Next Article in Journal
A Data and Machine Learning-Based Approach for the Conversion of the Encounter Wave Frequency Spectrum to the Original Wave Spectrum
Previous Article in Journal
AASNet: A Novel Image Instance Segmentation Framework for Fine-Grained Fish Recognition via Linear Correlation Attention and Dynamic Adaptive Focal Loss
 
 
Font Type:
Arial Georgia Verdana
Font Size:
Aa Aa Aa
Line Spacing:
Column Width:
Background:
Article

The Running Performance of Elite Youth Football Players in Matches with a 1-4-3-3 Formation in Relation to Their Playing Position

by
Yiannis Michailidis
1,*,
Andreas Stafylidis
1,
Lazaros Vardakis
1,
Angelos E. Kyranoudis
1,
Vasilios Mittas
1,
Vasileios Leftheroudis
1,
Spyridon Plakias
2,
Athanasios Mandroukas
1 and
Thomas I. Metaxas
1
1
Laboratory of Evaluation of Human Biological Performance, Department of Physical Education and Sports Sciences, Aristotle University of Thessaloniki, University Campus of Thermi, 57001 Thessaloniki, Greece
2
Department of Physical Education and Sport Science, University of Thessaly, 38221 Trikala, Greece
*
Author to whom correspondence should be addressed.
Appl. Sci. 2025, 15(7), 3984; https://doi.org/10.3390/app15073984
Submission received: 15 March 2025 / Revised: 29 March 2025 / Accepted: 2 April 2025 / Published: 4 April 2025

Abstract

The running performance of football players is influenced by their team’s formation as well as by their playing position. The creation of the external load profile provides information to the coaching staff for personalized loading of the players based on their playing positions. The aim of this study was to create the athletic running profile of high-level football players under 17 years of age (U17) in the 1-4-3-3 formation, and to investigate the differences between the playing positions in the formation. The study involved 20 football players from a football academy of a professional team. For the study, 13 league matches were used in which the team played with the 1-4-3-3 formation. Positions were classified as central defenders (CDs), side defenders (SDs), central midfielders (CMs), side midfielders (SMs), and forwards (Fs). The players’ movement patterns were captured using a GPS device and categorized into six velocity zones (first: 0.1–7.19 km/h, second: 7.2–10.99, third: 11–14.39 km/h, fourth: 14.4–19.79 km/h, fifth: 19.8–25.19 km/h, sixth: >25.2 km/h). The accelerations and decelerations recorded were those exceeding 2 m/s−1. The level of statistical significance was set at p < 0.05. The results showed that CMs exhibited the greatest external load in total distance and in specific distances in the other velocity zones (p < 0.05). Forwards dominated high-intensity efforts, leading in Distance Zone 5 with SD (mean = 555 m and mean = 559 m, respectively), as well as in Distance Zone 6 (F: mean = 146 m) and in high-speed running values (mean = 701 m). Side players, particularly SD and SM, contributed dynamically through elevated high-speed running (p < 0.05) and maximum speed (p < 0.05), reflecting their role in both transitions and positional phases of play. The study’s results clearly show that the physical demands of the playing positions in the 1-4-3-3 formation differ. This difference is likely due to the different tactical roles of each playing position. This variation between playing positions emphasizes the need for individualized loading of players during the training microcycle.

1. Introduction

Football is a particularly popular sport with millions of participants [1]. A football player’s performance is multi-factorial. Specifically, the four factors that determine performance are physical condition, technical–tactical knowledge, and the mental and social abilities of the player [2]. During the coaching process, depending on the age and level, the coaching staff analyzes the players’ needs in these areas and seeks to improve them with the appropriate exercises.
The development of technology has allowed, among other things, the monitoring of training load during both training and matches, even in real time. This advancement has helped coaching staff better define the external load that players experience, aiming to improve their performance [3] and at the same time minimize injuries [4]. This has also been aided by the fact that with the use of this technology, the athletic running profile of the players was formed in relation to their playing position. This way, the load on players can be individualized according to the demands of their playing position.
One factor that can significantly influence the athletic running profile, as mentioned, is the playing position [5,6], and more broadly, the formation in which the team plays [7]. Previous studies have reported that central defenders with three defenders cover greater distances than in formations with two central defenders [8,9,10]. In a recent study in the Chinese league [10], it was observed that full-backs in the 1-3-5-2 formation covered the longest distance at high intensity compared to the 1-4-4-2 formation. Regarding positions, it has been reported that central midfielders cover the greatest total distance compared to other positions [6,11,12,13]. Specifically, central midfielders cover greater sprinting distances in the 1-4-2-3-1 formation compared to the 1-4-4-2 formation [10]. It has also been reported that high-intensity actions are more frequent in the 1-4-3-3 formation compared to the 1-4-4-2 formation [11,14]. Moreover, other researchers mention that in formations with two central forwards, greater high-intensity distances are covered compared to formations with one central defender (1-3-5-2 > 1-4-3-3) [15,16], although a previous study does not support this finding [17]. Finally, Vardakis et al. (2020) [18] observed that the wide positions in the 1-4-3-3 formation have requirements for intense actions.
Two other parameters that are measured and monitored using GPS are acceleration (ACC) and deceleration (DEC). These actions are considered to be of very high intensity and affect the neuromuscular load of the players [19,20,21], which is why coaching staff monitor them. The literature indicates that both professional football players and elite youth football players [3,22] perform decades of accelerations and decelerations in a match.
The 1-4-3-3 formation is a widely utilized tactical setup in soccer, offering a balanced approach between offense and defense. Τhe four lines of the formation consist of the goalkeeper (1), the four defenders (4), the three midfielders (3), and the three forwards (3). This formation is highly effective for teams that emphasize possession, pressing, and attacking football. Its structure provides width in attack and allows for effective pressing strategies. Historically, teams like the Netherlands in the 1974 and 1978 World Cups employed the 1-4-3-3 to great effect, emphasizing fluid movement and positional interchange. In modern football, clubs such as FC Barcelona under Pep Guardiola and Liverpool under Jürgen Klopp have adopted this formation to dominate possession and apply high defensive pressure. The 1-4-3-3’s flexibility enables teams to adapt their midfield configurations and attacking patterns to exploit opponents’ weaknesses, making it a preferred choice for many top-tier teams.
However, all the above studies about running distances concern professional players, while for amateur and developmental football, studies are extremely limited [23,24]. Previous studies in developmental football have reported the wide range of athletic profiles in different age categories [24]. The information that coaching staff will obtain from forming these athletic profiles can be used to individualize load according to playing position, making the coaching process more effective. Additionally, in elite youth football, this information will be used to prepare players according to their position for the next step in their football career (the next team). Specifically, by knowing the running profile of the winger in the U19 team in the 1-4-3-3 formation, the U17 player who plays in the same position can aim to approach these values to be better prepared (in terms of physical condition) for the transition from the U17 team to the U19 team.
According to the above, the aim of this study was to create the athletic running profile of high-level football players under 17 years of age (U17) in the 1-4-3-3 formation and to investigate the differences between the playing positions in the formation. According to the existing literature, which primarily concerns professional football players, we hypothesize that (a) the greatest total distance and high-intensity distance will be covered by side players and midfielders.

