Next Article in Journal
Quantitative Evaluation of the Formation and Evolution of Underpressure in Tight Sandstone of the Upper Paleozoic Shanxi Formation, Ordos Basin
Previous Article in Journal
Decision Tree Models for Automated Quality Tools Selection
 
 
Font Type:
Arial Georgia Verdana
Font Size:
Aa Aa Aa
Line Spacing:
Column Width:
Background:
Article

A Theory for Plane Strain Tangential Contacts of Functionally Graded Elastic Solids with Application to Fretting

Department of System Dynamics and Friction Physics, Technische Universität Berlin, Straße des 17. Juni 135, 10623 Berlin, Germany
*
Author to whom correspondence should be addressed.
Appl. Sci. 2026, 16(1), 473; https://doi.org/10.3390/app16010473
Submission received: 27 November 2025 / Revised: 30 December 2025 / Accepted: 30 December 2025 / Published: 2 January 2026
(This article belongs to the Section Mechanical Engineering)

Abstract

Due to their superior tribological properties compared to conventional materials, the use of functionally graded materials (FGMs) has long become indispensable in mechanical engineering. The wide variety of in-depth gradings means that solving contact problems requires specific, complex numerical analysis. In many cases, however, the spatial change in Young’s modulus can be approximated by a power law, which allows closed-form analytical solutions. In the present work, integral equations for solving tangentially loaded power-law graded elastic half-planes are derived by using the Mossakovskii–Jäger procedure. In this way, the application of highly complicated singular integrals arising from a superposition of fundamental solutions is avoided. A distinction is made between different mixed boundary conditions. The easy tractability of the novel equations is substantiated by solving the plane strain fretting contact of a rigid parabolic cylinder and a power-law graded (PLG) elastic half-space. The effect of the type of in-depth grading on the dissipated energy density and the total energy lost per cycle is investigated in detail. A comparison of the total dissipated energy per cycle shows that, for very thin stiff layers on soft substrates, the total dissipated energy exceeds that of a homogeneous material. The same trend is observed for thick layers of a functionally graded material whose Young’s modulus gradually increases with depth, matching that of the underlying substrate at the bonded interface. In addition, a closed-form analytical solution for the total dissipated energy per cycle for plane strain parabolic contact of elastically homogeneous material is presented for the first time.

1. Introduction

Numerous components in mechanical engineering, like cylinder liners and gears, turbine blades, brake rotor discs or pistons, are protected with functionally graded coatings to combine improved material properties such as high fatigue and wear resistance as well as high fracture toughness in a single material [1,2]. To achieve this, the graded coatings on the surface are almost exclusively very stiff and match Young’s modulus of the softer protective component at the composite joint. Perpendicular to the surface, the elastic modulus gradually decreases, which is why this is referred to as negative in-depth grading. Among the most prominent examples are gas turbine blades, whose performance deteriorates due to high temperatures and vibrations. In this case, functionally graded materials made of metal and ceramics offer a superior choice over titanium alloys for extending the service life of blades [3]. In [4], it was shown that a functionally graded layer with negative in-depth grading on Ti-6Al-4V alloy can significantly enhance surface hardness, wear resistance, and impact resistance.
In nature, the use of functionally graded materials is inherent. An example of a functionally graded natural biocomposite is the structure of a tooth, where the outer enamel has a higher Young’s modulus than the inner enamel. The latter has a lower hardness but a higher creep and stress redistribution capacity than the outer enamel, which is related to the gradual change in composition through the enamel [5,6]. Hence, it is not surprising that, in the production of dental implants, efforts are made to replicate the natural graded structure as closely as possible in order to achieve the highest possible biocompatibility [7]. Another graded biological material is cartilage, which forms a low-friction, load-transmitting interface between bones and typically exhibits depth-dependent increase in the Young’s modulus from surface to deeper layers adjacent to subchondral bone [8,9,10]. In this case, there is a positive in-depth grading, as is also found in other biological contacts. For instance, the gecko’s attachment device has a strongly graded structure consisting of several hundred thousand tiny hairs at its end [11]. In addition, the Young’s modulus of these so-called setae gradually decreases by a factor of 20 from the base to the tip [12]. This unique, nature-engineered structure enables geckos to adhere to ceilings and climb vertical surfaces, even when they are rough.
In general, the material inhomogeneity and finite geometry of the graded components, as well as multiaxial loads, pose such a significant challenge for solving contact problems that even common numerical methods like the finite element method require considerable computing resources. For this reason, analytical or semi-analytical methods are of great importance. These approaches are generally based on the fundamental solution, i.e., they assume that the displacement response of a functionally graded medium to normal and tangential point forces applied at its surface is known, providing the basis for further analyses. Ref. [13] provides a compilation of fundamental solutions for a wide range of elastic depth gradations. Even when fundamental solutions are available, their superposition rarely leads to closed-form analytical solutions for contact problems. In most cases, numerical methods are required for solving the (in 2D case, singular) integral equations. Accounting for arbitrary elastic gradients demands a highly complex numerical analysis, where the medium is discretized into numerous sublayers with piecewise constant or linearly varying elastic moduli [14,15]. One of the few exceptions for which closed-form analytical solutions can be obtained is real elastic in-depth gradings approximated by the power law
E y = E 0 y y 0 k ,       1 < k < 1
where y0 denotes the characteristic depth at which the same Young’s modulus E0 holds, regardless of the power law exponent k. Negative exponents represent a graded material whose elasticity gradually decreases with depth, starting from a very stiff surface (negative in-depth grading). For positive exponents, the reverse transition from a soft surface to a very stiff core occurs (positive in-depth grading). The majority of research studies are dedicated to solving axisymmetric contact problems of PLG elastic solids, including frictionless normal contacts [16,17], normal contacts with adhesion [18,19,20,21], and tangential contacts [22,23,24]. Lyashenko et al. [25] developed a mathematical model of an actuator of directed motion with the driving parts made of power-law graded materials. In contrast, studies on plane strain contacts of PLG elastic solids are comparatively rare. While Booker et al. [16] developed the flat-punch solution, Giannakopoulos and Pallot [26] provide solutions for normal contact with a parabolic cylinder. By applying the superposition principle, they also give partial solutions for normal contact with JKR adhesion, partial slip tangential contact, and rolling contact. Further expanding this work, Chen et al. [27] examine the adhesive parabolic cylinder contact in more detail. Jin and Guo [28] investigated the coupling effect between the normal and tangential directions and found that it has little influence on the critical force and the critical contact width at pull-off.
More recently, Heß and Giesa [29] developed a universal, straightforward theory for solving two-dimensional normal contact problems both with and without adhesion based on the Mossakovskii–Jäger procedure. An alternative approach using Maxwell and Betty’s reciprocity theorem and a generalized Abel transform has been presented by Xia and Jin [30]. In addition to adhesive contacts of convex-shaped indenters, the authors primarily examine concave indenters and distinguish between different detachment mechanisms (detachment from the edge vs. detachment from the center upon reaching the theoretical tensile strength). Concave contacts are relevant for many practical applications since they can exhibit larger pull-off forces. In another recent publication [31], the shear-off behavior of a rigid cylinder in contact with an elastically homogeneous substrate coated with a functionally graded layer was investigated numerically using the finite element method. It was demonstrated that the shear-off behavior of this realistic material pairing can be represented not only qualitatively but also quantitatively with very good accuracy by the analytical solutions of a suitably chosen power-law graded elastic medium. In the above-mentioned work, the authors even proposed transformation formulas that specify how to choose the exponent of elastic inhomogeneity and the characteristic depth when modeling contact problems between real solids with linearly graded coatings. However, no such relations have yet been established for other in-depth gradings. As a general rule, when a real in-depth grading is approximated by a power law, the solutions of contact problems should be regarded primarily as approximations, providing more qualitative than quantitative insights. At the same time, it is important to emphasize that an elastically graded material described by the power law (1) exhibits an unbounded elastic modulus at the surface for negative exponents (k < 0) and a vanishing elastic modulus for positive exponents (k > 0), which is inconsistent with a physically realistic material gradation. Nevertheless, it has been shown that the closed-form analytical solutions of contact problems involving PLG materials provide good approximations for contact problems between media with correspondingly piecewise-defined in-depth gradings [32].
To date, there is still no unified solution for treating plane strain contacts between PLG materials that transmit tangential forces in addition to normal ones. Such contacts are shown schematically in Figure 1, assuming contacting bodies made of PLG materials with identical exponents of elastic inhomogeneity.
Provided that the normal stresses do not cause any tangential displacements and vice versa, the relative tangential and normal displacements of the surfaces can be determined independently from the following equations:
u x x = y 0 k g 1 E 01 + g 2 E 02 q ξ d ξ x ξ k u y x = y 0 k b 1 E 01 + b 2 E 02 p ξ d ξ x ξ k
with elastic parameters defined by
g i : = g k , ν i = 1 ν i 2 k sin β k , ν i π 2 k + 1 β k , ν i C k , ν i = k + 1 β k , ν i 2 b k , ν i = : b i       with       i = 1 , 2
and
β k , ν i = 1 k ν i 1 ν i 1 + k   ,         C k , ν i = 2 k + 1 π Γ 3 + k + β k , ν i 2 Γ 3 + k β k , ν i 2 Γ 2 + k
This strong decoupling is guaranteed for the following material pairings:
  • Both bodies are made of the same material: ν1 = ν2 =: ν and E01 = E02 =: E0
  • One body is rigid and the other elastic (graded) with a Poisson’s ratio equal to the Holl ratio: E0i →∞ and νj = 1/(2 + k) with i ≠ j
  • The Poisson’s ratios of both materials are given by the Holl ratio: ν1 = ν2 = 1/(2 + k)
It should be noted that, strictly speaking, the last two cases are only relevant for positive exponents of elastic inhomogeneity, as negative exponents would result in Poisson’s ratios outside the physically stable range of values (for more information, see [24]).
Despite the uncoupling of Equation (2), their solution is known to be quite complex due to the singular integral kernel, and consequently, numerical techniques such as the boundary element method are frequently adopted [33]. To avoid this problem, we derive alternative integral equations whose solutions do not cause any difficulties and allow for closed-form analytical solutions. For this purpose, a superposition method revived by Jäger [34] for tangential contact of elastically homogeneous materials is applied.
The work is structured as follows. First, we repeat the integrals recently derived using the Mossakovskii–Jäger procedure for the simple solution of normal contact problems between PLG elastic solids. Subsequently, the solution of tangential problems is developed in a similar manner, distinguishing between Neumann and mixed boundary conditions. The derived integral equations are then designed for tangential contacts with partial slip. Finally, the straightforward applicability of the method is demonstrated by means of partial slip as well as fretting between a rigid parabolic cylinder and a PLG elastic half-space. In addition to the analytical solutions, numerical analyses based on the finite element method are performed to validate these solutions and to demonstrate that the coupling between normal and tangential effects can also be neglected for material pairings beyond elastically similar power-law graded solids.

