Prediction of In-Hospital Mortality in Non-ST-Segment Elevation Myocardial Infarction, Based on Interpretable Machine Learning
Abstract
1. Introduction
2. Methods
2.1. Data Source
2.2. Study Population
2.3. Variable Extraction
2.4. Statistical Analysis
3. Results
3.1. Baseline Characteristics
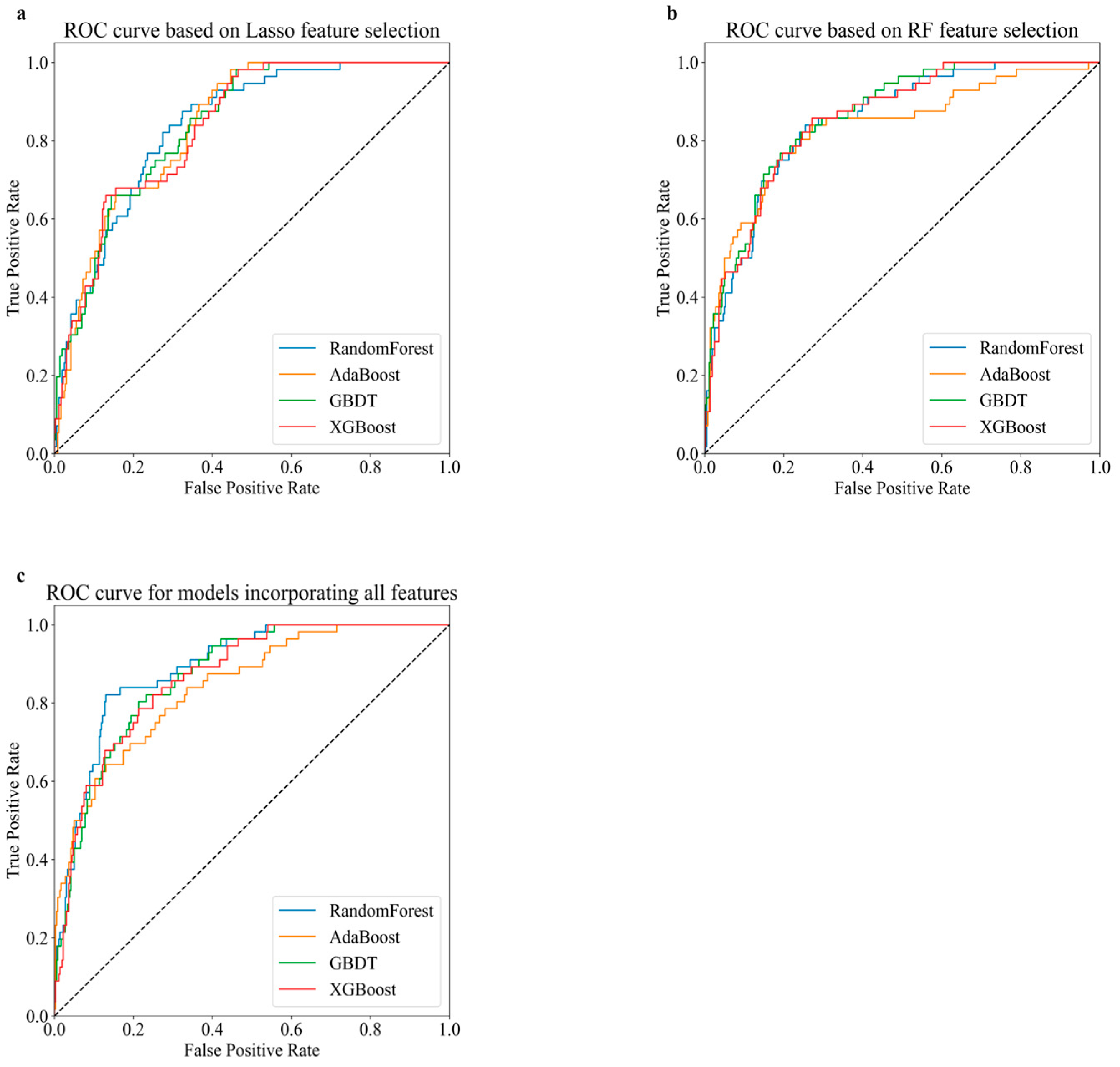
3.2. Model Evaluation and Comparison
3.3. Interpretability Analysis
4. Discussion
5. Conclusions
Supplementary Materials
Author Contributions
Funding
Institutional Review Board Statement
Informed Consent Statement
Data Availability Statement
Conflicts of Interest
Abbreviations
| Abbreviation | Full Term |
| ACEI | Angiotensin-converting enzyme inhibitors |
| ACS | Acute coronary syndrome |
| AdaBoost | Adaptive Boosting |
| ADASYN | Adaptive Synthetic Sampling |
| AF count | Count of atrial fibrillation episodes |
| ALT | Alanine aminotransferase |
| APSIII | Acute Physiology Score III |
| AST | Aspartate aminotransferase |
| AUC | Area under the curve |
| BMI | Body mass index |
| CCI | Charlson comorbidity index |
| CK | Creatine kinase |
| CRP | C-reactive protein |
| GBDT | Gradient Boosting Decision Tree |
| GRACE | Global Registry of Acute Coronary Events |
| KNN | K-Nearest Neighbors |
| Lasso | Least absolute shrinkage and selection operator |
| LDH | Lactate dehydrogenase |
| LMWH | Low-Molecular-Weight Heparin |
| LR | Logistic regression |
| LOS | Length of stay |
| MIMIC | Medical Information Mart for Intensive Care |
| ML | Machine learning |
| NB | Naive Bayes |
| NSTEMI | Non-ST-elevation myocardial infarction |
| PT | Prothrombin time |
| RDW | Red cell distribution width |
| RF | Random Forest |
| ROC | Receiver operating characteristic |
| SBP | Systolic blood pressure |
| SD | Standard deviation |
| SHAP | SHapley Additive exPlanations |
| SMOTE | Synthetic Minority Over-sampling Technique |
| SMOTEENN | Synthetic Minority Over-sampling Technique and Edited Nearest Neighbors |
| SMOTETomek | Synthetic Minority Over-sampling Technique Tomek Links |
| STEMI | ST-elevation myocardial infarction |
| SVM | Support Vector Machine |
| SVMSMOTE | Support Vector Machine Synthetic Minority Over-sampling Technique |
| TIMI | Thrombolysis in Myocardial Infarction |
| UA | Unstable angina |
| XGBoost | eXtreme Gradient Boosting |
References
- Naghavi, M.; Ong, K.L.; Aali, A.; Ababneh, H.S.; Abate, Y.H.; Abbafati, C.; Abbasgholizadeh, R.; Abbasian, M.; Abbasi-Kangevari, M.; Abbastabar, H.; et al. Global burden of 288 causes of death and life expectancy decomposition in 204 countries and territories and 811 subnational locations, 1990–2021: A systematic analysis for the Global Burden of Disease Study 2021. Lancet 2024, 403, 2100–2132. [Google Scholar] [CrossRef]
