Analysis of the Applicability of the Yukawa Model and Chapman–Enskog Approach for Heated Beryllium at Metallic Density Using Quantum Molecular Dynamics
Abstract
1. Introduction
2. Materials and Methods
2.1. Methods for Calculating the Diffusion Coefficient from the MD Trajectories of Ions
2.2. Einstein Relation
2.3. Green–Kubo Relation
2.4. Chapman–Enskog Approach Using Effective Ion–Ion Potential
3. Results and Discussions
3.1. Temperature Evolution in the Simulation
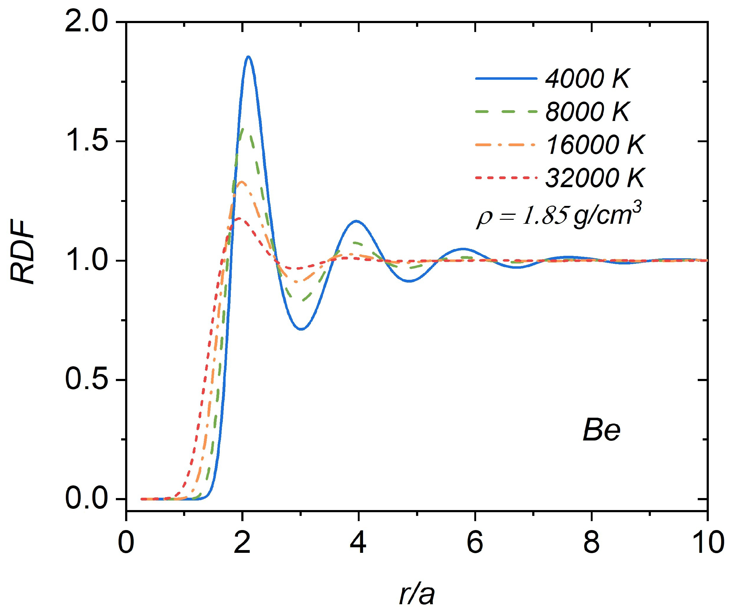
3.2. Radial Distribution Function (RDF) for Dense Beryllium
3.3. Mean-Squared Displacement (MSD) as a Function of Time


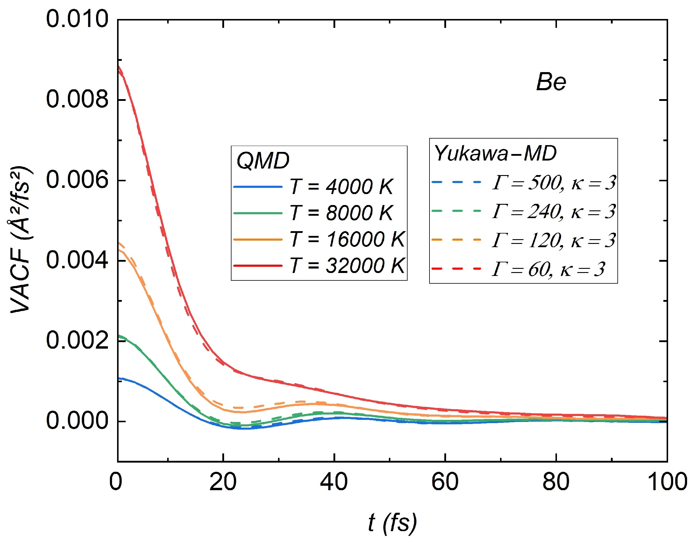
3.4. Velocity Autocorrelation Function (VACF)
3.5. Diffusion Coefficient
3.5.1. Dependence of the Diffusion Coefficient on the Number of Particles
3.5.2. Diffusion Coefficient Dependence on Temperature
4. Conclusions
Author Contributions
Funding
Institutional Review Board Statement
Informed Consent Statement
Data Availability Statement
Conflicts of Interest
References
- Glenzer, S.H.; Fletcher, L.B.; Galtier, E.; Nagler, B.; Alonso-Mori, R.; Barbrel, B.; Brown, S.B.; Chapman, D.A.; Chen, Z.; Curry, C.B.; et al. Matter under extreme conditions experiments at the Linac Coherent Light Source. J. Phys. B At. Mol. Opt. Phys. 2016, 49, 092001. [Google Scholar] [CrossRef]
- Moldabekov, Z.; Vorberger, J.; Dornheim, T. From density response to energy functionals and back: An ab initio perspective on matter under extreme conditions. Prog. Part. Nucl. Phys. 2025, 140, 104144. [Google Scholar] [CrossRef]
- Lorenzen, W.; Becker, A.; Redmer, R. Progress in Warm Dense Matter and Planetary Physics. In Proceedings of the Frontiers and Challenges in Warm Dense Matter; Graziani, F., Desjarlais, M.P., Redmer, R., Trickey, S.B., Eds.; Springer International Publishing: Cham, Switzerland, 2014; pp. 203–234. [Google Scholar]
- Fortov, V.E. Extreme States of Matter: High Energy Density Physics; Springer International Publishing: Cham, Switzerland, 2016. [Google Scholar] [CrossRef]
- Fortov, V.; Ilkaev, R.; Arinin, V.; Burtzev, V.; Golubev, V.; Iosilevskiy, I.; Khrustalev, V.; Mikhailov, A.; Mochalov, M.; Ternovoi, V.; et al. Phase transition in a strongly nonideal deuterium plasma generated by quasi-isentropical compression at megabar pressures. Phys. Rev. Lett. 2007, 99, 185001. [Google Scholar] [CrossRef]
- National Research Council. Frontiers in High Energy Density Physics; The National Academies Press: Washington, DC, USA, 2003. [Google Scholar]
- Döppner, T.; Bethkenhagen, M.; Kraus, D.; Neumayer, P.; Chapman, D.A.; Bachmann, B.; Baggott, R.A.; Böhme, M.P.; Divol, L.; Falcone, R.W.; et al. Observing the onset of pressure-driven K-shell delocalization. Nature 2023, 618, 270–275. [Google Scholar] [CrossRef] [PubMed]
- Zastrau, U.; Appel, K.; Baehtz, C.; Baehr, O.; Batchelor, L.; Berghäuser, A.; Banjafar, M.; Brambrink, E.; Cerantola, V.; Cowan, T.E.; et al. The High Energy Density Scientific Instrument at the European XFEL. J. Synchrotron Radiat. 2021, 28, 1393–1416. [Google Scholar] [CrossRef]