2. Method of Solution for Plane Strain Normal Contact Problems

By superposition of incremental flat-punch solutions, Heß and Giesa [29] recently developed simple equations for solving two-dimensional frictionless normal contact problems between solids made of functionally graded materials according to the power law (1). The governing equations for all quantities relevant to contact mechanics, such as pressure distribution, depend only on one and the same function. This must be determined in advance from the displacement boundary condition and thus the initial gap function f(x).
For the plane strain normal contact between a convex rigid indenter and a PLG elastic half-space illustrated in Figure 2, the function is determined according to
n y a ˜ = 2 E 0 cos k π 2 π b   k   y 0 k   a ˜ k d d a ˜ 0 a ˜ x   f x a ˜ 2 x 2 1 k   d x
The line load P as a function of the contact half-width a, as well as the pressure distribution, is obtained from
P a = 0 a n y a ˜ a ˜ k d a ˜ ,
p x , a = Γ 2 + k 2 π Γ 1 + k 2 x a n y a ˜ a ˜ 2 x 2 1 k   d a ˜ .
The position hy(x) of the deformed surface of the half-plane, measured from the lowest point of the indentation, is determined using
h y x , a = b y 0 k E 0 0 Min x , a n y a ˜ Γ 2 + k 2 Γ 1 k 2 π a ˜ x k F 1 2 k 2 , 1 + k 2 ; 2 + k 2 ; a ˜ 2 x 2   d a ˜ ,
with the hypergeometric function
F 1 2 a , b ; c ; z : = n = 0 a n b n c n z n n ! ,         x n : = Γ x + n Γ x .
The quantity defined in Equation (8) was preferred to the usual surface normal displacements, since the latter diverge as the distance increases for negative exponents of elastic inhomogeneity (analogous to the logarithmic divergence of the displacements in plane problems of elastically homogeneous materials). However, for positive exponents of elastic inhomogeneity, the displacements are bounded at infinity and can be determined by
u y x , a = b y 0 k E 0 x k 0 Min x , a n y a ˜ a ˜ k F 1 2 k 2 , 1 + k 2 ; 2 + k 2 ; a ˜ 2 x 2   d a ˜ + b y 0 k E 0 Γ 2 + k 2 Γ 1 k 2 π Min x , a a n y a ˜   d a ˜ ,
δ y a = b y 0 k E 0 Γ 2 + k 2 Γ 1 k 2 π 0 a n y a ˜ d a ˜ ,         0 < k < 1 ,
where δy represents the indentation depth.

3. Derivation of a Solution Method for Plane Strain Tangential Contact Problems

Regardless of whether the tangential tractions over a defined region on the surface of a PLG elastic half-space or the tangential displacements are specified, the general solution can be composed of uniform tangential shift solutions of different sizes.

3.1. Uniform Tangential Surface Displacement of a Loaded Symmetric Region

In order to apply the above superposition procedure, the solution of the problem is needed, where a defined region of width 2a of the PLG solid surface undergoes a uniform tangential displacement. This can be achieved by subjecting this region to the following tangential stress distribution
q x , Q = Γ 2 + k 2 Q π   Γ 1 + k 2 a 1 x 2 a 2 k 1 2 ,
where Q denotes the resultant tangential line load. By substituting Equation (12) into Equation (2), this can be easily verified, and the tangential displacements of the surface outside the loaded region can be determined as well:
u x x , Q = g k , ν y 0 k Q E 0 a k Γ 2 + k 2 Γ 1 k 2 π for   x a a x k F 1 2 k 2 , 1 + k 2 ; 2 + k 2 ; a 2 x 2 for     x a ,   0 < k < 1 .
Since the tangential displacements for negative exponents of elastic inhomogeneity are undetermined, we use the well-defined relative tangential displacements analogously to the normal contact problem for further analyses
h x x , Q = g k , ν y 0 k Q E 0 a k Γ 2 + k 2 Γ 1 k 2 π a x k F 1 2 k 2 , 1 + k 2 ; 2 + k 2 ; a 2 x 2 ,         x a .

3.2. General Solution for Arbitrary Symmetric Tangential Loading

The general solution to problems of plane elasticity, where either symmetric tangential stresses or tangential displacements are specified on a domain of half-width a on the PLG half-space surface, can be constructed by a suitable superposition of incremental tangential rigid body displacements of different half-widths. The incremental contributions of a uniform tangential shift of a domain with half-width ã to the tangential tractions and tangential displacements can be deduced from Equations (12)–(14)
d q x , a ˜ = Γ 2 + k 2 d Q a ˜ π   Γ 1 + k 2 a ˜ k a ˜ 2 x 2 1 k 2 ,
d u x x , a ˜ = g k , ν y 0 k E 0 a ˜ k Γ 2 + k 2 Γ 1 k 2 π d Q a ˜ for   x a ˜ a ˜ x k F 1 2 k 2 , 1 + k 2 ; 2 + k 2 ; a ˜ 2 x 2 d Q a ˜ for     x a ˜ ,   0 < k < 1 ,
d h x x , a ˜ = g k , ν y 0 k E 0 a ˜ k Γ 2 + k 2 Γ 1 k 2 π a ˜ x k F 1 2 k 2 , 1 + k 2 ; 2 + k 2 ; a ˜ 2 x 2     d Q a ˜     for   x > a ˜ .
Only rigid tangential shifts corresponding to half-widths |x| ≤ ãa contribute to the tangential tractions located at a point x within the contact domain. Hence it follows
q x , a = Γ 2 + k 2 π Γ 1 + k 2 x a n x a ˜ a ˜ 2 x 2 1 k   d a ˜ ,
where we have introduced the function
n x a ˜ : = Q a ˜ / a ˜ k .
When calculating the tangential displacements, we must distinguish between points inside and outside the loaded domain. The tangential displacements of points inside the domain are composed of different contributions from the piecewise-defined function (16). To calculate the tangential displacements outside, however, only the same type of contributions have to be summed up. Both cases can be combined in one equation as follows:
u x x , a = g k , ν y 0 k E 0 0 Min x , a n x a ˜ a ˜ k x k F 1 2 k 2 , 1 + k 2 ; 2 + k 2 ; a ˜ 2 x 2   d a ˜ + Γ 2 + k 2 Γ 1 k 2 π Min x , a a n x a ˜   d a ˜ .
In the same way, the formula for determining the relative tangential displacements arises
h x x , a = g k , ν y 0 k E 0 0 Min x , a n x a ˜ Γ 2 + k 2 Γ 1 k 2 π a ˜ x k F 1 2 k 2 , 1 + k 2 ; 2 + k 2 ; a ˜ 2 x 2   d a ˜ ,
and the tangential line load results from Equation (19)
Q a = 0 a n x a ˜ a ˜ k d a ˜ .
Now all that remains is to calculate the function nx. This depends on the type of boundary conditions given.

3.2.1. Calculation from Tangential Displacement Boundary Conditions

If the relative tangential displacements over the domain with half-width a are given, then after derivation of Equation (21) with respect to x and subsequent application of a generalized Abel reverse transform, the following formula holds
n x a ˜ = 2 E 0 cos k π 2 π g k , ν   k   y 0 k   a ˜ k d d a ˜ 0 a ˜ x   h x x a ˜ 2 x 2 1 k   d x .

3.2.2. Calculation from Tangential Stress Boundary Conditions

If instead tangential stresses on the domain of half-width a are given, then the corresponding Abel reverse transform of Equation (18) yields
n x a ˜ = 2 π Γ 2 + k 2 Γ 1 k 2 d d a ˜ a ˜ a x   q x x 2 a ˜ 2 1 + k   d x .

