Next Article in Journal
Non-Linear Method of Vehicle Velocity Determination Based on Tensor Product B-Spline Approximation with Probabilistic Weights for NHTSA Database of Compact Vehicle Class
Previous Article in Journal
TemporalAE-Net: A Self-Attention Framework for Temporal Acoustic Emission-Based Classification of Crack Types in Concrete
 
 
Font Type:
Arial Georgia Verdana
Font Size:
Aa Aa Aa
Line Spacing:
Column Width:
Background:
Article

Assessment of Impact Parameters on Draw Volume and Filling Dynamics of Evacuated Blood Collection Tubes

Institute of Biomedical Mechatronics, Johannes Kepler University of Linz, 4040 Linz, Austria
*
Author to whom correspondence should be addressed.
Appl. Sci. 2026, 16(1), 399; https://doi.org/10.3390/app16010399 (registering DOI)
Submission received: 17 October 2025 / Revised: 5 December 2025 / Accepted: 26 December 2025 / Published: 30 December 2025

Featured Application

This study provides valuable insights into the design and operation of evacuated blood collection tubes, particularly for high-altitude applications, since ambient pressure exerts the most significant impact on their performance. By quantifying the effects of various factors, such as altitude, temperature, and tube design, the research intends to guide manufacturers in optimizing production parameters to ensure reliable blood collection, even in challenging environments. For medical personnel, the study raises awareness of how environmental and procedural factors can influence blood collection accuracy, enabling more effective clinical use of these tubes. By consolidating and analyzing these effects, this work serves as a practical resource for improving the reliability and safety of blood collection, ensuring that evacuated tubes perform consistently across diverse conditions.

Abstract

Evacuated blood collection tubes are widely used in clinical and laboratory settings due to their simplicity and reliability. However, their performance is influenced by factors such as ambient pressure, temperature, tube design, and procedural conditions. This study systematically investigates and quantifies these effects on draw volume and filling dynamics, with a particular emphasis on high-altitude applications. A combination of theoretical modeling, experimental validation, and qualitative analysis was employed to identify critical parameters and assess their significance. The results demonstrate that standard tubes designed for sea-level conditions, particularly those with low fill ratios, may exhibit substantial deviations in draw volume at high altitudes. Factors such as blood temperature and venous pressure were found to have a considerable impact, while others, such as material creep, were negligible under typical conditions. By consolidating and analyzing these effects, this study provides a valuable resource for manufacturers and medical personnel, offering valuable insights to improve the design and use of evacuated blood collection tubes. The findings emphasize the importance of considering environmental conditions during production and clinical application, particularly for high-altitude scenarios. Future work should refine the models and expand testing under realistic conditions to enhance reliability and applicability.

1. Introduction

In recent decades, the introduction of evacuated blood collection tubes has significantly simplified venous blood sampling. Prior to their development, the collection of blood for laboratory analysis was a complex procedure that required preparation of additive solutions, the use of glass syringes for blood collection, transfer of the blood into a series of test tubes, precise mixing of blood and additives, and cleaning of reusable materials. This workflow entailed numerous disadvantages and was associated with a high risk of errors. For instance, patients had to undergo multiple venipunctures, and the collection and transfer processes were prone to inaccuracies [1].
The use of evacuated tubes offers several advantages, including easy and safe handling during blood collection, accurate blood-to-additive ratios when used correctly, and the elimination of a cleaning step due to their single-use design. Additionally, the tubes can be prefilled with the required additives, enabling faster overall processing. The blood collection procedure is reduced to the insertion of a needle into the patient’s vein at one end of the blood collection set and the subsequent puncture of a rubber membrane within the evacuated tube’s cap at the other end. The predefined vacuum inside the evacuated tube, in combination with atmospheric pressure acting on the patient’s body, generates a pressure gradient that drives blood into the tube until pressure equilibrium is reached, thereby ensuring the collection of a defined blood volume. When multiple samples are required, further tubes can be attached to the same blood collection set, thus avoiding repeated venipunctures [1].
Evacuated blood collection tubes are typically made of either glass or plastic, such as polyethylene terephthalate (PET). Both materials are transparent and are capable of maintaining vacuum over extended periods. In general, plastic exhibits higher toughness and shock resistance than glass, making it less prone to breakage. Moreover, it tolerates higher centrifugation speeds, has lower weight, and comes with lower manufacturing costs [2]. However, compared to glass, plastic has a higher gas permeability, which results in a reduced shelf life [3].
During production, additives may be introduced into the tube prior to evacuation. These substances serve various functions, such as promoting coagulation, enabling anticoagulation, or stabilizing specific analytes or cellular components. Additives are typically categorized as either “dry”, when spray-coated onto the inner wall of the tube and subsequently dried, or “wet”, when applied as a liquid or gel [1].
Despite the simplicity and safety of the blood collection procedure using evacuated tubes, several external factors may adversely affect the quality of the collected blood sample. The most critical factors are atmospheric pressure (which is largely determined by altitude) and ambient temperature at the site of collection, as both significantly influence the volume of blood drawn into the tube. While elevated temperatures notably decrease the drawn blood volume, the reduced atmospheric pressure of geographic locations at higher altitudes may lead to a significant reduction in the collected volume due to the diminished pressure gradient between the ambient environment and the evacuated tube [1]. Given that over 500 million people worldwide live at altitudes of 1500 m or higher, this dependence must be strictly taken into account [4].
MacNutt and Sheel’s [5] study examined the relationship between altitude and the collection volume of Vacutainer® tubes across altitudes ranging from sea level up to 5341 m. Their findings indicated an approximate decline of 0.5 mL in collection volume per 1000 m increase in altitude.
Insufficient blood volume can limit the range of available testing options, while an improper blood-to-additive ratio may compromise the accuracy of test results. Multiple studies have demonstrated that even minor deviations can substantially impact the accuracy of clinical analyses [1,6,7,8]. Furthermore, employing evacuated tubes with low nominal draw volumes at elevated altitudes entails a potential risk of air embolism when ambient pressure falls below the tube’s internal vacuum, inverting the pressure gradient and enabling air to enter the blood collection set and, ultimately, the patient [1]. Consequently, it is crucial to consider the effects of atmospheric pressure and temperature variations [9], as these may also coincide with altitude-induced physiological effects such as hypoxia [10].
Understanding the various factors that influence the performance of evacuated blood collection tubes is essential for ensuring reliable and accurate blood collection across diverse conditions. While ambient pressure, particularly at high altitudes, has the most significant impact, other factors also contribute to the overall behavior of the tubes. This study aims to identify and quantify these effects, providing a comprehensive understanding of their significance in the blood collection process.
To achieve this, we conducted theoretical modeling and experimental validations for specific impact parameters using a custom-built test setup to analyze these effects on draw volume and filling behavior. The results demonstrate that, aside from ambient pressure, factors such as ambient and blood temperature, venous pressure, and tube design have a considerable impact, while others are negligible under typical conditions.
These findings underscore the importance of manufacturing specialized evacuated blood collection tubes for use at different altitudes, with the fill ratio identified as a critical tube design parameter influencing their application range in terms of altitude. Additionally, the study highlights various parameters that are essential for ensuring reliable and accurate blood collection.
One investigation specifically addresses the effect of sample fluid temperature on draw volume, considering that the applicable standard, ISO 6710:2017, specifies draw volume calibration with water at 20 °C [11], whereas venous blood has a temperature of approximately 37 °C [12]. Furthermore, the effects of using an empty blood collection set (i.e., not prefilled as prescribed) on draw volume, as well as the impact of different needle types and sizes on filling duration, were investigated.
To the best of our knowledge, this is the first study to explicitly examine known effects [5] occurring during blood collection with evacuated blood collection tubes and to quantify most of their influence on the draw volume and filling behavior, using both experimental data and a mathematical modeling approach.
Taken together, these findings contribute to a broader understanding of the factors affecting the performance of evacuated blood collection tubes and provide practical insights for improving their design and application.

2. Materials and Methods

2.1. Mathematical Description

The fundamental equation governing the pressure–temperature–volume relationship of ideal gases is the ideal gas law. In the present context, air can be approximated as an ideal gas with sufficient accuracy. Therefore, the ideal gas law can be applied:
p · V = n · R · T .
This equation states that the absolute pressure p (in Pa) multiplied by the volume V of an ideal gas (in m3) is equal to the product of the amount of substance n (in mol), the universal gas constant R , and the absolute temperature T (in K). The universal gas constant is defined as R = 8.3145 J mol−1 K−1.
Accordingly, the absolute internal pressure to be established in the tube at the production site p I , P , is determined by the target amount of substance n P , the internal free volume at production V P , and the absolute production temperature T P , as follows:
p I , P   =   n P · R · T P V P .
Similarly, the theoretical internal pressure at the sampling site p I , S , can be calculated as:
p I , S   =   n S · R · T S V S ,
where T S is the absolute temperature at the sampling site, V S is the internal free volume of the tube at the time of sampling, which may differ from the volume at production V P , and n S is the corresponding amount of substance remaining in the tube, which may likewise differ from the initial value n P .
By introducing the ratios
c V = V S V P ,     c n = n S n P ,
where c V denotes the volumetric loss ratio and c n the substance loss ratio, Equation (3) can be recast, incorporating Equation (2), as:
p I , S   = c n c V ·   n P · R · T S V P =   p I , P · c n c V · T S T P .
For relative pressure measurements, the absolute internal pressure p I follows from the ambient pressure p O and the measured gauge pressure p :
p I   =   p O     p .
Assuming that the blood collection set at the sampling site is not prefilled as prescribed and instead contains an air volume V d e a d at ambient pressure p O , S and temperature T S , a corresponding amount of substance n d e a d is present within the system. This amount can be calculated as follows:
n d e a d   =   p O , S · V d e a d R · T S .
At the sampling site, the ambient pressure p O , S acts isotropically on the patient’s body. The absolute pressure within the patient’s vein is given by the sum of the ambient pressure and the venous blood pressure p v e n . Once the blood collection set establishes a connection between the venous system and the evacuated tube, blood begins to flow into the tube until its internal pressure asymptotically approaches the absolute venous pressure p O , S + p v e n .
After blood extraction, the air within the tube contains the total amount of substance n E , which is given by
n E = n S + n d e a d
and is subjected to the absolute pressure p O , S + p v e n , resulting from the hydrostatic coupling between the evacuated tube and the patient’s venous system. This air volume occupies V S V b l , where V b l denotes the volume of blood drawn into the tube.
Due to the potential temperature difference between venous blood, which has a temperature of approximately 37 °C [11]. and the ambient temperature at the sampling site T S , which is assumed to correspond to the temperature of the air within the tube before extraction, it is reasonable to assume that the temperature of the enclosed air increases during the extraction process. To account for this effect, the temperature ratio is introduced,
c T = T E T S
where T E is the temperature of the air immediately after the completion of blood collection. This ratio depends on both the thermal gradient between the blood and the initial temperature of the air within the tube, as well as on procedural factors such as the effective heat transfer coefficient, which may vary due to tube design and collection conditions, including the orientation of the tube during extraction. Under the assumptions, the total amount of air within the tube after extraction n E can be expressed as
n E = ( p O , S + p v e n ) · ( V s V b l ) R · T E = ( p O , S + p v e n ) · ( V s V b l ) R · c T · T S .
By substituting Equation (7), Equation (10), and a rearranged expression of Equation (3) into Equation (8), and employing the definitions of the ratio in Equation (9), the internal absolute pressure at the sampling site p I , S can be calculated as follows:
p I , S = 1 V S · p O , S + p v e n · V S V b l c T p O , S · V d e a d .
Further substitution using the ratios in Equation (4) as well as the relation in Equation (5) yields the internal absolute pressure to be generated at the production site p I , P :
p I , P = T P T S · 1 c n · V P · p O , S + p v e n · c V · V P V b l c T p O , S · V d e a d .
This equation can be rearranged to either determine the expected blood volume V b l for a given production pressure p I , P or to calculate the internal free volume at production V P in case it is not precisely known, based on the given production pressure p I , P and the measured volume of blood drawn V b l :
V b l = c V · V P c T p O , S + p v e n · T S T P · c n · p I , P · V P + p O , S · V d e a d ,
V P = T P · p O , S + p v e n · V b l + c T · p O , S · V d e a d T P · c V · p O , S + p v e n T S · c n · c T · p I , P .
For validation purposes at the production site shortly after manufacturing, transient effects can be neglected. Consequently, the ratios c n and c V may be set to unity. Further simplification is possible if the test fluid used during validation, the ambient air, and the air within the tube are all thermally equilibrated. Under these conditions, the ratio c T can also be set to unity, given the absence of a temperature differential. When a hydrostatic water column is used for validation, the physiological venous pressure p v e n can be substituted by the hydrostatic pressure p h y d of the water column. Additionally, if the blood collection set is prefilled with fluid as prescribed, the dead volume V d e a d becomes zero. Applying these simplifications, the equations reduce to:
p I , S = p O , S + p h y d · V S V b l V S ,
p I , P = T P T s · p I , S ,
V b l = V S p I , S · V S p O , S + p h y d ,
V P = V S = p O , S + p h y d · V b l p O , S + p h y d p I , S .

