Abstract
Assessing infrastructure sustainability requires an evaluation of technical, economic, environmental, and social dimensions, with the latter often being overlooked. Asphalt mixtures incorporating end-of-life tire textile fiber additives in Chile have emerged as a sustainable alternative to conventional fibers. However, the social sustainability of these additives remains underexplored. This study develops a model to assess the social sustainability of asphalt additives in Chile using fuzzy cognitive mapping. The methodology includes three stages: (1) qualitative exploration of the conceptual model by information triangulation, (2) construction of a fuzzy cognitive model to estimate social contributions, and (3) dynamic analysis of four additives, including those derived from end-of-life tire textile fiber. The results show that these recycled additives generate distinct social impacts, particularly in terms of consumer interest, innovation, knowledge transfer, and regulatory alignment. Additionally, technical contributions and certifications significantly influence sustainability assessments, exhibiting greater independence from other factors. The findings highlight the potential of repurposed textile fiber as a socially sustainable alternative in asphalt production. This approach supports circular economy initiatives, fosters innovation, and enhances the acceptance of sustainable infrastructure materials in Chile, contributing to a more resilient and responsible construction sector.
1. Introduction
In the context of sustainability, most countries are committed to advancing towards the Sustainable Development Goals [1]. Of these, goals 9 and 12 promote the innovation and responsible consumption and production of subcomponents of infrastructures. Sustainable development includes at least the environmental, economic, and social dimensions [2]. Yet, in recent decades, there has been greater interest in the economic and environmental pillars, to the detriment of the social pillars [3,4]. Sustainable design requires consideration of each of the three dimensions. Social sustainability ensures equity, well-being, and justice for present and future communities, promoting inclusion, human rights, and participatory sustainable development [5]. Indeed, few studies consider the social sustainability of infrastructure components, particularly in relation to asphalt mixes. Among them, Hossain et al. [4] recommend a stakeholder-based social life cycle assessment framework for recycled building materials; however, they warn readers of their limited access to information and databases that cover the social aspects. Given this limitation, other authors have adopted a reductionist approach by pre-selecting social indicators to assess asphalt mixtures with scrap tires [6]. In contrast, Azzini and Munda [7] recommend that an adequate assessment that represents real social sustainability should include aspects appropriate to the context, based on the participation of stakeholders, without limiting them.
Thus, the social sustainability has been commonly recognized as the weakest and least-developed pillar of sustainable development [3,5]. This is due to the absence of a universally recognized scientific foundation for analysis or a standardized unit of measurement, unlike the economic and environmental aspects of sustainability [5]. Moreover, social indicators are not isolated but interrelated with each other and with other elements of sustainability, resulting in first- and higher-order impacts [8,9]. This complicates the implementation of a model that can accurately represent the social impact of infrastructure components. Recently, Sierra et al. [3] developed a model to advance the estimation of the social contribution of sustainable asphalt mixtures using a Bayesian decision-making model. The model has 26 independent indicators distributed in the life cycles of extraction, production, and placement of the mixtures. However, progress still needs to be made in terms of depicting the impact of the interaction between indicators and adjusting the measuring scale to the level of each component of the asphalt mix. This implies that, in actuality, not all social indicators are independent and should be represented as such to accurately simulate the real effect of a social system. In addition, the scale effect per functional unit of asphalt mixture did not properly identify the effect of its components, as in the case of asphalt additives.
Additives are one of the components in hot mix asphalt (HMA) and act in combination with stone aggregates and asphalt binder. The inclusion of an additive is typically warranted by the enhancement of the pavement’s mechanical qualities [10]. The additives offered in the market for HMA can be commercialized in fiber format derived from synthetic fibers (polyolefin and aramid, fiberglass, and others). There is already existing evidence that demonstrates the improvement of the mechanical properties of polyolefin and aramid fibers, prolonging pavement service life [11]. Specifically, Aramid fiber, especially when combined with polyolefins, enhances rutting resistance and permeability in porous asphalt mixtures [12]. In this vein, glass fibers also stand out for their flexibility and stability at 200 °C, improving the strength and fatigue properties of asphalt mixtures and increasing ductility [13]. Polyester fibers consist of a long-chain synthetic polymer containing a minimum of 85% by weight of a diol ester and terephthalic acid. Polyester fibers, when chemically modified, improve adhesion to asphalt, increasing mechanical strength and thermal stability. This fiber is highly resistant to traction, heat, chemical agents, and rubbing, while humidity does not affect it [14]. From a sustainable perspective, incorporating these fibers reduces reliance on virgin materials, promotes recycling, and extends pavement lifespan, lowering carbon emissions. However, optimizing the fiber dosage remains crucial to balancing mechanical performance and sustainability. In this sense, Xing et al. [10] identify the factors and additive raw materials that affect the technical, economic, and environmental performance of recycled asphalt emulsion mixtures. On the other hand, notwithstanding progress in this field, these fibers are predominantly manufactured outside of developing countries, resulting in transportation costs and import duties that inflate the cost of the mixes and encourage deindustrialization. This affects public spending on pavement investment to the detriment of other social needs in the country where they are implemented [3,15].
Recently, an eco-friendly additive has emerged in Chile that revalues waste products by using textile fibers derived from end-of-life tires (TfELTs) originating from the recycling of end-of-life tires (ELTs). In its current state, as a waste product, this fiber has various effects on the environment and human health. It is usually sent to a landfill or used as fuel in cement plants [16]. Both uses have a negative impact on society, since burning this fiber releases toxic gases into the atmosphere; in a landfill, it occupies space, poses a risk of uncontrolled combustion, and serves as a possible source of disease and infection [16]. It should be noted that 140,000 tons of ELTs in Chile are generated annually, of which only 14% is recycled [17]. In 2021, a national regulation was enacted regarding the collection and revaluation goals of ELTs [18] that promotes the increase in the use of the amount of TfELTs. Along these lines, experimentally and validation studies in test scales of Valdés-Vidal et al. [19], and Valdés et al. [20] have proposed the development of an additive called Fityre, based on TfELTs, for environmentally sustainable asphalt mixes, replacing the fibers currently required for HMA mixes.
These advances are not isolated; in this respect, Mohd et al. [21] reported that incorporating solid waste as a secondary raw material for modified asphalts allows industries to reduce waste disposal in landfills and diversify new profitable ventures while cultivating high-impact, sustainable economic and ecological benefits. In addition, Arroyo et al. [6] conclude that using ELTs in asphalt mixtures is more advantageous than conventional mixtures; however, the cost required for manufacturing and execution is 1.4 times higher, with a much lower maintenance cost. In addition, Calabi-Floody et al. [22] found that adding TfELTs to asphalt mixtures significantly improved the resistance to plastic deformation at high temperatures without interfering with their performance at low temperatures. This is consistent with what was reported by Bocci and Prosperi [16], who concluded that the application of TfELTs not only allows the recycling of a material that currently ends up in landfills or incinerators but can also be a resource to improve the performance of HMA.
