Flow Prediction and Simulation Analysis of Thermoplastic Composites PA6 Hot Moulding Resin
Abstract
1. Introduction
2. Materials Characterisation
3. Rheological Modelling
4. Rheological Characterisation and Parameterisation
4.1. Rheometer Analysis
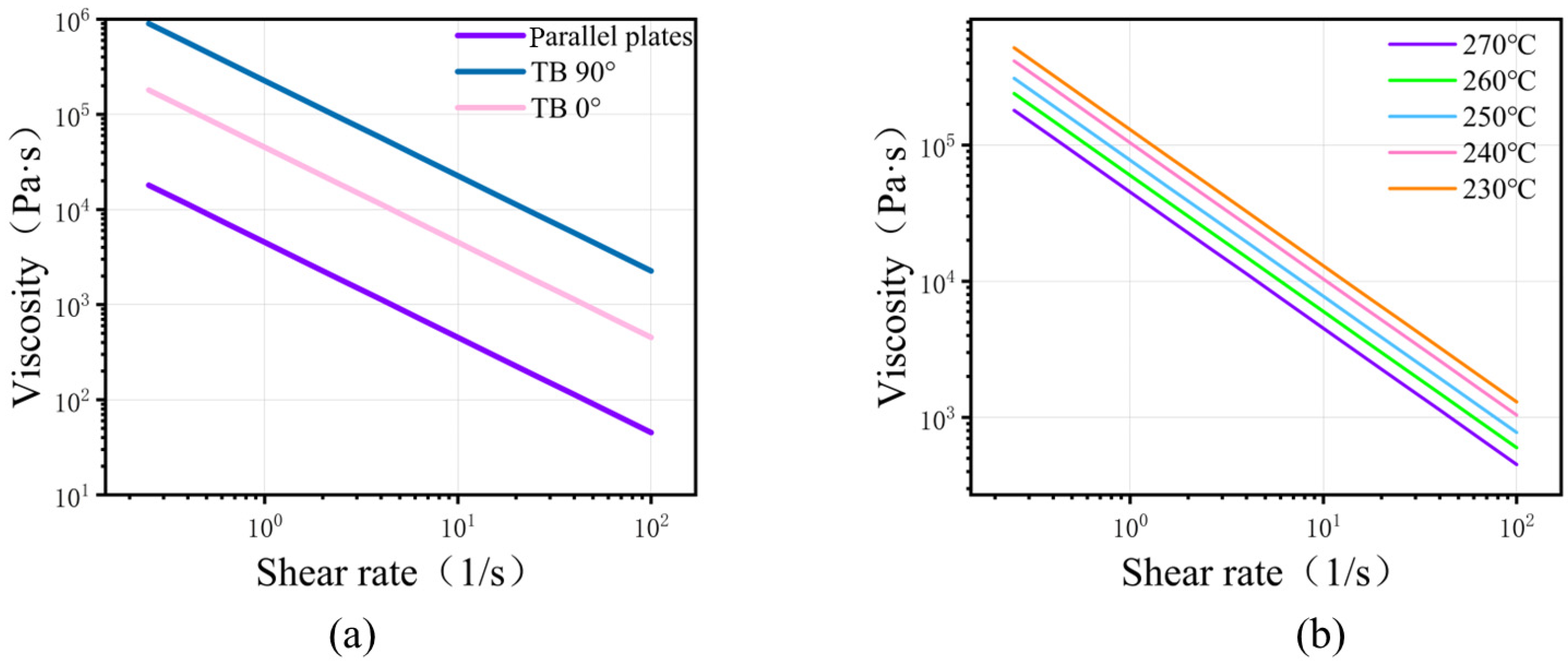
4.1.1. Rheometer Experimental Setup
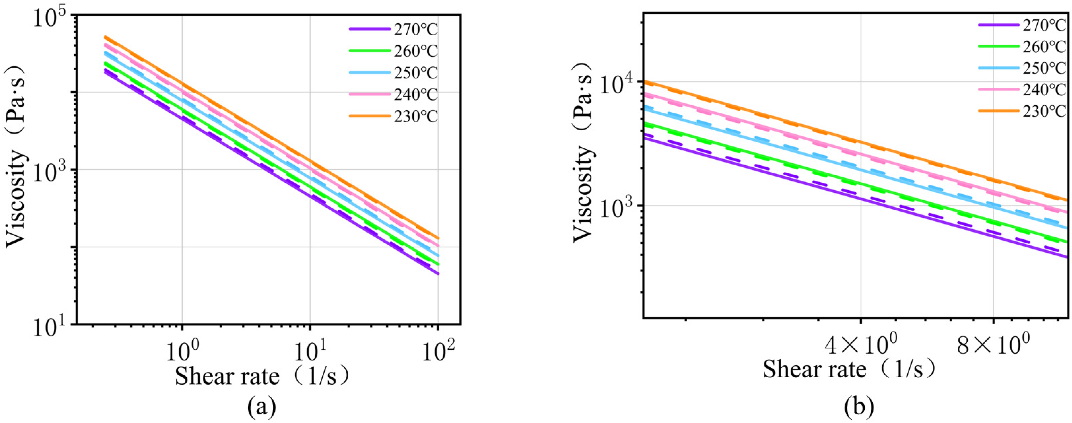
4.1.2. Experimental Results
4.1.3. Theoretical Background
4.1.4. Parametrisation of Anisotropic Materials
4.1.5. Parametrisation of Isotropic Materials
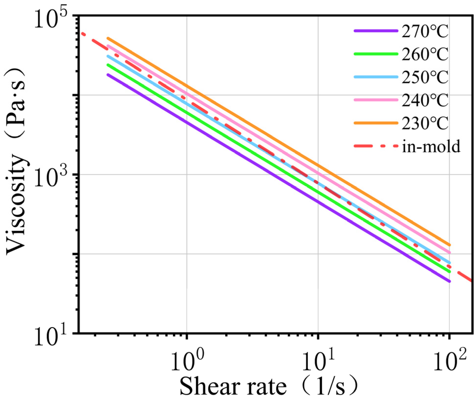
4.2. In-Mould Viscosity Analysis
4.2.1. Experimental Apparatus
4.2.2. Theoretical Basis
4.2.3. Experimental Results
4.2.4. Isotropic Parametrisation
5. Forming Simulation Analysis: Application and Virtual Validation
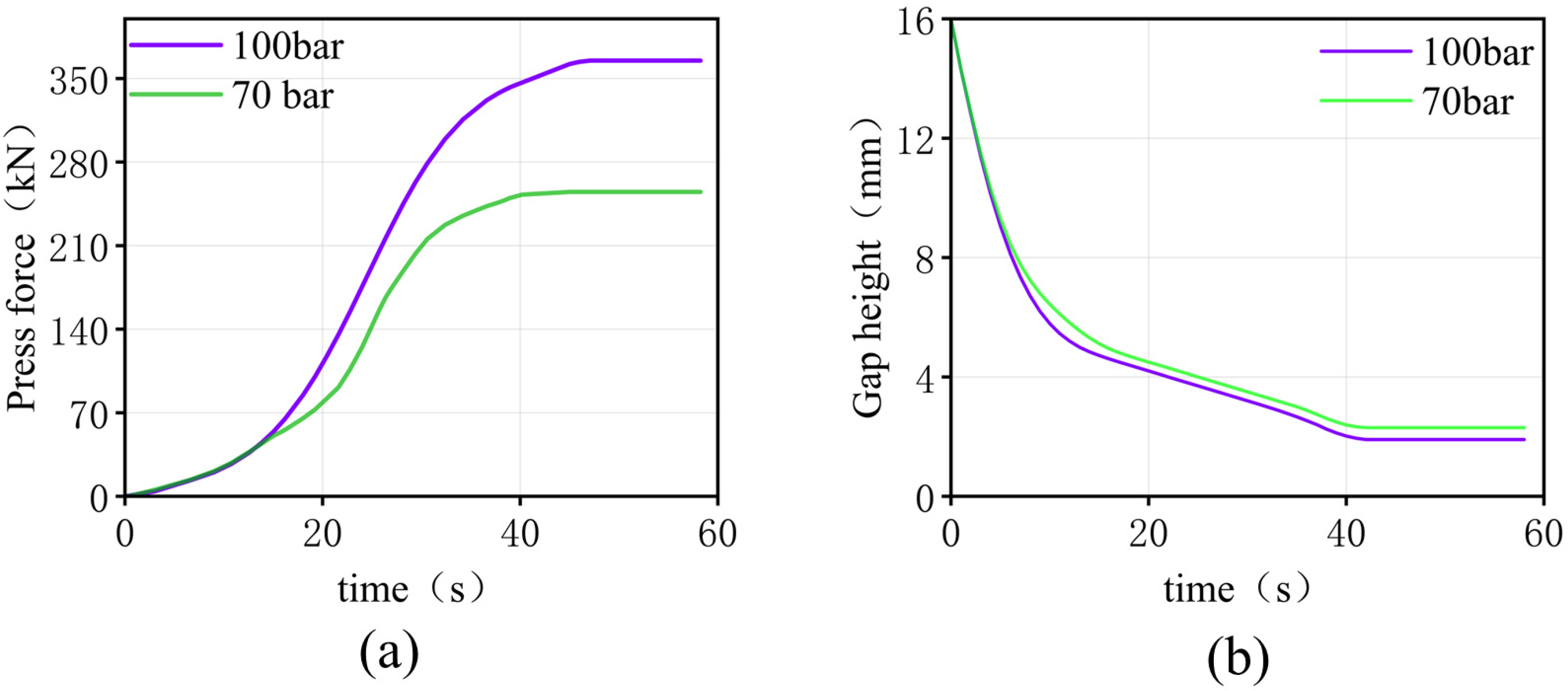
5.1. Flat Plate Simulation Analysis
5.2. Mechanical Properties Testing of Samples
5.2.1. Macro-Microstructure Analysis of Specimens
5.2.2. Test Results and Analysis
6. Conclusions
7. Statement of Limitations
Author Contributions
Funding
Institutional Review Board Statement
Informed Consent Statement
Data Availability Statement
Acknowledgments
Conflicts of Interest
References
- Schemme, M. LFT–development status and perspectives. Plast. Addit. Compd. 2008, 10, 38–43. [Google Scholar] [CrossRef]
- Wan, Y.; Takahashi, J. Development of carbon fiber-reinforced thermoplastics for mass-produced automotive applications in Japan. J. Compos. Sci. 2021, 5, 86. [Google Scholar] [CrossRef]
- Wei, H.; Nagatsuka, W.; Lee, H.; Ohsawa, I.; Sumimoto, K.; Wan, Y.; Takahashi, J. Mechanical properties of carbon fiber paper reinforced thermoplastics using mixed discontinuous recycled carbon fibers. Adv. Compos. Mater. 2018, 27, 19–34. [Google Scholar] [CrossRef]
- Bondy, M.; Pinter, P.; Altenhof, W. Experimental characterization and modelling of the elastic properties of direct compounded compression molded carbon fibre/polyamide 6 long fibre thermoplastic. Mater. Des. 2017, 122, 184–196. [Google Scholar] [CrossRef]
