Next Article in Journal
Research on Active Anti-Slip Control of High-Speed Trains Based on High-Order Sliding Mode
Next Article in Special Issue
Predicting Noise and User Distances from Spectrum Sensing Signals Using Transformer and Regression Models
Previous Article in Journal
Advanced Financial Fraud Malware Detection Method in the Android Environment
Previous Article in Special Issue
Combined Sweeping and Jumping Method to Enhance Node Insertion Algorithm for Wi-Fi Sensor Networks
 
 
Font Type:
Arial Georgia Verdana
Font Size:
Aa Aa Aa
Line Spacing:
Column Width:
Background:
Article

Joint Optimization Algorithm for UAV-Assisted Caching and Charging Based on Wireless Energy Harvesting

1
Jiangsu Key Laboratory of Wireless Communications, Nanjing University of Posts and Telecommunications, Nanjing 210003, China
2
Engineering Research Center of Health Service System Based on Ubiquitous Wireless Networks, Nanjing University of Posts and Telecommunications, Ministry of Education, Nanjing 210003, China
*
Author to whom correspondence should be addressed.
Appl. Sci. 2025, 15(7), 3908; https://doi.org/10.3390/app15073908
Submission received: 15 February 2025 / Revised: 22 March 2025 / Accepted: 30 March 2025 / Published: 2 April 2025
(This article belongs to the Special Issue Wireless Networking: Application and Development)

Abstract

The proliferation of mobile terminal applications and the increasing energy consumption of chips have raised concerns about insufficient power in mobile user terminals. In response to this issue, this paper proposes a joint optimization algorithm for UAV-assisted caching and charging based on non-orthogonal multiple access (NOMA) within the context of mobile edge caching scenarios. The proposed algorithm considers the revenue generated from UAVs providing caching and charging services to users, as well as the cost associated with leasing cache files and the UAV energy consumption. The optimization problem aimed at maximizing UAV utility is established under constraints related to power and cache capacity. To address this mixed-integer programming problem, we divided it into two parts. The first part uses the Stackelberg–Bertrand game to optimize file pricing and the UAV cache strategy. In the second part, the block coordinate descent (BCD) method is used to optimize the UAV transmission power distribution, positioning, and user pairing. The joint optimization problem is divided into three subproblems, which use the Lagrange multiplier method, a simulated annealing algorithm, and a particle swarm optimization algorithm. Simulation results demonstrate that the proposed algorithm effectively reduces user transmission delay while also improving overall revenue generated by UAVs.

1. Introduction

The increasing popularity of the internet and the widespread adoption of IoT devices have led to a surge in data traffic, putting enormous pressure on traditional network architectures [1]. Edge caching, a distributed storage architecture, offers a potential solution by storing data closer to the end users, reducing data transfer delays and network congestion. In recent years, unmanned aerial vehicles (UAVs) have attracted considerable attention due to their maneuverability and efficiency. UAVs outfitted with advanced transceivers and batteries have seen extensive application in wireless communication systems [2]. Unlike conventional communication systems, UAVs establish wireless links with users via line-of-sight technology, which can markedly enhance the transmission rate [3]. Therefore, in areas with inadequate network infrastructure or severe network congestion, UAVs can be used as a complementary platform for edge caching, facilitating the timely and efficient storage and transmission of data to network users.
Due to the flexibility of UAVs, UAV-assisted edge cache systems have been paid more attention. In the UAV-assisted wireless communication network scenario, UAVs as edge cache devices providing communication services for users and the corresponding wireless resource allocation problems have been studied. In [4], the authors studied the enhancement of system performance through user-centric caching UAV network cooperation in a cache-enabled UAV network. The article proposes a strategy for optimizing the probabilistic cache distribution to minimize the system outage probability, and takes into account the dynamic changes in the interference topology of UAVs. The work in [5] tackled the concurrent optimization of caching and resource allocation in cache-enabled UAV networks. A distributed algorithm based on a machine learning framework was used to predict the content request distribution, achieving optimization of cache space allocation. In [6], a Q-learning-based algorithm was proposed for joint cache placement, UAV trajectory design, and resource allocation in dynamic cache-enabled UAV network scenarios. The work in [7] introduces an online algorithm, OOA, for user preference-oriented service caching and task offloading in UAV-assisted mobile edge computing networks. The algorithm aims to minimize overall service delay by dynamically making caching decisions based on user equipment service preferences and UAV historical trajectories. OOA employs a greedy approach to enhance caching effectiveness and reduce overhead, maximizing the probability of successful offloading. The work in [8] focuses on multi-UAV assisted wireless networks, aiming to jointly optimize cache placement, UAV trajectories, and transmission power within a limited timeframe to enhance the minimum throughput for UAVs serving users. In [9], the authors consider a mobile edge computing network where multiple unmanned aerial vehicles with caching and computing capabilities are deployed. The weighted sum of the content cache hit rate and the service delay contraction rate is defined as the average quality of experience (QoE) of the network. To address the problem of maximizing the average QoE and the practical constraints of UAV caching and computing capabilities, algorithms based on Gibbs sampling and matching are proposed to solve the problem in an iterative manner.
Considering the frequent application of mobile terminals and the increase in chip energy consumption, it has become increasingly challenging for mobile user terminals to meet the growing service quality requirements due to their limited power. In order to address this issue in the context of mobile edge cache scenarios, wireless power transfer (WPT) technology is being utilized within the network to provide energy transmission services for mobile user terminals [10]. UAVs offer high-mobility efficiency and can bypass terrain obstacles, making them suitable as mobile charging devices for providing terminal endurance needs within the network. The work in [11] proposes using charging UAVs to recharge mission UAVs without interrupting their communication tasks. It achieves this by employing a deep reinforcement learning-based UAV scheduling algorithm to optimize the flight paths and charging processes of the charging UAVs. In [12], the study maximizes energy charging in UAV-assisted MEC systems with SWIPT, addressing the downlink period for returning computing results to ground equipment, and proposes an alternating optimization algorithm using semidefinite relaxation (SDR), singular value decomposition (SVD), and fractional programming (FP) methods to solve the non-convex problem. The work in [13] considers using UAVs as edge data collection nodes in IoT scenarios. Through regular patrols and recharging, drones provide storage and authentication capabilities to distributed ledgers, enabling long-term network access for IoT devices. The work in [14] introduces a UAV-assisted mobile crowdsensing system enhanced by WPT and adaptive compression, addressing user computing and directional energy transmission. It formulates an optimization to maximize data collection, considering compression, WPT, and UAV trajectory, and solves it with an iterative algorithm using decoupling and SCA methods, outperforming non-compression schemes. In [15], the authors proposed a mobile relay system for rotorcraft UAVs using distributed laser charging. Under constraints of UAV mobility, information causality, and energy causality, they advocated joint optimization of transmit power allocation and UAV trajectory design to maximize information transfer efficiency and power transfer efficiency.
The literature reviewed in the third paragraph mainly focuses on the research field of WPT technology for UAVs, but has not been extended to collaborative research on cache mechanisms or incentive strategies. Specifically, the research framework of some studies [11,13,14,15] did not include the design of the caching mechanism, while others [11,12,14,15] did not include user incentive mechanisms in the research category. Research on combining UAV-assisted charging with edge caching has just begun. In [16], the authors considered combining UAV-assisted wireless charging technology with a wireless caching network, proposing that UAVs act as content servers to cache files and serve users, minimized the transmission latency of terrestrial users by optimizing resources such as user pairing, file power allocation, and user power allocation, and improved terrestrial users’ service quality. The work in [17] proposed a content-centric wireless cache-charged transmission network supporting ultra-dense UAVs, and gave a joint trajectory and communication scheduling scheme. The problem was formulated as an infinite horizon ergodic stochastic differential game (SDG), which models the stochastic dynamics of the channel state, the mobility of the UAVs, the energy queue, and the content request queue to optimize the user’s QoE. To further reduce the solution complexity for each UAV, a model-specific deep neural network (DNN) was proposed to learn the optimal control solution in an online manner. However, in weak-network-coverage scenarios where UAVs may need to be integrated as third-party service carriers for network enhancement, it becomes essential to coordinate multiparty interests through economic incentives. Existing studies [16,17] treat UAVs, users, and content providers as collaborative systems providing free services, neglecting practical economic transaction challenges arising from the tripartite interests among content providers, UAVs, and users. In reality, UAVs must pay content providers to download files, while users need to compensate UAVs for receiving caching and charging services. To address this gap, this paper introduces an incentive mechanism and proposes a combined optimization framework for UAV positioning, transmission power allocation, and user pairing to maximize UAV revenue. The main contributions of this paper are as follows.
(1) A model of a UAV-assisted caching–communication–charging system based on NOMA is constructed. In this system, the UAV rents popular content cached in memory from content providers in advance, provides users with content transmission services and wireless charging services within a time duration T, and obtains corresponding remuneration from this. The users within the coverage range are divided into multiple user pairs. The users use NOMA communication mode internally and FDMA communication mode between user pairs.
(2) The utility function of the UAV is defined by taking into account the benefits of providing users with cache and charging services, the cost of renting cache files, and the UAV energy consumption. The utility of the UAV is maximized through optimizing cache content placement, UAV location, NOMA user pairing, and UAV power allocation.
(3) In order to solve this mixed integer programming problem, this paper divides it into two subproblems: the joint optimization of content provider file pricing and UAV cache placement and the combined optimization of UAV location, transmission power, and user pairing. For the first subproblem, a joint algorithm of file pricing and UAV cache placement based on the Stackelberg–Bertrand game is proposed. For the second subproblem, it is further divided into three subproblems: UAV location, transmission power, and user pairing. The Lagrange multiplier method, a simulated annealing algorithm, and a particle swarm optimization algorithm are employed to solve these three subproblems, respectively.
The rest of the paper is organized as follows. In Section 2, the system model is given. Based on the establishment of the optimization problem, it is proposed to divide the optimization problem into two independent parts for solving. In Section 3, the joint optimization problem of content provider pricing and UAV caching strategy is proposed and solved optimally based on the Stackelberg–Bertrand game model. In Section 4, the combined optimization problem of UAV location, transmission power, and user pairing is divided into three subproblems and solved using an alternating iteration algorithm. Simulation results and analysis are provided in Section 5, and conclusions are given in Section 6.

2. Problem Statement

2.1. Network Model

Considering the scenario in which a single UAV provides services to users in a hotspot area, the system model is shown in Figure 1. Mobile users are randomly distributed in the geographical area of L x × L y , and the UAV acts as a mobile base station to provide communication and charging services for these users. In the UAV communication system, the relationship between the UAV, the content providers, and the users can be formulated as follows. The UAV acts as a flying base station to actively cache files from multiple content providers during off-peak network traffic hours and pays the corresponding content providers. In the user request stage, the UAV delivers the requested file to the user and obtains the corresponding communication service and charging service fee from the user.
Regarding the issue of user mobility, in our model, to address the dynamic challenges posed by user mobility, we adopt a time-slot optimization strategy. Specifically, during the optimization process, we set a relatively short time window T . Within this time window, we assume that the user’s location remains constant, allowing the optimization to be conducted in a relatively stable scenario. We recognize that user mobility is inevitable. Therefore, we consider the occurrence of user movement in the next time slot. This approach enables our model to re-optimize at the beginning of each time slot based on the user’s new location, thereby ensuring the accuracy and effectiveness of the optimization results. The service cycle of the UAV T is divided into two stages, which provide users with information transmission and energy propagation services, as shown in Figure 2. In the previous stage μ T , the UAV sends the cache file to the requesting user until all file transfers are finished. In the latter stage ( 1 μ ) T , the UAV sends an energy signal to the user via WPT, where 0 < μ < 1 .

