Next Article in Journal
The Effectiveness of Story- and Quiz-Based Games in Digital Interventions for ADHD: A Comparative Approach
Previous Article in Journal
Computational Prediction of Ginsenosides Targeting ADGRG3/GPR97 in Cancer and Immune Pathways: A Multi-Faceted In Silico Approach
 
 
Font Type:
Arial Georgia Verdana
Font Size:
Aa Aa Aa
Line Spacing:
Column Width:
Background:
Article

Numerical Method for Aeroelastic Simulation of Flexible Aircraft in High Maneuver Flight Based on Rigid–Flexible Model

Key Laboratory of Unsteady Aerodynamics and Flow Control, Ministry of Industry and Information Technology, Nanjing University of Aeronautics and Astronautics, Nanjing 210016, China
*
Author to whom correspondence should be addressed.
Appl. Sci. 2025, 15(8), 4333; https://doi.org/10.3390/app15084333
Submission received: 20 February 2025 / Revised: 3 April 2025 / Accepted: 9 April 2025 / Published: 14 April 2025

Abstract

Traditional elastic correction methods fail to address the significant aeroelastic interactions arising from unsteady flow fields and structural deformations during aggressive maneuvers. To resolve this, a numerical method is developed by solving unsteady aerodynamic equations coupled with a rigid–flexible dynamics equations derived from Lagrangian mechanics in quasi-coordinates. Validation via a flexible pendulum test and AGARD445.6 wing flutter simulations demonstrates excellent agreement with experimental data, confirming the method’s accuracy. Application to a slender air-to-air missile reveals that reducing structural stiffness can destabilize the aircraft, transitioning it from stable to unstable states during forced pitching motions. Studies on longitudinal flight under preset rudder deflection control indicate that the aeroelastic effect increases both the amplitude and period of pitch angles, ultimately resulting in larger equilibrium angles compared to a rigid-body model. The free-flight simulations highlight trajectory deviations due to deformation-induced aerodynamic forces, which emphasizes the necessity of multidisciplinary coupling analysis. The numerical results show that the proposed CFD/CSD-based coupling methodology offers a robust aeroelastic effect analysis tool for flexible flight vehicles during aggressive maneuvers.

1. Introduction

Faster flight speed, larger aerodynamic load, and higher maneuverability and agility are the design concepts generally pursued by modern aircraft, especially military aircraft, which leads to lighter weight and greater flexibility of aircraft; thus, the aeroelastic effect caused by such structural characteristics cannot be ignored [1]. For the study of the aeroelasticity of aircraft, although the results obtained by wind tunnel experiments are accurate [2], their high cost is difficult to meet with the current design requirements; therefore, in order to balance efficiency and cost, numerical analysis methods based on computational fluid dynamics (CFD) and computational structural mechanics (CSD) have become current research hotspots.
Traditionally, analysis of the aeroelastic characteristics of aircraft was carried out under two separate disciplines: flight mechanics and aeroelastic mechanics. However, with the continuous upgrading of modern aircraft, the elastic mode frequency of an aircraft is more likely to overlap with the frequency range of its rigid mode, which means that the coupling effect between the rigid body motion and the low-order elastic vibration of the aircraft is more prominent; therefore, the traditional flight dynamics research method based on elastic correction can no longer meet the requirements; meanwhile, the results obtained are inaccurate if the rigid body motion of the aircraft is ignored in the study of aeroelasticity [3,4]. Therefore, it is necessary to establish a rigid–flexible coupling model to analyze the flight dynamics of elastic aircraft.
Many researchers have performed relevant research by modeling of the flight dynamics of elastic aircraft. Buttrill [5] and Waszak [6], respectively, used the Lagrangian equation to derive the flight dynamics model under the assumption of the mean axis. The Waszak model is formally similar to the traditional rigid body dynamics model, and the elastic and rigid degrees of freedom are decoupled; the coupling between the two is achieved by aerodynamic loads. The Buttrill model is more complex, in which the translational degrees of freedom take the same form as in the Waszak model, but there is a coupling between rotational and elastic deformation, and the change in the inertial tensor due to the deformation of the aircraft structure is also considered. The quasi-coordinate is fixed at the aircraft and its coordinate origin is located on the aircraft in an undeform state, which can be located on the center of mass or placed in other positions. Meirovitch [7] was the first to derive an equation for coupling rigid rotation and elastic deformation, in which the elastic deformation is described in a quasi-coordinate system, while the translation and rotation of the aircraft are described in terms of the position and attitude angle of the quasi-coordinate system in an inertial coordinate system. Although the mean axis method can greatly simplify the equation of motion of the aircraft and is easier to solve, this simplification is difficult to meet in calculation and requires a great cost; on other hand, the quasi-coordinate system can well describe the cross-coupling relationship between rigid and elastic degrees of freedom, so it has been favored by many researchers [8,9,10]. Based on this characteristic, this paper adopts the quasi-coordinate system method for aircraft dynamic modeling. Many other researchers have also studied the modeling of flexible aircraft. Zhao [11] established a rigid body structure with flexible attachments as a rigid body–cantilever beam coupling model. Wang [12] studied a rigid–flexible coupling dynamic model of a new spacecraft system, and the effectiveness of the dynamic model was verified by comparing it with the results of ADAMS. Preisighe Viana [13] addresses the issue of load sources generated by the interaction between aircraft structures, flight maneuvers, and airflow fields, exploring how to establish mathematical models through simplified methods. The research holds significant practical application value and has garnered widespread attention.
After establishing the dynamic model of the aircraft, it is necessary to select appropriate methods for calculating aerodynamic forces. Over the past decade, the development of computer technology has made it possible to solve unsteady flow fields and multidisciplinary coupled simulations based on CFD methods. The CFD method offers high accuracy and good efficiency. Salas [14] tried to obtain the static and dynamic aerodynamic characteristics of an aircraft under different flow parameters through the CFD method and established an aerodynamic model to simulate the flight mechanics problem. Blades [15] studied the aero-elastic effect of the rotating missile by coupling CFD/CSD. The SikMa project team of DLR [16] simulated the X-31 free roll maneuver and angle of attack using the flow field solver FLOWer and TAU, coupled with flight dynamics software and structural finite element software. Ye [17] established a CFD/CSD coupling method based on the high precision in-house solver, and the reliability of the CFD and the CFD/CSD coupling method was verified. Guo [18] proposed an accurate flutter prediction method based on computational fluid dynamics/computational structural dynamics, and the flutter characteristics of the computational model are in good agreement with the experimental results. Wang [19] studied the aeroelastic effect in the ballistic simulation of a large-slenderness-ratio rotating missile, and the results show that the aeroelastic effect will reduce the range of the missile and the landing accuracy.
The preceding paragraphs discuss the necessity of establishing a multidisciplinary coupled analysis method for elastic aircraft, introduce the dynamic modeling methods and aerodynamic force calculation approaches, and ultimately form a multidisciplinary analytical methodology that couples aerodynamics, structural dynamics, and flight mechanics. Through the systematic coupling of these disciplinary domains the flight dynamics of large and slender ratio missile aircraft can be studied to simulate and present the flight state of elastic aircraft as realistically as possible.
The structure of this paper is as follows. Section 2 details the flight dynamics model of aircraft and introduces an unsteady CFD solver, a mesh deformation strategy, and a simulation flowchart based on a rigid–flexible coupling model. Section 3 presents the test results for validating the numerical method. Section 4 is aimed at typical air-to-air missile aircraft with a large slenderness ratio, studying the coupling phenomena of aerodynamics, flight dynamics, and structural dynamics under forced pitching motion and during different rudder deviation control maneuvers, revealing the differences in aerodynamic and dynamic characteristics between rigid and elastic aircraft, and verifying the effectiveness of the multidisciplinary coupling numerical simulation method of aerodynamics/structure/motion in the flight process of slender body and high maneuverability developed in this paper. Finally, Section 5 encapsulates the primary conclusions derived from this study.