- Scheuring, B.M.; Christ, N.; Blarr, J.; Liebig, W.V.; Hohe, J.; Montesano, J.; Weidenmann, K.A. Experimental and homogenized orientation-dependent properties of hybrid long fiber-reinforced thermoplastics. Int. J. Mech. Sci. 2024, 280, 109470. [Google Scholar] [CrossRef]
- Dumont, P.; Vassal, J.P.; Orgéas, L. Processing, characterisation and rheology of transparent concentrated fibre-bundle suspensions. Rheol. Acta 2007, 46, 639–651. [Google Scholar] [CrossRef]
- Ericsson, K.A.; Toll, S.; Månson, J.-A.E. The two-way interaction between anisotropic flow and fiber orientation in squeeze flow. J. Rheol. 1997, 41, 491–511. [Google Scholar] [CrossRef]
- Dweib, M.A.; ÓBrádaigh, C.M. Extensional and shearing flow of a glass-mat-reinforced thermoplastics (GMT) material as a non-Newtonian viscous fluid. Compos. Sci. Technol. 1999, 59, 1399–1410. [Google Scholar]
- Sommer, D.E.; Favaloro, A.J.; Pipes, R.B. Coupling anisotropic viscosity and fiber orientation in applications to squeeze flow. J. Rheol. 2018, 62, 669–679. [Google Scholar] [CrossRef]
- Favaloro, A.J.; Sommer, D.E.; Denos, B.R.; Pipes, R.B. Simulation of prepreg platelet compression molding: Method and orientation validation. J. Rheol. 2018, 62, 1443–1455. [Google Scholar] [CrossRef]
- Wittemann, F.; Maertens, R.; Kärger, L.; Henning, F. Injection molding simulation of short fiber reinforced thermosets with anisotropic and non-Newtonian flow behavior. Compos. Part A Appl. Sci. Manuf. 2019, 124, 105476. [Google Scholar] [CrossRef]
- Görthofer, J.; Meyer, N.; Pallicity, T.D.; Schöttl, L.; Trauth, A.; Schemmann, M.; Hohberg, M.; Pinter, P.; Elsner, P.; Henning, F. Virtual process chain of sheet molding compound: Development, validation and perspectives. Compos. Part B Eng. 2019, 169, 133–147. [Google Scholar] [CrossRef]
