Next Article in Journal
Finding Influencers Based on Social Interaction and Graph Structure in Social Media
Previous Article in Journal
Spatial Analysis of the Distribution of Air Pollutants Along a Selected Section of a Transport Corridor: Comparison of the Results with Stationary Measurements of the European Air Quality Index
 
 
Font Type:
Arial Georgia Verdana
Font Size:
Aa Aa Aa
Line Spacing:
Column Width:
Background:
Article

Off-the-Shelf Masked Ultrasonic Atomization for Hydrophilic Droplet Microarrays and Gradient Screening

1
School of Artificial Intelligence, Nanjing University of Information Science & Technology, Nanjing 210044, China
2
School of Automation, Nanjing University of Information Science & Technology, Nanjing 210044, China
*
Author to whom correspondence should be addressed.
Appl. Sci. 2026, 16(2), 737; https://doi.org/10.3390/app16020737
Submission received: 15 December 2025 / Revised: 31 December 2025 / Accepted: 1 January 2026 / Published: 10 January 2026
(This article belongs to the Section Additive Manufacturing Technologies)

Abstract

Droplet microarrays are increasingly used for miniaturized, high-throughput biochemical assays, yet their fabrication commonly relies on complex lithographic processes, custom masks, or specialized coatings. Here we present a simple method for generating hydrophilic arrays on hydrophobic plastic substrates by combining ultrasonic atomization with off-the-shelf perforated masks. A fine mist of poly(vinyl alcohol) (PVA) solution is directed through commercial diamond sieves onto polypropylene (PP) sheets and polystyrene (PS) sheets, forming hydrophilic spots surrounded by the native hydrophobic background. Static contact angle measurements confirm a strong local contrast in wettability (from 100.85 ± 0.91° on untreated PP to 39.96 ± 0.71° on patterned spots, from 95.68 ± 3.61° on untreated PS to 52.00 ± 0.85° on patterned spots), while Image analysis shows droplet CVs of 6–8% in aqueous dye solutions for 1.2–2.0 mm masks; in complex media (LB), droplet uniformity decreases. By mounting the moving mask on a motorized stage, we generate one-dimensional reagent gradients simply by controlling the moving mask motion during atomization. We further demonstrate biological compatibility by culturing Escherichia coli in LB droplets containing resazurin, and by performing localized antibiotic screening using a moving mask-guided streptomycin gradient. The resulting droplet-wise viability data yield an on-chip dose–response curve with an IC50 of 5.1 µg · mL−1 (95% CI: 4.5–5.6 µg·mL−1), obtained from a single array. Covering droplets with Electronic Fluorinated Fluid maintains volumes within 5% of their initial value over 24 h. Compared with conventional droplet microarray fabrication, the proposed method eliminates custom mask production and cleanroom steps, is compatible with standard plastic labware, and intrinsically supports spatial gradients. These attributes make masked ultrasonic atomization a practical platform for high-throughput microfluidic assays, especially in resource-limited settings.

1. Introduction

Droplet microarrays and other open-surface microfluidic platforms have emerged as powerful tools for miniaturized biological and chemical assays, enabling thousands of spatially separated reaction sites to be organized on a single substrate [1,2]. Arrays of microliter- to nanoliter-scale droplets have been used for high-throughput screening of live cells, enzymatic reactions, and antibiotic susceptibility [3,4].
A widely adopted strategy is to pattern substrates with hydrophilic spots surrounded by a more hydrophobic background. Aqueous droplets then spontaneously localize within the hydrophilic regions, while the surrounding hydrophobic barriers help prevent spreading and droplet coalescence. Such superhydrophobic–superhydrophilic and hydrophobic–hydrophilic patterns have enabled cell-based high-throughput screening, single-cell analysis, and combinatorial chemistry with greatly reduced reagent consumption [5,6,7].
In our approach, the perforated mask spatially confines the ultrasonic aerosol, so the hydrophilic coating is deposited primarily in the exposed regions (future hydrophilic spots), whereas the masked background receives little to no deposition and thus retains its native hydrophobicity. Accordingly, the wettability contrast is driven mainly by local changes in surface chemistry and surface energy introduced by the deposited film, rather than by bulk substrate modification. The lateral geometry and spacing of the hydrophilic spots are dictated by the mask aperture size and pattern, which define the footprint of local deposition.
However, fabricating these wettability patterns often requires complex processes, such as photolithography, UV-initiated polymer grafting, or multi-step plasma and chemical treatments. These approaches commonly depend on custom masks and cleanroom infrastructure, which increases cost and limits accessibility for smaller laboratories. In addition, many established surface chemistries are optimized for glass or silicon, so extending them to common plastic labware—such as polypropylene (PP) and polystyrene (PS)—often requires additional activation or adhesion steps and can reduce robustness or reproducibility [8,9].
In addition to classical superhydrophobic–superhydrophilic patterning on glass and silicon via photolithography and surface grafting [1,2,3,6,8,9,10]; a variety of lower-cost approaches have been reported to generate wettability patterns or droplet microarrays, including stencil-/mask-assisted plasma activation on polymers [7,11,12]; surface-tension-confined open microfluidics [13]; and additive deposition/printing of hydrophilic agents using inkjet, aerosol-jet, or 3D-printing strategies [14]. These methods offer different trade-offs: lithography-based routes can provide high resolution and excellent uniformity but typically require cleanroom infrastructure and substrate-specific chemistries; plasma-based methods can be rapid and mask-defined but often rely on vacuum/plasma hardware and are susceptible to hydrophobic recovery; printing-based deposition is flexible and scalable but depends on specialized printers, tailored inks, and careful process optimization. Our masked ultrasonic atomization approach aims to occupy a complementary niche by combining mask-defined patterning with off-the-shelf hardware and direct compatibility with common plastic substrates (PP/PS), while retaining the ability to encode 1D/2D gradients through simple moving mask motion [15,16,17].
Stencil- or mask-assisted plasma treatments offer a more direct route to hydrophilic–hydrophobic patterns, for example, by selectively oxidizing fluorinated films through a metal or polymer stencil [12]. While these methods reduce process complexity, they still typically require custom-cut stencils and vacuum equipment. Aerosol-jet or inkjet printing can also pattern wettability and coatings on planar substrates, but relies on specialized printers and tailored inks [13,18].
From the application side, there remain several recurring challenges for open droplet arrays:
  • Droplet uniformity. Variations in droplet volume or composition directly translate into errors in concentration and reaction kinetics. Additionally, state-of-the-art droplet microarrays can achieve good uniformity, which often depends on tight process control and specific substrate chemistries.
  • Evaporation. Open droplets are prone to evaporation, leading to volume loss, solute concentration, and even droplet coalescence. Under-oil open microfluidic systems and mineral oil overlays can mitigate this, but add experimental complexity [19].
  • Substrate compatibility. Many hydrophilic patterning approaches are tailored to glass or PDMS; extending them to low-cost plastics used for Petri dishes and flasks can require additional adhesion or activation steps.
  • Gradient generation. Numerous biological assays—e.g., antibiotic susceptibility testing, chemotaxis, or dose–response screening—benefit from spatial concentration gradients. Existing droplet microarrays typically produce uniform droplets, while gradients are generated via serial dilutions, microfluidic gradient generators, or multiple deposition steps, which increases complexity [14,20].
Ultrasonic atomization is driven by high-frequency vibration of a piezoelectric transducer, which excites capillary waves on a thin liquid film or free surface; once the wave amplitude exceeds a critical threshold, the surface becomes unstable and emits a fine aerosol of microdroplets. In our platform, this atomized plume serves as a controllable delivery mechanism, and a perforated mask spatially gates the deposition so that hydrophilic modifiers are deposited only within the mask openings.
Ultrasonic atomization provides a simple, low-cost method to generate fine mists of liquid with micrometer-scale droplet sizes and controllable flow rates. Ultrasonic spray systems have been used to coat microfluidic chips with hydrophilic or hydrophobic treatments and to deposit thin functional films. Because the spray is inherently distributed and can be shaped by masks, it is a promising candidate for patterning wettability without resorting to lithography or printing.
The objectives of this work are to quantitatively characterize the wettability contrast, spot geometry, droplet size distributions, and droplet stability on patterned PP and PS substrates. We also aim to generate and quantify moving mask-guided one-dimensional gradients using model dyes, and to relate the resulting gradient profiles to the moving mask motion parameters. Finally, we seek to validate biological applicability by performing resazurin-based E. coli assays and extracting a dose–response curve from a single droplet array produced using a moving mask-generated antibiotic gradient.