2. Numerical Simulation Methods

2.1. Rigid–Flexible Coupling Equation and Numerical Solving Method

The derivation of the structural dynamics equation and the coupled equation of flight mechanics starts from the Lagrangian equation in quasi-coordinate form:
d d t L V c + ω ˜ L V c T G b L R I = F d d t L ω + V ˜ c L V e + ω ˜ L ω D T L θ = M d d t L η ˙ L η + Γ η = Q
where L presents the difference between kinetic energy and potential energy, Γ represents the internal energy dissipation of the aircraft, F and M represent the force and moment represented in the quasi-coordinate system, respectively, Q represents the generalized force, and ( ω ˜ ) is the cross-product operator representing a skew–symmetry matrix with the following form:
ω ˜ = 0 ω 3 ω 2 ω 3 0 ω 1 ω 2 ω 1 0
where ω = ω 1 ,   ω 2 ,   ω 3 T .
Figure 1 shows the comparison of the two states before and after the deformation of the aircraft; black is the original state, and red represents the deformed state. Here, O G represents the inertial frame, where O b represents the body axis system that is fixed to the aircraft. For any point P on the aircraft, its absolute position in the inertial coordinate system can be expressed as follows:
R = R c + ρ + d
where R is the position vector of a point on the aircraft in the inertial coordinate system, R c is the position vector of the origin of the body axis system in the inertial frame, ρ is the position vector of the point in the body axis system, and d is the deformation. Assume that the free vibration modes of the body are available; then, for that body undergoing general elastic deformation, the deformation can be described in terms of the mode shapes:
d = ϕ · η
where η is the generalized coordinate of the mode shape, a dimensionless quantity representing the generalized displacement of the model deformation. ϕ represents the modal shape, which has the following form:
ϕ = x 1 x 2 x n y 1 y 2 y n z 1 y 2 y n
where x i ,   y i , and   z i represent the components of the three directions of the i t h structural mode, respectively. According to the definition of the modal superposition method, the velocity vector can be obtained:
R ˙ = V c ρ ~ + ϕ η ~ · ω + ϕ η ˙
where R ˙ is absolute speed in the inertial coordinate system.
The kinetic energy of a deformable aircraft can be formulated as follows:
T = 1 2 V ρ m R ˙ T R ˙ d V = 1 2 V ρ m V c T V c d V + V ρ m V c T ρ ~ + ϕ η ~ T d V ω + V c T V ρ m ϕ d V η ˙ + 1 2 ω T V ρ m ρ ~ + ϕ η ~ T ρ ~ + ϕ η ~ d V ω + ω T V ρ m ρ ~ + ϕ η ~ ϕ d V η ˙ + 1 2 η ˙ T V ρ m ϕ T ϕ d V η ˙
If the origin of O b is placed at the undeformed aircraft center of gravity, the term V ρ m ρ ~ d V is zero.
Considering gravity as distributed force, the potential energy of the system only includes the deformation energy of the structure:
U = 1 2 η T · K e · η
In order to derive the nonlinear equations of motion the partial derivatives L V c , L ω , L η ˙ , L η have to be derived first. These partial derivatives are presented here:
L V c = V ρ m V c + ϕ η ˙ + ω × p + ϕ η d V = V ρ m V c + ϕ η ˙ ρ ~ + ϕ η ~ ω d V = M c V c + V ρ m ϕ d V S 1 · η ˙ V ρ m ρ ~ + ϕ η ~ d V X 1 · ω = M c V c + S 1 η ˙ + X 1 T ω
L ω = V ρ m ρ ~ + ϕ η ~ V c + ρ ~ + ϕ η ~ ϕ η ˙ + ρ ~ + ϕ η ~ T ρ ~ + ϕ η ~ ω d V = V ρ m ρ ~ + ϕ η ~ d V V c + V ρ m ρ ˜ ϕ d V S 2 + V ρ m ϕ η ~ ϕ d V X 2 η ˙ + V ρ m ρ ~ + ϕ η ~ T ρ ~ + ϕ η ~ J d V ω = X 1 V c + S 2 + X 2 η ˙ + J ω
L η ˙ = V ρ m ϕ T V c + ϕ T ϕ η ˙ + ϕ T ω × ρ + ϕ η d V = S 1 T V c + M e η ˙ + S 2 T + X 2 T ω
L η = V ρ m ϕ T ω ˜ T V c + ϕ T ω ˜ T ϕ η ˙ + ϕ T ω ˜ ρ ˜ ω + ϕ T ω ˜ T ω ˜ ϕ η d V K e η = S 1 T ω ˜ T V c + H 1 T η ˙ + H 2 ω + H 3 η K e η
Calculating the time derivative of the above terms and rearranging them, the equations of motion of a deformable aircraft become the following:
M c X 1 T S 1 X 1 J S 2 + X 2 S 1 T S 2 T + X 2 T M e V ˙ c ω ˙ η ¨ + ω ˜ M c ω ˜ X 1 T 2 ω S 1 ˜ ω ˜ X 1 Y 3 + Y 3 T + V ˜ c X 1 T + ω ˜ J ω ˜ S 2 + X 2 S 1 T ω ˜ T H 2 2 H 1 + C e V c ω η ˙ + 0 0 0 0 0 0 0 0 H 3 + K e R I θ η = F M Q
The expressions for each coefficient are as follows:
S 1 = V ρ m ϕ d V           S 2 = V ρ m ρ ˜ ϕ d V S 1 = V ρ m ϕ d V           S 2 = V ρ m ρ ˜ ϕ d V Y 3 = V ρ m ϕ η ˙ ρ + ϕ η ~ d V       H 1 = V ρ m ϕ T ω ˜ ϕ d V H 2 = V ρ m ϕ T ω ˜ ρ ˜ d V       H 3 = V ρ m ϕ T ω ˜ T ω ˜ ϕ d V M c = m c I 3           J = V ρ m ρ ~ + ϕ η ~ T ρ ~ + ϕ η ~ d V
As can be seem, the terms S 1 and S 2 are constant and they depend on the selected structural modes and the rigid-body mass distribution. On the other hand, X 1 and X 2 are time-dependent and vary as the aircraft structure deforms. Therefore, the inertia matrix of a flexible aircraft is time-varying and has to be updated each time step.
The coupled equations of motion were solved numerically using the fourth-order Runge–Kutta method, which balances computational efficiency with implementation simplicity in coding; Equation (13) can be rewritten as
M G q ˙ + C G q + K G w = F G
where q and w are, respectively,
q = V c ω η ˙ , w = R c θ η
To facilitate expression, intermediate state variable E is introduced:
E = w ˙ , q ˙ T
Therefore, the equation can be solved using the Runge–Kutta method, and the iterative solving process is expressed as follows:
E 0 = E n E 1 = E 0 + Δ t 2 E 0 E 2 = E 0 + Δ t 2 E 1 E 3 = E 0 + Δ t E 2 E 4 = E 0 + Δ t 6 E 0 + 2 E 1 + 2 E 2 + E 3 E n + 1 = E 4