- Falk, K.; Regan, S.; Vorberger, J.; Barrios, M.; Boehly, T.; Fratanduono, D.; Glenzer, S.; Hicks, D.; Hu, S.; Murphy, C.; et al. Self-consistent measurement of the equation of state of liquid deuterium. High Energy Density Phys. 2012, 8, 76–80. [Google Scholar] [CrossRef]
- Guillot, T.; Showman, A. Evolution of “51 Pegasus b-like” planets. Astron. Astrophys. 2002, 385, 156–165. [Google Scholar] [CrossRef]
- Nellis, W. Dynamic compression of materials: Metallization of fluid hydrogen at high pressures. Rep. Prog. Phys. 2006, 69, 1479. [Google Scholar] [CrossRef]
- Burrows, A.; Hubbard, W.; Lunine, J.; Liebert, J. The theory of brown dwarfs and extrasolar giant planets. Rev. Mod. Phys. 2001, 73, 719. [Google Scholar] [CrossRef]
- Tahir, N.A.; Hoffmann, D.H.H.; Kozyreva, A.; Tauschwitz, A.; Shutov, A.; Maruhn, J.A.; Spiller, P.; Neuner, U.; Jacoby, J.; Roth, M.; et al. Metallization of hydrogen using heavy-ion-beam implosion of multilayered cylindrical targets. Phys. Rev. E 2000, 63, 016402. [Google Scholar] [CrossRef]
- Moldabekov, Z.; Thomas, G.; Schwalbe, S.; Preston, T.R.; Vorberger, J.; Dornheim, T. Ultrafast Heating-Induced Suppression of d-Band Dominance in the Electronic Excitation Spectrum of Cuprum. ACS Omega 2024, 9, 25239–25250. [Google Scholar] [CrossRef] [PubMed]
- Moldabekov, Z.A.; Gawne, T.D.; Schwalbe, S.; Preston, T.R.; Vorberger, J.; Dornheim, T. Excitation signatures of isochorically heated electrons in solids at finite wave number explored from first principles. Phys. Rev. Res. 2024, 6, 023219. [Google Scholar] [CrossRef]
- Nettelmann, N.; Holst, B.; Kietzmann, A.; French, M.; Redmer, R.; Blaschke, D. Ab Initio Equation of State Data for Hydrogen, Helium, and Water and the Internal Structure of Jupiter. Astrophys. J. 2008, 683, 1217. [Google Scholar] [CrossRef]
- Holst, B.; Redmer, R.; Desjarlais, M.P. Thermophysical properties of warm dense hydrogen using quantum molecular dynamics simulations. Phys. Rev. B 2008, 77, 184201. [Google Scholar] [CrossRef]
- French, M.; Becker, A.; Lorenzen, W.; Nettelmann, N.; Bethkenhagen, M.; Wicht, J.; Redmer, R. Ab Initio Simulations for Material Properties Along the Jupiter Adiabat. Astrophys. J. Suppl. Ser. 2012, 202, 5. [Google Scholar] [CrossRef]
- Fiedler, L.; Moldabekov, Z.A.; Shao, X.; Jiang, K.; Dornheim, T.; Pavanello, M.; Cangi, A. Accelerating equilibration in first-principles molecular dynamics with orbital-free density functional theory. Phys. Rev. Res. 2022, 4, 043033. [Google Scholar] [CrossRef]
- Moldabekov, Z.; Schwalbe, S.; Böhme, M.P.; Vorberger, J.; Shao, X.; Pavanello, M.; Graziani, F.R.; Dornheim, T. Bound-State Breaking and the Importance of Thermal Exchange–Correlation Effects in Warm Dense Hydrogen. J. Chem. Theory Comput. 2024, 20, 68–78. [Google Scholar] [CrossRef] [PubMed]