2. Materials and Methods

2.1. System Overview

The experimental setup for hydrophilic array generation is schematically shown in Figure 1. The system comprises: An ultrasonic atomizer (model: PN100, manufacturer: Shenzhen Kangbei Technology Co., Ltd., Shenzhen, China) operating at a frequency of 113 kHz and a power of 1.2 W, producing droplets with a nominal mean diameter of 1 µm (Figure 1a). Off-the-shelf perforated masks (diamond sieve masks) were placed in conformal contact with the substrate surface, ensuring minimal gap between the mask and the substrate during deposition. Hydrophobic substrates (Figure 1b): PP sheets (thickness 0.2 mm, supplier: Xinglong Plastics Processing Plant, Xinglong, China); PS sheets (diameter 80 mm, supplier: Xingmeile Insulation Plastics Co., Ltd., Shenzhen, China); PTFE sheets (diameter 80 mm, supplier: Xingmeile Insulation Plastics Co., Ltd., Shenzhen, China); Glass sheets (diameter 80 mm, supplier: Xingmeile Insulation Plastics Co., Ltd., Shenzhen, China). A sealed deposition chamber of dimensions 100 × 100 × 100 mm3 with inlet and outlet ports, designed to reduce air currents and dust contamination (Figure 1c). A motor (model: CNXCI, drive voltage 12 V, rotational speed 2 rpm) to translate the moving mask in one or two directions during atomization (Figure 1d). A custom holder to maintain mask–substrate parallelism and fixed spacing.

2.2. Materials

  • Hydrophilic agent: Poly(vinyl alcohol) (PVA, degree of hydrolysis 98%, Mₙ~79 kDa) was dissolved in deionized water at a concentration of 0.8 wt%.
  • Substrates: PP sheets cut into rectangles of 80 × 80 mm2. Standard PS sheets (diameter 80 mm). Standard PTFE sheets (diameter 80 mm). Standard Glass sheets (diameter 80 mm).
  • Diamond sieves with close-packed circular holes of nominal diameters 1.2, 1.5, and 2.0 mm, thickness 150 µm, pitch 5 mm. The close-packed circular holes were chosen primarily for off-the-shelf availability, uniform pitch/coverage, and mechanical robustness that helps maintain conformal contact during deposition; in principle, other perforation geometries (e.g., circular or square apertures) with comparable aperture size and pitch should enable similar mask-confined deposition and droplet localization.
  • Bacterial culture: E. coli strain ATCC25922 grown in LB medium (tryptone 10 g L−1, yeast extract 5 g L−1, NaCl 10 g L−1).
  • Indicator dye: Resazurin sodium salt dissolved to a stock concentration of 50 mM and added to LB at a final concentration of 1000 µM [21].
  • Antibiotic: Streptomycin sulfate prepared as a 10 mg mL−1 stock solution in deionized water and diluted to working concentrations between 0 and 10 µg mL−1.
  • Oil overlay: Electronic Fluorinated Fluid (Novec HFE-7500, supplier: Shanghai Tengyan Chemicals Trading Co., Ltd., Shanghai, China) used to cover droplets during incubation.

2.3. Masked Ultrasonic Deposition

2.3.1. PVA Solution Atomization

PVA solutions were loaded into the ultrasonic atomizer reservoir (volume 20 mL). The chamber temperature and relative humidity were monitored and maintained at 25 °C. During atomization, the masks and substrate were mounted horizontally, with the mask resting directly on the substrate surface. Atomization was performed for a fixed time tₑₓₚ = 60 s at a manufacturer-specified nebulization rate of 0.5 mL min−1, with no mask motion for uniform arrays (Section 3.2).

2.3.2. Moving Mask Motion for Gradients

To generate gradients, only a moving mask was translated laterally at a constant speed of 1.3 mm s−1 while the substrate remained fixed. The moving mask was mounted directly above the stationary substrate, with its lower face positioned in close proximity to the substrate surface. The ultrasonic atomizer and its plume were held stationary throughout the deposition, so the plume direction and its position relative to the substrate did not change. In short, during gradient deposition only the additional moving mask moved; neither the substrate nor the atomizer changed position or orientation. For 1D gradients, the moving mask was swept from right to left across the substrate (total travel distance 80 mm) while atomization proceeded continuously for a time t = 60 s. For 2D gradients, two successive deposition passes can be performed with the moving mask moved along orthogonal directions (x then y), using different reagents (e.g., reagent A in pass 1, reagent B in pass 2). Each pass lasted 60 s with speed v = 1.3 mm s−1.

