Next Article in Journal
Research on the Effects of Poly(Styrene-co-Butyl Acrylate) Emulsions on the Mechanical and Fracture Characteristics of Mortar
Next Article in Special Issue
18F-Fluorodeoxyglucose Uptake in Cerebrospinal Fluid Reflects Both Brain Glucose Demand and Impaired Blood–Brain Barrier Transport in Alzheimer’s Disease
Previous Article in Journal
Multi-Source Data Fusion-Based Grid-Level Load Forecasting
Previous Article in Special Issue
Hypergraph Analysis of Functional Brain Connectivity During Figurative Attention
 
 
Font Type:
Arial Georgia Verdana
Font Size:
Aa Aa Aa
Line Spacing:
Column Width:
Background:
Article

Functional Connectome Fingerprinting Through Tucker Tensor Decomposition

by
Vitor Carvalho
1,2,
Mintao Liu
1,2,
Jaroslaw Harezlak
3,4,
Ana María Estrada Gómez
1,*,† and
Joaquín Goñi
1,2,5,*,†
1
Edwardson School of Industrial Engineering, Purdue University, West Lafayette, IN 47907, USA
2
Purdue Institute for Integrative Neuroscience, Purdue University, West Lafayette, IN 47907, USA
3
Institute of Mathematics, University of Wroclaw, 50-384 Wroclaw, Poland
4
Department of Epidemiology and Biostatistics, Indiana University Bloomington, Bloomington, IN 47405, USA
5
Weldon School of Biomedical Engineering, Purdue University, West Lafayette, IN 47907, USA
*
Authors to whom correspondence should be addressed.
These authors contributed equally to this work.
Appl. Sci. 2025, 15(9), 4821; https://doi.org/10.3390/app15094821
Submission received: 13 February 2025 / Revised: 9 April 2025 / Accepted: 13 April 2025 / Published: 26 April 2025
(This article belongs to the Special Issue Brain Functional Connectivity: Prediction, Dynamics, and Modeling)

Abstract

The human functional connectome (FC) is a representation of the functional couplings between brain regions derived from blood oxygen level-dependent (BOLD) signals. Over the past decade, studies related to FC fingerprinting have sought to uncover functional patterns that enable uniquely identifying individuals across repeated scanning sessions, hence demonstrating the stability and distinctiveness of functional brain organization. In this study, it is hypothesized that tensor decomposition techniques, given their ability to project high-dimensional data into lower-dimensional spaces, enable detecting the brain fingerprint with high accuracy. A mathematical framework based on Tucker decomposition is presented to uncover the FC fingerprint of 426 unrelated participants from the Young-Adult Human Connectome Project (HCP) Dataset. An analysis of how brain parcellation granularity, decomposition rank, and scan length relate to within- and between-condition (resting state-task) fingerprinting was conducted. Relative to FC matrices as well as to Principal Components Analysis (PCA), tensor decomposition significantly increases the functional connectome’s fingerprint. For parcellation granularity of 214 in the within-condition setting, an improvement of 11–36% was seen across all fMRI conditions. Similarly, a substantial improvement, ranging from 43 to 72%, was observed in the between-condition setting relative to FC matrices. Compared to matching rates obtained directly on FCs and when applying other data-driven decomposition methods, Tucker decomposition led to higher or the same level of matching rates for all analyses. Furthermore, in the context of between-condition fingerprinting, results from the proposed framework suggest that partially sampling time points from resting-state time series is sufficient to uncover FC fingerprints with high accuracy.

1. Introduction

Human brain connectomics, driven by the increasing availability of large-scale neuroimaging datasets [1], has emerged in recent years as a prominent field of research. This field has the potential to address many of the open questions about the structure and function of the human brain. Notably, connectomics-based analyses have revealed meaningful differences between healthy and disease conditions [2,3]. However, to further assess the reliability of such findings and to capture individual-specific characteristics that may be overlooked in group-level studies, the concept of a “brain connectivity fingerprint” has gained growing interest [4,5,6].
Functional connectivity fingerprinting of the brain refers to the ability to identify an individual’s functional connectome (FC) from a set of FCs in repeated fMRI imaging sessions. The existence of a brain fingerprint has been established in the last decade with work done with data from functional magnetic resonance imaging (fMRI) and electroencephalography (EEG) [7,8]. Such studies have shown that the functional connectome of the brain varies between individuals, therefore, serving, to some extent, as a fingerprint. In the literature, different studies of FC fingerprinting have been conducted with varying approaches, such as principal component analysis (PCA) [9,10], sparse dictionary learning (SDL) [11], geodesic distance in regularized FC [12] and correlation distance in FC tangent space projections [13]. In [9], the authors show that individual connectivity profiles can be reconstructed through an optimal linear combination of PCA-derived orthogonal components. In [10], the authors perform PCA in a subset of “learning” FCs to obtain an eigenspace in which the “validation” FCs are projected, thus enabling the identification of the fMRI condition or the participant to which the “validation” FC belongs. In [11], SDL is used to refine FC profiles, leading to a higher distinctiveness in FCs relative to raw connectivity. PCA and SDL work on 2-dimensional data, while Tucker decomposition is designed for higher-dimensional data structures called tensors, essentially allowing it to analyze complex relationships across multiple variables in a dataset by decomposing it into a core tensor and factor matrices along each dimension. In essence, Tucker decomposition may be thought of as a “higher-order PCA”.
Using the fact that FCs estimated as correlation matrices lie on or inside a Symmetric Positive Definite (SPD) manifold, Venkatesh and colleagues proposed using geodesic distance to compare FCs [14]. In a follow-up study [12], the authors explored how optimally regularized FCs maximize the individual fingerprint of participants, measured by the geodesic distance between their FCs. A limitation of this approach is that the geodesic distance between FCs of size M × M is a map R M × M × R M × M R . Hence, even though the geodesic distance provides a global measure of similarity between FCs, it does not directly highlight the specific features that make the individual’s functional connectivity unique. As an alternative to using FCs, tangent FCs have demonstrated a high capacity to predict cognition and behavior [15,16,17]. Most recently, ref. [13] analyzed the effects of tangent FCs with respect to fingerprinting. In that study, a high degree of fingerprinting was achieved not only across sessions of a unique participant, but also for matching the sessions of twins.
To simultaneously overcome the drawbacks of the studies mentioned above, we propose utilizing tensor decomposition for FC fingerprinting. Tensor decomposition enables projecting high-dimensional data into a lower-dimensional space, preserving its structure while independently extracting meaningful information from each dimension.
Tensors are multidimensional arrays with applications in various fields, including signal processing, computer vision, and neuroscience [18]. In brain connectomics, tensors enable modeling and analyzing the functional and structural connections within the brain by reducing the dimensionality of complex, interrelated, and high-dimensional data through tensor decomposition. In [19], the authors studied the dynamics of FCs to understand the process of formation and dissolution of brain functional networks through tensor decomposition techniques. In another study [20], it was demonstrated how the analysis of the tensor components enables the extraction of unbiased and interpretable descriptions of single-trial dynamics across many trials through low-dimensional representations of neural data. In [21], the authors discuss challenges associated with interpreting the brain connectivity patterns derived from tensor decomposition. To our knowledge, only [22] has considered using tensors in brain connectivity fingerprinting analysis in the literature. However, their study was based on structural connectivity. The task of identifying subjects through their functional connectomes has the additional challenge of dynamic changes and functional reconfigurations happening at a fast rate in response to cognitive stimuli.
Through this study, the effectiveness of tensor based methods in uncovering FC fingerprints is assessed. The adopted fingerprinting framework can be broadly described as follows:
  • Each participant underwent a total of sixteen data acquisition sessions, two for each of the considered fMRI conditions. Using the BOLD time series from each acquisition, an FC matrix of dimension Number of Brain Regions × Number of Brain Regions is estimated, thus yielding a total of sixteen FC matrices for each participant.
  • For each condition, a tensor of dimensions Number of Brain Regions × Number of Brain Regions × Number of Participants, is constructed by concatenating all participants’ FCs derived in the first acquisition session. Similarly, a second tensor is obtained for all conditions by concatenating all participants’ FCs derived in the second acquisition session.
  • The obtained tensors are then decomposed via Tucker decomposition [23], yielding a core tensor and three factor matrices. The first two factor matrices contain cohort-level functional connectivity information and will later on be referred to as “brain parcellation factor matrices”. The third factor matrix contains participant-specific information and will be later addressed as the “participants factor matrix”. The participants factor matrix, acting as a “fingerprint” of each participant, is used to match participants FCs corresponding to different data acquisition sessions. The accuracy with which different sessions are able to be correctly matched is quantified by a metric denominated matching rate [24].
The aims of this study are: (i) assess the impact of Tucker decomposition on functional connectome fingerprinting in within- and between-fMRI condition settings for different parcellation granularities, (ii) estimate optimal levels of compression of brain parcellation-specific and participant-specific information that maximize fingerprinting, and (iii) analyze how sampling in resting-state prior to Tucker decomposition affects fingerprinting.
The remainder of the article is organized as follows. In Materials and Methods, we: (i) describe the data set used in this study as well as the preprocessing procedures; (ii) introduce the adopted tensor notation; (iii) introduce Tucker decomposition; and (iv) describe matching rate, the fingerprinting measurement used in this study. In Results, we: (i) provide a comparative analysis of fingerprints across parcellation granularities, (ii) compare the fingerprinting performance of different dimensionality reduction methods across parcellation granularities, (iii) disclose optimal levels of compression of parcellation-specific and participant-specific information that maximize within- and between-condition fingerprints, and (iv) present the findings for the different strategies of sampling time points in resting-state time series. In the Discussion, we (i) discuss our findings and (ii) highlight some limitations of our study and make suggestions for future work. Lastly, in Conclusions, we summarize the presented work.

2. Materials and Methods

In this section, a description of the dataset, tensor notation, and fingerprinting framework is presented. First, there is an overview of the HCP dataset, then brain parcellation granularities are considered, and preprocessing procedures are presented. Then, the adopted tensor notation is introduced, along with commonly used tensor decomposition techniques. Lastly, we introduce the metric used to quantify FC fingerprinting, and a detailed description of the fingerprinting framework.