- Rahimi, K.; Duncan, M.; Pitcher, A.; Emdin, C.A.; Goldacre, M.J. Mortality from heart failure, acute myocardial infarction and other ischaemic heart disease in England and Oxford: A trend study of multiple-cause-coded death certification. J. Epidemiol. Community Health 2015, 69, 1000–1005. [Google Scholar] [CrossRef] [PubMed]
- Ibanez, B.; James, S.; Agewall, S.; Antunes, M.J.; Bucciarelli-Ducci, C.; Bueno, H.; Caforio, A.L.P.; Crea, F.; Goudevenos, J.A.; Halvorsen, S.; et al. 2017 ESC Guidelines for the management of acute myocardial infarction in patients presenting with ST-segment elevation: The Task Force for the management of acute myocardial infarction in patients presenting with ST-segment elevation of the European Society of Cardiology (ESC). Eur. Heart J. 2018, 39, 119–177. [Google Scholar] [CrossRef]
- Hedayati, T.; Yadav, N.; Khanagavi, J. Non-ST-Segment Acute Coronary Syndromes. Cardiol. Clin. 2018, 36, 37–52. [Google Scholar] [CrossRef]
- Widimsky, P.; Wijns, W.; Fajadet, J.; de Belder, M.; Knot, J.; Aaberge, L.; Andrikopoulos, G.; Baz, J.A.; Betriu, A.; Claeys, M.; et al. Reperfusion therapy for ST elevation acute myocardial infarction in Europe: Description of the current situation in 30 countries. Eur. Heart J. 2010, 31, 943–957. [Google Scholar] [CrossRef]
- McManus, D.D.; Gore, J.; Yarzebski, J.; Spencer, F.; Lessard, D.; Goldberg, R.J. Recent trends in the incidence, treatment, and outcomes of patients with STEMI and NSTEMI. Am. J. Med. 2011, 124, 40–47. [Google Scholar] [CrossRef]
- Liu, Y.; Du, L.; Li, L.; Xiong, L.; Luo, H.; Kwaku, E.; Mei, X.; Wen, C.; Cui, Y.Y.; Zhou, Y.; et al. Development and validation of a machine learning-based readmission risk prediction model for non-ST elevation myocardial infarction patients after percutaneous coronary intervention. Sci. Rep. 2024, 14, 13393. [Google Scholar] [CrossRef] [PubMed]
- Polonski, L.; Gasior, M.; Gierlotka, M.; Osadnik, T.; Kalarus, Z.; Trusz-Gluza, M.; Zembala, M.; Wilczek, K.; Lekston, A.; Zdrojewski, T.; et al. A comparison of ST elevation versus non-ST elevation myocardial infarction outcomes in a large registry database: Are non-ST myocardial infarctions associated with worse long-term prognoses? Int. J. Cardiol. 2011, 152, 70–77. [Google Scholar] [CrossRef]
- D’Souza, M.; Sarkisian, L.; Saaby, L.; Poulsen, T.S.; Gerke, O.; Larsen, T.B.; Diederichsen, A.C.; Jangaard, N.; Diederichsen, S.Z.; Hosbond, S.; et al. Diagnosis of unstable angina pectoris has declined markedly with the advent of more sensitive troponin assays. Am. J. Med. 2015, 128, 852–860. [Google Scholar] [CrossRef]
- Katritsis, D.G.; Siontis, G.C.; Kastrati, A.; van’t Hof, A.W.; Neumann, F.J.; Siontis, K.C.; Ioannidis, J.P. Optimal timing of coronary angiography and potential intervention in non-ST-elevation acute coronary syndromes. Eur. Heart J. 2011, 32, 32–40. [Google Scholar] [CrossRef]