2.2. Unsteady Flow Solver

In this paper, the governing equation for unsteady flow adopts the N-S equation. In the three-dimensional Cartesian coordinate system it can be written as [20]
t Ω W d Ω + Ω F c F v d S = 0
where Ω is the control volume domain and Ω represents the control surface domain. W , F c , and F v represent the conserved variable vector, the convective flux vector, and the viscous flux, respectively, which are defined as follows [21].
W = ρ ρ u ρ v ρ w ρ E ,           F c = ρ V ρ u V + n x p ρ v V + n y p ρ w V + n z p ρ H V + p V b
F v = 0 n x τ x x + n y τ x y + n z τ x z n x τ y x + n y τ y y + n z τ y z n x τ z x + n y τ z y + n z τ z z n x Θ x + n y Θ y + n z Θ z
where ρ represents fluid density, p is static pressure, and E and H indicate total energy and total enthalpy per unit mass, respectively. u , v , and w notify velocity components and n x , n y , and n z represent the unit normal vector in the outward direction of the boundary in the x , y , and z directions, respectively. V indicates the contravariant velocity, which is defined as the scalar product of the velocity vector and the unit normal vector:
V v v g n = u u g n x + v v g n y + w w g n z
where v g = u g i + v g j + w g k is the grid motion velocity. The finite volume method based on an unstructured grid is used to discretize the three-dimensional N-S equation. For an arbitrary control volume Ω m , Equation (15) can be discretized as follows:
d W m d t = 1 Ω m n = 1 N F F c n S n = 1 Ω m R m
where N F represents the number of faces over the control body surface, S n indicates the area of the nth face, and R m notifies the residual.
The dual time-stepping scheme proposed by Jameson [22] is adopted to march in the physical time. Accordingly, Equation (23) can be expressed as follows:
Ω I n + 1 W I * τ = 3 W I * Ω I n + 1 4 W I n Ω I n + W I n 1 Ω I n 1 2 t + R I W * = R I * W *
where τ is a pseudo time step which is marched based on the implicit LU-SGS [23] scheme.

2.3. Dynamic Mesh Techniques

In the process of aircraft flight simulation, the motion of the aircraft relative to the inertial coordinate system and the deformation relative to the body axis system are involved. The dynamic mesh approach can handle both of these problems and is practical for simulating such a complex process. The basic idea of the deformable mesh method [24] is to keep the mesh topology unchanged and to absorb the movement of the solid wall boundary by adjusting the nodes’ position in the field grid. Although this method is only applicable for small-scale motion, it has the advantages of preserving the correlation information between meshes and avoiding interpolation at each step. The spring-tension-based deformation method is utilized to adjust the field grid nodes position.
The spring-tension method models the connection between each two grid nodes by a spring. The displacement of a given boundary node produces a force, which is directly proportional to the displacement of all springs connected to that node [25]. According to Hooke’s law, the force imposed on the mesh node can be expressed as follows:
F i = j n i k i j x j x i
where x j and x i represent the displacement of node i and its adjacent node j, and n i denotes the number of nodes nearby the node i . k i j indicates the elasticity coefficient between nodes i and j , which is defined as follows:
k i j = k f a c x i x j
where k f a c is the spring constant. In the equilibrium condition, the resultant force exerted by all springs connected to the central node is zero, leading to the following iterative equation:
x i m + 1 = j n i k i j x j m j n i k i j
where m represents the number of iteration steps.

2.4. Aerodynamic/Structural/Motion Coupled Solution Strategy

The previous section completed the flight dynamics and generalized force modeling based on CFD. In the next section, the specific solution process will be introduced. Among this, the TPS [26] method, also known as the Thin Plate Spline method, is widely used in the field of aeroelastic analysis; in this paper, it is used for the data exchange of the fluid–structure interaction interface. The solution flowchart is shown in Figure 2. The simulation procedure can be described as follows.
(1)
Initialing the flow field for unsteady calculations based on the steady flow solution;
(2)
Calculating the aerodynamic force and moment at the current physical time step by integrating the distributed force on the wall surface;
(3)
Obtaining the aerodynamic forces and moment, and at the same time, using the TPS method to complete the interpolation of the distributed aerodynamic force (imposed on the wall boundary of CFD grid) to structure grid.
(4)
Solving the rigid–flexible equation to obtain the whole motion and structure deformation;
(5)
Updating the time step, outputting the calculated parameters including centroid displacement, attitude angles, and generalized displacement, and then proceeding to the next time step iteration calculation.

3. Numerical Method Verification

In order to verify the accuracy and robustness of the CFD-based rigid–flexible coupling solver established in this paper, two test cases are considered in this section. One is the free fall of a flexible single pendulum, and the other is a flutter boundary simulation of the AGARD445.6 wing.