- Dörr, D.; Singh-Heer, N.; Gergely, R.C.; Schreyer, L.; Henning, F.; Straatman, A.G.; Hrymak, A. Rheological characterization and macroscopic modeling and simulation of the molding process of a PA6 Glass Mat Thermoplastic (GMT). Compos. Part A Appl. Sci. Manuf. 2024, 176, 107780. [Google Scholar] [CrossRef]
- Kim, H.-S.; Chang, S.-H. Simulation of compression moulding process for long-fibre reinforced thermoset composites considering fibre bending. Compos. Struct. 2019, 230, 111514. [Google Scholar] [CrossRef]
- Bartus, S.; Vaidya, U.; Ulven, C. Design and development of a long fiber thermoplastic bus seat. J. Thermoplast. Compos. Mater. 2006, 19, 131–154. [Google Scholar] [CrossRef]
- Dörr, D.; Singh-Heer, N.; Xu, C.; Chang, T.; Clement-Thorne, B.; Gergely, R.C.; Okonski, D.; Henning, F.; Straatman, A.G.; Hrymak, A. Experimental and predictive analysis of the molding behavior of a PA6 glass mat thermoplastic (GMT). Int. J. Adv. Manuf. Technol. 2023, 129, 1159–1173. [Google Scholar] [CrossRef]
- Kotsikos, G.; Bland, J.; Gibson, A.; Chandler, H. Squeeze flow testing of glass mat thermoplastic material. Compos. Part A Appl. Sci. Manuf. 1996, 27, 1195–1200. [Google Scholar] [CrossRef]
- Le Corre, S.; Orgéas, L.; Favier, D.; Tourabi, A.; Maazouz, A.; Venet, C. Shear and compression behaviour of sheet moulding compounds. Compos. Sci. Technol. 2002, 62, 571–577. [Google Scholar] [CrossRef]
- Dumont, P.; Orgéas, L.; Le Corre, S.; Favier, D. Anisotropic viscous behavior of sheet molding compounds (SMC) during compression molding. Int. J. Plast. 2003, 19, 625–646. [Google Scholar] [CrossRef]
- Dweib, M.; Brádaigh, C.Ó. Compression molding of glass reinforced thermoplastics: Modeling and experiments. Polym. Compos. 2000, 21, 832–845. [Google Scholar] [CrossRef]
- Thattaiparthasarthy, K.B.; Pillay, S.; Vaidya, U.K. Rheological characterization of long fiber thermoplastics–Effect of temperature, fiber length and weight fraction. Compos. Part A Appl. Sci. Manuf. 2009, 40, 1515–1523. [Google Scholar] [CrossRef]