- Kasim, S.; Malek, S.; Song, C.; Wan Ahmad, W.A.; Fong, A.; Ibrahim, K.S.; Safiruz, M.S.; Aziz, F.; Hiew, J.H.; Ibrahim, N. In-hospital mortality risk stratification of Asian ACS patients with artificial intelligence algorithm. PLoS ONE 2022, 17, e0278944. [Google Scholar] [CrossRef] [PubMed]
- Kwon, J.M.; Jeon, K.H.; Kim, H.M.; Kim, M.J.; Lim, S.; Kim, K.H.; Song, P.S.; Park, J.; Choi, R.K.; Oh, B.H. Deep-learning-based risk stratification for mortality of patients with acute myocardial infarction. PLoS ONE 2019, 14, e0224502. [Google Scholar] [CrossRef]
- Yalcin Ocak, N.; Yesilaras, M.; Kilicaslan, B.; Eyler, Y.; Mutlu, İ.; Kutlu, M. Comparing TIMI, HEART, and GRACE Risk Scores to Predict Angiographic Severity of Coronary Artery Disease and 30-Day Major Adverse Cardiac Events in Emergency Department Patients with NSTEACS. Prehospital Disaster Med. 2023, 38, 740–748. [Google Scholar] [CrossRef]
- Sawalha, K.; Khan, S.; Suarez, E.; Beresic, N.; Kamoga, G.R. Is the thrombolysis in myocardial infarction (TIMI) score a reliable source in a rural hospital for the management of unstable angina/non-ST elevated myocardial infarctions (UA/NSTEMI)? J. Community Hosp. Intern. Med. Perspect. 2021, 11, 446–449. [Google Scholar] [CrossRef]
- Akan, A.; Özlü, I. Correlation of osteopontin hormone with TIMI score and cardiac markers in patients with acute coronary syndrome presenting with chest pain. Cardiovasc. J. Afr. 2024, 34, 1–8. [Google Scholar] [CrossRef]
- Krishnamurthy, S.N.; Pocock, S.; Kaul, P.; Owen, R.; Goodman, S.G.; Granger, C.B.; Nicolau, J.C.; Simon, T.; Westermann, D.; Yasuda, S.; et al. Comparing the long-term outcomes in chronic coronary syndrome patients with prior ST-segment and non-ST-segment elevation myocardial infarction: Findings from the TIGRIS registry. BMJ Open 2023, 13, e070237. [Google Scholar] [CrossRef] [PubMed]
- Kumar, D.; Saghir, T.; Zahid, M.; Ashok, A.; Kumar, M.; Ali Shah, A.; Shahid, I.; Ali, S.; Haque, A.; Karim, M. Validity of TIMI Score for Predicting 14-Day Mortality of Non-ST Elevation Myocardial Infarction Patients. Cureus 2021, 13, e12518. [Google Scholar] [CrossRef] [PubMed]
- Chen, X.; Wu, H.; Li, L.; Zhao, X.; Zhang, C.; Wang, W.E. The prognostic utility of GRACE risk score in predictive adverse cardiovascular outcomes in patients with NSTEMI and multivessel disease. BMC Cardiovasc. Disord. 2022, 22, 568. [Google Scholar] [CrossRef]
- Yanqiao, L.; Shen, L.; Yutong, M.; Linghong, S.; Ben, H. Comparison of GRACE and TIMI risk scores in the prediction of in-hospital and long-term outcomes among East Asian non-ST-elevation myocardial infarction patients. BMC Cardiovasc. Disord. 2022, 22, 4. [Google Scholar] [CrossRef]