3.1. Flexible Single Pendulum

As shown in Figure 3, the single pendulum falls freely without initial velocity from the horizontal position; A is the rotating hinge, the endpoint B is free, and the parameters of the pendulum are [27] ρ = 2766.67   k g / m 3 , L = 1.8   m , S = 2.5   c m 2 , E = 68.95   G P a , I = 0.13   c m 4 ; additionally, the gravitational acceleration is g = 9.81   m / s 2 . Figure 4 is the first four mode shapes of the flexible single pendulum.
In this example, gravity acts on the beam as a distributed force, and the end point B of the beam is deformed during the free fall of the single pendulum. Figure 5 shows the change in the transverse deformation of the beam with time, and this result is basically consistent with the calculation of the reference.
In order to further verify the results, an energy analysis was performed. The system is a conservative system, and in the process of beam swing, it should conform to the conservation of energy, that is, the sum of the total kinetic energy, elastic deformation energy, and gravitational potential energy is conserved. In this example, the initial position is horizontal, and the origin of the global coordinate system is taken at point A, so the total energy should be conserved at zero, that is,
T + U + U g = 0
where T is the kinetic energy, U is the potential energy, and U g is the elastic deformation energy.
As can be seen from Figure 6, the total energy calculated is always zero in the process of a single pendulum falling, which conforms to the law of conservative systems and verifies the accuracy of the established dynamic model.

3.2. Simulation of AGARD445.6 Wing Flutter

In the previous section, the dynamic model was verified by a single pendulum example. In order to verify the correctness of the CFD-based rigid–flexible coupling research method, the flutter boundary of the AGARD445.6 wing was predicted and compared with the experimental results.
The AGARD445.6 wing has been frequently used to verify the reliability of the proposed method for aeroelastic problems. This model was used by Langley Research Center to study the wing flutter characteristics in transonic conditions based on public wind tunnel test data [28]. The spanwise section of the wing is based on NACA65A004 airfoil, with an aspect ratio of 1.644, root tip ratio of 0.659, and 1/4 chord sweep angle of 45°. The wing model geometry is depicted in Figure 7.
The modal characteristics of the AGARD 445.6 wing were investigated through structural modal analysis. The vibration behavior is primarily characterized by its first four dominant mode shapes: first bending mode, first torsion mode, second bending mode, and second torsion mode. To visualize the modal analysis results of the wing’s structural model, these fundamental modes were interpolated onto the aerodynamic surface mesh and are comprehensively illustrated in Figure 8.
The Mach numbers in computation are 0.499, 0.678, 0.901, 0.96, 1.072, and 1.141. The angle of attack of the incoming flow is 0°, and the critical flutter velocity at each Mach number is determined by changing the incoming flow pressure. The dimensionless flutter velocity is expressed as follows:
V * = V b s ω α μ ¯
where V represents the incoming flow velocity, b s is the half chord length of the wing root, and ω α denotes the first-order uncoupled torsional frequency.
Prior to the computation, grid independence verification was conducted by employing three meshes with different sizes, as illustrated in Figure 9.
Numerical simulations were performed at Mach 0.678 to calculate the drag coefficient of the AGARD445.6 wing under converged conditions for each grid configuration. The results presented in Figure 10 demonstrate that the drag coefficient obtained with the medium-density mesh showed minimal discrepancies compared to that of the refined mesh. To optimize computational efficiency while maintaining accuracy, the medium-density mesh was selected for subsequent aeroelastic simulations.
Before commencing the calculation, an appropriate initial velocity must be applied to the first-order mode to serve as an excitation input, which is generally taken as q ˙ = 2 π f 1 q 1 , where f 1 is the first-order modal frequency and q 1 is a small generalized displacement, which can be taken as 0.001. The computational time step is 0.0002.
The time-dependent variation in generalized displacement at Mach 0.678 under different dimensionless velocities is illustrated in Figure 11. As the figure shows, the system exhibits three distinct dynamic regimes: when dimensionless velocity V * = 0.41 , the generalized displacement converges; when dimensionless velocity V * = 0.4175 , the generalized displacement oscillates with equal amplitude; when the dimensionless velocity V * = 0.42 , the generalized displacement diverges. The numerically predicted dimensionless flutter critical velocity of 0.4175 shows remarkable agreement with experimental measurements (0.4174), with a relative deviation of merely 0.024%.
For each Mach number, the AGARD 445.6 wing corresponds to a specific flutter speed index. Figure 12 presents a comprehensive comparison of flutter speeds across six Mach numbers, integrating findings from the current study with existing reference data. The calculated flutter boundaries demonstrate excellent agreement with experimental results at subsonic conditions (Ma = 0.499 and Ma = 0.678). The synthesized results across all Mach regimes successfully capture the characteristic transonic “pit” phenomenon. The deviation between computational results and experimental data increases under high Mach number conditions, primarily due to changes in structural stiffness caused by significant deformation at high Mach numbers, which leads to an increased sensitivity of structural deformations to shock waves. Although the computational results of this study show significant deviations compared to experimental data, the calculation accuracy is markedly enhanced relative to traditional methods, and the validation demonstrates that the rigid–flexible coupling solver developed in this paper exhibits strong application potential in multidisciplinary coupling problems.

4. The Aeroelastic Coupling Effects in Maneuvering Flight of Slender Body

The advancement of modern missile technology presents dual challenges in structural dynamics: increased flight Mach numbers and enhanced maneuverability subject missiles to greater aerodynamic loads, while the prevailing design trend of high slenderness ratios (particularly in air-to-air configurations) continues to reduce structural vibration frequencies. These developments make the consideration of elastic effects imperative for maintaining guidance precision. This chapter employs an integrated aerodynamics–structure–flight dynamics coupling methodology to investigate the multidisciplinary interactions in typical high-slenderness-ratio air-to-air missiles. Through systematic simulations of forced pitch maneuvers and control rudder deflections, we analyze the coupled phenomena among aerodynamic forces, structural responses, and flight dynamics. The results validate both the computational accuracy and methodological effectiveness of our proposed multidisciplinary coupled numerical simulation framework for missile motion analysis.

4.1. The Computational Model

The missile model selected in this paper has a total length of 2.83 m, a diameter of 0.137 m, a slenderness ratio of 22.3, a wingspan of 0.63 m, a launch mass of 87 kg, and a maximum flight Mach number of 2.5. In the previous flutter validation of the AGARD 445.6 wing, although deviations existed between numerical results and experimental data at high Mach numbers, for the air-to-air missile model discussed in this section, the developed aeroelastic computational method remains feasible due to its small deformations. The simulation calculation model and mesh are shown in Figure 13, the meshing adopts the non-structural tetrahedral method, and the final mesh volume is about 4 million.