- Song, Y.; Gandhi, U.; Sekito, T.; Vaidya, U.K.; Vallury, S.; Yang, A.; Osswald, T. CAE method for compression molding of carbon fiber-reinforced thermoplastic composite using bulk materials. Compos. Part A Appl. Sci. Manuf. 2018, 114, 388–397. [Google Scholar] [CrossRef]
- Sommer, D.E.; Kravchenko, S.G.; Pipes, R.B. A numerical study of the meso-structure variability in the compaction process of prepreg platelet molded composites. Compos. Part A Appl. Sci. Manuf. 2020, 138, 106010. [Google Scholar] [CrossRef]
- Poppe, C.; Albrecht, F.; Krauß, C.; Kärger, L. A 3D modelling approach for fluid progression during process simulation of wet compression moulding–motivation & approach. Procedia Manuf. 2020, 47, 85–92. [Google Scholar] [CrossRef]
- Schreyer, L.; Krauß, C.; Scheuring, B.M.; Hrymak, A.; Kärger, L. Characterization and modeling of the anisotropic flow behavior of long carbon fiber reinforced thermoplastic compression molding. Compos. Part A Appl. Sci. Manuf. 2025, 198, 109053. [Google Scholar] [CrossRef]
- Huang, C.-T.; Chen, L.-J.; Chien, T.-Y. Investigation of the viscoelastic behavior variation of glass mat thermoplastics (GMT) in compression molding. Polymers 2019, 11, 335. [Google Scholar] [CrossRef]
- ASTM D3171-22; Standard Test Methods for Constituent Content of Composite Materials. ASTM International: West Conshohocken, PA, USA, 2022.
- Meyer, N. Mesoscale Simulation of the Mold Filling Process of Sheet Molding Compound; KIT Scientific Publishing: Karlsruhe, Germany, 2022; Available online: https://library.oapen.org/handle/20.500.12657/57535 (accessed on 21 January 2026).
- Djalili-Moghaddam, M.; Toll, S. A model for short-range interactions in fibre suspensions. J. Non-Newton. Fluid Mech. 2005, 132, 73–83. [Google Scholar] [CrossRef]
- Orgéas, L.; Dumont, P.; Le Corre, S. Rheology of highly concentrated fiber suspensions. In Rheology of Non-Spherical Particle Suspensions; Elsevier: Amsterdam, The Netherlands, 2015; pp. 119–166. [Google Scholar] [CrossRef]