- Weng, S.F.; Reps, J.; Kai, J.; Garibaldi, J.M.; Qureshi, N. Can machine-learning improve cardiovascular risk prediction using routine clinical data? PLoS ONE 2017, 12, e0174944. [Google Scholar] [CrossRef]
- Liu, W.; Laranjo, L.; Klimis, H.; Chiang, J.; Yue, J.; Marschner, S.; Quiroz, J.C.; Jorm, L.; Chow, C.K. Machine-learning versus traditional approaches for atherosclerotic cardiovascular risk prognostication in primary prevention cohorts: A systematic review and meta-analysis. Eur. Heart J. Qual. Care Clin. Outcomes 2023, 9, 310–322. [Google Scholar] [CrossRef]
- Kasim, S.; Amir Rudin, P.N.F.; Malek, S.; Aziz, F.; Wan Ahmad, W.A.; Ibrahim, K.S.; Muhmad Hamidi, M.H.; Raja Shariff, R.E.; Fong, A.Y.Y.; Song, C. Data analytics approach for short- and long-term mortality prediction following acute non-ST-elevation myocardial infarction (NSTEMI) and Unstable Angina (UA) in Asians. PLoS ONE 2024, 19, e0298036. [Google Scholar] [CrossRef] [PubMed]
- Lee, W.; Lee, J.; Woo, S.I.; Choi, S.H.; Bae, J.W.; Jung, S.; Jeong, M.H.; Lee, W.K. Machine learning enhances the performance of short and long-term mortality prediction model in non-ST-segment elevation myocardial infarction. Sci. Rep. 2021, 11, 12886. [Google Scholar] [CrossRef]
- Petch, J.; Di, S.; Nelson, W. Opening the Black Box: The Promise and Limitations of Explainable Machine Learning in Cardiology. Can. J. Cardiol. 2022, 38, 204–213. [Google Scholar] [CrossRef] [PubMed]
- Cabitza, F.; Rasoini, R.; Gensini, G.F. Unintended Consequences of Machine Learning in Medicine. JAMA 2017, 318, 517–518. [Google Scholar] [CrossRef]
- Lundberg, S.M.; Erion, G.G.; Lee, S.I. Consistent Individualized Feature Attribution for Tree Ensembles. arXiv 2018, arXiv:1802.03888. [Google Scholar]
- Johnson, A.E.W.; Bulgarelli, L.; Shen, L.; Gayles, A.; Shammout, A.; Horng, S.; Pollard, T.J.; Hao, S.; Moody, B.; Gow, B.; et al. MIMIC-IV, a freely accessible electronic health record dataset. Sci. Data 2023, 10, 1. [Google Scholar] [CrossRef] [PubMed]
- Hu, J.; Szymczak, S. A review on longitudinal data analysis with random forest. Brief. Bioinform. 2023, 24, bbad002. [Google Scholar] [CrossRef]
- Silva, G.F.S.; Fagundes, T.P.; Teixeira, B.C.; Chiavegatto Filho, A.D.P. Machine Learning for Hypertension Prediction: A Systematic Review. Curr. Hypertens. Rep. 2022, 24, 523–533. [Google Scholar] [CrossRef]
- Zhou, J.; Xie, M.; Dong, N.; Xie, M.; Liu, J.; Wang, M.; Wang, Y.; Xu, H.G. Machine Learning of Laboratory Data in Predicting 30-Day Mortality for Adult Hemophagocytic Lymphohistiocytosis. J. Clin. Immunol. 2024, 45, 12. [Google Scholar] [CrossRef]
- Géron, A. Hands-On Machine Learning with Scikit-Learn, Keras, and TensorFlow: Concepts, Tools, and Techniques to Build Intelligent Systems; O’Reilly Media Inc.: Sebastopol, CA, USA, 2022. [Google Scholar]