- Moldabekov, Z.; Böhme, M.; Vorberger, J.; Blaschke, D.; Dornheim, T. Ab Initio Static Exchange–Correlation Kernel across Jacob’s Ladder without Functional Derivatives. J. Chem. Theory Comput. 2023, 19, 1286–1299. [Google Scholar] [CrossRef] [PubMed]
- Moldabekov, Z.; Dornheim, T.; Vorberger, J.; Cangi, A. Benchmarking exchange-correlation functionals in the spin-polarized inhomogeneous electron gas under warm dense conditions. Phys. Rev. B 2022, 105, 035134. [Google Scholar] [CrossRef]
- Moldabekov, Z.; Vorberger, J.; Dornheim, T. Density Functional Theory Perspective on the Nonlinear Response of Correlated Electrons across Temperature Regimes. J. Chem. Theory Comput. 2022, 18, 2900–2912. [Google Scholar] [CrossRef] [PubMed]
- Baalrud, S.D.; Daligault, J. Effective Potential Theory for Transport Coefficients across Coupling Regimes. Phys. Rev. Lett. 2013, 110, 235001. [Google Scholar] [CrossRef] [PubMed]
- Baalrud, S.D.; Daligault, J. Extending plasma transport theory to strong coupling through the concept of an effective interaction potentiala. Phys. Plasmas 2014, 21, 055707. [Google Scholar] [CrossRef]
- Baalrud, S.D. Transport coefficients in strongly coupled plasmas. Phys. Plasmas 2012, 19, 030701. [Google Scholar] [CrossRef]
- Baalrud, S.D.; Daligault, J. Mean force kinetic theory: A convergent kinetic theory for weakly and strongly coupled plasmas. Phys. Plasmas 2019, 26, 082106. [Google Scholar] [CrossRef]
- Kodanova, S.; Ramazanov, T.; Issanova, M.; Nigmetova, G.; Moldabekov, Z. Investigation of coulomb logarithm and relaxation processes in dense plasma on the basis of effective potentials. Contrib. Plasma Phys. 2015, 55, 271. [Google Scholar] [CrossRef]
- Issanova, M.; Kodanova, S.; Ramazanov, T.; Hoffmann, D. Classical scattering and stopping power in dense plasmas: The effect of diffraction and dynamic screening. Contrib. Plasma Phys. 2016, 56, 425–431. [Google Scholar] [CrossRef]
- Kodanova, S.; Issanova, M.; Amirov, S.; Ramazanov, T.; Tikhonov, A.; Moldabekov, Z. Relaxation of non-isothermal hot dense plasma parameters. Matter Radiat. Extrem. 2018, 3, 40–49. [Google Scholar] [CrossRef]
- Kodanova, S.; Ramazanov, T.; Khikmetov, A.; Issanova, M. Dynamical properties of inertial confinement fusion plasmas. Contrib. Plasma Phys. 2018, 58, 946–951. [Google Scholar] [CrossRef]
- Ramazanov, T.; Issanova, M.; Aldakul, Y.K.; Kodanova, S. Ion core effect on transport characteristics in warm dense matter. Phys. Plasmas 2022, 29, 112706. [Google Scholar] [CrossRef]
- Ramazanov, T.; Kodanova, S.; Issanova, M.; Kenzhegulov, B. Influence of the ion core on relaxation processes in dense plasmas. Contrib. Plasma Phys. 2024, 64, e202300127. [Google Scholar] [CrossRef]
- Stanton, L.; Murillo, M.S. Ionic transport in high-energy-density matter. Phys. Rev. E 2016, 93, 043203. [Google Scholar] [CrossRef] [PubMed]
- Kodanova, S.K.; Ramazanov, T.S.; Issanova, M.K. Impact of local field correction on transport and dynamic properties of warm dense matter. Matter Radiat. Extrem. 2025, 10, 037601. [Google Scholar] [CrossRef]
