Experimental and Numerical Analysis of Thermal Efficiency Improvement in a Hybrid Solar–Electric Water Heating System
Abstract
1. Introduction
2. Experimental Implementation
2.1. Design and Fabricate a Hybrid Solar System
2.2. Experimental Setup
2.3. Measuring Instruments and Calculations
2.4. Data Collection and Uncertainty Analysis
3. Numerical Analysis
3.1. Geometric Design and Mesh Discretization
3.2. Governing Equations
4. Results and Discussion
4.1. Experimental Results
4.2. Numerical Results
4.3. Validation of Numerical Modeling
5. Conclusions
- The lower flow rates consistently yield higher ΔT values because water spends a longer time in the collector, allowing it to absorb more heat. At 2.5 L/min, the system exhibits the highest temperature rise, peaking around 8–8.5 °C. The highest flow rate, 4.5 L/min, produces the lowest ΔT, about 5.5–6 °C at peak conditions. The results highlight the inverse relationship between water flow rate and temperature rise, emphasizing the trade-off between achieving higher outlet temperatures at low flow and maximizing heat extraction at higher flow.
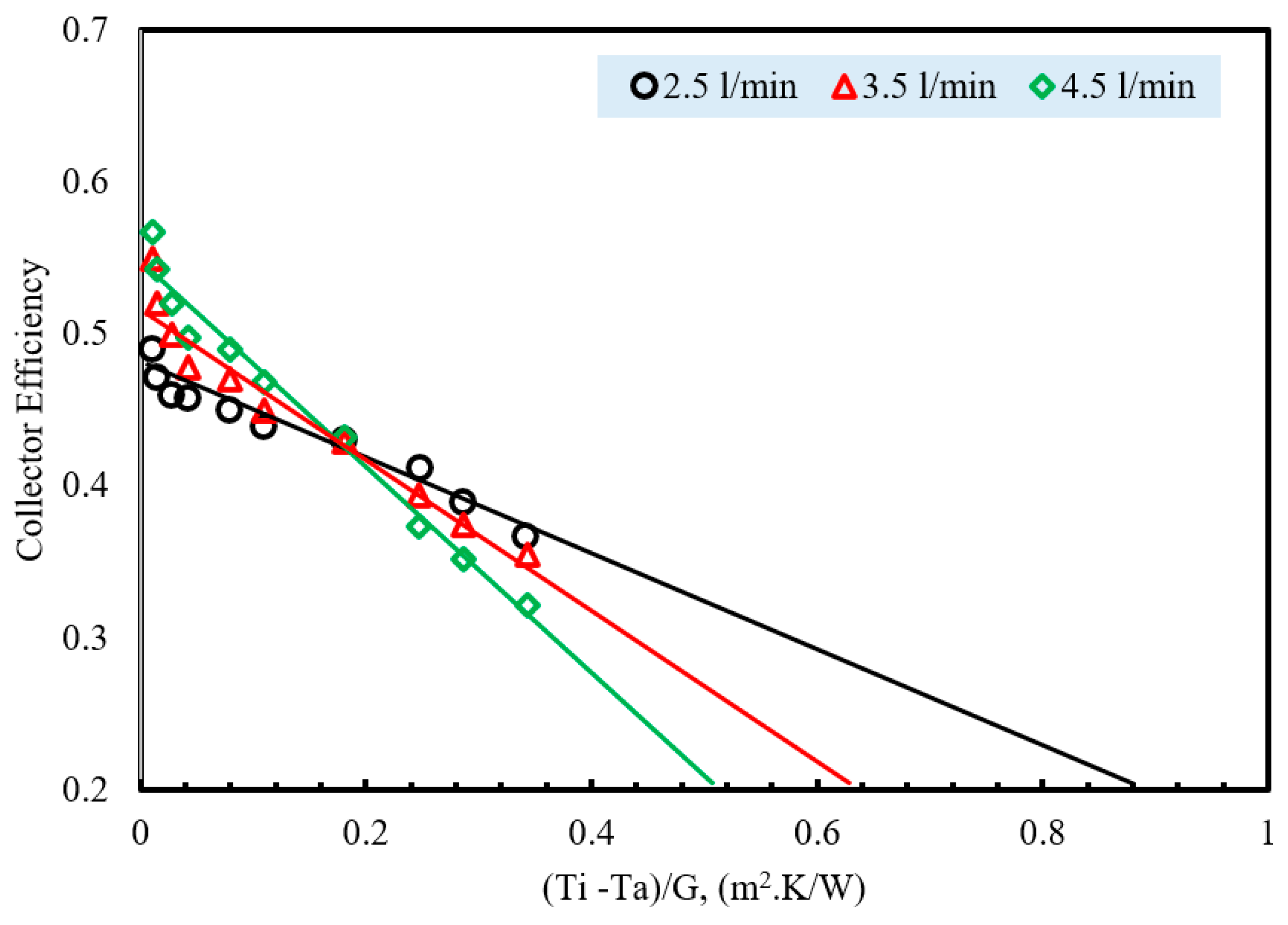
- Results showed that using water only, the collector efficiency increases progressively with flow rate. A significant performance enhancement is observed upon incorporating Al2O3 nanoparticles into the fluid, with 0.1% Al2O3 volume concentration improving efficiency by ~7.4% over water. At 0.3%, the greatest improvement is recorded, yielding a ~9.3% gain in efficiency compared to the base case.