2.1. Dataset Description

The HCP Dataset [25] has been widely used as a standard in the neuroimaging literature for a broad range of research domains [7,26,27,28,29] due to its large-scale, high-quality, and open-access data gathered from a large and diverse cohort of participants. This study utilizes data from eight fMRI conditions included in the Young-Adult Human Connectome Project (HCP) dataset. The fMRI dataset used in this study is from the publicly available Human Connectome Project (HCP). The original study was approved by the Washington University Institutional Review Board. Per HCP protocol, written informed consent statement was obtained from all subjects by the HCP Consortium. To minimize the impact of hereditary influences on fingerprinting, a subset of 426 unrelated individuals was selected. The demographic information of the participants can be found in Table 1. The fMRI conditions analyzed in this study include resting-state (RS), Emotion processing, Gambling (GAM), Language (LAN), Motor (MOT), Relational processing (REL), Social cognition (SOC), and Working Memory (WM). Each participant completed two sessions per condition, corresponding to separate left-to-right (LR) and right-to-left (RL) acquisitions, which are designated as test and retest sessions. Resting-state scans were conducted over four sessions (“REST1” and “REST2”) on two separate days, though only the two REST1 sessions were considered in this study.

2.2. Brain Parcellations

In this study, we utilized the Schaefer parcellation functional brain atlas to analyze the human cortex [30]. This parcellation was derived from resting-state fMRI data of 1489 participants, and registered with surface alignment. It was generated using a gradient-weighted Markov random field approach that integrates local gradient and global similarity methods. The Schaefer parcellation is available at nine levels of granularity, ranging from 100 to 900 regions in increments of 100, in both volumetric and grayordinate space. Since the grayordinate versions of these parcellations are already in the same surface space as the HCP fMRI data, mapping them onto the fMRI scans is straightforward. Moreover, surface-based mapping ensures better alignment between the parcellations and fMRI data compared to volumetric mapping. Therefore, we applied surface-based mapping to project the Schaefer parcellations onto the fMRI data. To ensure comprehensive brain coverage, we incorporated 14 subcortical regions into each parcellation, as provided in the HCP dataset (file: Atlas_ROI2.nii.gz). This file was converted from a NIFTI to a CIFTI format using the HCP Workbench 1.5 software (Saint Louis, MI, USA.) (wb_command -cifti-createlabel). As a result, the Schaefer-200 parcellation, for instance, ultimately included 214 brain regions.

2.3. Preprocessing

The preprocessing of fMRI data followed the “minimal” preprocessing pipeline provided by the HCP, which includes artifact removal, motion correction, and alignment to a standardized template [31]. Further details on this pipeline can be found in previous studies [26,32]. We enhanced this minimal pipeline by incorporating additional preprocessing steps, as described in [13]. Specifically, for resting-state fMRI data, we applied the following procedures: (i) regressed out the global gray matter signal from voxel-wise time series [31], (ii) implemented a first-order Butterworth bandpass filter in both forward and reverse directions within the frequency range of 0.001–0.08 Hz [31], and (iii) z-scored and averaged voxel time series within each brain region, while excluding time points that deviated more than three standard deviations from the mean (processed using the Workbench software, wb_command -cifti-parcellate). The same preprocessing steps were applied to all task-based fMRI conditions. However, the bandpass filter was adjusted to a broader frequency range (0.001–0.250 Hz) [33], as the optimal filtering range remains uncertain [34].

2.4. Estimation of Whole-Brain FCs

The functional connectivity between pairs of brain regions was estimated by computing Pearson’s correlation (corr MATLAB 2023a function), which results in a symmetric M × M correlation matrix, with M being the number of brain regions for a given parcellation. Throughout this article, this correlation matrix is referred to as FC. For each participant, we computed a whole-brain FC for each of the two sessions (test and retest), each fMRI condition (all seven tasks and resting state), and all parcellation granularities.

2.5. Tensor Notation

We refer to multidimensional data structures as tensors. Mathematically, tensors can be described as objects that lie in R I 1 × I 2 × × I N and originate from the tensor product of N vector spaces. The number N of vector spaces from which a tensor originates defines the order (or mode) of the tensor. Throughout this work, we adopt the following notation: scalars are denoted by lower or upper case letters, e.g., x or X, vectors are denoted by boldface lowercase letters, e.g.,  x , matrices are denoted by boldface capital letters, e.g.,  X , and high-order tensors are denoted by boldface, calligraphic letters, e.g.,  X . Entries of a tensor X R I 1 × I 2 × × I N are denoted by lowercase letters with subscripts, e.g.,  x i 1 , i 2 , , i N , with  1 i n I n for all 1 n N . Tensor fibers are constructed by fixing every index of the tensor but one. Therefore, tensors have as many fibers as dimensions. For example, third-order tensors have column (mode-1), row (mode-2), and tube (mode-3) fibers, which are denoted by x : j k , x i : k , and  x i j : , respectively, with colons denoting all the entries of a mode. A tensor slice is defined by fixing all entries from the tensor except two. We can define the slices X i , : , : , X : , j , : , and  X : , : , k for a third-order tensor.
The process of reshaping a tensor into a matrix is known as matricization. The mode-n matricization of a tensor X R I 1 × I 2 × × I N is given by the matrix X ( n ) , and its columns correspond to the mode-n fibers of X . The n-mode matrix product between a tensor X R I 1 × I 2 × × I N and a matrix Y R J × I n is denoted by X × n Y and is of size I 1 × × I n 1 × J × I n + 1 × × I N . The outer product between two vectors x R m and y R n is represented by
x y = x 1 y 1 x 1 y 2 x 1 y n x 2 y 1 x 2 y 2 x 2 y n x m y 1 x m y 2 x m y n
and is of dimension R m × n , while the inner product of X R I 1 × I 2 × × I N and Y R I 1 × I 2 × × I N is defined as
X , Y = i 1 = 1 I 1 i 2 = 1 I 2 i N = 1 I N x i 1 , i 2 , , i N y i 1 , i 2 , , i N
and the norm of X is defined as | | X | | = X , X .

2.6. Tensor Decomposition

In recent years, tensors have become increasingly popular in the fields of signal processing, machine learning, and neuroscience for their capacity to model complex high-order relationships among objects [35,36,37]. Tensor decomposition enables projecting high-dimensional data into a lower-dimensional space while preserving the original structure of the data. For the purpose of brain fingerprinting, tensor decomposition has the potential of extracting unique features from each participant’s fMRI data acquisition session, thus facilitating subject distinctiveness. Several tensor decomposition algorithms can be found in the literature, each with their own characteristics and applications. The most commonly used ones are the CANDECOMP/PARAFAC (CP) [38,39] decomposition and the Tucker decomposition [23].
The CP decomposition of a tensor X R I 1 × I 2 × × I N factorizes it into a sum of R rank-one tensors, where a rank-one tensor denotes the outer product between N vectors. Equation (1) shows the CP decomposition of X :
X r = 1 R λ r a r ( 1 ) a r ( 2 ) a r ( N )
where R denotes the rank of the decomposition. The vectors a r ( 1 ) R I 1 , a r ( 2 ) R I 2 , , a r ( N ) R I N are typically assumed to be normalized, with a corresponding scaling factor of λ r . Equation (1) can also be expressed in the simplified form [ [ λ ; A ( 1 ) , A ( 2 ) , , A ( N ) ] ] , in which A ( i ) = [ a 1 ( i ) a 2 ( i ) a R ( i ) ] , for  i = 1 , 2 , , N , are referred to as factor matrices, and  λ R R is a vector containing all scaling factors λ r , for r = 1 , 2 , , R .
The Tucker decomposition [23] decomposes a tensor into a core tensor multiplied by a matrix along each of the tensor modes. For  X R I 1 × I 2 × × I N , its n-rank, denoted by r a n k n ( X ) , is defined as the column rank of its mode-n matricization X ( n ) . In other words, the n-rank is the number of linearly independent vectors that span the basis of the mode-n fibers of X . Equation (2) shows the Tucker decomposition of X .
X r 1 = 1 R 1 r 2 = 1 R 2 r n = 1 R N g r 1 r 2 r n A r 1 ( 1 ) A r 2 ( 2 ) A r n ( N ) [ [ G ; A ( 1 ) , A ( 2 ) , , A ( N ) ] ]
where A ( 1 ) R I 1 × R 1 , A ( 2 ) R I 2 × R 2 , ⋯, A ( N ) R I N × R N are column-wise orthonormal factor matrices, and  R 1 , R 2 , , R N are the ranks of the decomposition, where R n r a n k n ( X ) I n for n = 1 , , N . If  R n < r a n k n ( X ), we refer to the decomposition as a truncated Tucker decomposition and refer to it as a rank-( R 1 , R 2 , , R N ) decomposition. The tensor G R R 1 × R 2 × × R N is referred to as the core tensor and its entries represent the level of interaction between the different factors. Note that the CP decomposition can be understood as a special case of the Tucker decomposition when the Tucker’s core is reduced to a hyper-diagonal tensor (all non-diagonal entries are equal to zero) and R = R 1 = R 2 = = R N . For simplicity, consider the third-order tensor X R I 1 × I 2 × I 3 . The Tucker decomposition of X is obtained by solving the optimization problem 3, which seeks to minimize the norm of the difference between the true and estimated tensors. The decision variables of this problem are the core tensor G , and the factor matrices A ( 1 ) , A ( 2 ) , and A ( 3 ) .
min G , A ( 1 ) , A ( 2 ) , A ( 3 ) | | X G × 1 A ( 1 ) × 2 A ( 2 ) × 3 A ( 3 ) | | s . t . G R R 1 × R 2 × R 3 A ( 1 ) R I 1 × R 1 and column - wise orthonormal A ( 2 ) R I 2 × R 2 and column - wise orthonormal A ( 3 ) R I 3 × R 3 and column - wise orthonormal

