Optimal Recovery Time for Post-Activation Performance Enhancement After an Acute Bout of Plyometric Exercise on Unilateral Countermovement Jump and Postural Sway in National-Level Female Volleyball Players
Abstract
1. Introduction
2. Materials and Methods
2.1. Participants
2.2. Procedure
2.3. Post-Activation Performance Enhancement (PAPE) Protocol
2.4. Measures
2.5. Statistical Analyses
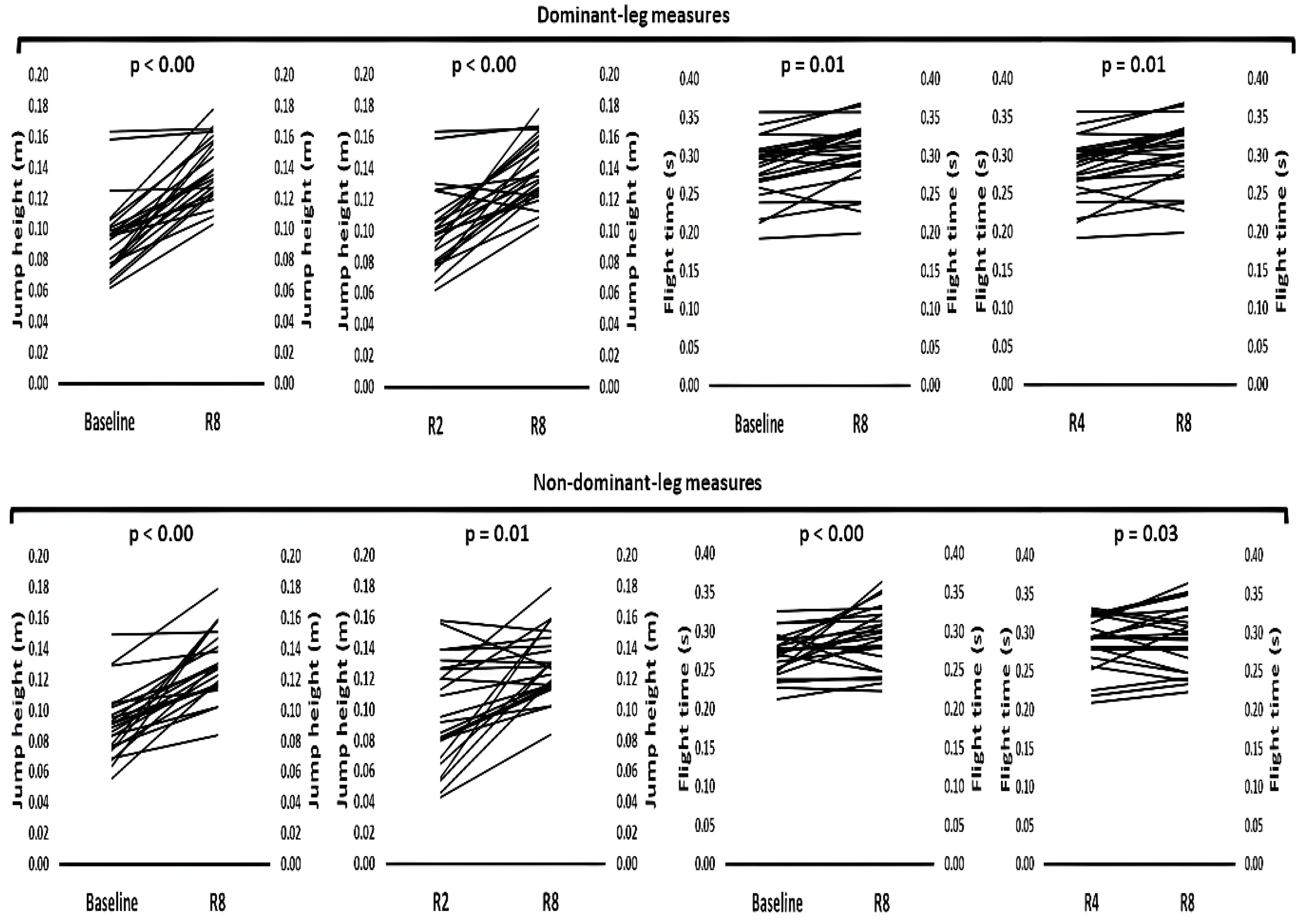
3. Results
4. Discussion
Strength and Limitations
5. Conclusions
Author Contributions
Funding
Institutional Review Board Statement
Informed Consent Statement
Data Availability Statement
Acknowledgments
Conflicts of Interest
Abbreviations
| PAP | Post-activation potentiation |
| PAPE | Post-activation performance enhancement |
| CMJ | Countermovement jump |
| RCMJ-30 | 30 s repetitive countermovement jump |
| M | Mean |
| ICC | Intraclass correlation coefficient |
| 1RM | One-repetition maximum |
| MARS | Measurement, analysis, and reporting software |
| CoP | Center of pressure |
References
- Evetovich, T.K.; Conley, D.S.; McCawley, P.F. Postactivation potentiation enhances upper- and lower-body athletic performance in collegiate male and female athletes. J. Strength Cond. Res. 2015, 29, 336–342. [Google Scholar]
- Tillin, N.A.; Bishop, D. Factors modulating post-activation potentiation and its effect on performance of subsequent explosive activities. Sports Med. 2009, 39, 147–166. [Google Scholar]
- Liu, H.; Jiang, L.; Wang, J. The effects of blood flow restriction training on post-activation potentiation and upper limb muscle activation: A meta-analysis. Front. Physiol. 2024, 15, 1395283. [Google Scholar]
- Turner, A.P.; Bellhouse, S.; Kilduff, L.P.; Russell, M. Postactivation potentiation of sprint acceleration performance using plyometric exercise. J. Strength Cond. Res. 2015, 29, 343–350. [Google Scholar]
- Kobal, R.; Loturco, I.; Barroso, R.; Gil, S.; Cuniyochi, R.; Ugrinowitsch, C.; Roschel, H.; Tricoli, V. Effects of different combinations of strength, power, and plyometric training on the physical performance of elite young soccer players. J. Strength Cond. Res. 2017, 31, 1468–1476. [Google Scholar]
- Sharma, S.K.; Raza, S.; Moiz, J.A.; Verma, S.; Naqvi, I.H.; Anwer, S.; Alghadir, A.H. Postactivation potentiation following acute bouts of plyometric versus heavy-resistance exercise in collegiate soccer players. BioMed Res. Int. 2018, 2018, 3719039. [Google Scholar]
- De Freitas, M.C.; Rossi, F.E.; Colognesi, L.A.; De Oliveira, J.V.N.; Zanchi, N.E.; Lira, F.S.; Cholewa, J.M.; Gobbo, L.A. Postactivation potentiation improves acute resistance exercise performance and muscular force in trained men. J. Strength Cond. Res. 2021, 35, 1357–1363. [Google Scholar] [CrossRef]
- Gautam, A.; Singh, P.; Varghese, V. Effects of Postactivation potentiation enhancement on sprint and change-of-direction performance in athletes: A systematic review. J. Bodyw. Mov. Ther. 2024, 39, 243–250. [Google Scholar]