2. Methods

2.1. Participants

The study involved 20 football players from a football academy of a professional team. The players were part of the U17 team and participated in the national U17 football league of top-tier professional football teams. The players participated in 4–5 training sessions and one match. For the study, 13 league matches were used in which the team played with the 1-4-3-3 formation. Matches were excluded if (a) the team changed the formation for some time, (b) a player was sent off with a red card, or (c) weather conditions could affect performance (e.g., heavy rain).
Regarding the players, data from players who played 90 min in the same playing position were used. Goalkeepers were excluded, and other positions were classified as central defenders (CDs), side defenders (SDs), central midfielders (CMs), side midfielders (SMs), and forwards (Fs). The football players were informed about the study and signed a consent form. The local institutional review board approved the study (approval number 217/2024) in accordance with the Helsinki Declaration.

2.2. Anthropometric Measurements

Before the start of the study, the anthropometric characteristics of the players were measured. Specifically, body weight was measured with an accuracy of 0.1 kg using a digital scale (Seca 220e, Hamburg, Germany), and height was measured with an accuracy of 0.5 cm using a stadiometer attached to the scale. For measuring body fat percentage, a skinfold caliper (Lange, Beta Technology, Santa Cruz, CA, USA) was used. This instrument measured the thickness of four skinfolds (biceps, triceps, subscapular, and supra-iliac) according to the guidelines of Slaughter et al. (1988) [25]. These values were used in the Durnin and Rahaman [26] equation to calculate body density and then in the Siri equation [27] to calculate body fat percentage.

2.3. Global Positioning System Variables

To record the load, the global navigation satellite systems Apex (STATSports, Newry, Northern Ireland) was used. The system’s transmitter was placed in a specially designed vest at the back and lower part of the neck (between the shoulder blades). The transmitter was activated and recorded the player’s movements during the match. After the game ended, the transmitter was placed in a specialized company device, transferring the recorded data to a computer, where the file was then exported in CSV format. The speed zones used were the following:
  • Zone 1: 0.1–7.19 km/h (rest, walking)—very low intensity
  • Zone 2: 7.2–10.99 km/h (jogging)—low intensity
  • Zone 3: 11–14.39 km/h (jogging)—moderate intensity
  • Zone 4: 14.4–19.79 km/h (running)—high intensity 1
  • Zone 5: 19.8–25.19 km/h (fast running)—high intensity 2
  • Zone 6: ≥25.2 km/h (sprinting)—very high intensity
For accelerations (ACCs), those greater than 2 m/s2 were used, and for decelerations (DECs), those greater than −2 m/s2 were used.

2.4. External Load Variables

For the creation of the players’ profile, the following variables were used: total distance, distance in each speed zone, accelerations, and decelerations.

2.5. Statistical Analysis

All statistical analyses were performed using IBM SPSS Statistics (version 29 for Windows) [28], Jamovi (version 2.6.23.0 for Windows) [29] and JASP (version 0.19.3.0 for Windows) [30] for visualization purposes. The Shapiro–Wilk test was used to assess the normality of the data. Variables that followed a normal distribution included high metabolic load distance (HMLD), Distance Zone 1, Distance Zone 2, Distance Zone 3 and Distance Zone 4. For these variables, parametric tests, specifically one-way ANOVA, were applied to identify significant differences among the football players’ positions. Post-hoc comparisons were performed using Tukey’s test to provide deeper insights into pairwise differences between positions. For variables that did not meet the assumptions of normality, including Distance Zone 6, Distance Zone 5, high-speed running (HSR), total accelerations, total decelerations, HSR per minute, total distance per minute, time per minute, number of sprints, maximum speed, average speed, distance per minute, total distance, and non-parametric Kruskal–Wallis tests were employed to assess statistical differences across player positions. In cases where significant differences were identified, post-hoc tests were applied for pairwise comparisons. Effect size (ES) was calculated according to Cohen’s criteria [31]. Regarding the ES, the magnitude of coefficient η2 and ε2 for parametric and non-parametric statistical tests, respectively, was evaluated in the following ranges: ES = 0.01–0.06 (small effect), ES = 0.06–0.14 (moderate effect), and ES > 0.14 (large effect). The statistical level of significance was set at p < 0.05.