2.2. Channel Model

In the actual scenario where UAV provides services to users, due to the lack of information such as the exact location, height, and number of obstacles, there may be two situations: line-of-sight (LoS) link transmission and non-line-of-sight (NLoS) link transmission. Given the randomness of LoS and NLoS links, this paper employs probabilistic LoS link channel for modeling. Given that the probability of an LoS link is contingent upon environmental, equipment, and UAV location and elevation angle factors [18], the expression is provided by [19,20]:
P L o S = 1 1 + ψ exp ( ϕ [ θ ψ ] )
where ψ and ϕ are the S-curve parameters, whose values are closely related to the environment type. θ is the pitch angle of the air-to-ground link, then the pitch angle between the user i and the UAV θ i = 180 π × sin 1 ( h d i ) , and h is the hovering height of the UAV. The distance between the user i and the UAV is d i = ( x i x uav ) 2 + ( y i y uav ) 2 + h 2 , where ( x i ,   y i ) denotes the location of the user i and ( x uav ,   y uav ,   h ) denotes the location of the UAV.
As UAVs function as airborne base stations to offer services to ground users, the radio signals they emit propagate through free space. However, when reaching urban environments, these signals are subjected to masking and scattering induced by human-made structures, which introduces additional losses in the air-to-ground link. Therefore, the average air-to-ground path loss, expressed in decibels (dB), can be obtained and modeled as follows:
P L ξ = F S P L + η ξ
where F S P L denotes the free-space path loss between the UAV and ground users, while η ξ represents additional path loss and ξ L o S , N L o S .
Due to the existence of both LoS and NLoS transmission scenarios, the probability of NLoS transmission can be denoted P N L o S = 1 P L o S . Hence, the link path loss model between the UAV and the user can be expressed as:
P L = P L o S × P L L o S + P N L o S × P L N L o S
where the average path loss for both L o S and N L o S links to ground can be represented as:
P L L o S ( d B ) = 10 α log ( 4 π d f c c ) + η L o S
P L N L o S ( d B ) = 10 α log ( 4 π d f c c ) + η N L o S
Therefore, the link path loss between the UAV and the user is given by:
P L ( d B ) = 10 α log ( 4 π d f c c ) + P L o S × η L o S + P N L o S × η N L o S
It is evident that the average channel gain (expressed in dB) between the UAV and the device is denoted g ¯ ( d B ) = P L . Consequently, in computing signal-to-interference-plus-noise ratio (SINR), the average channel gain is utilized to model both interference and desired links for all devices in UAV communication.

2.3. Transmission Model

Assume that the UAV hovers at a designated altitude to deliver services to users, denoted h meters. Within a given time duration, the UAV functions as a flying base station, employing frequency-division multiple access (FDMA) to provide users with content transmission and charging services. Additionally, to enhance system efficiency, NOMA technology is introduced among users, partitioning users within the coverage area into multiple NOMA user pairs. Consequently, we adopt a communication approach where NOMA is utilized within user pairs and FDMA is employed between user pairs.
Assume that N m N 1 , N 2 , , N M is the number of users on channel m , m = 1 , 2 , M , the user n occupying channel m is denoted U E n , m , where n = 1 , 2 , , N M , and thus the total bandwidth B is divided equally into M channels to provide communication services for M user pairs, respectively, and the bandwidth of each channel is denoted B c = B / M . In the scenario where each NOMA pair consists of two users, denoted N m = 2 , the magnitude of the relationship of channel gains for users U E 1 , m and U E 2 , m utilizing channel m is represented by h 1 , m 2 h 2 , m 2 , along with the corresponding magnitude of the relationship of signal transmit powers p 1 , m p 2 , m . Due to the implementation of successive interference cancellation (SIC), the SINR of U E n , m can be represented as r n , m = p n , m h n , m 2 δ m 2 + i = 1 n 1 p i , m h n , m 2 . By normalizing the channel gain h n , m 2 by the noise power δ m 2 , i.e., setting Γ n , m = h n , m 2 δ m 2 , the SINRs of U E 1 , m and U E 2 , m are given by r 1 , m = p 1 , m Γ 1 , m and r 2 , m = p 2 , m Γ 2 , m 1 + p 1 , m Γ 2 , m , respectively.
According to Shannon’s theorem, the information rates of users U E 1 , m and U E 2 , m on channel m can be expressed as follows:
R 1 , m = B c log ( 1 + p 1 , m Γ 1 , m )
R 2 , m = B c log ( 1 + p 2 , m Γ 2 , m 1 + p 1 , m Γ 2 , m )
To address the challenge of limited energy supply for mobile terminals, WPT technology is introduced. By maneuvering the UAV proximally to users, establishing L o S links with ground users, and deploying radio frequency (RF) energy transmitters on the UAV, RF signal energy can be transferred to devices to meet the energy supply demands of devices with constrained energy requirements. Therefore, the energy consumption of a UAV providing services to users can be expressed as follows:
E uav = E t r a n s + E c h a r
where E t r a n s is the energy consumption of the transmission service for the UAV, denoted E t r a n s = m = 1 M n = 1 N m p n , m τ n , m , and τ n , m is the delay for user U E n , m on channel m to receive the requested file. E c h a r is the energy consumption of the charging service provided by the UAV, denoted E c h a r = P c h a r ( 1 μ ) T , P c h a r is the RF power for charging the UAV, and in cases of all users requesting the file at the same time, the total transmission delay μ T on M channels can be denoted μ T = max m = 1 , , M τ 1 , m , τ 2 , m . Therefore, the energy consumption incurred by the UAV while providing services to users can be precisely delineated as follows:
E uav = m = 1 M n = 1 N m p n , m τ n , m + P c h a r ( T max m = 1 , , M τ 1 , m , τ 2 , m )

2.4. Cache Placement Model

Defining F = 1 , , F as a collection of F files, the local popularity of the files is predicted using the Zipf distribution. The temporal dynamics of content popularity distribution exhibit a lower rate of change over time, so it is reasonable to assume that the content popularity is static. Given that content popularity conforms to the Zipf distribution [21], the popularity of any file f can be represented as:
P f = f ς j = 1 F j ς
where ς is the Zipf distribution parameter and 0 < ς < 1 denotes the skewness of the popularity distribution considering a time duration of T , during which each user independently requests a single piece of content. Thus, for user U E n , m , the probability of requesting file f is defined as q n , m , f = f ς j = 1 F j ς , and f F q n , m , f = 1 .
Assume that each file in the library has the same size, denoted Q . In practical scenarios, files may not necessarily have the same size, but they can be partitioned into equally sized file blocks, treating each file block as a special file of the same size. Therefore, the aforementioned assumption remains applicable in real situations. Due to the limited cache capacity S , UAV can only cache a subset of the content collection F from the file library. Let C = c κ , f , κ 1 , 2 , and f F denote the cache placement vector sets for UAV regarding the content of the file library, where c κ , f 0 , 1 and c κ , f = 1 represent UAV caching files f and c κ , f = 0 from the operator C P κ , respectively, while not caching.
According to the UAV caching system model, there exists a competitive relationship of interests between content providers and the UAV. Specifically, content providers seek to elevate file rental fees to augment their revenue, while the UAV aims to rent and cache files at appropriate prices to reduce round-trip link costs. When caching fees are excessively high, UAVs experience diminished profits, consequently reducing their demand for file rentals and thereby causing a reduction in revenue for content providers. Hence, a Stackelberg game model is established between content providers and UAVs, with content providers assuming the role of leaders and UAVs as followers. Followers formulate corresponding caching strategies based on the file rental fees determined by leaders. As a single UAV obtains cached files from two mobile content providers, and considering the differential yet homogeneous nature of products offered by these providers, operators will encounter price competition. In essence, the two content providers compete through dynamic pricing of popular files to supply cached files to the UAV.
Therefore, the revenue of the content provider C P κ can be represented as:
U c p κ = f F c κ , f v κ , f
where c κ , f represents the caching placement variable for the UAV and v κ , f denotes the pricing of files f by content providers C P κ .

2.5. Problem Formulation

In the scenario where the UAV offers caching and charging services to users, the service time T of the UAV is partitioned into two stages. The first stage provides cache-based communication services to users, while the second stage offers charging services. Due to variations in cache placement strategies, UAV locations, and channel conditions, each user experiences uneven throughput over time, leading to disparities in file transfer times and an increase in the proportion of communication service time within the total time duration. Therefore, by jointly optimizing UAV cache strategies, UAV location, transmission power, and user pairing to minimize user communication transmission time and provide longer charging service time for users, we can maximize the overall benefit of the UAV.
This study optimized the performance from the perspective of UAVs, aiming to maximize their economic benefits while minimizing energy consumption. The economic benefits comprise two components: revenue and expenditure. Revenue includes communication service income paid by users to the UAV and charging service income generated from user payments. Expenditure refers to the file leasing costs paid by the UAV to content providers. Consequently, the UAV’s utility function integrates its economic benefits from both revenue and expenditure perspectives with the cost associated with energy consumption. The UAV utility function consists of four components: the revenue generated by the UAV for delivering cached files to users, the revenue obtained from service charges, the rental fee paid by the UAV to content providers for cached files, and the UAV energy consumption while providing services to users. The utility function can be expressed as follows:
U u a v = m = 1 M n = 1 N m f F c κ , f q m , n , f v c a c h e + m = 1 M n = 1 N m T ( 1 μ ) v c h a r κ = 1 2 U c p κ E uav v u a v
where q m , n , f denotes the file request variable of user U E n , m . q m , n , f = 1 represents that user U E n , m has requested the file f , while v c a c h e signifies the cost incurred by a user to obtain a single file from the UAV. ( 1 μ ) T indicates the duration of charging service received by the user, and v c h a r represents the unit time charging cost paid by the user to the UAV. Additionally, E uav denotes the UAV energy consumption and v u a v stands for the cost of UAV unit energy consumption.
The aim of this study was to maximize the utility of UAVs by optimizing cache strategies, UAV location, transmission power, and user pairing. Thus, the optimization problem is formulated as:
P 1 :   max c κ , f ,   p n , m , d u a v , g U u a v s . t .   C 1 :   c κ , f 0 , 1 , κ = { 1 , 2 } , f F   C 2 :   κ = 1 2 f F c κ , f Q S   C 3 :   m = 1 M n = 1 N m p n , m = P max
where variable d u a v denotes the location coordinates of the UAV, g = g 1 , g 2 , , g M denotes the pairing of NOMA user pairs, and p n , m denotes the power assigned by the UAV to user n on channel m . Constraint C1 denotes that the cache decision variables c κ , f to be optimized are 0–1 variables, constraint C2 denotes that the sum of the cached file sizes does not exceed the maximum cache capacity S , and constraint C3 denotes that the sum of the power assigned to users on all channels is the maximum UAV transmission power   P max .
The above optimization problems involve the optimization of UAV cache placement strategy, UAV location deployment, NOMA user pairing, and user power allocation. Since the optimization problem P1 is a mixed-integer programming problem, it cannot be solved directly. Considering that the UAV cache placement strategy is only related to content provider pricing and has nothing to do with UAV location, user pairing, or transmission power, the optimization problem P1 is partitioned into two parts for optimization. To tackle the problem of UAV cache placement strategy, a Stackelberg game algorithm is used to solve the optimal content provider file pricing and UAV cache placement strategy. The combined optimization problem of UAV location deployment, NOMA user pairing, and user power allocation is further decomposed into three subproblems, which are solved by the Lagrange multiplier method, a simulated annealing algorithm, and a particle swarm optimization algorithm, respectively.