2.7. Tucker Decomposition of Functional Connectomes

For each of the eight fMRI conditions analyzed in this study, we represent the data as a third-order tensor X R M × M × N . Here, M is equal to the granularity of the brain parcellation and N = 426 corresponds to the total number of participants. Given the symmetry of FC matrices, we refer to X as a semi-symmetric tensor, meaning it remains invariant under permutation of two (or more) indices. In our case, x i , j , k = x j , i , k for k = 1 , , 426 . All analyses performed in this work have an input of a semi-symmetric tensor X constructed by concatenating participants’ FCs obtained in one fMRI scanning session (either test or retest).
Once the data have been structured as a semi-symmetric tensor, we can produce a low-rank estimation of the FCs through either of the previously mentioned tensor decomposition methods. Due to the lack of interactions between components, the results of CP decomposition are generally easier to interpret [21] compared to Tucker decomposition. However, this lack of interaction often leads CP to produce less accurate approximations of the original tensor, as measured by the L 2 norm. In contrast, Tucker decomposition leverages its core tensor to capture interactions between components, enabling it to approximate the original tensor with greater precision [40]. Considering the interpretability/accuracy trade-off in the context of brain fingerprinting, we focus on Tucker decomposition.
Several methods have been developed to estimate the Tucker decomposition. Notably, we highlight Sequentially Truncated Higher-Order Singular Value Decomposition (ST-HOSVD) [41,42] and Higher-Order Orthogonal Iteration (HOOI) [43]. For a given tensor X R I 1 × I 2 × × I N , ST-HOSVD sequentially computes the factor matrices via truncated eigenvalue decompositions of the mode-n matricizations (for n = 1 , 2 , , N ) of X , while iteratively updating X at each step. The output of the algorithm is a core tensor and a set of column-wise orthogonal factor matrices. Similarly to PCA, the components from the factor matrices capture most of the variance across each of the tensor modes. The Tucker estimation via ST-HOSVD of X is shown in Algorithm 1.
Algorithm 1 Sequentially Truncated Higher-Order Singular Value Decomposition (ST-HOSVD)
Input:  X R I 1 × I 2 × × I N , { R 1 , R 2 , , R N }
1:
for  i 1 to N do
2:
    Matricize the tensor along mode i to obtain X ( i )
3:
    Compute the Gram matrix Z ( i ) = X ( i ) × X ( i ) T
4:
    Compute the eigenvalue decomposition of Z ( i ) and sort the eigenvalues in descending order
5:
     A ( i ) R i eigenvectors corresponding to the sorted R i eigenvalues of Z ( i )
6:
     X X × i A ( i ) T
7:
end for
8:
G X
Output:  G R R 1 × R 2 × × R N , A ( 1 ) R I 1 × R 1 , A ( 2 ) R I 2 × R 2 , , A ( N ) R I N × R N
On the other hand, HOOI utilizes an Alternating Least Squares (ALS) approach to estimate each of the factor matrices by sequentially solving sub-problems of the form in (4):
max A ( n ) | | X × 1 A ( 1 ) × 2 A ( 2 ) × N A ( N ) | | s . t . A ( n ) R I n × R N and column - wise orthonormal
where the factor matrices A ( 1 ) × 2 A ( 2 ) × N A ( N ) are commonly initialized via the ST-HOSVD of X . By iteratively optimizing each factor matrix while keeping the others fixed, HOOI provides a better fit as measured by the norm of the difference between the true and estimated tensors compared to ST-HOSVD, but for a higher computational cost. However, since HOOI is not guaranteed to converge to a global optimum nor to a stationary point [43,44] and does not provide substantial fingerprinting improvements in comparison to ST-HOSVD (see Table 2), ST-HOSVD is the chosen algorithm to compute the Tucker decomposition of FCs.
When applied to tensors that exhibit partial (or full) symmetries, HOSVD preserves the symmetric structure of the tensor [41]. Hence, for a tensor consisting of one session (e.g., test sessions) of participants’ FC matrices, the Tucker decomposition of X R M × M × N can be reformulated as:
min G , B , P | | X G × 1 B × 2 B × 3 P | | s . t . G R R 1 × R 1 × R 2 B R M × R 1 and column wise orthonormal P R N × R 2 and column wise orthonormal
where the factor matrices B and P obtained via HOSVD contain, respectively, brain parcellation and participant-specific information and the ranks R 1 and R 2 express the compression levels of brain parcellation and participant-specific information. While solving the optimization problem presented in (5), the brain parcellation ranks were chosen with a step size of ( P a r c e l l a t i o n 14 ) 4 . In addition to the previous parcellation ranks, we also performed a full-rank decomposition. Thus, for a parcellation granularity of 414, for example, the brain parcellation ranks were set to R 1 = { 100 , 200 , 300 , 400 , 414 } . In contrast, for all parcellation granularities explored, the participant ranks were set to R 2 = { 50 , 100 , 150 , 200 , 250 , 300 , 350 , 400 , 426 } .
Under the hypothesis that the functional connectivity patterns of a participant are, to some extent, reproducible across scanning sessions, we fix the core tensor G and brain parcellation factor matrix B derived from the Tucker decomposition of tensor X and estimate the participant factor matrix Q of the tensor Y comprising FCs from another data acquisition session (e.g., retest session). By doing so, we aim to detect a consistent presence of underlying cohort-level functional connectivity patterns across different data acquisition sessions for each participant. The optimization problem shown in (6)
min Q | | Y G × 1 B × 2 B × 3 Q | |
and admits a closed-form solution given by
Q = Y ( 3 ) × [ ( G × 1 B × 2 B ) ( 3 ) ]
where denotes the Moore–Penrose inverse [45] of a matrix, and  Y ( 3 ) and ( G × 1 B × 2 B ) ( 3 ) denote the mode-3 matricization of Y and ( G × 1 B × 2 B ) , respectively.

2.8. Fingerprinting Quantification

To quantify fingerprinting, we used a measure denominated matching rate [24] for an identifiability matrix I R N × N , where i j , k denotes the Pearson’s correlation between the j-th row of the participant factor matrix P j , : , and the k-th row of the participant factor matrix Q k , : . The main diagonal entries of I represent similarity levels between different imaging sessions of the same participant. By hypothesis, we expect those entries to be higher than the off-diagonal entries, which represent the similarity level between different imaging sessions of different participants. Matching rate is a variation of I D r a t e  [7] that accounts for the fact that each participant is present only once in the test and retest sets. I D r a t e (7) is the average frequency at which a participant’s test session is most highly correlated to their retest session, and their retest session is most highly correlated to their test session (note that one does not necessarily imply the other). For matching rates, we impose that once a test session is paired with a retest session, it can no longer be chosen for a new pairing. The relative frequency of successful participants matching in both directions is then averaged, yielding a value in the range [ 0 , 1 ] , where 0 indicates a failure to correctly match any of the participant’s FCs, and 1 indicates success in matching all participant’s FCs correctly. An algorithmic description of the computation of the matching rate is presented in Algorithm 2.
I D r a t e = Number of correctly paired test - retest samples Total number of participants + Number of correctly paired retest - test samples Total number of participants 2
Algorithm 2 Matching Rate Computation
Input:  I R N × N
  1:
I mask I
  2:
M R 1 0
  3:
for  i 1 to N do
  4:
     [ m a x V a l P e r C o l , r o w I n d i c e s ] max ( I mask , [ ] , 1 )
  5:
     [ , c o l I n d e x ] max ( m a x V a l P e r C o l )
  6:
    if  ( c o l I n d e x = r o w I n d i c e s ( c o l I n d e x ) )  then
  7:
         M R 1 M R 1 + 1
  8:
    end if
  9:
     I mask ( : , c o l I n d e x ) -inf
10:
     I mask ( r o w I n d i c e s ( c o l I n d e x ) , : ) -inf
11:
end for
12:
I mask I T
13:
M R 2 0
14:
for  i 1 to N do
15:
     [ m a x V a l P e r C o l , r o w I n d i c e s ] max ( I mask , [ ] , 1 )
16:
     [ , c o l I n d e x ] max ( m a x V a l P e r C o l )
17:
    if  ( c o l I n d e x = r o w I n d i c e s ( c o l I n d e x ) )  then
18:
         M R 2 M R 2 + 1
19:
    end if
20:
     I mask ( : , c o l I n d e x ) -inf
21:
     I mask ( r o w I n d i c e s ( c o l I n d e x ) , : ) -inf
22:
end for
23:
A v g M R M R 1 + M R 2 2 × N
Output:  A v g M R

2.9. Fingerprinting Framework Adapted to Tucker Decomposition

The proposed fingerprinting framework consists of five key steps: (i) given a data acquisition session (either test or retest) of an fMRI condition, construct a tensor that contains all participants FCs; (ii) decompose the tensor via Tucker decomposition to obtain a core tensor, a brain parcellation factor matrix, and a participant factor matrix; (iii) estimate the other session’s participant factor matrix based on the decomposition of the given session; (iv) obtain an identifiability matrix by computing pairwise Pearson’s correlation between the rows of both participant factor matrices; and (v) calculate the matching rate for the obtained identifiability matrix. A schematic representation of our framework is presented in Figure 1.
In the following section, we discuss how matching rate is affected by parcellation granularity, decomposition rank, scanning length of fMRI conditions, and under within- and between-condition scenarios.

3. Results

For all eight fMRI conditions, the proposed fingerprinting framework was applied to two main settings. First, when test and retest FCs correspond to the same fMRI condition (within-condition fingerprinting). Second, when combining resting-state FCs with task FCs (between-condition fingerprinting). For the aforementioned settings, we further investigated the impact of brain parcellation rank and participant rank on Tucker decomposition and subsequent fingerprinting, and whether scanning length duration has a significant effect on matching rates.

3.1. Parcellation Granularity Effect on Fingerprinting

Finer parcellation granularities offer a more detailed representation of the functional connectome by dividing the brain into more regions. However, this comes with a trade-off, as the time series for each region may be less reliable due to being derived from a smaller number of voxels. Hence, FCs fingerprints are expected to be dependent on the parcellation granularity of the data. Figure 2 displays the within-condition fingerprinting results of maximum-rank ST-HOSVD decompositions (i.e, for parcellation 614, the brain parcellation rank R 1 and participant rank R 2 were chosen to be 614 and 426, respectively) for parcellation granularities of 114 , 214 , 314 , 414 , 514 , 614 , 714 , 814 , and 914. As the parcellation granularity increases, matching rates plateau for all fMRI conditions starting at parcellation granularity of 414. Therefore, we give a stronger emphasis to parcellation granularity of 414 in the remaining analyses of this study. It is noteworthy that the longest (resting-state) and shortest (Emotion) fMRI conditions display, respectively, the highest and lowest matching rate values across all parcellation granularities. However, tasks with intermediate scanning lengths do not follow such trend.