4. General Solution for Symmetrical Tangential Contacts Under Partial Slip

Below, we discuss the classic tangential contact problem, where two convex-shaped bodies made of elastically similar PLG material are initially pressed together with a normal line load (normal force per unit length). Then, while the normal line load is held constant, monotonically increasing tangential forces (per unit length) are applied in opposite directions to the two solids. This is known to lead to the formation of slip zones that spread (enlarge) inward from the edges of contact. Such tangential contact is shown in Figure 3, where the upper solid has been simplified as rigid body. Strictly speaking, the decoupling of normal and tangential effects is then only fulfilled in this case for a PLG medium with a Poisson’s ratio equal to the Holl ratio, which leads to physically inadmissible values for negative exponents of elastic inhomogeneity [24]. However, the coupling effects are often so small that they can be neglected. In the following, we will make use of this assumption, which is common for homogeneous materials. Verification by means of numerical simulations is presented in Section 5.3.
Larger pressure prevails in the inner part of the contact area, which, according to Coulomb’s law of friction, implies larger resistance to relative movement of the surfaces. The extent of the inner stick zone is specified by half-width c. The mixed boundary conditions for the problem shown in Figure 3 are as follows:
h x x = 0 ,             q < μ p ,       for       x < c ,
q x = μ p x ,       for       c < x < a ,
where the frictional stresses in the slip area must oppose the relative tangential displacements. To solve the boundary value problem, we first use the superposition approach of incremental rigid shift movements according to Equation (18). The tangential stresses within the slip and stick regions can therefore be expressed as follows:
q x , a = Γ 2 + k 2 π Γ 1 + k 2 x a n x a ˜ a ˜ 2 x 2 1 k   d a ˜ ,       for       c < x < a ,
q x , a = Γ 2 + k 2 π Γ 1 + k 2 c a n x a ˜ a ˜ 2 x 2 1 k   d a ˜ ,       for       x < c .
Since the entire stick region undergoes a rigid shift motion by itself according to Equation (25), the lower integral limit in Equation (28) is equal to the stick half-width c. No further incremental contributions corresponding to shift motions of smaller half-widths than c are required, i.e.,
n x a ˜ = 0       for       0 < a ˜ c .
From the boundary condition (26), taking into account Equations (7) and (27), we obtain
Γ 2 + k 2 π Γ 1 + k 2 x a n x a ˜ a ˜ 2 x 2 1 k   d a ˜ = μ Γ 2 + k 2 π Γ 1 + k 2 x a n y a ˜ a ˜ 2 x 2 1 k   d a ˜ ,       for       c < x < a ,
which gives
n x a ˜ = μ n y a ˜ ,       for       c < a ˜ < a .
Substituting Equation (31) in Equation (28) and splitting the integral into two parts, yields
q x , a = μ Γ 2 + k 2 π Γ 1 + k 2 x a n y a ˜ a ˜ 2 x 2 1 k   d a ˜ x c n y a ˜ a ˜ 2 x 2 1 k   d a ˜ .
Using Equation (7) and taking Equation (27) into account results in
q x , a , c = μ p x , a p x , c ,
and after integrating the tangential tractions over the contact area
Q ( a , c ) = μ P a P c .
Substituting (29) and (31) into (21) provides a formula for calculating the microslip
h x x , c = μ g k , ν y 0 k E 0 c x n y a ˜ Γ 2 + k 2 Γ 1 k 2 π a ˜ x k F 1 2 k 2 , 1 + k 2 ; 2 + k 2 ; a ˜ 2 x 2   d a ˜ ,       c < x a .
By exploiting interval additivity and using Equation (8), we obtain
h x x , c = μ α k , ν f x h y x , c ,       c < x a ,
with the coefficient
α k , ν : = g k , ν / b k , ν ,
and
h y x , c = b y 0 k E 0 0 c n y a ˜ Γ 2 + k 2 Γ 1 k 2 π a ˜ x k F 1 2 k 2 , 1 + k 2 ; 2 + k 2 ; a ˜ 2 x 2   d a ˜ .
For positive exponents of elastic inhomogeneity, the rigid body shift of the stick area can be expressed by means of Equations (29) and (31) from Equation (20)
δ x : = u x c , a = μ g k , ν y 0 k E 0 Γ 2 + k 2 Γ 1 k 2 π c a n y a ˜   d a ˜ ,         0 < k < 1 ,
which can also be written as follows using Equation (11)
δ x = μ α k , ν δ y a δ y c ,         0 < k < 1 .
It should be noted that Equations (33), (34) and (40) state the so-called Ciavarella–Jäger theorem [34,35,36] but applied to PLG elastic materials, according to which the solution of the (plane strain) tangential contact with partial slip can be represented as a superposition of two normal contact solutions, one for indentation up to the half-width a and one for indentation up to the half-width c.

5. Results: Application to Plane Strain Fretting Contact of a Rigid Parabolic Cylinder and a Power-Law Graded Half-Space

The solution method presented above for tangential contacts with partial slip will be demonstrated using the example of a parabolic cylinder with the shape function
f x = x 2 2 R .
The solution requires knowledge of the solution to the corresponding normal contact problem, which can be determined using Equations (5)–(11). In this way, the solutions of Giannakopoulos and Pallot [26] were recently verified and extended [29]. The solutions are listed briefly below. Substituting Equation (41) in Equation (5) and performing the integral yields
n y a ˜ = π E 0 b k , ν k   y 0 k   Γ 2 + k 2 Γ 1 k 2 a ˜ R .
After inserting Equation (42) into Equations (6)–(8) and (11), the normal line load as a function of the contact half-width, the pressure distribution, the relative normal displacement of the deformed surface, and the indentation depth, which is uniquely determined only for positive exponents of the elastic inhomogeneity, is obtained:
P a = π E 0 a k + 2 2 b k , ν R y 0 k k Γ 4 + k 2 Γ 1 k 2 ,
p x , a = Γ 4 + k 2 P a π   Γ 3 + k 2 a 1 x 2 a 2 1 + k 2 ,
h y x , a = a 2 R k 1 2 π 2 Γ 4 + k 2 Γ 1 k 2 a x k F 1 2 k 2 , 1 + k 2 ; 4 + k 2 ; a 2 x 2   ,         x a ,
δ y a = a 2 2 R k ,         0 < k < 1 .

5.1. Application of a Monotonically Increasing Tangential Line Load

If we now apply a monotonically increasing tangential line load on the indenter while keeping the normal line load constant, microslip areas form at both contact edges and spread inwards (see Figure 3). To solve this partial slip contact problem, we simply need to insert the solutions calculated for the normal contact, i.e., Equations (43)–(46), into Equations (33), (34), (36) and (40). In this way, the results are obtained without any additional calculations:
q x , a , c = μ E 0 2 b k , ν k Γ 3 + k 2 Γ 1 k 2 R y 0 k a 2 x 2 1 + k 2 c 2 x 2 1 + k 2 ,         x c a 2 x 2 1 + k 2 ,         c < x a ,
Q a , c = μ P a 1 c a 2 + k ,
δ x = μ α k , ν δ y a 1 c a 2 ,         0 < k < 1 ,
h x x = μ α k , ν c 2 2 R x 2 c 2 1 k + π k Γ 4 + k 2 Γ 1 k 2 c x k F 1 2 k 2 , 1 + k 2 ; 4 + k 2 ; c 2 x 2   ,       c < x a .
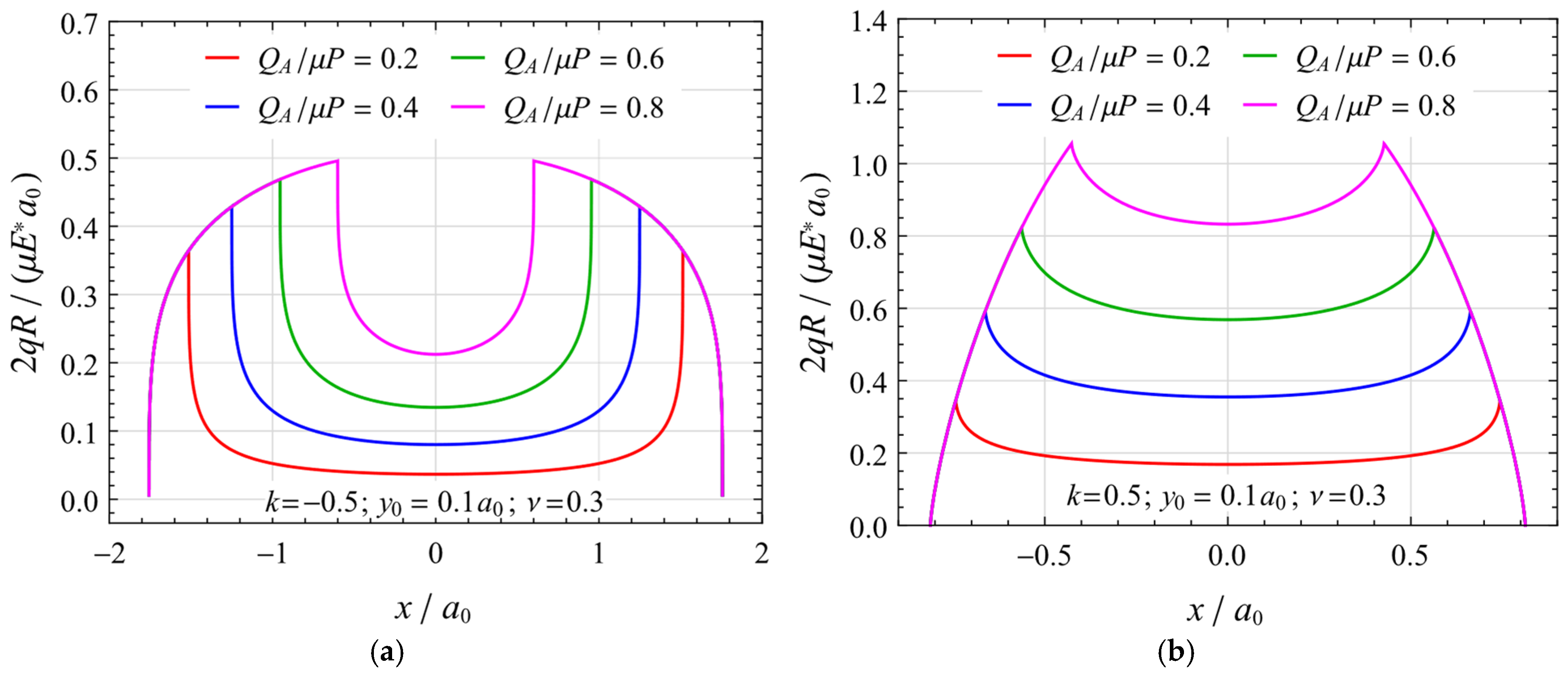
The tangential stress distributions according to Equation (47), taking into account Equation (48), are illustrated in normalized form in Figure 4 and Figure 5 for two representative exponents of elastic inhomogeneity, which characterize a negative (a) and positive in-depth grading (b). In addition, different characteristic depths are assumed in the two figures. Tangential stress distributions for four different tangential line load amplitudes are plotted in distinct colors. In the sliding regions, propagating inward from the contact edges, the curves overlap, indicating that Coulomb’s friction law is locally satisfied, with tangential stresses proportional to the normal stresses. It is worth noting that a0 represents the contact half-width that corresponds to an elastically homogeneous material. First, the endpoints of the stress distributions on the abscissa of Figure 4 and Figure 5 provide a rough indication of the influence of the characteristic depth and the exponent of elastic inhomogeneity on the contact half-width. For the smaller characteristic depth y0/a0 = 0.1, the contact half-width for a negative in-depth grading (k = −0.5) is larger and for a positive one (k = 0.5) smaller than for elastically homogeneous material (see Figure 4). For the larger characteristic depth y0/a0 = 10, opposite trends are observed in Figure 5. Regardless of the choice of characteristic depth, however, the distinctive shapes of the stress curves differ significantly for positive and negative exponents of elastic inhomogeneity. Particularly noteworthy are the curves for negative k, because here the slope of the tangential stresses in the slip zone near the stick zone is relatively small but takes on very large values near the contact edge. This special feature has a major impact on the dissipated energy density in fretting contact, which will be examined in more detail in the next section.