3. Results

The statistical analyses revealed significant differences in physical performance variables across football player positions (Table 1). High metabolic load distance (HMLD) did not show significant variation between positions (F = 2.409, p = 0.081). However, significant positional differences were evident for variables assessed using parametric tests in Distance Zone 1 (F = 4.073, p = 0.009), Distance Zone 2 (F = 8.025, p = 0.001), Distance Zone 3 (F = 19.331, p = 0.001), and Distance Zone 4 (F = 10.986, p = 0.001).
For variables assessed using non-parametric tests, significant positional differences were found in Distance Zone 5 (H = 15.60, p = 0.004) and in Distance Zone 6 (H = 40.53, p = 0.001). Additionally, significant positional differences were evident in total distance (H = 19.08, p = 0.001), distance per minute (H = 19.10, p = 0.001), and HSR and HSR per minute (H = 22.00, p = 0.001 and H = 23.28, p = 0.001, respectively).
Average speed (H = 39.78, p = 0.001), maximum speed (H = 26.27, p = 0.001), and number of sprints (H = 11.90, p = 0.018) significantly differed among players’ position, whereas total accelerations (H = 8.81, p = 0.066) and total decelerations (H = 5.97, p = 0.201) did not have statistically significant differences (Table 1). Below (Table 2, Table 3, Table 4 and Table 5), the post-hoc analysis results highlighting significant differences between player positions for the various performance metrics are also presented.
The results from post-hoc analysis revealed significant pairwise differences, as outlined in Table 2. Significant pairwise differences were observed in total distance and distance per minute between CM and side midfielders (SMs), center defenders (CDs), side defenders (SDs) and forwards (Fs), emphasizing their critical role in covering large distances and maintaining a high work rate (Table 1 and Table 2 and Figure 1). Specifically, CM players exhibited statistically significant higher means in total distance (10,979.26 m, 95% CI: 10,519.67–11,438.84) and distance per minute (121.99 m/min, 95% CI: 116.88–127.09).
Forwards (Fs) recorded slightly higher HMLD values (1906.40 m, 95% CI: 1712.01–2100.78) compared to other positions, but these differences were not statistically significant (p > 0.05). Conversely, center defenders (CDs) exhibited lower values for distance per minute (110.94 m/min, 95% CI: 107.15–114.74) compared to CMs, reflecting their less dynamic role on the field. Similarly, side midfielders (SMs) and side defenders (SDs) demonstrated lower mean values for both total distance and distance per minute.
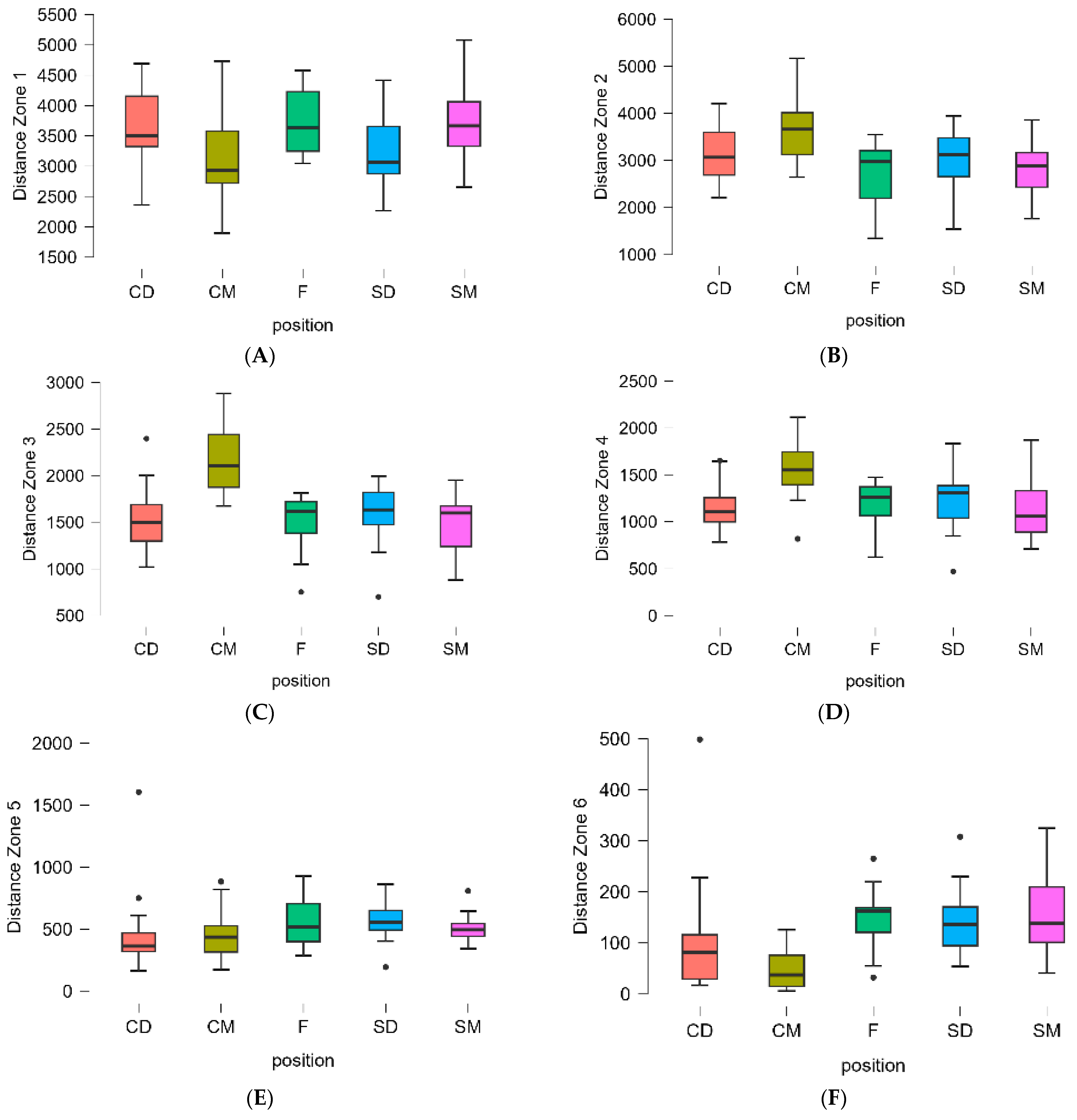
From the statistical analysis, significant differences across positions were observed regarding the distance zones (Table 1 and Table 3 and Figure 2). Central midfielders (CMs) outperformed side midfielders (SMs), center defenders (CDs), side defenders (SDs, and forwards (Fs) in moderate-intensity zones (Zones 2–4). Specifically, CM players recorded significantly higher mean values in Distance Zone 2 (3616.92 m, 95% CI: 3363.71–3870.14), Distance Zone 3 (2143.78 m, 95% CI: 2014.43–2273.13) and Distance Zone 4 (1553.20 m, 95% CI: 1444.64–1661.75) compared to SM, CD, SD, and F players. These findings highlight the central midfielders’ critical role in maintaining activity in moderate-intensity areas.
Conversely, forwards (Fs) and side players (SDs and SMs) demonstrated higher mean values in high-intensity zones (Zones 5 and 6). Forwards recorded the highest values in Distance Zone 5 (mean = 554.61 m, 95% CI: 444.40–664.82) and Distance Zone 6 (mean = 146.47 m, 95% CI: 109.53–183.40). Side defenders (SDs) and side midfielders (SMs) also displayed high values in these zones, reflecting their contribution to both defensive and offensive transitions. Center defenders (CDs) showed lower mean values across most zones, except for Distance Zone 1, where they recorded the highest mean (3634.46 m, 95% CI: 3386.54–3882.38), significantly differing from CMs. These results emphasize the varied physical demands of playing positions, with central midfielders excelling in moderate-intensity zones and forwards and side players dominating high-intensity zones.
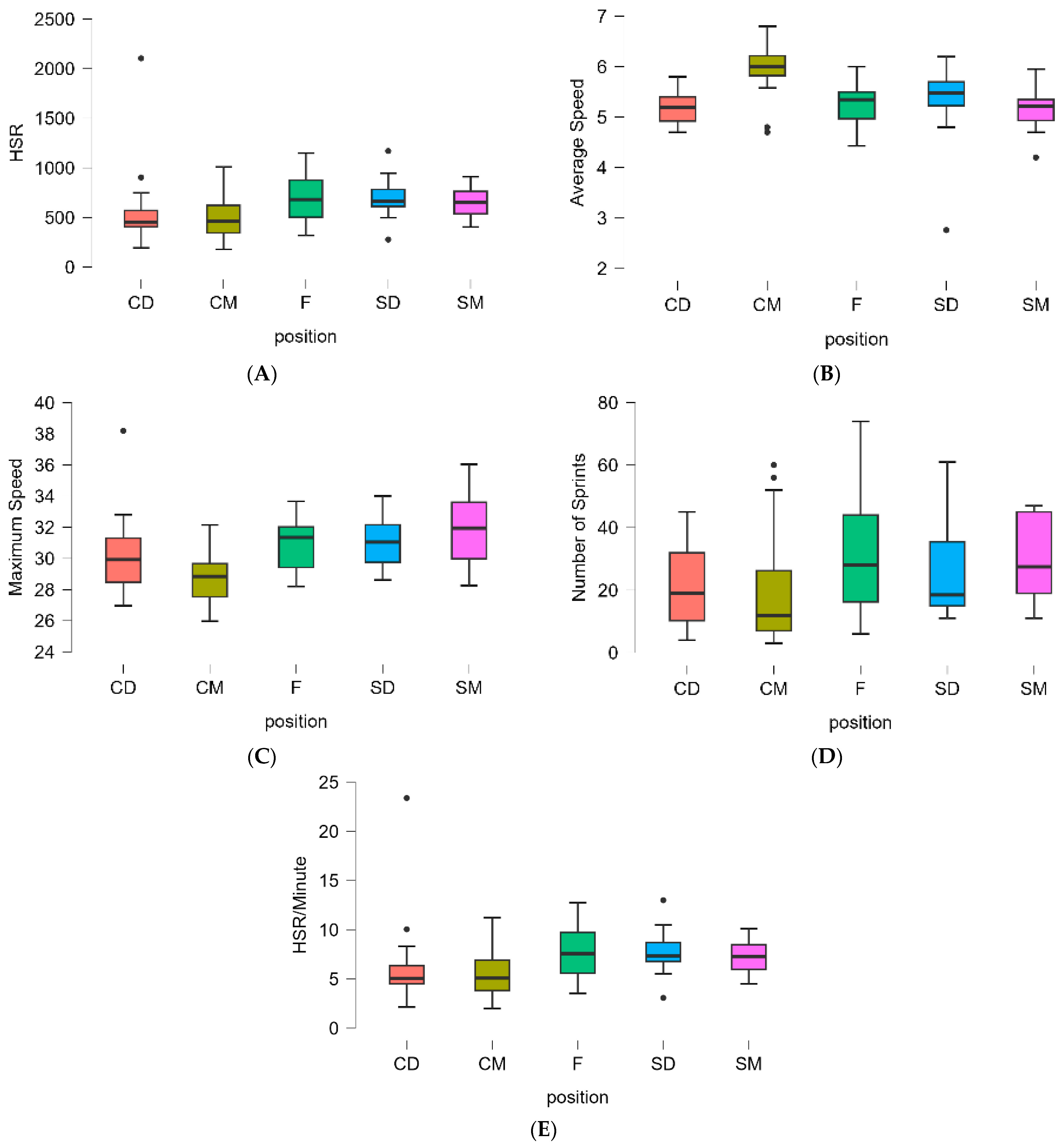
Forwards (Fs) and side defenders (SDs) exhibited the highest HSR values (Table 1 and Table 4 and Figure 3), with forwards leading the group (Mean = 701.08 m, 95% CI: 559.13–843.04). Side midfielders (SMs) and side defenders (SDs) also displayed high HSR mean values, while central defenders (CDs) and central midfielders (CMs) recorded lower HSR values. Significant pairwise differences in HSR were observed between CDs and SMs, CDs and SDs, CMs and SDs, and CMs vs. SMs.
Central midfielders (CMs) had the highest mean for average speed (mean = 5.99 m/s, 95% CI: 5.81–6.17), significantly differing from that of SMs, CDs, SDs and Fs. Maximum Speed was highest among side midfielders (SMs) and side defenders (SDs), with SMs recording the highest values (mean = 31.76 km/h, 95% CI: 30.66–32.86). Significant differences in maximum speed were noted between CMs and SDs, CMs and Fs, and CDs and SMs.
Although the Kruskal–Wallis test for the number of sprints was statistically significant (H = 11.90, p = 0.018), the post-hoc analysis did not reveal significant pairwise differences between player positions, likely due to high variability within groups and overlapping distributions. Forwards recorded the highest number of sprints (mean = 32.92, 95% CI: 21.00–44.85), followed by side midfielders (SMs) with a mean of 29.30 (95% CI: 23.42–35.17) and side defenders (SDs) with a mean of 25.61 (95% CI: 17.65–33.57). In contrast, central players, including central midfielders (CMs) and central defenders (CDs), exhibited fewer sprints, with means of 20.10 (95% CI: 13.13–27.08) and 20.62 (95% CI: 15.09–26.15), respectively.
Lastly, HSR per minute followed a similar pattern, with forwards (mean = 7.79, 95% CI: 6.21–9.36) and side defenders (mean = 7.76, 95% CI: 6.67–8.86) leading the metrics. Significant pairwise differences in HSR per minute were observed between CDs and SMs, CDs and SDs, CMs and SDs, and CMs vs. SMs. These results emphasize the distinct physical demands across playing positions, particularly the dynamic roles of side players and forwards in high-speed activities.
Total accelerations and total decelerations did not demonstrate statistically significant differences among player positions (Table 1 and Table 5 and Figure 4). While no significant differences were identified, the descriptive data provide valuable insights into positional tendencies. Forwards (F) recorded the highest total accelerations (mean = 200.28, 95% CI: 166.04–234.52), reflecting their frequent need for explosive movements during offensive play. Central midfielders (CMs) also demonstrated high acceleration values (mean = 196.75, 95% CI: 165.02–228.47), emphasizing their involvement across all areas of the field.
A similar trend was observed for total decelerations, with central midfielders (CMs) and forwards (Fs) leading in these metrics. CM players recorded a mean of 166.57 (95% CI: 133.09–200.04), while forwards had a mean of 158.14 (95% CI: 127.24–189.04). Central defenders (CDs) exhibited the lowest mean values for decelerations (mean = 134.50, 95% CI: 103.67–165.32), consistent with their more static and position-oriented role on the field.