2.4. Post-Deposition Treatment and Droplet Formation

After PVA deposition, the substrates were dried at room temperature for 30 min (or alternatively at 50 °C for 10 min in an oven) to remove residual solvent. Droplet arrays were then formed by immersing the patterned substrates in an aqueous solution for 30 s, followed by withdrawal at a controlled speed of 1 mm s−1 . In contrast to conventional point-by-point pipetting (dosing), droplets in this work are generated via an immersion–withdrawal process. Accordingly, the key operational parameters governing droplet formation are the immersion time, withdrawal speed, and liquid properties (e.g., viscosity and surface tension), rather than a single-droplet dosing rate. The resulting droplet volume is not defined by a pipetted aliquot but is primarily determined by the hydrophilic spot geometry (mask aperture and deposition footprint), the wettability contrast between the spots and the surrounding background, and the withdrawal conditions. The selected spot size and withdrawal-speed window were chosen to produce stable, well-confined droplets that remain bounded by the hydrophobic background without coalescing, while retaining sufficient volume for subsequent bacterial culture and minimizing rapid evaporation associated with overly small droplets.
After forming the droplet array on the patterned substrate, the substrate was placed into an 80 mm Petri dish. A layer of electronic fluorinated fluid (≈50 mL) was then gently pipetted into the dish so as to fully cover all droplets. During this step the substrate remained stationary and care was taken to add the oil slowly at the dish wall to avoid disturbing or displacing the droplets; the oil overlay thereby suppressed evaporation during subsequent incubation. The samples were then incubated at 25 °C for up to 24 h in a humidified chamber.

2.5. Bacterial Culture and Antibiotic Gradient Assay

For biological validation, E. coli was grown overnight in LB medium at 37 °C with shaking at 85 rpm and then diluted to an optical density of OD600 = 0.7 for droplet seeding. The aqueous phase used for droplet formation consisted of LB medium supplemented with resazurin and bacteria at OD600 = 0.7, with or without streptomycin depending on the experiment. For uniform antibiotic assays, the entire substrate was exposed to a single streptomycin concentration, whereas for gradient assays, a streptomycin solution (10 µg mL−1) was atomized through a moving mask to generate a lateral antibiotic gradient on the PVA-patterned surface, followed by droplet formation as described above. The resulting droplets were incubated at 25 °C for 24 h, and color changes due to resazurin reduction were imaged at defined time point (t = 0, 4, 8, 24 h).

2.6. Imaging and Image Analysis

Static water contact angles were measured using a contact angle goniometer (model: Attension Theta, Biolin Scientific Inc., Shanghai, China) by depositing sessile droplets of volume 4 µL on treated and untreated regions (n = 10 per condition). Droplet diameters were extracted from images using Python 3.14. An intensity threshold was applied to segment droplets, and equivalent circle diameters were calculated. For each condition, at least n = 100 droplets were measured. For dye gradients, grayscale (or fluorescence) intensity was measured within each droplet region of interest (ROI). Intensities were background-subtracted and normalized to the maximum value (I/Iₘₐₓ). For resazurin assays, the color was quantified either from RGB channels. Normalized viability metrics (e.g., I/I0) were computed by referencing untreated control droplets.

2.7. Data Analysis and Statistics

Data was analyzed using Python. To extract droplet-level viability from color images and to fit dose–response curves we used the image-analysis and fitting pipeline implemented in Python. Images were read as BGR and converted to RGB and HSV. Colored droplets were segmented using an HSV saturation threshold. The per-pixel color metric mapping color → viability was defined as metric = R/R + B where R and B are the red and blue channel values in the RGB image. This metric increases for pink/red droplets and decreases for blue droplets. Droplet ROIs and the gradient profile were extracted from the gradient image by column-wise binning across the image width. The image width was divided into 21 equal bins; for each bin the masked pixels were collected and the median of the color metric among those masked pixels was taken as that bin’s representative value. Normalization from the raw color metric to a 0–100% viability scale is performed using the extremes of the gradient image itself. Fitting was performed by nonlinear least-squares using scipy. Note that the reported CI is therefore the parametric approximation derived from the fit.

3. Results

3.1. Wettability Contrast and Pattern Fidelity

Static contact angle measurements confirmed that masked ultrasonic atomization of PVA generates strong local wettability contrast on both PP and PS substrates (Figure 2, Table 1). On untreated PP, water droplets exhibited a high contact angle of 100.85 ± 0.91° (Figure 2a), consistent with its hydrophobic character. After PVA deposition, the hydrophilic spots showed a reduced contact angle of 39.96 ± 0.71° (Figure 2b), while the surrounding regions maintained a contact angle of 94.77 ± 3.70° (Figure 2c). Similar behavior was observed on PS, where native surfaces had contact angles of 95.68 ± 3.61° (Figure 2d), and PVA-treated spots decreased to 52.00 ± 0.85° (Figure 2e), while the surrounding regions maintained a contact angle of 92.93 ± 4.21° (Figure 2f).
Mechanistically, the wettability contrast is primarily driven by localized surface chemistry/energy modification in the exposed regions: ultrasonic atomization deposits a thin hydrophilic coating (e.g., PVA) through the mask apertures, increasing the effective polar component of surface energy and thus lowering the water contact angle. In contrast, the surrounding masked background retains the native polymer surface (low-surface energy) and remains hydrophobic. The lateral spot geometry is therefore defined mainly by the aperture size and mask–substrate spacing, while any micro/nano-texture introduced during deposition may act as a secondary factor by amplifying the apparent contact angle via wetting-state effects.
The lateral dimensions of the patterned spots closely followed the mask geometry. For diamond sieve masks with nominal hole diameters of 1.2, 1.5, and 2.0 mm, the measured spot diameters were 1.15 ± 0.05 mm, 1.47 ± 0.06 mm, and 1.96 ± 0.07 mm, respectively (n = 25 spots per condition), with a near-linear scaling (R2 = 0.99; Figure 2g). No significant spreading or merging of neighboring spots was observed over areas of at least 25 × 25 mm2, indicating good pattern fidelity.

3.2. Droplet Size, Uniformity, and Dependence on Mask Geometry

Immersing the patterned substrates into aqueous solutions generated regular arrays of droplets on all tested materials, including PP (Figure 3a), PS (Figure 3b), PTFE (Figure 3c), and glass (Figure 3d). On each substrate, droplets were largely confined to the predefined hydrophilic spots, with limited spreading onto the surrounding hydrophobic background. Among these substrates, the droplet arrays formed on PP exhibited the most uniform droplet size and spacing, whereas PS, PTFE, and glass showed slightly increased variability in droplet morphology and positioning. This trend is expected because larger apertures (and longer local exposure) deliver more deposited hydrophilic material and define larger hydrophilic footprints, increasing the liquid-holding capacity of each spot and enabling larger droplets after immersion.
Quantitative analysis showed that the mean droplet diameter increased with mask hole diameter (Figure 3e; Table 2). For example, with diamond sieve masks and a deposition time of 60 s, the results were as follows: 1.2 mm holes yielded droplets of diameter 347.7 ± 25 µm (CV = 7.2%, n = 120) on PP and 360.1 ± 28 µm (CV = 7.8%) on PS.1.5 mm holes produced droplets of 533.8 ± 31 µm (CV = 5.8%) on PP and 546.4 ± 35 µm (CV = 6.4%) on PS.2.0 mm holes produced droplets of 720.9 ± 42 µm (CV = 5.9%) on PP and 736.2 ± 48 µm (CV = 6.5%) on PS.
Droplet size distributions were approximately log-normal with narrow widths; in most cases, CVs remained below 10%, which is suitable for many quantitative assays.