- Blazevich, A.J.; Babault, N. Post-activation potentiation versus post-activation performance enhancement in humans: Historical perspective, underlying mechanisms, and current issues. Front. Physiol. 2019, 10, 1359. [Google Scholar]
- Cuenca-Fernández, F.; Smith, I.C.; Jordan, M.J.; MacIntosh, B.R.; López-Contreras, G.; Arellano, R.; Herzog, W. Nonlocalized postactivation performance enhancement (PAPE) effects in trained athletes: A pilot study. Appl. Physiol. Nutr. Metab. 2017, 42, 1122–1125. [Google Scholar]
- Prieske, O.; Behrens, M.; Chaabene, H.; Granacher, U.; Maffiuletti, N.A. Time to differentiate postactivation “potentiation” from “performance enhancement” in the strength and conditioning community. Sports Med. 2020, 50, 1559–1565. [Google Scholar] [CrossRef]
- Bauer, P.; Sansone, P.; Mitter, B.; Makivic, B.; Seitz, L.B.; Tschan, H. Acute effects of back squats on countermovement jump performance across multiple sets of a contrast training protocol in resistance-trained men. J. Strength Cond. Res. 2019, 33, 995–1000. [Google Scholar] [CrossRef] [PubMed]
- Golas, A.; Wilk, M.; Stastny, P.; Maszczyk, A.; Pajerska, K.; Zajac, A. Optimizing half squat postactivation potential load in squat jump training for eliciting relative maximal power in ski jumpers. J. Strength Cond. Res. 2017, 31, 3010–3017. [Google Scholar] [CrossRef]
- Köklü, Y.; Köklü, Ö.; Işıkdemir, E.; Alemdaroğlu, U. Effect of varying recovery duration on postactivation potentiation of explosive jump and short sprint in elite young soccer players. J. Strength Cond. Res. 2022, 36, 534–539. [Google Scholar] [CrossRef] [PubMed]
- Titton, A.; Franchini, E. Postactivation potentiation in elite young soccer players. J. Exerc. Rehabil. 2017, 13, 153–159. [Google Scholar] [CrossRef] [PubMed]
- Iacono, A.D.; Beato, M.; Halperin, I. The effects of cluster-set and traditional-set postactivation potentiation protocols on vertical jump performance. Int. J. Sports Physiol. Perform. 2019, 15, 464–469. [Google Scholar] [CrossRef]
- Ulloa-Sánchez, P.; Hernández-Elizondo, J.; Thapa, R.K.; Sortwell, A.; Ramirez-Campillo, R. Post-activation performance enhancement methods in team sport athletes: A systematic review with meta-analysis. Ger. J. Exerc. Sport Res. 2024, 1–29. [Google Scholar] [CrossRef]
- Ciocca, G.; Tschan, H.; Tessitore, A. Effects of post-activation performance enhancement (PAPE) induced by a plyometric protocol on deceleration performance. J. Hum. Kinet. 2021, 80, 5–16. [Google Scholar] [CrossRef]
- Tobin, D.P.; Delahunt, E. The acute effect of a plyometric stimulus on jump performance in professional rugby players. J. Strength Cond. Res. 2014, 28, 367–372. [Google Scholar] [CrossRef] [PubMed]
- Berriel, G.P.; Cardoso, A.S.; Costa, R.R.; Rosa, R.G.; Oliveira, H.B.; Kruel, L.F.M.; Peyré-Tartaruga, L.A. Effects of postactivation performance enhancement on the vertical jump in high-level volleyball athletes. J. Hum. Kinet. 2022, 82, 145–153. [Google Scholar] [CrossRef]