3. Cache Strategy Formulation Based on Stackelberg Game

This section considers the interests of multiple parties, such as mobile content providers and UAVs, in cache services. We model the pricing of content providers and caching strategies for UAVs as a Stackelberg game, with content providers acting as leaders and setting prices for files based on their own profit considerations. UAVs act as followers, making caching decisions based on the file prices set by content providers and predicting user request patterns, aiming to maximize their own utility objectives.
As the leader in the Stackelberg game model, the content provider optimizes the file rent within a certain range of values to maximize its own benefits, and the content provider file rent pricing optimization problem is expressed as:
P 2 :   max   U c p κ = f F c κ , f v κ , f   s . t .   v κ , f [ v κ , f 0 , v κ , f i n i t i a l ]
where the optimization objective is to maximize the revenue of the content provider, c κ , f is the caching decision variable of the UAV, v κ , f denotes the file pricing of the operator, and v κ , f [ v κ , f 0 , v κ , f i n i t i a l ] . v κ , f i n i t i a l represents the initial pricing for the file f and v κ , f 0 represents the minimum pricing.
In the Stackelberg game model, the UAV, as a follower, makes its own caching decisions based on the file price given by the content provider. Considering the limitation of cache capacity, the optimal cache decision problem of the UAV is expressed as follows:
P 3 :   max c κ , f m = 1 M n = 1 N m f F c κ , f q m , n , f v c a c h e κ = 1 2 U c p κ   s . t .   C 1 :   κ = 1 2 f F c κ , f Q S       C 2 :   c κ , f 0 , 1 , κ = { 1 , 2 } , f F
where the optimization objective is to maximize the revenue of the UAV, constraint C1 denotes that the sum of the cached file sizes does not exceed the maximum cache capacity, and constraint C2 denotes that the caching decision variable c κ , f to be optimized is a 0–1 variable.
Assuming v κ represents the optimal file pricing decision for the content provider κ and C denotes the corresponding optimal file caching decision for the UAV, the Stackelberg game equilibrium point satisfies the following conditions:
U c a c h e ( v κ , C ) U c a c h e ( v κ , C )
U c p κ ( v κ , C ) U c p κ ( v κ , C )
The optimization problem for the follower is initially considered. The premise of the algorithm is based on the assumption that the rental prices of files are given. The algorithm employs a greedy approach, whereby the UAV is inclined to cache files that are currently promising higher returns. This enables the UAV to tackle the optimization problem of determining the optimal caching decision. User requests are forecasted using the Zipf distribution. The probability of user n on channel m requesting file f is denoted q m , n , f . The revenue from caching a single file by the UAV can be represented as U f = ( m = 1 M n = 1 N m q m , n , f v c a c h e min { v 1 , f , v 2 , f } ) . The specific UAV caching placement strategy can be expressed as follows. When U f > 0 and the remaining cache capacity ( S f F c κ , f Q ) > 0 , the UAV will purchase and cache the file from the content provider offering the lower rent. If both providers offer the same rent, the UAV will choose from which provider to purchase based on a certain probability.
For solving the optimization problem of leaders, due to the fundamental similarity in file content across the libraries of various content providers and the direct price competition between the two content providers, the Bertrand game is introduced for modeling purposes. The Bertrand game model represents a form of price competition model where two or more enterprises compete by setting appropriate prices to sell identical products. In this paper, content providers are conceptualized as two enterprises engaged in a competitive Bertrand game, with each content provider pursuing the maximization of its own profit independently by determining its own file prices. It is assumed that under the condition where prices do not exceed the valuation of files by the UAV, the UAV will purchase and cache a single file from the content provider with the lower price. Consequently, content providers need to continually adjust file prices to achieve the maximization of their profits, considering factors such as costs, market demand, and competitors’ pricing strategies. Under the current file pricing scenario, if the profits of the two content providers are equivalent, then the game reaches equilibrium, implying that no content provider can unilaterally adjust prices to attain higher profits.
In this paper, as leaders, the content providers initially provide their initial rental price v κ , f i n i t i a l for each file. As the follower, the UAV utilizes a greedy algorithm to obtain the current optimal caching decision based on the current rental prices of each content provider. Subsequently, the content provider calculates its own profit based on the current caching decision of the UAV and adjusts the rental prices of each file according to its current profit. Finally, the UAV formulates the optimal caching decision based on the new file rental prices, and this process iterates until the profits of the content providers are equal. The specific process is illustrated in Algorithm 1.
For the Stackelberg–Bertrand game, assuming the amount of content is F , and an initial price is set for each file during leader pricing initialization, which has a time complexity of O ( F ) . When the UAV makes the cache decision, it sorts all files according to the cache revenue and selects the maximum value set that meets the cache capacity limit, and the corresponding time complexity is O ( F log F ) . In the revenue calculation process of the content provider, the revenue of cached files is calculated according to the cache decision, the price is adjusted according to the revenue feedback, and the time complexity is O ( F ) . Assuming that the iteration t converges, the total time complexity is O ( t F log F ) .
Algorithm 1 Content Provider Pricing and UAV Cache Placement Algorithm
Input :   Initial   pricing   of   content   provider   file   v κ , f i n i t i a l
Output :   UAV   optimal   cache   strategy   C ,   Optimal   file   pricing   for   content   provider   v κ , f
  • Initialize   the   pricing   of   file   v κ , f ( i ) = v κ , f i n i t i a l ,   UAV   cache   strategy   C ( i 1 ) 0
  • Repeat:
  • Determine   the   current   caching   strategy   C ( i )   based   on   v κ , f ( i ) ,   and   calculate   the   current   content   provider   revenue     U c p κ ( i ) according to (15)
  • While   c κ , f = 0
  • If   v κ , f ( i ) > v κ , f 0 , v κ , f ( i ) = v κ , f ( i ) ε κ
  • else v κ , f ( i ) = v κ , f 0
  • end if
  • end while
  • Until   U c p 1 ( i ) U c p 2 ( i ) < ε

4. Combined Optimization of UAV Location, User Pairing, and Power Allocation

Once the rental prices of content providers and the caching strategy of UAV are determined, the combined optimization problem for UAV location deployment, NOMA user pairing, and user power allocation can be expressed as:
P 4 :   max p n , m , d u a v , g U u a v s . t . m = 1 M n = 1 N m p n , m = P max
Due to the coupling among variables in optimization problem P4, to facilitate its solution, problem P4 is partitioned into three subproblems—transmission power optimization, user pairing optimization, and UAV location optimization—based on BCD [22]. These subproblems are solved through alternating iterative processes utilizing the Lagrange multiplier method, the simulated annealing algorithm, and the particle swarm optimization algorithm, respectively.