2.2. Evacuated Blood Collection Tubes, Holder, and Sets

Three types of evacuated blood collection tubes where employed in this study, whereas tubes with a nominal liquid capacity of 2 mL where used from two different batches: VACUETTE® TUBE 2ml 9NC Coagulation sodium citrate 3.2%, Item No. 454321, Expiration Date 1 August 2025 and 4 June 2026 (Greiner Bio-One GmbH, Kremsmünster, Austria) with a nominal liquid capacity of 2 mL, VACUETTE® TUBE 4 mL Z No Additive, Item No. 454001, Expiration Date 9 March 2026 (Greiner Bio-One GmbH, Kremsmünster, Austria) with a nominal liquid capacity of 4 mL, and VACUETTE® TUBE 9 mL Z No, Item No. 455001, Expiration Date 14 May 2026 (Greiner Bio-One GmbH, Kremsmünster, Austria) with a nominal liquid capacity of 9 mL. These tubes are referred to in the following as the “2 mL tube (2025)”, “2 mL tube (2026)”, “4 mL tube”, and “9 mL tube”, respectively. The internal free sampling volumes V S of the tubes as well as the volume of the pre-filled additive solution of the 2 mL tube (sodium citrate aqueous solution with an assumed density of 1.000 g/mL) were determined empirically by gravimetric measurement.
The HOLDEX® Single-Use Holder PP, Item No. 450241 (Greiner Bio-One GmbH, Kremsmünster, Austria), which incorporates a needle to penetrate the rubber seal of the tube caps, was used as a blood collection tube holder and is hereafter referred to as the “tube connection port”.
Furthermore, two types of blood collection sets were employed in this study: SAFETY Blood Collection Set + Blood Culture Holder, Item No. 450183 (Greiner Bio-One GmbH, Kremsmünster, Austria) with a tubing length of 190 mm and the VACUETTE® EVOPROTECT SAFETY Blood Collection Set + Luer Adapter, Item No. 450130 (Greiner Bio-One GmbH, Kremsmünster, Austria) with a tubing length of 300 mm. These blood collection sets are referred to in the following as the “190 mm set” and the “300 mm set”, respectively. Both sets incorporate a 23 G needle, with the 190 mm set using an “Thin Wall” (TW) type and the 300 mm set an “Extra Thin Wall” (ETW) type.

2.3. Experimental Validation of Mathematical Description

The proposed simplified mathematical model shown in Equation (17) was experimentally validated using a custom-built test setup. The experimental setup comprised a cylindrical 100 mL borosilicate glass vessel (Brand GmbH + Co. KG, Wertheim, Germany) partially filled with deionized water, connected via vacuum tubing to a 500 mL borosilicate glass multi-port bottle (Schott AG, Mainz, Germany), which in turn was linked to a diaphragm vacuum pump (ILMVAC MPC 090 E; Welch Vacuum, Ilmenau, Germany). The inclusion of the intermediate vessel increased the total gas volume of the system, thereby facilitating a more damped response to variations in vacuum pressure. This configuration effectively reduced pressure fluctuations caused by the pump’s unsteady operating behavior. To improve the system’s controllability, an intentional leakage was introduced at the upper end of the water-filled vessel, effectively transforming the system dynamics from a pure integrator to a PT1 system. The resulting continuous air backflow inherently mitigates vacuum overshoot, thereby eliminating the need for an auxiliary air injection pump. An absolute pressure sensor (NPI-19M-030A2; Amphenol NovaSensor, Fremont, CA, USA) with an absolute pressure range of 0 to 207 kPa interfaced with a microcontroller (AZ-Nano V3-Board ATMEGA328; AZ-Delivery Vertriebs GmbH, Deggendorf, Germany) via I2C bus for data acquisition, moving-average filtering, and display purposes, was installed at the bottom outlet of the cylindrical 100 mL borosilicate glass vessel, directly adjacent to a tube connection port, ensuring that the measured pressure accurately reflected the pressure conditions at the outlet. Using this configuration, the measured pressure corresponded to p O , S + p h y d .
Blood extraction was simulated by directly attaching an evacuated blood collection tube to the pre-filled connection port at the outlet, thereby eliminating any dead volume V d e a d within the system. The drawn fluid volume V b l was determined gravimetrically.
The internal absolute pressure p I , S was indirectly determined by filling the tube with deionized water and measuring V b l at an absolute pressure p O , S + p v e n of 97 kPa. To validate this indirect determination method, an additional series of measurements was conducted in which p I , S and V b l were measured directly on tubes from the same batch and compared using Equation (15). Here, the internal absolute pressure p I , S was measured at ambient temperature by connecting the tube to a tube connection port that was sealed into the port of an absolute pressure sensor (NPI-19M-030A2; Amphenol NovaSensor, Fremont, CA, USA), while accounting for the dead volume of both the sensor and the connection port. The draw volume V b l was determined gravimetrically at ambient temperature and pressure.
Measurements of V b l were performed at multiple absolute pressure levels p O , S + p v e n (90 kPa, 80 kPa, 65 kPa, and 50 kPa) by varying the vacuum level in the test vessel, thereby validating the pressure dependency of the draw volume V b l , which directly corresponds to the altitude at which blood collection is performed according to the barometric formula.
Since the measurements were not performed immediately after production, the simplification c V = c n = 1 does not hold, making the calculation of p I , p and V P infeasible. However, the temperature relation between p I , P and p I , S given in (16) can be validated by performing measurements at two different temperatures. Therefore, the experiments were conducted at ambient temperature (22 °C) and elevated temperature (39 °C). The higher temperature tests were carried out within a laboratory incubator (New Brunswick Galaxy® 48S; Eppendorf SE, Hamburg, Germany), and the entire test setup, including the evacuated tubes, was allowed to reach thermal equilibrium prior to measurement, enabling the temperature ratio c T to be assumed as unity. To minimize heat loss during measurements, all procedures in the incubator were conducted in rapid succession.

2.4. Impact of Fluid Temperature on Draw Volume

Since the air inside the tube is assumed to be initially at ambient temperature T S and the drawn blood has a temperature of approximately 37 °C, the air temperature is expected to increase over the course of the blood collection process. This increase leads to a corresponding rise in the internal pressure p I , S according to Equation (3), which in turn reduces the drawn blood volume V b l as described by Equation (13).
However, the drawn blood volume V b l is measured at the end of the process at time t E and therefore depends solely on the final air temperature T E . The specific temporal evolution of the air temperature prior to t E is irrelevant for this analysis. The temperature ratio c T   =   T E T S is used in Equation (13) to account for this deviation of the final air temperature.
To validate this approach and quantify the effect of the fluid temperature, measurements of the draw volume V b l were performed using a 4 mL tube at an ambient temperature T S = 24 °C, a drawing time t E of 10 s, and fluid temperatures T F of 24 °C and 37 °C. For the case T S = T F , no warming of the air is assumed, and the amount of substance n E must remain constant regardless of T F . Under these conditions, c T   can be calculated by neglecting any dead volume due to prefilling of the blood collection set and applying Equation (10).
n E T F = T S = n E T F = 37   ° C ,
( p O , S + p v e n ) · V s V b l ( T F = T s ) R · T S = ( p O , S + p v e n ) · ( V s V b l ( T F = 37   ° C ) ) R · c T · T S .
This yields the following relation for the calculation of c T in this particular case:
c T = V S V b l ( T F = 37   ° C ) V S V b l ( T F = T s ) .
Once c T is determined, T E can be calculated from Equation (9) to obtain the theoretical air temperature within the tube that accounts for the observed reduction in the draw volume V b l .
The measurement of V b l was conducted using a laboratory-grade warming bath (Eppendorf 2764; Eppendorf-Netheler-Hinz GmbH, Hamburg, Germany) filled with deionized water at an ambient temperature of 24 °C. A 300 mm set was minimally immersed into the bath on one side so that the pressure on this side was approximately equal to the ambient pressure, while the evacuated tube was connected to the other side of the pre-filled blood collection set to initiate the collection process. For measurements at an elevated temperature of 37 °C, simulating blood temperature, the deionized water in the bath was heated accordingly before performing the collection with tubes from the same batch. The volume V b l was determined gravimetrically. During collection, all evacuated tubes were maintained in the same horizontal orientation to ensure comparable heat transfer coefficients and interface areas across all samples.