4. Discussion

The purpose of this study was to describe the external load profile of different playing positions in the 1-4-3-3 formation of young football players. Specifically, the central midfielders (CMs) covered the greatest distance, while the forwards (Fs) dominated the distances in high-intensity zones 5 and 6. The wide players (SDs, SMs) showed high performance in high-speed running distance. The results partially confirm our hypothesis that the wide players of the formation cover the longest distances and also the most meters at high speeds.
As mentioned earlier, studies on elite youth football players investigating the effect of formation are limited compared to those concerning professional football players. In one of the first studies [24], among other aspects, they recorded the external load in football matches across a wide range of ages (U13–U18). In this study, no specific formation was mentioned, but the players were divided into the following positions: side defender (SD), central defender (CD), side midfielder (SM), central midfielder (CM), and forward (F). The results showed that midfielders covered the greatest distance, while the CDs covered the smallest. The SM and F covered the greatest distance at high speeds. Although this study used a large sample, the lack of reference to formation as a factor affecting running performance in football represents a significant limitation.
In a later study, researchers observed the differences in running performance across playing positions without referencing formation, but by categorizing the players into the aforementioned five positions [32]. The researchers observed that the CM covered the greatest total distance as well as the distance at low speeds compared to all other positions. The CMs and CDs covered the least distance in sprints, while the Fs covered a greater sprint distance than the SMs. Finally, the CDs covered the least high-speed running (HSR) distance compared to all positions. Our findings are generally in agreement with these studies, although this study focuses on a specific formation, and therefore, on specific areas of responsibility for the players. Specifically, the CMs covered the greatest distance, as mentioned earlier in the results appendix, while the Fs and SDs covered the longest distance in zone 5.
As we can observe, there are no studies in the literature regarding the running performance profile of specific formations, especially in the 1-4-3-3. This makes it difficult to compare the findings of this study with other research data. However, we will make some references to studies with a similar design concerning professional football players. In one study [18], which examined the running performance of professional football players in the 1-4-3-3 formation, dividing them into five playing positions, it was noted that the CM differed from the other positions, covering greater distances in the first speed zone (6–11.8 km/h). In other studies, this difference was not observed [33,34], likely because different speed zones were used (walking was included in the first zone). In the current study, the first zone included the distance covered by walking (0–7.1 km/h), where differences were observed between the CMs and SMs. It is incorrect to compare the first zone of the present study with that of Vardakis et al. (2020) [18] since the first zone in the aforementioned study begins (almost) where the corresponding zone of the present study ends.
The second zone (7.2–14.39 km/h) in this study was defined to include the distance covered at moderate running speed. In studies with professional players, this zone is narrower in terms of speed (~11–15 km/h), and it has been reported that CMs covered the greatest distance and CDs the least [18,33]. Similarly, in this study, CMs covered the greatest distance, while Fs covered the least. The differences may be due to the different definitions of speed within the zone.
The speed range of the third zone in this study is closer to that used in professional teams (~15–20 km/h). In this study, it was observed that the CM covered the greatest distance, with a significant difference compared to all other positions. The findings are consistent with those of previous studies with professionals [18,35]. Many of the measures covered by midfielders are related to their positioning. Also, the tactical role of midfielders requires them to continuously move across spaces to connect the defensive and attacking lines offensively and to contribute defensively within the framework of the team’s defensive tactics [36].
In the fifth zone (19.8–25.19 km/h), it was observed that the CDs covered the shortest distance. These findings are consistent with studies on professional football players [18]. Although previous studies have reported that the CDs, who cover the shortest distance in this high-intensity zone, also show the lowest performance in physical fitness tests [37,38], we believe that the tactical role is what determines performance in this zone.
In this study, regarding the sprint zone, it was observed that the SMs covered the greatest distance, with the Fs and SDs following. Earlier studies in professional players report that the SDs and SMs covered the greatest distances, while the CDs and CMs covered similar distances in this speed zone [18,33]. As previously mentioned, the wide players and forwards covered the greatest distances at maximum speed (sprint). In professional soccer players, the findings are similar, with wide players covering the most meters.
In this study, no differences were observed between the positions regarding the number of accelerations (ACCs) and decelerations (DECs) above 2 m/s2 and below −2 m/s2. However, earlier studies report that wide players (SD, SM) perform more ACCs and DECs, while CDs perform the least [39,40]. Similar findings have been reported in studies conducted on young football players [19,41,42]. We could hypothesize that players in wide positions have more space, allowing them to reach higher speeds, which is why they record more ACCs and DECs than players in central positions. The central area is typically covered by more players in most formations, which limits the space for movement and the speed a player can develop. This, in turn, limits the number of intense ACCs and DECs.
As mentioned earlier, this is one of the first studies attempting to create the profile of high-level young football players playing in the 1-4-3-3 formation. The playing position appeared to affect the distances players cover at different speeds. This study helps quantify the match demands, which in turn allows for the individualization of the external loads players will experience in the weekly training microcycle, with the goal of improving performance and preventing injuries.
Although this study provides important information, it has some limitations. The sample used came from a professional team’s academy, and both the number of players and matches were limited. Additionally, contextual variables (score, home game, or away game) that could influence running performance were not taken into account in this study. Furthermore, apart from the formation, the individual instructions given to each player by the coach and the overall philosophy of the coach regarding the team’s playing style can influence running performance, but these were not considered in this study. Therefore, future research on larger samples of young players, where contextual variables that could affect running performance are also considered, will provide a more complete picture of the profile in this formation.

