall, B.G.; Lim, J.W.; Riemenschneider, J.; Kalow, S.; Wilke, G.A.; Boyd, D.D.; Bailly, J.; Delrieux, Y.; Cafarelli, I.; Tanabe, Y.; et al. New smart twisting active rotor (STAR): Pretest predictions. CEAS Aeronaut. J. 2024, 15, 721−750. [Google Scholar] [CrossRef]
- Kim, D.H.; Hong, S.; Jung, S.N. Multicyclic Vibration Control of a Helicopter Rotor with Active Twist Actuation. Int. J. Aeronaut. Space Sci. 2022, 23, 303–314. [Google Scholar] [CrossRef]
- Steininger, R.; Barakos, G. Aeroelastic fluid dynamics assessment of performance and vibration on active twisting rotors. Aerosp. Sci. Technol. 2024, 151, 109317. [Google Scholar] [CrossRef]
- Steininger, R.; Barakos, G. Active Twist and Passive Rotors in Hover and Level Flight. In Proceedings of the Vertical Flight Society’s 79th Annual Forum & Technology Display, West Palm Beach, FL, USA, 16–18 May 2023. [Google Scholar] [CrossRef]
- Zhang, X.; Wan, Z.; Yan, D. Optimal Segment Control of Active Twist Rotor for Power Reduction in Forward Flight. Appl. Sci. 2021, 11, 1041. [Google Scholar] [CrossRef]
- Xu, A.; Wan, Z.; Wang, X.; Zhang, X.; Yang, C. Helicopter power and vibration reduction by segment control of active twist rotor. Aerosp. Sci. Technol. 2026, 168, 111207. [Google Scholar] [CrossRef]
- Chiarelli, M.R.; Binante, V.; Bonomo, S.; Botturi, S.; Giani, L.; Kunzmann, J.; Cozzolino, A.; Romano, D.G. Numerical Investigation of a Morphing Wing Section Controlled by Piezoelectric Patches. Actuators 2025, 14, 499. [Google Scholar] [CrossRef]
- Park, J.S.; Shin, S.J. A preliminary design on the second generation integral twist–actuated blade. In Proceedings of the International Conference on Computational & Experimental Engineering and Sciences, Beijing, China, 27–30 May 2007; pp. 265–269. [Google Scholar] [CrossRef]
- Masarati, P.; Morandini, M.; Riemenschneider, J.; Wierach, P.; Gluhih, S.; Barkanov, E. Optimal Design of an active twist 1:2.5 scale rotor blade. In Proceedings of the 31st European Rotorcraft Forum, Firenze, Italy, 13–15 September 2005. [Google Scholar]
- Barkanov, E.; Gluhih, S.; Kovalovs, A. Optimal Design of the Active Twist for Helicopter Rotor Blades with C-Spar. Mech. Adv. Mater. Struct. 2008, 15, 325–334. [Google Scholar] [CrossRef]
- Kovalovs, A.; Wesolowski, M.; Barkanov, E.; Gluhihs, S. Application of Macro-Fibre Composite (MFC) as Piezoelectric Actuator. J. Vibroengineering 2009, 11, 105–112. [Google Scholar]
- Glukhikh, S.; Barkanov, E.; Kovalev, A.; Masarati, P.; Morandini, M.; Riemenschneider, J.; Wierach, P. Design of helicopter rotor blades with actuators made of a piezomacrofiber composite. Mech. Compos. Mater. 2008, 44, 57–64. [Google Scholar] [CrossRef]
- Côté, F.; Masson, P.; Mrad, N.; Cotoni, V. Dynamic and static modelling of piezoelectric composite structures using a thermal analogy with MSC/NASTRAN. Compos. Struct. 2004, 65, 471–484. [Google Scholar] [CrossRef]