2.5. Impact of Needle Types and Sizes on the Filling Duration

As discussed in the previous section, the air temperature within the evacuated tube is assumed to increase while collecting fluid with a temperature T F higher than the ambient temperature T S . Consequently, the filling duration becomes relevant, as shorter drawing times t E may diminish the heating of the air inside the tube and thereby reduce the influence of the fluid temperature T F .
For this reason, the filling duration and the filling behavior was both mathematically evaluated (see Appendix A) and experimentally validated.
The experiment was conducted using the 190 mm set and the 300 mm set. One end of each prefilled blood collection set was minimally immersed into a bath of deionized water at ambient temperature and pressure and connected to a 9 mL tube at the other end to initiate collection. The draw volume V b l was measured gravimetrically after the collection was interrupted by uncoupling the tube at specific draw times (5 s, 8 s, 15 s for the blood collection set with ETW needle type; 5 s, 15 s, 25 s for blood collection set with TW needle), thereby providing additional information on the dynamics of the filling process.
All the needle diameters were obtained from ISO 9626 [12]. The remaining geometric parameters of the blood collection sets used in the mathematical model were determined by measurement using standard techniques.
Subsequently, the experimental results were compared with those of the mathematical model shown in Equation (A12).

2.6. Impact of Procedural Factors on Draw Volume

As shown in Equation (13), the dead volume of the blood collection set can have a substantial impact on the draw volume V b l if the set is not prefilled as prescribed. To quantify this effect, gravimetric measurements of the dead volume of the 300 mm set were performed using 4 mL tubes for filling and emptying.
Equation (13) also includes a parameter for the venous blood pressure p v e n . Under physiological conditions, the venous blood pressure (excess pressure compared to the surrounding atmosphere) in the arm veins is 0–1.2 kPa (0–9 mmHg) [11], and thus negligibly small. However, congestion, as may occur during blood sampling, can cause the venous pressure to rise to approximately 20 mmHg (2666 Pa), with prolonged congestion even up to 40 mmHg [13,14]. According to Ninivaggi et al. [10], altitude has no influence on the patient’s blood pressure relative to ambient pressure p O , S . To illustrate the potential impact of improper sampling technique, example calculations were performed to estimate how maintaining congestion throughout blood collection could influence the draw volume V b l .

2.7. Impact of Further Aspects

Changes in the internal free volume, and consequently the volume loss ratio c V defined in Equation (4), were analyzed mathematically in Appendix B.1. Experimental determination of this parameter was not performed, as it would have required extended storage to yield meaningful results and was considered unnecessary due to its estimated negligible impact based on the mathematical model employed.
The variation in substance amount is a crucial but relatively slow process and is mathematically challenging to quantify due to the lack of reliable parameters, particularly for leakage. An experimental investigation to determine these parameters would have been beyond the scope of this study due to the slow nature of the process and may be addressed in future work. Here, only a summary of the relevant processes affecting the substance amount within the tube is provided in Appendix B.2. Consequently, the substance loss ratio c N defined in Equation (4) remains undetermined in this study.

2.8. Additional Informations

All gravimetric measurements were performed using the laboratory-grade analytical balance VWR® LA 214i (VWR International, Radnor, PA, USA) with a resolution of 100 µg. For conversions from mass to volume, the density of deionized water was assumed to be 1.000 g/mL.
Temperature measurements were performed using a laboratory-grade petroleum-in-glass thermometer with a range of −20 °C to 110 °C and a resolution of 1 °C (Ludwig Schneider GmbH & Co. KG, Wertheim, Germany).
The statistical analysis of the experimental data was carried out using Python-3 (v. 3.10.9; Python Software Foundation, Beaverton, OR, USA), NumPy (v. 1.21.5) [15], and SciPy (v. 1.9.1) [16]. The level of significance was set to α = 0.05 for all statistical tests. The diagrams were created using Matplotlib (v. 3.5.2) [17].

3. Results

3.1. Experimental Validation of Mathematical Description

The internal free volume at the sampling site V S was determined for all evaluated tube types (see Appendix C, Table A1) and resulted in mean values of 3.993 mL ( n = 5, sample std 0.010 mL), 5.597 mL ( n = 5, sample std 0.017 mL) and 11.095 mL ( n = 5, sample std 0.010 mL) for the 2 mL (2025), 4 mL and 9 mL tubes, respectively. The pre-filled additive volume of the 2 mL tube (2025) was measured as 0.195 mL ( n = 12, sample std 0.001 mL).
In order to experimentally validate the derived theory, the internal pressure p I , S of the tubes was determined indirectly using Equation (15). For this purpose, the draw volume V b l was measured at a defined pressure level p O , S + p h y d of 97 kPa at two temperatures, 22 °C and 39 °C, with both the collected fluid and the tubes equilibrated to the respective temperature, within the custom-built test setup described in Section 2.3 (see Appendix C, Table A2). The measurements yielded mean draw volumes V b l of 1.645 mL ( n = 3, sample std 0.003 mL), 3.914 mL ( n = 3, sample std 0.005 mL) and 9.085 mL ( n = 3, sample std 0.013 mL) at T S = T F   = 22 °C for the 2 mL (2025), 4 mL and 9 mL tube, respectively, and 1.445 mL ( n = 3, sample std 0.015 mL), 3.716 mL ( n = 3, sample std 0.037 mL) and 8.840 mL ( n = 3, sample std 0.011 mL) at T S = T F   = 39 °C, respectively.
Using these measured values of V b l , the internal pressure at sampling site p I , S   was calculated (see Table 1). Since all tubes of the same type originated from the same production batch, it was assumed that the internal pressure p I , P   and the ambient temperature T P   at production site were identical for all tubes of the same type. This allows validation of the temperature dependency predicted by the mathematical model. Specifically, employing Equation (16) and the measurements at 22 °C and 39 °C yields the following relation:
p I , S ( 22   ° C ) T S ( 22   ° C ) = p I , S ( 37   ° C ) T S ( 37   ° C )
indicating that, for each tube type, the ratio of internal pressure to ambient temperature at the sampling site must remain constant. The corresponding values of this ratio are provided in Table 1.
To validate the indirect determination of the internal pressure within the tube at sampling site p I , S , a comparative experiment was conducted between a direct measurement of the internal pressure using an absolute pressure sensor and the indirect estimation of p I , S obtained from the draw volume V b l by applying Equation (15) under identical ambient conditions ( T S = 24 °C, p O , S + p h y d = 98.9 kPa). The comparison of both measurement approaches shows good agreement (see Appendix C, Table A3), with relative deviations of the mean values of 1.7%, 0.7% and 0.1% for the 2 mL (2026), 4 mL and 9 mL tubes, respectively, thereby supporting the validity of the indirect method. It should be noted that the internal pressures reported in Appendix C, Table A3 differ from those in Table 1 due to a time interval of approximately two months between the two measurement series.
For the main investigation of the relationship between ambient pressure p O , S and draw volume V b l , different ambient pressures p O , S (by neglecting p v e n ) ranging from 101 kPa to 50 kPa were simulated at two different sample temperatures, T S = 22 °C and T S = 39 °C (approximately corresponding to venous blood temperature), using Equation (17). According to the barometric height formula of the International Standard Atmosphere (valid up to 11 km altitude) [18,19], this range corresponds to altitudes between approximately 0 m and 5500 m.
The experimental validation was then conducted with the 2 mL (2025), 4 mL, and 9 mL tubes at temperatures T S = T F   of 22 °C and 39 °C and at absolute pressures p O , S + p h y d of 50 kPa, 65 kPa, 80 kPa and 90 kPa. For each condition, three samples were collected, resulting in a total of 72 samples. The experimental data are listed in Appendix C, Table A4. Figure 1 compares the model predictions with the experimental measurements and demonstrates a high level of agreement. The root-mean-square errors were 66.032 µL, 66.654 µL and 58.128 µL for the 2 mL (2025), 4 mL and 9 mL tubes at 22 °C, respectively, and 60.686 µL, 45.514 µL and 61.791 µL for the corresponding tubes at 39 °C.
At a pressure p O , S + p h y d of 50 kPa, the internal pressure p I , S of the 2 mL tube (2025) exceeded the ambient pressure. Consequently, gas flowed out of the tube instead of liquid entering it, resulting in a draw volume V b l of zero. In this case, the theoretical model yields a negative draw volume V b l , which is physically not feasible.

3.2. Required Tube Pressure for Specific Altitudes

Having confirmed the accuracy of the mathematical model, the required internal pressures p I , S for various altitudes can be calculated. An overview for different tube sizes is provided in Table 2. Furthermore, the deviations in the draw volume V b l resulting from altitude variations of ±500 m are reported. For this evaluation, the venous pressure p v e n and any dead volume V d e a d are neglected, and the fluid temperature T F is assumed to be equal to the ambient temperature T S .

3.3. Impact of the Internal Free Volume of the Tube on Draw Volume at Various Altitudes

Furthermore, the total volume of the tube used is found to have a significant influence when blood samples are taken at high altitudes. The selection of the tube’s total capacity is therefore paramount. The following scenario was simulated using Equation (15) and is intended to illustrate the importance of accounting for the correct pressure and internal free volume of tubes at high altitudes. The collection of 5 mL of blood in tubes with varying total volumes at sea level is considered. Assuming that the blood collection set is correctly prefilled, hence the dead volume is zero, the venous pressure p v e n is 0 mmHg, and the fluid temperature T F equals the ambient temperature T S , the following internal pressures p I , S result for different total tube volumes V S (see Table 3). In scenarios where these tubes are utilized under conditions of varying altitudes while maintaining uniformity in temperature, venous pressure, and other parameters, the ensuing Figure 2 illustrates the resulting variations in the draw volume V b l (Figure 2A) and atmospheric air pressures (Figure 2B). As can be seen in Equation (15), the deviation naturally depends on the altitude above sea level, but the extent of this dependence varies considerably with the internal free volume of the tube.