5. Conclusions

To conclude, central midfielders (CMs) excelled in overall workload, recording the highest total distance (mean = 10,979.26 m), distance per minute (mean = 121.99 m/min) and distance in moderate-intensity zones, including Distance Zone 2 (Mean = 3616.92 m), Distance Zone 3 (mean = 2143.78 m) and Distance Zone 4 (mean = 1553.20 m). Forwards dominated high-intensity efforts, leading in Distance Zone 5 with SD (mean = 554.61 m and mean = 558.63 m respectively), as well as in Distance Zone 6 (F: mean = 146.47 m) and in high-speed running (HSR) values (mean = 701.08 m). Side players, particularly side defenders (SDs) and side midfielders (SMs), contributed dynamically through elevated high-speed running (SD: Mean = 699.17 m) and maximum speed (SM: mean = 31.76 km/h), reflecting their role in both transitions and positional phases of play. These findings underscore the distinct physical demands of each position, with CM players excelling in overall workload, forwards demonstrating dominance in high-intensity efforts, and side players potentially contributing dynamically to both transitional and positional phases of play.
The results of the study clearly show that the physical demands of the playing positions in the 1-4-3-3 formation differ. This difference is likely due to the different tactical roles assigned to each playing position. The distinction between the playing positions highlights the need for different loading of the players during the training microcycle.

Author Contributions

Y.M., T.I.M., A.M. and V.M. designed the study and provided critical feedback on the manuscript; V.L., A.E.K., A.M., S.P. and A.S., collected and processed the data. A.S. and Y.M. analyzed the data. Y.M., A.S., L.V., S.P. and T.I.M. revised the first draft; A.S. and Y.M. conducted the statistical analysis. All authors have read and agreed to the published version of the manuscript.

Funding

This research received no external funding.

Institutional Review Board Statement

The Ethics Committee of the School of Physical Education and Sport Science at Thessaloniki hereby approved the study (11 December 2024, App. No. 217/2024).

Informed Consent Statement

Informed consent was obtained from all parents of subjects involved in the study.

Data Availability Statement

Data are available upon request from the corresponding author.

Acknowledgments

The authors thank the players of the team who participated in the study.

Conflicts of Interest

The authors declare no conflicts of interest.

