Seismic Non-Limited Active Earth Pressure Analysis of Retaining Walls Under Rotation-About-the-Base Mode
Abstract
1. Introduction
- (1)
- Simplistic critical displacement thresholds: Existing theories arbitrarily define critical displacements as fixed values (e.g., 0.01% H–0.05% H) based on Fang’s assumptions [12], neglecting their dependence on wall displacement modes.
- (2)
- Methodological limitations: Horizontal/slope differential element methods frequently employed in theoretical derivations disregard compatibility with actual soil failure mechanisms under specific displacement patterns. Moreover, assumed relationships between mobilized friction angles and wall displacements lack experimental validation.
- (3)
- Neglected displacement effects in seismic conditions: Few studies have systematically integrated displacement modes/states into seismic earth pressure calculations, despite backfill soils rarely reaching limit states during earthquakes.
2. Mobilized Friction Angle Under RB Active Earth Pressure Mode
2.1. Mobilized Wall–Soil Friction Angle Under RB Active Earth Pressure Mode
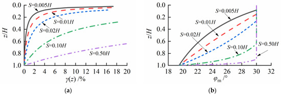
2.2. Mobilized Friction Angle of the Fill Under RB Active Earth Pressure Mode
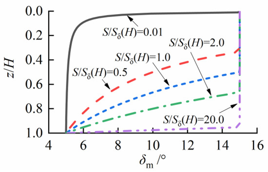
2.3. Angle Between the Shear Surface and the Horizontal Plane in RB Mode
3. Calculation Formulas for Non-Limited Seismic Active Earth Pressure
3.1. Force Analysis and Non-Limited Active Earth Pressure Calculation
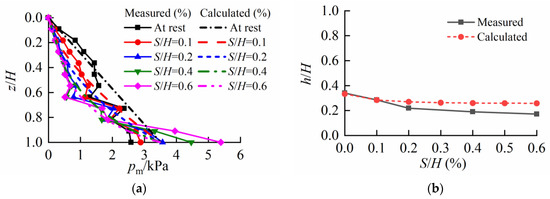
3.2. Validation of the Calculation Method
4. Parametric Analysis and Discussion
5. Summary and Conclusions
Author Contributions
Funding
Institutional Review Board Statement
Informed Consent Statement
Data Availability Statement
Conflicts of Interest
References
- Qiu, Y.L.; Yao, L.K.; Qin, W. Characteristic analysis of the damaged retaining wall in Wenchuan earthquake. J. Chongqing Jiaotong Univ. (Nat. Sci.) 2010, 29, 576–581. [Google Scholar]
- Kloukinas, P.; Langousis, M.; Mylonakis, G. Simple wave solution for seismic earth pressures on nonyielding walls. J. Geotech. Geoenviron. Eng. 2012, 138, 1514–1519. [Google Scholar] [CrossRef]
- Veletsos, A.S.; Younan, A.H. Dynamic response of cantilever retaining walls. J. Geotech. Geoenviron. Eng 1997, 123, 161–172. [Google Scholar] [CrossRef]
- Mononobe, N.; Matsho, H. On the determination of earthquake pressure during earthquake. Proc. World Eng. Congr. 1929, 9, 177–185. [Google Scholar]
- Okabe, S. General Theory on earth pressure and seismic stability of retaining wall and dam. Proc. Civ. Eng. Soc. 1924, 10, 1277–1323. [Google Scholar]
- Nakamura, S. Re-examination of Mononobe-Okabe theory of gravity retaining walls using centrifuge model tests. Soils Found. 2006, 46, 135–146. [Google Scholar] [CrossRef]
- Mikola, R.G.; Candia, G.; Sitar, N. Seismic earth pressures on retaining structures and basement walls in cohesionless soils. J. Geotech. Geoenviron. Eng. 2016, 142, 04016047. [Google Scholar] [CrossRef]
- Candia, G.; Mikola, R.G.; Sitar, N. Seismic response of retaining walls with cohesive backfill: Centrifuge model studies. Soil Dyn. Earthq. Eng. 2016, 90, 411–419. [Google Scholar] [CrossRef]
- Wagner, N.; Sitar, N. On seismic response of stiff and flexible retaining structures. Soil Dyn. Earthq. Eng. 2016, 91, 284–293. [Google Scholar] [CrossRef]
- Lin, Z.; Jiang, Y.; Xiong, Y.; Xu, C.; Guo, Y.; Wang, C.; Fang, T. Analytical solution for displacement-dependent active earth pressure considering the stiffness of cantilever retaining structure in cohesionless soil. Comput. Geotech. 2024, 170, 106258. [Google Scholar] [CrossRef]
- Bang, S. Active earth pressure behind retaining walls. J. Geotech. Eng. 1985, 111, 407–412. [Google Scholar] [CrossRef]
- Fang, Y.; Ishibashi, I. Static earth pressure with various wall movements. J. Geotech. Eng. 1986, 112, 317–333. [Google Scholar] [CrossRef]