3.4. Impact of Fluid Temperature on Draw Volume

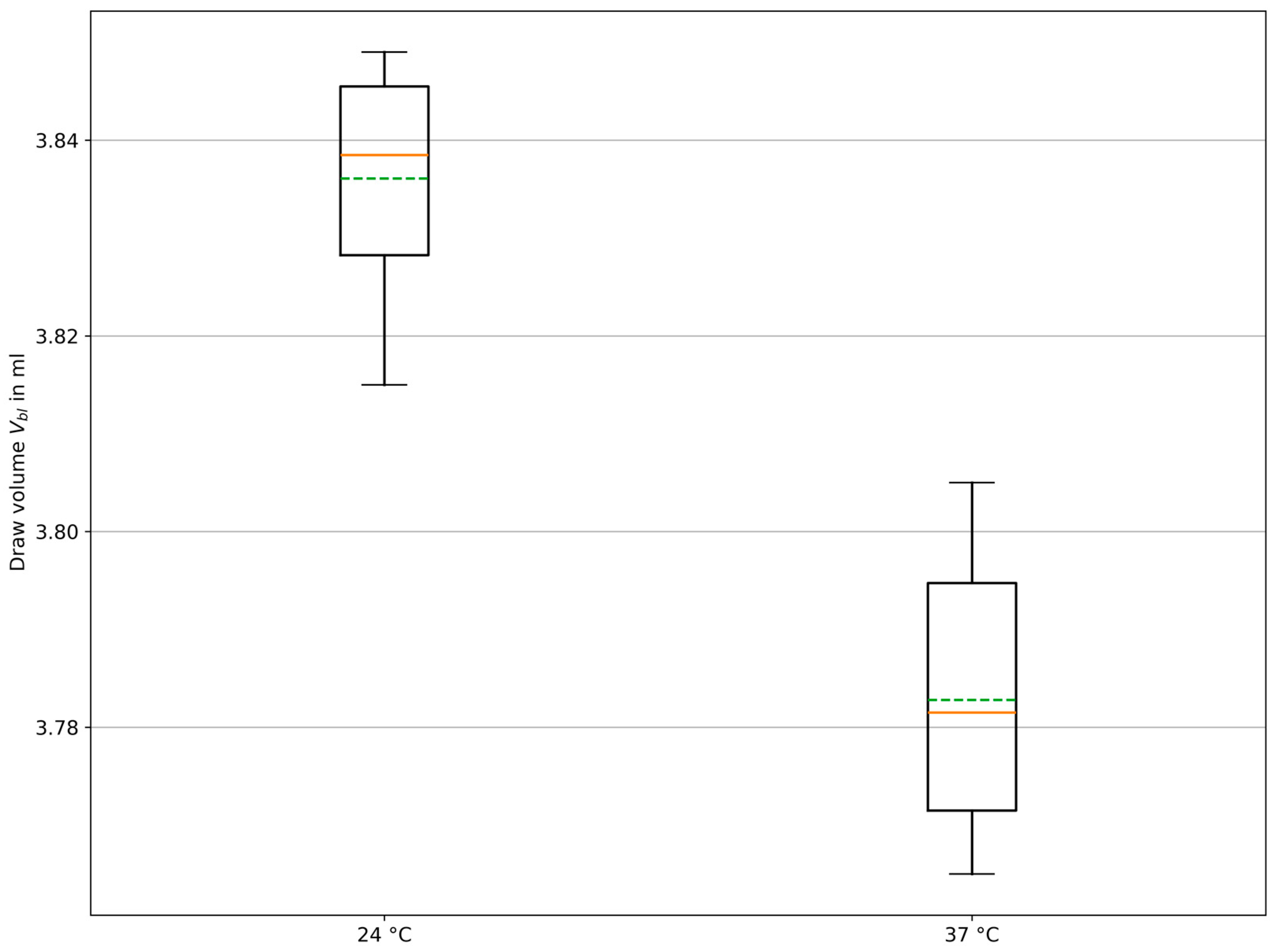
As discussed in Section 2.4, the temperature of the collected fluid affects the temperature of the air inside the tube and thereby influences the draw volume V b l . To experimentally quantify this effect, measurements were performed using a 4 mL tube ( V S = 5.597 mL) equilibrated to the ambient temperature T S = 24 °C. As a reference, fluid was collected at the same temperature T F = 24 °C, ensuring no temperature gradient between fluid and air. In addition, fluid at T F = 37 °C was used to simulate venous blood temperature, which typically ranges between 36.5 °C and 37.5 °C [12]. For both measurement series, the collection was terminated after a drawing time t E of 10 s. The results of the collections at T F = 24 °C and T F = 37 °C are summarized in Appendix C, Table A5, and yield mean draw volumes V b l of 3.386 mL ( n = 10, sample std 0.012 mL) at T F = 24 °C and 3.783 ( n = 10, sample std 0.014 mL) at T F = 37 °C. The corresponding distributions are shown as boxplots in Figure 3.
The measurement results were first checked for normal distribution using the Shapiro–Wilk test ( p -value at room temperature p = 0.438, p -value at blood temperature p = 0.576). Subsequently, an independent one-sided t-test was performed between the samples at room temperature and the samples at body temperature to determine statistical significance. A significant difference between the two mean values was observed, with the mean difference amounting to 53 µL ( p = 1.845 × 10−8).
Using Equation (21), these measurements yield a temperature ratio c T of 1.03, which corresponds to a fluid temperature T E of 32.9 °C according to Equation (9).

3.5. Impact of Needle Types and Sizes on the Filling Duration

During the experiments, some significant differences in filling duration were observed when using different blood collection sets with different needle types. Because the air temperature inside the tube is expected to increase, thereby affecting the draw volume V b l (see Section 3.4), the filling duration of the tube becomes a relevant factor. In order to describe the dynamic filling behavior and the influence of various parameters of blood collection sets, a mathematical model was developed, which is described in Appendix A.
The mathematical model was experimentally validated by filling 9 mL tubes with water using the 190 mm and the 300 mm blood collection sets, which differ not only in tube length but also in needle type (TW and ETW, respectively). The experimental measurements were performed at an ambient pressure of p O , S   = 98.9 kPa and an ambient temperature T S of 22 °C, resulting in a dynamic viscosity η w a t e r of approximately 0.96 mPa · s [20]. The blood collection sets and needles were prefilled, yielding a dead volume of V d e a d = 0. Due to the configuration of the test setup, the hydraulic pressure contribution was negligible and therefore assumed to be p h y d = p v e n = 0 kPa. The internal free volume was assumed as V S = 11.095 mL (see Appendix C, Table A1), and the initial internal tube pressure as p I , S = 18.282 kPa (see Table 1). Model calculations were based on these parameters and used a fluid density ρ of 1 g/cm3 for both water and blood.
Figure 4A shows the comparison between the experimental data and the model predictions. While the agreement is not perfect, the results are reasonably consistent, considering the pronounced temporal sensitivity of the measurement process and the substantial influence of the measured diameters of the blood collection sets. The relatively larger deviation observed for the shorter 190 mm set may be attributed to potential measurement inaccuracies, whereas the longer 300 mm set exhibits better agreement. Resulting root-mean-square errors amount to 0.558 mL for the 190 mm set and 0.239 mL for the 300 mm set. The measurement data used for this experimental validation are listed in Appendix C, Table A6.
Figure 4B shows the dynamic filling behavior of blood and compares different needle sizes. The difference in filling duration between the smallest (25 G) and largest (21 G) needles is nearly 1.5 min. The wall thickness of needles with identical nominal gauge also exerts a substantial influence on the filling duration. A 23G “Regular Wall” (RW) needle requires more than twice the time of a 23G “Extra Thin Wall” (ETW) needle to complete the filling process.
In contrast, Figure 4C compares the filling duration of different lengths of the blood collection set. The results show that the length of the blood collection set tubing has a minor impact on the filling duration, indicating that the needle diameter is the decisive factor.
Luer connectors are practical, but they introduce abrupt changes in tubing diameter, which can substantially increase hydraulic resistance. Figure 4D compares the difference in filling duration between a standard blood collection set with a 100 mm long tubing system and a set with perfect or no diameter transitions, showing a difference in filling duration of approximately 7 s.
For each simulated curve shown in Figure 4A–D, the corresponding filling duration t s a t is defined as the earliest time at which the predicted relative change in the solution over the subsequent one-second interval falls below the threshold ε < 10 3 , marking the onset of its quasi-stationary regime.

3.6. Impact of Procedural Factors on Draw Volume

If evacuated blood collection tubes are used in combination with blood collection sets (i.e., sets with flexible tubing connected to the needle), the sets may represent a dead volume if no prefill-tube is applied as prescribed, which is represented by the parameter V d e a d . Equation (11) includes the parameter V d e a d , allowing the dead volume to be accounted for when calculating the internal pressure p I , S . If this parameter is assumed to be zero, underfilling occurs when extractions are performed with an empty blood collection set, as the draw volume V b l is effectively reduced by approximately the dead volume V d e a d of the set.
To quantify the underfilling more accurately, measurements were taken using 300 mm sets and 4 mL tubes. Three series of measurements were conducted, with each series first filling a tube with an empty blood collection set (“empty set”) and one with a pre-filled blood collection set (“pre-filled set”). Finally, a third tube was used to collect the remaining fluid in the blood collection set (i.e., the dead volume V d e a d ).
The underfilling of the tubes can be calculated from the difference in draw volume V b l between the pre-filled set and the empty set. If this difference is compared with the dead volume measured using the third tube, it can be seen that these volumes are in fact equal. The results are listed in Appendix C, Table A7 and yielded a mean dead volume V d e a d of 0.493 mL ( n = 3, sample std 0.039 mL) for the difference between pre-filled and empty set, and 0.462 mL ( n = 3, sample std 0.009) for the measurement of the remaining fluid.
The normal distribution of both measurement series was again checked using the Shapiro–Wilk test ( p = 0.125 for the calculated difference and p = 0.330 for the measured dead volume V d e a d ). The statistical significance between the calculated difference and the measured dead volume V d e a d was checked using a two-sample t-test for dependent samples and resulted in a p -value of p = 0.325. Thus, it can be assumed that both measurements are equal.
Figure 5 presents both measurement series as box plots. It is further noted that the impact on the draw volume V b l inevitably increases with decreasing internal free volume V S of the evacuated tube. The dead volume V d e a d of the 300 mm set is approximately 450 to 500 µL. This corresponds to more than 10% of the nominal draw volume for a 4 mL tube and to more than 20% of the nominal draw volume for a 2 mL tube, which is clearly outside the tolerance limit of 10% [21].
In addition to the impact of the dead volume V d e a d described above, the influence of venous pressure p v e n on the draw volume V b l was evaluated by performing a representative example calculation based on the equations in Section 2.1. For this purpose, a 4 mL tube ( V S = 5.597 mL) calibrated for use at an altitude of 1000 m was considered. The corresponding internal pressure is p I , S = 25.645 kPa (according to Table 2), and the ambient pressure at this altitude is p O , S = 89.876 kPa, according to the barometric formula for the international standard atmosphere. For this example, the dead volume V d e a d   was set to zero and the fluid temperature T F was assumed to be equal to the ambient temperature T S . When a venous pressure p v e n of 20 mmHg is included, corresponding to an unreleased tourniquet, the resulting draw volume V b l increases to 4.046 mL instead of the intended 4 mL. At 3000 m ( p I , S = 20.005 kPa, p O , S = 70.113 kPa), the draw volume V b l increases further to 4.059 mL. Assuming p v e n = 40 mmHg, the draw volume V b l reaches 4.089 mL at 1000 m and 4.113 mL at 3000 m.