References

  1. FIFA. Professional Football 2021. Available online: https://publications.fifa.com/en/annual-report-2021/around-fifa/professional-football-2021/ (accessed on 1 January 2023).
  2. Williams, A.M.; Ford, P.R.; Drust, B. Talent identification and development in soccer since the millennium. J. Sports Sci. 2020, 38, 1199–1210. [Google Scholar] [CrossRef] [PubMed]
  3. Vardakis, L.; Michailidis, Y.; Topalidis, P.; Zelenitsas, C.; Mandroukas, A.; Gissis, I.; Christoulas, K.; Mavrommatis, G.; Metaxas, T. Application of a structured training plan on different-length microcycles in soccer—Internal and external load analysis between training weeks and games. Appl. Sci. 2023, 13, 6935. [Google Scholar] [CrossRef]
  4. Fousekis, A.; Fousekis, K.; Fousekis, G.; Vaitsis, N.; Terzidis, I.; Christoulas, K.; Michailidis, Y.; Mandroukas, A.; Metaxas, T. Two or four weeks acute: Chronic workload ratio is more useful to prevent injuries in soccer? Appl. Sci. 2023, 13, 495. [Google Scholar] [CrossRef]
  5. Schuth, G.; Carr, G.; Barnes, C.; Carling, C.; Bradley, P.S. Positional interchanges influence the physical and technical match performance variables of elite soccer players. J. Sports Sci. 2016, 34, 501–508. [Google Scholar] [CrossRef]
  6. Rivilla-Garcia, J.; Calvo, L.C.; Jiménez-Rubio, S.; Paredes-Hernández, V.; Muñoz, A.; Van den Tillaar, R.; Navandar, A. Characteristics of very high intensity runs of soccer players in relation to their playing position and playing half in the 2013–14 Spanish La Liga season. J. Hum. Kinet. 2019, 66, 213–222. [Google Scholar] [CrossRef]
  7. Baptista, I.; Johansen, D.; Figueiredo, P.; Rebelo, A.; Pettersen, S.A. A comparison of match-physical demands between different tactical systems: 1-4-5-1 vs. 1-3-5-2. PLoS ONE 2019, 14, e0214952. [Google Scholar] [CrossRef]
  8. Modric, T.; Versic, S.; Sekulic, D. Position specific running performances in professional football (soccer): Influence of different tactical formations. Sports 2020, 8, 161. [Google Scholar] [CrossRef] [PubMed]
  9. Tierney, P.J.; Young, A.; Clarke, N.D.; Duncan, M.J. Match play demands of 11 versus 11 professional football using Global Positioning System tracking: Variations across common playing formations. Hum. Mov. Sci. 2016, 49, 1–8. [Google Scholar] [CrossRef]
  10. Zhang, W.; Gong, B.; Tao, R.; Zhou, F.; Ruano, M.Á.G.; Zhou, C. The influence of tactical formation on physical and technical performance across playing positions in the Chinese super league. Sci. Rep. 2024, 14, 2538. [Google Scholar] [CrossRef]
  11. Aquino, R.; Vieira, L.H.P.; Carling, C.; Martins, G.H.; Alves, I.S.; Puggina, E.F. Effects of competitive standard, team formation and playing position on match running performance of Brazilian professional soccer players. Int. J. Perform. Anal. Sport 2017, 17, 695–705. [Google Scholar] [CrossRef]
  12. Dellal, A.; Wong, D.P.; Moalla, W.; Chamari, K. Physical and technical activity of soccer players in the French First League–with special reference to their playing position. J. Sports Sci. 2010, 11, 278–290. [Google Scholar]
  13. Vigh-Larsen, J.F.; Dalgas, U.; Andersen, T.B. Position-specific acceleration and deceleration profiles in elite youth and senior soccer players. J. Strength Cond. Res. 2017, 32, 1114–1122. [Google Scholar] [CrossRef]
  14. Vieira, L.H.P.; Aquino, R.; Lago-Penas, C.; Martins, G.H.M.; Puggina, E.F.; Barbieri, F.A. Running performance in Brazilian professional football players during a congested match schedule. J. Strength Cond. Res. 2018, 32, 313–325. [Google Scholar]
  15. Borghi, S.; Colombo, D.; La Torre, A.; Banfi, G.; Bonato, M.; Vitale, J.A. Differences in GPS variables according to playing formations and playing positions in U19 male soccer players. Res. Sports Med. 2021, 29, 225–239. [Google Scholar] [CrossRef] [PubMed]
  16. Arjol-Serrano, J.L.; Lampre, M.; Díez, A.; Castillo, D.; Sanz-López, F.; Lozano, D. The influence of playing formation on physical demands and technical-tactical actions according to playing positions in an elite soccer team. Int. J. Environ. Res. Public Health 2021, 18, 4148. [Google Scholar] [CrossRef]
  17. Plakias, S.; Michailidis, Y. Factors affecting the running performance of soccer teams in the Turkish Super League. Sports 2024, 12, 196. [Google Scholar] [CrossRef]
  18. Vardakis, L.; Michailidis, Y.; Mandroukas, A.; Mavrommatis, G.; Christoulas, K.; Metaxas, T. Analysis of the running performance of elite soccer players depending on position in the 1-4-3-3 formation. Ger. J. Exerc. Sport Res. 2020, 50, 241–250. [Google Scholar] [CrossRef]
  19. Conde-Pipó, J.; de Sousa Pinheiro, G.; Pombal, D.F.; Toscano, L.M.; Llamas, J.E.G.; Gallardo, J.M.C.; Requena, B.; Mariscal-Arcas, M. Investigating acceleration and deceleration patterns in elite youth football: The interplay of ball possession and tactical behavior. Appl. Sci. 2024, 14, 4336. [Google Scholar] [CrossRef]
  20. Djaoui, L.; Owen, A.; Newton, M.; Nikolaidis, P.T.; Dellal, A.; Chamari, K. Effects of congested match periods on acceleration and deceleration profiles in professional soccer. Biol. Sport 2022, 39, 307–317. [Google Scholar]
  21. Hader, K.; Rumpf, M.C.; Hertzog, M.; Kilduff, L.P.; Girard, O.; Silva, J.R. Monitoring the athlete match response: Can external load variables predict post-match acute and residual fatigue in soccer? A systematic review with meta-analysis. Sports Med. Open 2019, 5, 48. [Google Scholar] [CrossRef]
  22. Thoseby, B.; Govus, A.D.; Clarke, A.C.; Middleton, K.J.; Dascombe, B.J. Peak match acceleration demands differentiate between elite youth and professional football players. PLoS ONE 2023, 18, e0277901. [Google Scholar] [CrossRef] [PubMed]
  23. Kaldaras, V.; Michailidis, Y.; Gissis, I.; Metaxas, T.I. The running performance of amateur football players in matches with a 1-4-3-3 formation in relation to their playing position and the 15-min time periods. Appl. Sci. 2024, 14, 7036. [Google Scholar] [CrossRef]
  24. Buchheit, M.; Mendez-Villanueva, A.; Simpson, B.M.; Bourdon, P.C. Match running performance and fitness in youth soccer. Int. J. Sports Med. 2010, 31, 818–825. [Google Scholar] [CrossRef]
  25. Slaughter, M.H.; Lohman, T.G.; Boileau, R.A.; Horswill, C.A.; Stillman, R.G.; Van Loan, M.D.; Bemben, D.A. Skinfold equations for estimation of body fatness in children and youth. Hum. Biol. 1988, 60, 709–723. [Google Scholar]
  26. Durnin, J.V.G.A.; Rahaman, M.M. The assessment of the amount of fat in the human body from measurements of skinfold thickness. Br. J. Nutr. 1967, 21, 681–689. [Google Scholar]
  27. Siri, W.E. The gross composition of the body. Adv. Biol. Med. Phys. 1956, 4, 239–280. [Google Scholar]
  28. IBM Corporation. IBM SPSS Statistics for Windows, Version 29.0.2.0 [Computer Software], IBM Corporation: Armonk, NY, USA, 2025. Available online: https://www.ibm.com/analytics/spss-statistics-software (accessed on 30 January 2025).
  29. The Jamovi Project. Jamovi, Version 2.6 [Computer Software], The Jamovi Project: Sydney, Australia, 2025. Available online: https://www.jamovi.org (accessed on 30 January 2025).
  30. JASP Team. JASP, Version 0.19.3.0 [Computer Software], JASP Team: Amsterdam, The Netherlands, 2025. Available online: https://jasp-stats.org (accessed on 30 January 2025).
  31. Cohen, J. Statistical Power Analysis for the Behavioral Sciences; Routledge: London, UK, 2013. [Google Scholar]
  32. Varley, M.C.; Gregson, W.; McMillan, K.; Bonanno, D.; Stafford, K.; Modonutti, M.; Di Salvo, V. Physical and technical performance of elite youth soccer players during international tournaments: Influence of playing position and team success and opponent quality. Sci. Med. Footb. 2016, 1, 18–29. [Google Scholar] [CrossRef]
  33. Di Salvo, V.; Baron, R.; Tschan, H.; Calderon Montero, F.J.; Bachl, N.; Pigozzi, F. Performance characteristics according to playing position in elite soccer. Int. J. Sports Med. 2007, 28, 222–227. [Google Scholar]
  34. Mallo, J.; Mena, E.; Nevado, F.; Paredes, V. Physical demands of top class soccer friendly matches in relation to a playing position using global positioning system technology. J. Hum. Kinet. 2015, 47, 179–188. [Google Scholar] [CrossRef]
  35. Metaxas, T.I. Match running performance of elite soccer players: VO2max and players position influences. J. Strength Cond. Res. 2021, 35, 162–168. [Google Scholar] [CrossRef]
  36. Smpokos, E.; Mourikis, C.; Linardakis, M. Seasonal physical performance of a professional team’s football players in a national league and European matches. J. Hum. Sport Exerc. 2018, 13, 720–730. [Google Scholar]
  37. Bangsbo, J.; Iaia, F.M.; Krustrup, P. The Yo-Yo intermittent recovery test: A useful tool for evaluation of physical performance in intermittent sports. Sports Med. 2008, 38, 37–51. [Google Scholar]
  38. Mohr, M.; Krustrup, P.; Bangsbo, J. Match performance of high-standard soccer players with special reference to development of fatigue. J. Sports Sci. 2003, 21, 519–528. [Google Scholar]
  39. Ingebrigtsen, J.; Dalen, T.; Hjelde, G.H.; Drust, B.; Wisloff, U. Acceleration and sprint profiles of a professional elite football team in match play. Eur. J. Sport Sci. 2015, 15, 101–110. [Google Scholar] [PubMed]
  40. Terje, D.; Jorgen, I.; Gertjan, E.; Geir Havard, H.; Ulrik, W. Player load, acceleration, and deceleration during 45 competitive matches of elite soccer. J. Strength Cond. Res. 2016, 30, 351–359. [Google Scholar]
  41. Serpiello, F.R.; Duthie, G.M.; Moran, C.; Kovacevic, D.; Selimi, E.; Varley, M.C. The occurrence of repeated high acceleration ability (RHAA) in elite youth football. Int. J. Sports Med. 2018, 39, 502–507. [Google Scholar]
  42. Morgans, R.; Bezuglov, E.; Orme, P.; Burns, K.; Rhodes, D.; Babraj, J.; Di Michele, R.; Oliveira, R.F. The physical demands of match-play in academy and senior soccer players from the Scottish Premiership. Sports 2022, 10, 150. [Google Scholar] [CrossRef]
Figure 1. Positional performance analysis: distribution of physical and tactical metrics, overall distance, and pace metrics. Note: The boxplots (AC) illustrate the distribution of key performance metrics across playing positions: center defender (CD), center midfielder (CM), forward (F), side defender (SD), and side midfielder (SM). Significant pairwise differences were observed as follows: In panel (A)—Total distance: CM vs. SM, CM vs. CD, CM vs. SD, and CM vs. F; in panel (B)—High metabolic load distance (HMLD): no significant differences were observed; in panel (C)—Total distance per minute: CM vs. SM, CM vs. CD, CM vs. SD, and CM vs. F. Dots represent statistical outliers (IQR method) retained for analysis, as they may reflect meaningful individual variability in physical performance.