- Batchelor, G.K. An Introduction to Fluid Dynamics; Cambridge University Press: Cambridge, UK, 2000. [Google Scholar]
- Ericksen, J. Transversely isotropic fluids. Kolloid-Zeitschrift 1960, 173, 117–122. [Google Scholar] [CrossRef]
- Lipscomb, G., II; Denn, M.M.; Hur, D.; Boger, D.V. The flow of fiber suspensions in complex geometries. J. Non-Newton. Fluid Mech. 1988, 26, 297–325. [Google Scholar] [CrossRef]
- Rogers, T. Squeezing flow of fibre-reinforced viscous fluids. J. Eng. Math. 1989, 23, 81–89. [Google Scholar] [CrossRef]
- Tucker, C.L., III. Flow regimes for fiber suspensions in narrow gaps. J. Non-Newton. Fluid Mech. 1991, 39, 239–268. [Google Scholar] [CrossRef]
- Dweib, M.A.; Brádaigh, C.M.Ó. Anisotropic modeling of isothermal squeezing flow of Glass-Mat reinforced thermoplastics (GMT). Polym. Compos. 1998, 19, 588–599. [Google Scholar] [CrossRef]
- Bertóti, R.; Böhlke, T. Flow-induced anisotropic viscosity in short FRPs. Mech. Adv. Mater. Mod. Process. 2017, 3, 1. [Google Scholar] [CrossRef]
- Wang, J.; Hopmann, C.; Schmitz, M.; Hohlweck, T.; Wipperfürth, J. Modeling of pvT behavior of semi-crystalline polymer based on the two-domain Tait equation of state for injection molding. Mater. Des. 2019, 183, 108149. [Google Scholar] [CrossRef]
- Phelps, J.H.; Tucker, C.L., III. An anisotropic rotary diffusion model for fiber orientation in short-and long-fiber thermoplastics. J. Non-Newton. Fluid Mech. 2009, 156, 165–176. [Google Scholar] [CrossRef]
- Favaloro, A.J.; Tseng, H.-C.; Pipes, R.B. A new anisotropic viscous constitutive model for composites molding simulation. Compos. Part A Appl. Sci. Manuf. 2018, 115, 112–122. [Google Scholar] [CrossRef]
- Chung, D.H.; Kwon, T.H. Invariant-based optimal fitting closure approximation for the numerical prediction of flow-induced fiber orientation. J. Rheol. 2002, 46, 169–194. [Google Scholar] [CrossRef]