For their part, Landi et al. [23] favorably validate the reuse of TfELTs for asphalt mixtures. Their study focused on the technical, environmental, and economic attributes of the life cycle analysis, concluding a reduction in the impacts on global warming potential (GWP) and acidification potential (AP) compared to fiber incineration for energy recovery. The primary economic advantages are the valorization of rubber powder and the cost savings from not utilizing higher-value fibers. However, the extensive effects of asphalt mix additives on sustainable development have not been extensively studied. In fact, in a system that represents a contribution to social sustainability, the assessment indicators in the life cycle of hot mix asphalt additives are rarely independent. Furthermore, the nature of the interaction among these social indicators remains indeterminate, exhibiting a degree of uncertainty and frequently contingent upon the influence of the products in a specific context [5,24]. In this sense, these conditions can be represented through fuzzy cognitive maps (FCMs). FCMs are soft computing techniques that combine fuzzy logic and neural networks [25]. They were introduced in the 1970s by Robert Axelrod to represent social scientific knowledge [26]. These tools offer multiple comparative advantages, including simplifying a complicated decision-making environment and integrating diverse stakeholder viewpoints and ideas through a semi-quantitative methodology. This strategy facilitates the management of complexity, ambiguous information, and uncertainty attributes [27]. This method has already been successfully employed in modeling the social dimension, managing infrastructure projects [28], evaluating photovoltaic systems [29], representing stakeholder knowledge in agricultural and food sciences [30], making decisions, diagnoses, and predictions in the medical area [31], or serving as a technique for implementing the theory of inventive problem-solving in the eco-innovation of ceramic products (eco-design) [32], among others.
Thus, taking into account that no documentation has been reported on the contribution of ELT textile fiber-based additives to the social sustainability of asphalt mixtures, four starting points were identified for the development of this work. First, it is necessary to specify the additive as a functional unit of reference to adequately identify the effects of the product on social sustainability [3]. Second, in a social context, there is an interaction between the indicators that affect the assessment of the social sustainability that must be represented [8,9,33]. Third, there are innovative alternatives to TfELT-derived additives, which contribute to the revaluation of waste in Chile [20]. Fourth, and finally, FCMs have facilitated the implementation of social assessments that incorporate interactions and uncertainty, which can support this study [25].
Therefore, this work aims to determine a model for assessing the social sustainability of additives in asphalt mixtures in Chile using a fuzzy cognitive map. To this end, a case study that includes aramid fiber, fiberglass, polyester fiber, and Fityre is conducted to evaluate their contributions to social sustainability throughout the life cycles of extraction, fiber production, and blend production. The following sections explain the methodological processes, results, and main conclusions of this study.
2. Research Methodology
2.1. Case Study
The aim is to build a model to measure the social contribution of innovative additives used in asphalt mixtures in Chile. Specifically, four additives used in hot mix asphalt (HMA) were evaluated: Fityre, fiberglass, polyester fiber, and aramid fiber. Fityre is an additive of Chilean origin made from TfELTs, asphalt cement, and rubber powder to form a granular mass and not specifically a fiber. This additive emerged from the innovation and development of FONDEF project ID 20|10160, which was funded by the Chilean Government [20]. The remaining additives correspond to imported fibers; their raw materials are extracted from virgin sources. The optimum amount of additive used in HMA is added according to the weight of the binder, which, in the case of Fityre, is 2% [20]. Following Ziari et al. [34], 2.3% is defined as the optimum percentage of fiberglass addition, consistent with the results of Mohammed et al. [35]. Polyester fiber is included at 4%, aligning with the intermediate utilized by many authors. Indeed, Dehghan and Modarres [36], Qian et al. [37], and Hong et al. [38] used 1%, 4%, and 7% polyester fiber addition, respectively. In studies involving aramid fiber, an additive percentage of 0.05% is used based on the weight of the mixture [11,39,40]. However, it is important to consider that the percentage relative to the binder will vary depending on the binder dosage in each mixture. Asphalt mixtures move between binder dosages of approximately 4.5 and 5.5%. In this context, the aramid dosage by binder weight varies in the range of 1 to 1.2%; hence, an intermediate value of 1.1% was chosen for the analysis. Table 1 shows the technical characteristics of each additive evaluated.
Table 1.
Technical characteristics of additives evaluated for HMA.
This study examines the assessment criteria and indicators that distinguish the role of the fibers in Table 1 in the life cycle of raw material extraction, pellet additive manufacture, and HMA production. The pavement placement and operation stages require long-term pavement performance studies in an uncontrolled environment, which is beyond the scope of this study.
Figure 1 represents the six stakeholders involved in developing an additive evaluation model for asphalt mixtures. Recyclers are the companies that specialize in the recycling of ELTs, and their role in the production process and use of fibers is to extract the TfELTs throughout the recycling process. Researchers investigate developments in technology to incorporate waste into asphalt mix components and enhance asphalt pavement performance. The additive producers are the companies that currently offer imported additives and those interested in producing the new TfELT-based additive (Fityre). Asphalt mix producers are companies that produce asphalt mixes and use fiber additives during the manufacturing process. Their interests are exclusively technical and economic, concerning the improvement the additives would give their end product. Consumers of asphalt mixtures require the use of mixtures and the inclusion of additives for asphalt formulations. It should be noted that the main consumer of asphalt mixes in Chile is the Ministry of Public Works (MOP) for their own projects or indirectly through a concession or bidding process. The Regulators consist of the Ministry of the Environment and the Ministry of Public Works, which serve as the government entities responsible for technical standardization and authorizations regarding the use of fibers in asphalt mixtures for public paving projects.
Figure 1.
Stakeholders involved in the life cycle of HMA additives used in Chile.
2.2. Research Method
This study involved a set of techniques to determine a fuzzy cognitive map and establish a multi-criteria mechanism to assess the behavior and performance of different HMA additives. A multi-criteria conceptual model was obtained by triangulating qualitative techniques that define differentiating indicators for each stage of the additive life cycle (raw material extraction, additive production, and mixture production). At every stage of the life cycle, the indicators correspond to social criteria that signify the impact and are linked to the interests of the different stakeholders. The conceptual model of indicators is validated via the Delphi method [43]. With a set of selected indicators, the conceptual model is formulated through an FCM [25]. Four types of additives most commonly used in HMA in the Chilean market are used as case studies to evaluate their social contribution by assessment criteria and life cycle. Each additive in the case studies is assessed using the FCM and compared through a multi-objective analysis of the distance to an ideal point [24,44]. Thus, Figure 2 illustrates the structure of the methodological process for assessing the contribution of HMA additives to social sustainability. The following subsections detail the stages of the methodological process.
Figure 2.
Methodological process to evaluate the social contribution of additive to HMA.