3.2. Dimensionality Reduction Methods in Fingerprinting

In Table 2, a comparison between different dimensionality reductions methods versus a baseline (consisting of vectorized FCs) for parcellation granularity of 414 is shown. When computing PCA, the number of principal components used to obtain the identifiability matrix was chosen to be the maximizer of subject identifiability as introduced in the work of Amico and Goñi (2018) [9]. The reported matching rates for CP decomposition are the highest among rank-R decompositions, with R { 100 , 200 , 300 , 400 , 414 } . Equivalently, the reported matching rates for Tucker-based methods are the highest among all considered combinations of brain parcellation rank R 1 and participant rank R 2 . Among the presented dimensionality reduction methods, Tucker decomposition (ST-HOSVD and HOOI) demonstrates, by a considerable margin, the highest fingerprint.
Considering the high dimensionality of neuroimaging data, it is crucial to consider the scalability of Tucker-based methods for the purpose of fingerprinting. In Table 3, the runtime (seconds) of the most computationally demanding decomposition of a tensor of dimensions P G × P G × 426 , where P G denotes the parcellation granularity, is presented for each dimensionality reduction method. For CP and Tucker-based methods, the highest runtime corresponds to a decomposition of maximum possible rank. For example, for a tensor of dimensions 414 × 414 × 426 , the CP rank is set to R = 414 , and the ranks for ST-HOSVD and HOOI are set to R 1 = R 2 = 414 , R 3 = 426 . Equivalently, a matrix of dimensions 414 2 × 852 (columns represent the upper triangular entries of vectorized FCs) all 852 principal component are computed for PCA. As the dimensionality of the data increases with the parcellation granularity, PCA tends to become less computationally expensive than ST-HOSVD. However, the increase in computational cost is negligible compared to the effectiveness of ST-HOSVD in uncovering fingerprints. For reference, the reported runtimes were measured on a Lenovo Legion 5i laptop equipped with an Intel Core i7 processor, 32GB of RAM, and an NVIDIA GeForce RTX 3070 Ti GPU.

3.3. Evaluating the Impact of Brain Parcellation Rank and Participant Rank on Fingerprinting

To obtain a holistic view of how brain parcellation rank and participant rank affect fingerprinting, we computed matching rates under different combinations of both ranks for all fMRI conditions. Results shown in Figure 3 indicate that higher brain parcellation ranks led to higher matching rates compared to lower brain parcellation ranks. However, the impact of the participant rank on matching rates depends on the fMRI condition. Specifically, with Emotion and Motor tasks we can achieve near-optimal matching rates with a participant rank of 300 or higher, while for all the other fMRI tasks, we achieve near-optimal matching rates earlier, starting at a participant rank of 150. Resting-state matching rates were the highest among all fMRI conditions, reaching optimal scores starting at a participant rank 100, with 100% matching accuracy. In contrast, Emotion had the lowest matching rate.

3.4. Within-Condition Fingerprinting

The concept of within-condition fingerprinting reflects the ability to correctly match two scans of the same participant when all evaluated scans belong to the same fMRI condition. The proposed fingerprinting framework yields a substantial matching rate increase across all considered parcellation granularities relative to vectorized original FCs, which were adopted as baseline. For original FCs, identifiability matrices were obtained by computing pairwise Pearson’s correlation between test and retest vectorized upper triangular original FCs.
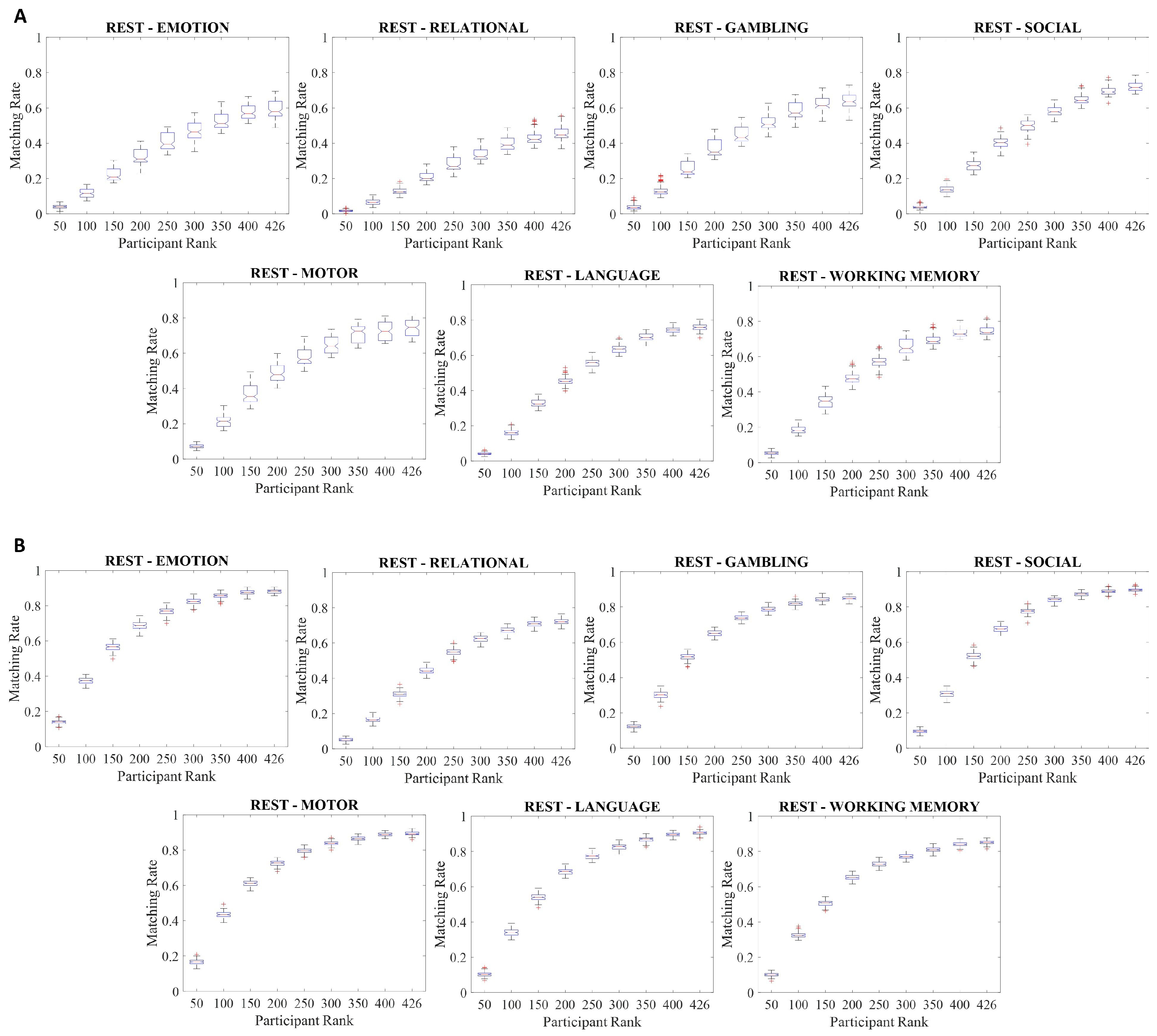
In Figure 4A, it is shown, for each condition, the highest matching rate obtained for all possible combinations of brain parcellation rank and participant rank. The highest matching rate increase with respect to the original FCs was observed for parcellation granularity of 214, for which the fingerprinting framework generated matching rate improvements ranging from 11% (Language) to 36% (Emotion). Resting-state matching rates were the highest in all parcellations, achieving 100% for all parcellation granularities.
Given the mismatch in scan duration between resting-state and tasks, a matching rate comparison between fMRI tasks and resting-state when resting-state time series are cropped to match the duration of tasks is shown in Figure 4B. To do so, and in order to avoid possible biases when using the first time-points, resting-state FCs are estimated by using the L central time points, where L is the duration of the corresponding task. For conditions with short scanning length (Emotion, Relational, and Gambling), resting-state displays a lower fingerprint than the fMRI tasks in all parcellation granularities. The previous is also true for Social and Language tasks and parcellation granularity 214.
The fingerprinting framework was carried out in two ways. First, by inputting a tensor consisting of test FCs while aiming to estimate the participants’ factor matrix of the retest session. Second, by inputting a tensor consisting of retest FCs while aiming to estimate the participants factor matrix of the test session. The results of both procedures were averaged for all combinations of ranks considered. The reported values correspond to the highest of such averages.

3.5. Between-Condition Fingerprinting

Between-condition fingerprinting measures the degree to which we can match, for each participant, a scan from one fMRI condition to their scan from another fMRI condition. Using our fingerprinting framework, we estimate the participant factor matrix from a tensor consisting of task (test) fMRI by inputting a tensor consisting of resting-state (retest) FCs. Given that the scanning length of resting-state is substantially longer than the length of all fMRI tasks, we consider two scenarios when estimating resting-state FCs: (i) using the full resting-state time series and (ii) matching (hence reducing) the number of timepoints in the resting-state time series to the duration of each task (e.g., when pairing with Emotion task, resting-state FCs are computed using 166 out of the total 1190 time points). In the latter case, we further explore two strategies for sampling time points of the resting-state scan: (i) randomly sample time points, and (ii) randomly sample a starting time point in the range of [ 1 , 1190 length ( task ) ] and take the randomly sampled starting time point and its length ( task ) 1 consecutive time points.

3.5.1. Between-Condition Fingerprinting with Resting-State Full Scanning Length

The between-condition matching rates when resting-state FCs are estimated using the time series of the full scanning length are shown in Figure 5. Matching rates ranged from 76 % (Relational) to 91 % (Language). In Figure 5, we observe a high sensitivity to brain parcellation rank, with 414 being the optimal rank. Comparatively, matching rate also benefits from a higher participant rank. However, the degree to which this occurs is task-dependent (i.e., a participant rank of 350 is nearly optimal for Emotion, but for Relational there is a clear benefit in going up to rank 426).
In Figure 6, we observe a major increase in between-condition matching rates using Tucker decomposition when compared to original FCs. The procedure used for computing the identifiability matrix for original FCs in the between-condition setting was analogous to the one in the within-condition setting. Matching rate improvements obtained with Tucker ranged from 43% (Relational) to 72% (Language).

3.5.2. Between-Condition Fingerprinting with Resting-State Matched-to-Task Scanning-Length

In order to account for scanning length effects, the between-condition matching rate results were obtained when resting-state FCs are estimated by matching the time-series length to each fMRI task. Results are shown in Figure 7. For this analysis, we fixed the brain parcellation rank to 414, which was the optimal choice in terms of fingerprinting, as shown in Figure 5. For each participant rank across all between-condition settings, we computed matching rates with 100 different samplings of time points for the resting-state time series. In Figure 7A, we display the results of randomly sampling an initial time point and choosing the remaining time points to be consecutive to it. In Figure 7B, we display the results of randomly sampling all time points. When comparing both sampling strategies, randomly sampling all time points is a more robust and effective approach in terms of fingerprinting, as measured by the standard deviation and mean of each box plot.