5.2. Some Studies on Fretting Contact of PLG Elastic Solids

In almost all mechanical engineering applications, some assemblies are exposed to vibrations that cause oscillating stresses within the contact interfaces. The oscillating tangential loads are usually so small that gross slip is still avoided, but partial slip occurs within the contact area, i.e., stick and slip regions coexist. This scenario is known as fretting. Classic examples include bolted joints, contacts of turbine or compressor blades with the corresponding rotating discs (fir tree or dovetail joints), as well as gear or spline couplings. It is well known that fretting promotes crack formation and crack propagation and causes wear. An important parameter for investigating damage caused by fretting is the friction energy dissipated per unit area (during one cycle). It is the work done by the tangential tractions in the slip regions, moving through the corresponding relative slip displacements [37]. In the tangential stress–displacement plane, a rectangular hysteresis loop is obtained, whose enclosed area can be calculated as follows:
w x = 4 q x h x x .
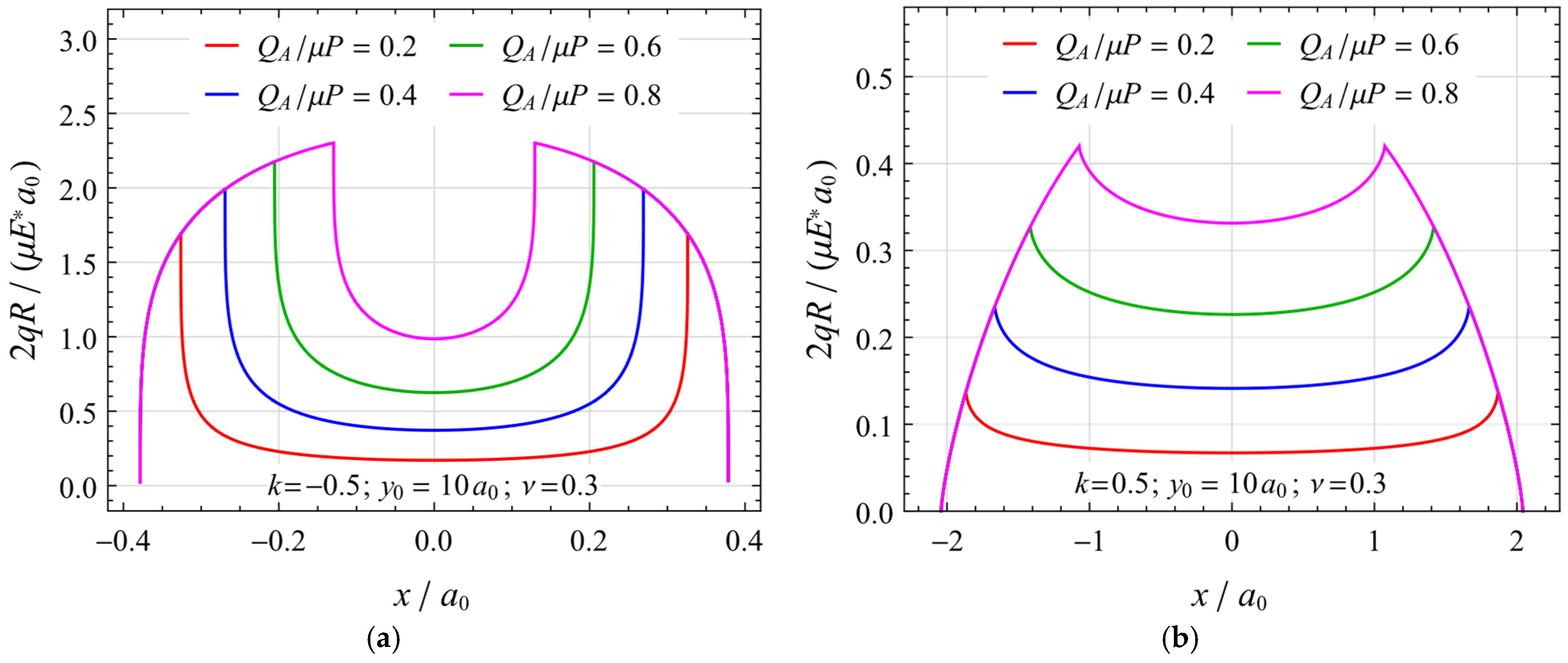
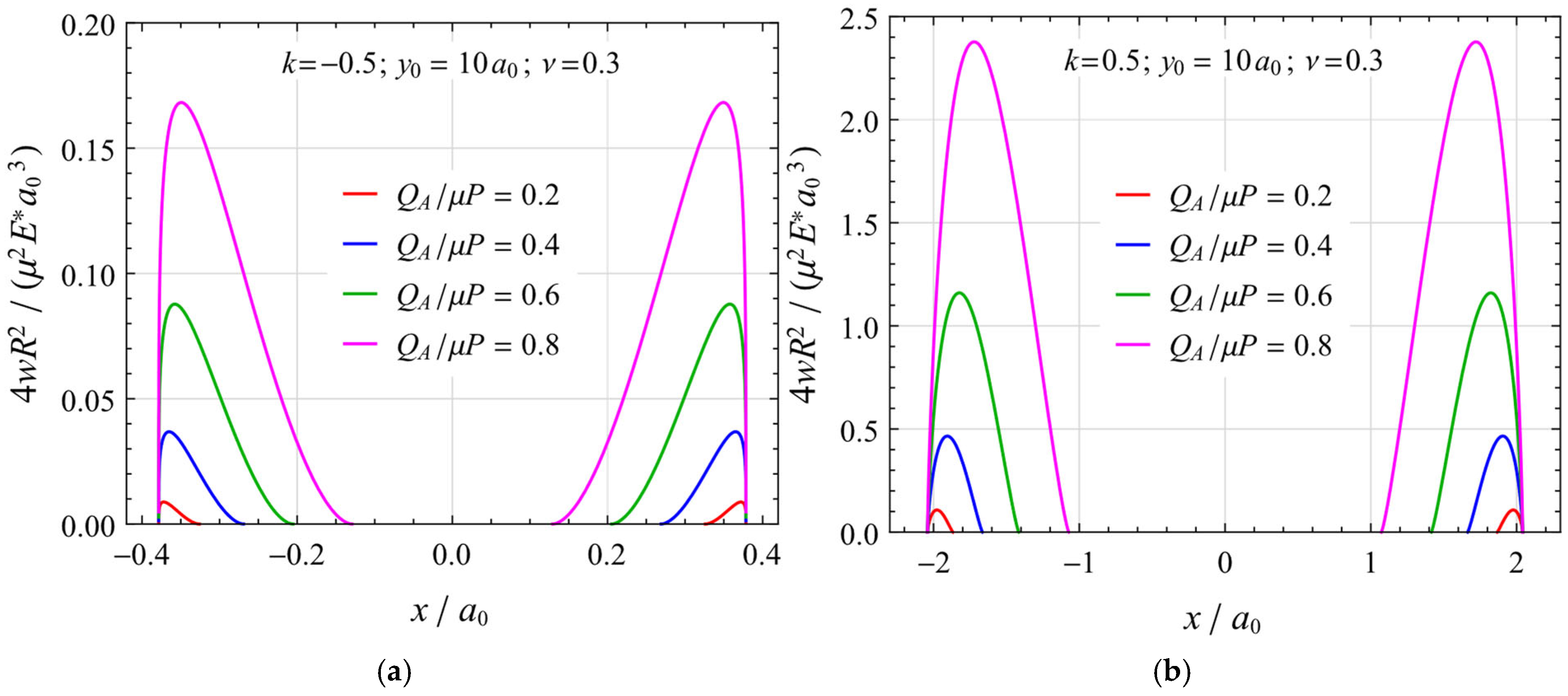
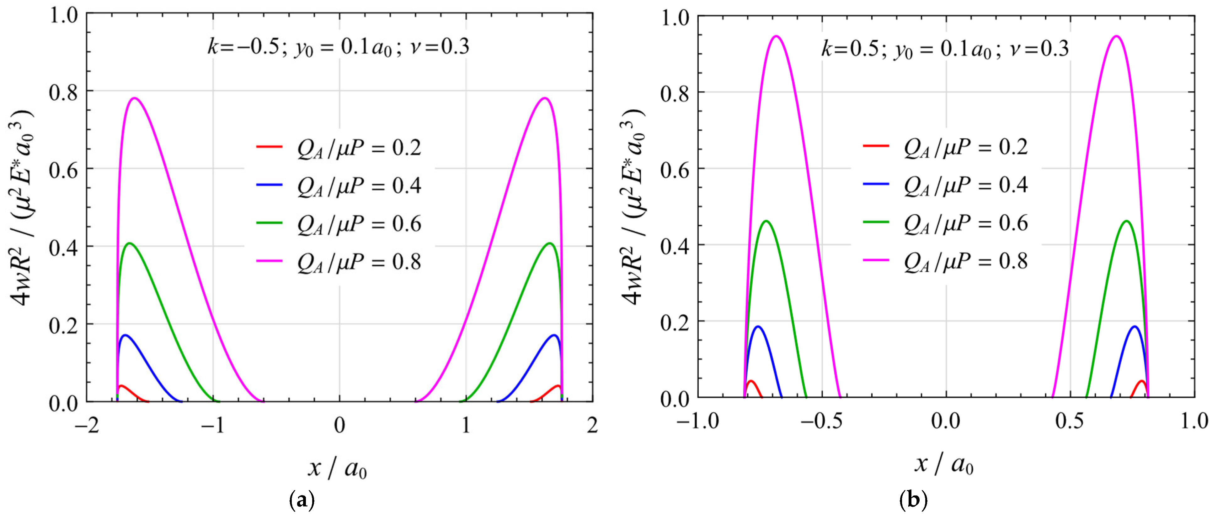
This density of dissipated energy is therefore defined by the tangential stresses (within the slip domains) according to Equation (47) and the relative tangential slip according to Equation (50). For negative and positive in-depth gradings, the energy density curves at different tangential force amplitudes are compared in Figure 6a,b for a small characteristic depth and in Figure 7a,b for an assumed larger characteristic depth.
Regardless of the characteristic depth, it is noticeable that the maxima of the energy density curves for negative exponents of elastic inhomogeneity are shifted significantly further toward the contact edges. The cause can be found in the striking curves of the tangential stresses discussed above. The maxima probably indicate the positions where the greatest wear is to be expected and often correlate with the initiation point for fretting fatigue [37].
The total dissipated energy per cycle can be determined by integrating the energy density over the contact area:
Δ W = a a w x d x = 4 a a q x h x x   d x = 8 c a q x h x x   d x .
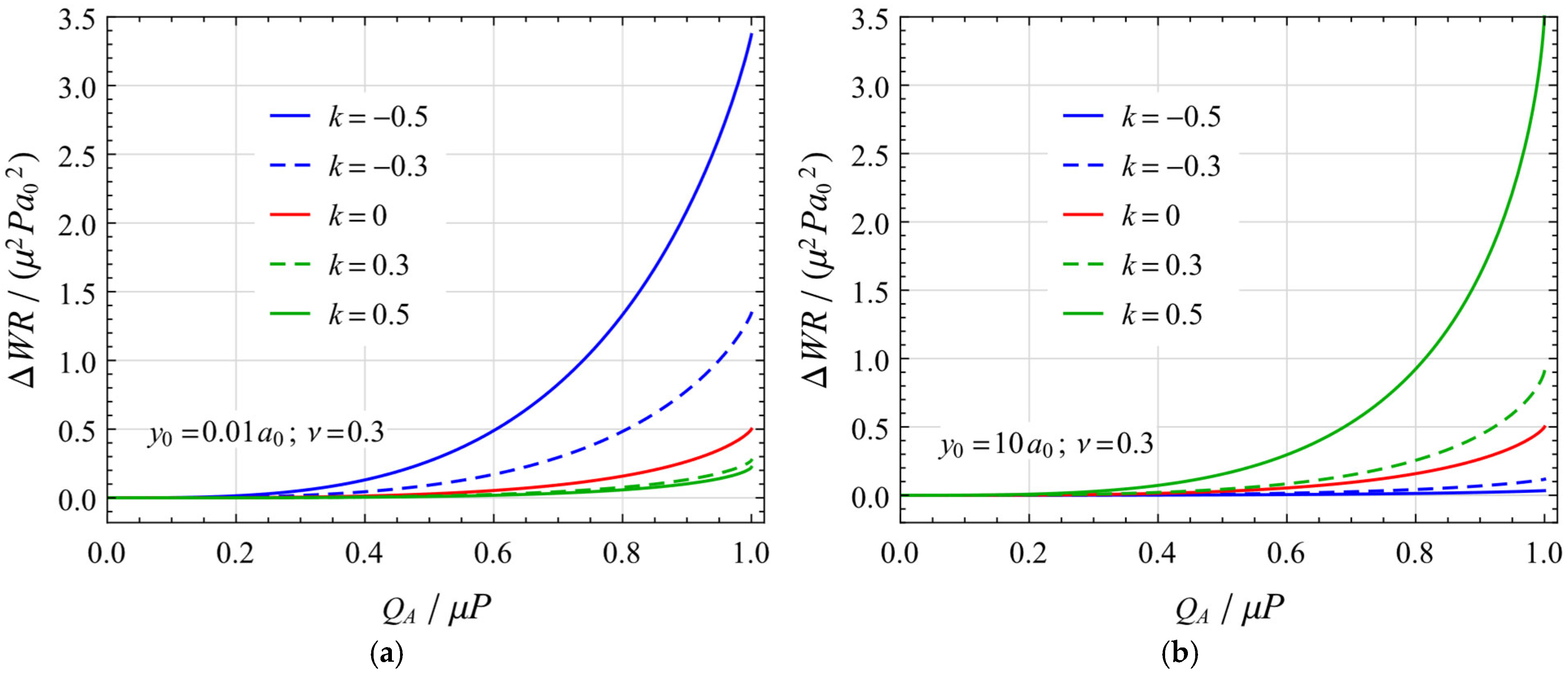
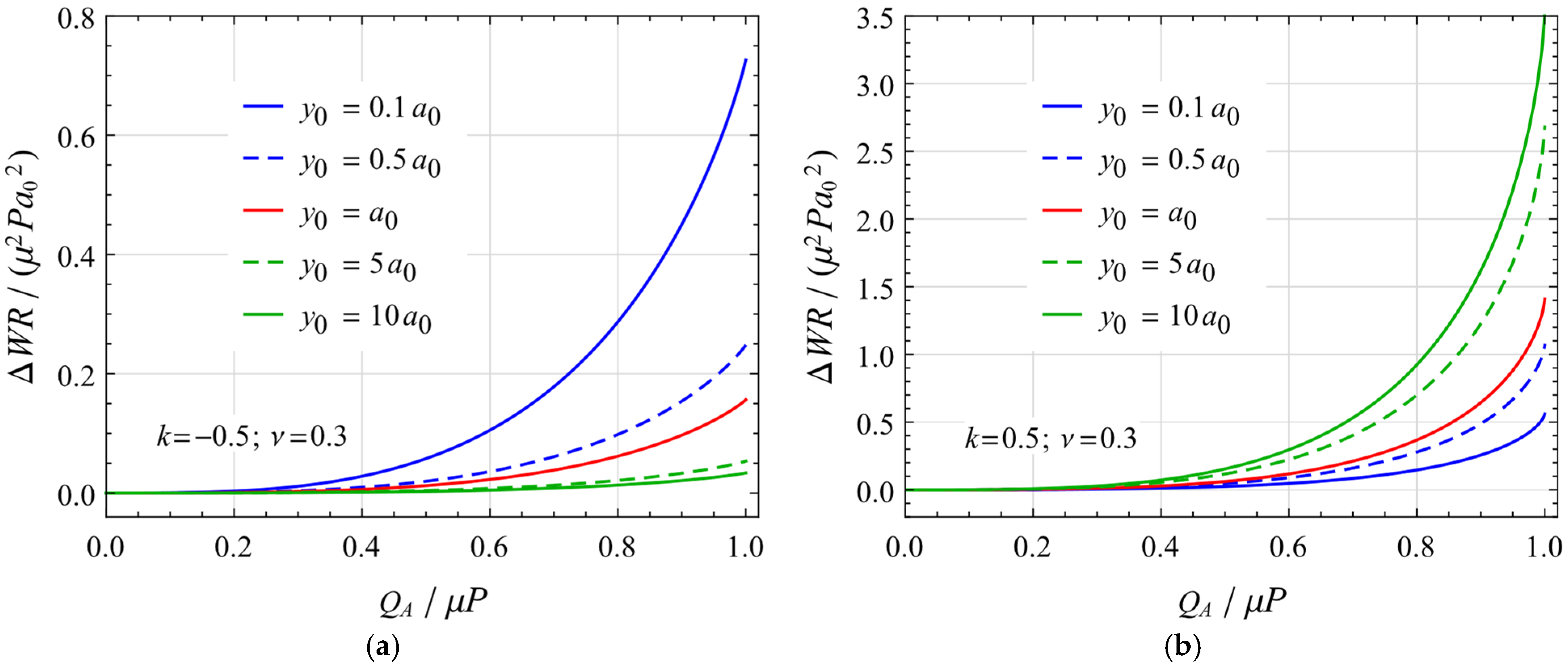
This dissipation is important both as a source of structural damping and as an indicator of potential fretting damage. The normalized dissipated energy as a function of the normalized tangential force amplitude is plotted in Figure 8 for different characteristic depths and two representative in-depth gradings. According to Figure 8a, the dissipated energy for a PLG material specified by a negative in-depth grading increases with decreasing characteristic depth, and for a PLG material specified by a positive in-depth grading, the dissipated energy increases with increasing characteristic depth (see Figure 8b).