2.2.1. Exploration of the Conceptual Model
The preliminary conceptual model and its criteria and indicators are defined by triangulating data from the review of technical documents (projects, technical standards, manufacturers manuals), the literature review, and semi-structured interviews with stakeholders involved in the life cycle of this study. The stakeholders are selected based on their involvement in activities that influence the national, regional, and local environment. They possess the expertise to perform multidisciplinary assessments of the implications of using additives in HMA. This way, the social criteria and indicators for the stages of raw material extraction, additive manufacturing, and asphalt mix production are determined based on the case studies. The conceptual model and its indicators are validated by applying two rounds of the Delphi technique and a set of multidisciplinary experts. The Delphi method is suitable for reaching a consensus among stakeholders, who systematically evaluate complex concepts after repeated reviews. In this case, the conceptual model was obtained from the participation of thirteen experts. The number of experts and the selection criteria align with Hallowell and Gambatese’s guidelines for applying this technique [43]. The background of the experts involved in validating this model is presented in Table 2. Sixteen indicators and seven evaluation criteria were selected. The selected indicators cover 82% of those originally proposed. A consensus was achieved using a binomial distribution with a 75% agreement.
Table 2.
Background of the panel of experts.
2.2.2. Formulation of the FCM
An FCM makes it possible to operationalize the conceptual model, and its construction requires that the cause–effect interaction between the indicators of the model be established. For this, a survey of interrelationships was applied to 42 specialists through the QuestionPro platform. It captures the level of relationship between indicators on a 5-point linguistic scale (very low, low, medium, high, and very high) according to their magnitude, and with “+” (contribute) or “−” (harm) signs according to the sense of the impact. If no relationship between indicators is identified, it is cataloged as “zero”. The criteria for selecting the respondents are as follows: belonging to an interest group, having more than five years of experience, and having knowledge of some of the study topics (additive production processes, asphalt mix production processes, recycling processes, processes for obtaining TfELT and/or regulations applicable to the development of the product). From a response matrix for each respondent, a fuzzy inference system (FIS) was applied to group the responses of the 42 respondents. The disproportionate weights that represent the strength of the relationship between the social indicators were obtained through the FIS.
The FIS is implemented in four steps: (1) obtaining the data that were input into the system, (2) establishing membership functions, (3) implementing the fuzzy system, and (4) obtaining fuzzified values [24,45]. The fraction of each linguistic variable’s frequency for the total number of respondents determines the degree of membership of the linguistic variable and the distribution of the influence between indicators. This way, the input data correspond to the aggregated response matrix based on the distribution of the respondents’ choices for the response states of each relationship among the indicators. The Matlab© version R2021b software and its Fuzzy Logic Toolbox were used for FIS processing. In this case, a triangular membership function (Figure 3) processes the aggregate response distributions according to the membership degree of each linguistic variable and determines the fuzzy influence weights. To achieve this, the Mamdani fuzzy inference method, through IF–THEN rules, was used to process the input data. The Mamdani rules are more intuitive than other systems, are widely accepted, and are better adapted to human language [45]. Then, the center of gravity approach yields the defuzzified weight value of the relationship among indicators. For more specific information on these procedures, see the work of Nasirzadeh et al. [28].
Figure 3.
Triangular membership function that processes the distribution of influences between indicators.
Thus, with the fuzzified weights of interrelation between each indicator (Ci), an FCM can be constructed following the recommendations of Nasirzadeh et al. [28]. The weighted accumulation of the input (IN(Ci)) and output (OUT(Ci)) weights for each indicator makes it possible to infer the strategic importance of each one (see Equation (1) and Equation (2)). The addition of all the input and output weights associated with each indicator determines the overall importance of each indicator in a static assessment system (Equation (3)).
The FCM is a network of neural interrelationships between indicators and influence weights. Based on this model, the Ai value of each indicator is calculated in each iteration cycle, which integrates the influence of the other indicators and determines the overall impact using the barrier function defined in Equation (4) [46]. is the value of indicator Ci in iteration cycle t + 1. is the value of indicator Ci. is the value of indicator Cj over time t that affects Ci. Wij is the weight of the interaction from concept Cj to concept Ci.
Finally, Equation (5) shows the sigmoid threshold function that triggers the next time cycle t + 1 and limits the output response for all the indicators in the system [47]. The function uses a λ factor to control the curve’s slope. An λ of 0.75 creates a smoother transition between 0 and 1 than a standard function with a λ of 1 [48]. This slower transition reduces sensitivity to input variations, which benefits new systems which are in need of gradual adaptation.
According to the above, and using the FCM Expert software version 1.0, the cognitive map is determined, and the dynamic states of the indicators are processed for each additive.
2.2.3. Case Study Evaluation
Once the values of the social indicators for each additive have been surveyed at a time zero t0, and the dynamic states of the fuzzy cognitive model have been verified for each additive, the indicators are assessed in five iteration cycles until the stability of the system is achieved. The system’s stability is assessed using a convergence criterion, in which the difference in node activations between the fifth and sixth iterations was less than 0.001 [25]. During each iteration cycle, the indicators are consolidated according to their specific criteria and aligned with the corresponding life cycle stage. Thus, the life cycles of raw material extraction, additive manufacturing, and mixture production can determine a vector of social contribution per additive type and calculate its distance from an anti-ideal point of minimum social contribution. For this, a multi-objective analysis and the Manhattan distance are used. The Manhattan distance between two points is calculated as the length of any path that joins them through vertical and horizontal segments. This distance is most often used in operational research to prioritize alternatives [44]. In light of this, the Manhattan distances between two vectors p and q of coordinates pi and qi, where i corresponds to each stage of the life cycle, are defined by Equation (6). From these distances, the life cycles can be integrated, and can act as an aggregate indicator to prioritize the social impact of additives in asphalt mixtures.
3. Results
3.1. Conceptual Formulation
According to the methods described in Section 2.2 and Figure 2, the exploration and conceptual formulation are developed using the NVIVO 1.7.2 software. Table 3 presents the conceptual structure of 16 indicators grouped into seven criteria in the life cycle stages of the additives being studied. In this vein, the first criterion of Social expenditure is assumed to be the hypothetical expenditure opportunity for social development, produced by the savings in the life cycle of the additives, transferred to the value of the asphalt mix and pavement. The Revaluation criterion groups the indicators that represent the new value assigned to a waste material and the advantages it confers on using a new product. The third criterion, Impact on health, refers to how these products affect people’s health at different life cycle stages. The criterion Media impact and public awareness refers to the effect the product has on public opinion and industry to the point of reversing actions or behaviors. The fifth criterion is Public policies, which pertains to promoting or improving existing public policies due to the development of these additives. The sixth criterion is Innovation and development, which refers to the innovation generated following the technological development of new products. The last criterion is Conditions for Product Use, which focuses on the suitability and compliance with the requirements for products to be used in pavements.
Table 3.
Conceptual framework of social indicators for case study additives.
3.2. Fuzzy Cognitive Model (FCM)
Based on the application of the FCM Expert software and the application of a FIS, the FCM that interrelates the indicators identified in Table 3 was determined. The FCM illustrates the interaction weight of 16 indicators of the additives that contribute socially to sustainability in a national setting. The operational formulation of the FCM is configured through the FCM Expert software and Equations (4) and (5). In this case, the λ value of 0.75 was used, which is consistent with the proposals by Nasirzadeh et al. [28] and Kordestani-Ghaleenoei et al. [49] for equivalent situations. Based on the FCM interrelationships, two proposals are presented. The first is the full unconstrained interrelationship model. The second is derived from the first but includes constraints that limit the positive impact of some indicators based on the type of product evaluated. Figure 4 depicts the complete FCM without restrictions.