3.3. Long-Term Droplet Stability Under Oil

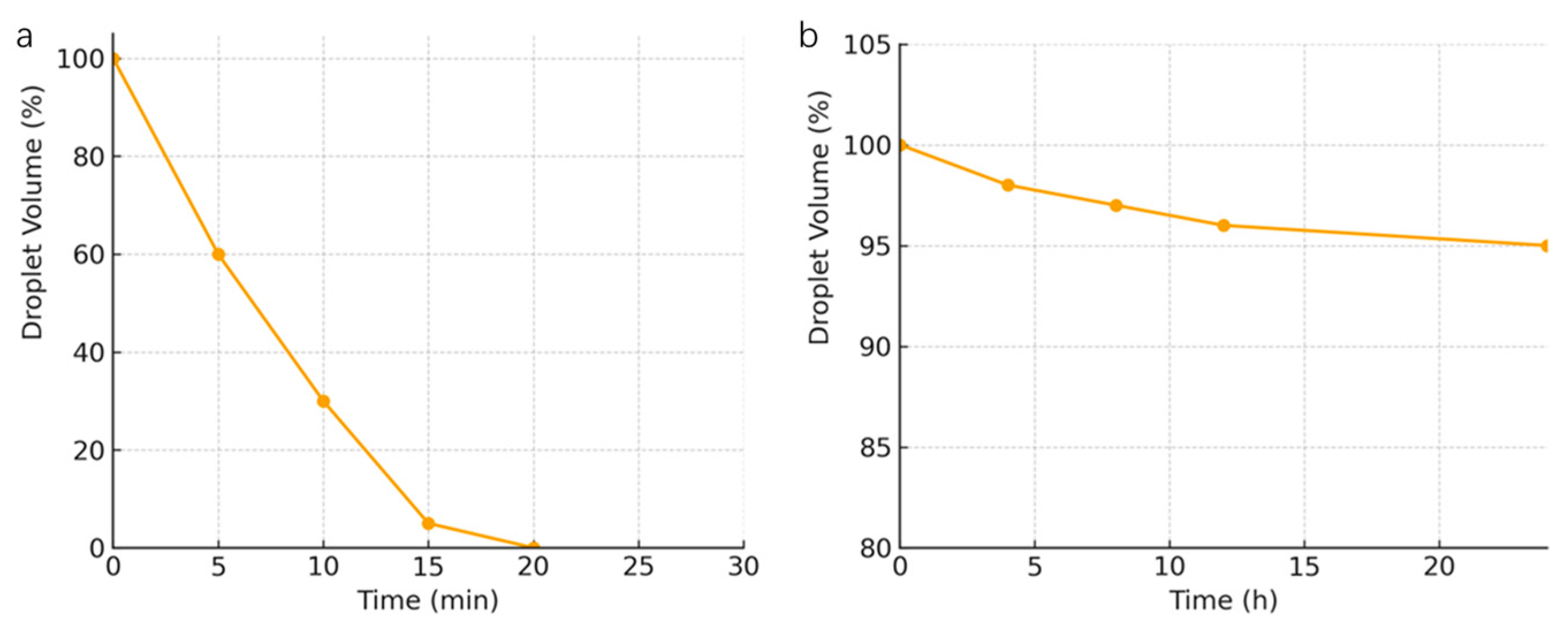
We next evaluated droplet stability with and without HFE oil overlay. Droplet behavior was monitored at 25 °C. Without oil protection, droplets on both PP and PS substrates evaporated rapidly and disappeared completely within tens of minutes, making long-term observation impossible (Figure 4a). In contrast, droplets covered with an oil layer remained highly stable, retaining approximately 95 % of their initial volume after 24 h of incubation (Figure 4b), with no visible coalescence or crystallization. To improve readability across the minute-to-hour time range, Figure 4 is presented with clearly separated short-term (min) and long-term (h) time axes.
These results confirm that a simple oil overlay is sufficient to maintain droplet integrity over typical incubation times used in microbiological and biochemical assays, consistent with prior reports in open and under-oil microfluidics.

3.4. Quantitative Characterization of Mask-Guided Reagent Gradients

To obtain an accurate deposition rate of hydrophilic solution per unit area per unit time, we performed a calibration of the deposited reagent amount (Figure 5). We prepared a glass Petri dish with a diameter of 120 mm and measured its weight using an electronic balance, which was found to be 83.7113 g (Figure 5a). In a closed environment, a 0.8% PVA solution was sprayed onto the center of the Petri dish using an ultrasonic atomizer. To minimize errors as much as possible, the atomizer’s spraying frequency and speed were kept constant, and the spraying time was controlled for 37 min (Figure 5b). After spraying, the bottom and outer walls of the Petri dish were wiped clean, and the dish was placed in an oven at 90 °C for 30 min to ensure the complete evaporation of moisture (Figure 5c). The Petri dish was then weighed again on the electronic balance, yielding a weight of 83.7402 g. The difference between the two measurements, 0.0289 g, represents the amount of reagent deposited during the spraying process. After a series of calculations, the deposition rate was found to be approximately 1.16 ng per second per square millimeter, which closely matches our expectation.
Physically, increasing moving mask translation speed shortens the residence time of the spray plume over each location, reducing local deposited mass and producing a shallower concentration gradient. Moving mask speed can vary from 0.5 to 2.5 mm s−1 modulated the gradient steepness: slower speeds produced steeper profiles (larger |dI/dx|) while faster speeds yielded shallower gradients. This tunability indicates that the gradient shape can be simply controlled by adjusting the mechanical motion parameters.

3.5. Two-Dimensional Reagent Distributions via Orthogonal Moving Mask Passes

By performing two orthogonal deposition passes with different reagents, we generated simple two-dimensional distributions on the same substrate (Figure 6). In a representative experiment, the procedure was as follows:
Reagent A was deposited while moving the mask along x at speed vx = 1.3 mm s−1. After drying, the moving mask was rotated by 90°, and Reagent B was deposited while moving along y at speed vy = 1.3 mm s−1. The resulting droplet arrays displayed a “checkerboard” of concentrations, where each droplet experienced a unique combination of A and B levels determined by its (x, y) position (Figure 6a–c). Intensity maps for each channel revealed smoothly varying gradients along both axes with minimal crosstalk between reagents (Figure 6d). This simple procedure enables small combinatorial libraries without complex fluidic routing.