- Bogdanis, G.C.; Tsoukos, A.; Veligekas, P. Improvement of long-jump performance during competition using a plyometric exercise. Int. J. Sports Physiol. Perform. 2017, 12, 235–240. [Google Scholar]
- Tomlinson, K.A.; Hansen, K.; Helzer, D.; Lewis, Z.H.; Leyva, W.D.; McCauley, M.; Jo, E. The effects of loaded plyometric exercise during warm-up on subsequent sprint performance in collegiate track athletes: A randomized trial. Sports 2020, 8, 101. [Google Scholar] [CrossRef] [PubMed]
- Souza, V.A.; Barreto, R.V.; Mantovani, G.B.; Greco, C.C.; Denadai, B.S.; Nosaka, K.; Lima, L.C.R. Effects of loaded plyometric exercise on post-activation performance enhancement of countermovement jump in sedentary men. Res. Q. Exerc. Sport 2023, 94, 194–201. [Google Scholar]
- Guerra, M.A., Jr.; Caldas, L.C.; Souza, H.L.; Tallis, J.; Duncan, M.J.; Guimarães-Ferreira, L. The effects of physical fitness on postactivation potentiation in professional soccer athletes. J. Strength Cond. Res. 2022, 36, 1643–1647. [Google Scholar]
- Villalon-Gasch, L.; Penichet-Tomas, A.; Sebastia-Amat, S.; Pueo, B.; Jimenez-Olmedo, J.M. Postactivation performance enhancement (PAPE) increases vertical jump in elite female volleyball players. Int. J. Environ. Res. Public Health 2022, 19, 462. [Google Scholar] [CrossRef]
- Ah Sue, R.; Adams, K.J.; DeBeliso, M. Optimal timing for post-activation potentiation in women collegiate volleyball players. Sports 2016, 4, 27. [Google Scholar] [CrossRef]
- Tseng, K.W.; Chen, J.R.; Chow, J.J.; Tseng, W.C.; Condello, G.; Tai, H.L.; Fu, S.K. Post-activation performance enhancement after a bout of accentuated eccentric loading in collegiate male volleyball players. Int. J. Environ. Res. Public Health 2021, 18, 13110. [Google Scholar] [CrossRef]
- Heynen, R.; Gross, M.; Betschen, T.; Hübner, K. Post-activation performance enhancement (PAPE) increases jumping power in elite female volleyball athletes. Sports 2024, 12, 22. [Google Scholar] [CrossRef] [PubMed]
- Wilson, J.M.; Duncan, N.M.; Marin, P.J.; Brown, L.E.; Loenneke, J.P.; Wilson, S.M.; Edward, J.; Lowery, R.P.; Ugrinowitsch, C. Meta-analysis of postactivation potentiation and power: Effects of conditioning activity, volume, gender, rest periods, and training status. J. Strength Cond. Res. 2013, 27, 854–859. [Google Scholar] [PubMed]
- Till, K.A.; Cooke, C. The effects of postactivation potentiation on sprint and jump performance of male academy soccer players. J. Strength Cond. Res. 2009, 23, 1960–1967. [Google Scholar] [PubMed]
- Pau, M.; Loi, A.; Pezzotta, M.C. Does sensorimotor training improve the static balance of young volleyball players? Sports Biomech. 2012, 11, 97–107. [Google Scholar] [PubMed]
- Borzucka, D.; Kręcisz, K.; Rektor, Z.; Kuczyński, M. Differences in static postural control between top-level male athletes and non-athletes. Sci. Rep. 2020, 10, 19334. [Google Scholar]
- Riemann, B.L.; Schmitz, R. The relationship between various modes of single-leg postural control assessment. Int. J. Sports Phys. Ther. 2012, 7, 257–266. [Google Scholar]