- The results indicate that the outlet water temperature from the EWH rises, reaching a maximum of approximately 90.6 °C at the lowest flow rate of 2.5 L/min, and in contrast, increasing the flow rate to 3.5 L/min and 4.5 L/min results in a reduction in the outlet temperature to about 75.3 °C and 64.7 °C, respectively. Also, when using Al2O3 additives (0.1%, 0.2%, and 0.3%), the outlet temperature increases with all Al2O3 concentrations.
- Numerical results illustrate that higher Al2O3 concentrations improve thermal conductivity, reduce localized hot zones, and promote more efficient, uniform heat transfer in the SWC and EWH models.
Author Contributions
Funding
Institutional Review Board Statement
Informed Consent Statement
Data Availability Statement
Acknowledgments
Conflicts of Interest
References
- Shukla, A.; Buddhi, D.; Sawhney, R.L. Solar water heaters with phase change material thermal energy storage medium: A review. Renew. Sustain. Energy Rev. 2009, 13, 2119–2125. [Google Scholar] [CrossRef]
- Morrison, G.L.; Tran, N.H. Long-term performance of evacuated tubular solar water heaters in Sydney, Australia. Sol. Energy 1984, 32, 785–791. [Google Scholar] [CrossRef]
- Ma, L.; Lu, Z.; Zang, J.; Liang, R. Thermal performance of the glass evacuated tube solar collector with U-tube. Build. Environ. 2010, 45, 1959–1967. [Google Scholar] [CrossRef]
- Chun, W.; Kang, Y.H.; Kwak, H.Y.; Lee, Y.S. An experimental study of the utilization of heat pipes for solar water heaters. Appl. Ther. Eng. 1999, 19, 807–817. [Google Scholar] [CrossRef]
- Ajel, M.G.; GediK, E.; Abdul Wahhab, H.A.; Shallal, B.H. Performance Analysis of an Open-Flow Photovoltaic/Thermal (PV/T) Solar Collector Using Different Fin Shapes. Sustainability 2023, 15, 3877. [Google Scholar] [CrossRef]
- Dehghan, A. Thermal performance behavior of a domestic hot water solar storage tank during consumption operation. Energy Convers. Manag. 2011, 52, 468–476. [Google Scholar] [CrossRef]
- Hussain, M.S.; Fayaz, H.; Rahim, N.A.; Islam, M.R.; Ahamed, J.U.; Rahman, M.M. Review on solar water heater collector and thermal energy performance of circulating pipe. Renew. Sust. Energy Rev. 2011, 15, 3801–3812. [Google Scholar] [CrossRef]
- Huang, S.P.; Gao, W.; Que, Y. Experimental investigation on the thermal performance of a thermosyphon flat-plate solar water heater with a mantle heat exchanger. Energy 2010, 35, 3563–3568. [Google Scholar] [CrossRef]
- Bhutta, M.M.A.; Bashir, M.B.; Khan, A.R.; Kanwar, K.N.; Khan, S. CFD applications in various heat exchangers design: A review. Appl. Therm. Eng. 2012, 32, 1–12. [Google Scholar] [CrossRef]
- Elarem, R.; Alqahtani, T.; Mellouli, S.; Askri, F.; Edacherian, A.; Vineet, T.; Badruddin, I.A.; Abdelmajid, J. A comprehensive review of heat transfer intensification methods for latent heat storage units. Energy Storage 2020, 3, 1–30. [Google Scholar] [CrossRef]
- Shallal, B.A.; Gedik, E.; Abdul Wahhab, H.A.; Ajel, M.G. Impact of Alumina Nanoparticle Additives on Open-Flow Flat Collector Performance for PV Panel Thermal Control Application. Evergreen 2023, 10, 870–879. [Google Scholar] [CrossRef]
- Jin, D.; Zhang, M.; Wang, P.; Xu, S. Numerical investigation of heat transfer and fluid flow in a solar air heater duct with multi-V-shaped ribs on the absorber plate. Energy 2015, 89, 178–190. [Google Scholar] [CrossRef]
- Wang, D.; Mo, Z.; Liu, Y.; Ren, Y.; Fan, J. Thermal performance analysis of large-scale flat plate solar collectors and regional applicability in China. Energy 2022, 238, 121931. [Google Scholar] [CrossRef]