Figure 4.
Fuzzy cognitive map of the social contribution of unrestricted HMA additives (Domestic product and eco-friendly).
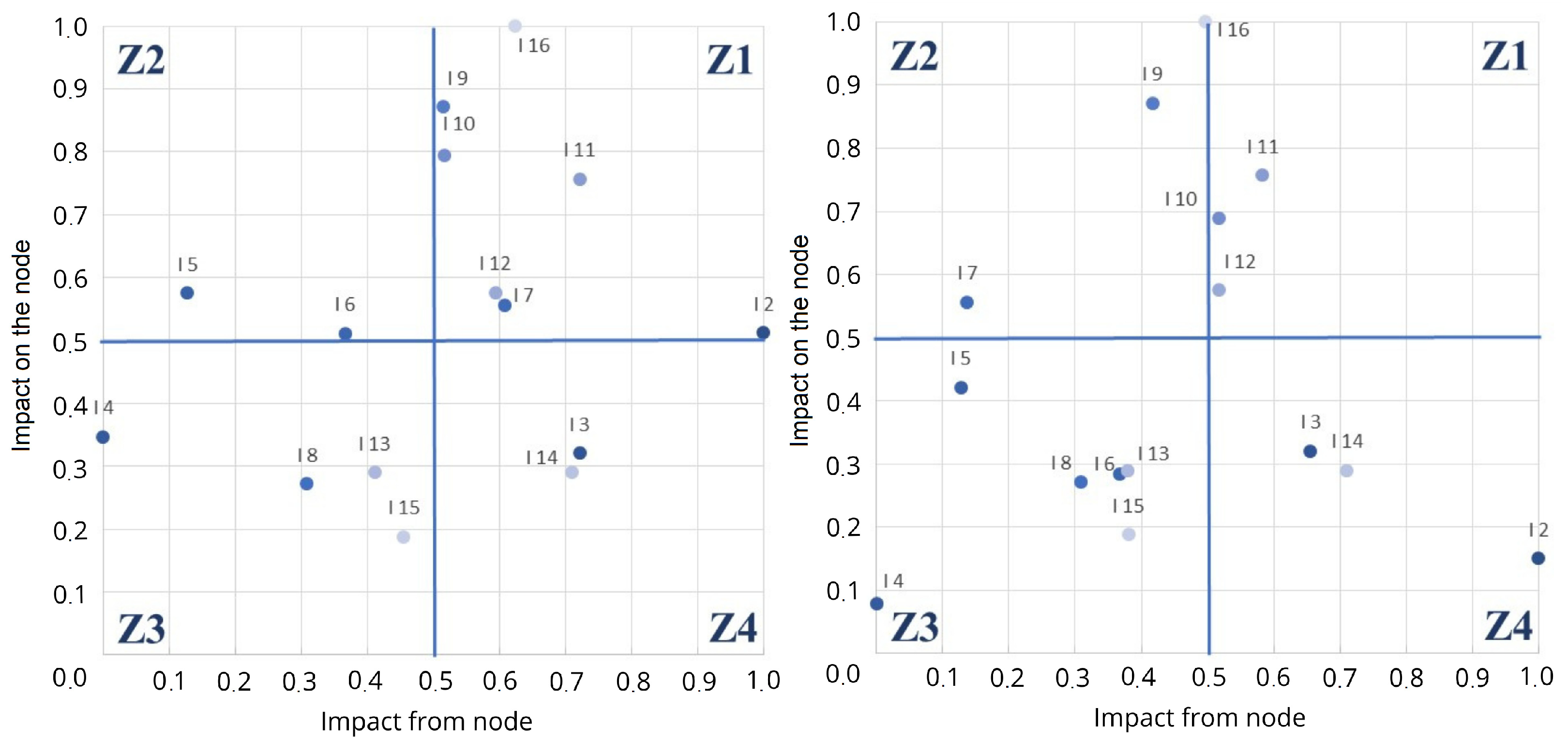
Based on Equations (1) and (2), Figure 5 represents the strategic positioning of the indicators of the cognitive assessment system. Figure 5 on the left represents the strategic positioning of the indicators of the complete model (Fityre), and the one on the right represents the model with restrictions (other fibers). In both cases, the indicators Consumer interest (I16), Innovation and Development (I11), Knowledge transfer (I12), and Association to the REP law (I10) of quadrant Z1 show a high degree of impact on and from other indicators. In this case, controlling them is challenging despite their significance, as they are the most affected by the system. This set includes the indicators (I7) Amount of additive required, (I9) Degree of acceptance to change, and (I2) Extension of useful life of a reused product in the complete model without restrictions.
Figure 5.
Strategic positioning of indicators in the assessment system. On the left: the complete model (Fityre). On the right: the model with interaction restrictions (other fibers).
In contrast, the indicators Technical Contribution (ID3) and Certifications (ID14) in quadrant Z4 are of greater strategic importance in both cases. In other words, these indicators are less influenced by the rest, making their intervention more effective and significantly impacting the rest of the system. Similarly, the indicators in quadrant Z2 are highly influenced by the rest of the system even though they do not have a major impact, and the indicators in quadrant Z3 have the least amount of influence on the system.
3.3. Social Contribution of the Study Case
For the 16 indicators in Table 4, the response states and the basic information for each of the asphalt additives are presented. The values representing each indicator are normalized according to the maximum (or best alternative) of each indicator. Thus, each indicator is rated for each additive on a scale from 0 (worst alternative) to 1 (best alternative). These values represent the value at a to of the FCM nodes in Figure 4 and are processed according to Equation (4) and Equation (5). This way, the results of the indicators for each iteration cycle and type of additive are determined. Based on this information, the indicators are aggregated according to the structure in Table 3 to determine the social contribution by criteria, life cycle, and stakeholder for each additive.
Table 4.
Response states of the indicators for the additives in the case study.
From the dynamic analysis, the value of the indicators for each iteration cycle is determined and aggregated according to the arithmetic mean. In Figure 6, aggregate behaviors are identified for each criterion, each additive, and iteration cycle. In the short term, disparities in the social contribution according to the type of additive are highlighted. In the long term, the effects stabilize and tend to meet according to the appreciation scale at a to. In this regard, although all the products generally satisfy the criteria, a permanent gap is identified concerning the criteria of Revaluation, Health Impact, and Public Policies. This gap separates the impacts attributable to Fityre from the rest. In the six-criteria performance analysis, Fityre contributes the most to social sustainability. This is not the case for the Conditions for Use criterion, for which polyester fiber has a higher short-term contribution determined by consumer interest and the current supply.

Figure 6.
Dynamic behavior of the social contribution criteria for the HMA additive.