3.6. Analysis of Misclassified Participants

Tucker decomposition led to a substantial improvement of matching rates for all fMRI conditions when compared to using FCs directly. Figure 8 provides additional evidence of how this is achieved. Figure 8A,B show, for Emotion and resting-state conditions and parcellation granularity of 414, the identifiability matrices obtained from FCs and ST-HOSVD along with the within- and between-participant distributions. When compared to results on FCs, similarities derived from ST-HOSVD tend to be diminished between participants (centered around 0), while remaining nearly the same within participants. In Figure 8C–E, the following cases are shown: in Figure 8C, a participant whose Emotion test and retest FCs are incorrectly matched using both vectorized FCs and ST-HOSVD; in Figure 8D, a participant whose Emotion test and retest FCs are incorrectly matched using vectorized FCs but correctly matched using ST-HOSVD; and in Figure 8E, a participant whose resting-state test and retest FCs are incorrectly matched using vectorized FCs but correctly matched using ST-HOSVD.

4. Discussion

Table 2 shows that under all conditions, Tucker decomposition-based methods (ST-HOSVD and HOOI) consistently achieve the highest matching rates compared to FCs and other data-driven techniques. Both methods significantly outperform PCA and CP, particularly in conditions with fewer time points, such as Emotion and Relational, where FCs, whether used directly or in combination with PCA, under-perform. The results highlight the effectiveness of Tucker decomposition techniques in enhancing fingerprinting accuracy even for fMRI conditions with a short scanning length.
The results presented in Figure 2 provide meaningful insights into the influence of parcellation granularity on fingerprinting accuracy. The observed matching rate plateau at higher granularities indicates that beyond a certain threshold, increasing the parcellation resolution offers diminishing matching rate returns, which could be due to an increase in noise in the overall data of each participant. This is consistent with prior findings by Finn et al. (2015) [7], who showed that measures from FCs estimated with long scan sessions provide meaningful information about individuals even with moderate parcellation granularity. The significantly higher matching rates for resting-state compared to tasks aligns with previous research showing that resting-state data captures more stable and individualized connectivity patterns due to its longer scanning length and more consistent brain-wide activity [9]. However, it has also been shown that when accounting for scanning length, resting-state has a lower fingerprint than tasks [13]. Interestingly, the lower performance observed for Emotion reflects the challenges of identifying individuals from shorter or more transient brain states, where brief tasks led to less reliable fingerprinting. The lack of a strict linear relationship between task length and matching rates across intermediate conditions suggests that certain cognitive tasks elicit more distinct and stable connectivity patterns, regardless of their duration. This nuanced relationship highlights the complexity of functional connectome dynamics, emphasizing the need for both sufficient data length and appropriate parcellation resolution to maximize fingerprinting reliability.
As shown in Figure 3, compressing the brain parcellation information is detrimental to fingerprinting, as the highest matching rates were obtained with a brain parcellation rank of 414. In contrast, compressing the participants specific dimension overall preserves matching rate, as shown by the high matching rates obtained with participant rank as low as 150 for Relational, Gambling, Social, Language, Working Memory, and Resting-State, and have a rank of 300 for Emotion and Motor. The results from this analysis imply that the dimension of the participants information, represented by the participants rank, can be considerably compressed while preserving fingerprints. This indicates that there is some redundancy in inter-participant variability, with not every participant adding new information to the data. However, it is important to emphasize that the compressibility of the participants dimension is likely cohort-size dependent, and must, therefore, be reexamined when dealing with different cohort sizes.
The within-condition results shown in Figure 4A confirm the presence of functional connectome fingerprints and demonstrate that the proposed framework is particularly effective in uncovering them, compared to non-decomposed functional connectomes. Notably, the obtained fingerprinting results were substantially higher than those obtained with FCs, especially for parcellation granularity 214, where fingerprinting performance was notably low (ranging from 37% to 83%). Noting that resting-state achieves matching rates of 100% in Figure 4A, in Figure 4B, a comparison between tasks and resting-state is carried out when the FCs of both are computed with an equal number of time-points. The higher matching rates obtained from Emotion, Relational, and Gambling in comparison to resting-state suggest that, to some degree, the fingerprints derived from resting-state stem from the considerably longer duration of resting-state relative to fMRI tasks.
Unlike during fMRI tasks, participants in the resting-state condition are not engaged with any specific stimulus and, therefore, resting-state FCs encode “baseline” functional couplings among brain regions. Therefore, between-condition analyses allow us to assess the extent to which these couplings—captured by the resting-state brain parcellation factor matrix—can be recovered when participants engage in tasks. Even though extracting fingerprints in this setting is inherently more challenging compared to the within-condition setting, we were able to substantially increase matching rates relative to using original FCs. In Figure 5, it is shown that results are more sensitive to the parcellation and participant ranks, with a clear benefit in setting both to be the maximum value possible in many of the tasks. Furthermore, in Figure 6 it is shown that ST-HOSVD provided an even greater improvement over matching rates relative to FCs compared to the within-condition fingerprints. This supports the rationale that baseline functional couplings exist and can also be effectively uncovered while participants are engaged in a task.
We also explored the effect of reducing the resting-state BOLD time series duration to match the duration of each task. Doing so enables determining whether the entire scanning length is necessary to extract “key features” that facilitate obtaining between-condition fingerprints. From both sampling procedures carried out in this study, it is clear that randomly sampling time points is the superior strategy for fingerprinting. Comparing the results of Figure 7A,B, we see that randomly sampling time points of resting-state scans is not only more effective than sampling them consecutively, but also as effective as constructing resting-state FCs using the full scan length (as shown in Figure 5). This result aligns with the fingerprinting improvements seen when sub-sampling frames of edge-based time-series [46].
The results presented in Figure 8 highlight the effectiveness of the proposed ST-HOSVD-based framework in enhancing FC fingerprinting relative to using FCs directly. Panels A and B illustrate the identifiability matrices and participant similarity distributions for Emotion and resting-state, respectively. The ST-HOSVD framework considerably improves the separation between within-participant and between-participant similarity, as evident by the clearer diagonal structure in the identifiability matrices and the sharper peak of the within-participant similarity distribution. This indicates that the participants factor matrix derived from ST-HOSVD better captures the individual-specific features of FC patterns compared to vectorized FCs. Panels C, D, and E, respectively, display qualitative examples in which the proposed framework fails to correctly match the Emotion FCs of one participant, but succeeds in matching the FCs of participants that cannot be matched using FCs directly. Visually speaking, it is easy to see similarities between the FCs from participants 2 and 3, however the same cannot be said about the FCs from participant 6. While these results demonstrate the improved fingerprinting capability of the ST-HOSVD-based framework, potential limitations exist. Factors such as variations in FC stability across tasks or inter-individual differences in connectivity patterns could influence the framework’s performance. Additionally, differences in cohort size, scanner parameters, or preprocessing pipelines may affect the generalizability of the results, and should be further analyzed in future studies.
Both CP and Tucker decomposition are commonly used tensor decomposition techniques for dimensionality reduction and feature extraction purposes. In the context of fingerprinting, CP falls short due to two key reasons. First, the assumption that the original high-dimensional data can be reconstructed using non-interacting components is too restrictive, as we know that there are innate interactions between brain regions under a functional connectivity standpoint [47]. Second, due to CP decomposition being a single-rank decomposition, we cannot freely explore the dynamics of compressing the different dimensions of the data. Conversely, the Tucker’s core plays a pivotal role in capturing the interactions between components while giving us the flexibility to explore how different levels of compression of the brain parcellation and participants’ information affect fingerprinting, thus overcoming both drawbacks of CP decomposition. However, drawing neuroscientific insights directly from the factor matrices derived from Tucker decomposition of FCs is non-trivial due to the existence of the core tensor [21], which captures several interactions between the components from each factor matrix.
FC fingerprinting, while having the potential to provide valuable insights in clinical and forensic settings, raises significant ethical concerns regarding privacy, bias, and potential misuse. The sensitive nature of neuroimaging data, which can reveal information about an individual’s cognitive state, mental health, or even predispositions to certain conditions, makes it highly vulnerable to privacy breaches. Without proper anonymization, such data could be exploited for unauthorized profiling or discrimination. To safeguard privacy, robust anonymization techniques, such as de-identification and differential privacy, should be implemented. Additionally, data security measures, including encryption during storage and transmission, as well as strict access controls, are essential to prevent unauthorized usage. Bias is another concern, as models trained on non-representative datasets may lead to inaccurate or unfair identifications, particularly in forensic applications. Ensuring diverse, unbiased datasets and regularly auditing algorithms for fairness can help mitigate this risk. Addressing these ethical implications is crucial to prevent the misuse of neuroimaging fingerprinting and protect individual rights.
Our study has limitations. As discussed above in detail, interpreting the factor matrices derived from Tucker decomposition is not straightforward due to the presence of a core tensor that captures complex interactions between all factor matrices [21]. Additionally, the proposed fingerprinting framework does not allow for incremental updates to the core and factor matrices when FCs from new participants are introduced. Rather, the entire Tucker decomposition and fingerprinting framework would need to be recomputed. Our study leads to several avenues for further research. When preprocessing fMRI BOLD data, there is a large number of pipelines, steps, and parameters that can be used, with each specific configuration possibly leading to different FC estimations and ultimately differences in fingerprinting. Further work could assess the specific impact of such decisions (e.g., global signal regression, bandpass filter) on the association between Tucker decomposition and matching rates. Also, while Pearson’s correlation is the most widely used coupling method for fMRI time-series to estimate functional connectivity, other alternatives such as mutual information should be considered in order to assess the impact of different coupling methodologies when using decomposition methods to assess fingerprinting. To improve the interpretability of Tucker decomposition, future work could explore strategies to extract meaningful neuroscientific insights from the core tensor and factor matrices. One promising approach is to impose sparsity constraints on the core tensor using L 0 or L 1 regularization, which could help isolate dominant functional connectivity patterns shared across individuals. Simultaneously, the participant factor matrix would reveal the contribution of each underlying pattern to an individual’s FC, thereby enhancing interpretability. Another possible path for deriving neuroscientific insights is to perform post-hoc statistical analyses by correlating the components from the factor matrices with cognitive or behavioral measures. Doing so would help bridge the gap between Tucker-based decompositions methods and neuroscientific interpretation, allowing for a better understanding of how extracted patterns relate to individual differences in cognition, behavior, or clinical state.