In Figure 9a,b, on the other hand, the energy curves for different in-depth gradings are illustrated for two PLG materials with different but fixed characteristic depths. These show that the dissipated energy for PLG materials with very small characteristic depths is smaller for positive exponents of elastic inhomogeneity than for negative ones. For PLG materials with large characteristic depths, on the other hand, the total dissipated energy increases with increasing exponents of elastic inhomogeneity.
In summary, it can be concluded that the dissipated energy for a graded material that is very stiff up to a small depth region near the surface is much greater than in the homogeneous medium. Another interesting fact is that large values also occur at high exponents of elastic inhomogeneity in combination with high characteristic depths. This means that in a graded material that behaves more softly from the surface to the deeper regions, the energy dissipation is also very large.
Finally, it should be noted that the curves highlighted in red in Figure 9 correspond exactly to the values determined numerically by Fleury et al. [38] for elastically homogeneous material. To the best of the authors’ knowledge, no closed-form analytical result for the dissipated energy in plane strain Hertzian contact for homogenous material has been found in the literature to date. This is probably because the simple approach preferred for 3D contacts, based on the work done by the external tangential force on the relative tangential rigid body displacement, cannot be used for 2D problems, since the rigid body displacement due to contact loads is logarithmically infinite. The dissipated energy must be determined according to Equation (52), and we provide the solution below.
By applying the limit k 0, Equations (47) and (50) yield the known tangential stresses and microslip in the slip region for elastically homogeneous material:
q x , a 0 , c = μ E 0 2 ( 1 ν 2 ) R a 0 2 x 2 1 2 ,         c < x a 0 ,
h x x = μ 2 R x x 2 c 2 c 2 ar cosh x c   ,       c < x a 0 .
Substituting Equations (53) and (54) into Equation (52) leads to
Δ W = 2 μ 2 E 0 a 0 4 ( 1 ν 2 ) R 2 c / a 0 1 1 s 2 s s 2 c 2 a 0 2 c 2 a 0 2 a r cosh s c / a 0 d s .
After multiplying out the integrand, the first part of the integral can be solved using elementary methods, while partial integration is applied to the second one in order to obtain the primitive functions using elementary methods. This results in:
Δ W 0 = 2 μ 2 E 0 a 0 4 ( 1 ν 2 ) R 2 π 16 1 c 2 a 0 2 2 π 4 c 2 a 0 2 ln a c + π 8 c 2 a 0 2 1 c 2 a 0 2 .
From Equations (43) and (48), after applying the limit k 0, the well-known equations for elastically homogeneous material are obtained
P a 0 = π 4 E 0 1 ν 2 a 0 2 R ,
c a 0 = 1 Q A μ P ,
which, when substituted into Equation (56), gives
Δ W 0 = μ 2 P a 0 2 2 R 1 1 Q A μ P 2 + 2 ln 1 Q A μ P 1 Q A μ P .
When plotting this result, the curve coincides with those highlighted in red in Figure 9.