4.1. UAV Transmission Power Optimization

In the optimization subproblem of transmission power, considering the given UAV caching strategy, UAV location, and NOMA user pairing, the optimization of the transmission power p n , m allocated by UAV to each user is formulated as:
P 4.1 max p n , m   U c a c h e + m = 1 M n = 1 N m ( 1 μ ) T v c h a r ( m = 1 M n = 1 N m p n , m τ n , m + P c h a r ( 1 μ ) T ) v u a v s . t . m = 1 M n = 1 N m p n , m = P max  
where U c a c h e = m = 1 M n = 1 N m f F t c κ , f q m , n , f v c a c h e κ = 1 2 f F c κ , f v κ , f represents the caching revenue of the UAV. The total duration of UAV charging for users is denoted ( 1 μ ) T , with ( 1 μ ) T = T max m = 1 , , M τ 1 , m , τ 2 , m .
From the optimization objective, it can be observed that due to varying channel conditions, each user obtains different throughput within the time duration T , resulting in different file transmission durations and consequently influencing the proportion of communication service time in the total service cycle. To maximize UAV revenue, it is necessary to minimize the transmission task time for all users and reduce the proportion of communication service time. Therefore, by allocating power from UAV to users, the maximum communication time is minimized, i.e., minimizing the maximum transmission delay for all users requesting files. The optimization problem can be formulated as:
min max m = 1 , , M τ 1 , m , τ 2 , m
From the expression of the transmission delay τ n , m = Q R n , m , it is evident that the problem of minimizing the maximum delay in the above equation can be transformed into the problem of maximizing the minimum user transmission rate. Consequently, its formula can be represented as follows:
max   min m = 1 , , M R 1 , m , R 2 , m
It is noted that the problem of maximizing the minimum rate is equivalent to the max–min fairness (MMF) problem. Therefore, the original problem can be addressed by solving the MMF problem. Under the consideration of average channel bandwidth allocation and the determination of NOMA user pairing (where a NOMA user group consists of two users), the transmission rate R n , m allocated by the UAV to users is given by (7) and (8). Thus, the MMF problem can be expressed as the following power allocation problem:
max p 1 , p 2   min m = 1 , , M R 1 , m ( p 1 , m , p 2 , m ) , R 2 , m ( p 1 , m , p 2 , m ) s . t . 0 p 1 p 2 m = 1 M ( p 1 , m + p 2 , m ) P max
where p 1 = p 1 , m m = 1 M and p 2 = p 2 , m m = 1 M . However, as the optimization problem mentioned above is non-convex, its optimal solution can only be identified in the special scenario of a single channel [23,24,25]. To address this challenge, an auxiliary variable p = p m m = 1 M is introduced, where p m denotes the power budget of the UAV for channel m , with p 1 , m + p 2 , m = p m . Assuming the power budget p m m = 1 M for each channel is given, the original optimization problem can be decomposed into subproblems for each channel m . The specific optimization problem for each channel m is formulated as:
max p 1 , m , p 2 , m min R 1 , m ( p 1 , m , p 2 , m ) , R 2 , m ( p 1 , m , p 2 , m )   s . t . 0 p 1 , m p 2 , m     p 1 , m + p 2 , m = p m
Substituting the user transmission rate R n , m given by (7) and (8) into the aforementioned subproblem for solution, the optimal solution p 1 , m , p 2 , m for this subproblem can be obtained. By analyzing optimization problem (22), it is found that the optimal solution p 1 , m of power allocation from the UAV to user U E 1 , m exists in closed-form and is expressed as p 1 , m = Λ m , p 2 , m = p m p 1 , m . Λ m can be directly solved using the formula Λ m ( Γ 1 , m + Γ 2 , m ) + ( Γ 1 , m + Γ 2 , m ) 2 + 4 Γ 1 , m Γ 2 , m 2 p m 2 Γ 1 , m Γ 2 , m , where Γ n , m = h n , m 2 δ m 2 represents the normalized channel power gain and p m denotes the assumed power budget for the given channel m . The specific derivation process is as follows.
For users U E 1 , m and U E 2 , m on channel m , the constraint is represented by   p 1 , m + p 2 , m = p m , from which   p 2 , m = p m p 1 , m can be derived. Substituting   p 2 , m = p m p 1 , m into (7) and (8), we obtain the rates of users U E 1 , m and U E 2 , m on channel m , respectively:
R 1 , m ( p 1 , m ) = B c log ( 1 + p 1 , m Γ 1 , m )
R 2 , m ( p 1 , m ) = B c log ( 1 + q m Γ 2 , m + 1 1 + p 1 , m Γ 2 , m )
Thus, the optimization problem (24) can be reformulated as:
max p 1 , m min R 1 , m ( p 1 , m ) , R 2 , m ( p 1 , m )   s . t .   0 p 1 , m p m 2
The optimal solution to the above problem is reached when R 1 , m ( p 1 , m ) = R 2 , m ( p 1 , m ) is substituted into optimization problem (27). Substituting (25) and (26) into R 1 , m ( p 1 , m ) = R 2 , m ( p 1 , m ) gives B c log ( 1 + q m Γ 2 , m + 1 1 + p 1 , m Γ 2 , m ) = B c log ( 1 + p 1 , m Γ 1 , m ) , forming a univariate quadratic equation ( p 1 , m ) 2 Γ 1 , m Γ 2 , m + p 1 , m Γ 1 , m q m Γ 2 , m 1 = 0 in variable p 1 , m . Solving this equation by using the formula for rooting quadratic equations yields the optimal solution p 1 , m = Λ m = ( Γ 1 , m + Γ 2 , m ) + ( Γ 1 , m + Γ 2 , m ) 2 + 4 Γ 1 , m Γ 2 , m 2 p m 2 Γ 1 , m Γ 2 , m with power p 1 , m .
Therefore, the optimal solution p 1 , m , p 2 , m for the power allocated by the UAV to the user for a given individual channel power budget can be expressed as follows:
p 1 , m = ( Γ 1 , m + Γ 2 , m ) + ( Γ 1 , m + Γ 2 , m ) 2 + 4 Γ 1 , m Γ 2 , m 2 p m 2 Γ 1 , m Γ 2 , m
p 2 , m = p m ( Γ 1 , m + Γ 2 , m ) + ( Γ 1 , m + Γ 2 , m ) 2 + 4 Γ 1 , m Γ 2 , m 2 p m 2 Γ 1 , m Γ 2 , m
By substituting the channel power allocation optimal solution p 1 , m , p 2 , m into the user transmission rate formula, the fair user transmission rate optimal solution R m = R 1 , m ( p 1 , m , p 2 , m ) = R 2 , m ( p 1 , m , p 2 , m ) is obtained. Thus, the optimal solution of the user rate of a single channel is obtained and expressed as follows:
R m B c log Γ 2 , m Γ 1 , m + ( Γ 1 , m + Γ 2 , m ) 2 + 4 Γ 1 , m Γ 2 , m 2 p m 2 Γ 2 , m
However, the optimal solution of the aforementioned optimization problem is only applicable to a single channel. Therefore, in order to achieve the optimal power distribution for all channels, it is necessary to jointly optimize the power budget p = p m m = 1 M of all channels. The power budget optimization problem is expressed as follows:
max p min m = 1 , , M R m ( p m )   s . t . m = 1 M p m P max p 0
According to [26], the aforementioned optimization problem is addressed using the Lagrange multiplier method, which involves transforming (31) into:
max p , t     t s . t . m = 1 M p m P max p 0 R m ( p m ) t , m
where R m ( p m ) t is equivalent to p m ( a t Γ 2 , m + Γ 1 , m ) ( a t 1 ) / ( Γ 1 , m Γ 2 , m ) , a = 2 1 B c , then the Lagrange form of the optimization problem (32) is formulated as:
L = t + m = 1 M μ m [ p m ( a t Γ 2 , m + Γ 1 , m ) ( a t 1 ) Γ 1 , m Γ 2 , m ] λ ( m = 1 M p m P max )
where μ m m = 1 M and λ are Lagrange multipliers. Since the optimization problem (32) is a convex optimization problem, the optimization problem can be solved using the KKT (Karush–Kuhn–Tucker) condition as follows:
L p m = μ m λ = 0
L t = 1 a 2 t m = 1 M 2 μ m ln a Γ 1 , m +   a t ( m = 1 M μ m ln a Γ 1 , m m = 1 M μ m ln a Γ 2 , m ) = 0
m = 1 M μ m [ p m ( a t Γ 2 , m + Γ 1 , m ) ( a t 1 ) Γ 1 , m Γ 2 , m ] = 0 , λ ( m = 1 M p m P max ) = 0 .
Given (34) and (35), μ m = λ 0 , (35) can be expressed as C 1 a 2 t C 2 a t 1 = 0 . Utilizing the root-finding formula to solve the quadratic equation with respect to variable a t yields a t = C 2 2 C 1 + ( C 2 2 C 1 ) 2 + 1 C 1 = Z ( λ ) , where C 1 = m = 1 M 2 λ ln a Γ 2 , m and C 2 = λ ln a m = 1 M ( 1 Γ 1 , m 1 Γ 2 , m ) . Substituting a t into (36) yields the optimal solution p m for power allocation across all channels, denoted:
p m = ( Z ( λ ) Γ 2 , m + Γ 1 , m ) ( Z ( λ ) 1 ) Γ 1 , m Γ 2 , m , m
where Z ( λ ) X + X 2 + B c 2 λ m = 1 M 1 / Γ 1 , m , X m = 1 M ( Γ 2 , m Γ 1 , m ) / ( Γ 1 , m Γ 2 , m ) 4 m = 1 M 1 / Γ 1 , m , and λ are the Lagrange multipliers that make the optimal solution of the power allocated to each channel satisfy m = 1 M p m = P t r a n s . Substituting (37) into (28)–(30), the user-optimal power allocation and optimal transmission rate for all channels are obtained as:
p 1 , m = ( Γ 1 , m + Γ 2 , m ) + ( Γ 1 , m + Γ 2 , m ) 2 + 4 Γ 1 , m Γ 2 , m 2 p m 2 Γ 1 , m Γ 2 , m , m
p 2 , m = p m ( Γ 1 , m + Γ 2 , m ) + ( Γ 1 , m + Γ 2 , m ) 2 + 4 Γ 1 , m Γ 2 , m 2 p m 2 Γ 1 , m Γ 2 , m , m
R m B c log Γ 2 , m Γ 1 , m + ( Γ 1 , m + Γ 2 , m ) 2 + 4 Γ 1 , m Γ 2 , m 2 p m 2 Γ 2 , m , m

4.2. User Pairing Optimization

When the location and transmission power of UAV are determined, the NOMA user pairing subproblem can be represented as:
P 4.2 max g U c a c h e + m = 1 M n = 1 N m ( 1 μ ) T v c h a r ( m = 1 M n = 1 N m p n , m τ n , m + P c h a r ( 1 μ ) T ) v u a v  
where g = g 1 , g 2 , , g M represents the user pairing status for M channels.
This paper utilizes the simulated annealing (SA) algorithm to optimize NOMA user pairing. The SA algorithm is derived from the principles of solid annealing, where the fundamental concept begins with a relatively high initial temperature. As iterations progress, the temperature parameter continuously decreases. At each temperature, the algorithm adds a random perturbation to the feasible solution to generate a new solution and probabilistically accepts the current inferior new solution, thus avoiding falling into a local optimum, in order to find a globally optimal solution to the objective function.
This paper regards the NOMA user pairing result g as the feasible solution of the algorithm, with the minimum user rate in the system serving as the objective function value for feasible solutions. The detailed procedures of the NOMA user pairing optimization algorithm are as follows. Initially, a random pairing method is employed for initializing the pairing. The initial pairing result is taken as the initial solution g ( 0 ) = g 1 , g 2 , , g M , which is then substituted into the objective function formula (40) to obtain the current minimum rate f ( g ( 0 ) ) . Subsequently, random perturbations are added to the current user pairing result by randomly selecting two user pairs and exchanging the users within each pair, thereby obtaining a new solution g within the neighborhood, and computing the corresponding minimum user rate. Then, the difference Δ f in minimum user rate between the new solution and the current optimal solution is calculated. When Δ f > 0 , the new solution is regarded as the optimal solution. When Δ f 0 , according to the M e t r o p o l i s criterion, the new solution is accepted as the current optimal solution with a probability of e Δ f / T s a . Through multiple iterations of the above process, the optimal pairing scheme under the current temperature is obtained. Subsequently, the temperature is reduced for further iterations until it reaches the minimum temperature and the change in the minimum transmission rate is less than the target tolerance Δ R . At this point, the optimal user pairing result g is obtained.
For the SA algorithm, it is assumed that the user pairs in the scenario are M pairs, the temperature drop times are cooled exponentially, that is, O ( log M ) , the number of iterations at each temperature L s a = O ( M ) , and each neighborhood operation is a user exchanging two user pairs, and the time complexity is O ( 1 ) . Therefore, the total time complexity of SA is O ( M log M ) .