3.6. Bacterial Growth and Antibiotic Susceptibility on Droplet Arrays

We then tested the platform with E. coli cultured in LB droplets containing resazurin as a metabolic indicator. In uniform antibiotic assays (no gradient), droplets containing high streptomycin concentrations (10 µg·mL−1) remained blue throughout incubation, indicating inhibited bacterial growth (Figure 7a). In contrast, droplets without streptomycin turned from blue to pink/colorless over 8 h, reflecting resazurin reduction and active metabolism (Figure 7b). These observations agree with prior uses of resazurin for rapid assessment of bacterial viability and antibiotic susceptibility.
For gradient experiments, streptomycin was first deposited by moving the moving mask from right to left during atomization. Subsequent droplet formation with E. coli + resazurin resulted in a lateral antibiotic gradient across the array. After 24 h incubation at 25 °C, a distinct color pattern emerges (Figure 8a); droplets on the right (highest antibiotic exposure) remained blue; droplets on the left (lowest antibiotic) were colorless; and intermediate droplets showed purple hues.
Quantitative analysis of normalized signal vs. droplet position revealed a sigmoidal relationship between local antibiotic “dose” (estimated from the position-mapped assuming linear gradient) and bacterial viability (Figure 8b). Fitting with a Hill function yielded an IC50 of 5.1 µg mL−1 (95% CI: 4.5–5.6 µg·mL−1), in reasonable agreement with the literature susceptibility values for E. coli under similar conditions. Notably, the entire dose–response curve was obtained from a single droplet array with minimal reagent consumption and no serial dilutions. Although droplet uniformity was reduced in LB medium, we mitigated this by computing per-column mean viability after removing outlier droplets (outliers defined as values beyond 1.5× the interquartile range from the column median); columns with fewer than two valid droplets after outlier removal were omitted from fitting.

3.7. Effect of LB Medium on Droplet Uniformity

An observed challenge was droplet size variation when using LB medium instead of simple aqueous buffers. Droplets formed from LB showed more irregular shapes and a wider diameter distribution (CV up to 80%) compared with droplets from dye or buffer solutions (CV 10%). We attribute this to surface-active substances (proteins, peptides, surfactant-like components) present in LB, which can modify surface tension and wetting behavior. This effect has been noted in other droplet-based assays using complex media.
Ongoing work is focusing on: Optimizing LB formulations or adding defined surfactants to stabilize droplet shape. Exploring direct atomization of the LB medium through the mask, rather than relying solely on post-patterning immersion, to improve uniformity. Introducing a mild pre-treatment (e.g., brief plasma exposure) to tune spot wettability and reduce sensitivity to media composition.

4. Discussion

4.1. Comparison with Existing Hydrophilic Array Fabrication Methods

The masked ultrasonic atomization method presented here differs from many established hydrophilic–hydrophobic patterning strategies in several important ways. Beyond serving as a fabrication route, the platform functions as a practical “front-end” for open-surface droplet microarrays: it creates localized wettability contrast through mask-confined aerosol deposition (with spot locations defined by the mask aperture and pitch) and then uses an immersion-and-oil-overlay step to form and stabilize discrete droplets. Compared with photolithography or chemical grafting on rigid substrates [1,2,3,8,9,10] the key advantage is the elimination of bespoke microfabrication while maintaining compatibility with disposable plastics. Compared with plasma-activation or printing-based approaches on polymers [7,11,12,14] the method reduces reliance on vacuum systems or specialized printers and inks, although it currently sacrifices ultimate resolution and fine control of contact angle. Accordingly, the intended use case is rapid and accessible generation of droplet arrays and spatial gradients for screening assays, rather than ultra-high-density arrays requiring sub-100 μm features. Table 3 places this method in context alongside representative mask-assisted plasma, lithography/grafting, and printing-based techniques.
Relative to these approaches, our method combines commercial masks with a benchtop ultrasonic atomizer and a simple motion stage, enabling laboratories without cleanroom access to reproduce hydrophilic arrays using widely available components. The approach is directly compatible with common plastic substrates such as PP and PS, which simplifies integration with standard biological labware. A further advantage is that spatial gradients can be generated with minimal overhead by translating the moving mask during deposition, so gradient shape can be tuned through mechanical parameters (such as speed and path) rather than through dedicated microfluidic routing. While the present implementation is optimized for millimeter-scale patterned spots and produces droplets in the sub-millimeter regime, this operating range remains suitable for many microbiological, enzymatic, and diagnostic assays where nanoliter-to-microliter reaction volumes are acceptable (e.g., [2,4,16,20]). Further miniaturization may be possible by adopting masks with finer apertures and tighter pitch.
Multiscale wettability perspective. Surface wettability is intrinsically a multiscale phenomenon: geometrical features at certain length scales can correlate strongly with wetting behavior (e.g., dynamic contact angle hysteresis), whereas other scales may show weak or negligible dependence [23]. In our platform, the macroscopic mask geometry (perforation size and pitch) primarily determines droplet localization and array spacing; changes in surface chemistry/surface energy induced by localized deposition govern the hydrophilic contrast of the spots; and micro-/nano-scale texture introduced during deposition may provide a secondary contribution to the apparent wettability. Future work will quantify these multiscale contributions using surface topography and surface chemistry/energy characterization.

4.2. Advantages and Application Space

The main advantages of this platform are as follows:
  • Simplicity and accessibility. Laboratories without lithography or printing infrastructure can reproduce these arrays using widely available components.
  • Substrate versatility. Patterning directly on PP and PS makes it easy to integrate with Petri dishes, well-plate inserts, or other plastic carriers used in routine microbiology.
  • Gradient generation with minimal overhead. Moving mask motion converts a uniform mist into a spatially varying dose. Gradient shape is adjustable through mechanical parameters (speed, path) rather than complex channel designs.
  • Compatibility with biological assays. The system supports resazurin-based bacterial viability assays and antibiotic susceptibility measurements, which are widely used and clinically relevant [17,24].
Potential application areas include the following: Rapid antibiotic susceptibility testing and dose–response profiling. Small-scale combinatorial screening of drug or media conditions using 2D gradients. Enzyme kinetics and inhibitor screening in droplet arrays [16]. Educational labs where students can visualize gradients, patterning, and microfluidic behavior with relatively simple equipment.

4.3. Limitations and Future Work

To more fully elucidate the origins of the wettability contrast, future work could combine SEM/AFM topography measurements, XPS/FTIR surface chemistry analysis, and surface-energy component deconvolution to quantify both micro/nanoscale texture and surface-energy changes.
Despite its advantages, the current implementation has several limitations:
  • Droplet size range and resolution. The minimal spot size is limited by the mask geometry and atomizer characteristics. Finer masks (e.g., laser-drilled foils) and higher-frequency atomizers could reduce droplet volumes further. Volume control and programmability. Because droplet arrays are formed via an immersion–withdrawal step rather than programmable microdispensing, droplet volume is more sensitive to operational conditions (withdrawal speed, liquid viscosity/surface tension, and environmental perturbations) and is less precisely tunable on a spot-by-spot basis. Future work will incorporate more controlled withdrawal (e.g., a linear stage) and systematic parameter calibration to improve volume reproducibility.
  • Media-dependent uniformity. As noted, complex media such as LB can degrade droplet uniformity. A more systematic study of surfactants and media compositions is needed to standardize droplet shapes.
  • Automation and throughput. While the current setup uses a simple single-axis stage, integrating two-axis motion and automated imaging would further increase throughput and reproducibility.
Future efforts will focus on (i) optimizing mask designs for higher spot densities, (ii) extending the method to other hydrophilic agents and functional coatings (e.g., ECM proteins, capture antibodies), and (iii) integrating on-chip readout (fluorescence, imaging) into a turnkey system for small clinical or environmental labs.