- de Oliveira, J.J.; Crisp, A.H.; Barbosa, C.G.R.; e Silva, A.D.S.; Baganha, R.J.; Verlengia, R. Effect of postactivation potentiation on short sprint performance: A systematic review and meta-analysis. Asian J. Sports Med. 2017, 8, e14566. [Google Scholar]
- Baudry, S.; Klass, M.; Duchateau, J. Postactivation potentiation of short tetanic contractions is differently influenced by stimulation frequency in young and elderly adults. Eur. J. Appl. Physiol. 2008, 103, 449–459. [Google Scholar] [PubMed]
- Fernandes, I.G.; Souza, M.A.; Oliveira, M.L.; Miarka, B.; Barbosa, M.A.; Queiroz, A.C.; Barbosa, A.C. Acute effects of single- versus double-leg postactivation potentiation on postural balance of older women: An age-matched controlled study. J. Aging Phys. Act. 2020, 29, 200–206. [Google Scholar]
- Makaracı, Y.; Nas, K.; Ruiz-Cárdenas, J.D.; Gündüz, K.; Aydemir, M.; Orange, S.T. Test-retest reliability and convergent validity of piezoelectric force plate measures of single-leg sit-to-stand performance in trained adults. J. Strength Cond. Res. 2023, 37, 2373–2380. [Google Scholar]
- Šarabon, N. Development of software for comprehensive analyses of force plate measurements. Kinesiology 2011, 43, 204–212. [Google Scholar]
- Dal Pupo, J.; Gheller, R.G.; Dias, J.A.; Rodacki, A.L.; Moro, A.R.; Santos, S.G. Reliability and validity of the 30-s continuous jump test for anaerobic fitness evaluation. J. Sci. Med. Sport 2014, 17, 650–655. [Google Scholar] [CrossRef]
- Meylan, C.; McMaster, T.; Cronin, J.; Mohammad, N.I.; Rogers, C.; DeKlerk, M. Single-leg lateral, horizontal, and vertical jump assessment: Reliability, interrelationships, and ability to predict sprint and change-of-direction performance. J. Strength Cond. Res. 2009, 23, 1140–1147. [Google Scholar]
- Pérez-Castilla, A.; García-Ramos, A.; Janicijevic, D.; Delgado-García, G.; De la Cruz, J.C.; Rojas, F.J.; Cepero, M. Between-session reliability of performance and asymmetry variables obtained during unilateral and bilateral countermovement jumps in basketball players. PLoS ONE 2021, 16, e0255458. [Google Scholar]
- Pamuk, Ö.; Makaracı, Y.; Ceylan, L.; Küçük, H.; Kızılet, T.; Ceylan, T.; Kaya, E. Associations between force-time related single-leg countermovement jump variables, agility, and linear sprint in competitive youth male basketball players. Children 2023, 10, 427. [Google Scholar] [PubMed]
- Makaracı, Y.; Nas, K.; Gündüz, K.; İleri, M. Relationship between functional movement screen scores and postural stability in football players: An asymmetrical approach. Balt. J. Health Phys. Act. 2024, 16, 6. [Google Scholar]
- Trajković, N.; Smajla, D.; Kozinc, Ž.; Šarabon, N. Postural Stability in Single-Leg Quiet Stance in Highly Trained Athletes: Sex and Sport Differences. J. Clin. Med. 2022, 11, 1009. [Google Scholar] [CrossRef]
- Lakens, D. Calculating and reporting effect sizes to facilitate cumulative science: A practical primer for t-tests and ANOVAs. Front. Psychol. 2013, 4, 863. [Google Scholar]