The life cycle impact (extraction, additive manufacture, mixture production) and stakeholder impact of each of the additives are quantified using the Manhattan distance to an ideal point of maximum social contribution according to Equation (6). Figure 6 represents the Manhattan distance for each additive for each iteration cycle. Figure 7 on the left represents the distance regarding the life cycle of each additive. Figure 7 on the right illustrates the distance from the contribution to the interest of the stakeholders involved by each type of additive. In this case, the long-term effects are more noticeable according to the appreciation scale at each tk for the k iteration cycle. According to the Kruskal–Wallis statistical test at a 95% confidence interval, significant differences were detected between the social contribution distances of the additives studied, with a p-value of 0.003 and 0.001 for the life cycle and stakeholders, respectively. Specifically, according to Tukey’s HSD, in every case, multiple comparisons identify that Fityre makes a significant difference in greater social contribution than the other fibers evaluated.
Figure 7.
Dynamic behavior of the Manhattan distance with respect to the life cycle (left) and stakeholders (right).
4. Discussion
A model for assessing the contribution to the social sustainability of HMA additives is proposed based on seven social criteria and 16 indicators. Using an FCM, the relationships between indicators that contribute to social sustainability are identified. One hundred and sixteen relationships were identified for domestically produced environmentally friendly additives (Fityre), and ninety-nine relationships were identified for imported fibers. Accordingly, the differences in the interrelationships become significant for the impacts of the indicators on National Jobs or the Extension of the useful life of a reused product, in view of whether they are national eco-friendly products or not. This restricts the model’s interrelationships for imported additives. This is consistent with the findings of Romero [15], Bocci and Propeti [16], and Mohd et al. [21], where the revaluation of national products reduces negative externalities on the environment and enhances industrialization and job creation to provide greater opportunities for social development.
The assessment system enables the management of uncertainty by applying a FIS associate to FCM, where disproportionate correlations emerge, grouping the opinions of a set of specialists. In this context, prospective soft systems arise to address complex issues characterized by limited information, interaction and varying assessment criteria. In this line, Azzini and Munda [7] recommends multi-criteria methods to avoid reductionist models limited by a lack of information on social aspects [4]. In this vein, previous works by Sierra et al. [24], and Sierra-Varela et al. [3] also propose multi-criteria soft systems that can project the sustainable contribution of road infrastructures and asphalt components under uncertainty and interaction conditions. Similarly, studies by Tüu-Szabó and Kóczy [45] and Nasirzadeh et al. [28] promote using FIS to address the uncertainty of assessment processes and aggregate information from a set of specialists. ANP (Analytical Network Processing) is another multi-criteria technique that processes interactions between social variables. However, its implementation is more complex when many variables are compared. Respondents must compare variables on a nine-point Saaty scale, considering that their decisions’ inconsistency may not exceed 10% [50]. Similarly, other probabilistic systems, such as Bayesian networks, require the completion of conditional probability tables for the combination of different response states of variables, which jeopardizes the consistency of respondents’ decision-making [51]. In other cases, system dynamics models illustrate the interaction between variables, even though the lack of precise data, the difficulty of parameterizing social behaviors, or the difficulty in specifying qualitative changes can lead to bias in the model’s approach [52].
According to Equation (3), in the assessment system with and without restrictions, the indicators identified with the highest overall importance are Consumer Interest (I16), Innovation and Development (I11), Knowledge Transfer (I12), and Association with the REP Law (I10). The indicators Technical Contribution (ID3) and Certifications (ID14) are strategically relevant, as they are less influenced by the rest of the system, while at the same time, they have a significant impact on the rest. In this respect, previous studies by Sierra-Varela et al. [3] assess the influence of media impact, the role in professional growth, and the patenting of innovative eco-friendly asphalt mixtures on consumer interest. In this case, the end consumers of fiber-incorporated asphalt mixtures are road concessionaires and public agencies in charge of maintenance. Arroyo et al. [6] demonstrated that asphalt mixtures incorporating ELT compounds have a lower maintenance cost than conventional mixtures. In fact, according to Lago et al. [33] and Alavi et al. [53], the consumption condition is not independent and is aligned with the interaction of different social aspects of value. Technical contributions, institutional endorsements, and certifications confer consumer confidence. By 2023, Chile had included the Roads Manual Vol 9 in the compendium of technical requirements for road construction, which encompasses sustainable criteria that repurpose waste materials in alignment with the SDG [54]. In addition, the Ministry of Environment and the Chamber of the Tire Industry of Chile have promoted the circular economy of tires by progressively implementing the Extended Producer Responsibility Law (REP). This legislation contains mechanisms that directly target the collection and recovery of ELT; by 2025, the aim is to achieve 50% collection and 35% recovery of ELTs [17,18].
Specifically, when assessing the indicators of the case study in the assessment systems, the results (Figure 6) show that the criterion with the lowest long-term contribution is Social Spending. Indeed, in the short term, the mixture containing Fityre exhibits a higher contribution, which diminishes in the long term, ultimately aligning with the performance of the other fibers. Due to the redistribution of spending, these results are equivalent to the contribution to direct public spending promoted by the savings from asphalt mixtures [3]. Moreover, in other cases, including ELT components in asphalt mixes has increased the production value of a conventional mix by 40% and can be passed on to the user [6]. However, when considering the externalities that promote the circular economy (reduced landfill waste and improved public health), social expenditure can be favored due to the ecological and economic benefits [21]. Similar behavior occurs with Media Impact and Awareness, Innovation and Development, and Conditions for Use. The absence of long-term differentiation may be influenced by temporal factors and the technology of the evaluated products, which shape societal value judgments [55]. In the case of the Conditions for Use, the lack of confidence in Fityre is demonstrated by the lack of certificates with institutional endorsements and transfer to public knowledge, which confer confidence on its performance in the short term.
Nevertheless, the contribution of Fityre stands out over the other fibers when estimating the contribution to the criteria Revaluation, Impact on Health, and Public Policy. In these cases, Figure 6 presents, in the long term, an insurmountable gap in favor of the TfELT-based additive compared to imported ones. This is clarified by the structural constraints of the model interactions, in which the imported fiber production components are virgin and devoid of recycled materials; thus, the imported fibers fail to contribute to waste reduction, gas reduction, or other health-promoting effects, unlike the eco-friendly additive. This result is consistent with the findings of Landi et al. [23], who, by assessing the contribution of TfELT to asphalt mixtures, identify reductions in global warming, acidification, and incineration while also promoting the revaluation of TfELTs compared to other fibers. Furthermore, national legislation encourages the sustainable use and reuse of materials [18]. In this sense, public policies will not be impacted by the use of imported fibers. In all cases in Figure 6, the narrowing of gaps in the long term takes, as a reference, the initial moment of assessment, when the differences are highlighted and in the long term, the situation becomes normalized.
Based on stakeholder interests (Table 3), imported additives contribute mainly to Consumers and Producers of asphalt mix and additives, both in the short and long term. Similarly, the national additive (Fityre) contributes to the interests of Recyclers, Additive Producers, and Regulatory Agencies in the same order. This does not mean that consumers and producers are not interested in eco-friendly products but that other stakeholders are more interested in consistency with the national contingency and guidelines regarding the SDG [1,18].