5.3. Comparison of Analytical and Finite Element-Based Numerical Solutions

The analytical results discussed above are compared with numerical results obtained from a finite element model implemented in Abaqus/Standard 2025, employing a two-dimensional formulation and an implicit solver. The half-space is modeled as a deformable 2D semicircle of Radius R with functionally graded material properties and the indenter as a rigid parabolic cylinder of radius R. The ratio a/R < 0.04 holds in all loading cases, ensuring the validity of the half-space assumption. The domain is discretized using CPE4 plane strain elements, with approximately 200,000 in total. Zero-displacement boundary conditions are applied along the outer radius of the semicircle. To accurately capture the high gradients in the contact region, the mesh is highly refined along the contact zone, enabling a reliable approximation of the stress and deformation fields in this area.
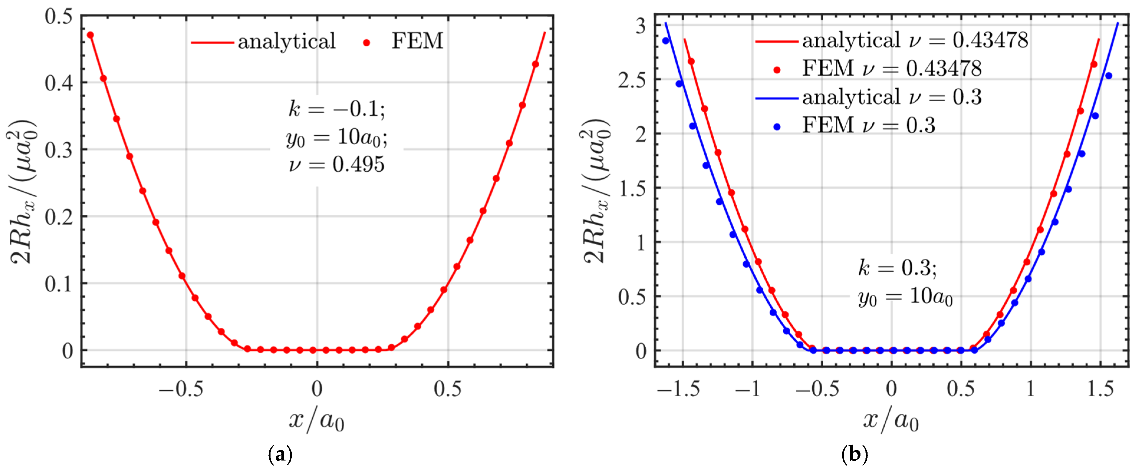
The tangential displacements h x and the tangential tractions q form the computational basis for further calculations like the dissipated energy density or the dissipated energy. The analytical and numerical results are depicted in Figure 10 and Figure 11.
Figure 10 illustrates the normalized relative tangential displacements h x for different pairings of the elastic inhomogeneity k and Poisson’s ratio ν. Figure 10a depicts the normalized tangential displacements h x for a PLG material with negative in-depth grading k = −0.1 and a Poisson’s ratio ν = 0.495, which is near incompressibility and yields stable numerical results. It is not possible to satisfy the Holl ratio for negative exponents of elastic inhomogeneities, like discussed above. However, the analytical and numerical results agree well. This means that the coupling between normal and tangential effects can be neglected in this case.
The red curve and dots in Figure 10b show the analytical and numerical results of PLG material with positive in-depth grading k = 0.3. and a Poisson’s ratio ν = 0.43478 satisfying the Holl ratio. The results fit very well, while the results for the pairing k = 0.3 and ν = 0.3, which violate the Holl ratio (blue curve/dots), show only marginal deviations due to coupling.
The normalized tangential tractions q are shown in Figure 11 at different states of the loading cycle. Initially, the indenter is subjected to a tangential load of amplitude Q A = 0.9   μ P . As the load is gradually reduced, reverse slip initiates at the contact edges and propagates inward. In state C, the tangential line load vanishes, yet the material retains a memory of the loading history (see green curves in Figure 11). From this state, the tangential line load reverses until state E, where the negative tangential load of state A is reached, producing a mirrored tangential stress distribution. The tangential tractions are shown for a PLG material with negative in-depth grading k = −0.1 and Poisson’s ratio ν = 0.495, not satisfying the Holl ratio in Figure 11a, and for a PLG material with positive in-depth grading k = 0.3 and the Poisson’s ratio ν = 0.43478, satisfying the Holl ratio. Both pairings are assigned to fitting curves, but the curves in Figure 11b match very well, while the curves in Figure 11a, which violate the Holl ratio, show only minor deviations.
A further reason for deviations between analytical and numerical results may arise from the fact that the finite element simulations model a finite domain, whereas the analytical theory uses the half-space approximation. Furthermore, minor deviations may arise due to the increased difficulty in implementing the power-law variation of the elastic modulus near the surface.

6. Conclusions

The easy tractability of the novel developed theory for solving mixed boundary value problems of PLG elastic solids under plane strain conditions was demonstrated by means of examples. In many cases, the new theory allows the derivation of closed-form analytical solutions and, above all, avoids the usually highly complicated solution of singular integrals. The theory was designed for symmetrical tangential tractions or tangential displacements specified at the half-space surface. The plane strain fretting contact of a rigid parabolic cylinder and a power-law graded half-space was investigated in detail. The results available to date were limited only to positive exponents of elastic inhomogeneity, and there were no studies on relative slip or dissipated energy density [26]. For negative in-depth gradings, it is inevitable to determine the dissipated energy per cycle by using the local quantities (tangential tractions and relative slip), since, analogous to plane problems of elastically homogeneous solids, the fundamental solutions diverge. Analyses of the dissipated energy density reveal that, regardless of the chosen characteristic depth, the maxima for negative in-depth gradings are significantly shifted toward the contact edges, primarily due to the distinctive shape of tangential stresses within the sliding regions. These maxima are probably the points where the largest wear is expected. A comparison of the total dissipated energy per cycle indicates that, for very thin stiff layers on soft substrates, the total dissipated energy is greater than in the case of homogeneous material. The same applies to thick layers of a functionally graded material with a Young’s modulus that gradually increases with depth and matches that of the underlying substrate at the bonded interface.
Furthermore, presumably for the first time, a closed-form analytical solution for the dissipated energy per cycle as a function of the tangential force amplitude was derived for the fretting contact between a parabolic cylinder and an elastically homogeneous half-space.
As part of future work, the method presented here will be applied to study how contact geometry affects the energy dissipated per cycle for different tangential force amplitudes. Special attention will be given to the interplay of geometry, type of in-depth grading, and force amplitude, with the goal of determining parameters for optimized structural damping. Frictional energy maps are intended to support this investigation.

Author Contributions

Conceptualization, M.H. and P.L.G.; methodology, M.H. and P.L.G.; software, L.R.; validation, P.L.G., L.R. and J.W.; formal analysis, M.H., P.L.G., L.R. and J.W.; investigation, M.H., P.L.G., L.R. and J.W.; writing—original draft preparation, M.H. and P.L.G.; writing—review and editing, M.H. and J.W.; visualization, M.H., P.L.G., L.R. and J.W.; supervision, M.H. All authors have read and agreed to the published version of the manuscript.

Funding

This research received no external funding.

Institutional Review Board Statement

Not applicable.

Informed Consent Statement

Not applicable.

Data Availability Statement

The raw data supporting the conclusions of this article will be made available by the authors on request.

Acknowledgments

We acknowledge support by the German Research Foundation and the Open Access Publication Fund of TU Berlin.