- Boullosa, D.A.; Abreu, L.; Beltrame, L.G.; Behm, D.G. The acute effect of different half squat set configurations on jump potentiation. J. Strength Cond. Res. 2013, 27, 2059–2066. [Google Scholar] [PubMed]
- Makaracı, Y.; Ruiz-Cárdenas, J.D.; Pamuk, Ö.; Nas, K.; Demiray, Z.; Duysak, H.; Gruet, M. Kinesio taping does not enhance jump performance and muscle activity in female athletes. Int. J. Sports Med. 2025, 46, 271–280. [Google Scholar]
- Beven, H.W.; Owen, N.J.; Cunningham, D.J.; Kingsley, M.I.C.; Kilduff, L.P. Complex training in professional rugby players: Influence of recovery time on peak power output. J. Strength Cond. Res. 2009, 23, 1780–1785. [Google Scholar]
- Batista, M.A.B.; Roschel, H.; Barroso, R.; Ugrinowitsch, C.; Tricoli, V. Influence of strength training background on postactivation potentiation response. J. Strength Cond. Res. 2011, 25, 2496–2502. [Google Scholar] [PubMed]
- Mola, J.N.; Bruce-Low, S.S.; Burnet, S.J. Optimal recovery time for postactivation potentiation in professional soccer players. J. Strength Cond. Res. 2014, 28, 1529–1537. [Google Scholar]
- Trybulski, R.; Makar, P.; Alexe, D.I.; Stanciu, S.; Piwowar, R.; Wilk, M.; Krzysztofik, M. Post-activation performance enhancement: Save time with active intra-complex recovery intervals. Front. Physiol. 2022, 13, 840722. [Google Scholar] [CrossRef] [PubMed]
- Iacono, A.D.; Martone, D.; Padulo, J. Acute effects of drop-jump protocols on explosive performances of elite handball players. J. Strength Cond. Res. 2016, 30, 3122–3133. [Google Scholar] [CrossRef] [PubMed]
- Kilduff, L.P.; Owen, N.; Bevan, H.; Bennett, M.; Kingsley, M.I.; Cunningham, D. Influence of recovery time on post-activation potentiation in professional rugby players. J. Sports Sci. 2008, 26, 795–802. [Google Scholar] [CrossRef]
- Kataoka, R.; Vasenina, E.; Hammert, W.B.; Ibrahim, A.H.; Dankel, S.J.; Buckner, S.L. Is there evidence for the suggestion that fatigue accumulates following resistance exercise? Sports Med. 2022, 52, 25–36. [Google Scholar]
- Kappenstein, J.; Ferrauti, A.; Runkel, B.; Fernandez-Fernandez, J.; Müller, K.; Zange, J. Changes in phosphocreatine concentration of skeletal muscle during high-intensity intermittent exercise in children and adults. Eur. J. Appl. Physiol. 2013, 113, 2769–2779. [Google Scholar] [PubMed]
- Downey, R.J.; Deprez, D.A.; Chilibeck, P.D. Effects of postactivation potentiation on maximal vertical jump performance after a conditioning contraction in upper-body and lower-body muscle groups. J. Strength Cond. Res. 2022, 36, 259–261. [Google Scholar] [PubMed]
- do Carmo, E.C.; De Souza, E.O.; Roschel, H.; Kobal, R.; Ramos, H.; Gil, S.; Tricoli, V. Self-selected rest interval improves vertical jump postactivation potentiation. J. Strength Cond. Res. 2021, 35, 91–96. [Google Scholar] [CrossRef]
- Twist, C.; Gleeson, N.; Eston, R. The effects of plyometric exercise on unilateral balance performance. J. Sports Sci. 2008, 26, 1073–1080. [Google Scholar]