By consolidating social contributions according to the life cycle and stakeholder type and standardizing the value of each additive into a distance metric during each iteration, it becomes feasible to prioritize the additives by maximizing their distance from an anti-ideal point of minimum social contribution. Figure 7 represents the distance for each iteration cycle and for each additive based on the life cycle (extraction, additive manufacturing, mixture production) and the contribution to the types of stakeholders. According to the results, the long-term behavior is similar in both cases, with the Fityre additive being prioritized. In the long term, the distance between domestic and imported additives is at the extremes with maximum differentiation. In other words, the alternatives assessed conflict with the social contribution. In other future cases, it is advisable to include other national and eco-friendly additive options, with a gradual contribution to each indicator of the model. Nonetheless, the distance analysis in every case emphasizes the outcomes of each iteration cycle, as its magnitude signifies the positioning of the additive relative to each time period rather than from the origin [24,44].
The results of this study are limited to a geographic scope in Chile and the additive alternatives assessed in the case study. Including other national eco-friendly additives could illustrate a more pronounced graduality in the behavior of the distances. Replicability in other countries can follow the same methodological structure, even though the indicators and transcendent criteria depend on the context and the products being assessed.
Furthermore, the results are limited to explaining the social behaviors arising from the production and use of asphalt mixture additives during raw material extraction, additive production, and mixture production. Other impacts that transcend the operation of paved roads require long-term technical studies that differentiate the effects among the additives of the case study and support prospective stakeholder analyses, including end users. Despite this, road dealers, NGOs, and decision-makers from the Ministry of Public Works represented consumers’ perspectives before road operation. The high variability of opinions among policymakers based on their beliefs and variables unrelated to the study limited its adequate representation.
The results of this study complement other technical, economic, and environmental studies regarding the assessment of innovative HMA additives [19,20,23] to estimate their real contribution to sustainability.
5. Conclusions
A set of additives to be incorporated in hot mix asphalt was assessed to determine their contribution to social sustainability based on the characteristics of the fibers and the implementation context. Among the assessed additives, Fityre demonstrates the most substantial contribution to social sustainability, emphasizing its eco-friendly attributes and national production.
The relationships among indicators are established through a fuzzy cognitive map in which a model of 116 relationships (national and eco-friendly additive) and others with restrictions that address 99 relationships (imported fibers) are distinguished. This model made it possible to prioritize additives for hot mix asphalt according to their contribution to social sustainability and based on their short- and long-term dynamic behavior. The evaluation model is stable within six iteration cycles for the set of alternatives evaluated in a geographic context in Chile.
The results reveal four indicators with greater global importance: Consumer Interest, Innovation and Development, Knowledge Transfer, and Association with the REP Law; and two strategic indicators: Technical Contribution and Certifications. It also highlights a short- and long-term gap between Fityre (domestic and eco-friendly) and other conventional imported fibers in terms of Revaluation, Impact on health, and Public policies.
The validity of these results is limited to the Chilean geographic context and the perception of the actors represented and decision-makers in the information-gathering period. Specific results are limited to the additives that make up the case study. Other case studies with domestic additives and more gradual eco-friendly inputs may lead to variations in prioritization. Future studies may integrate technical, economic, and environmental aspects into a single mechanism for prioritizing sustainable materials and infrastructure components. FCM models are currently being examined in various contexts and materials, including sustainable concrete, to evaluate criteria and significant relationships concerning their social contributions.
This study provides methodological foundations for representing the social contributions created by novel asphalt mix additives, considering the management of uncertainty and the interrelationships of various aspects. In addition, it demonstrates, using a social approach, the potential of Fityre and the incorporation of TfELT in the construction of national asphalt pavements.
Author Contributions
Conceptualization, L.S.-V.; Methodology, L.S.-V. and V.Y.; Software, Á.F.-S.; Validation, L.S.-V., A.C.-F. and V.Y.; Formal analysis, L.S.-V. and Á.F.-S.; Investigation, L.S.-V., G.V.-V. and V.Y.; Resources, A.C.-F., G.V.-V. and V.Y.; Writing—original draft, L.S.-V., A.C.-F., G.V.-V. and Á.F.-S.; Writing—review and editing, L.S.-V. and V.Y.; Visualization, Á.F-S.; Project administration, A.C.-F., G.V.-V. and V.Y.; Funding acquisition, A.C.-F., G.V.-V. and V.Y. All authors have read and agreed to the published version of the manuscript.
Funding
This research was funded by Agencia Nacional de Investigación y Desarrollo (ANID) of the Government of Chile under the Scientific and Technological Development Support Fund (FONDEF IDEA), grant number IT23ǀ0010. Additionally, this work was supported by the Grant PID2023-150003OB-I00, funded by MICIU/AEI/10.13039/501100011033 and the European Regional Development Fund (ERDF), a program of the European Union (EU).
Institutional Review Board Statement
The study was conducted according to the guidelines of the Declaration of Helsinki and approved by the Ethics Committee of the Universidad de La Frontera (Protocol 094/19 approved 9 October 2019).
Informed Consent Statement
Informed consent was obtained from all the subjects involved in the study.
Data Availability Statement
Data are available upon request to the corresponding author.
Acknowledgments
In addition, the authors would like to thank the team of the Chilean Asphalt Committee, Concessionaire Ruta de la Araucania, and recycling companies that participated in the FONDEF IDEA IT23ǀ0010 project for their active participation in the implementation of the methods and construction of the assessment model. This work was also made possible thanks to the methodological contribution and equipment of the Research Group on Infrastructure Management and Sustainable Territorial Planning (GIPTs) and Group GIPav at the Universidad de La Frontera.
Conflicts of Interest
The authors declare no conflicts of interest.
References
- ONU. 17 Objetivos Para Transformar Nuestro Mundo. Naciones Unidas. 2015. Available online: https://www.un.org/sustainabledevelopment/es/ (accessed on 1 December 2024).