4.2. The Forced Pitching Motion of Aircraft Considering Elastic Effect

In the wind tunnel test, when the model is forced in the longitudinal pitch degree of freedom, it needs to be subjected to an external driving force. According to the D’Alembert’s principle, the force (moment) acting on the model is equal to the sum of its own inertial force, driving force, and aerodynamic force, and can be expressed as follows:
I θ ¨ = M a e r o + M d
where θ is the change in pitch angle, I is the moment of inertia of the model, I θ ¨ is the moment of inertia, M a e r o is the aerodynamic moment, and M d is the motor driving moment.
Compared with rigid-body models, elastic models exhibit altered aerodynamic moment M a e r o due to deformation-induced changes in surface pressure distribution, leading to discrepancies in response characteristics. To investigate the aeroelastic effects on aircraft longitudinal pitch dynamics, this chapter analyzes the forced pitching motion characteristics of the missile. In the calculation process, the degrees of freedom of the yaw and roll directions of the missile are fixed, and its longitudinal degree of freedom is released, giving the law of the forced pitch motion of the missile:
α t = α 0 + α m sin w t
where the initial angle of attack is α 0 = 0 , the amplitude is α m = 5 ° , and the natural angle frequency is w = 10 .
In order to explore the influence of stiffness on the stability of the missile in detail, the calculation results of four states are selected for comparative analysis, namely the rigid state, the initial structural stiffness state, the one-half initial structural stiffness state and the one-quarter initial structural stiffness state; the initial angle of attack is α 0 = 0 and the computational Mach number is 1.8.
Figure 14 demonstrates the temporal evolution of first-order generalized displacement under varying stiffness conditions. The results reveal an inverse correlation between structural stiffness and displacement amplitude: lower stiffness values yield greater generalized displacements, indicating enhanced missile body deformation. Furthermore, systems with reduced stiffness exhibit prolonged transient phases before achieving a stable sinusoidal displacement pattern.
The hysteresis loop change in the pitching moment coefficient with the pitching angle of the rigid model and the model under different stiffness levels is presented in Figure 15; the hysteresis loop of the rigid body model and the initial structural stiffness state is clockwise, and as the stiffness continues to decrease, the direction of the hysteresis loop changes, indicating that the dynamic stability of the calculated model changes, that is, the stability changes from dynamic stability to dynamic instability, which indicates that if the aeroelastic effect of the aircraft is considered, the stability analysis method based on the rigid body form loses its accuracy.
In order to show the deformation of the model more intuitively, Figure 16 shows the deformation of the missile at a certain point in time, where red represents the rigid body model and green represents the elastomeric model; it can be seen that the deformation of the missile is mainly first-order bending.
The results of the comparison of the flow field are shown in Figure 17, which presents both the pressure contour of the rigid model and the elastic model at different motion moments, due to the deformation, the pressure distribution of the rigid and elastic aircraft changes, and it can be seen that the shock area of the elastic model is smaller than that of the rigid model in the lower part of the tail.

4.3. The Longitudinal Motion of Slender Aircraft Under the Control of Rudder Deviation

For the elastic aircraft considering the elastic effect, the results achieved by controlling the rudder deflection will definitely be different from the results of the rigid model, and at the same time, because the environmental condition of the aircraft in the actual flight process is usually very complex, which makes the influence of the elastic effect more significant, it is therefore necessary to study the effect of elasticity on flight attitude. In this section, the longitudinal flight state of the aircraft is controlled by giving the rudder deflection angle, and the difference between the response of rigid and elastic aircraft is compared and studied by monitoring the pitch angle and pitch angular velocity.
The calculated model is same as last section, the distance between the center of mass position and the head of the missile body is 1.5 m, the position of the rudder shaft is 0.35 m away from the head of the missile, the rolling moment of inertia I x = 0.21   k g / m 2 , the yaw moment of inertia I y = 65   k g / m 2 , and the pitching moment of inertia I z = 65   k g / m 2 . The calculated Mach number of the incoming stream is 1.2, the flight altitude is 8 km, and the time step is 0.001 s. The initial rudder deflection angles are 5°, 7.5°, and 10°, and the rudder deflection is shown in Figure 18, where green is the deflection rudder.
Figure 19 reveals the response history of the pitch angle and pitch angular velocity of the rigid model with an initial preset rudder surface declination angle of 10°; here, the calculation of the pitch angle is based on the center of mass as the reference point. From the pitch angle and angular velocity response, it can be observed that the rigid model experiences a significant nose-up moment at the initial stage, generating an upward angular velocity that causes it to deviate from the equilibrium position; subsequently, it exhibits an oscillatory convergence trend over time and eventually stabilizes at a fixed equilibrium angle. This phenomenon occurs because the aerodynamic center of the rigid model is positioned ahead of its center of mass, leading to aerodynamic damping effects during the pitch motion.
The results in Figure 20a,b compare the pitch/angular velocity of the rigid model and the elastic model, and Figure 20c,d presents the power spectral density analysis of the pitch angle and pitch angular velocity. It can be found that the convergence pitch angle of the elastic model is about 1° greater than the rigid model when it finally reaches the equilibrium state, representing an increase of about 15%, and it takes longer for the oscillation to converge to the equilibrium state because the bending deformation of the elastic model generates an additional pitching moment, which leads to the increase in pitch angle. Additionally, the Fourier spectral analysis results indicate that the dominant frequency of the elastic model’s pitch angle response is about 1% lower than that of the rigid model (i.e., the response period is longer), and the amplitude of the pitch angle is also greater.
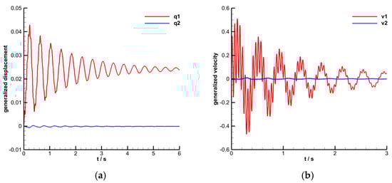
In order to reveal the deformation of the model, Figure 21 presents the changes in the generalized displacement and generalized velocity of the first two orders of the elastic model with time, and it can be seen that the form of the model deformation is mainly determined by first-order bending deformation; the deformation is a positive bending, which proves the phenomenon that the pitch angle is larger in the equilibrium state of the elastic model.
In order to explore the influence of the different initial rudder deflection angles, the initial rudder deflection angles of 5°, 7.5°, and 10° are selected in this section.
Figure 22 shows the variation in the pitch angle and the pitch angular velocity of the rigid model under the three preset rudder declination angles. When the rudder angle is 5°, the equilibrium angle is minimized at 4.3°; at a rudder angle of 7.5°, the equilibrium angle is 5.5°; and at a rudder angle of 10°, the equilibrium angle reaches its maximum value of 6.5°, the equilibrium angle of attack for the three rudder deflection angles differs by approximately 1°. It can be seen that for the rigid model, the larger the preset rudder deflection angle, the faster the response of the pitch motion of the aircraft, the more time it takes to reach the convergence state, and the larger the convergence angle when the equilibrium state is finally reached. At the same time, the spectrum analysis reveals that as the rudder deflection angle increases, both the amplitude and dominant frequency of the pitch angle response also increase, and the higher dominant frequency results in a shorter response period.
Analysis of Figure 23 reveals the variation in the pitch angle and pitch angular velocity of the elastic model under the three preset rudder declination angles, and the elastic model also observes the same results as the rigid model, except that the elevation angle amplitude of the elastic model is larger. Figure 24 shows the comparison of the generalized displacement and the generalized velocity under different rudder deviations, and it can be seen that the generalized displacement increases with the rudder deflection angle, which means that the deformation increases, i.e., the additional moment generated.