- Qiu, L.; Ouyang, Y.; Feng, Y.; Zhang, X. Review on micro/nano phase change materials for solar thermal applications. Renew. Energy 2019, 140, 513–538. [Google Scholar] [CrossRef]
- Said, Z.; Sharma, P.; Sundar, L.S.; Li, C.; Tran, D.C.; Khoa Pham, N.D. Improving the thermal efficiency of a solar flat plate collector using MWCNT-Fe3O4/water hybrid nanofluids and ensemble machine learning. Case Stud. Therm. Eng. 2022, 40, 102448. [Google Scholar] [CrossRef]
- Promvonge, P.; Promthaisong, P.; Skullong, S. Heat transfer augmentation in solar heat exchanger duct with louver-punched V-baffles. Sol. Energy 2022, 248, 103–120. [Google Scholar] [CrossRef]
- Manjunath, M.S.; Karanth, K.V.; Sharma, N.Y. Numerical investigation on heat transfer enhancement of solar air heater using sinusoidal corrugations on absorber plate. Int. J. Mech. Sci. 2018, 138, 219–228. [Google Scholar] [CrossRef]
- Zahran, S.; Sultan, A.A.; Bekheit, M.; Elmarghany, M.R. Heat transfer augmentation through rectangular cross-section duct with one corrugated surface: An experimental and numerical study. Case Stud. Therm. Eng. 2022, 36, 102252. [Google Scholar] [CrossRef]
- Khanmohammadi, S.; Saadat-Targhi, M. Performance enhancement of an integrated system with solar flat plate collector for hydrogen production using waste heat recovery. Energy 2019, 171, 1066–1076. [Google Scholar] [CrossRef]
- Zhu, Q.; Lin, H.; Zheng, H.; Yu, Z. Performance analysis of an integrated energy system driven by solar energy for hydrogen production and cogeneration application. Processes 2025, 13, 3693. [Google Scholar] [CrossRef]
- Abu-Hamdeh, N.H.; Bantan, R.A.R.; Khoshvaght-Aliabadi, M.; Alimoradi, A. Effects of ribs on thermal performance of curved absorber tube used in cylindrical solar collectors. Renew. Energy 2020, 161, 1260–1275. [Google Scholar] [CrossRef]
- Guo, F.; Zhang, J.; Shan, M.; Yang, X. Analysis on the Optimum Matching of Collector and Storage Size of Solar Water Heating Systems in Building Space Heating Applications; Tsinghua University Press: Beijing, China, 2017; pp. 549–560. [Google Scholar]
- Yari, S.; Safarzadeh, H.; Bahiraei, M. Experimental study of the storage system of a solar water heater equipped with an innovative absorber spherical double-walled tank immersed in a phase change material. J. Energy Storage 2023, 61, 106782. [Google Scholar] [CrossRef]
- Liu, Z.; Wu, D.; Yu, H.; Ma, W.; Jin, G. Field measurement and numerical simulation of combined solar heating operation modes for domestic buildings based on the Qinghai–Tibetan plateau case. Energy Build. 2018, 167, 312–321. [Google Scholar] [CrossRef]
- Shoeibi, S.; Rahbar, N.; Esfahlani, A.A.; Kargarsharifabad, H. Energy matrices, exergoeconomic and enviroeconomic analysis of air-cooled and water-cooled solar still: Experimental investigation and numerical simulation. Renew. Energy 2021, 171, 227–244. [Google Scholar] [CrossRef]
- Anto Joseph Deeyoko, L.; Balaji, K.; Iniyan, S.; Sharmeela, C. Exergy, economics, and pumping power analyses of a flat plate solar water heater 80 using a thermal performance enhancer in the absorber tube. Appl. Therm. Eng. 2019, 154, 726–737. [Google Scholar] [CrossRef]
- Zhao, Q.; Su, Y.; Ji, J.; He, W.; Hu, Z.; Fang, T.; Wang, H. The thermal behavior of a dual-function solar collector integrated with a building: An experimental and numerical study on the air heating mode. Energies 2018, 11, 9. [Google Scholar] [CrossRef]