- Cox, W.; Merz, E. Correlation of dynamic and steady flow viscosities. J. Polym. Sci. 1958, 28, 619–622. [Google Scholar] [CrossRef]
- Rudolph, N.; Osswald, T.A. Polymer Rheology: Fundamentals and Applications; Carl Hanser Verlag GmbH Co KG: Munich, Germany, 2014. [Google Scholar]
- Dinh, S.M.; Armstrong, R.C. A rheological equation of state for semiconcentrated fiber suspensions. J. Rheol. 1984, 28, 207–227. [Google Scholar] [CrossRef]
- Banaei, A.A.; Rosti, M.E.; Brandt, L. Numerical study of filament suspensions at finite inertia. J. Fluid Mech. 2020, 882, A5. [Google Scholar] [CrossRef]
- Lindström, S.B.; Uesaka, T. A numerical investigation of the rheology of sheared fiber suspensions. Phys. Fluids 2009, 21, 083301. [Google Scholar] [CrossRef]
- Shaqfeh, E.S.; Fredrickson, G.H. The hydrodynamic stress in a suspension of rods. Phys. Fluids A Fluid Dyn. 1990, 2, 7–24. [Google Scholar] [CrossRef]
- Kalaidov, M.; Meirson, G.; Heer, N.; Fan, Y.; Ivanov, S.; Ugresic, V.; Wood, J.; Hrymak, A. Viscosity measurement technique for long fiber thermoplastic material. In SPE ACCE Proceedings; SPE: Danbury, CT, USA, 2019. [Google Scholar]
- Macosko, C.W. Rheology Principles, Measurements and Applications; Wiley: New York, NY, USA, 1994. [Google Scholar]
- Saputra, N.; Seo, H.-D. Total Lagrangian smoothed particle hydrodynamics for large deformation problems considering Green–Naghdi stress rate. AIP Adv. 2025, 15, 0253589. [Google Scholar] [CrossRef]
- Doerr, D.; Joppich, T.; Kugele, D.; Henning, F.; Kaerger, L. A coupled thermomechanical approach for finite element forming simulation of continuously fiber-reinforced semi-crystalline thermoplastics. Compos. Part A Appl. Sci. Manuf. 2019, 125, 105508. [Google Scholar] [CrossRef]
- ISO 17744; Plastics—Determination of Specific Volume as a Function of Temperature and Pressure (pvT Diagram)—Piston Apparatus Method. International Organization for Standardization: Geneva, Switzerland, 2021.
