- Kong, S.; Chen, C.; Zheng, G.; Yao, H.; Li, J.; Ye, H.; Wang, X.; Qu, X.; Zhou, X.; Lu, Y.; et al. A prognostic nomogram for long-term major adverse cardiovascular events in patients with acute coronary syndrome after percutaneous coronary intervention. BMC Cardiovasc. Disord. 2021, 21, 253. [Google Scholar] [CrossRef] [PubMed]
- Emakhu, J.; Monplaisir, L.; Aguwa, C.; Arslanturk, S.; Masoud, S.; Nassereddine, H.; Hamam, M.S.; Miller, J.B. Acute coronary syndrome prediction in emergency care: A machine learning approach. Comput. Methods Programs Biomed. 2022, 225, 107080. [Google Scholar] [CrossRef]
- Gomes, B.; Pilz, M.; Reich, C.; Leuschner, F.; Konstandin, M.; Katus, H.A.; Meder, B. Machine learning-based risk prediction of intrahospital clinical outcomes in patients undergoing TAVI. Clin. Res. Cardiol. 2021, 110, 343–356. [Google Scholar] [CrossRef] [PubMed]
- Chopannejad, S.; Sadoughi, F.; Bagherzadeh, R.; Shekarchi, S. Predicting Major Adverse Cardiovascular Events in Acute Coronary Syndrome: A Scoping Review of Machine Learning Approaches. Appl. Clin. Inform. 2022, 13, 720–740. [Google Scholar] [CrossRef] [PubMed]
- Liu, H.; Xing, F.; Jiang, J.; Chen, Z.; Xiang, Z.; Duan, X. Random forest predictive modeling of prolonged hospital length of stay in elderly hip fracture patients. Front. Med. 2024, 11, 1362153. [Google Scholar] [CrossRef]
- Rotenberg, Z.; Davidson, E.; Weinberger, I.; Fuchs, J.; Sperling, O.; Agmon, J. The efficiency of lactate dehydrogenase isoenzyme determination for the diagnosis of acute myocardial infarction. Arch. Pathol. Lab. Med. 1988, 112, 895–897. [Google Scholar]
- Weidner, N. Laboratory diagnosis of acute myocardial infarct: Usefulness of determination of lactate dehydrogenase (LDH)-1 level and of ratio of LDH-1 to total LDH. Arch. Pathol. Lab. Med. 1982, 106, 375–377. [Google Scholar]
- Patschan, D.; Witzke, O.; Duhrsen, U.; Erbel, R.; Philipp, T.; Herget-Rosenthal, S. Acute myocardial infarction in thrombotic microangiopathies--clinical characteristics, risk factors and outcome. Nephrol. Dial. Transplant. 2006, 21, 1549–1554. [Google Scholar] [CrossRef]
- Li, H.; Chen, J.; Xing, X.; Lou, D. Association of lactate detection with in-hospital mortality in critically ill patients with acute myocardial infarction: A retrospective cohort study. BMJ Open 2023, 13, e069129. [Google Scholar] [CrossRef]
- Aleksandar, J.; Vladan, P.; Markovic-Jovanovic, S.; Stolic, R.; Mitic, J.; Smilic, T. Hyperlactatemia and the Outcome of Type 2 Diabetic Patients Suffering Acute Myocardial Infarction. J. Diabetes Res. 2016, 2016, 6901345. [Google Scholar] [CrossRef]
- Gatien, M.; Stiell, I.; Wielgosz, A.; Ooi, D.; Lee, J.S. Diagnostic performance of venous lactate on arrival at the emergency department for myocardial infarction. Acad. Emerg. Med. 2005, 12, 106–113. [Google Scholar] [CrossRef] [PubMed]