4.3. UAV Location Optimization

In the UAV location optimization subproblem, considering the given UAV caching strategy, UAV transmit power allocation, and NOMA user pairing, the optimization of UAV location is formulated as follows:
P 4.3   max d u a v   U c a c h e + m = 1 M n = 1 N m T ( 1 μ ) v c h a r ( m = 1 M n = 1 N m p n , m τ n , m + P c h a r ( 1 μ ) T ) v u a v  
Particle swarm optimization (PSO) is an heuristic optimization algorithm based on swarm intelligence, inspired by the social behavior of biological groups such as birds or schools of fish. PSO seeks the optimal solution by simulating the cooperation and competition among individuals in a group. Each particle represents a potential solution, which is searched by iteratively updating its own speed and position, tracking individual historical optimal and group global optimal. The UAV position problem often involves high-dimensional continuous space optimization and complex constraints. Due to the continuous space optimization capability of PSO, it is not necessary to discretize the UAV coordinates when optimizing the UAV position, but to directly optimize the continuous variables, which is more in line with the actual scenario and brings the location accuracy. Therefore, this paper adopts PSO to solve the optimization problem of UAV position.
This paper employs the PSO algorithm to optimize the location of the UAV, utilizing the minimum user rate within the system as the fitness value for the particles. By optimizing the UAV location, the optimal deployment location for the UAV is obtained. Assume there are N p s o particles, where each particle’s location d p a r t i c l e ( i ) represents the three-dimensional location d u a v ( i ) = ( x u a v , y u a v , h ) of a UAV and the fitness value of a particle represents the minimum user rate within that location in the system. The particle’s velocity v p a r t i c l e ( i ) denotes the distance and direction for the UAV’s next iterative movement. Defining the historical best location of individual UAV and the population as d p b e s t and d g b e s t , respectively, the update formulas for the velocity and location vectors of UAV particles are given as follows:
v p a r t i c l e ( i + 1 ) = ω v p a r t i c l e ( i ) + c 1 r 1 ( d p b e s t ( i ) d p a r t i c l e ( i ) ) + c 2 r 2 ( d g b e s t d p a r t i c l e ( i ) )
d p a r t i c l e ( i + 1 ) = d p a r t i c l e ( i ) + v p a r t i c l e ( i + 1 )
where ω represents inertia weight, c 1 represents individual learning factor, and c 2 represents group learning factor. r 1 and r 2 are randomly generated numbers within the range [0, 1] to enhance the randomness of the search. According to the particle swarm optimization algorithm, after L p s o iterations, the global optimal value of the whole particle swarm, d g b e s t , which is the optimal position of the UAV, d u a v , is obtained. For the PSO algorithm, suppose the number of particles is N p s o , the number of iterations is L p s o , and the space dimension is D . The time complexity of a single iteration of each particle is O ( D ) , the total time complexity of each iteration is O ( D N p s o ) , and the total time complexity is O ( D N p s o L p s o ) . Therefore, for the single UAV position optimization problem, D = 2 is fixed, so the time complexity of this paper is O ( N p s o L p s o ) .
In summary, the solution algorithms for the combined optimization of content providers and UAV location, transmission power, and user group for the two subproblems of file pricing and UAV cache placement have been provided. The specific steps of the joint optimization algorithm for UAV cache and charging services are outlined in Algorithm 2.
Algorithm 2 Joint Optimization Algorithm for UAV Cache and Charging Services
Input :   Initial   pricing   from   content   providers   v κ , f i n i t i a l , initial location of all users, UAV   initial   location   d u a v ( 0 ) = ( x u a v , y u a v , h )
Output: Total Revenue of UAV
  • Substituting   v κ , f i n i t i a l   into   Algorithm   1   yields   the   UAV   caching   revenue   U c a c h e
  • Initialize   the   particle   swarm ,   including   the   particle   location   d p a r t i c l e ( i )   and   velocity   v p a r t i c l e ( i ) and other parameters
  • Repeat:
  • Substituting the positions of the current UAV particles and users into (6)   yields   the   path   loss   for   all   users   P L ( d B )
  • Substitute   the   channel   gain   g ¯ ( d B ) = P L   into   the   SA   algorithm   to   obtain   the   optimal   grouping   g for the user at the current location
  • Substituting   g into (40)   yields   the   minimum   achievable   user   rate   R m ,   which   serves   as   the   value   of   the   fitness   function   f ( d p a r t i c l e ) for the PSO algorithm
  • According   to   the   PSO   algorithm ,   compute   the   current   local   optimum   value   and   update   the   particle   velocity   v p a r t i c l e ( i + 1 )   and   location   d p a r t i c l e ( i + 1 ) according to (43) and (44)
  • Until   particle   swarm   iteration   L p s o ends
  • Obtaining   the   UAV   optimal   location   d u a v = ( x u a v , y u a v , h ) ,   the   optimal   pairing   scenario   g   and   power   allocation   result   in   p 1 = p 1 , m m = 1 M , p 2 = p 2 , m m = 1 M
  • Substituting the above results into (14) yields the total UAV revenue
Firstly, each content provider provides the initial pricing of the file, which is then substituted into Algorithm 1. After conducting a Stackelberg–Bertrand game, the optimal caching strategy and caching revenue of the UAV are determined. Subsequently, the location of the current UAV is treated as a particle within a particle swarm and input into the SA algorithm to obtain optimal pairing results for users at that location. By substituting these pairing results into Formula (40), we can ascertain the minimum user rate after power allocation optimization. This value serves as our particle swarm fitness function. Following this, according to the PSO algorithm, we calculate the current local optimal value and update both the current UAV location and velocity vector. This process is repeated until completion of all iterations within the particle swarm. Finally, by substituting cache revenue, optimal location, optimal pairing results, and optimal power distribution results of the UAV into Formula (14), we can determine its total revenue.
The complexity analysis of the algorithm is as follows: since the Steinberg game part is executed first and then optimized by particle swarm optimization and a simulated annealing algorithm, the complexity of the entire algorithm can be expressed as O ( N p s o L p s o M log M + t F log F ) .