5. Conclusions

We have demonstrated a straightforward, scalable method for fabricating hydrophilic arrays on hydrophobic plastic substrates using masked ultrasonic atomization and off-the-shelf perforated masks. The platform combines strong local wettability contrast on PP and PS, highly uniform droplet arrays with tunable size, simple generation of one-dimensional reagent gradients via moving mask motion, and compatibility with resazurin-based bacterial growth and antibiotic susceptibility assays.
By eliminating the need for custom mask fabrication and cleanroom processes, this method lowers the barrier to implementing droplet microarrays in ordinary laboratories. Its inherent ability to generate gradients and combinatorial conditions on a single substrate further enhances its utility for high-throughput screening and assay development. We anticipate that with further optimization and automation, masked ultrasonic atomization will become a valuable addition to the toolbox of open microfluidic and droplet-based technologies.
This platform offers a low-cost route to droplet-array cultivation and phenotypic screening—such as microbial culture, antibiotic susceptibility testing, and enzyme or colorimetric assays—and is well suited for parallel multi-condition or gradient experiments. At the same time, the method is intentionally simple and serves as an accessible front-end for surface-patterned microreaction arrays without requiring complex microfabrication. Important limitations remain: wettability contrast and spot uniformity are sensitive to mask geometry, deposition parameters and the substrate surface state; the current workflow depends on external imaging and some manual handling; and achieving systematic control of surface chemistry, micro–/nano-texture characterization, or substantially higher array densities will require finer masks or customized templates. These constraints point to clear avenues for future work, including optimization of mask design and deposition protocols, deeper surface characterization, and automation of imaging and handling steps.

Author Contributions

Conceptualization, X.L.; Methodology, X.L. and X.W.; Software, Y.Z.; Validation, X.W.; Investigation, X.W.; Resources, M.Y.; Data curation, Y.S.; Writing—Original Draft, X.W.; Writing—Review and Editing, X.L.; Funding Acquisition, X.L.; Visualization, X.W.; Project administration, X.L.; Supervision, X.L. All authors have read and agreed to the published version of the manuscript.

Funding

This work was funded by the National Natural Science Foundation of China (Nos. 62204122, 32200332), the Natural Science Foundation of Jiangsu Province (No. BK20210649), the Natural Science Research Project of Higher Education of Jiangsu (No. 21KJB460024).

Data Availability Statement

The original contributions presented in this study are included in the article. Further inquiries can be directed to the corresponding author.

Conflicts of Interest

The authors declare no competing financial interests.