- Xia, J.; Dou, G.; Su, Q.; Bai, W.; Yuan, F. Experiment study on non-limit passive earth pressure of clay under different displacement modes. J. Southwest Jiaotong Univ. 2019, 54, 769–777. (In Chinese) [Google Scholar]
- Zhang, Z.; Qie, B.; Xu, F.; Wang, W.; Liu, Z.; Lin, X.; Huang, A. Experimental study on the nonlimit active earth pressure of finite soil in proximity engineering. Sci. Rep. 2024, 14, 30212. [Google Scholar] [CrossRef]
- Hu, W.; Zhu, X.; Hu, T.; Wang, W.; Lin, G. Non-limit passive earth pressure against cantilever flexible retaining wall in foundation pit considering the displacement. PLoS ONE 2022, 17, e0264690. [Google Scholar] [CrossRef] [PubMed]
- Li, M.; Yi, J.; Zhang, J.; Shi, X. Numerical solution for nonlimit-state earth pressure considering interlayer shear stress and the soil arching effect. Comput. Geotech. 2023, 164, 105778. [Google Scholar] [CrossRef]
- Chen, L. Active earth pressure of retaining wall considering wall movement. Eur. J. Environ. Civ. Eng. 2014, 18, 910–926. [Google Scholar] [CrossRef]
- Mei, G.X.; Chen, R.; Liu, J. New insight into developing mathematical models for predicting deformation-dependent lateral earth pressure. Int. J. Geomech. 2017, 17, 06017003. [Google Scholar] [CrossRef]
- Alamdari, N.S.; Khosravi, M.H.; Katebi, H. Distribution of lateral active earth pressure on a rigid retaining wall under various motion modes. Int. J. Min. Geo Eng. 2020, 54, 15–25. [Google Scholar]
- Patel, S.; Deb, K. Study of active earth pressure behind a vertical retaining wall subjected to rotation about the base. Int. J. Geomech. 2020, 20, 04020028. [Google Scholar] [CrossRef]
- Yang, M.H.; Tang, X.C. Rigid retaining walls with narrow cohesionless backfills under various wall movement modes. Int. J. Geomech. 2017, 17, 04017098. [Google Scholar] [CrossRef]
- Chen, F.Q.; Zhang, Y.B.; Lin, Y.J.; Huang, M. Active earth pressure against inverted T-type retaining walls under translation mode. Int. J. Geomech. 2021, 21, 04021077. [Google Scholar] [CrossRef]
- Ni, P.; Mangalathu, S.; Song, L.; Mei, G.; Zhao, Y. Displacement-dependent lateral earth pressure models. J. Eng. Mech. 2018, 144, 04018032. [Google Scholar] [CrossRef]
- Yao, T.; Li, J.P.; Ma, Y. Lateral earth pressure considering the displacement of a rigid retaining wall. Int. J. Geomech. 2018, 18, 06018031. [Google Scholar]
- Liang, L.; Xu, C.; Fan, X.; Chen, Q. Hyperbolic stress-strain behaviour of sandy soil under plane strain unloading condition and its application on predicting displacement-dependent active earth pressure. Comput. Geotech. 2023, 155, 105219. [Google Scholar] [CrossRef]
- Yang, D.; Lai, F.; Liu, S. Earth pressure in narrow cohesive-fictional soils behind retaining walls rotated about the top: An analytical approach. Comput. Geotech. 2022, 149, 104849. [Google Scholar] [CrossRef]
- Khosravi, M.H.; Pipatpongsa, T.; Takemura, J. Experimental analysis of earth pressure against rigid retaining walls under translation mode. Géotechnique 2013, 63, 1020–1028. [Google Scholar] [CrossRef]
- Rui, R.; Ye, Y.Q.; Han, J.; Zhang, L.; Zhai, Y.X. Experimental and theoretical investigations on active earth pressure distributions behind rigid retaining walls with narrow backfill under a translational mode. Int. J. Geomech. 2020, 20, 04020178. [Google Scholar] [CrossRef]
- Deng, C.; Haigh, S.K. Sand deformation mechanisms mobilised with active retaining wall movement. Géotechnique 2022, 72, 260–273. [Google Scholar] [CrossRef]
- Deng, C.; Haigh, S.K. Earth pressures mobilised in dry sand with active rigid retaining wall movement. Géotechnique Lett. 2021, 11, 1–21. [Google Scholar] [CrossRef]
- Perozzi, D.; Puzrin, A.M. Experimental study of the earth pressure evolution on a model wall rotating about its base. J. Geotech. Geoenviron. Eng. 2024, 150, 04024048. [Google Scholar] [CrossRef]
- Jiang, M.; He, J.; Wang, J.; Liu, F.; Zhang, W. Distinct simulation of earth pressure against a rigid retaining wall considering inter-particle rolling resistance in sandy backfill. Granul. Matter 2014, 16, 797–814. [Google Scholar] [CrossRef]