5. Numerical Simulation

To assess the effectiveness of the proposed algorithm, MATLAB 2020a was employed in this study for algorithm simulation. The simulation scenario in this study depicts a hotspot area served by a UAV, wherein mobile users are randomly dispersed within the square area of 200 × 200 m. The hovering altitude h of the UAV is set at 100 m. The channel adopts a probabilistic model, and the total communication bandwidth B available to the UAV is uniformly divided into M subchannels, each catering to a pair of NOMA users. The simulation parameters are configured as shown in Table 1.
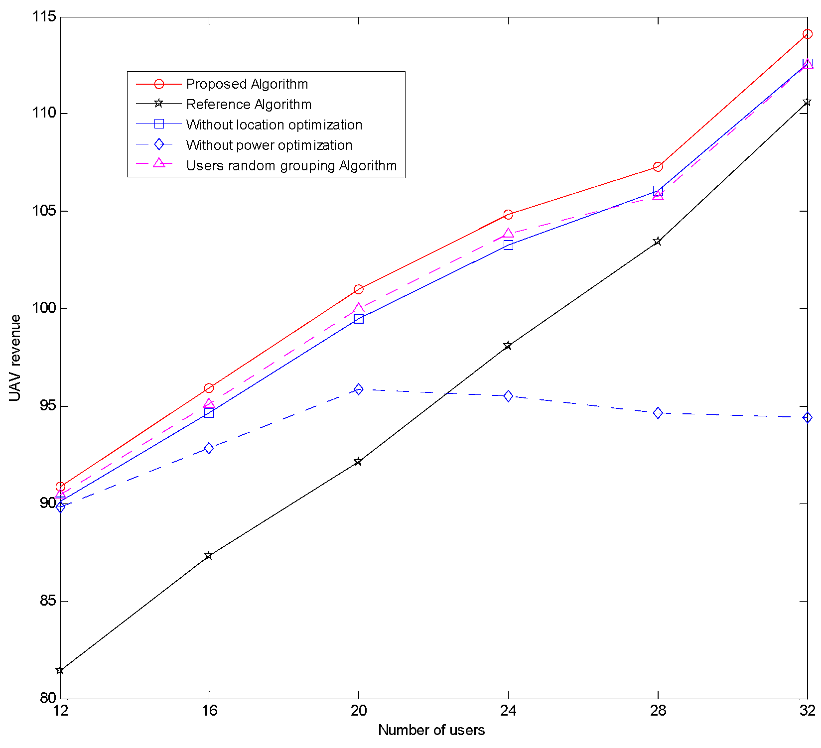
To assess the effectiveness of the algorithm of this paper, Figure 3 compares the proposed algorithm with the algorithm of [16], the algorithm for random pairing of users, the algorithm for selecting the center of the region, and the algorithm that uses an equal power distribution among NOMA pairs. In the figure, it can be seen that the UAV gain obtained with the algorithm of this paper is higher compared to [16]. This is because in the cache placement and pricing phase, [16] uses a pricing method with a fixed initial price and there is no dynamic game process between the file pricing and the cache content, so the gain obtained from the cache is less than the algorithm in this paper. Secondly, the algorithm [16] adopts the traditional best-near best-far [27] (BNBF) user pairing method, while in this paper, by adopting the simulated annealing-based user pairing method, it can make the user delay smaller, meaning better user power allocation, and consequently UAV charges the user for a longer duration of time. In addition, [16] does not perform UAV location optimization, while in this paper, the particle swarm optimization algorithm is used to optimize the UAV location to improve the channel conditions between the user and the UAV, and thus higher gains can be achieved.
In Figure 3, it can be observed that for the algorithm employing average power allocation in NOMA (without power optimization) between pairs, UAV revenue exhibits an increasing trend followed by a decrease as the number of users increases. This trend stems from the growing number of user pairs with increasing users, consequently amplifying the disparities in channel characteristics among pairs. However, the power allocation in NOMA between pairs is uniformly distributed without optimizing the power between channels. This results in significant differences in user transmission rates between different pairs, thereby increasing the overall system transmission delay. Consequently, this diminishes the proportion of charging time in the total service cycle, leading to a reduction in UAV revenue.
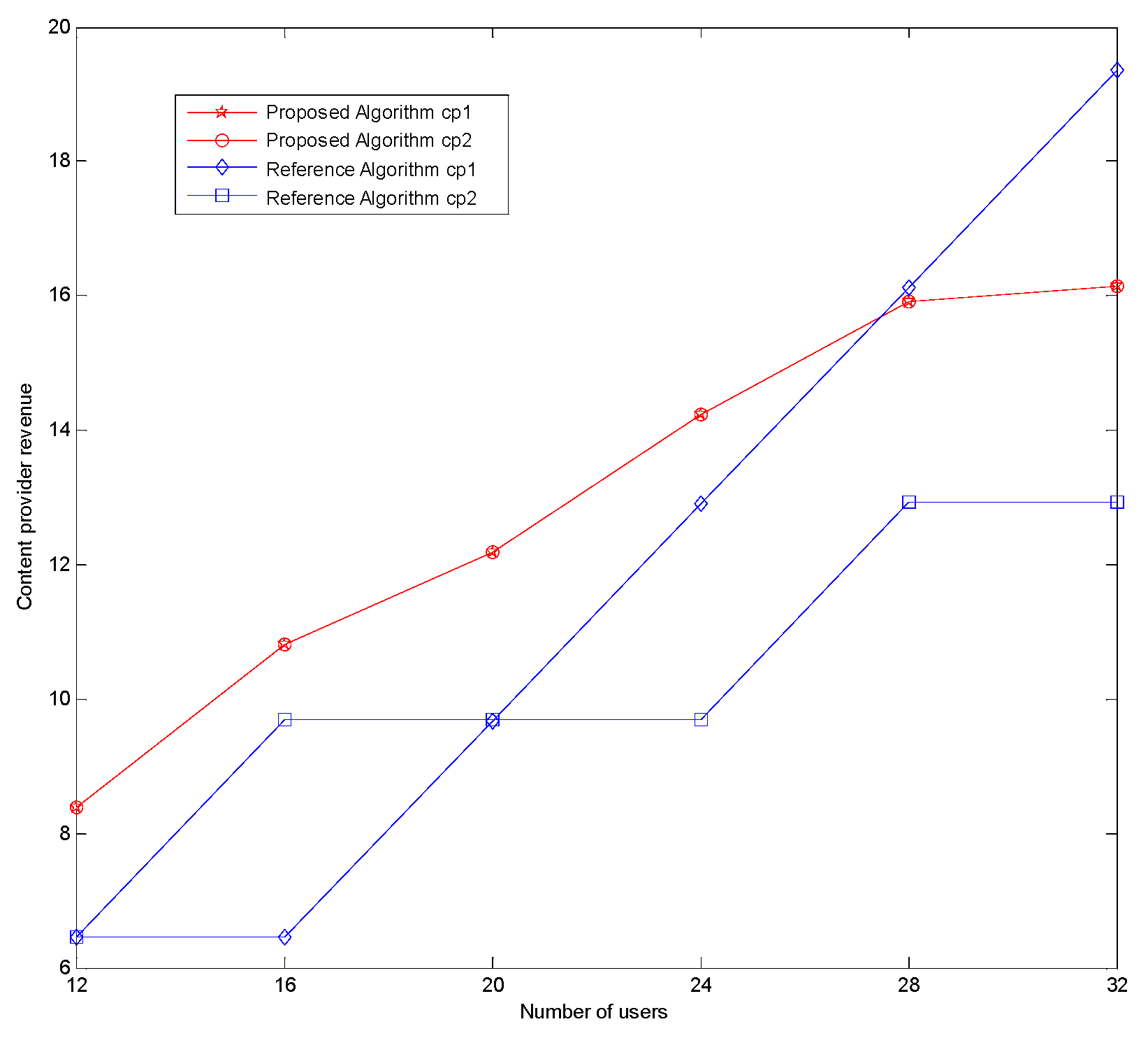
Figure 4 presents a comparative graph of the revenue of two content providers under the caching schemes of [16] and the caching schemes proposed in this paper. Compared to the caching scheme of [16], the overall revenue of the two content providers in the caching scheme proposed in this paper is generally increased. When the user count is high, there is a significant disparity in the revenue of the two content providers under the algorithm of [16], with one provider having higher revenue and the other having lower revenue. In contrast, under the caching scheme proposed in this paper, in such scenarios, the revenue of the two content providers is similar and relatively high, thus ensuring a more balanced and stable outcome.
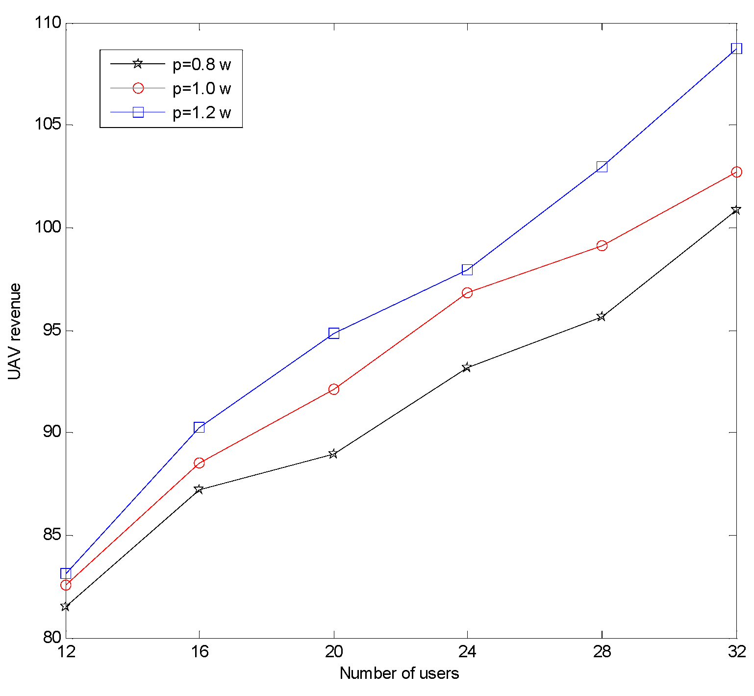
Figure 5 shows how the maximum launch power of the UAV affects its revenue. With a fixed number of users, increasing the total launch power of the UAV leads to higher received power by users, resulting in lower user latency and longer charging time for the UAV to serve users, thus increasing its revenue. Similarly, when the maximum launch power of the UAV is fixed, increasing the number of users may decrease the received power by users, leading to a reduction in transmission rate and an increase in the maximum transmission latency for users, hence shortening the total charging time. However, due to the increase in the number of users, both caching revenue and charging revenue of drones also increase, resulting in an overall increase in UAV revenue.
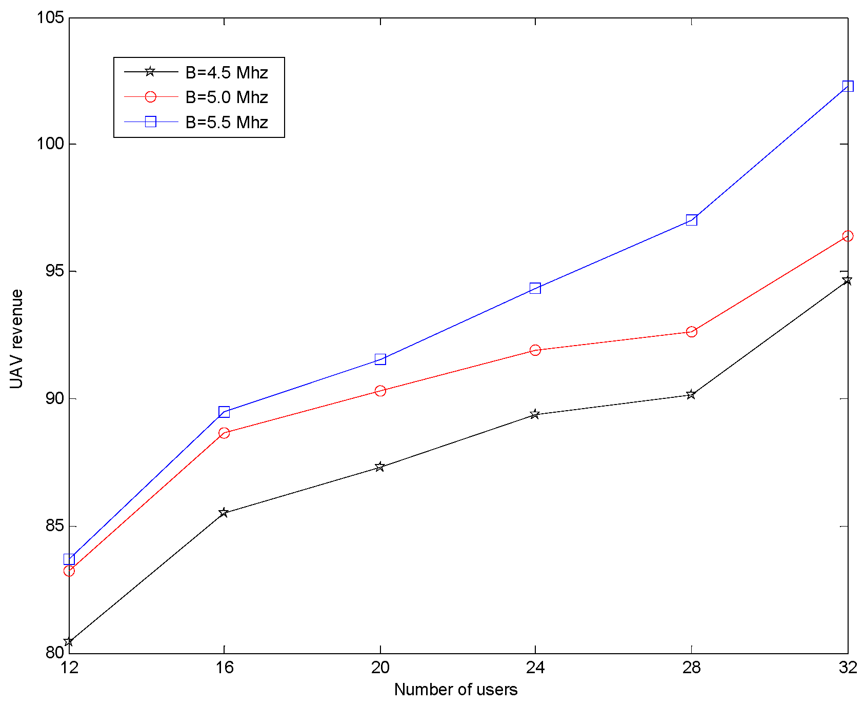
Figure 6 illustrates the impact of the total channel bandwidth of the UAV on its revenue. With a fixed number of users, increasing the total channel bandwidth of the UAV results in higher transmission rates for users, leading to reduced user latency and decreased communication transmission time. Consequently, the UAV has more time to charge users, thereby increasing its revenue. When the total channel bandwidth of the UAV is fixed, increasing the number of users reduces the bandwidth available to individual users, leading to a decrease in transmission rates and an increase in maximum user transmission delay, thus shortening the total charging time. However, due to the increase in the number of users, the caching revenue and charging revenue of the UAV also increase accordingly. Therefore, UAV revenue exhibits an overall increasing trend.
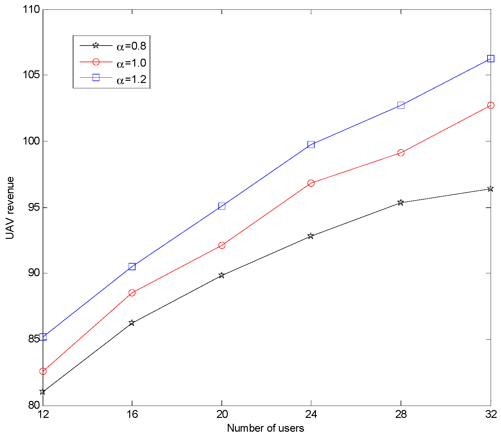
Figure 7 illustrates the impact of the Zipf parameter on UAV revenue. When the number of users is fixed, as the Zipf parameter α increases, the distribution of user requests for content becomes more concentrated. The UAV only needs to cache fewer files to satisfy the needs of most users, resulting in a reduction in the file leasing fees paid by the UAV.
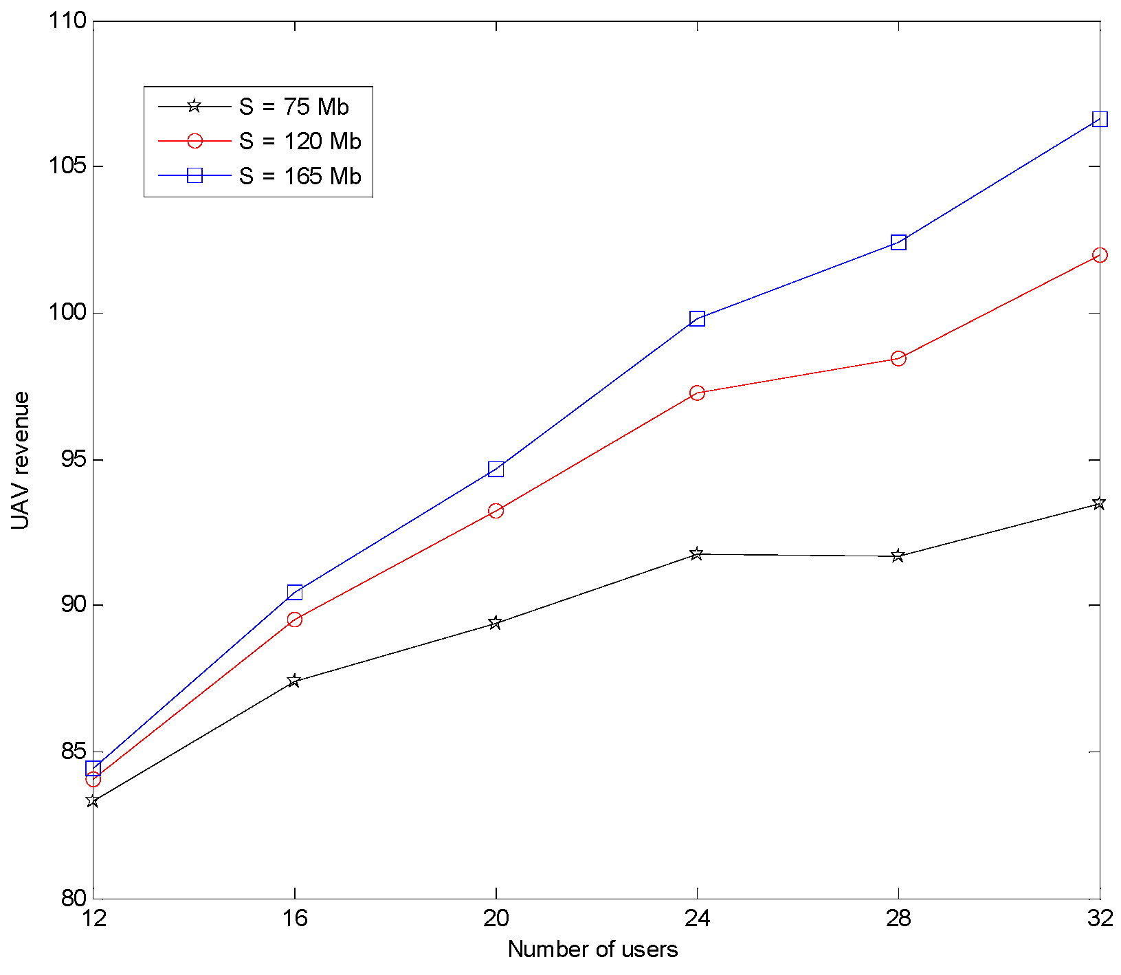
Figure 8 illustrates the impact of cache capacity on UAV revenue. As the number of users is fixed, increasing the cache capacity S of UAVs allows them to cache more content to serve users, thereby improving the cache hit rate.
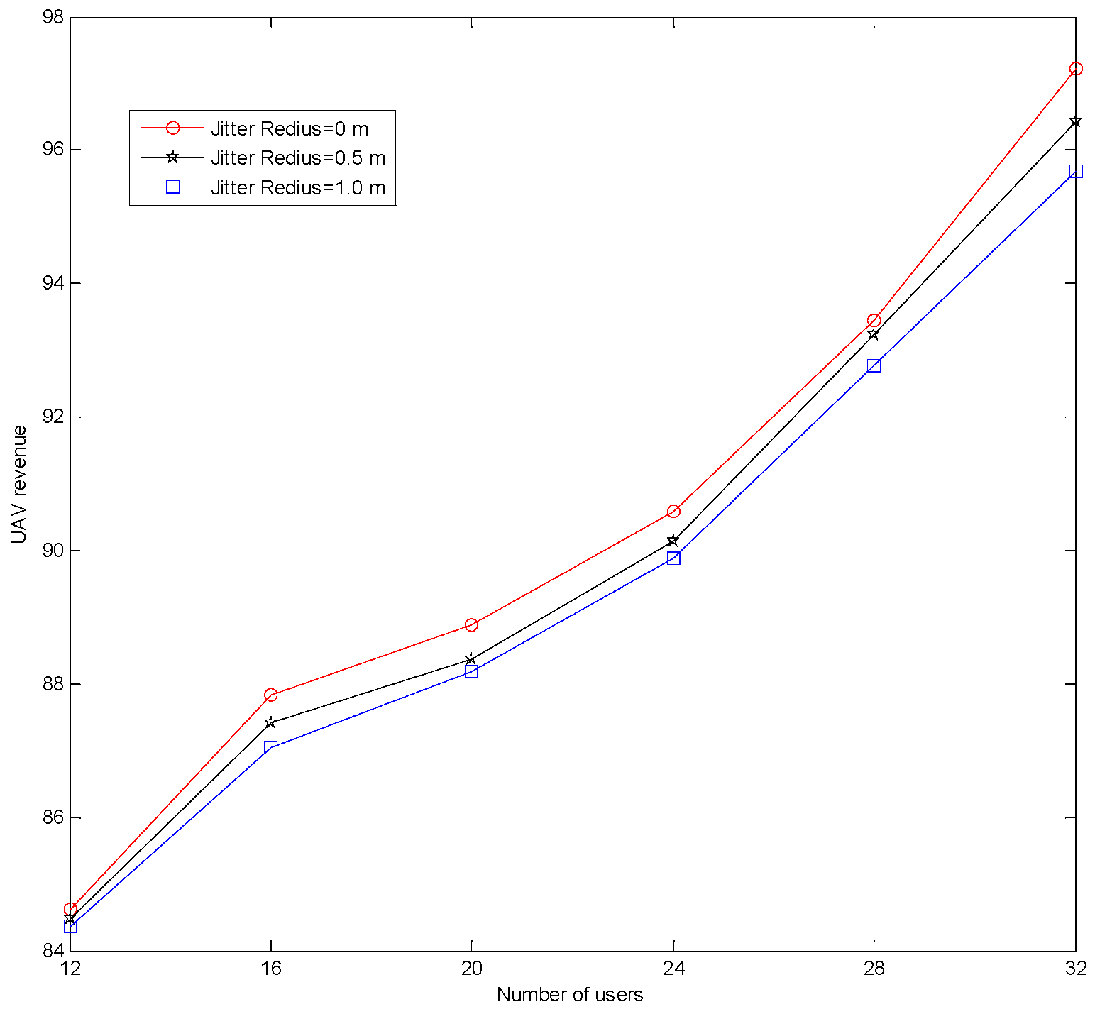
Figure 9 illustrates the sensitivity analysis results of the impact of unpredictable random movements on UAV revenue during the hovering process. In this simulation, the size of the jitter radius is used to indicate the intensity of external interference (such as strong winds) affecting the UAV. In the case of random interference, the UAV jitter radius is selected to be 0.5 m and 1.0 m. In the absence of random interference, the jitter radius is set to 0 m. As the random jitter radius increases, the probability of the UAV deviating from the optimal position also increases, leading to a decrease in UAV revenue. The simulation results show that the influence of external environment such as strong wind on the performance of the UAV is relatively large.
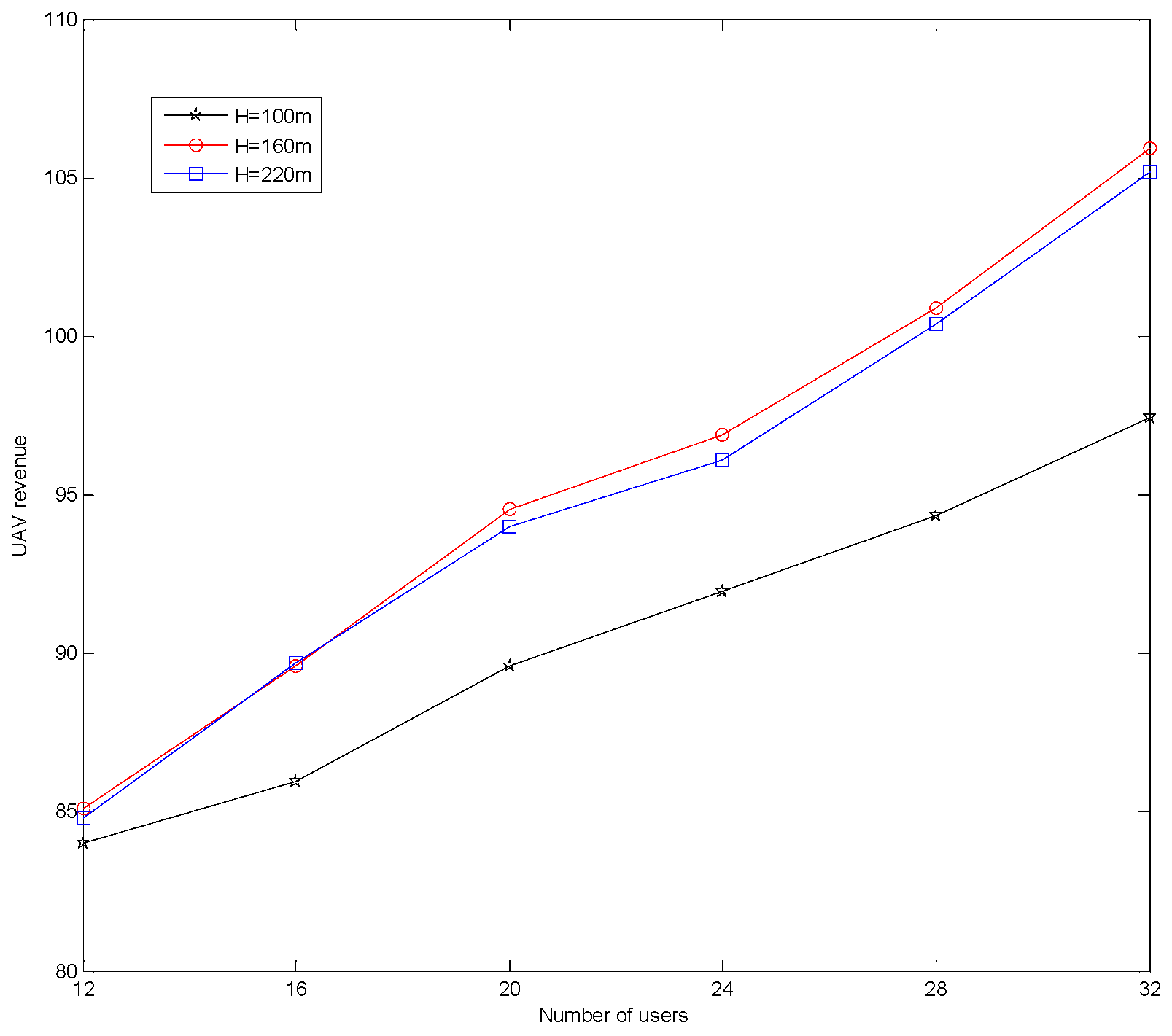
As shown in Figure 10, the sensitivity analysis conducted on UAV altitude reveals that UAV revenue shows a trend of first increasing and then decreasing with the increase in UAV altitude. When the UAV flies at a lower altitude, the coverage area may be insufficient or the NLoS probability may be high, leading to poor channel quality. Conversely, when the UAV flies at an excessively high altitude, the path loss increases, resulting in a decrease in transmission rate. This is why the UAV’s revenue at 160 m altitude in the simulation figure is better than the other two altitudes. The simulation results show that the choice of UAV flight height has a great influence on the performance.