4. Discussion

4.1. Interpretation of Findings

The present study systematically evaluates the key parameters governing draw volume and filling dynamics in evacuated blood collection tubes. By combining theoretical modelling with laboratory experiments, the study quantifies how environmental, procedural and design-related parameters contribute to deviations from nominal draw volume. The findings offer a clearer and more complete understanding of the conditions under which evacuated tubes operate reliably, and where performance limitations must be considered.
Ambient pressure was identified as the dominant environmental factor affecting draw volume. Both the experimental measurements and the model predictions consistently demonstrate a substantial reduction in collected volume with decreasing atmospheric pressure (see Appendix C, Table A4 and Figure 1). The agreement between model and experiment is further reflected in the root-mean-square errors, which were 66.032 µL, 66.654 µL and 58.128 µL for the 2 mL (2025), 4 mL and 9 mL tubes at 22 °C, respectively, and 60.686 µL, 45.514 µL and 61.791 µL for the corresponding tubes at 39 °C. The sensitivity of evacuated tubes to changes in ambient pressure is particularly pronounced in tubes with low fill ratios, which exhibit strong altitude-dependent variation in draw volume (see Table 2 and Figure 2). For the 2 mL tubes, the model predicts a pressure inversion at sufficiently low ambient pressures, where the internal tube pressure exceeds the surrounding pressure (see Appendix C, Table A4). In this scenario, blood inflow is prevented and air is drawn toward the venous access, representing a risk of air embolism. These observations underline that the fill ratio is an essential design parameter that determines the altitude range for which a tube is suitable. The calculated production pressures provided in Table 2 therefore offer a practical basis for determining altitude-specific manufacturing conditions.
Temperature also has a measurable influence on the draw volume. Heating of the enclosed air during the filling process increases the internal tube pressure and thereby reduces the achievable draw volume. The experimental measurements for a 4 mL tube confirm the model predictions, showing a systematic reduction of approximately 53 µL when the fluid temperature increases from 24 °C to 37 °C (see Appendix C, Table A5 and Figure 3). Although this deviation is small in absolute terms, it corresponds to more than one percent of the nominal volume. Considering the permitted deviation of ±10% from the nominal draw volume defined in [21], this may become relevant in combination with other adverse conditions. Because calibration standards specify water at 20 °C [21], the resulting discrepancy introduces a systematic bias into the calibration process: tubes calibrated under standard conditions will inherently deviate from their intended draw volume when used at physiological sample temperatures, unless this temperature difference is explicitly accounted for.
The dynamic filling experiments showed that the proposed mathematical model (see Appendix A) exhibits moderate to good agreement with the measured data, yielding root-mean-square-errors of 0.558 mL and 0.239 mL for the 190 mm and 300 mm blood collection sets, respectively (see Appendix C, Table A6 and Figure 4A). The experiments also show that the inner diameter of the venipuncture needle is the dominant factor determining the filling duration. For 23 G needles, the use of an extra thin wall design more than halved the filling duration compared with a regular wall needle, highlighting the strong influence of small changes in effective inner diameter (see Figure 4B). The fluid dynamic model based on the Darcy-Weisbach equation, in combination with the Churchill friction factor, reproduces this sensitivity by capturing the pronounced diameter dependence of viscous losses in narrow conduits. In contrast, the length of the flexible tubing contributed only marginally to the overall hydraulic resistance (see Figure 4C), consistent with its linear influence in the governing model equations. The experiments and simulations also showed that abrupt diameter transitions introduce additional pressure losses that measurably prolong the filling process. One representative measurement indicated an increase on the order of several seconds when a Luer connector was included (see Figure 4D). Although standard Luer connectors inherently create such transitions, they remain highly practical for routine clinical use. Nevertheless, the results indicate that more gradual transitions or improved connector geometries could reduce flow losses and thereby shorten the filling duration.
Procedural factors also influence the effective draw volume of evacuated tubes, most notably the dead volume of blood collection sets and the venous pressure conditions during sampling. The dead volume of the 300 mm blood collection set was quantified gravimetrically and found to be approximately 450–500 µL, which directly translates into an equivalent reduction in draw volume if the system is used without prefill (see Appendix C, Table A7 and Figure 5). For tubes with small nominal volumes, this reduction leads to deviations that clearly exceed the permissible tolerance, corresponding to an underfilling of approximately 25% of the nominal draw volume for a 2 mL tube. Because the dead volume depends on the specific collection set and is unknown at the time of tube production, it cannot be compensated during manufacturing. This effect is relevant only for the first tube in a sequence, as the collection set becomes filled thereafter. A second procedural influence arises from venous pressure, which may increase if a tourniquet remains applied during sampling. The model predictions are consistent with the expected effect that increased venous pressure can lead to overfilling, confirming this behavior for the sampling conditions examined in this study. Moreover, due to the structure of the governing equation, the influence of increased venous pressure on the draw volume becomes more pronounced at higher altitudes.
Further theoretical analyses were conducted to assess additional factors that could influence tube performance. Long-term volume changes due to creep were estimated theoretically and found to be negligible for the timescales relevant to clinical use (see Appendix B.1). A representative estimation for a 4 mL tube containing a liquid additive suggested that elevated storage temperatures of around 35 °C could reduce the achievable draw volume by nearly ten percent due to the vapor pressure of the additive. Tubes without additives or containing only dry additives are not subject to this effect. Other processes such as gas permeation through the polymer wall, micro-leakage, or outgassing of the sample fluid were identified as potential mechanisms but were not quantified within the scope of this study (see Appendix B.2).
Taken together, the results demonstrate that multiple environmental, procedural and design-related parameters jointly determine the effective draw volume and filling behavior of evacuated blood collection tubes. While several of the individual influences are modest in isolation, their combined effect can lead to substantial deviations from the intended performance. Moreover, several of the identified environmental influences interact with design parameters, implying that design choices such as fill ratio, the presence of liquid additives or needle geometry can affect not only the nominal performance but also the sensitivity of evacuated tubes to external conditions. The theoretical framework and the measured data provide a consistent basis for identifying the dominant parameters and for deriving practical recommendations, such as altitude-adapted calibration strategies, explicit consideration of sample temperature during production calibration, strict adherence to prefill requirements for blood collection sets and targeted optimization of needle geometry. These findings support the development of improved tube designs and contribute to more robust and reliable clinical practice.

4.2. Limitations

This study is subject to several limitations that should be considered when interpreting the results. All experiments were performed using water, and the quantitative results have therefore not been validated with blood. Although non-Newtonian rheology was incorporated in the simulations using the Carreau-Yasuda model, important physiological determinants of blood viscosity such as hematocrit, plasma composition and interindividual variability were not considered. As a consequence, the numerical predictions for blood should be considered indicative but require empirical validation under physiological conditions.
Thermal effects were investigated experimentally only with water, and the measurements therefore capture the influence of fluid temperature on the final draw volume but not the corresponding behavior for blood. In addition, the transient thermal interaction between the inflowing sample and the enclosed air volume was not examined, either experimentally or theoretically. As a result, the model does not account for dynamic temperature equilibration during the filling process, nor for temperature-dependent changes in blood viscosity under physiological conditions.
Several environmental and material-related mechanisms were identified but were not experimentally quantified. These include gas permeation through the polymer wall, micro-leakage at the closure system, and outgassing of the sample. The contribution of liquid additives to the internal vapor partial pressure was evaluated solely based on theoretical considerations.
The modelling framework also includes geometric simplifications. While the fluid dynamic model accounts for material roughness and pressure losses in diameter transitions, the Luer connectors and other interface geometries were represented using idealized hydraulic approximations rather than detailed geometric reconstructions. Such simplifications may affect the accuracy of predicted filling durations under certain configurations.
Finally, the experiments were conducted under controlled laboratory conditions without consideration of patient-dependent factors such as venous tone, perfusion state, body position during sampling or insertion depth of the venipuncture needle. These factors can influence the effective venous pressure and, consequently, the resulting pressure gradient during clinical blood collection. While the present findings provide a quantitative framework for understanding the dominant mechanisms, confirmation under clinically variable conditions would further strengthen their applicability.

5. Conclusions

The study showed that ambient pressure is a key impact parameter of the draw volume in evacuated blood collection tubes. Experiments performed at different ambient pressures showed close agreement with the predictions of the derived model across all investigated tube sizes. The results confirm that reductions in atmospheric pressure substantially decrease draw volume and that the fill ratio is the dominant design parameter governing this sensitivity. Tubes with higher fill ratios maintain stable performance over a wider altitude range, whereas tubes with lower fill ratios exhibit marked pressure dependence. These findings highlight the relevance of the fill ratio when developing tubes intended for use under varying ambient pressure conditions.
Measurements showed that the temperature of the drawn fluid directly influences the draw volume. When draw volumes collected at 20 °C were compared with those collected at approximately 37 °C, a consistent reduction in collected volume was observed. This finding is particularly relevant because international standards specify 20 °C as the calibration temperature, whereas venous blood is collected at physiological temperature. The resulting temperature mismatch introduces an inherent and unavoidable bias between calibrated and clinically achieved draw volumes. This systematic offset may therefore merit consideration when defining target internal pressures during tube calibration.
The analysis of the filling dynamics showed that needle geometry, in particular the wall design, has a pronounced influence on filling duration. The present work provides a quantitative assessment of this effect through a dynamic filling model that showed good agreement with the experimental measurements for different needle wall designs. The simulations and experiments consistently highlighted the large differences in flow resistance between needle types, whereas the length of the blood collection set contributed only marginally. In addition, abrupt diameter transitions within the collection set, such as those introduced by Luer connectors, produced notable increases in filling duration. These findings indicate that both needle selection and connector design can affect practical sampling durations and are relevant considerations for manufacturers and clinical users.

Author Contributions

Conceptualization, C.S., S.L. and W.B.; methodology, C.S., S.L. and W.B.; software, C.S. and W.B.; mathematical modeling, C.S. and W.B.; validation, C.S. and S.L.; formal analysis, C.S., S.L. and W.B.; investigation, C.S., S.L. and W.B.; resources, W.B.; data curation, C.S. and S.L.; writing—original draft preparation, C.S. and S.L.; writing—review and editing, C.S. and W.B.; visualization, C.S. and S.L.; supervision, W.B.; project administration, W.B.; funding acquisition, W.B. All authors have read and agreed to the published version of the manuscript.

Funding

This work has been supported by the Johannes Kepler University Open Access Publishing Fund, the Federal State of Upper Austria, and the Austrian COMET-K2 program of the Linz Center of Mechatronics (LCM).

Institutional Review Board Statement

Not applicable.

Informed Consent Statement

Not applicable.

Data Availability Statement

The manuscript contains all necessary data.

Acknowledgments

We would like to thank Greiner Bio-One for providing us with VACUETTE® blood collection tubes and accessories. The authors would also like to express their gratitude to Daniel Resel, who made a significant contribution to this paper by assisting in the construction of the measurement setup and the collection of data.

Conflicts of Interest

The authors declare no conflicts of interest.