- Barkanov, E.; Kovalovs, A.; Anoshkin, A.; Pisarev, P. An Application of Thermal Analogy in Active Control Problems. In Advanced Materials Modelling for Mechanical, Medical and Biological Applications; Altenbach, H., Eremeyev, V.A., Galybin, A., Vasiliev, A., Eds.; Advanced Structured Materials; Springer: Berlin/Heidelberg, Germany, 2022; Volume 155, pp. 51–62. [Google Scholar] [CrossRef]
- Anoshkin, A.N.; Pisarev, P.V.; Bayandin, S.R.; Kungurtseva, E.G. Numerical calculation of composite structures equipped with flexible piezoactuators stress-strain state. AIP Conf. Proc. 2020, 2216, 040013. [Google Scholar] [CrossRef]
- Anoshkin, A.N.; Pankov, A.A.; Pisarev, P.V.; Bayandin, S.R. Numerical prediction of a MFC actuator piezoelectroelastic properties for solving active control problems. AIP Conf. Proc. 2021, 2371, 030001. [Google Scholar] [CrossRef]
- Kovalovs, A.; Barkanov, E.; Ruchevskis, S.; Wesolowski, M. Modeling and Design of a Full-Scale Rotor Blade with Embedded Piezocomposite Actuators. Mech. Compos. Mater. 2017, 53, 179–192. [Google Scholar] [CrossRef]
- Kovalovs, A.; Barkanov, E.; Rucevskis, S.; Wesolowski, M. Optimisation Methodology of a Full-scale Active Twist Rotor Blade. Procedia Eng. 2017, 178, 85–95. [Google Scholar] [CrossRef]
- Rikards, R.; Bledzkij, A.K.; Eglajs, V.; Chate, A.; Kurek, K. Elaboration of optimal design models for composite materials from data of experiments. Mech. Compos. Mater. 1993, 28, 295–304. [Google Scholar] [CrossRef]
- Bates, S.J.; Sienz, J.; Langley, D.S. Formulation of the Audze–Eglais Uniform Latin Hypercube design of experiments. Adv. Eng. Softw. 2003, 34, 493–506. [Google Scholar] [CrossRef]
- Auzins, J.; Janushevskis, A.; Janushevskis, J.; Skukis, E. Software EdaOpt for experimental design, analysis and multiobjective robust optimization. In Proceedings of the International Conference on Engineering and Applied Science Optimization, Kos Island, Greece, 4–6 June 2014; pp. 101–123. [Google Scholar]
- Riemenschneider, J.; Keye, S.; Wierach, P.; Mercier Des Rochettes, H. Overview of the common DLR/ONERA project active wist blade (ATB). In Proceedings of the 30th European Rotorcraft Forum, Marseille, France, 14–16 September 2004; pp. 273–281. [Google Scholar]
- Anoshkin, A.N.; Pisarev, P.V.; Nureeva, E.G.; Bayandin, S.R. Multiparametric optimization of the rotor blade design of a helicopter with controlled geometry. PNRPU Mech. Bull. 2024, 3, 5–16. [Google Scholar]














| Title | UD GFRP | Foam | Lead | MFC |
|---|---|---|---|---|
| Elastic modulus, E1 [GPa] | 45.166 | 0.035 | 13.790 | 30.000 |
| Elastic moduli, E2 = E3 [GPa] | 11.981 | 0.035 | 13.790 | 15.500 |
| Shear moduli, G12 = G13 [GPa] | 4.583 | 0.014 | 2.000 | 5.700 |
| Shear modulus, G23 [GPa] | 1.289 | 0.014 | 2.000 | 10.700 |
| Poisson’s ratios, υ12 = υ13 | 0.238 | 0.25 | 0.44 | 0.31 |
| Poisson’s ratio, υ23 | 0.325 | 0.25 | 0.44 | 0.16 |
| Density, ρ [kg/m3] | 2008 | 52 | 11,300 | 4700 |
| Piezoelectric constant, d33 [m/V] | - | 4.18×10−10 | ||
| Piezoelectric constants, d31 = d32 [m/V] | - | −1.98×10−10 |
| Characteristics | Symbol | Units | Reference Blade [40] | FEM Blade | Δ, % |
|---|---|---|---|---|---|
| Centre of gravity location | ycg | [%c] | 25.1 | 25.1 | 0.0 |
| Elastic axis location | yea | [%c] | 20.6 | 20.0 | 3.1 |