4.4. The Free Flight State with Multiple Degrees of Freedom for Slender Aircraft

The study in the previous section fixed the center of mass of the aircraft in order to simulate the free-flight state of the aircraft more realistically, the research in this section further releases the centroid of the slender missile, so that its centroid can produce motion in the flight space to study the difference in the flight response law of the aircraft under the condition of fixed centroid and centroid release, and the influence of aeroelastic effect on the trajectory of the vehicle’s centroid of mass was also studied.
As depicted in Figure 25, it presents the variation in the pitch angle and pitch angular velocity of the centroid fixation and centroid release in the case of rigidity. It can be seen that when the center of mass is fixed, the final attenuation of the pitch angle converges to an equilibrium angle; however, for the release of the center of mass, although the amplitude of the pitch angle is also gradually attenuated, it finally no longer has a balanced pitch angle, and observing the pitch angular velocity, it is found that the pitch angular velocity is always less than the fixed center of mass when the center of mass is released, which is due to the downward washing effect produced by the movement of the centroid. So, it is necessary to balance the pitching moment by bowing the head.
Figure 26 and Figure 27 illustrate the displacement change in the centroid of the rigid model and the elastic model under the condition of releasing the centroid. As can been seen, the difference between the position of the center of mass of the rigid model and the elastic model increases over time, and for the x-direction, the elastic model increases in the windward area of the missile due to the bending deformation, so the aerodynamic force is slightly larger than that of the rigid model, which leads to the displacement in the x-direction being larger. Similarly, the occurrence of deformation in the y-direction causes the resulting additional force to overcome part of the gravitational force, resulting in a smaller decline in the y-direction in the elastic model than in the rigid model.
As shown in Figure 28, the pitch angle and pitch velocity of the rigid model and the elastic model are explicitly compared. It can be seen that the pitch attenuation velocity of the elastic model is smaller than that of the rigid model, and the pitch angle in both cases no longer has an equilibrium angle. Figure 29 further illustrates the flight trajectory diagram of the two models, and that the difference between the trajectory of the elastic model and the rigid model is large, which proves that the influence of the elastic effect on the free flight of the aircraft cannot be ignored.

5. Conclusions

When performing highly maneuverable motions, the flexible flight vehicle exhibits strong structural, aerodynamic, and kinematic coupling phenomena, resulting in significant aeroelastic effect. Therefore, this paper carries out research on the aeroelasticity of slender-body vehicles during maneuvering flight, developing a multidisciplinary coupling analysis model based on aerodynamics/structure/motion. This research led to the following conclusions:
(1)
A study was conducted on the forced pitching motion of slender-body aircraft, and the results reveal that as the aircraft’s stiffness decreases, the originally stable configuration becomes dynamically unstable.
(2)
Compared with rigid-body assumption, the elastic effect induces an impact on the flight attitude angle, which is mainly manifested in an increase in the movement period and amplitude.
(3)
The multidisciplinary coupled analysis method integrating aerodynamics, structures, and motion developed in this study demonstrates good feasibility and accuracy for the flight dynamics analysis of elastic aircraft. However, the aerodynamic calculation method proposed in this work requires further improvement to adapt to more complex flight conditions under high Mach number flight scenarios.

Author Contributions

Conceptualization, S.C. and S.T.; Software, S.C.; Validation, S.C.; Formal analysis, S.C.; Investigation, S.C. and P.H.; Resources, S.C. All authors have read and agreed to the published version of the manuscript.

Funding

This research received no external funding.

Institutional Review Board Statement

Not applicable.

Informed Consent Statement

Not applicable.

Data Availability Statement

The original contributions presented in this study are included in the article. Further inquiries can be directed to the corresponding author.

Conflicts of Interest

The authors declare no conflict of interest.