Abbreviations

The following abbreviations are used in this manuscript:
PETpolyethylene terephthalate
stdstandard deviation
RWregular wall
TWthin wall
ETWextra thin wall

Appendix A. Modelling of the Dynamic Filling Process

The pressure loss p F associated with an incompressible volumetric flow rate V ˙ b l through a circular tube can be expressed by the Darcy-Weisbach equation [22]
p F = f · l d ρ 2 V ˙ b l A 2 ,
where f is the friction factor of a tube with inner diameter d , length l and cross-sectional area A , and ρ is the fluid density. The friction factor f can be computed using the Churchill correlation [23], which is valid across laminar, transitional and turbulent regimes:
f = 8 · 8 R e 12 + 1 Θ 1 + Θ 2 1.5 1 12 , Θ 1 = 2.457 ln 7 R e 0.9 + 0.27 ε d 16 , Θ 2 = 37530 R e 16 .
Here, R e is the Reynolds number and ε the absolute roughness, which is assumed to be 1.5 µm for all plastic components of the blood collection set [22] and 0.5 µm for the stainless-steel needles at both ends of the set [24].
The Reynolds number can be calculated from the volumetric flow V ˙ b l , dynamic fluid viscosity η , fluid density ρ , and inner tube diameter d as
R e = 4 ρ · V ˙ b l π · d · η .
The dynamic viscosity η of water, which behaves as a Newtonian fluid, was treated as temperature-dependent and evaluated according to [20]. Since blood exhibits non-Newtonian rheology with strong shear-rate dependence [25], its dynamic viscosity η can be computed using the Carreau-Yasuda model [26].
γ ˙ = 32 V ˙ b l π · d 3 , η = η + η 0 η · ( 1 + λ · γ ˙ a ) n 1 a ,
with the blood-specific parameters for a temperature of 37 °C η = 3.45 mPa · s, η 0 = 56 mPa · s, λ = 1.902, a = 1.25 and n = 0.22 [27].
Additionally, transitions between the different cross-sectional areas within the blood collection set increase the hydraulic resistance and therefore induce an additional pressure drop p T , which can be described according to [28] as
p T = ζ ρ 2 V ˙ b l A 2 .
Here, A denotes the smaller of the two cross-sectional areas involved in the transition. All transitions within the blood collection set are treated as sudden changes in area. The corresponding local loss factor ζ depends solely on the ratio of the two cross-sectional areas. For a sudden expansion, ζ is given by [29]:
ζ E = 1 A 1 A 2 2 ,
with the smaller cross-sectional area A 1 and the larger cross-sectional area A 2 . For sudden contractions, ζ can be calculated using Equation [29]
ζ C = 0.5 1 A 1 A 2 ,
where A 1 also denotes the smaller cross-section and A 2 the greater cross-section.
In order to enable any fluid to flow, the pressure difference must be equal to the sum of the pressure differences from Equations (A1) and (A5)
Δ p = p F + p T = V ˙ b l V ˙ b l · f ( V ˙ b l ) · l · ρ 2 · d · A 2 + V ˙ b l ρ · ζ 2 · A 2 .
If we now consider a tubing system with n components having different diameters and lengths and their transitions, the individual hydraulic resistances i can simply be summed up and Equation (A8) becomes
Δ p = V ˙ b l V ˙ b l i = 1 n f ( V ˙ b l ) · l · ρ 2 · d · A 2 + V ˙ b l i = 1 n ρ · ζ i 2 · A i 2 .
As we are interested in the time course of the draw volume V b l ( t ) , Equation (A9) has to be rearranged as follows:
d V b l ( t ) d t = Δ p V ˙ b l i = 1 n f ( V ˙ b l ) · l · ρ 2 · d · A 2 + V ˙ b l i = 1 n ρ · ζ i 2 · A i 2 1 .
The pressure difference Δ p is given as the difference between the ambient pressure p O , S and the internal pressure of the evacuated tube p I , S . Since the pressure inside the tube increases with fluid flowing into the tube, a pressure p ( t ) can be calculated using Boyle-Mariotte’s law as
p ( t ) = p I , S · V S V S V b l ( t ) .
After inserting Equation (A11) into (A10), a non-linear differential equation for the flow rate is obtained:
d V b l t d t = p O , S p I , S · V S V S V b l t V ˙ b l i = 1 n f ( V ˙ b l ) · l · ρ 2 · d · A 2 + V ˙ b l i = 1 n ρ · ζ i 2 A i 2 1 .
This non-linear differential equation was solved numerically using an explicit Heun method. To ensure numerical convergence, a time-step refinement study was performed, in which two subsequent simulations were conducted with step sizes t 1 (coarse) and t 2 = t 1 / 2 (fine). The relative discretization error was evaluated as
ε = max V c o a r s e t V f i n e t max V f i n e t ,     t 0 , t m a x ,
where V c o a r s e ( t ) and V f i n e ( t ) denote the solutions at the corresponding time grids. The minimal time-step required to satisfy the tolerance criterion ε < 10 3 varied across simulations. Among all runs, the smallest admissible value was t = 5.0 · 10 2   s . Consequently, a uniform time-step of t = 5.0 · 10 3   s was applied to all simulations to ensure robust convergence.

Appendix B. Supplementary Findings

Appendix B.1. Change in the Total Tube Volume Due to Plastic Deformation

Equation (5) describes the case if the volume of the tube changes over time (i.e., V S V P resulting in c V ≠ 1). It can be observed that the draw volume V b l achieved decreases over time, especially when stored at elevated temperatures [30]. One potential explanation for this phenomenon is the change in the internal free volume due to plastic deformation of the tube that is considered by the volume loss ratio c V within the derived equations. In polymers subjected to permanent static loads, plastic deformation may occur as a result of creep [31].
In the present context, the permanent static load arises from the pressure differential between the ambient pressure and the internal tube pressure, which induces both elastic and plastic deformation of the polymer. The elastic deformation can be calculated from the material law and the boiler formula for the wall stresses
σ c = p · d m 2 · s , σ l = p · d m 4 · s .
Here, σ c is the stress in the circumferential direction (circular), σ l is the longitudinal stress, p is the pressure difference between the outside and the inside of the tube, d m is the mean diameter of the tube (i.e., mean value between inner diameter and outer diameter), and s denotes the wall thickness of the tube. If the material is homogeneous and linearly elastic with modulus of elasticity E, the circular strain ϵ c and the longitudinal strain ϵ l c can be calculated as follows
ϵ c = σ c E , ϵ l = σ l E .
As the tubes are evacuated and sealed in a vacuum chamber, the elastic deformation is irrelevant, as this is reversible when filling with blood and therefore does not cause any deviation from the target volume of the absorbed blood. If tubes are produced using a different system in which only the inside of the tube is evacuated while atmospheric air pressure acts on the outside, this leads to a change in volume during production and therefore to an insufficient amount of substance in the evacuated tube.
However, permanently statically loaded polymers may undergo plastic deformation due to creep [31]. The creep behavior can be described approximately with the aid of the creep modulus E c , which can be estimated as follows:
E c =   E · 3 1 c · log t 3 + 2 · 1 c .
Here, c denotes the creep resistance (for PET c ≈ 0.75 at 23 °C), t is the time in hours, and E is the modulus of elasticity. If the creep modulus is used instead of the modulus of elasticity, the elongation due to creep is obtained. This is not reversible and reduces the volume of the tube while the amount of enclosed gas remains the same, leading to an increase in internal pressure and, consequently, a reduced draw volume. However, the creep modulus is temperature-dependent [31,32]. The influence of temperature can be described approximately with an exponential function.
E c ( θ ) = E c ( θ 0 ) · a 0 θ θ 0 1 .
Here, θ describes the temperature, expressed in °C, and θ 0 is the reference temperature, which is usually 23 °C [32]. The temperature coefficient a 0 for PET is approximately 0.7 [31]. The above relationship only applies up to a material-dependent maximum temperature. For PET, this would be 120 °C.
Let us consider the influence for a 4 mL PET tube ( V S = 5.597 mL) with an outer diameter of 12 mm, a length of 71 mm, a wall thickness of 1 mm, and an elastic modulus for PET of 3000 MPa [33]. The tube is now stored for one year ( t = 8760 h) at an altitude of 1000 m ( p O = 89,876.4 Pa), and the internal pressure is set to p I = 25,645 Pa according to Table 2. At a storage temperature of 20 °C, the combination of Equations (A16) and (A17) results in a creep modulus of 1800 MPa, and at a storage temperature of 60 °C, in a creep modulus of 970 MPa. If we now calculate the wall stresses using Equation (A14) and substitute the results into Equation (A15), we obtain the circular and longitudinal strains of the tube. Assuming a cylindrical tube, this results in a reduced total volume of 5.594 mL when stored at 20 °C and 5.591 mL when stored at 60 °C. By calculating the volume loss ratio c V = V S V P the resulting draw volume V b l due to volume change can now be calculated using Equation (13), assuming c T = c n = T S T P = 1 and p v e n = V d e a d = 0 , yielding 3.994 mL. Hence, the draw volume V b l decreases by 6 µL due to plastic tube deformation, corresponding to the same volume reduction as that of the free internal volume of the tube.
Since the impact of the deviation in the internal free volume of the tube was only evaluated theoretically and found to be insignificant, all other calculations in this study were performed assuming c V = 1.

Appendix B.2. Change in the Amount of Substance Inside the Tube

The amount of substance in the evacuated tube may also change over time, resulting in a substance loss ratio c n ≠ 1 and thus leading to a deviation of the draw volume V b l .
Any substances weighed in, such as liquid anticoagulants, not only reduce the internal free volume [1], but they can also be volatile and thus pass into the gas phase and change the tube pressure. Precise quantification would require exact kinetic observation of the evaporation and condensation process, taking into account the exact time course of evacuation and blood sampling. Therefore, only an estimate of the maximum possible error is made here. This can be estimated using the vapor pressure of the volatile substance. If, for example, an aqueous solution is placed in the tube, the partial pressure of water vapor is a good approximation of the vacuum vapor pressure. For water, this is approximately temperature-dependent, according to the following equation [34]:
p 0 =   exp a T + b c · T + d · T 2 + e · log T ,   a = 6094.4642 ;   b = 21.1249952 ;   c = 2.7245552 × 10 2 ; d = 1.6853396 × 10 5 ;   e = 2.4575
This results in a vacuum vapor pressure of 2339 Pa at 20 °C and 5627 Pa at 35 °C. If the aqueous solution were to be added and evacuated very quickly, the tube pressure would then increase by these maximum amounts, depending on the temperature. For a 4 mL tube ( V S = 5.597 mL) with a nominal draw volume of 4 mL, produced for an altitude of 1000 m ( p I , S = 25.645 kPa according to Table 2), this would result in a reduced draw volume V b l of 3.854 mL at 20 °C and 3.650 mL at 35 °C.
Another theoretical finding is that, during blood collection, a certain amount of dissolved gases (e.g., O2, CO2, N2) in the blood diffuses into the air within the tube. This process is driven by the initial pressure difference between the incoming blood and the air in the tube. As collection progresses, the pressures equilibrate and the diffusion gradient may reverse, causing some of the previously dissolved gases to be reabsorbed into the blood. Depending on the time constants of the outgassing and reabsorption processes and their ratio, this can increase the internal pressure and, consequently, reduce the draw volume.
Finally, the amount of substance in the tube may also change due to leaks, which, together with parallel leakages through the tube wall (i.e., diffusion), the lid, and the seals, are most likely the primary factors determining the shelf life of evacuated tubes. The fluid conductance K of the entire system results from the parallel connection of these paths, as the sum of the conductances of the respective paths. A theoretical derivation of the conductance is practically infeasible and would have to be determined experimentally.
These effects were not examined in detail in this study, precluding the determination of the substance loss ratio c n , as long-term measurements of the internal tube pressure would have exceeded the scope of this study.