6. Conclusions

To address the dual constraints of caching capacity and spectrum resources in integrated UAV-assisted communication–caching–charging scenarios, this paper proposes and validates an effectiveness-verified cross-domain joint optimization framework through theoretical modeling and algorithmic design. By establishing a coupling model encompassing network topology, caching strategies, channel characteristics, and transmission energy consumption, the complex discrete optimization problem is decoupled into four subproblems: 3D UAV deployment, dynamic caching placement, NOMA user clustering, and power allocation. Corresponding optimization algorithms are developed. The particle swarm optimization algorithm iteratively searches for optimal UAV hovering positions to achieve adaptive spatial deployment. A Stackelberg–Bertrand-based caching strategy alleviates backhaul congestion during peak traffic through a dual-layer pricing–caching game between content providers and the UAV, prioritizing high-demand content. The simulated annealing algorithm enhances global stability through controlled stochastic perturbation in user grouping optimization. The Lagrange multiplier method is used to solve the power distribution of the subscriber channel, which gives the subscriber higher power distribution under the weak-channel condition and realizes fair power distribution. MATLAB simulations demonstrate that the proposed framework significantly outperforms benchmark algorithms in reducing transmission delay, conserving backhaul resources, and improving UAV economic returns. While current research focuses on single-UAV system optimization, future work will explore multi-UAV cooperative mechanisms and integrate content popularity prediction with user preference analysis into caching optimization to enhance dynamic adaptability of model.

Author Contributions

Conceptualization, Y.Z. and Q.Z.; Methodology, Y.Z.; Software, Y.Z.; Validation, Y.Z. and Q.Z.; Formal analysis, Y.Z.; Investigation, Y.Z.; Resources, Q.Z.; Data curation, Y.Z.; Writing—original draft, Y.Z.; Writing—review & editing, Y.Z.; Visualization, Y.Z.; Supervision, Q.Z.; Project administration, Q.Z.; Funding acquisition, Q.Z. All authors have read and agreed to the published version of the manuscript.

Funding

This research was funded by the Jiangsu Provincial Key Research and Development Program (grant BE2022068-2) and the National Natural Science Foundation of China (grant 92367302).

Institutional Review Board Statement

Not applicable.

Informed Consent Statement

Not applicable.

Data Availability Statement

The original contributions presented in the study are included in the article. Further inquiries can be directed to the corresponding author.

Conflicts of Interest

The authors declare no conflicts of interest.