| Material Parameters | Symbol | Parameter Value |
|---|---|---|
| Prepreg density | ρ | 1500 kg/m3 |
| Fibre density | ρf | 1760 kg/m3 |
| Matrix density | ρm | 1140 kg/m3 |
| Fibre mass fraction | wf | 55 wt.% |
| Fibre volume fraction | φf | 44.6% |
| Equivalent thickness | t | 0.175 mm |
| Tensile modulus | Et | 93 GPa |
| Tensile strength | σt | 1850 MPa |
| Bending modulus | Ef | 91 GPa |
| Bending strength | σf | 1015 MPa |
| Comparison Dimension | Schreyer [25] | Favaloro [40] | This Paper |
|---|---|---|---|
| Material System | LFT-PA6 | GMT-PP | LFT-PA6 |
| Fibre Volume Fraction | 26% | 25%~40% | 44.6% |
| Core Constitutive Model | Anisotropic viscosity model | Invariant-based anisotropic model | Anisotropic viscosity tensor |
| Characterisation Method | Parallel-plate rheometry | - | Rheometry and in-mould analysis |
| Simulation Scope | Material characterisation | Constitutive model development | Integrated sequential simulation (forming and flow) |
| In-Mould Forming | Rheometer Isotropic | Rheometer Anisotropy | |
|---|---|---|---|
| m | 0.13 | 0.2 | 0.18 |
| A1 (MPa·s) | 1.09 × 109 | 1.25 × 109 | 1.61 × 107 |
| A2 (K) | 323.15 | 323.15 | 323.15 |
| B1 | 29 | 52 | 55 |
| B2 (K) | 473.15 | 503.25 | 515.15 |
| τ (MPa) | 0.012 | 0.0125 | 0.018 |
Disclaimer/Publisher’s Note: The statements, opinions and data contained in all publications are solely those of the individual author(s) and contributor(s) and not of MDPI and/or the editor(s). MDPI and/or the editor(s) disclaim responsibility for any injury to people or property resulting from any ideas, methods, instructions or products referred to in the content. |
© 2026 by the authors. Licensee MDPI, Basel, Switzerland. This article is an open access article distributed under the terms and conditions of the Creative Commons Attribution (CC BY) license.
Share and Cite
Li, Q.; Dong, Z.; Mu, S.; Sun, X.; Zhao, J.; Yang, H.; Liu, Y.; Yao, F.; Fu, X.; Zhang, W.; et al. Flow Prediction and Simulation Analysis of Thermoplastic Composites PA6 Hot Moulding Resin. Appl. Sci. 2026, 16, 1243. https://doi.org/10.3390/app16031243
Li Q, Dong Z, Mu S, Sun X, Zhao J, Yang H, Liu Y, Yao F, Fu X, Zhang W, et al. Flow Prediction and Simulation Analysis of Thermoplastic Composites PA6 Hot Moulding Resin. Applied Sciences. 2026; 16(3):1243. https://doi.org/10.3390/app16031243
Chicago/Turabian StyleLi, Qingyu, Zhixu Dong, Shibo Mu, Xingwei Sun, Jianlong Zhao, Heran Yang, Yin Liu, Fuyan Yao, Xiaoming Fu, Weifeng Zhang, and et al. 2026. "Flow Prediction and Simulation Analysis of Thermoplastic Composites PA6 Hot Moulding Resin" Applied Sciences 16, no. 3: 1243. https://doi.org/10.3390/app16031243
APA StyleLi, Q., Dong, Z., Mu, S., Sun, X., Zhao, J., Yang, H., Liu, Y., Yao, F., Fu, X., Zhang, W., Bao, D., & Zhao, Y. (2026). Flow Prediction and Simulation Analysis of Thermoplastic Composites PA6 Hot Moulding Resin. Applied Sciences, 16(3), 1243. https://doi.org/10.3390/app16031243