- Lokhande, S.P.; Dubey, H.K. Experimental Analysis of Solar Water Heater, with Heat Exchanger. IOSR J. Mech. Civ. Eng. 2017, 14, 55–59. [Google Scholar] [CrossRef]
- Santos, E.C.; Sales, J.H.; Lima, C. COMSOL Multiphysics® Model of a Solar Dryer. In Proceedings of the COMSOL Conference in Curitiba, Paraná, Brazil, 23–24 October 2014. [Google Scholar]
- Abdelsalam, M.A.; Sajjad, M.; Raza, A.; Al-Marzooqi, F.; Zhang, T. Sustainable biomimetic solar distillation with edge crystallization for passive salt collection and zero brine discharge. Nat. Commun. 2024, 15, 874. [Google Scholar] [CrossRef]
- Sami, S.; Semmar, D.; Hamid, A.; Mecheri, R.; Yaiche, M. Viability of integrating Solar Water Heating systems into High Energy Performance housing in Algeria. Energy 2018, 149, 354–363. [Google Scholar] [CrossRef]
- Sharma, H.K.; Kumar, S.; Kumar, S.; Verma, S.K. Performance investigation of flat plate solar collector with nanoparticle enhanced integrated thermal energy storage system. J. Energy Storage 2022, 55, 105681. [Google Scholar] [CrossRef]
- Luo, Z.; Wang, C.; Wei, W.; Xiao, G.; Ni, M. Performance improvement of a nanofluid solar collector based on direct absorption collection (DAC) concepts. Int. J. Heat Mass Trans. 2014, 75, 262–271. [Google Scholar] [CrossRef]
- Otanicar, T.P.; Phelan, P.E.; Prasher, R.S.; Rosengarten, G.; Taylor, R.A. Nanofluid-based direct absorption solar collector. J. Renew. Sustain. Energy 2010, 2, 033102. [Google Scholar] [CrossRef]
- Subramani, J.; Nagarajan, P.K.; Mahian, O.; Sathyamurthy, R. Efficiency and heat transfer improvements in a parabolic trough solar collector using TiO2 nanofluids under turbulent flow regime. Renew. Energy 2018, 119, 19–31. [Google Scholar] [CrossRef]
- Al-Maliki, W.A.K.; Al-Hasnawi, A.G.T.; Abdul Wahhab, H.A.; Alobaid, F.; Epple, B. A Comparison Study on the Improved Operation Strategy for a Parabolic Trough Solar Power Plant in Spain. Appl. Sci. 2021, 119, 576. [Google Scholar] [CrossRef]
















| Authors | Used Technique | Performance |
|---|---|---|
| Morrison et al. [2] | ETC, a non-selective flat plate system (NFPS) | The efficiency was about 1.8 times that of NFPS. |
| Ma et al. [3] | U-tube solar collector, copper fin. | The efficiency decreases by 10%, and the outlet fluid temperature decreases by 16%. |
| Shalal et al. [11] | PV/T system, spherical bulges in an open flow flat collector, and Al2O3 nanofluid. | With nanofluid, the electrical efficiency has increased by 6.5% to 10%. |
| Yari et al. [23] | SWH and TES, with PCM | The maximum thermal efficiency was 74%. |
| Sharma et al. [32] | Solar collector, TES, Nano-enhanced-PCM-based energy storage | Charging and discharging efficiencies are enhanced by 24% and 28%, respectively. |
| Luo et al. [33] | Direct absorption collection, TiO2, Al2O3, Ag, Cu, SiO2, graphite nanoparticles, and carbon nanotubes. | Improved the efficiency by 2–25% for the base fluid. |
| Otanicar et al. [34] | Direct-absorption solar collector, nanofluids—silver, carbon, and graphite. | Efficiency improvements of up to 5% by utilizing nanofluids. |
| Subramani et al. [35] | Parabolic trough collector, TiO2 nanofluid | Collector efficiency is enhanced by up to 8.66% with nanofluids compared to water. |
| Current work | SWH, EWH powered by PV, Al2O3 nanofluid | Improving efficiency by 7.4–9.3% compared to the base case. |
| Specification of SWC | Values |
|---|---|
| Collector body dimensions | 1000 × 2000 × 100 mm |
| Copper pipe diameter | 13 mm |
| length of the water pipe | 7500 mm |