Appendix C. Measurement Data

Table A1. Measurement results of the internal free volume of blood collection tubes at sampling site.
Table A1. Measurement results of the internal free volume of blood collection tubes at sampling site.
Internal   Free   Volume   V S of the 2 mL Tube (2025) in mL Internal   Free   Volume   V S of the 4 mL Tube
in mL
Internal   Free   Volume   V S of the 9 mL Tube
in mL
3.9765.59711.107
4.0035.57311.092
3.9985.62011.100
3.9945.60111.092
3.9935.59611.081
Mean value3.9935.59711.095
Sample std0.0100.0170.010
Table A2. Measurement results of the draw volume at 97 kPa and at 22 °C and 39 °C.
Table A2. Measurement results of the draw volume at 97 kPa and at 22 °C and 39 °C.
Pressure
p O , S + p h y d
in kPa
Draw   Volume   V b l
for the 2 mL Tube (2025)
in mL
Draw   Volume   V b l
for the 4 mL Tube
in mL
Draw   Volume   V b l
for the 9 mL Tube
in mL
@22 °C@39 °C@22 °C@39 °C@22 °C@39 °C
971.6411.4463.9143.7419.0808.850
1.6471.4603.9183.6749.0758.828
1.6461.4303.9093.7339.1008.842
Mean value1.6451.4453.9143.7169.0858.840
Sample std0.0030.0150.0050.0370.0130.011
Table A3. Comparison between direct and indirect measurement results of internal pressure at sampling site.
Table A3. Comparison between direct and indirect measurement results of internal pressure at sampling site.
2 mL Tube (2026)4 mL Tube9 mL Tube
Direct measurements
of   internal   pressure   p I , S
in kPa
55.13532.80720.795
54.95132.74920.632
55.04932.74920.740
54.88932.57520.795
54.82832.80720.795
Mean value54.97032.73820.751
Sample std0.1230.0960.071
Indirect   measurements   of   internal   pressure   p I , S
in kPa
54.22132.21620.707
54.20632.55020.996
54.12432.35720.647
53.72532.44920.558
54.00532.73920.968
Mean value54.05632.46220.775
Sample std0.2040.1980.196
Relative deviation
in %
1.6630.8420.116
Table A4. Measurement results of the draw volume at different pressures at 22 °C and 39 °C.
Table A4. Measurement results of the draw volume at different pressures at 22 °C and 39 °C.
Pressure
p O , S + p h y d
in kPa
Draw   Volume   V b l
for the 2 mL Tube (2025)
in mL
Draw   Volume   V b l
for the 4 mL Tube
in mL
Draw   Volume   V b l
for the 9 mL Tube
in mL
@22 °C@39 °C@22 °C@39 °C@22 °C@39 °C
50002.2221.8837.1736.627
002.3401.8687.0636.615
002.2141.8467.0966.612
Mean value002.2591.8667.1116.618
Sample std000.0710.0190.0560.008
650.3830.0592.9762.7388.0937.707
0.3760.1412.9652.7538.0277.660
0.3670.0853.0042.7697.9987.689
Mean value0.3750.0952.9822.7538.0397.685
Sample std0.0080.0420.0200.0160.0490.024
801.0780.8403.5593.3138.6118.259
1.1720.8453.5543.2488.5718.352
1.1520.8943.4563.3508.6388.333
Mean value1.1340.8603.5233.3048.6078.315
Sample std0.0500.0300.0580.0520.0340.049
901.4551.2433.7603.5798.9148.642
1.4591.2633.7453.5538.9018.624
1.4521.2523.7743.5978.9008.647
Mean value1.4551.2533.7603.5768.9058.638
Sample std0.0040.0100.0150.0220.0080.012
Table A5. Measurement results of the draw volume of a 4 mL tube at different fluid temperatures.
Table A5. Measurement results of the draw volume of a 4 mL tube at different fluid temperatures.
n Draw   Volume   V b l
for   T F   =   T S   =   24 °C
in mL
Draw   Volume   V b l
for   T F =   37   ° C   and   T S   = 24 °C
in mL
13.8443.788
23.8153.797
33.8243.805
43.8493.770
53.8293.780
63.8283.783
73.8363.799
83.8493.776
93.8463.765
103.8413.765
Mean value3.8363.783
Sample std0.0120.014
Table A6. Measurement results of the dynamic filling behavior for different blood collection sets.
Table A6. Measurement results of the dynamic filling behavior for different blood collection sets.
n Draw   Volume   V b l with
190 mm Set and 9 mL Tube
in mL
Draw   Volume   V b l with
300 mm Set and 9 mL Tube
in mL
5 s15 s25 s5 s8 s15 s
13.0167.9169.0054.4527.3729.010
22.7297.7088.9984.1726.9919.012
32.7077.5668.9794.2676.9249.013
Mean value2.8177.7318.9944.2977.0969.011
Sample std0.1720.1760.0140.1420.2420.001
Theory value3.2078.1709.0394.7177.0709.026
Table A7. Measurement results of the dead volume of a 300 mm blood collection set.
Table A7. Measurement results of the dead volume of a 300 mm blood collection set.
n Calculated Difference
in mL
Measured   Dead   Volume   V d e a d
in mL
10.5380.458
20.4680.455
30.4730.472
Mean value0.4930.462
Sample std0.0390.009