- Byun, J.K.; Choi, B.G.; Rha, S.W.; Choi, S.Y.; Jeong, M.H. Comparison of angiotensin-converting enzyme inhibitors and angiotensin II receptor blockers in patients with diabetes mellitus and non-ST-segment elevation myocardial infarction who underwent successful percutaneous coronary intervention. Atherosclerosis 2018, 277, 130–135. [Google Scholar] [CrossRef] [PubMed]
- Nadarajah, R.; Ludman, P.; Appelman, Y.; Brugaletta, S.; Budaj, A.; Bueno, H.; Huber, K.; Kunadian, V.; Leonardi, S.; Lettino, M.; et al. Cohort profile: The ESC EURObservational Research Programme Non-ST-segment elevation myocardial infraction (NSTEMI) Registry. Eur. Heart J. Qual. Care Clin. Outcomes 2022, 9, 8–15. [Google Scholar] [CrossRef]
- González-Cambeiro, M.C.; López-López, A.; Abu-Assi, E.; Raposeiras-Roubín, S.; Peña-Gil, C.; García-Acuña, J.; González-Juanatey, R. Mortality benefit of long-term angiotensin-converting enzyme inhibitors or angiotensin receptor blockers after successful percutaneous coronary intervention in non-ST elevation acute myocardial infarction. Rev. Port. Cardiol. 2016, 35, 645–653. [Google Scholar] [CrossRef] [PubMed]
- de Chickera, S.N.; Bota, S.E.; Kuwornu, J.P.; Wijeysundera, H.C.; Molnar, A.O.; Lam, N.N.; Silver, S.A.; Clark, E.G.; Sood, M.M. Albuminuria, Reduced Kidney Function, and the Risk of ST- and non-ST-segment–elevation myocardial infarction. J. Am. Heart Assoc. 2018, 7, e009995. [Google Scholar] [CrossRef]
- Açıkgöz, S.K.; Akboğa, M.K.; Açıkgöz, E.; Yayla, Ç.; Şensoy, B.; Aydoğdu, S. Red cell distribution width predicts totally occluded infarct-related artery in NSTEMI. Scand. Cardiovasc. J. 2016, 50, 224–229. [Google Scholar] [CrossRef]
- Gul, M.; Uyarel, H.; Ergelen, M.; Karacimen, D.; Ugur, M.; Turer, A.; Bozbay, M.; Ayhan, E.; Akgul, O.; Uslu, N. The relationship between red blood cell distribution width and the clinical outcomes in non-ST elevation myocardial infarction and unstable angina pectoris: A 3-year follow-up. Coron. Artery Dis. 2012, 23, 330–336. [Google Scholar] [CrossRef] [PubMed]
- Polat, N.; Yildiz, A.; Oylumlu, M.; Kaya, H.; Acet, H.; Akil, M.A.; Yuksel, M.; Bilik, M.Z.; Aydin, M.; Ulgen, M.S. Relationship Between Red Cell Distribution Width and the GRACE Risk Score with In-Hospital Death in Patients with Acute Coronary Syndrome. Clin. Appl. Thromb. Hemost. 2014, 20, 577–582. [Google Scholar] [CrossRef]




| Baseline Characteristics | All | Survival | Non-Survival | p-Value |
|---|---|---|---|---|
| N | 2085 | 1805 | 280 | |
| Age | 71 (62.00, 79.00) | 70 (62.00, 78.00) | 76 (67.00, 83.25) | <0.001 |
| LOS (day) | 2.58 (1.48, 4.58) | 2.36 (1.43, 4.21) | 3.86 (2.23, 8.13) | <0.001 |
| APSIII | 42 (31.00, 56.00) | 39 (30.00, 53.00) | 62 (47.75, 77.00) | <0.001 |