References

  1. Strutt, R.; Xiong, B.; Abegg, V.F.; Dittrich, P.S. Open microfluidics: Droplet microarrays as next generation multiwell plates for high throughput screening. Lab Chip 2024, 24, 1064–1075. [Google Scholar] [CrossRef]
  2. Feng, W.; Ueda, E.; Levkin, P.A. Droplet Microarrays: From Surface Patterning to High-Throughput Applications. Adv. Mater. 2018, 30, 1706111. [Google Scholar] [CrossRef]
  3. Jogia, G.E.; Tronser, T.; Popova, A.A.; Levkin, P.A. Droplet Microarray Based on Superhydrophobic-Superhydrophilic Patterns for Single Cell Analysis. Microarrays 2016, 5, 28. [Google Scholar] [CrossRef]
  4. Lei, W.; Demir, K.; Overhage, J.; Grunze, M.; Schwartz, T.; Levkin, P.A. Droplet-Microarray: Miniaturized Platform for High-Throughput Screening of Antimicrobial Compounds. Adv. Biosyst. 2020, 4, 2000073. [Google Scholar] [CrossRef]
  5. Popova, A.A.; Depew, C.; Permana, K.M.; Trubitsyn, A.; Peravali, R.; Ordiano, J.Á.G.; Reischl, M.; Levkin, P.A. Evaluation of the Droplet-Microarray Platform for High-Throughput Screening of Suspension Cells. SLAS Technol. 2017, 22, 163–175. [Google Scholar] [CrossRef][Green Version]
  6. Raittinen, P.; Elomaa, P.; Saavalainen, P.; Jokinen, V. Single Cell Trapping by Superhydrophobic/Superhydrophilic Microarrays. Adv. Mater. Interfaces 2021, 8, 2100147. [Google Scholar] [CrossRef]
  7. Chen, H.; Li, X.; Li, D. Superhydrophilic–superhydrophobic patterned surfaces: From simplified fabrication to emerging applications. Nanotechnol. Precis. Eng. 2022, 5, 035002. [Google Scholar] [CrossRef]
  8. Trantidou, T.; Elani, Y.; Parsons, E.; Ces, O. Hydrophilic surface modification of PDMS for droplet microfluidics using a simple, quick, and robust method via PVA deposition. Microsyst. Nanoeng. 2017, 3, 16091. [Google Scholar] [CrossRef] [PubMed]
  9. Guckenberger, D.J.; Berthier, E.; Young, E.W.; Beebe, D.J. Induced hydrophobic recovery of oxygen plasma-treated surfaces. Lab Chip 2012, 12, 2317–2321. [Google Scholar] [CrossRef]
  10. Popova, A.A.; Demir, K.; Hartanto, T.G.; Schmitt, E.; Levkin, P.A. Droplet-microarray on superhydrophobic–superhydrophilic patterns for high-throughput live cell screenings. RSC Adv. 2016, 6, 38263–38276. [Google Scholar] [CrossRef]
  11. Yong, K.; Ashraf, A.; Kang, P.; Nam, S. Rapid Stencil Mask Fabrication Enabled One-Step Polymer-Free Graphene Patterning and Direct Transfer for Flexible Graphene Devices. Sci. Rep. 2016, 6, 24890. [Google Scholar] [CrossRef] [PubMed]
  12. Chen, X.; Wu, H.; Wu, J. Surface-tension-confined droplet microfluidics. Chin. Phys. B 2018, 27, 029202. [Google Scholar] [CrossRef]
  13. Liu, Y.; Chakraborty, S.; Direksilp, C.; Scheiger, J.M.; Popova, A.A.; Levkin, P.A. Miniaturized droplet microarray platform enables maintenance of human induced pluripotent stem cell pluripotency. Mater. Today Bio 2021, 12, 100153. [Google Scholar] [CrossRef]
  14. Wang, T.; Wang, J.; Wang, S.; Wang, X.; Yang, W.; Li, M.; Shi, L. Construction of hydrophobic-hydrophilic microfluidic patterns with controlled wettability on PVDF filter paper surface using maskless microplasma scanning. Surf. Interfaces 2023, 37, 102695. [Google Scholar] [CrossRef]
  15. Akuoko, S.Y.; Mosa, M.A.; Jo, J.Y.; Lee, J.; Kwon, K.S. Achieving Selective Wettability Surface through Aerosol Jet Hydrophobic Line Printing. ACS Omega 2024, 9, 5661–5674. [Google Scholar] [CrossRef] [PubMed]
  16. Lee, B.; Sunden, F.; Miller, M.; Pak, B.; Krebber, A.; Lutz, S.; Fordyce, P.M. Hydrophilic/Omniphobic Droplet Arrays for High-throughput and Quantitative Enzymology. Anal. Chem. 2025, 97, 8957–8967. [Google Scholar] [CrossRef]
  17. Riti, J.; Sutra, G.; Naas, T.; Volland, H.; Simon, S.; Perez-Toralla, K. Combining deep learning and droplet microfluidics for rapid and label-free antimicrobial susceptibility testing of colistin. Biosens. Bioelectron. 2024, 257, 116301. [Google Scholar] [CrossRef]
  18. Männel, M.J.; Weigel, N.; Hauck, N.; Heida, T.; Thiele, J. Combining Hydrophilic and Hydrophobic Materials in 3D Printing for Fabricating Microfluidic Devices with Spatial Wettability. Adv. Mater. Technol. 2021, 6, 2100094. [Google Scholar] [CrossRef]
  19. Li, C.; McCrone, S.; Warrick, J.W.; Andes, D.R.; Hite, Z.; Volk, C.F.; Rose, W.E.; Beebe, D.J. Application of under-oil open microfluidic systems for rapid phenotypic antimicrobial susceptibility testing. medRxiv 2022. [Google Scholar] [CrossRef]
  20. Sinha Mahapatra, P.; Ganguly, R.; Ghosh, A.; Chatterjee, S.; Lowrey, S.; Sommers, A.D.; Megaridis, C.M. Patterning Wettability for Open-Surface Fluidic Manipulation: Fundamentals and Applications. Chem. Rev. 2022, 122, 16752–16801. [Google Scholar] [CrossRef]
  21. Costa, P.; Gomes, A.; Braz, M.; Pereira, C.; Almeida, A. Application of the Resazurin Cell Viability Assay to Monitor Escherichia coli and Salmonella Typhimurium Inactivation Mediated by Phages. Antibiotics 2021, 10, 974. [Google Scholar] [CrossRef] [PubMed]
  22. Shi, X.; Chen, C.-H.; Gao, W.; Chao, S.-H.; Meldrum, D.R. Parallel RNA extraction using magnetic beads and a droplet array. Lab A Chip 2015, 15, 1059–1065. [Google Scholar] [CrossRef] [PubMed]
  23. Peta, K.; Kubiak, K.J.; Sfravara, F.; Brown, C.A. Dynamic wettability of complex fractal isotropic surfaces–Multiscale correlations. Tribol. Int. 2026, 214, 111145. [Google Scholar] [CrossRef]
  24. Travnickova, E.; Mikula, P.; Oprsal, J.; Bohacova, M.; Kubac, L.; Kimmer, D.; Soukupova, J.; Bittner, M. Resazurin assay for assessment of antimicrobial properties of electrospun nanofiber filtration membranes. AMB Express 2019, 9, 183. [Google Scholar] [CrossRef] [PubMed]
Figure 1. The experimental setup of the system used for the fabrication of the hydrophilic array. The substrate (b) is positioned in a protective chamber (c), where the ultrasonic nebulizer (a) delivers hydrophilic material solution to the chamber; a motorized mechanism moves the moving mask during the atomization process (d). The blue arrows indicate the direction of liquid atomization/deposition, and the orange arrows indicate the direction of moving mask movement.
Figure 1. The experimental setup of the system used for the fabrication of the hydrophilic array. The substrate (b) is positioned in a protective chamber (c), where the ultrasonic nebulizer (a) delivers hydrophilic material solution to the chamber; a motorized mechanism moves the moving mask during the atomization process (d). The blue arrows indicate the direction of liquid atomization/deposition, and the orange arrows indicate the direction of moving mask movement.
Applsci 16 00737 g001
Figure 2. Water contact angle images on PP (ac); contact angle images on PS (df); mask aperture diameter vs. resulting spot diameter plot (g).
Figure 2. Water contact angle images on PP (ac); contact angle images on PS (df); mask aperture diameter vs. resulting spot diameter plot (g).
Applsci 16 00737 g002
Figure 3. Microscopic images of droplet arrays on PP (a), PS (b), PTFE (c), Glass (d), and histograms. Droplet diameter vs. mask hole size (e).
Figure 3. Microscopic images of droplet arrays on PP (a), PS (b), PTFE (c), Glass (d), and histograms. Droplet diameter vs. mask hole size (e).
Applsci 16 00737 g003
Figure 4. Droplet volume (normalized) vs. uncovered droplets (a) vs. time for oil-covered (b). Revised for unit consistency: panel (a) shows short-term stability of uncovered droplets on the minute scale (0–30 min), whereas panel (b) shows oil-covered droplets on the hour scale (0–24 h).
Figure 4. Droplet volume (normalized) vs. uncovered droplets (a) vs. time for oil-covered (b). Revised for unit consistency: panel (a) shows short-term stability of uncovered droplets on the minute scale (0–30 min), whereas panel (b) shows oil-covered droplets on the hour scale (0–24 h).
Applsci 16 00737 g004
Figure 5. Schematic of the spray-deposition calibration experiment. We prepared a glass Petri dish with a diameter of 120 mm and measured its weight using an electronic balance, which was found to be 83.7113 g (a); to minimize errors as much as possible, the atomizer’s spraying frequency and speed were kept constant, and the spraying time was controlled for 37 min (b); the dish was placed in an oven at 90 °C for 30 min to ensure the complete evaporation of moisture (c). The mean deposition rate was calculated to be ≈1.16 ng s−1 mm−2.
Figure 5. Schematic of the spray-deposition calibration experiment. We prepared a glass Petri dish with a diameter of 120 mm and measured its weight using an electronic balance, which was found to be 83.7113 g (a); to minimize errors as much as possible, the atomizer’s spraying frequency and speed were kept constant, and the spraying time was controlled for 37 min (b); the dish was placed in an oven at 90 °C for 30 min to ensure the complete evaporation of moisture (c). The mean deposition rate was calculated to be ≈1.16 ng s−1 mm−2.
Applsci 16 00737 g005
Figure 6. Dynamic deposition enabled by moving mask translation during ultrasonic atomization. (a) A one-dimensional gradient is produced by translating the moving mask (grey) along a single axis while depositing a reagent, resulting in a monotonic concentration change across the droplet array (c). (b) A two-dimensional distribution is produced by performing two separate deposition passes with orthogonal translation directions (x then y) using different reagents, yielding a spatial “checkerboard” of combined concentrations (d); red and blue indicate the two deposited reagents). Black arrows indicate the direction of moving 0mask motion, and blue arrows indicate the direction of atomized deposition.
Figure 6. Dynamic deposition enabled by moving mask translation during ultrasonic atomization. (a) A one-dimensional gradient is produced by translating the moving mask (grey) along a single axis while depositing a reagent, resulting in a monotonic concentration change across the droplet array (c). (b) A two-dimensional distribution is produced by performing two separate deposition passes with orthogonal translation directions (x then y) using different reagents, yielding a spatial “checkerboard” of combined concentrations (d); red and blue indicate the two deposited reagents). Black arrows indicate the direction of moving 0mask motion, and blue arrows indicate the direction of atomized deposition.
Applsci 16 00737 g006
Figure 7. Droplet generation uses LB medium containing E. coli and resazurin. The top half treated with streptomycin is inhibiting bacterial growth, as indicated by the absence of color change (a). The untreated bottom half shows bacterial activity, evidenced by resazurin reduction (b). The yellow line in this figure marks the boundary between regions where bacterial growth is not inhibited, in which resazurin is reduced to pink, and regions where bacterial growth is inhibited by the antibiotic, in which resazurin remains blue.
Figure 7. Droplet generation uses LB medium containing E. coli and resazurin. The top half treated with streptomycin is inhibiting bacterial growth, as indicated by the absence of color change (a). The untreated bottom half shows bacterial activity, evidenced by resazurin reduction (b). The yellow line in this figure marks the boundary between regions where bacterial growth is not inhibited, in which resazurin is reduced to pink, and regions where bacterial growth is inhibited by the antibiotic, in which resazurin remains blue.
Applsci 16 00737 g007
Figure 8. Representative E. coli droplet array containing resazurin after 24 h incubation on a substrate bearing a lateral streptomycin gradient (0–10 μg mL−1 from left to right). Droplets on the low-dose side appear pink (viable), whereas those on the high-dose side appear blue (growth inhibited). The yellow vertical line marks the approximate boundary between predominantly pink and predominantly blue droplets (a). Quantified bacterial viability versus local streptomycin concentration obtained from RGB analysis of droplets in (a), assuming a linear concentration change between columns (0, 0.5, 1.0, …, 10 μg mL−1). Points represent the mean viability of all droplets in a column, with error bars showing the standard error of the mean. The orange curve is a four-parameter Hill fit, yielding an IC50 of 5.1 μg mL−1 (95% CI: 4.5–5.6 µg mL−1) (b).
Figure 8. Representative E. coli droplet array containing resazurin after 24 h incubation on a substrate bearing a lateral streptomycin gradient (0–10 μg mL−1 from left to right). Droplets on the low-dose side appear pink (viable), whereas those on the high-dose side appear blue (growth inhibited). The yellow vertical line marks the approximate boundary between predominantly pink and predominantly blue droplets (a). Quantified bacterial viability versus local streptomycin concentration obtained from RGB analysis of droplets in (a), assuming a linear concentration change between columns (0, 0.5, 1.0, …, 10 μg mL−1). Points represent the mean viability of all droplets in a column, with error bars showing the standard error of the mean. The orange curve is a four-parameter Hill fit, yielding an IC50 of 5.1 μg mL−1 (95% CI: 4.5–5.6 µg mL−1) (b).
Applsci 16 00737 g008
Table 1. Static water contact angles (mean ± SD) on different substrates and surface treatments (n = 10 measurements each).
Table 1. Static water contact angles (mean ± SD) on different substrates and surface treatments (n = 10 measurements each).
SubstrateTreatmentContact Angle (°) Mean ± SD
PPNative surface100.85 ± 0.91
PPPVA-patterned spot39.96 ± 0.71
PSNative surface95.68 ± 3.61
PSPVA-patterned spot52.00 ± 0.85
Table 2. Droplet diameter and uniformity for different mask hole sizes and substrates.
Table 2. Droplet diameter and uniformity for different mask hole sizes and substrates.
Hole Diameter (mm)SubstrateDeposition Time (s)Mean Diameter (µm)SD (µm)CV (%)n Droplets
1.2PP60347.7257.2120
1.5PP60533.8315.8120
2.0PP60720.9425.9120
1.2PS60360.1287.8120
1.5PS60546.4356.4120
2.0PS60736.2486.5120
Table 3. Comparison of this method with representative droplet microarray fabrication techniques.
Table 3. Comparison of this method with representative droplet microarray fabrication techniques.
Method/ReferencePatterning PrincipleMin.
Droplet Diameter
Cleanroom NeededSubstratesGradient CapabilityEquipment ComplexityNotes
Droplet Microarray [2]Photomask + UV-grafted Polymer350 µmYesGlassLimitedHighSuperhydrophobic background
DMA for Single-Cell Analysis [3]Superhydrophobic–superhydrophilic Micropatterns350 µmYesGlassLimitedHighCell-based HTS
Stencil + Plasma Patterning [22]Metal Stencil + O2 Plasma100 µmYesGlass, PDMSNot ReportedMedium48-droplet RNA extraction
Aerosol Jet Wettability Patterning
[15]
Aerosol Jet Printing60 µmNoVariousPossibleHigh Selective wettability
This Work Ultrasonic Mist + Off-the-shelf Masks300 µmNoPP, PS, Other Plastics1D/2D, SimpleLow–MediumNo custom mask needed
Disclaimer/Publisher’s Note: The statements, opinions and data contained in all publications are solely those of the individual author(s) and contributor(s) and not of MDPI and/or the editor(s). MDPI and/or the editor(s) disclaim responsibility for any injury to people or property resulting from any ideas, methods, instructions or products referred to in the content.