Conflicts of Interest

The authors declare no conflicts of interest.

Abbreviations

The following abbreviations are used in this manuscript:
a Contact half-width
a ˜ Contact half-width of an incremental uniform tangential displacement
a 0 Contact half-width of homogeneous parabolic contact
b , b i Elastic parameter of power-law graded half-spaces
c Stick zone half-width
C , C i Elastic parameter of power-law graded half-spaces
E Young’s modulus of power-law graded half-space
E * Effective Young’s modulus
E 0 , E 0 i Young’s modulus present at characteristic depth of elastic grading
f Initial gap function
g , g i Elastic parameter of power-law graded half-spaces
h x Relative tangential displacement
h y Relative normal displacement
k Power law exponent
M z In-plane angular momentum
n x Characteristic function for tangential contact
n y Characteristic function for normal contact
p Normal stress distribution
P Normal line load
q Tangential stress distribution
Q Tangential line load
Q A Amplitude of tangential line load
R Radius of cylinder
u x Tangential displacements
u y Normal displacements
w Friction energy dissipated per unit area during one cycle/energy density
Δ W Total dissipated energy per cycle
Δ W 0 Total dissipated energy per cycle of homogenous parabolic contact
y 0 Depth of elastic grading/characteristic depth
α Elastic parameter
β Elastic parameter
δ x Tangential rigid body displacement
δ y Contact/indentation depth
μ Coefficient of friction
υ , υ i Poisson ratio of power-law graded half-spaces