References

  1. Bush, V.; Cohen, R. The Evolution of Evacuated Blood Collection Tubes. Lab. Med. 2003, 34, 304–310. [Google Scholar] [CrossRef]
  2. Bowen, R.A.R.; Remaley, A.T. Interferences from Blood Collection Tube Components on Clinical Chemistry Assays. Biochem. Med. 2014, 24, 31–44. [Google Scholar] [CrossRef]
  3. Kratz, A.; Stanganelli, N.; Van Cott, E.M. A Comparison of Glass and Plastic Blood Collection Tubes for Routine and Specialized Coagulation Assays: A Comprehensive Study. Arch. Pathol. Lab. Med. 2006, 130, 39–44. [Google Scholar] [CrossRef]
  4. Tremblay, J.C.; Ainslie, P.N. Global and Country-Level Estimates of Human Population at High Altitude. Proc. Natl. Acad. Sci. USA 2021, 118, e2102463118. [Google Scholar] [CrossRef]
  5. MacNutt, M.J.; Sheel, A.W. Performance of Evacuated Blood Collection Tubes at High Altitude. High Alt. Med. Biol. 2008, 9, 235–237. [Google Scholar] [CrossRef]
  6. Caruso, B.; Bovo, C.; Guidi, G.C. Causes of Preanalytical Interferences on Laboratory Immunoassays—A Critical Review. EJIFCC 2020, 31, 70. [Google Scholar] [PubMed]
  7. Simundic, A.-M.; Bolenius, K.; Cadamuro, J.; Church, S.; Cornes, M.P.; van Dongen-Lases, E.C.; Eker, P.; Erdeljanovic, T.; Grankvist, K.; Guimaraes, J.T.; et al. Joint EFLM-COLABIOCLI Recommendation for Venous Blood Sampling—V 1.1, June 2018. Rev. Rom. Med. Lab. 2024, 32, 9–32. [Google Scholar] [CrossRef]
  8. Lima-Oliveira, G.; Salvagno, G.L.; Lippi, G.; Brocco, G.; Voi, M.; Montagnana, M.; Picheth, G.; Guidi, G.C. Quality Management of Preanalytical Phase: Impact of Lithium Heparin Vacuum Tubes Changes on Clinical Chemistry Tests. Accredit. Qual. Assur. 2013, 18, 429–434. [Google Scholar] [CrossRef]
  9. Gu, J.; Norquist, A.; Brooks, C.; Repin, M.; Mukherjee, S.; Lacombe, J.; Yang, J.; Brenner, D.J.; Amundson, S.; Zenhausern, F. Development of an Integrated Fingerstick Blood Self-Collection Device for Radiation Countermeasures. PLoS ONE 2019, 14, e0222951. [Google Scholar] [CrossRef]
  10. Ninivaggi, M.; De Laat, M.; Lancé, M.M.D.; Kicken, C.H.; Pelkmans, L.; Bloemen, S.; Dirks, M.L.; Van Loon, L.J.C.; Govers-Riemslag, J.W.P.; Lindhout, T.; et al. Hypoxia Induces a Prothrombotic State Independently of the Physical Activity. PLoS ONE 2015, 10, e0141797. [Google Scholar] [CrossRef]
  11. Hall, J. Vascular Distensibility and Functions of the Arterial and Venous Systems. In Guyton and Hall Textbook of Medical Physiology; Elsevier: Philadelphia, PA, USA, 2015; pp. 179–188. ISBN 9780323389303. [Google Scholar]
  12. ISO 9626:2016; Stainless Steel Needle Tubing for the Manufacture of Medical Devices—Requirements and Test Methods. International Organization for Standardization: Geneva, Switzerland, 2016.
  13. Larsen, R. Anästhesie; Urban & Fischer Verlag/Elsevier GmbH: München/Jena, Germany, 2022; Volume 12. [Google Scholar]
  14. Wilkins, R.W.; Bradley, S.E. Changes in Arterial and Venous Blood Pressure and Flow Distal to a Cuff Inflated on the Human Arm. Am. J. Physiol.-Leg. Content 1946, 147, 260–269. [Google Scholar] [CrossRef]
  15. Harris, C.R.; Millman, K.J.; van der Walt, S.J.; Gommers, R.; Virtanen, P.; Cournapeau, D.; Wieser, E.; Taylor, J.; Berg, S.; Smith, N.J.; et al. Array Programming with NumPy. Nature 2020, 585, 357–362. [Google Scholar] [CrossRef] [PubMed]
  16. Virtanen, P.; Gommers, R.; Oliphant, T.E.; Haberland, M.; Reddy, T.; Cournapeau, D.; Burovski, E.; Peterson, P.; Weckesser, W.; Bright, J.; et al. Author Correction: SciPy 1.0: Fundamental Algorithms for Scientific Computing in Python. Nat. Methods 2020, 17, 352. [Google Scholar] [CrossRef]
  17. Hunter, J.D. Matplotlib: A 2D Graphics Environment. Comput. Sci. Eng. 2007, 9, 90–95. [Google Scholar] [CrossRef]
  18. Lente, G.; Ősz, K. Barometric Formulas: Various Derivations and Comparisons to Environmentally Relevant Observations. ChemTexts 2020, 6, 13. [Google Scholar] [CrossRef]
  19. Malberg, H. Meteorologie Und Klimatologie, 5th ed.; Springer: Berlin/Heidelberg, Germany, 2007; ISBN 978-3-540-37222-6. [Google Scholar]
  20. Kestin, J.; Sokolov, M.; Wakeham, W.A. Viscosity of Liquid Water in the Range −8 °C to 150 °C. J. Phys. Chem. Ref. Data 1978, 7, 941–948. [Google Scholar] [CrossRef]
  21. Single-Use Containers for Human Venous Blood Specimen Collection. International Organization for Standardization: Geneva, Switzerland, 2017. Available online: https://www.iso.org/standard/69659.html (accessed on 8 July 2025).
  22. Nirschl, H. L1.2 Druckverlust in Durchströmten Rohren. In VDI-Wärmeatlas; Stephan, P., Kabelac, S., Kind, M., Mewes, D., Schaber, K., Wetzel, T., Eds.; Springer Vieweg: Berlin/Heidelberg, Germany, 2019; pp. 1355–1361. ISBN 978-3-662-52989-8. [Google Scholar]
  23. Churchill, S.W. Friction-Factor Equation Spans All Fluid-Flow Regimes. Chem. Eng. 1977, 84, 91–92. [Google Scholar]
  24. Li, W.; Wang, Y.; Nteziyaremye, V.; Yamaguchi, H.; Shih, A.J. Measurement of the Friction Force Inside the Needle in Biopsy. J. Manuf. Sci. Eng. Trans. ASME 2016, 138, 031003. [Google Scholar] [CrossRef]
  25. Nader, E.; Skinner, S.; Romana, M.; Fort, R.; Lemonne, N.; Guillot, N.; Gauthier, A.; Antoine-Jonville, S.; Renoux, C.; Hardy-Dessources, M.D.; et al. Blood Rheology: Key Parameters, Impact on Blood Flow, Role in Sickle Cell Disease and Effects of Exercise. Front. Physiol. 2019, 10, 493606. [Google Scholar] [CrossRef]
  26. Bird, R.; Armstrong, R.; Hassager, O. Dynamics of Polymeric Liquids. Vol. 1: Fluid Mechanics, 2nd ed.; John Wiley & Sons, Inc.: Hoboken, NJ, USA, 1987; Volume 1. [Google Scholar]
  27. Cho, Y.I.; Kensey, K.R. Effects of the Non-Newtonian Viscosity of Blood on Flows in a Diseased Arterial Vessel. Part 1: Steady Flows. Biorheology 1991, 28, 241–262. [Google Scholar] [CrossRef]
  28. Nirschl, H. L1.3 Druckverlust in Durchströmten Leitungen Mit Querschnittsänderungen. In VDI-Wärmeatlas; Stephan, P., Kabelac, S., Kind, M., Mewes, D., Schaber, K., Wetzel, T., Eds.; Springer Vieweg: Berlin/Heidelberg, Germany, 2019; pp. 1363–1373. ISBN 978-3-662-52989-8. [Google Scholar]
  29. Bohl, W.; Elmendorf, W. Technische Strömungslehre, 15th ed.; Vogel Business Media: Würzburg, Germany, 2014; ISBN 978-3-8343-3329-2. [Google Scholar]
  30. Asri, M.A.I.M.; Amir, A.; Ishak, M.N. Validation of Vacuum Consistency of the Internal Evacuated Blood Collection Tube (BCT). J. Adv. Res. Fluid. Mech. Therm. Sci. 2022, 97, 75–84. [Google Scholar] [CrossRef]
  31. Kunz, J. Kriechmodul-Abschätzung Und Kriechbeständigkeit. KunststoffXtra 2014, 3, 23–26. [Google Scholar]
  32. Kunz, J. Temperaturabhängigkeit Des Kriechmoduls Erfassen. SwissPlastics 2007, 3, 25–28. [Google Scholar]
  33. Overview of Materials for Polyethylene Terephthalate (PET), Unreinforced. Available online: https://www.matweb.com/search/datasheet.aspx?MatGUID=a696bdcdff6f41dd98f8eec3599eaa20 (accessed on 14 July 2025).
  34. Lide, D.R.; Baysinger, G.; Berger, L.I.; Goldberg, R.N.; Kehiaian, H.V.; Kuchitsu, K.; Roth, D.L.; Zwillinger, D. CRC Handbook of Chemistry and Physics Editor-in-Chief; CRC Press/Taylor & Francis Group: Boca Raton, FL, USA, 2007. [Google Scholar]
Figure 1. Comparison of theoretical calculation and experimental validation of the draw volume V b l of three different tube types (2 mL (2025), 4 mL, and 9 mL tubes) with varying ambient pressures (i.e., corresponding to varying altitudes) at two different ambient temperatures (22 °C and 39 °C). The experimental data markers shown represent the mean value and the error bars represent the sample std ( n = 3 per test condition). Cross markers denote measurements used to determine the internal pressure of each tube type at the respective temperature.
Figure 1. Comparison of theoretical calculation and experimental validation of the draw volume V b l of three different tube types (2 mL (2025), 4 mL, and 9 mL tubes) with varying ambient pressures (i.e., corresponding to varying altitudes) at two different ambient temperatures (22 °C and 39 °C). The experimental data markers shown represent the mean value and the error bars represent the sample std ( n = 3 per test condition). Cross markers denote measurements used to determine the internal pressure of each tube type at the respective temperature.
Applsci 16 00399 g001
Figure 2. (A) Actual draw volume depending on altitude for different total tube volumes (target draw volume = 5 mL). (B) Ambient pressure depending on altitude according to the barometric formula for the international standard atmosphere [18,19].
Figure 2. (A) Actual draw volume depending on altitude for different total tube volumes (target draw volume = 5 mL). (B) Ambient pressure depending on altitude according to the barometric formula for the international standard atmosphere [18,19].
Applsci 16 00399 g002
Figure 3. Measurement results of the draw volume at different fluid temperatures shown as box plots (median value: solid orange line, mean value: dashed green line, whiskers denote min and max values, n = 10 per test condition).
Figure 3. Measurement results of the draw volume at different fluid temperatures shown as box plots (median value: solid orange line, mean value: dashed green line, whiskers denote min and max values, n = 10 per test condition).
Applsci 16 00399 g003
Figure 4. (A) Experimental validation of the mathematical model describing the dynamic filling behavior of 9 mL tubes. The experimental data markers shown represent the mean value, and the error bars represent the sample std ( n = 3 per test condition; water was used for simulation and experiment). (B) Simulation of the dynamic filling behavior of different needle types and needle sizes (non-Newtonian blood viscosity; 9 mL tubes). (C) Simulation of the dynamic filling behavior of different tubing lengths of blood collection sets (non-Newtonian blood viscosity; 9 mL tubes). (D) Comparison between a blood collection set with Luer connectors and sudden changes in diameter and a blood collection set with perfect/no transition (non-Newtonian blood viscosity; 9 mL tubes).
Figure 4. (A) Experimental validation of the mathematical model describing the dynamic filling behavior of 9 mL tubes. The experimental data markers shown represent the mean value, and the error bars represent the sample std ( n = 3 per test condition; water was used for simulation and experiment). (B) Simulation of the dynamic filling behavior of different needle types and needle sizes (non-Newtonian blood viscosity; 9 mL tubes). (C) Simulation of the dynamic filling behavior of different tubing lengths of blood collection sets (non-Newtonian blood viscosity; 9 mL tubes). (D) Comparison between a blood collection set with Luer connectors and sudden changes in diameter and a blood collection set with perfect/no transition (non-Newtonian blood viscosity; 9 mL tubes).
Applsci 16 00399 g004
Figure 5. Results for measuring the dead volume of a 300 mm blood collection set are shown as box plots (median value: solid orange line, mean value: dashed green line, whiskers denote min and max values; n = 3 per test condition).
Figure 5. Results for measuring the dead volume of a 300 mm blood collection set are shown as box plots (median value: solid orange line, mean value: dashed green line, whiskers denote min and max values; n = 3 per test condition).
Applsci 16 00399 g005
Table 1. Determination of internal pressure at sampling site at 22 °C and 39 °C and corresponding pressure-to-temperature ratios.
Table 1. Determination of internal pressure at sampling site at 22 °C and 39 °C and corresponding pressure-to-temperature ratios.
2 mL Tube (2025)4 mL Tube9 mL Tube
@22 °C@39 °C@22 °C@39 °C@22 °C@39 °C
Internal   pressure   p I , S in kPa57.03861.89729.16732.59918.28220.405
Ratio   p I , S T S
in kPa/K
198.3193.3104.498.865.461.9
Table 2. Required internal pressures for different tube types at various altitudes.
Table 2. Required internal pressures for different tube types at various altitudes.
Altitude
in m
2 mL Tube (2025)
( V S = 3.993 mL)
4 mL Tube
( V S = 5.597 mL)
9 mL Tube
( V S = 11.095 mL)
p I , S
in kPa
V b l at
−500 m
V b l at
+500 m
p I , S
in kPa
V b l at
−500 m
V b l at
+500 m
p I , S
in kPa
V b l at
−500 m
V b l at
+500 m
100044.8592.1171.87525.6454.0933.90016.9719.1238.868
200039.6802.1191.87222.6834.0963.89715.0119.1258.865
300034.9952.1221.86820.0054.0983.89513.2399.1288.862
400030.7692.1251.86517.5894.1003.89211.6409.1318.858
Table 3. Calculated internal pressures for tubes with varying internal free volumes to achieve a target draw volume of 5 mL at sea level.
Table 3. Calculated internal pressures for tubes with varying internal free volumes to achieve a target draw volume of 5 mL at sea level.
Internal   Free   Volume   V S in mL
( Target   Draw   Volume   V b l of 5 mL)
Internal   Pressure   p I , S
in kPa
5.59.211
616.887
837.997
1050.662
1259.106
Disclaimer/Publisher’s Note: The statements, opinions and data contained in all publications are solely those of the individual author(s) and contributor(s) and not of MDPI and/or the editor(s). MDPI and/or the editor(s) disclaim responsibility for any injury to people or property resulting from any ideas, methods, instructions or products referred to in the content.

Share and Cite

MDPI and ACS Style

Stecher, C.; Baumgartner, W.; Lifka, S. Assessment of Impact Parameters on Draw Volume and Filling Dynamics of Evacuated Blood Collection Tubes. Appl. Sci. 2026, 16, 399. https://doi.org/10.3390/app16010399

AMA Style

Stecher C, Baumgartner W, Lifka S. Assessment of Impact Parameters on Draw Volume and Filling Dynamics of Evacuated Blood Collection Tubes. Applied Sciences. 2026; 16(1):399. https://doi.org/10.3390/app16010399

Chicago/Turabian Style

Stecher, Christoph, Werner Baumgartner, and Sebastian Lifka. 2026. "Assessment of Impact Parameters on Draw Volume and Filling Dynamics of Evacuated Blood Collection Tubes" Applied Sciences 16, no. 1: 399. https://doi.org/10.3390/app16010399

APA Style

Stecher, C., Baumgartner, W., & Lifka, S. (2026). Assessment of Impact Parameters on Draw Volume and Filling Dynamics of Evacuated Blood Collection Tubes. Applied Sciences, 16(1), 399. https://doi.org/10.3390/app16010399

Note that from the first issue of 2016, this journal uses article numbers instead of page numbers. See further details here.

Article Metrics

Article metric data becomes available approximately 24 hours after publication online.
Back to TopTop