| Space between the U pipe | 150 mm |
| Collector frame | Wooden |
| Tilt angle | 45° |
| Frame cover, Emissivity | Glass, 0.89 |
| Specification of EWH | Values |
| Copper twist pipe length | 1500 mm |
| Copper twist pipe diameter | 13 mm |
| Twist turn | 150 |
| Strip heater length | 5000 mm |
| Heater power | 3000 watts |
| Specification of PV system | Values |
| Model of PV panel | MSM150S, Magnizon Power Systems, Dubai, United Arab Emirates |
| Cell efficiency | 17.7% |
| Maximum power voltage and current | 17.5 V and 8.63 A |
| Solar generator model | BLUETTI AC200P, PowerOak Technology Co., Ltd., Shenzhen, China |
| Battery capacity | ~2000 Wh |
| Nanoparticle | Density (kg/m3) | Thermal Conductivity (W/m·k) | Specific Heat Capacity (J/kg·k) |
|---|---|---|---|
| Al2O3 (20 nm) | 3970 | 40 | 765 |
| Nanofluid (water + Al2O3) | |||
| 0.1% | 1025.4 | 0.867 | 4051 |
| 0.2% | 1055.2 | 1.11 | 3926 |
| 0.3% | 1084.9 | 1.78 | 3808 |
| Measurement Steps | ||
|---|---|---|
| Collector surface temperature | 2 points | 7:00 am to 7:00 pm |
| Inlet and outlet temperatures from SWC | 2 points | 7:00 am to 7:00 pm |
| Inlet and outlet temperatures from EWH | 2 points | 7:00 am to 7:00 pm |
| Direct solar irradiance | - | 7:00 am to 7:00 pm |
| Al2O3 volume concentrations | 0.1%, 0.2%, and 0.3% | |
| Flow rate | 2.5, 3.5, and 4.5 L/min | |
| Parameter | Accuracy | Minimum Reading Value | Maximum Reading Value | Min. & Max. Uncertainty Value (%) |
|---|---|---|---|---|
| Temperature of collector surface, °C | ±1.11° | 23 °C | 79 °C | 1.18–0.952% |
| Inlet and outlet temperatures from the SWC | ±1.21° | 29 °C | 72 °C | 1.19–1.06% |
| Inlet and outlet temperatures from the EWH | ±1.21° | 34 °C | 94 °C | 1.32–1.02% |
| Flow rate, L/min | ±0.13 | 2.5 | 4.5 | 0.264–0.179% |
Disclaimer/Publisher’s Note: The statements, opinions and data contained in all publications are solely those of the individual author(s) and contributor(s) and not of MDPI and/or the editor(s). MDPI and/or the editor(s) disclaim responsibility for any injury to people or property resulting from any ideas, methods, instructions or products referred to in the content. |
© 2026 by the authors. Licensee MDPI, Basel, Switzerland. This article is an open access article distributed under the terms and conditions of the Creative Commons Attribution (CC BY) license.
Share and Cite
AL-Abboodi, H.N.O.; Özalp, M.; Abdul Wahhab, H.A.; Özarpa, C.; AL-Jaafari, M.A.M. Experimental and Numerical Analysis of Thermal Efficiency Improvement in a Hybrid Solar–Electric Water Heating System. Appl. Sci. 2026, 16, 764. https://doi.org/10.3390/app16020764
AL-Abboodi HNO, Özalp M, Abdul Wahhab HA, Özarpa C, AL-Jaafari MAM. Experimental and Numerical Analysis of Thermal Efficiency Improvement in a Hybrid Solar–Electric Water Heating System. Applied Sciences. 2026; 16(2):764. https://doi.org/10.3390/app16020764
Chicago/Turabian StyleAL-Abboodi, Hussein N. O., Mehmet Özalp, Hasanain A. Abdul Wahhab, Cevat Özarpa, and Mohammed A. M. AL-Jaafari. 2026. "Experimental and Numerical Analysis of Thermal Efficiency Improvement in a Hybrid Solar–Electric Water Heating System" Applied Sciences 16, no. 2: 764. https://doi.org/10.3390/app16020764
APA StyleAL-Abboodi, H. N. O., Özalp, M., Abdul Wahhab, H. A., Özarpa, C., & AL-Jaafari, M. A. M. (2026). Experimental and Numerical Analysis of Thermal Efficiency Improvement in a Hybrid Solar–Electric Water Heating System. Applied Sciences, 16(2), 764. https://doi.org/10.3390/app16020764