References

  1. Miyamoto, Y.; Kaysser, W.A.; Rabin, B.H.; Kawasaki, A.; Ford, R.G. Functionally Graded Materials: Design, Processing and Applications; Springer Science & Business Media: New York, NY, USA, 1999. [Google Scholar] [CrossRef]
  2. Reichardt, A.; Shapiro, A.A.; Otis, R.; Dillon, R.P.; Borgonia, J.P.; McEnerney, B.W.; Hosemann, P.; Beese, A.M. Advances in additive manufacturing of metal-based functionally graded materials. Int. Mater. Rev. 2021, 66, 1–29. [Google Scholar] [CrossRef]
  3. Houari, A.; Guemmour, M.; Amroune, S.; Chellil, A.; Nour, A.; Kouider, B.; Madani, K.; Campilho, R.D.S.G. Dynamic behavior of functionally graded turbine blade using numerical modeling. J. Vib. Eng. Technol. 2025, 13, 492. [Google Scholar] [CrossRef]
  4. Liu, L.; Huang, X.; Wang, G.; Zhang, X.; Zhou, K.; Wang, B. Microstructure and Mechanical Properties of Functionally Graded Materials on a Ti-6Al-4V Titanium Alloy by Laser Cladding. Materials 2025, 18, 3032. [Google Scholar] [CrossRef] [PubMed]
  5. He, L.H.; Swain, M.V. Enamel—A functionally graded natural coating. J. Dent. 2009, 37, 596–603. [Google Scholar] [CrossRef] [PubMed]
  6. Cuy, J.L.; Mann, A.B.; Livi, K.J.; Teaford, M.F.; Weihs, T.P. Nanoindentation mapping of the mechanical properties of human molar tooth enamel. Arch. Oral Biol. 2002, 47, 281–291. [Google Scholar] [CrossRef]
  7. Elleuch, S.; Jrad, H.; Wali, M.; Dammak, F. Finite element analysis of the effect of porosity on biomechanical behaviour of functionally graded dental implant. Proc. Inst. Mech. Eng. Part E J. Process Mech. Eng. 2025, 239, 2430–2442. [Google Scholar] [CrossRef]
  8. Mow, V.C.; Guo, X.E. Mechano-electrochemical properties of articular cartilage: Their inhomogeneities and anisotropies. Annu. Rev. Biomed. Eng. 2002, 4, 175–209. [Google Scholar] [CrossRef]
  9. Hasan, M.M.; Johnson, C.L.; Dunn, A.C. Soft contact mechanics with gradient-stiffness surfaces. Langmuir 2022, 38, 9454–9465. [Google Scholar] [CrossRef]
  10. Song, J.; Zeng, X.; Li, C.; Yin, H.; Mao, S.; Ren, D. Alteration in cartilage matrix stiffness as an indicator and modulator of osteoarthritis. Biosci. Rep. 2024, 44, BSR20231730. [Google Scholar] [CrossRef]
  11. Arzt, E.; Gorb, S.; Spolenak, R. From micro to nano contacts in biological attachment devices. Proc. Natl. Acad. Sci. USA 2003, 100, 10603–10606. [Google Scholar] [CrossRef]
  12. Dong, X.; Zhang, R.; Tian, Y.; Ramos, M.A.; Hu, T.S.; Wang, Z.; Zhao, H.; Zhang, L.; Wan, Y.; Xia, Z.; et al. Functionally graded gecko setae and the biomimics with robust adhesion and durability. ACS Appl. Polym. Mater. 2020, 2, 2658–2666. [Google Scholar] [CrossRef]
  13. Wang, C.D.; Tzeng, C.S.; Pan, E.; Liao, J.J. Displacements and stresses due to a vertical point load in an inhomogeneous transversely isotropic half-space. Int. J. Rock Mech. Min. Sci. 2003, 40, 667–685. [Google Scholar] [CrossRef]
  14. Ke, L.L.; Wang, Y.S. Two-dimensional contact mechanics of functionally graded materials with arbitrary spatial variations of material properties. Int. J. Solids Struct. 2006, 43, 5779–5798. [Google Scholar] [CrossRef]
  15. Wang, Z.; Yu, C.; Wang, Q. An efficient method for solving three-dimensional fretting contact problems involving multilayered or functionally graded materials. Int. J. Solids Struct. 2015, 66, 46–61. [Google Scholar] [CrossRef]
  16. Booker, J.R.; Balaam, N.P.; Davis, E.H. The behaviour of an elastic non-homogeneous half-space. Part II—Circular and strip footings. Int. J. Numer. Anal. Methods Geomech. 1985, 9, 369–381. [Google Scholar] [CrossRef]
  17. Giannakopoulos, A.E.; Suresh, S. Indentation of solids with gradients in elastic properties: Part II. Axisymmetric indentors. Int. J. Solids Struct. 1997, 34, 2393–2428. [Google Scholar] [CrossRef]
  18. Chen, S.; Yan, C.; Zhang, P.; Gao, H. Mechanics of adhesive contact on a power-law graded elastic half-space. J. Mech. Phys. Solids 2009, 57, 1437–1448. [Google Scholar] [CrossRef]
  19. Jin, F.; Guo, X.; Zhang, W. A unified treatment of axisymmetric adhesive contact on a power-law graded elastic half-space. J. Appl. Mech. 2013, 80, 061024. [Google Scholar] [CrossRef]
  20. Heß, M. A simple method for solving adhesive and non-adhesive axisymmetric contact problems of elastically graded materials. Int. J. Eng. Sci. 2016, 104, 20–33. [Google Scholar] [CrossRef]
  21. Jin, F.; Tang, Q.; Guo, X.; Gao, H. A generalized Maugis-Dugdale solution for adhesion of power-law graded elastic materials. J. Mech. Phys. Solids 2021, 154, 104509. [Google Scholar] [CrossRef]
  22. Heß, M. A study on gross slip and fretting wear of contacts involving a power-law graded elastic half-space. Facta Univ. Ser. Mech. Eng. 2019, 17, 47–64. [Google Scholar] [CrossRef]
  23. Wilhayn, J.; Heß, M. Frictional Energy Dissipation in Partial Slip Contacts of Axisymmetric Power-Law Graded Elastic Solids under Oscillating Tangential Loads: Effect of the Geometry and the In-Depth Grading. Mathematics 2022, 10, 364. [Google Scholar] [CrossRef]
  24. Heß, M.; Li, Q. Tangential contacts of three-dimensional power-law graded elastic solids: A general theory and application to partial slip. Mech. Adv. Mater. Struct. 2024, 31, 5885–5905. [Google Scholar] [CrossRef]
  25. Lyashenko, I.A.; Borysiuk, V.N.; Popov, V.L. Dynamical model of the asymmetric actuator of directional motion based on power-law graded materials. Facta Univ. Ser. Mech. Eng. 2020, 18, 245–254. [Google Scholar] [CrossRef]
  26. Giannakopoulos, A.E.; Pallot, P. Two-dimensional contact analysis of elastic graded materials. J. Mech. Phys. Solids 2000, 48, 1597–1631. [Google Scholar] [CrossRef]
  27. Chen, S.; Yan, C.; Soh, A. Adhesive behavior of two-dimensional power-law graded materials. Int. J. Solids Struct. 2009, 46, 3398–3404. [Google Scholar] [CrossRef]
  28. Jin, F.; Guo, X. Non-slipping adhesive contact of a rigid cylinder on an elastic power-law graded half-space. Int. J. Solids Struct. 2010, 47, 1508–1521. [Google Scholar] [CrossRef]
  29. Heß, M.; Giesa, P.L. An application of the Mossakovskii-Jäger procedure for solving plane strain adhesive contact problems of power-law graded elastic solids. Spectr. Mech. Eng. Oper. Res. 2024, 1, 64–81. [Google Scholar] [CrossRef]
  30. Xia, F.; Jin, F. A unified treatment of two-dimensional adhesive contact on a power-law graded elastic half-plane. Mech. Mater. 2025, 213, 105559. [Google Scholar] [CrossRef]
  31. Forsbach, F.; Heß, M. Shear-off behavior of adhesive contacts with functionally graded elastic media. J. Adhes. 2025, 101, 1816–1841. [Google Scholar] [CrossRef]
  32. Lee, D.; Barber, J.R.; Thouless, M. Indentation of an elastic half space with material properties varying with depth. Int. J. Eng. Sci. 2009, 47, 1274–1283. [Google Scholar] [CrossRef]
  33. Li, Q. FFT-assisted boundary element method for contacts of the power-law graded elastic materials. AIP Conf. Proc. 2025, 3177, 020007. [Google Scholar] [CrossRef]
  34. Jäger, J. Half-planes without coupling under contact loading. Arch. Appl. Mech. 1997, 67, 247–259. [Google Scholar] [CrossRef]
  35. Jäger, J. Ein neues Prinzip der Kontaktmechanik. Z. Angew. Math. Mech. 1997, 77, S143–S144. [Google Scholar] [CrossRef]
  36. Ciavarella, M. The generalized Cattaneo partial slip plane contact problem. I—Theory. Int. J. Solids Struct. 1998, 35, 2349–2362. [Google Scholar] [CrossRef]
  37. Barber, J.R.; Davies, M.; Hills, D.A. Frictional elastic contact with periodic loading. Int. J. Solids Struct. 2011, 48, 2041–2047. [Google Scholar] [CrossRef]
  38. Fleury, R.M.N.; Paynter, R.J.H.; Nowell, D. Estimation of the coefficient of friction in partial slip contacts between contacting nickel superalloys. Tribol. Int. 2017, 108, 156–163. [Google Scholar] [CrossRef]
Figure 1. Schematic representation of the contact between two power-law graded elastic solids (adopted from [29]): (a) Young’s modulus of both increases with depth, representing a soft interface and stiff cores (b) Young’s modulus of both decreases with depth, representing a stiff interface and soft cores.
Figure 1. Schematic representation of the contact between two power-law graded elastic solids (adopted from [29]): (a) Young’s modulus of both increases with depth, representing a soft interface and stiff cores (b) Young’s modulus of both decreases with depth, representing a stiff interface and soft cores.
Applsci 16 00473 g001
Figure 2. Plane strain indentation of a power-law graded half-space by a convex rigid indenter of shape f(x).
Figure 2. Plane strain indentation of a power-law graded half-space by a convex rigid indenter of shape f(x).
Applsci 16 00473 g002
Figure 3. Plane strain partial slip contact of a convex-shaped rigid indenter and a power-law graded half-space.
Figure 3. Plane strain partial slip contact of a convex-shaped rigid indenter and a power-law graded half-space.
Applsci 16 00473 g003
Figure 4. Normalized tangential tractions for tangential contact between a rigid parabolic cylinder and a PLG elastic half-space specified by a small characteristic depth of y0 = 0.1a0 for various tangential line loads: (a) PLG material with negative in-depth grading k = −0.5, (b) PLG material with positive in-depth grading k = 0.5.
Figure 4. Normalized tangential tractions for tangential contact between a rigid parabolic cylinder and a PLG elastic half-space specified by a small characteristic depth of y0 = 0.1a0 for various tangential line loads: (a) PLG material with negative in-depth grading k = −0.5, (b) PLG material with positive in-depth grading k = 0.5.
Applsci 16 00473 g004
Figure 5. Normalized tangential tractions for tangential contact between a rigid parabolic cylinder and a PLG elastic half-space specified by a large characteristic depth of y0 = 10a0 for various tangential line loads: (a) PLG material with negative in-depth grading k = −0.5, (b) PLG material with positive in-depth grading k = 0.5.
Figure 5. Normalized tangential tractions for tangential contact between a rigid parabolic cylinder and a PLG elastic half-space specified by a large characteristic depth of y0 = 10a0 for various tangential line loads: (a) PLG material with negative in-depth grading k = −0.5, (b) PLG material with positive in-depth grading k = 0.5.
Applsci 16 00473 g005
Figure 6. Normalized dissipated energy density for tangential contact between a rigid parabolic cylinder and a PLG elastic half-space specified by a small characteristic depth of y0 = 0.1a0 for various tangential line loads: (a) PLG material with negative in-depth grading k = −0.5, (b) PLG material with positive in-depth grading k = 0.5.
Figure 6. Normalized dissipated energy density for tangential contact between a rigid parabolic cylinder and a PLG elastic half-space specified by a small characteristic depth of y0 = 0.1a0 for various tangential line loads: (a) PLG material with negative in-depth grading k = −0.5, (b) PLG material with positive in-depth grading k = 0.5.
Applsci 16 00473 g006
Figure 7. Normalized dissipated energy density for tangential contact between a rigid parabolic cylinder and a PLG elastic half-space specified by a large characteristic depth of y0 = 10a0 for various tangential line loads: (a) PLG material with negative in-depth grading k = −0.5, (b) PLG material with positive in-depth grading k = 0.5.
Figure 7. Normalized dissipated energy density for tangential contact between a rigid parabolic cylinder and a PLG elastic half-space specified by a large characteristic depth of y0 = 10a0 for various tangential line loads: (a) PLG material with negative in-depth grading k = −0.5, (b) PLG material with positive in-depth grading k = 0.5.
Applsci 16 00473 g007
Figure 8. Normalized dissipated energy per cycle as a function of tangential force amplitude for the contact between a rigid parabolic cylinder and a PLG elastic half-space specified by various characteristic depths y0: (a) a negative in-depth grading k = −0.5, (b) a positive in-depth grading k = 0.5.
Figure 8. Normalized dissipated energy per cycle as a function of tangential force amplitude for the contact between a rigid parabolic cylinder and a PLG elastic half-space specified by various characteristic depths y0: (a) a negative in-depth grading k = −0.5, (b) a positive in-depth grading k = 0.5.
Applsci 16 00473 g008
Figure 9. Normalized dissipated energy per cycle as a function of tangential force amplitude for the contact between a rigid parabolic cylinder and a PLG elastic half-space for various exponents of elastic inhomogeneity: (a) a specified small characteristic depth of y0 = 0.01a0, (b) a larger one specified by y0 = 10a0.
Figure 9. Normalized dissipated energy per cycle as a function of tangential force amplitude for the contact between a rigid parabolic cylinder and a PLG elastic half-space for various exponents of elastic inhomogeneity: (a) a specified small characteristic depth of y0 = 0.01a0, (b) a larger one specified by y0 = 10a0.
Applsci 16 00473 g009
Figure 10. Normalized tangential displacements for the contact between a rigid parabolic cylinder and a PLG elastic half-space specified by a large characteristic depth of y0 = 10a0 for different exponents of elastic inhomogeneity and various Poisson’s ratios: (a) PLG material with negative in-depth grading k = −0.1 and ν = 0.495, (b) PLG material with positive in-depth grading k = 0.3 and the Poisson’s ratio ν = 0.43478 satisfying the Holl ratio (red) and the Poisson’s ratio ν = 0.3 not satisfying the Holl ratio (blue).
Figure 10. Normalized tangential displacements for the contact between a rigid parabolic cylinder and a PLG elastic half-space specified by a large characteristic depth of y0 = 10a0 for different exponents of elastic inhomogeneity and various Poisson’s ratios: (a) PLG material with negative in-depth grading k = −0.1 and ν = 0.495, (b) PLG material with positive in-depth grading k = 0.3 and the Poisson’s ratio ν = 0.43478 satisfying the Holl ratio (red) and the Poisson’s ratio ν = 0.3 not satisfying the Holl ratio (blue).
Applsci 16 00473 g010
Figure 11. Normalized tangential tractions for tangential contact between a rigid parabolic cylinder and a PLG elastic half-space specified by a large characteristic depth of y0 = 10a0 for the tangential line load amplitude Q A μ P = 0.9 at different ratios Q i μ P : (a) PLG material with negative in-depth grading k = −0.1 and Poisson’s ratio ν = 0.495, (b) PLG material with positive in-depth grading k = 0.3. and the Poisson’s ratio ν = 0.43478 satisfying the Holl ratio.
Figure 11. Normalized tangential tractions for tangential contact between a rigid parabolic cylinder and a PLG elastic half-space specified by a large characteristic depth of y0 = 10a0 for the tangential line load amplitude Q A μ P = 0.9 at different ratios Q i μ P : (a) PLG material with negative in-depth grading k = −0.1 and Poisson’s ratio ν = 0.495, (b) PLG material with positive in-depth grading k = 0.3. and the Poisson’s ratio ν = 0.43478 satisfying the Holl ratio.
Applsci 16 00473 g011
Disclaimer/Publisher’s Note: The statements, opinions and data contained in all publications are solely those of the individual author(s) and contributor(s) and not of MDPI and/or the editor(s). MDPI and/or the editor(s) disclaim responsibility for any injury to people or property resulting from any ideas, methods, instructions or products referred to in the content.

Share and Cite

MDPI and ACS Style

Heß, M.; Giesa, P.L.; Riechert, L.; Wilhayn, J. A Theory for Plane Strain Tangential Contacts of Functionally Graded Elastic Solids with Application to Fretting. Appl. Sci. 2026, 16, 473. https://doi.org/10.3390/app16010473

AMA Style

Heß M, Giesa PL, Riechert L, Wilhayn J. A Theory for Plane Strain Tangential Contacts of Functionally Graded Elastic Solids with Application to Fretting. Applied Sciences. 2026; 16(1):473. https://doi.org/10.3390/app16010473

Chicago/Turabian Style

Heß, Markus, Paul Leonard Giesa, Larissa Riechert, and Josefine Wilhayn. 2026. "A Theory for Plane Strain Tangential Contacts of Functionally Graded Elastic Solids with Application to Fretting" Applied Sciences 16, no. 1: 473. https://doi.org/10.3390/app16010473

APA Style

Heß, M., Giesa, P. L., Riechert, L., & Wilhayn, J. (2026). A Theory for Plane Strain Tangential Contacts of Functionally Graded Elastic Solids with Application to Fretting. Applied Sciences, 16(1), 473. https://doi.org/10.3390/app16010473

Note that from the first issue of 2016, this journal uses article numbers instead of page numbers. See further details here.

Article Metrics

Back to TopTop