5. Conclusions

In this work, a mathematical framework based on Tucker decomposition is presented for functional connectome fingerprinting. The ability to project high-dimensional functional connectivity data to lower dimensional spaces enables separately extracting cohort-level functional patterns, encoded by the brain parcellation factor matrix, and participant-specific patterns, contained in the participants factor matrix. Through within- and between-condition analyses, it is shown that the participant factor matrix serves, to a great extent, as a fingerprint of the participants. This is supported by the obtained matching rates ranging from 90 to 100% in the within-condition setting, which are consistently higher than those obtained from FCs directly or PCA, and 76 to 92% in the between-condition setting for the intermediate parcellation granularity of 414. Furthermore, the results from this study suggest that fingerprinting of rest vs task is highly dependent on scanning length (see Figure 4B). For up to 275 TPs (3 min 18 s), resting-state FCs had a smaller matching rate than their corresponding tasks FCs (Emotion, Relational, Gambling, Social). Beyond 275 TPs, resting-state FCs showed a higher matching rate than their corresponding task FCs (Motor, Language, Working Memory). Overall, tensor-based methods demonstrate a high potential to uncover functional connectivity fingerprints. Our work has implications in understanding how data-driven decomposition methods enable us to assess fingerprinting with respect to: (i) brain parcellation granularity from coarse grain (114) to fine grain parcellations (914); (ii) dimensionality reduction for brain parcellation rank and for participants rank; (iii) scanning length of the fMRI condition; (iv) between and within fMRI condition.

Author Contributions

Conceptualization, V.C., A.M.E.G. and J.G.; methodology, V.C., M.L., J.H., A.M.E.G. and J.G.; formal analysis, V.C., A.M.E.G. and J.G.; investigation, V.C., M.L., J.H., A.M.E.G. and J.G.; data curation, V.C. and M.L.; writing—original draft preparation, V.C., A.M.E.G. and J.G.; writing—review and editing, V.C., M.L., J.H., A.M.E.G. and J.G.; supervision, A.M.E.G. and J.G.; funding acquisition J.H. and J.G. All authors have read and agreed to the published version of the manuscript.

Funding

This research was funded by National Institutes of Health (US), Award ID: CTSI CTR EPAR2169 (J.G). National Institutes of Health (US) R01 AA029607 (J.G), National Institutes of Health (US), Award ID: P60AA07611 (J.H and J.G), National Institutes of Health (US), Award ID: R01NS112303 (J.H and J.G).

Institutional Review Board Statement

Not applicable.

Informed Consent Statement

Not applicable.

Data Availability Statement

Upon acceptance of this manuscript, Matlab code to perform Tucker Decomposition and subsequent fingerprinting analyses will be available at the CONNplexity Lab website at the Publications section: https://engineering.purdue.edu/ConnplexityLab/publications (accessed on 12 February 2025).

Acknowledgments

Data were provided by the Human Connectome Project, WU-Minn Consortium (Principal Investigators: David Van Essen and Kamil Ugurbil; 1U54MH091657) funded by the 16 NIH Institutes and Centers that support the NIH Blueprint for Neuroscience Research; and by the McDonnell Center for Systems Neuroscience at Washington University.

Conflicts of Interest

The authors declare no conflicts of interest.

Abbreviations

The following abbreviations are used in this manuscript:
fMRIFunctional Magnetic Resonance Imaging
BOLDBlood-Oxygen-Level-Dependent
FCFunctional Connectome
PCAPrincipal Component Analysis
CP decompositionCANDECOMP/PARAFAC decomposition
ST-HOSVDSequentially Truncated Higher-Order Singular Value Decomposition
HOSVDHigher-Order Singular Value Decomposition
HOOIHigher-Order Orthogonal Iteration
TPsTime points
PGParcellation granularity