Figure 1. Positional performance analysis: distribution of physical and tactical metrics, overall distance, and pace metrics. Note: The boxplots (AC) illustrate the distribution of key performance metrics across playing positions: center defender (CD), center midfielder (CM), forward (F), side defender (SD), and side midfielder (SM). Significant pairwise differences were observed as follows: In panel (A)—Total distance: CM vs. SM, CM vs. CD, CM vs. SD, and CM vs. F; in panel (B)—High metabolic load distance (HMLD): no significant differences were observed; in panel (C)—Total distance per minute: CM vs. SM, CM vs. CD, CM vs. SD, and CM vs. F. Dots represent statistical outliers (IQR method) retained for analysis, as they may reflect meaningful individual variability in physical performance.
Applsci 15 03984 g001
Figure 2. Positional performance analysis: distribution of physical and tactical metrics-detailed distance Zones. Note: The boxplots (AF) illustrate the distribution of key performance metrics across playing positions: center defender (CD), center midfielder (CM), forward (F), side defender (SD) and side midfielder (SM). Significant pairwise differences were observed as follows: In panel (A)—Distance Zone 1: CM vs. SM; in panels (BD)—Distance Zones 2, 3, and 4: CM vs. SM, CM vs. CD, CM vs. SD, and CM vs. F; in panel (E)—Distance Zone 5: SM vs. CD, and CD vs. SD; in panel (F)—Distance Zone 6: CM vs. SM, CM vs. SD, CM vs. F, and SM vs. CD. Dots represent statistical outliers (IQR method) retained for analysis, as they may reflect meaningful individual variability in physical performance.
Figure 2. Positional performance analysis: distribution of physical and tactical metrics-detailed distance Zones. Note: The boxplots (AF) illustrate the distribution of key performance metrics across playing positions: center defender (CD), center midfielder (CM), forward (F), side defender (SD) and side midfielder (SM). Significant pairwise differences were observed as follows: In panel (A)—Distance Zone 1: CM vs. SM; in panels (BD)—Distance Zones 2, 3, and 4: CM vs. SM, CM vs. CD, CM vs. SD, and CM vs. F; in panel (E)—Distance Zone 5: SM vs. CD, and CD vs. SD; in panel (F)—Distance Zone 6: CM vs. SM, CM vs. SD, CM vs. F, and SM vs. CD. Dots represent statistical outliers (IQR method) retained for analysis, as they may reflect meaningful individual variability in physical performance.
Applsci 15 03984 g002
Figure 3. Positional performance analysis: distribution of physical and tactical metrics—speed and sprint metrics. Note: The boxplots (AE) illustrate the distribution of key performance metrics across playing positions: center defender (CD), center midfielder (CM), forward (F), side defender (SD) and side midfielder (SM). Significant pairwise differences were observed as follows: In panel (A)—High-speed running (HSR): CM vs. SM, CM vs. SD, SM vs. CD, and CD vs. SD; in panel (B)—Average speed: CM vs. SM, CM vs. CD, CM vs. SD, and CM vs. F; in panel (C)—Maximum speed: CM vs. SM, CM vs. SD, and CM vs. F; in panel (D)—Number of sprints: no significant differences were observed; in panel (E)—HSR per minute: CM vs. SM, CM vs. SD, SM vs. CD, and CD vs. SD. Dots represent statistical outliers (IQR method) retained for analysis, as they may reflect meaningful individual variability in physical performance.
Figure 3. Positional performance analysis: distribution of physical and tactical metrics—speed and sprint metrics. Note: The boxplots (AE) illustrate the distribution of key performance metrics across playing positions: center defender (CD), center midfielder (CM), forward (F), side defender (SD) and side midfielder (SM). Significant pairwise differences were observed as follows: In panel (A)—High-speed running (HSR): CM vs. SM, CM vs. SD, SM vs. CD, and CD vs. SD; in panel (B)—Average speed: CM vs. SM, CM vs. CD, CM vs. SD, and CM vs. F; in panel (C)—Maximum speed: CM vs. SM, CM vs. SD, and CM vs. F; in panel (D)—Number of sprints: no significant differences were observed; in panel (E)—HSR per minute: CM vs. SM, CM vs. SD, SM vs. CD, and CD vs. SD. Dots represent statistical outliers (IQR method) retained for analysis, as they may reflect meaningful individual variability in physical performance.
Applsci 15 03984 g003
Figure 4. Positional performance analysis: distribution of physical and tactical metrics—acceleration and deceleration metrics. Note: The boxplots illustrate the distribution of key performance metrics across playing positions: center defender (CD), center midfielder (CM), forward (F), side defender (SD), and side midfielder (SM). (A) Total accelerations; (B) total decelerations. Dots represent statistical outliers (IQR method) retained for analysis, as they may reflect meaningful individual variability in physical performance.
Figure 4. Positional performance analysis: distribution of physical and tactical metrics—acceleration and deceleration metrics. Note: The boxplots illustrate the distribution of key performance metrics across playing positions: center defender (CD), center midfielder (CM), forward (F), side defender (SD), and side midfielder (SM). (A) Total accelerations; (B) total decelerations. Dots represent statistical outliers (IQR method) retained for analysis, as they may reflect meaningful individual variability in physical performance.
Applsci 15 03984 g004
Table 1. Statistical results across performance variables.
Table 1. Statistical results across performance variables.
VariableTest StatisticpES
HMLDF = 2.4090.0810.089
Distance Zone 1F = 4.0730.009 *0.141
Distance Zone 2F = 8.0250.001 *#†‡0.245
Distance Zone 3F = 19.3310.001 *#†‡0.439
Distance Zone 4F = 10.9860.001 *#†‡0.307
Distance Zone 5H = 15.600.004 §@0.151
Distance Zone 6H = 40.530.001 *†‡§0.393
Total DistanceH = 19.080.001 *#†‡0.185
Total Distance/MinuteH = 19.100.001 *#†‡0.185
HSRH = 22.000.001 *†§@0.213
Average SpeedH = 39.780.001 *#†‡0.386
Maximum SpeedH = 26.270.001 *†‡0.255
Number of SprintsH = 11.900.0180.115
HSR/MinuteH = 23.280.001 *†§@0.214
Total AccelerationsH = 8.810.0660.085
Total DecelerationsH = 5.970.2010.058
Note: The following symbols denote significant pairwise differences: CM vs. SM (*), CM vs. CD (#), CM vs. SD (†), CM vs. F (‡), SM vs. CD (§), CD vs. SD (@).
Table 2. Overall distance and pace metrics.
Table 2. Overall distance and pace metrics.
95% Confidence Interval Mean
MeanUpperLowerStd. Deviation
HMLD CD1616.011790.541441.49413.30
CM1875.261996.481754.05312.60
F1906.402100.781712.01336.66
SD1804.162002.111606.21398.05
SM1709.071857.971560.16318.16
Total Distance *#†‡CD9985.4210,326.769644.09808.35
CM10,979.2611,438.8410,519.671185.22
F9836.4910,492.419180.571136.02
SD9821.3510,479.999162.711324.46
SM9778.7510,269.679287.831048.94
Distance/Minute *#†‡CD110.94114.74107.158.98
CM121.99127.09116.8813.16
F109.29116.58102.0012.62
SD109.12116.44101.8014.71
SM108.65114.10103.1911.65
Note: The following symbols denote significant pairwise differences: CM vs. SM (*), CM vs. CD (#), CM vs. SD (†), CM vs. F (‡).
Table 3. Detailed distance zones.
Table 3. Detailed distance zones.
95% Confidence Interval Mean
MeanUpperLowerStd. Deviation
Distance Zone 1 *CD3634.463882.383386.54587.13
CM3158.083430.692885.48703.02
F3725.594030.973420.20528.90
SD3232.523530.272934.77598.75
SM3706.064008.863403.26646.99
Distance Zone 2 *#†‡CD3157.373378.412936.32523.48
CM3616.923870.143363.70653.03
F2716.503105.362327.65673.47
SD3061.413344.232778.59568.72
SM2811.883056.242567.53522.10
Distance Zone 3 *#†‡CD1520.941654.331387.55315.89
CM2143.782273.132014.43333.57
F1507.761681.801333.73301.41
SD1597.581759.451435.71325.50
SM1486.441631.691341.19310.35
Distance Zone 4 *#†‡CD1135.581228.931042.23221.07
CM1553.201661.751444.64279.96
F1185.611325.681045.53242.60
SD1230.871383.621078.13307.14
SM1116.831259.65974.01305.15
Distance Zone 5 §@CD437.59557.07318.12282.94
CM458.40532.34384.45190.70
F554.61664.82444.40190.87
SD558.63633.11484.16149.76
SM505.10558.82451.38114.78
Distance Zone 6 *†‡§CD99.09141.9856.19101.58
CM48.7163.4833.9538.08
F146.47183.40109.5363.96
SD140.53172.54108.5264.36
SM152.61187.11118.1173.72
Note: The following symbols denote significant pairwise differences: CM vs. SM (*), CM vs. CD (#), CM vs. SD (†), CM vs. F (‡), SM vs. CD (§), CD vs. SD (@).
Table 4. Speed and sprint metrics.
Table 4. Speed and sprint metrics.
95% Confidence Interval Mean
MeanUpperLowerStd. Deviation
HSR *†§@CD536.68694.45378.92373.61
CM507.12590.45423.78214.91
F701.08843.04559.13245.86
SD699.17797.94600.39198.63
SM657.72724.47590.97142.62
Average Speed *#†‡CD5.195.315.060.30
CM5.996.175.810.47
F5.245.514.980.45
SD5.395.785.000.77
SM5.185.374.980.41
Maximum Speed *†‡CD30.0831.1229.042.46
CM28.7629.3528.171.53
F30.8731.8729.871.73
SD31.0231.8030.251.56
SM31.7632.8630.662.34
Number of SprintsCD20.6226.1515.0913.09
CM20.1027.0813.1317.99
F32.9244.8521.0020.64
SD25.6133.5717.6516.00
SM29.3035.1723.4212.55
HSR/Minute *†§@CD5.967.714.214.15
CM5.636.564.702.38
F7.799.366.212.73
SD7.768.866.672.20
SM7.308.056.561.58
Note: The following symbols denote significant pairwise differences: CM vs. SM (*), CM vs. CD (#), CM vs. SD (†), CM vs. F (‡), SM vs. CD (§), CD vs. SD (@).
Table 5. Acceleration and deceleration metrics.
Table 5. Acceleration and deceleration metrics.
95% Confidence Interval Mean
MeanUpperLowerStd. Deviation
Total AccelerationsCD167.00199.10134.8976.02
CM196.75228.47165.0281.82
F200.28234.52166.0459.30
SD182.11225.35138.8686.95
SM169.95198.85141.0461.76
Total DecelerationsCD134.50165.32103.6772.99
CM166.57200.04133.0986.32
F158.14189.04127.2453.51
SD147.55185.57109.5376.46
SM151.75185.04118.4571.14
Disclaimer/Publisher’s Note: The statements, opinions and data contained in all publications are solely those of the individual author(s) and contributor(s) and not of MDPI and/or the editor(s). MDPI and/or the editor(s) disclaim responsibility for any injury to people or property resulting from any ideas, methods, instructions or products referred to in the content.