- Nadukuru, S.; Michalowski, R. Arching in distribution of active load on retaining walls. J. Geotech. Geoenviron. Eng. 2012, 138, 575–584. [Google Scholar] [CrossRef]
- Sizkow, S.F.; El Shamy, U. Discrete-element method simulations of the seismic response of flexible retaining walls. J. Geotech. Geoenviron. Eng. 2021, 147, 04020157. [Google Scholar] [CrossRef]
- Xu, M.; Guo, J.W. DEM study on the development of the earth pressure of granular materials subjected to lateral cyclic loading. Comput. Geotech. 2021, 130, 103915. [Google Scholar] [CrossRef]
- Perozzi, D. Quantification of the Earth Pressure Acting on Corrosion-Damaged Cantilever Retaining Walls: An Analysis of the Soil-Structure Interaction. Ph.D. Thesis, ETH, Zurich, Switzerland, 2022. [Google Scholar]
- Chang, M.F. Lateral earth pressures behind rotating walls. Can. Geotech. J. 1997, 34, 498–509. [Google Scholar] [CrossRef]
- Jaky, J. The coefficient of earth pressure at rest. J. Soc. Hung. Archit. Eng. 1944, 78, 355–357. [Google Scholar]
- Brooker, E.W.; Ireland, H.O. Earth pressures at rest related to stress history. Can. Geotech. J. 1965, 2, 1–15. [Google Scholar] [CrossRef]
- Mtsuoka, H. Stress-strain relationships of sands based on the mobilized plane. Soils Found. 1974, 14, 47–62. [Google Scholar] [CrossRef]
- Sherif, M.A.; Fang, Y.S.; Sherif, R.I. Ka and K0 behind rotating and non-yielding walls. J. Geotech. Eng. 1985, 110, 41–56. [Google Scholar] [CrossRef]
- Abdel Aziz, E.S.M.; Taha, Y.K.; Eweada, S.N. Theoretical study of earth pressure at-rest for sandy soils. J. Eng. Sci. 2011, 39, 1–13. [Google Scholar] [CrossRef]
- Mayne, P.W.; Kulhawy, F.H. K0-OCR relationships in soil. J. Geotech. Eng. Div. 1982, 108, 851–872. [Google Scholar] [CrossRef]
- Rui, R.; Xia, R.-J.; Han, J.; Ye, Y.-Q.; Miao, X.; Elabd, M. Experimental investigations of lateral earth pressures behind rigid retaining walls under different displacement modes. Acta Geotech. 2024, 19, 2545–2562. [Google Scholar] [CrossRef]
- Ishibashi, I.; Fang, Y.S. Dynamic earth pressures with different wall movement modes. Soils Found. 1987, 27, 11–22. [Google Scholar] [CrossRef] [PubMed][Green Version]















| Source | Formula | Applicability |
|---|---|---|
| Jaky [38] | . | Sand |
| Brooker [39] | Sandy soil | |
| Matsuoka [40] | Silty sand | |
| Sherif et al. [41] | Sandy soil | |
| Abdel Aziz et al. [42] | Sandy soil | |
| Mayne et al. [43] | Overconsolidated soil |
Disclaimer/Publisher’s Note: The statements, opinions and data contained in all publications are solely those of the individual author(s) and contributor(s) and not of MDPI and/or the editor(s). MDPI and/or the editor(s) disclaim responsibility for any injury to people or property resulting from any ideas, methods, instructions or products referred to in the content. |
© 2025 by the authors. Licensee MDPI, Basel, Switzerland. This article is an open access article distributed under the terms and conditions of the Creative Commons Attribution (CC BY) license (https://creativecommons.org/licenses/by/4.0/).
Share and Cite
Sun, Z.; Wang, W. Seismic Non-Limited Active Earth Pressure Analysis of Retaining Walls Under Rotation-About-the-Base Mode. Appl. Sci. 2025, 15, 4202. https://doi.org/10.3390/app15084202
Sun Z, Wang W. Seismic Non-Limited Active Earth Pressure Analysis of Retaining Walls Under Rotation-About-the-Base Mode. Applied Sciences. 2025; 15(8):4202. https://doi.org/10.3390/app15084202
Chicago/Turabian StyleSun, Zhiliang, and Wei Wang. 2025. "Seismic Non-Limited Active Earth Pressure Analysis of Retaining Walls Under Rotation-About-the-Base Mode" Applied Sciences 15, no. 8: 4202. https://doi.org/10.3390/app15084202
APA StyleSun, Z., & Wang, W. (2025). Seismic Non-Limited Active Earth Pressure Analysis of Retaining Walls Under Rotation-About-the-Base Mode. Applied Sciences, 15(8), 4202. https://doi.org/10.3390/app15084202