References

  1. Baldelli, D.; Chen, P.; Panza, J.; Adams, J. Unified rational function approximation formulation for aeroelastic and flight dynamics analyses. In Proceedings of the 47th AIAA/ASME/ASCE/AHS/ASC Structures, Structural Dynamics, and Materials Conference 14th AIAA/ASME/AHS Adaptive Structures Conference 7th, Newport, RI, USA, 1–4 May 2006. [Google Scholar]
  2. Yan, S.; Hao, W.; Meng, J. Design and implementation of coupling acceleration strategy in static aeroelastic module of NNW-FSI software. Acta Aeronaut. Astronaut. Sin. 2021, 42, 625738. [Google Scholar] [CrossRef]
  3. Bisplinghoff, R.L.; Ashley, H. Principles of Aeroelasticity; Courier Corporation: North Chelmsford, MA, USA, 2013. [Google Scholar]
  4. Guo, D. Aerodynamic Modeling of Elastic Aircraft. Acta Aerodyn. Sin. 2013, 31, 413–419, 436. [Google Scholar]
  5. Buttrill, C.; Arbuckle, P.; Zeiler, T. Nonlinear simulation of a flexible aircraft in maneuvering flight. In Proceedings of the Flight Simulation Technologies Conference, Monterey, CA, USA, 17–19 August 1987. [Google Scholar]
  6. Waszak, M.R.; Schmidtm, D.K. Flight dynamics of aeroelastic vehicles. J. Aircr. 1988, 25, 563–571. [Google Scholar] [CrossRef]
  7. Meirovitch, L. Hybrid state equations of motion for flexible bodies in terms of quasi-coordinates. J. Guid. Control Dyn. 1991, 14, 1008–1013. [Google Scholar] [CrossRef]
  8. Haghighat, S.; Liu, H.H.T.; Martins, J.R.R.A. Model-predictive gust load alleviation controller for a highly flexible aircraft. J. Guid. Control Dyn. 2012, 35, 1751–1766. [Google Scholar] [CrossRef]
  9. Sun, Z.W. Investigation of The Problems in Multidisciplinary Design of High Altitude Longendurance Unmanned Aerial Vehicle. Ph.D. Thesis, Northwestern Polytechnical University, Xi’an, China, 2016. [Google Scholar]
  10. Haghighat, S.; Martins, J.R.R.A.; Liu, H.H.T. Aeroservoelastic design optimization of a flexible wing. J. Aircr. 2012, 49, 432–443. [Google Scholar] [CrossRef]
  11. Zhao, B.; Gu, X. Modelling and analysis of nonlinear dynamics of rigid-flexible coupled structures. In Journal of Physics: Conference Series; IOP Publishing: Bristol, UK, 2024; Volume 2891, p. 132010. [Google Scholar] [CrossRef]
  12. Wang, B.; Liu, Z.; Zheng, P. Rigid-flexible coupling dynamic modeling and analysis of dumbbell-shaped spacecraft. Aerosp. Sci. Technol. 2022, 126, 107641. [Google Scholar] [CrossRef]
  13. Preisighe Viana, M.V. Time-domain system identification of rigid-body multipoint loads model. In Proceedings of the AIAA Atmospheric Flight Mechanics Conference, Washington, DC, USA, 13–17 June 2016. [Google Scholar]
  14. Salas, M.D. Digital flight: The last CFD aeronautical grand challenge. J. Sci. Comput. 2006, 28, 479–505. [Google Scholar] [CrossRef]
  15. Blades, E.; Newman, J. Aeroelastic effects of spinning missiles. In Proceedings of the 48th AIAA/ASME/ASCE/AHS/ASC Structures, Structural Dynamics, and Materials Conference, Honolulu, HI, USA, 23–26 April 2007. [Google Scholar] [CrossRef]
  16. Schütte, A.; Boelens, O.J.; Oehlke, M.; Jirásek, A.; Loeser, T. Prediction of the flow around the X-31 aircraft using three different CFD methods. Aerosp. Sci. Technol. 2012, 20, 21–37. [Google Scholar] [CrossRef]
  17. Ye, K.; Yang, M.; Qin, L.; Xue, R.; Ye, Z. Effects of structural geometric nonlinearities on the transonic aeroelastic characteristics of wing. Aerosp. Sci. Technol. 2024, 149, 109161. [Google Scholar] [CrossRef]
  18. Guo, T.; Lu, D.; Lu, Z.; Zhou, D.; Lyu, B.; Wu, J. CFD/CSD-based flutter prediction method for experimental models in a transonic wind tunnel with porous wall. Chin. J. Aeronaut. 2020, 33, 3100–3111. [Google Scholar] [CrossRef]
  19. Wang, Y.; Xu, M.; An, X.; Xu, Z.; Xu, W.; Quan, E. Numerical study on the trajectory of a long-range flexible rocket with large slenderness ratio. Aerosp. Sci. Technol. 2021, 117, 106959. [Google Scholar] [CrossRef]
  20. Blazek, J. Computational Fluid Dynamics: Principles and Applications; Butterworth-Heinemann: Oxford, UK, 2015. [Google Scholar]
  21. Toro, E.F.; Chakraborty, A. The development of a Riemann solver for the steady supersonic Euler equations. Aeronaut. J. 1994, 98, 325–339. [Google Scholar] [CrossRef]
  22. Jameson, A. Time dependent calculations using multigrid, with applications to unsteady flows past airfoils and wings. In Proceedings of the 10th Computational Fluid Dynamics Conference, Honolulu, HI, USA, 24–26 June 1991. [Google Scholar] [CrossRef]
  23. Sharov, D.; Kazuhiro, K. Reordering of 3-D hybrid unstructured grids for vectorized LU-SGS Navirer-Stokes calculations. In Proceedings of the 13th Computational Fluid Dynamics Conference, Snowmass Village, CO, USA, 29 June–2 July 1997. AIAA-1997-2102. [Google Scholar]
  24. Burg, C. A robust unstructured grid movement strategy using three-dimensional torsional springs. In Proceedings of the 34th AIAA Fluid Dynamics Conference and Exhibit, Portland, OR, USA, 28 June–1 July 2004. [Google Scholar] [CrossRef][Green Version]
  25. Xiao, T.; Qin, N.; Luo, D.; Deng, S. Deformable overset grid for multibody unsteady flow simulation. AIAA J. 2016, 54, 2392–2406. [Google Scholar] [CrossRef]
  26. Duchon, J. Splines minimizing rotation-invariant semi-norms in Sobolev spaces. In Constructive Theory of Functions of Several Variables, Proceedings of the Conference Held at Oberwolfach, Oberwolfach, Germany, 25 April–1 May 1976; Springer: Berlin/Heidelberg, Germany, 1977; pp. 85–100. [Google Scholar]
  27. Li, B.; Liu, J.Y. Absolute coordinate method for large-deformation flexible beam system. J. Shanghai Jiao Tong Univ. 2005, 827–831. [Google Scholar] [CrossRef]
  28. Yates, E.C., Jr. AGARD standard aeroelastic configurations for dynamic response I-Wing 445.6. In Proceedings of the 61st Meeting of the Structures and Materials Panel, Oberammergau, Germany, 8–13 September 1985; Advisory Group for Aerospace Research and Development: Neuilly-sur-Seine, French, 1988. (AGARD-R-765). [Google Scholar]
Figure 1. The flexible aircraft before and after deformation.
Figure 1. The flexible aircraft before and after deformation.
Applsci 15 04333 g001
Figure 2. Simulation procedure of the rigid–flexible problem.
Figure 2. Simulation procedure of the rigid–flexible problem.
Applsci 15 04333 g002
Figure 3. Flexible single pendulum.
Figure 3. Flexible single pendulum.
Applsci 15 04333 g003
Figure 4. The mode shapes of the pendulum.
Figure 4. The mode shapes of the pendulum.
Applsci 15 04333 g004
Figure 5. Transverse deformation of the end of the pendulum.
Figure 5. Transverse deformation of the end of the pendulum.
Applsci 15 04333 g005
Figure 6. Energy of the single pendulum.
Figure 6. Energy of the single pendulum.
Applsci 15 04333 g006
Figure 7. The AGARD445.6 wing model geometry.
Figure 7. The AGARD445.6 wing model geometry.
Applsci 15 04333 g007
Figure 8. The first four mode shapes of the AGARD445.6 wing.
Figure 8. The first four mode shapes of the AGARD445.6 wing.
Applsci 15 04333 g008
Figure 9. Surface meshes with varying sizes.
Figure 9. Surface meshes with varying sizes.
Applsci 15 04333 g009
Figure 10. Drag coefficient results under different meshes.
Figure 10. Drag coefficient results under different meshes.
Applsci 15 04333 g010
Figure 11. The generalized displacement changes at Mach = 0.678.
Figure 11. The generalized displacement changes at Mach = 0.678.
Applsci 15 04333 g011
Figure 12. The flutter speed of the AGARD 445.6 wing at different Mach numbers.
Figure 12. The flutter speed of the AGARD 445.6 wing at different Mach numbers.
Applsci 15 04333 g012
Figure 13. The computational model and surface grid.
Figure 13. The computational model and surface grid.
Applsci 15 04333 g013
Figure 14. First-order generalized displacements with different stiffness.
Figure 14. First-order generalized displacements with different stiffness.
Applsci 15 04333 g014
Figure 15. Pitch moment coefficient hysteresis loop (clockwise and counterclockwise directions).
Figure 15. Pitch moment coefficient hysteresis loop (clockwise and counterclockwise directions).
Applsci 15 04333 g015
Figure 16. The missile deformation (red for rigid model, green for elastic model).
Figure 16. The missile deformation (red for rigid model, green for elastic model).
Applsci 15 04333 g016
Figure 17. Comparison of pressure contours of rigid and elastic models at different flight moments. (Red box indicates the shock wave region at the tail of the model).
Figure 17. Comparison of pressure contours of rigid and elastic models at different flight moments. (Red box indicates the shock wave region at the tail of the model).
Applsci 15 04333 g017
Figure 18. Different initial rudder deflection angles.
Figure 18. Different initial rudder deflection angles.
Applsci 15 04333 g018
Figure 19. The time response of pitch angle and pitch angle velocity time response of the rigid model. (a) Time history of the pitch angle. (b) Time history of the pitch angular velocity.
Figure 19. The time response of pitch angle and pitch angle velocity time response of the rigid model. (a) Time history of the pitch angle. (b) Time history of the pitch angular velocity.
Applsci 15 04333 g019
Figure 20. Variations in pitch angle, angular velocity, and their power spectral density for rigid and elastic models.
Figure 20. Variations in pitch angle, angular velocity, and their power spectral density for rigid and elastic models.
Applsci 15 04333 g020
Figure 21. The generalized displacement and velocity change with time. (a) Time history of the generalized displacement. (b) Time history of the generalized velocity.
Figure 21. The generalized displacement and velocity change with time. (a) Time history of the generalized displacement. (b) Time history of the generalized velocity.
Applsci 15 04333 g021
Figure 22. Comparison of pitch and pitch velocity of the rigid model at different rudder deflections. (a) Temporal variation in the pitch angle. (b) Temporal variation in the pitch angular velocity. (c) The psd of the pitch angle.(d) The psd of the pitch angular velocity.
Figure 22. Comparison of pitch and pitch velocity of the rigid model at different rudder deflections. (a) Temporal variation in the pitch angle. (b) Temporal variation in the pitch angular velocity. (c) The psd of the pitch angle.(d) The psd of the pitch angular velocity.
Applsci 15 04333 g022
Figure 23. Comparison of pitch and pitch velocity of the elastic model at different rudder deflections. (a) Temporal variation in the pitch angle. (b) Temporal variation in the pitch angular velocity.
Figure 23. Comparison of pitch and pitch velocity of the elastic model at different rudder deflections. (a) Temporal variation in the pitch angle. (b) Temporal variation in the pitch angular velocity.
Applsci 15 04333 g023
Figure 24. Comparison of generalized displacement and velocity under different rudder deflections. (a) Temporal variation in the generalized displacement. (b) Temporal variation in the generalized velocity.
Figure 24. Comparison of generalized displacement and velocity under different rudder deflections. (a) Temporal variation in the generalized displacement. (b) Temporal variation in the generalized velocity.
Applsci 15 04333 g024
Figure 25. Comparison of the pitch angle and velocity of the rigid model with fixed and released centroid. (a) Comparison of pitch angles with fixed and released centroid. (b) Comparison of pitch angle velocity with fixed and released centroid.
Figure 25. Comparison of the pitch angle and velocity of the rigid model with fixed and released centroid. (a) Comparison of pitch angles with fixed and released centroid. (b) Comparison of pitch angle velocity with fixed and released centroid.
Applsci 15 04333 g025
Figure 26. Displacement and velocity change in the x-direction of the centroid.
Figure 26. Displacement and velocity change in the x-direction of the centroid.
Applsci 15 04333 g026
Figure 27. Displacement and velocity change in the y-direction of the centroid.
Figure 27. Displacement and velocity change in the y-direction of the centroid.
Applsci 15 04333 g027
Figure 28. Comparison of the pitch angle and velocity of the rigid model and the elastic model under the condition of releasing the centroid. (a) Comparison of the pitch angle of the rigid model and the elastic model. (b) Comparison of the pitch angles velocity of the rigid model and the elastic model.
Figure 28. Comparison of the pitch angle and velocity of the rigid model and the elastic model under the condition of releasing the centroid. (a) Comparison of the pitch angle of the rigid model and the elastic model. (b) Comparison of the pitch angles velocity of the rigid model and the elastic model.
Applsci 15 04333 g028
Figure 29. Comparison of flight trajectory diagrams between rigid model and elastic model (red for rigid model; green for elastic model).
Figure 29. Comparison of flight trajectory diagrams between rigid model and elastic model (red for rigid model; green for elastic model).
Applsci 15 04333 g029
Disclaimer/Publisher’s Note: The statements, opinions and data contained in all publications are solely those of the individual author(s) and contributor(s) and not of MDPI and/or the editor(s). MDPI and/or the editor(s) disclaim responsibility for any injury to people or property resulting from any ideas, methods, instructions or products referred to in the content.