- Werfelli, H.; Hammami, R.; Selmi, M.A.; Selmi, W.; Gabrilo, G.; Clark, C.C.; Rebai, H. Acute effects of different plyometric and strength exercises on balance performance in youth weightlifters. Front. Physiol. 2021, 12, 716981. [Google Scholar]
- Bigoni, M.; Turati, M.; Gandolla, M. Balance in young male soccer players: Dominant versus non-dominant leg. Sport Sci. Health 2017, 13, 253–258. [Google Scholar]
- Mercado-Palomino, E.; Aragón-Royón, F.; Richards, J.; Benítez, J.M.; Ureña Espa, A. The influence of limb role, direction of movement and limb dominance on movement strategies during block jump-landings in volleyball. Sci. Rep. 2021, 11, 23668. [Google Scholar] [CrossRef]
- Güney, Ş.; Şahin, F.N.; Arslanoğlu, C.; Güler, Ö.; Aydoğmuş, M.; Doğan, A.; Ayyıldız Durhan, T.; Arıkan, G.; Yaşar, O.M.; Küçük, H. Investigation of the playing digital games on shoulder flexibility, muscle strength and reaction speed in volleyball players. Front. Public Health 2024, 12, 1493900. [Google Scholar] [CrossRef] [PubMed]



| Parameters | Session 1 | Session 2 | Session 3 | Session 4 | F | p | η2 | ICC(2,1) (95% CI) | SEM |
|---|---|---|---|---|---|---|---|---|---|
| Maximum jump height (m) | 0.23 (0.05) | 0.22 (0.05) | 0.22 (0.05) | 0.22 (0.05) | 0.693 | 0.56 | 0.023 | 0.62 (0.43–0.79) | 0.03 |
| Mean jump height (m) | 0.16 (0.05) | 0.15 (0.04) | 0.154 (0.03) | 0.16 (0.04) | 2.372 | 0.09 | 0.09 | 0.83 (0.71–0.91) | 0.02 |
| Fatigue index (%) | 65.33 (14.75) | 66.35 (12.34) | 60.56 (16.98) | 63.47 (13.31) | 1.190 | 0.32 | 0.05 | 0.42 (0.21–0.44) | 10.18 |
| Endurance index (%) | 86.60 (18.35) | 89.01 (17.35) | 82.44 (13.70) | 77.43 (10.98) | 3.077 | 0.06 | 0.12 | 0.32 (0.12–0.56) | 10.88 |
| Parameters | Baseline | R2 | R4 | R6 | R8 | F | p | η2 | |
|---|---|---|---|---|---|---|---|---|---|
| Jump height (m) | DL | 0.09 (0.03) | 0.10 (0.03) | 0.13 (0.06) | 0.11 (0.04) | 0.14 a (0.02) | 9.955 | <0.001 | 0.302 |
| NDL | 0.09 (0.02) | 0.10 (0.04) | 0.12 c (0.05) | 0.11 (0.05) | 0.13 b (0.02) | 7.583 | <0.001 | 0.248 | |
| Flight time (s) | DL | 0.28 (0.04) | 0.29 (0.04) | 0.28 (0.06) | 0.30 e (0.04) | 0.32 d (0.05) | 3.244 | 0.015 | 0.124 |
| NDL | 0.27 (0.03) | 0.29 (0.04) | 0.29 g (0.03) | 0.29 (0.04) | 0.31 f (0.03) | 8.661 | <0.001 | 0.274 | |
| Mean power (W) | DL | 738.33 (194.55) | 760.36 (213.17) | 771.60 (95.91) | 748.71 (214.50) | 802.59 (248.66) | 1.097 | 0.347 | 0.046 |
| NDL | 701.45 (171.85) | 705.14 (171.52) | 725.65 (188.62) | 702.34 (166.99) | 749.70 (209.50) | 1.194 | 0.315 | 0.049 | |
| Mean velocity (m/s) | DL | 0.93 (0.14) | 0.93 (0.12) | 0.94 (0.14) | 0.91 (0.15) | 0.98 (0.21) | 1.176 | 0.324 | 0.049 |
| NDL | 0.89 (0.15) | 0.90 (0.15) | 0.91 (0.16) | 0.89 (0.14) | 0.94 (0.18) | 1.358 | 0.266 | 0.056 |
| Parameters | Baseline | R2 | R4 | R6 | R8 | F | p | η2 | |
|---|---|---|---|---|---|---|---|---|---|
| Sway velocity—AP (m/s) | DL | 57.51 (12.95) | 49.40 b (15.19) | 52.31 (17.21) | 48.37 a (11.95) | 51.08 (13.32) | 2.882 | 0.027 | 0.111 |