| Mass per unit span length | m | [kg/m] | 0.95 | 0.95 | 0.0 |
| First torsional frequency | fT1 | [Hz] | 67.9 | 72.03 | 5.7 |
| Flap bending stiffness | EIF | [Nm2] | 250 | 243 | 3.0 |
| Lag bending stiffness | EIL | [Nm2] | 5200 | 6905 | 33.0 |
| Torsion stiffness | GJ | [Nm2] | 160 | 194 | 21.4 |
| a [°] | ycg [%c] | yea [%c] | m [kg/m] | fT1 [Hz] | EIFlap [Nm2] | EILag [Nm2] | GJ [Nm2] | |
|---|---|---|---|---|---|---|---|---|
| . | 99.53% | 99.92% | 98.68% | 100.00% | 94.09% | 99.73% | 99.97% | 99.94% |
| . | 99.09% | 99.85% | 97.45% | 100.00% | 88.58% | 99.48% | 99.94% | 99.88% |
| Title | Design Parameters | Constraints | Twist Angle | |||||||||
|---|---|---|---|---|---|---|---|---|---|---|---|---|
| lspar [mm] | tspar [mm] | tskin [mm] | lMFC [mm] | ycg [%c] | yea [%c] | m [kg/m] | fT1 [Hz] | EIFlap [Nm2] | EILag [Nm2] | GJ [Nm2] | a [°] | |
| RSM | 40.0 | 1.8 | 0.25 | 88.0 | 26.3 | 18.6 | 1.14 | 67.9 | 297.0 | 6798 | 175.0 | 5.2 |
| FEM | 40.0 | 1.8 | 0.25 | 88.0 | 26.3 | 18.2 | 1.14 | 67.1 | 304.0 | 6860 | 174.0 | 5.0 |
| Δ, % | - | - | - | - | 0 | 2.2 | 0 | 1.2 | 2.3 | 0.9 | 0.6 | 3.7 |
| Notation | Symbol | Units | Optimum Blade | Reference FEM Blade | Δ, % |
|---|---|---|---|---|---|
| Centre of gravity location | ycg | [%c] | 26.3 | 25.1 | 4.6 |
| Elastic axis location | yea | [%c] | 18.6 | 20.0 | 7.5 |
| Mass per unit span length | m | [kg/m] | 1.14 | 0.95 | 16.7 |
| First torsional frequency | fT1 | [Hz] | 67.9 | 72.03 | 6.1 |
| Flap bending stiffness | EIF | [Nm2] | 297 | 243 | 18.2 |
| Lag bending stiffness | EIL | [Nm2] | 6798 | 6905 | 1.6 |
| Torsion stiffness | GJ | [Nm2] | 175 | 194 | 10.9 |
Disclaimer/Publisher’s Note: The statements, opinions and data contained in all publications are solely those of the individual author(s) and contributor(s) and not of MDPI and/or the editor(s). MDPI and/or the editor(s) disclaim responsibility for any injury to people or property resulting from any ideas, methods, instructions or products referred to in the content. |
© 2026 by the author. Licensee MDPI, Basel, Switzerland. This article is an open access article distributed under the terms and conditions of the Creative Commons Attribution (CC BY) license.
Share and Cite
Kovalovs, A. Modelling, Parametric Study, and Optimisation of 3D Model-Scale Helicopter’s Rotor Blade with Piezoelectric Actuators. Appl. Sci. 2026, 16, 1319. https://doi.org/10.3390/app16031319
Kovalovs A. Modelling, Parametric Study, and Optimisation of 3D Model-Scale Helicopter’s Rotor Blade with Piezoelectric Actuators. Applied Sciences. 2026; 16(3):1319. https://doi.org/10.3390/app16031319
Chicago/Turabian StyleKovalovs, Andrejs. 2026. "Modelling, Parametric Study, and Optimisation of 3D Model-Scale Helicopter’s Rotor Blade with Piezoelectric Actuators" Applied Sciences 16, no. 3: 1319. https://doi.org/10.3390/app16031319
APA StyleKovalovs, A. (2026). Modelling, Parametric Study, and Optimisation of 3D Model-Scale Helicopter’s Rotor Blade with Piezoelectric Actuators. Applied Sciences, 16(3), 1319. https://doi.org/10.3390/app16031319