- Moldabekov, Z.; Schoof, T.; Ludwig, P.; Bonitz, M.; Ramazanov, T. Statically screened ion potential and Bohm potential in a quantum plasma. Phys. Plasmas 2015, 22, 102104. [Google Scholar] [CrossRef]
- Stanton, L.; Murillo, M. Unified description of linear screening in dense plasmas. Phys. Rev. E 2015, 91, 033104. [Google Scholar] [CrossRef]
- Moldabekov, Z.; Dornheim, T.; Bonitz, M. Screening of a test charge in a free-electron gas at warm dense matter and dense non-ideal plasma conditions. Contrib. Plasma Phys. 2022, 62, e202000176. [Google Scholar] [CrossRef]
- Moldabekov, Z.; Groth, S.; Dornheim, T.; Bonitz, M.; Ramazanov, T. Ion potential in non-ideal dense quantum plasmas. Contrib. Plasma Phys. 2017, 57, 532–538. [Google Scholar] [CrossRef]
- Moldabekov, Z.; Bonitz, M.; Ramazanov, T. Theoretical foundations of quantum hydrodynamics for plasmas. Phys. Plasmas 2018, 25, 031903. [Google Scholar] [CrossRef]
- Lee, H.J.; Neumayer, P.; Castor, J.; Döppner, T.; Falcone, R.W.; Fortmann, C.; Hammel, B.A.; Kritcher, A.L.; Landen, O.L.; Lee, R.W.; et al. X-Ray Thomson-Scattering Measurements of Density and Temperature in Shock-Compressed Beryllium. Phys. Rev. Lett. 2009, 102, 115001. [Google Scholar] [CrossRef]
- Fortmann, C.; Lee, H.J.; Döppner, T.; Falcone, R.W.; Kritcher, A.L.; Landen, O.L.; Glenzer, S.H. Measurement of the Adiabatic Index in Be Compressed by Counterpropagating Shocks. Phys. Rev. Lett. 2012, 108, 175006. [Google Scholar] [CrossRef]
- Glenzer, S.H.; Gregori, G.; Lee, R.W.; Rogers, F.J.; Pollaine, S.W.; Landen, O.L. Demonstration of Spectrally Resolved X-Ray Scattering in Dense Plasmas. Phys. Rev. Lett. 2003, 90, 175002. [Google Scholar] [CrossRef]
- Wang, L.W.; Teter, M.P. Kinetic-energy functional of the electron density. Phys. Rev. B 1992, 45, 13196–13220. [Google Scholar] [CrossRef]
- Moldabekov, Z.A.; Shao, X.; Pavanello, M.; Vorberger, J.; Dornheim, T. Nonlocal vs local pseudopotentials affect kinetic energy kernels in orbital-free DFT. Electron. Struct. 2025, 7, 015006. [Google Scholar] [CrossRef]
- Mi, W.; Luo, K.; Trickey, S.B.; Pavanello, M. Orbital-Free Density Functional Theory: An Attractive Electronic Structure Method for Large-Scale First-Principles Simulations. Chem. Rev. 2023, 123, 12039–12104. [Google Scholar] [CrossRef] [PubMed]
- Perdew, J.P.; Zunger, A. Self-interaction correction to density-functional approximations for many-electron systems. Phys. Rev. B 1981, 23, 5048–5079. [Google Scholar] [CrossRef]
- Shao, X.; Jiang, K.; Mi, W.; Genova, A.; Pavanello, M. DFTpy: An efficient and object-oriented platform for orbital-free DFT simulations. WIREs Comput. Mol. Sci. 2021, 11, e1482. [Google Scholar] [CrossRef]
- Larsen, A.H.; Mortensen, J.J.; Blomqvist, J.; Castelli, I.E.; Christensen, R.; Dułak, M.; Friis, J.; Groves, M.N.; Hammer, B.; Hargus, C.; et al. The atomic simulation environment—A Python library for working with atoms. J. Phys. Condens. Matter 2017, 29, 273002. [Google Scholar] [CrossRef] [PubMed]