| BMI | 27.89 (25.72, 30.37) | 27.89 (25.81, 30.44) | 27.89 (24.74, 29.65) | 0.04 |
| Heart Rate (bpm) | 83 (75.00, 95.00) | 81 (74.00, 92.00) | 93 (79.75, 107.00) | <0.001 |
| SBP (mmHg) | 113 (109.00, 118.00) | 113 (108.00,118.00) | 113 (113.00, 115.25) | 0.708 |
| DBP (mmHg) | 57 (54.00, 60.00) | 57 (54.00, 60.00) | 57 (54.00, 57.00) | 0.133 |
| MAP (mmHg) | 76 (73.00, 79.00) | 76 (73.00, 79.00) | 76 (74.0, 76.0) | 0.209 |
| Temperature (F) | 98.1 (97.70, 98.50) | 98.1 (97.70, 98.50) | 98 (97.68, 98.52) | 0.91 |
| AF count | 0 (0.00, 2.00) | 0 (0.00, 0.00) | 0 (0.00, 29.25) | <0.001 |
| Gender | 0.418 | |||
| Male | 138 (66.24%) | 120 (66.59%) | 179 (63.93%) | |
| Female | 704 (33.76%) | 603 (33.41%) | 101 (36.07%) | |
| Race | 0.652 | |||
| Asian | 43 (2.06%) | 37 (2.05%) | 6 (2.14%) | |
| Black | 159 (7.63%) | 140 (7.76%) | 19 (6.79%) | |
| Hispanic/Latino | 77 (3.69%) | 67 (3.71%) | 10 (3.57%) | |
| Other | 64 (3.07%) | 59 (3.27%) | 5 (1.79%) | |
| Unknown | 468 (22.45%) | 397 (21.99%) | 71 (25.36%) | |
| White | 1274 (61.10%) | 1105 (61.22%) | 169 (60.36%) | |
| ACEI | <0.001 | |||
| No | 1437 (68.92%) | 1193 (66.09%) | 244 (87.14%) | |
| Yes | 648 (31.08%) | 612 (33.91%) | 36 (12.86%) | |
| History of congestive heart failure | <0.001 | |||
| No | 949 (45.52%) | 859 (47.59%) | 90 (32.14%) | |
| Yes | 1136 (54.48%) | 946 (52.41%) | 190 (67.86%) | |
| History of peripheral vascular disease | 0.254 | |||
| No | 1743 (83.60%) | 1516 (83.99%) | 227 (81.07%) | |
| Yes | 342 (16.40%) | 289 (16.01%) | 53 (18.93%) | |
| History of cerebrovascular disease | 0.002 | |||
| No | 1746 (83.74%) | 1530 (84.76%) | 216 (77.14%) | |
| Yes | 339 (16.26%) | 275 (15.24%) | 64 (22.86%) | |
| History of chronic pulmonary disease | 0.066 | |||
| No | 1570 (75.30%) | 1372 (76.01%) | 198 (70.71%) | |
| Yes | 515 (24.70%) | 433 (23.99%) | 82 (29.29%) | |
| History of renal disease | <0.001 | |||
| No | 1310 (62.83%) | 1163 (64.43%) | 147 (52.50%) | |
| Yes | 775 (37.17%) | 642 (35.57%) | 133 (47.50%) | |
| History of diabetes | 0.036 | |||
| No | 1081 (51.85%) | 919 (50.91%) | 162 (57.86%) | |
| Yes | 1004 (48.15%) | 886 (49.09%) | 118 (42.14%) | |
| Aspirin | <0.001 | |||
| No | 214 (10.26%) | 146 (8.09%) | 68 (24.29%) | |
| Yes | 1871 (89.74%) | 1659 (91.91%) | 212 (75.71%) | |
| Antiplatelet drugs | 0.922 | |||
| No | 1458 (69.93%) | 1261 (69.86%) | 197 (70.36%) | |
| Yes | 627 (30.07%) | 544 (30.14%) | 83 (29.64%) | |
| Statins | <0.001 | |||
| No | 378 (18.13%) | 288 (15.96%) | 90 (32.14%) | |
| Yes | 1707 (81.87%) | 1517 (84.04%) | 190 (67.86%) | |
| Methods | Accuracy | Precision | Recall | F1 Score | AUC |
|---|---|---|---|---|---|
| RF (all) | 0.8513 | 0.9016 | 0.8513 | 0.8670 | 0.8903 |
| AdaBoost (all) | 0.8201 | 0.8657 | 0.8201 | 0.8370 | 0.8426 |