Share and Cite

MDPI and ACS Style

Chen, S.; He, P.; Tian, S. Numerical Method for Aeroelastic Simulation of Flexible Aircraft in High Maneuver Flight Based on Rigid–Flexible Model. Appl. Sci. 2025, 15, 4333. https://doi.org/10.3390/app15084333

AMA Style

Chen S, He P, Tian S. Numerical Method for Aeroelastic Simulation of Flexible Aircraft in High Maneuver Flight Based on Rigid–Flexible Model. Applied Sciences. 2025; 15(8):4333. https://doi.org/10.3390/app15084333

Chicago/Turabian Style

Chen, Shuang, Pengzhen He, and Shuling Tian. 2025. "Numerical Method for Aeroelastic Simulation of Flexible Aircraft in High Maneuver Flight Based on Rigid–Flexible Model" Applied Sciences 15, no. 8: 4333. https://doi.org/10.3390/app15084333

APA Style

Chen, S., He, P., & Tian, S. (2025). Numerical Method for Aeroelastic Simulation of Flexible Aircraft in High Maneuver Flight Based on Rigid–Flexible Model. Applied Sciences, 15(8), 4333. https://doi.org/10.3390/app15084333

Note that from the first issue of 2016, this journal uses article numbers instead of page numbers. See further details here.

Article Metrics

Back to TopTop