- Bahn, S.R.; Jacobsen, K.W. An object-oriented scripting interface to a legacy electronic structure code. Comput. Sci. Eng. 2002, 4, 56–66. [Google Scholar] [CrossRef]
- Mi, W.; Zhang, S.; Wang, Y.; Ma, Y.; Miao, M. First-principle optimal local pseudopotentials construction via optimized effective potential method. J. Chem. Phys. 2016, 144, 134108. [Google Scholar] [CrossRef]
- Frenkel, D.; Smit, B. Understanding Molecular Simulation: From Algorithms to Applications (Computational Science Series 1), 2nd ed.; Academic Press: London, UK, 2001. [Google Scholar]
- Sivukhin, D.V. Coulomb Collisions in a Fully Ionized Plasma, Reviews of Plasma Physics; Consultants Bureau: New York, NY, USA, 1966; Volume 4. [Google Scholar]
- Honda, M. Coulomb Logarithm Formulae for Collisions between Species with Different Temperatures. Jpn. J. Appl. Phys. 2013, 52, 108002. [Google Scholar] [CrossRef]
- Ott, T.; Bonitz, M.; Stanton, L.G.; Murillo, M.S. Coupling strength in Coulomb and Yukawa one-component plasmas. Phys. Plasmas 2014, 21, 113704. [Google Scholar] [CrossRef]







Disclaimer/Publisher’s Note: The statements, opinions and data contained in all publications are solely those of the individual author(s) and contributor(s) and not of MDPI and/or the editor(s). MDPI and/or the editor(s) disclaim responsibility for any injury to people or property resulting from any ideas, methods, instructions or products referred to in the content. |
© 2025 by the authors. Licensee MDPI, Basel, Switzerland. This article is an open access article distributed under the terms and conditions of the Creative Commons Attribution (CC BY) license (https://creativecommons.org/licenses/by/4.0/).
Share and Cite
Issanova, M.; Djienbekov, N.; Ramazanov, T.; Omiraliyeva, G.; Kodanova, S.; Kenzhebekova, A. Analysis of the Applicability of the Yukawa Model and Chapman–Enskog Approach for Heated Beryllium at Metallic Density Using Quantum Molecular Dynamics. Appl. Sci. 2025, 15, 4945. https://doi.org/10.3390/app15094945
Issanova M, Djienbekov N, Ramazanov T, Omiraliyeva G, Kodanova S, Kenzhebekova A. Analysis of the Applicability of the Yukawa Model and Chapman–Enskog Approach for Heated Beryllium at Metallic Density Using Quantum Molecular Dynamics. Applied Sciences. 2025; 15(9):4945. https://doi.org/10.3390/app15094945
Chicago/Turabian StyleIssanova, Moldir, Nasriddin Djienbekov, Tlekkabul Ramazanov, Gaukhar Omiraliyeva, Sandugash Kodanova, and Akmaral Kenzhebekova. 2025. "Analysis of the Applicability of the Yukawa Model and Chapman–Enskog Approach for Heated Beryllium at Metallic Density Using Quantum Molecular Dynamics" Applied Sciences 15, no. 9: 4945. https://doi.org/10.3390/app15094945
APA StyleIssanova, M., Djienbekov, N., Ramazanov, T., Omiraliyeva, G., Kodanova, S., & Kenzhebekova, A. (2025). Analysis of the Applicability of the Yukawa Model and Chapman–Enskog Approach for Heated Beryllium at Metallic Density Using Quantum Molecular Dynamics. Applied Sciences, 15(9), 4945. https://doi.org/10.3390/app15094945