| GBDT (all) | 0.8345 | 0.8730 | 0.8345 | 0.8488 | 0.8689 |
| XGBoost (all) | 0.8417 | 0.8780 | 0.8417 | 0.8550 | 0.8659 |
| RF (Lasso) | 0.7746 | 0.8590 | 0.7746 | 0.8032 | 0.8388 |
| AdaBoost (Lasso) | 0.7338 | 0.8502 | 0.7338 | 0.7718 | 0.8396 |
| GBDT (Lasso) | 0.7674 | 0.8574 | 0.7674 | 0.7977 | 0.8402 |
| XGBoost (Lasso) | 0.7530 | 0.8572 | 0.7530 | 0.7870 | 0.8355 |
| RF (RF) | 0.7650 | 0.8781 | 0.7650 | 0.7987 | 0.8501 |
| AdaBoost (RF) | 0.7986 | 0.8792 | 0.7986 | 0.8241 | 0.8320 |
| GBDT (RF) | 0.7794 | 0.8779 | 0.7794 | 0.8096 | 0.8634 |
| XGBoost (RF) | 0.7650 | 0.8750 | 0.7650 | 0.7983 | 0.8556 |
| Study | Model | Dataset | Accuracy | Precision | Recall | F1 Score | AUC |
|---|---|---|---|---|---|---|---|
| Our study | RF | Medical Information Mart for Intensive Care | 0.8513 | 0.9016 | 0.8513 | 0.8670 | 0.8903 |
| Yanxu Liu et al. [7] | Logistic regression (LR) | Affiliated Hospital of North Sichuan Medical College | 0.756 | - | 0.625 | - | 0.749 |
| Woojoo Lee et al. [23] | RF | Korean Registry of Acute Myocardial Infarction for Regional Cardiocerebrovascular Centers | 0.792 | - | 0.758 | 0.220 | 0.889 |
| Sazzli Kasim et al. [22] | XGBoost | Malaysian National Cardiovascular Disease Database | 0.874 | - | 0.716 | - | 0.883 |
Disclaimer/Publisher’s Note: The statements, opinions and data contained in all publications are solely those of the individual author(s) and contributor(s) and not of MDPI and/or the editor(s). MDPI and/or the editor(s) disclaim responsibility for any injury to people or property resulting from any ideas, methods, instructions or products referred to in the content. |
© 2025 by the authors. Licensee MDPI, Basel, Switzerland. This article is an open access article distributed under the terms and conditions of the Creative Commons Attribution (CC BY) license (https://creativecommons.org/licenses/by/4.0/).
Share and Cite
Cao, M.; Li, C. Prediction of In-Hospital Mortality in Non-ST-Segment Elevation Myocardial Infarction, Based on Interpretable Machine Learning. Appl. Sci. 2025, 15, 4226. https://doi.org/10.3390/app15084226
Cao M, Li C. Prediction of In-Hospital Mortality in Non-ST-Segment Elevation Myocardial Infarction, Based on Interpretable Machine Learning. Applied Sciences. 2025; 15(8):4226. https://doi.org/10.3390/app15084226
Chicago/Turabian StyleCao, Mengru, and Chunhui Li. 2025. "Prediction of In-Hospital Mortality in Non-ST-Segment Elevation Myocardial Infarction, Based on Interpretable Machine Learning" Applied Sciences 15, no. 8: 4226. https://doi.org/10.3390/app15084226
APA StyleCao, M., & Li, C. (2025). Prediction of In-Hospital Mortality in Non-ST-Segment Elevation Myocardial Infarction, Based on Interpretable Machine Learning. Applied Sciences, 15(8), 4226. https://doi.org/10.3390/app15084226