References

  1. Behrens, T.E.; Sporns, O. Human connectomics. Curr. Opin. Neurobiol. 2012, 22, 144–153. [Google Scholar] [CrossRef] [PubMed]
  2. Yao, G.; Wei, L.; Jiang, T.; Dong, H.; Baeken, C.; Wu, G.R. Neural mechanisms underlying empathy during alcohol abstinence: Evidence from connectome-based predictive modeling. Brain Imaging Behav. 2022, 16, 2477–2486. [Google Scholar] [CrossRef] [PubMed]
  3. Fornito, A.; Zalesky, A.; Breakspear, M. The connectomics of brain disorders. Nat. Rev. Neurosci. 2015, 16, 159–172. [Google Scholar] [CrossRef] [PubMed]
  4. Satterthwaite, T.D.; Xia, C.H.; Bassett, D.S. Personalized neuroscience: Common and individual-specific features in functional brain networks. Neuron 2018, 98, 243–245. [Google Scholar] [CrossRef]
  5. Gratton, C.; Laumann, T.O.; Nielsen, A.N.; Greene, D.J.; Gordon, E.M.; Gilmore, A.W.; Nelson, S.M.; Coalson, R.S.; Snyder, A.Z.; Schlaggar, B.L.; et al. Functional brain networks are dominated by stable group and individual factors, not cognitive or daily variation. Neuron 2018, 98, 439–452. [Google Scholar] [CrossRef]
  6. Seitzman, B.A.; Gratton, C.; Laumann, T.O.; Gordon, E.M.; Adeyemo, B.; Dworetsky, A.; Kraus, B.T.; Gilmore, A.W.; Berg, J.J.; Ortega, M.; et al. Trait-like variants in human functional brain networks. Proc. Natl. Acad. Sci. USA 2019, 116, 22851–22861. [Google Scholar] [CrossRef]
  7. Finn, E.S.; Shen, X.; Scheinost, D.; Rosenberg, M.D.; Huang, J.; Chun, M.M.; Papademetris, X.; Constable, R.T. Functional connectome fingerprinting: Identifying individuals using patterns of brain connectivity. Nat. Neurosci. 2015, 18, 1664–1671. [Google Scholar] [CrossRef]
  8. Fraschini, M.; Hillebrand, A.; Demuru, M.; Didaci, L.; Marcialis, G.L. An EEG-based biometric system using eigenvector centrality in resting state brain networks. IEEE Signal Process. Lett. 2014, 22, 666–670. [Google Scholar] [CrossRef]
  9. Amico, E.; Goñi, J. The quest for identifiability in human functional connectomes. Sci. Rep. 2018, 8, 8254. [Google Scholar] [CrossRef]
  10. Abbas, K.; Amico, E.; Svaldi, D.O.; Tipnis, U.; Duong-Tran, D.A.; Liu, M.; Rajapandian, M.; Harezlak, J.; Ances, B.M.; Goñi, J. GEFF: Graph embedding for functional fingerprinting. NeuroImage 2020, 221, 117181. [Google Scholar] [CrossRef]
  11. Cai, B.; Zhang, G.; Hu, W.; Zhang, A.; Zille, P.; Zhang, Y.; Stephen, J.M.; Wilson, T.W.; Calhoun, V.D.; Wang, Y.P. Refined measure of functional connectomes for improved identifiability and prediction. Hum. Brain Mapp. 2019, 40, 4843–4858. [Google Scholar] [CrossRef] [PubMed]
  12. Abbas, K.; Liu, M.; Venkatesh, M.; Amico, E.; Kaplan, A.D.; Ventresca, M.; Pessoa, L.; Harezlak, J.; Goñi, J. Geodesic distance on optimally regularized functional connectomes uncovers individual fingerprints. Brain Connect. 2021, 11, 333–348. [Google Scholar] [CrossRef] [PubMed]
  13. Abbas, K.; Liu, M.; Wang, M.; Duong-Tran, D.; Tipnis, U.; Amico, E.; Kaplan, A.D.; Dzemidzic, M.; Kareken, D.; Ances, B.M.; et al. Tangent functional connectomes uncover more unique phenotypic traits. iScience 2023, 26, 107624. [Google Scholar] [CrossRef]
  14. Venkatesh, M.; Jaja, J.; Pessoa, L. Comparing functional connectivity matrices: A geometry-aware approach applied to participant identification. NeuroImage 2020, 207, 116398. [Google Scholar] [CrossRef]
  15. Ng, B.; Dressler, M.; Varoquaux, G.; Poline, J.B.; Greicius, M.; Thirion, B. Transport on Riemannian manifold for functional connectivity-based classification. In Proceedings of the Medical Image Computing and Computer-Assisted Intervention–MICCAI 2014: 17th International Conference, Boston, MA, USA, 14–18 September 2014; Proceedings; Part II 17. Springer: Berlin/Heidelberg, Germany, 2014; pp. 405–412. [Google Scholar]
  16. Pervaiz, U.; Vidaurre, D.; Woolrich, M.W.; Smith, S.M. Optimising network modelling methods for fMRI. Neuroimage 2020, 211, 116604. [Google Scholar] [CrossRef] [PubMed]
  17. Dadi, K.; Rahim, M.; Abraham, A.; Chyzhyk, D.; Milham, M.; Thirion, B.; Varoquaux, G.; Initiative, A.D.N.; Alzheimer’s Disease Neuroimaging Initiative. Benchmarking functional connectome-based predictive models for resting-state fMRI. NeuroImage 2019, 192, 115–134. [Google Scholar] [CrossRef]
  18. Kolda, T.G.; Bader, B.W. Tensor Decompositions and Applications. SIAM Rev. 2009, 51, 455–500. [Google Scholar] [CrossRef]
  19. Mahyari, A.G.; Zoltowski, D.M.; Bernat, E.M.; Aviyente, S. A tensor decomposition-based approach for detecting dynamic network states from EEG. IEEE Trans. Biomed. Eng. 2016, 64, 225–237. [Google Scholar] [CrossRef]
  20. Williams, A.H.; Kim, T.H.; Wang, F.; Vyas, S.; Ryu, S.I.; Shenoy, K.V.; Schnitzer, M.; Kolda, T.G.; Ganguli, S. Unsupervised discovery of demixed, low-dimensional neural dynamics across multiple timescales through tensor component analysis. Neuron 2018, 98, 1099–1115. [Google Scholar] [CrossRef]
  21. Mokhtari, F.; Laurienti, P.J.; Rejeski, W.J.; Ballard, G. Dynamic functional magnetic resonance imaging connectivity tensor decomposition: A new approach to analyze and interpret dynamic brain connectivity. Brain Connect. 2019, 9, 95–112. [Google Scholar] [CrossRef]
  22. Zhang, Z.; Allen, G.I.; Zhu, H.; Dunson, D. Tensor network factorizations: Relationships between brain structural connectomes and traits. Neuroimage 2019, 197, 330–343. [Google Scholar] [CrossRef] [PubMed]
  23. Tucker, L.R. Some mathematical notes on three-mode factor analysis. Psychometrika 1966, 31, 279–311. [Google Scholar] [CrossRef] [PubMed]
  24. Chiêm, B.; Abbas, K.; Amico, E.; Duong-Tran, D.A.; Crevecoeur, F.; Goñi, J. Improving Functional Connectome Fingerprinting with Degree-Normalization. Brain Connect. 2022, 12, 180–192. [Google Scholar] [CrossRef]
  25. Van Essen, D.C.; Smith, S.M.; Barch, D.M.; Behrens, T.E.; Yacoub, E.; Ugurbil, K.; Wu-Minn HCP Consortium. The WU-Minn human connectome project: An overview. Neuroimage 2013, 80, 62–79. [Google Scholar] [CrossRef]
  26. Glasser, M.F.; Sotiropoulos, S.N.; Wilson, J.A.; Coalson, T.S.; Fischl, B.; Andersson, J.L.; Xu, J.; Jbabdi, S.; Webster, M.; Polimeni, J.R.; et al. The minimal preprocessing pipelines for the Human Connectome Project. Neuroimage 2013, 80, 105–124. [Google Scholar] [CrossRef] [PubMed]
  27. He, T.; Kong, R.; Holmes, A.J.; Nguyen, M.; Sabuncu, M.R.; Eickhoff, S.B.; Bzdok, D.; Feng, J.; Yeo, B.T. Deep neural networks and kernel regression achieve comparable accuracies for functional connectivity prediction of behavior and demographics. NeuroImage 2020, 206, 116276. [Google Scholar] [CrossRef]
  28. Bijsterbosch, J.D.; Woolrich, M.W.; Glasser, M.F.; Robinson, E.C.; Beckmann, C.F.; Van Essen, D.C.; Harrison, S.J.; Smith, S.M. The relationship between spatial configuration and functional connectivity of brain regions. eLife 2018, 7, e32992. [Google Scholar] [CrossRef]
  29. Tavor, I.; Jones, O.P.; Mars, R.B.; Smith, S.; Behrens, T.; Jbabdi, S. Task-free MRI predicts individual differences in brain activity during task performance. Science 2016, 352, 216–220. [Google Scholar] [CrossRef]
  30. Schaefer, A.; Kong, R.; Gordon, E.M.; Laumann, T.O.; Zuo, X.N.; Holmes, A.J.; Eickhoff, S.B.; Yeo, B.T. Local-global parcellation of the human cerebral cortex from intrinsic functional connectivity MRI. Cereb. Cortex 2018, 28, 3095–3114. [Google Scholar] [CrossRef]
  31. Power, J.D.; Mitra, A.; Laumann, T.O.; Snyder, A.Z.; Schlaggar, B.L.; Petersen, S.E. Methods to detect, characterize, and remove motion artifact in resting state fMRI. Neuroimage 2014, 84, 320–341. [Google Scholar] [CrossRef]
  32. Smith, S.M.; Beckmann, C.F.; Andersson, J.; Auerbach, E.J.; Bijsterbosch, J.; Douaud, G.; Duff, E.; Feinberg, D.A.; Griffanti, L.; Harms, M.P.; et al. Resting-state fMRI in the human connectome project. Neuroimage 2013, 80, 144–168. [Google Scholar] [CrossRef] [PubMed]
  33. Amico, E.; Arenas, A.; Goñi, J. Centralized and distributed cognitive task processing in the human connectome. Netw. Neurosci. 2019, 3, 455–474. [Google Scholar] [CrossRef] [PubMed]
  34. Cole, M.W.; Bassett, D.S.; Power, J.D.; Braver, T.S.; Petersen, S.E. Intrinsic and task-evoked network architectures of the human brain. Neuron 2014, 83, 238–251. [Google Scholar] [CrossRef] [PubMed]
  35. Sidiropoulos, N.D.; De Lathauwer, L.; Fu, X.; Huang, K.; Papalexakis, E.E.; Faloutsos, C. Tensor decomposition for signal processing and machine learning. IEEE Trans. Signal Process. 2017, 65, 3551–3582. [Google Scholar] [CrossRef]
  36. Cong, F.; Lin, Q.H.; Kuang, L.D.; Gong, X.F.; Astikainen, P.; Ristaniemi, T. Tensor decomposition of EEG signals: A brief review. J. Neurosci. Methods 2015, 248, 59–69. [Google Scholar] [CrossRef]
  37. Martınez-Montes, E.; Valdés-Sosa, P.A.; Miwakeichi, F.; Goldman, R.I.; Cohen, M.S. Concurrent EEG/fMRI analysis by multiway partial least squares. NeuroImage 2004, 22, 1023–1034. [Google Scholar] [CrossRef]
  38. Carroll, J.D.; Chang, J.J. Analysis of individual differences in multidimensional scaling via an N-way generalization of “Eckart-Young” decomposition. Psychometrika 1970, 35, 283–319. [Google Scholar] [CrossRef]
  39. Harshman, R.A. Foundations of the PARAFAC Procedure: Models and Conditions for an “Explanatory” Multimodal Factor Analysis; University Microfilms: Ann Arbor, MI, USA, 1970. [Google Scholar]
  40. Li, X.; Xu, D.; Zhou, H.; Li, L. Tucker tensor regression and neuroimaging analysis. Stat. Biosci. 2018, 10, 520–545. [Google Scholar] [CrossRef]
  41. De Lathauwer, L.; De Moor, B.; Vandewalle, J. A multilinear singular value decomposition. SIAM J. Matrix Anal. Appl. 2000, 21, 1253–1278. [Google Scholar] [CrossRef]
  42. Vannieuwenhoven, N.; Vandebril, R.; Meerbergen, K. A new truncation strategy for the higher-order singular value decomposition. SIAM J. Sci. Comput. 2012, 34, A1027–A1052. [Google Scholar] [CrossRef]
  43. De Lathauwer, L.; De Moor, B.; Vandewalle, J. On the best rank-1 and rank-(r 1, r 2,…, rn) approximation of higher-order tensors. SIAM J. Matrix Anal. Appl. 2000, 21, 1324–1342. [Google Scholar] [CrossRef]
  44. Kroonenberg, P.M.; De Leeuw, J. Principal component analysis of three-mode data by means of alternating least squares algorithms. Psychometrika 1980, 45, 69–97. [Google Scholar] [CrossRef]
  45. Penrose, R. A generalized inverse for matrices. In Mathematical Proceedings of the Cambridge Philosophical Society; Cambridge University Press: Cambridge, UK, 1955; Volume 51, pp. 406–413. [Google Scholar]
  46. Cutts, S.A.; Faskowitz, J.; Betzel, R.F.; Sporns, O. Uncovering individual differences in fine-scale dynamics of functional connectivity. Cereb. Cortex 2023, 33, 2375–2394. [Google Scholar] [CrossRef] [PubMed]
  47. Fox, M.D.; Snyder, A.Z.; Vincent, J.L.; Corbetta, M.; Van Essen, D.C.; Raichle, M.E. The human brain is intrinsically organized into dynamic, anticorrelated functional networks. Proc. Natl. Acad. Sci. USA 2005, 102, 9673–9678. [Google Scholar] [CrossRef]
Figure 1. Graphic representation of the participant identifiability framework. For an input tensor X consisting of FCs from one imaging session, we compute its Tucker decomposition to obtain a core tensor G , two identical brain parcellation factor matrices B, and a participants’ factor matrix P . Fixing G and B factor matrices, we estimate the participant’s factor matrix Q for the FCs from another imaging session Y . We then obtain an identifiability matrix I by computing row-wise Pearson’s correlation between P and Q , and obtain a matching rate score through I .
Figure 1. Graphic representation of the participant identifiability framework. For an input tensor X consisting of FCs from one imaging session, we compute its Tucker decomposition to obtain a core tensor G , two identical brain parcellation factor matrices B, and a participants’ factor matrix P . Fixing G and B factor matrices, we estimate the participant’s factor matrix Q for the FCs from another imaging session Y . We then obtain an identifiability matrix I by computing row-wise Pearson’s correlation between P and Q , and obtain a matching rate score through I .
Applsci 15 04821 g001
Figure 2. Fingerprinting gradient as measured by matching rate for all fMRI conditions. For each parcellation granularity, the brain parcellation rank and participant rank were set to their maximum value.
Figure 2. Fingerprinting gradient as measured by matching rate for all fMRI conditions. For each parcellation granularity, the brain parcellation rank and participant rank were set to their maximum value.
Applsci 15 04821 g002
Figure 3. Brain parcellation rank and participant rank effects on matching rate for all eight fMRI conditions, ordered by scan length (represented by the number of time points or “TPs” in their time series) for granularity of Schaefer parcellation 414. For each condition, the fingerprinting framework is applied in both test→retest and retest→test directions. Each curve illustrates the average matching rate computed across both settings at each combination of brain parcellation ranks and participant ranks.
Figure 3. Brain parcellation rank and participant rank effects on matching rate for all eight fMRI conditions, ordered by scan length (represented by the number of time points or “TPs” in their time series) for granularity of Schaefer parcellation 414. For each condition, the fingerprinting framework is applied in both test→retest and retest→test directions. Each curve illustrates the average matching rate computed across both settings at each combination of brain parcellation ranks and participant ranks.
Applsci 15 04821 g003
Figure 4. (A). Within-condition fingerprinting comparisons between highest matching rates obtained with ST-HOSVD and FCs directly for all fMRI conditions and parcellation granularities 214, 414, and 814. (B). Within-condition comparisons between highest matching rates obtained when resting-state FCs are estimated with time series of length equal to those of fMRI tasks. Specifically, the middle time points from resting-state time series are chosen to compute FCs. For example, when resting-state is shortened to match the scanning length of Emotion, resting-state FCs were computed with time points 1190 2 166 2 : 1190 2 + 166 2 .
Figure 4. (A). Within-condition fingerprinting comparisons between highest matching rates obtained with ST-HOSVD and FCs directly for all fMRI conditions and parcellation granularities 214, 414, and 814. (B). Within-condition comparisons between highest matching rates obtained when resting-state FCs are estimated with time series of length equal to those of fMRI tasks. Specifically, the middle time points from resting-state time series are chosen to compute FCs. For example, when resting-state is shortened to match the scanning length of Emotion, resting-state FCs were computed with time points 1190 2 166 2 : 1190 2 + 166 2 .
Applsci 15 04821 g004
Figure 5. Parcellation rank and participant rank effects on between-condition matching rate for granularity of Schaefer parcellation 414. The fingerprinting framework was carried out by computing the ST-HOSVD of a tensor consisting of concatenated resting-state retest FCs (estimated using the entire scanning length of resting-state BOLD time series) from all participants. The obtained core tensor and brain parcellation factor matrix were then used to estimate the participants’ factor matrix of a tensor consisting of concatenated test FCs of fMRI tasks. A similar trend is observed in all plots, with parcellation ranks of 100 and 200 being insufficient to uncover fingerprints, while the small increase in parcellation rank from 400 to 414 results in a substantial improvement in matching rates.
Figure 5. Parcellation rank and participant rank effects on between-condition matching rate for granularity of Schaefer parcellation 414. The fingerprinting framework was carried out by computing the ST-HOSVD of a tensor consisting of concatenated resting-state retest FCs (estimated using the entire scanning length of resting-state BOLD time series) from all participants. The obtained core tensor and brain parcellation factor matrix were then used to estimate the participants’ factor matrix of a tensor consisting of concatenated test FCs of fMRI tasks. A similar trend is observed in all plots, with parcellation ranks of 100 and 200 being insufficient to uncover fingerprints, while the small increase in parcellation rank from 400 to 414 results in a substantial improvement in matching rates.
Applsci 15 04821 g005
Figure 6. Between-condition comparison between highest matching rate obtained with the ST-HOSVD based fingerprinting framework and original FC matrices for parcellation granularity of 414. Despite being the shortest task and the one with worse within-condition fingerprints, Emotion displays one of the highest between-condition fingerprints. Contrarily, Working Memory possesses one of the highest fingerprints in the within-condition setting, but one of the lowest in the between-condition setting.
Figure 6. Between-condition comparison between highest matching rate obtained with the ST-HOSVD based fingerprinting framework and original FC matrices for parcellation granularity of 414. Despite being the shortest task and the one with worse within-condition fingerprints, Emotion displays one of the highest between-condition fingerprints. Contrarily, Working Memory possesses one of the highest fingerprints in the within-condition setting, but one of the lowest in the between-condition setting.
Applsci 15 04821 g006
Figure 7. Between-condition matching rates obtained via ST-HOSVD when resting-state FCs are estimated using time series of equal length to those of each fMRI task for parcellation granularity of 414. The brain parcellation rank was set to 414, and 100 random sampling trials were conducted to select the time points used to estimate resting-state FCs for each participant rank. (A). Rest (retest)–task (test) matching rate results when, starting with a randomly sampled time point, consecutive time points are used to construct resting-state FCs. In this scenario, matching rates grow at an approximately linear rate with participant rank. (B). Matching rates when randomly sampled time points are used to construct resting-state FCs. Here, matching rates exhibit a bounded exponential pattern, reaching a plateau at a participant rank of 350.
Figure 7. Between-condition matching rates obtained via ST-HOSVD when resting-state FCs are estimated using time series of equal length to those of each fMRI task for parcellation granularity of 414. The brain parcellation rank was set to 414, and 100 random sampling trials were conducted to select the time points used to estimate resting-state FCs for each participant rank. (A). Rest (retest)–task (test) matching rate results when, starting with a randomly sampled time point, consecutive time points are used to construct resting-state FCs. In this scenario, matching rates grow at an approximately linear rate with participant rank. (B). Matching rates when randomly sampled time points are used to construct resting-state FCs. Here, matching rates exhibit a bounded exponential pattern, reaching a plateau at a participant rank of 350.
Applsci 15 04821 g007
Figure 8. Comparison between tasks that possess the lowest (Emotion) and highest (Resting-state) within-condition fingerprints for parcellation granularity of 414. (A). From left-to-right: first 50 × 50 block of the 426 × 426 identifiability matrix derived from vectorized FCs, first 50 × 50 block of the 426 × 426 identifiability matrix derived from the proposed fingerprinting framework based on ST-HOSVD, distribution of within-participant (main diagonal entries) and between-participant (off-diagonal entries) sessions of the FCs identifiability matrix, distribution of within-participant and between-participant sessions of the ST-HOSVD identifiability matrix. (B). Analogous resting-state identifiability matrices and distributions. (C). Participant whose Emotion test and retest FCs are incorrectly matched when computing the identifiability matrix via vectorized FCs and ST-HOSVD. (D,E). Participants whose Emotion and resting-state FCs are incorrectly matched when computing the identifiability matrix using vectorized FCs but correctly matched when computing the identifiability matrix via ST-HOSVD.
Figure 8. Comparison between tasks that possess the lowest (Emotion) and highest (Resting-state) within-condition fingerprints for parcellation granularity of 414. (A). From left-to-right: first 50 × 50 block of the 426 × 426 identifiability matrix derived from vectorized FCs, first 50 × 50 block of the 426 × 426 identifiability matrix derived from the proposed fingerprinting framework based on ST-HOSVD, distribution of within-participant (main diagonal entries) and between-participant (off-diagonal entries) sessions of the FCs identifiability matrix, distribution of within-participant and between-participant sessions of the ST-HOSVD identifiability matrix. (B). Analogous resting-state identifiability matrices and distributions. (C). Participant whose Emotion test and retest FCs are incorrectly matched when computing the identifiability matrix via vectorized FCs and ST-HOSVD. (D,E). Participants whose Emotion and resting-state FCs are incorrectly matched when computing the identifiability matrix using vectorized FCs but correctly matched when computing the identifiability matrix via ST-HOSVD.
Applsci 15 04821 g008
Table 1. Demographic information of the 426 unrelated participants from HCP’s Young Adult Dataset.
Table 1. Demographic information of the 426 unrelated participants from HCP’s Young Adult Dataset.
Demographic Information (n = 426, 203 Males)Mean (SD)Range
Age28.67 (3.78)22–36
Years of Education14.99 (1.77)11–17
Table 2. Matching rate comparison between (baseline) FCs and distinct dimensionality reduction methods for parcellation granularity of 414. Bold values highlight the highest matching rates among all techniques for each fMRI condition, which are presented in ascending order of scanning length (“TPs” represent the number of time points in the time series of each condition).
Table 2. Matching rate comparison between (baseline) FCs and distinct dimensionality reduction methods for parcellation granularity of 414. Bold values highlight the highest matching rates among all techniques for each fMRI condition, which are presented in ascending order of scanning length (“TPs” represent the number of time points in the time series of each condition).
fMRI ConditionsFCsPCACPST-HOSVDHOOI
Emotion (166 TPs)0.570.630.640.900.90
Relational (222 TPs)0.790.840.900.990.99
Gambling (243 TPs)0.840.860.930.980.98
Social (264 TPs)0.880.880.920.970.97
Motor (274 TPs)0.820.820.750.960.96
Language (306 TPs)0.910.900.920.980.98
Working Memory (395 TPs)0.860.840.920.970.97
Resting-state (1190 TPs)0.920.970.991.001.00
Table 3. Comparison between the worst runtimes of different dimensionality reduction methods. For each parcellation granularity P G , a tensor of dimension P G × P G × 426 was decomposed by CP Decomposition, ST-HOSVD, and HOOI. Equivalently, PCA was applied to a matrix of dimension P G 2 × 852 , where the rows consist of vectorized upper triangular FCs, and the columns correspond to the participants’ test and retest sessions. Bold values indicate the shortest runtime across methods.
Table 3. Comparison between the worst runtimes of different dimensionality reduction methods. For each parcellation granularity P G , a tensor of dimension P G × P G × 426 was decomposed by CP Decomposition, ST-HOSVD, and HOOI. Equivalently, PCA was applied to a matrix of dimension P G 2 × 852 , where the rows consist of vectorized upper triangular FCs, and the columns correspond to the participants’ test and retest sessions. Bold values indicate the shortest runtime across methods.
MethodRuntime (Seconds) per Parcellation Granularity
114 214 314 414 514 614 714 814 914
PCA 0 . 38 0.851.933.746.26 8 . 75 12 . 45 21.23 24 . 71
CP Decomposition2.1512.8845.82108.23158.75222.00288.06378.45465.32
ST-HOSVD 0 . 38 0 . 73 1 . 58 3 . 20 5 . 15 8.7813.24 19 . 55 27.62
HOOI0.871.763.816.4111.7018.0326.5136.2072.07
Disclaimer/Publisher’s Note: The statements, opinions and data contained in all publications are solely those of the individual author(s) and contributor(s) and not of MDPI and/or the editor(s). MDPI and/or the editor(s) disclaim responsibility for any injury to people or property resulting from any ideas, methods, instructions or products referred to in the content.