- Weiland, S.; Hickmann, T.; Lederer, M.; Marquardt, J.; Schwindenhammer, S. The 2030 agenda for sustainable development: Transformative change through the sustainable development goals? Politi. Gov. 2021, 9, 90–95. [Google Scholar] [CrossRef]
- Sierra-Varela, L.; Valdes-Vidal, G.; Calabi-Floody, A.; Lleuful-Cruz, L.; Villegas-Flores, N.; Filun-Santana, Á. Determination of the Social Contribution of Sustainable Asphalt Mixes. Sustainability 2023, 15, 15205. [Google Scholar] [CrossRef]
- Hossain, U.; Poon, C.S.; Dong, Y.H.; Lo, I.M.C.; Cheng, J.C.P. Development of social sustainability assessment method and a comparative case study on assessing recycled construction materials. Int. J. Life Cycle Assess. 2018, 23, 1654–1674. [Google Scholar] [CrossRef]
- Wang, K.; Ke, Y. Social sustainability of communities: A systematic literature review. Sustain. Prod. Consum. 2024, 47, 585–597. [Google Scholar] [CrossRef]
- Arroyo, P.; Herrera, R.; Salazar, L.; Giménez, Z.; Martínez, J.; Calahorra, M. A new approach for integrating environmental, social and economic factors to evaluate asphalt mixtures with and without waste tires. Rev. Ing. De Constr. 2018, 33, 301–314. [Google Scholar] [CrossRef]
- Azzini, I.; Munda, G. Sensitivity and Robustness Analyses in Social Multi-Criteria Evaluation of Public Policies. J. Multi-Criteria Decis. Anal. 2025, 32, e70006. [Google Scholar] [CrossRef]
- Vanclay, F.; Esteves, A.M. Setting the scene for good social impact assessment and management. In Handbook of Social Impact Assessment and Management; Edward Elgar Publishing Limited: Cheltenham, UK, 2024; pp. 2–15. [Google Scholar] [CrossRef]
- Vanclay, F. Reflections on Social Impact Assessment in the 21st Century. Soc. Impact Assess. 2020, 38, 126–131. [Google Scholar] [CrossRef]
- Xing, C.; Tang, S.; Chang, Z.; Han, Z.; Li, H.; Zhu, B. A comprehensive review on the plant-mixed cold recycling technology of emulsified asphalt: Raw materials and factors affecting performances. Constr. Build. Mater. 2024, 439, 137344. [Google Scholar] [CrossRef]
- Klinsky, L.; Kaloush, K.; Faria, V.; Bardini, V. Performance characteristics of fiber modified hot mix asphalt. Constr. Build. Mater. 2018, 176, 747–752. [Google Scholar] [CrossRef]
- Delafuente-Navarro, C.; Lastra-González, P.; Slebi-Acevedo, C.; Indacoechea-Vega, I.; Castro-Fresno, D. Multi-criteria analysis of porous asphalt mixtures with aramid fiber under adverse conditions. Constr. Build. Mater. 2024, 429, 136438. [Google Scholar] [CrossRef]
- Luo, D.; Khater, A.; Yue, Y.; Abdelsalam, M.; Zhang, Z.; Li, Y.; Li, J.; Iseley, D.T. The performance of asphalt mixtures modified with lignin fiber and glass fiber: A review. Constr. Build. Mater. 2019, 209, 377–387. [Google Scholar] [CrossRef]
- Ren, D.; Fan, S.; He, L.; Liu, Y.; Deng, S.; Luo, Y.; Wang, P.; Jin, X.; Li, J. Covalent Deposition of Diels–Alder Reaction on Polyester Fiber Surface and Its Enhancement Mechanism on SBS-Modified Asphalt. J. Appl. Polym. Sci. 2025, 142, e56712. [Google Scholar] [CrossRef]
- Romero Tellaeche, J.A. Los retos de la economía externa: Importaciones, exportaciones, inversión extranjera, tasa de interés, tipo de cambio. Econ. UNAM 2019, 16, 45–53. [Google Scholar]
- Bocci, E.; Prosperi, E. Recycling of reclaimed fibers from end-of-life tires in hot mix asphalt. J. Traffic Transp. Eng. 2020, 7, 678–687. [Google Scholar] [CrossRef]
- Cámara de la Industria del Neumático de Chile (CINC). Generación de Neumáticos Fuera de Uso; CINC: Santiago, Chile, 2020. [Google Scholar]
- MMA—Ministerio del Medio Ambiente Chile. Decreto Supremo N°8, de 20 de Enero de 2021, que Establece Metas de Recolección y Valorización y Otras Obligaciones Asociadas de Neumáticos; Biblioteca Nacional del Congreso de Chile: Santiago, Chile, 2021.
- Valdés-Vidal, G.; Calabi-Floody, A.; Duarte-Nass, C.; Mignolet, C.; Díaz, C. Development of a New Additive Based on Textile Fibers of End-of-Life Tires (ELT) for Sustainable Asphalt Mixtures with Improved Mechanical Properties. Polymers 2022, 14, 3250. [Google Scholar] [CrossRef]
- Valdes-Vidal, G.; Calabi-Floody, A.; Mignolet-Garrido, C.; Bravo-Espinoza, C. Enhancing Fatigue Resistance in Asphalt Mixtures with a Novel Additive Derived from Recycled Polymeric Fibers from End-of-Life Tyres (ELTs). Polymers 2024, 16, 385. [Google Scholar] [CrossRef] [PubMed]
- Hasan, M.R.M.; Chew, J.-W.; Jamshidi, A.; Yang, X.; Hamzah, M.O. Review of sustainability, pretreatment, and engineering considerations of asphalt modifiers from the industrial solid wastes. J. Traffic Transp. Eng. 2019, 6, 209–244. [Google Scholar] [CrossRef]
- Calabi-Floody, A.; Mignolet-Garrido, C.; Valdes-Vidal, G. Study of the effect of the use of asphalt binders modified with polymer fibres from end-of-life tyres (ELT) on the mechanical properties of hot mix asphalt at different operating temperatures. Materials 2022, 15, 7578. [Google Scholar] [CrossRef]
- Landi, D.; Gigli, S.; Germani, M.; Marconi, M. Investigating the feasibility of a reuse scenario for textile fibres recovered from end-of-life tyres. Waste Manag. 2018, 75, 187–204. [Google Scholar] [CrossRef]
- Sierra-Varela, L.; Filun-Santana, Á.; Araya, F.; Villegas-Flores, N.; Martinez-Soto, A. Rural Road Assessment Method for Sustainable Territorial Development. Appl. Sci. 2024, 14, 11021. [Google Scholar] [CrossRef]
- Papageorgiou, K.; Singh, P.K.; Papageorgiou, E.; Chudasama, H.; Bochtis, D.; Stamoulis, G. Fuzzy Cognitive Map-Based Sustainable Socio-Economic Development Planning for Rural Communities. Sustainability 2020, 12, 305. [Google Scholar] [CrossRef]
- Bakhtavar, E.; Valipour, M.; Yousefi, S.; Sadiq, R.; Hewage, K. Fuzzy cognitive maps in systems risk analysis: A comprehensive review. Complex Intell. Syst. 2021, 7, 621–637. [Google Scholar] [CrossRef]
- Olazabal, M.; Pascual, U. Use of fuzzy cognitive maps to study urban resilience and transformation. Environ. Innov. Soc. Transit. 2016, 18, 18–40. [Google Scholar] [CrossRef]
- Nasirzadeh, F.; Ghayoumian, M.; Khanzadi, M.; Cherati, M.R. Modelling the social dimension of sustainable development using fuzzy cognitive maps. Int. J. Constr. Manag. 2020, 20, 223–236. [Google Scholar] [CrossRef]
- Sun, F.; Li, L.; Bian, D.; Ji, H.; Li, N.; Wang, S. Short-term PV power data prediction based on improved FCM with WTEEMD and adaptive weather weights. J. Build. Eng. 2024, 90, 109408. [Google Scholar] [CrossRef]