| NDL | 49.45 (13.98) | 48.20 (13.42) | 48.70 (16.28) | 43.69 (9.10) | 49.05 (13.84) | 1.404 | 0.254 | 0.058 | |
| Sway velocity—ML (m/s) | DL | 55.55 (18.51) | 55.32 (20.63) | 55.23 (25.74) | 50.55 (11.16) | 53.96 (19.48) | 0.459 | 0.710 | 0.020 |
| NDL | 55.06 (15.79) | 52.15 (17.37) | 45.95 (13.45) | 43.90 c (7.35) | 48.60 (14.69) | 3.830 | 0.020 | 0.143 | |
| Sway area—AP (mm*s) | DL | 91.87 (19.94) | 93.46 (25.63) | 84.08 (24.06) | 81.57 (11.29) | 92.36 (31.05) | 1.982 | 0.125 | 0.079 |
| NDL | 126.55 (82.93) | 88.05 (20.26) | 76.26 (16.71) | 72.48 d (11.06) | 80.17 (25.01) | 4.171 | 0.017 | 0.154 | |
| Sway area—ML (mm*s) | DL | 116.76 (34.03) | 106.14 (30.16) | 102.48 (32.50) | 92.58 e (19.85) | 100.90 (29.75) | 2.867 | 0.018 | 0.121 |
| NDL | 111.39 (33.80) | 108.89 (34.68) | 84.63 g (24.60) | 80.90 f (10.69) | 108.42 (27.63) | 12.707 | <0.001 | 0.356 | |
| Ellipse area %100 (mm2) | DL | 471.19 (224.12) | 471.19 (264.13) | 471.19 (306.12) | 471.19 (149.02) | 471.19 (233.39) | 0.905 | 0.438 | 0.038 |
| NDL | 465.05 (160.26) | 452.55 (170.78) | 340.30 i (137.32) | 311.69 h (75.00) | 407.58 (207.51) | 5.992 | 0.003 | 0.207 |
Disclaimer/Publisher’s Note: The statements, opinions and data contained in all publications are solely those of the individual author(s) and contributor(s) and not of MDPI and/or the editor(s). MDPI and/or the editor(s) disclaim responsibility for any injury to people or property resulting from any ideas, methods, instructions or products referred to in the content. |
© 2025 by the authors. Licensee MDPI, Basel, Switzerland. This article is an open access article distributed under the terms and conditions of the Creative Commons Attribution (CC BY) license (https://creativecommons.org/licenses/by/4.0/).
Share and Cite
Karabel, F.; Makaracı, Y. Optimal Recovery Time for Post-Activation Performance Enhancement After an Acute Bout of Plyometric Exercise on Unilateral Countermovement Jump and Postural Sway in National-Level Female Volleyball Players. Appl. Sci. 2025, 15, 4079. https://doi.org/10.3390/app15084079
Karabel F, Makaracı Y. Optimal Recovery Time for Post-Activation Performance Enhancement After an Acute Bout of Plyometric Exercise on Unilateral Countermovement Jump and Postural Sway in National-Level Female Volleyball Players. Applied Sciences. 2025; 15(8):4079. https://doi.org/10.3390/app15084079
Chicago/Turabian StyleKarabel, Fatih, and Yücel Makaracı. 2025. "Optimal Recovery Time for Post-Activation Performance Enhancement After an Acute Bout of Plyometric Exercise on Unilateral Countermovement Jump and Postural Sway in National-Level Female Volleyball Players" Applied Sciences 15, no. 8: 4079. https://doi.org/10.3390/app15084079
APA StyleKarabel, F., & Makaracı, Y. (2025). Optimal Recovery Time for Post-Activation Performance Enhancement After an Acute Bout of Plyometric Exercise on Unilateral Countermovement Jump and Postural Sway in National-Level Female Volleyball Players. Applied Sciences, 15(8), 4079. https://doi.org/10.3390/app15084079