Share and Cite

MDPI and ACS Style

Michailidis, Y.; Stafylidis, A.; Vardakis, L.; Kyranoudis, A.E.; Mittas, V.; Leftheroudis, V.; Plakias, S.; Mandroukas, A.; Metaxas, T.I. The Running Performance of Elite Youth Football Players in Matches with a 1-4-3-3 Formation in Relation to Their Playing Position. Appl. Sci. 2025, 15, 3984. https://doi.org/10.3390/app15073984

AMA Style

Michailidis Y, Stafylidis A, Vardakis L, Kyranoudis AE, Mittas V, Leftheroudis V, Plakias S, Mandroukas A, Metaxas TI. The Running Performance of Elite Youth Football Players in Matches with a 1-4-3-3 Formation in Relation to Their Playing Position. Applied Sciences. 2025; 15(7):3984. https://doi.org/10.3390/app15073984

Chicago/Turabian Style

Michailidis, Yiannis, Andreas Stafylidis, Lazaros Vardakis, Angelos E. Kyranoudis, Vasilios Mittas, Vasileios Leftheroudis, Spyridon Plakias, Athanasios Mandroukas, and Thomas I. Metaxas. 2025. "The Running Performance of Elite Youth Football Players in Matches with a 1-4-3-3 Formation in Relation to Their Playing Position" Applied Sciences 15, no. 7: 3984. https://doi.org/10.3390/app15073984

APA Style

Michailidis, Y., Stafylidis, A., Vardakis, L., Kyranoudis, A. E., Mittas, V., Leftheroudis, V., Plakias, S., Mandroukas, A., & Metaxas, T. I. (2025). The Running Performance of Elite Youth Football Players in Matches with a 1-4-3-3 Formation in Relation to Their Playing Position. Applied Sciences, 15(7), 3984. https://doi.org/10.3390/app15073984

Note that from the first issue of 2016, this journal uses article numbers instead of page numbers. See further details here.

Article Metrics

Back to TopTop