Share and Cite

MDPI and ACS Style

Lai, X.; Wang, X.; Sun, Y.; Zhu, Y.; Yang, M. Off-the-Shelf Masked Ultrasonic Atomization for Hydrophilic Droplet Microarrays and Gradient Screening. Appl. Sci. 2026, 16, 737. https://doi.org/10.3390/app16020737

AMA Style

Lai X, Wang X, Sun Y, Zhu Y, Yang M. Off-the-Shelf Masked Ultrasonic Atomization for Hydrophilic Droplet Microarrays and Gradient Screening. Applied Sciences. 2026; 16(2):737. https://doi.org/10.3390/app16020737

Chicago/Turabian Style

Lai, Xiaochen, Xicheng Wang, Yanfei Sun, Yong Zhu, and Mingpeng Yang. 2026. "Off-the-Shelf Masked Ultrasonic Atomization for Hydrophilic Droplet Microarrays and Gradient Screening" Applied Sciences 16, no. 2: 737. https://doi.org/10.3390/app16020737

APA Style

Lai, X., Wang, X., Sun, Y., Zhu, Y., & Yang, M. (2026). Off-the-Shelf Masked Ultrasonic Atomization for Hydrophilic Droplet Microarrays and Gradient Screening. Applied Sciences, 16(2), 737. https://doi.org/10.3390/app16020737

Note that from the first issue of 2016, this journal uses article numbers instead of page numbers. See further details here.

Article Metrics

Back to TopTop