References

  1. Lopez-Perez, D.; Ding, M.; Claussen, H.; Jafari, A.H. Towards 1 Gbps/UE in Cellular Systems: Understanding Ultra-Dense Small Cell Deployments. IEEE Commun. Surv. Tutor. 2015, 17, 2078–2101. [Google Scholar] [CrossRef]
  2. Zeng, Y.; Zhang, R.; Lim, T.J. Wireless communications with unmanned aerial vehicles: Opportunities and challenges. IEEE Commun. Mag. 2016, 54, 36–42. [Google Scholar] [CrossRef]
  3. Khawaja, W.; Guvenc, I.; Matolak, D.W.; Fiebig, U.-C.; Schneckenburger, N. A Survey of Air-to-Ground Propagation Channel Modeling for Unmanned Aerial Vehicles. IEEE Commun. Surv. Tutor. 2019, 21, 2361–2391. [Google Scholar] [CrossRef]
  4. Tang, W.; Zhang, H.; Peng, J. Performance Analysis of Cooperative Caching and Transmission Diversity in Cache-Enabled UAV Networks. IEEE Trans. Wirel. Commun. 2023, 23, 4411–4423. [Google Scholar] [CrossRef]
  5. Chen, M.; Saad, W.; Yin, C. Liquid State Machine Learning for Resource and Cache Management in LTE-U Unmanned Aerial Vehicle (UAV) Networks. IEEE Trans. Wirel. Commun. 2019, 18, 1504–1517. [Google Scholar] [CrossRef]
  6. Zhang, T.; Wang, Z.; Liu, Y.; Xu, W.; Nallanathan, A. Caching Placement and Resource Allocation for Cache-Enabling UAV NOMA Networks. IEEE Trans. Veh. Technol. 2020, 69, 12897–12911. [Google Scholar] [CrossRef]
  7. Zhou, R.; Huang, Y.; Wang, Y.; Jiao, L.; Tan, H.; Zhang, R.; Wu, L. User Preference Oriented Service Caching and Task Offloading for UAV-Assisted MEC Networks. IEEE Trans. Serv. Comput. 2025, 1–12. [Google Scholar] [CrossRef]
  8. Ji, J.; Zhu, K.; Niyato, D.; Wang, R. Joint Cache Placement, Flight Trajectory, and Transmission Power Optimization for Multi-UAV Assisted Wireless Networks. IEEE Trans. Wirel. Commun. 2020, 19, 5389–5403. [Google Scholar] [CrossRef]
  9. Zhao, Y.; Liu, C.; Hu, X.; He, J.; Peng, M.; Ng, D.W.K.; Quek, T.Q.S. Joint Content Caching, Service Placement, and Task Offloading in UAV-Enabled Mobile Edge Computing Networks. IEEE J. Sel. Areas Commun. 2024, 43, 51–63. [Google Scholar] [CrossRef]
  10. Xie, L.; Cao, X.; Xu, J.; Zhang, R. UAV-Enabled Wireless Power Transfer: A Tutorial Overview. IEEE Trans. Green Commun. Netw. 2021, 5, 2042–2064. [Google Scholar] [CrossRef]
  11. Zhu, K.; Yang, J.; Zhang, Y.; Nie, J.; Lim, W.Y.B.; Zhang, H.; Xiong, Z. Aerial Refueling: Scheduling Wireless Energy Charging for UAV Enabled Data Collection. IEEE Trans. Green Commun. Netw. 2022, 6, 1494–1510. [Google Scholar] [CrossRef]
  12. Hu, X.; Wen, P.; Xiao, H.; Wang, W.; Wong, K.-K. Maximizing Energy Charging for UAV-Assisted MEC Systems With SWIPT. IEEE Trans. Veh. Technol. 2025, 1–6. [Google Scholar] [CrossRef]
  13. Xu, X.; Zhao, H.; Yao, H.; Wang, S. A Blockchain-Enabled Energy-Efficient Data Collection System for UAV-Assisted IoT. IEEE Internet Things J. 2020, 8, 2431–2443. [Google Scholar] [CrossRef]
  14. Qi, H.; Li, Y.; Xu, Y.; Quek, T.Q.S. UAV-Assisted Mobile Crowdsensing Systems Empowered by Wireless Power Transfer and Adaptive Compression Techniques. IEEE Wirel. Commun. Lett. 2024, 13, 2487–2491. [Google Scholar] [CrossRef]
  15. Zhao, M.-M.; Shi, Q.; Zhao, M.-J. Efficiency Maximization for UAV-Enabled Mobile Relaying Systems With Laser Charging. IEEE Trans. Wirel. Commun. 2020, 19, 3257–3272. [Google Scholar]
  16. Yin, Y.; Gui, G.; Liu, M.; Gacanin, H.; Sari, H.; Adachi, F. Joint User Pairing and Resource Allocation in Air-to-Ground Communication-Caching-Charging Integrated Network Based on NOMA. IEEE Trans. Veh. Technol. 2023, 72, 15819–15828. [Google Scholar] [CrossRef]
  17. Chai, S.; Lau, V.K.N. Multi-UAV Trajectory and Power Optimization for Cached UAV Wireless Networks With Energy and Content Recharging-Demand Driven Deep Learning Approach. IEEE J. Sel. Areas Commun. 2021, 39, 3208–3224. [Google Scholar] [CrossRef]
  18. Al-Hourani, A.; Kandeepan, S.; Lardner, S. Optimal LAP Altitude for Maximum Coverage. IEEE Wirel. Commun. Lett. 2014, 3, 569–572. [Google Scholar] [CrossRef]
  19. Mozaffari, M.; Saad, W.; Bennis, M.; Debbah, M. Unmanned Aerial Vehicle With Underlaid Device-to-Device Communi-cations: Performance and Tradeoffs. IEEE Trans. Wirel. Commun. 2016, 15, 3949–3963. [Google Scholar]
  20. Yaliniz, R.I.B.; El-Keyi, A.; Yanikomeroglu, H. Efficient 3-D placement of an Aerial Base Station in Next Generation Cellular Networks. In Proceedings of the 2016 IEEE International Conference on Communications, Kuala Lumpur, Malaysia, 22–27 May 2016; pp. 1–5. [Google Scholar]
  21. Breslau, L.; Cao, P.; Fan, L.; Phillips, G.; Shenker, S. Web caching and Zipf-like distributions: Evidence and implications. In Proceedings of the IEEE INFOCOM ‘99, Conference on Computer Communications, Proceedings, Eighteenth Annual Joint Conference of the IEEE Computer and Communications Societies, The Future is Now (Cat. No.99CH36320), New York, NY, USA, 21–25 March 1999; Volume 1, pp. 126–134. [Google Scholar]
  22. Hong, M.; Razaviyayn, M.; Luo, Z.-Q.; Pang, J.-S. A Unified Algorithmic Framework for Block-Structured Optimization Involving Big Data: With applications in machine learning and signal processing. IEEE Signal Process. Lett. 2016, 33, 57–77. [Google Scholar]
  23. Cui, J.; Ding, Z.; Fan, P. A Novel Power Allocation Scheme Under Outage Constraints in NOMA Systems. IEEE Signal Process. Lett. 2016, 23, 1226–1230. [Google Scholar] [CrossRef]
  24. Choi, J. Power Allocation for Max-Sum Rate and Max-Min Rate Proportional Fairness in NOMA. IEEE Commun. Lett. 2016, 20, 2055–2058. [Google Scholar] [CrossRef]
  25. Timotheou, S.; Krikidis, I. Fairness for Non-Orthogonal Multiple Access in 5G Systems. IEEE Signal Process. Lett. 2015, 22, 1647–1651. [Google Scholar] [CrossRef]
  26. Zhu, J.; Wang, J.; Huang, Y.; He, S.; You, X.; Yang, L. On Optimal Power Allocation for Downlink Non-Orthogonal Multiple Access Systems. IEEE J. Sel. Areas Commun. 2017, 35, 2744–2757. [Google Scholar] [CrossRef]
  27. Do, N.T.; Da Costa, D.B.; Duong, T.Q.; An, B. A BNBF User Selection Scheme for NOMA-Based Cooperative Relaying Systems With SWIPT. IEEE Commun. Lett. 2016, 21, 664–667. [Google Scholar] [CrossRef]
Figure 1. UAV caching system model.
Figure 1. UAV caching system model.
Applsci 15 03908 g001
Figure 2. UAV transmission time-slot model.
Figure 2. UAV transmission time-slot model.
Applsci 15 03908 g002
Figure 3. Comparison of UAV revenue with number of users [16].
Figure 3. Comparison of UAV revenue with number of users [16].
Applsci 15 03908 g003
Figure 4. Comparison of content provider revenue with number of users [16].
Figure 4. Comparison of content provider revenue with number of users [16].
Applsci 15 03908 g004
Figure 5. Comparison of UAV revenue with number of users for different UAV transmission power.
Figure 5. Comparison of UAV revenue with number of users for different UAV transmission power.
Applsci 15 03908 g005
Figure 6. Comparison of UAV revenue with number of users for different system bandwidths.
Figure 6. Comparison of UAV revenue with number of users for different system bandwidths.
Applsci 15 03908 g006
Figure 7. Comparison of UAV revenue with number of users for different Zipf distributions.
Figure 7. Comparison of UAV revenue with number of users for different Zipf distributions.
Applsci 15 03908 g007
Figure 8. Comparison of UAV revenue with number of users for different cache capacities.
Figure 8. Comparison of UAV revenue with number of users for different cache capacities.
Applsci 15 03908 g008
Figure 9. Sensitivity analysis of UAV revenue changes under different jitter radii.
Figure 9. Sensitivity analysis of UAV revenue changes under different jitter radii.
Applsci 15 03908 g009
Figure 10. Sensitivity analysis of UAV revenue changes under different UAV altitudes.
Figure 10. Sensitivity analysis of UAV revenue changes under different UAV altitudes.
Applsci 15 03908 g010
Table 1. Parameter simulation table.
Table 1. Parameter simulation table.
ParameterNumerical ValueParameterNumerical Value
UAV bandwidth B 5 Mhz η L o S 3 dB
Transmission power   P t r a n s 1 W η N L o S 23 dB
Time duration T 60 sContent size Q 15 Mbit
Carrier   frequency   f c 2 GhzContent numbers F 20
Noise   power   δ 2 −114 dBmCharging power   P c h a r g e 1 W
Disclaimer/Publisher’s Note: The statements, opinions and data contained in all publications are solely those of the individual author(s) and contributor(s) and not of MDPI and/or the editor(s). MDPI and/or the editor(s) disclaim responsibility for any injury to people or property resulting from any ideas, methods, instructions or products referred to in the content.

Share and Cite

MDPI and ACS Style

Zhu, Y.; Zhu, Q. Joint Optimization Algorithm for UAV-Assisted Caching and Charging Based on Wireless Energy Harvesting. Appl. Sci. 2025, 15, 3908. https://doi.org/10.3390/app15073908

AMA Style

Zhu Y, Zhu Q. Joint Optimization Algorithm for UAV-Assisted Caching and Charging Based on Wireless Energy Harvesting. Applied Sciences. 2025; 15(7):3908. https://doi.org/10.3390/app15073908

Chicago/Turabian Style

Zhu, Yumeng, and Qi Zhu. 2025. "Joint Optimization Algorithm for UAV-Assisted Caching and Charging Based on Wireless Energy Harvesting" Applied Sciences 15, no. 7: 3908. https://doi.org/10.3390/app15073908

APA Style

Zhu, Y., & Zhu, Q. (2025). Joint Optimization Algorithm for UAV-Assisted Caching and Charging Based on Wireless Energy Harvesting. Applied Sciences, 15(7), 3908. https://doi.org/10.3390/app15073908

Note that from the first issue of 2016, this journal uses article numbers instead of page numbers. See further details here.

Article Metrics

Back to TopTop