- van Hulst, F.; Ellis, R.; Prager, K.; Msika, J. Using co-constructed mental models to understand stakeholder perspectives on agro-ecology. Int. J. Agric. Sustain. 2020, 18, 172–195. [Google Scholar] [CrossRef]
- Amirkhani, A.; Papageorgiou, E.I.; Mohseni, A.; Mosavi, M.R. A review of fuzzy cognitive maps in medicine: Taxonomy, methods, and applications. Comput. Methods Programs Biomed. 2017, 142, 129–145. [Google Scholar] [CrossRef]
- Vidal, R.; Salmeron, J.L.; Mena, A.; Chulvi, V. Fuzzy Cognitive Map-based selection of TRIZ (Theory of Inventive Problem Solving) trends for eco-innovation of ceramic industry products. J. Clean. Prod. 2015, 107, 202–214. [Google Scholar] [CrossRef]
- Lago, N.C.; Marcon, A.; Ribeiro, J.L.D.; de Medeiros, J.F.; Brião, V.B.; Antoni, V.L. Determinant attributes and the compensatory judgement rules applied by young consumers to purchase environmentally sustainable food products. Sustain. Prod. Consum. 2020, 23, 256–273. [Google Scholar] [CrossRef]
- Ziari, H.; Aliha, M.R.M.; Moniri, A.; Saghafi, Y. Crack resistance of hot mix asphalt containing different percentages of reclaimed asphalt pavement and glass fiber. Constr. Build. Mater. 2020, 230, 117015. [Google Scholar] [CrossRef]
- Mohammed, M.; Parry, T.; Thom, N.; Grenfell, J. Microstructure and mechanical properties of fibre reinforced asphalt mixtures. Constr. Build. Mater. 2020, 240, 117932. [Google Scholar] [CrossRef]
- Dehghan, Z.; Modarres, A. Evaluating the fatigue properties of hot mix asphalt reinforced by recycled PET fibers using 4-point bending test. Constr. Build. Mater. 2017, 139, 384–393. [Google Scholar] [CrossRef]
- Qian, S.; Ma, H.; Feng, J.; Yang, R.; Huang, X. Fiber reinforcing effect on asphalt binder under low temperature. Constr. Build. Mater. 2014, 61, 120–124. [Google Scholar] [CrossRef]
- Hong, R.-B.; Wu, J.-R.; Cai, H.-B. Low-temperature crack resistance of coal gangue powder and polyester fibre asphalt mixture. Constr. Build. Mater. 2020, 238, 117678. [Google Scholar] [CrossRef]
- Gupta, A.; Castro-Fresno, D.; Lastra-Gonzalez, P.; Rodriguez-Hernandez, J. Selection of fibers to improve porous asphalt mixtures using multi-criteria analysis. Constr. Build. Mater. 2021, 266, 121198. [Google Scholar] [CrossRef]
- Gupta, A.; Lastra-Gonzalez, P.; Castro-Fresno, D.; Rodriguez-Hernandez, J. Laboratory Characterization of Porous Asphalt Mixtures with Aramid Fibers. Materials 2021, 14, 1935. [Google Scholar] [CrossRef]
- Xing, X.; Liu, T.; Pei, J.; Huang, J.; Li, R.; Zhang, J.; Tian, Y. Effect of fiber length and surface treatment on the performance of fiber-modified binder. Constr. Build. Mater. 2020, 248, 118702. [Google Scholar] [CrossRef]
- Kim, M.-J.; Kim, S.; Yoo, D.-Y.; Shin, H.-O. Enhancing mechanical properties of asphalt concrete using synthetic fibers. Constr. Build. Mater. 2018, 178, 233–243. [Google Scholar] [CrossRef]
- Mohandes, S.R.; Sadeghi, H.; Fazeli, A.; Mahdiyar, A.; Hosseini, M.R.; Arashpour, M.; Zayed, T. Causal analysis of accidents on construction sites: A hybrid fuzzy Delphi and DEMATEL approach. Saf. Sci. 2022, 151, 105730. [Google Scholar] [CrossRef]
- Mathern, A.; Penadés-Plà, V.; Barros, J.A.; Yepes, V. Practical metamodel-assisted multi-objective design optimization for improved sustainability and buildability of wind turbine foundations. Struct. Multidiscip. Optim. 2022, 65, 46. [Google Scholar] [CrossRef]
- Tüű-Szabó, B.; Kóczy, L.T. A highly accurate Mamdani fuzzy inference system for tennis match predictions. Fuzzy Optim. Decis. Mak. 2025, 1–29. [Google Scholar] [CrossRef]
- Felix, G.; Nápoles, G.; Falcon, R.; Froelich, W.; Vanhoof, K.; Bello, R. A review on methods and software for fuzzy cognitive maps. Artif. Intell. Rev. 2019, 52, 1707–1737. [Google Scholar] [CrossRef]
- Tola, M.; Georgopoulos, V.C.; Geronikou, E.; Plotas, P.; Stylios, C. Fuzzy Cognitive Maps for Decision Support in Post-COVID Syndrome with Speech-Language Pathology-Related Problems. Appl. Sci. 2024, 15, 13. [Google Scholar] [CrossRef]
- Hosmer, D.W., Jr.; Lemeshow, S.; Sturdivant, R.X. Applied Logistic Regression; John Wiley & Sons: Hoboken, NJ, USA, 2013. [Google Scholar] [CrossRef]
- Ghaleenoei, N.K.; Saghatforoush, E.; Mansouri, T.; Zareravasan, A. An FCM-based dynamic modeling of operability and maintainability barriers in road projects. Int. J. Pavement Res. Technol. 2022, 15, 367–383. [Google Scholar] [CrossRef]
- Daimi, S.; Rebai, S. Sustainability performance assessment of Tunisian public transport companies: AHP and ANP approaches. Socio-Econ. Plan. Sci. 2023, 89, 101680. [Google Scholar] [CrossRef]
- Kumar, S.; Banerji, H. Bayesian network modeling for economic-socio-cultural sustainability of neighborhood-level urban communities: Reflections from Kolkata, an Indian megacity. Sustain. Cities Soc. 2022, 78, 103632. [Google Scholar] [CrossRef]
- Karami, S.; Karami, E.; Buys, L.; Drogemuller, R. System dynamic simulation: A new method in social impact assessment (SIA). Environ. Impact Assess. Rev. 2017, 62, 25–34. [Google Scholar] [CrossRef]
- Alavi, B.; Tavana, M.; Mina, H. A dynamic decision support system for sustainable supplier selection in circular economy. Sustain. Prod. Consum. 2021, 27, 905–920. [Google Scholar] [CrossRef]
- de Vialidad, D. Manual de Carreteras Volumen 9: Estudios y Criterios Ambientales en Proyectos Viales; Ministerio de Obras Públicas: Santiago de Chile, Chile, 2023. Available online: https://mc.mop.gob.cl/Inicio/Index/ (accessed on 2 March 2025).
- Prouty, C.; Koenig, E.S.; Wells, E.C.; Zarger, R.K.; Zhang, Q. Rapid assessment framework for modeling stakeholder involvement in infrastructure development. Sustain. Cities Soc. 2017, 29, 130–138. [Google Scholar] [CrossRef]
Disclaimer/Publisher’s Note: The statements, opinions and data contained in all publications are solely those of the individual author(s) and contributor(s) and not of MDPI and/or the editor(s). MDPI and/or the editor(s) disclaim responsibility for any injury to people or property resulting from any ideas, methods, instructions or products referred to in the content. |
© 2025 by the authors. Licensee MDPI, Basel, Switzerland. This article is an open access article distributed under the terms and conditions of the Creative Commons Attribution (CC BY) license (https://creativecommons.org/licenses/by/4.0/).