Share and Cite

MDPI and ACS Style

Carvalho, V.; Liu, M.; Harezlak, J.; Estrada Gómez, A.M.; Goñi, J. Functional Connectome Fingerprinting Through Tucker Tensor Decomposition. Appl. Sci. 2025, 15, 4821. https://doi.org/10.3390/app15094821

AMA Style

Carvalho V, Liu M, Harezlak J, Estrada Gómez AM, Goñi J. Functional Connectome Fingerprinting Through Tucker Tensor Decomposition. Applied Sciences. 2025; 15(9):4821. https://doi.org/10.3390/app15094821

Chicago/Turabian Style

Carvalho, Vitor, Mintao Liu, Jaroslaw Harezlak, Ana María Estrada Gómez, and Joaquín Goñi. 2025. "Functional Connectome Fingerprinting Through Tucker Tensor Decomposition" Applied Sciences 15, no. 9: 4821. https://doi.org/10.3390/app15094821

APA Style

Carvalho, V., Liu, M., Harezlak, J., Estrada Gómez, A. M., & Goñi, J. (2025). Functional Connectome Fingerprinting Through Tucker Tensor Decomposition. Applied Sciences, 15(9), 4821. https://doi.org/10.3390/app15094821

Note that from the first issue of 2016, this journal uses article numbers instead of page numbers. See further details here.

Article Metrics

Back to TopTop