Effect of an Intra-Sets Variable Resistance Potentiation Protocol on Throwing Speed in Elite Female Handball Players
Abstract
1. Introduction
2. Materials and Methods
2.1. Design
2.2. Participants
2.3. Instruments
2.4. Muscle Strength Assessment
2.5. Throwing Velocity Assessment
2.6. Protocol for Familiarization
2.7. Variable Resistance PAPE Intra-Series Potentiation Exercise Protocol
2.8. Statistics
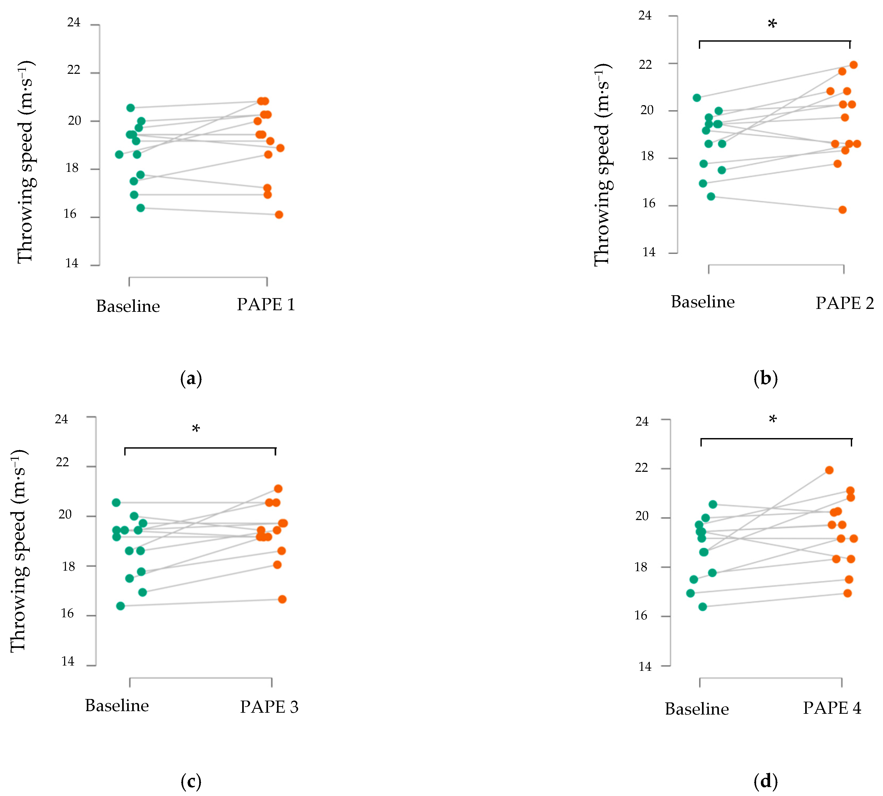
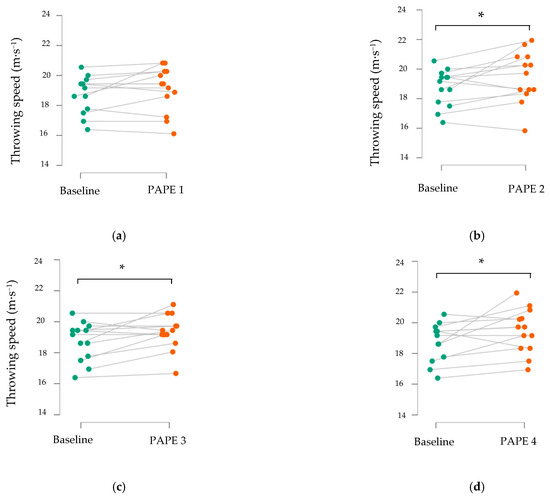
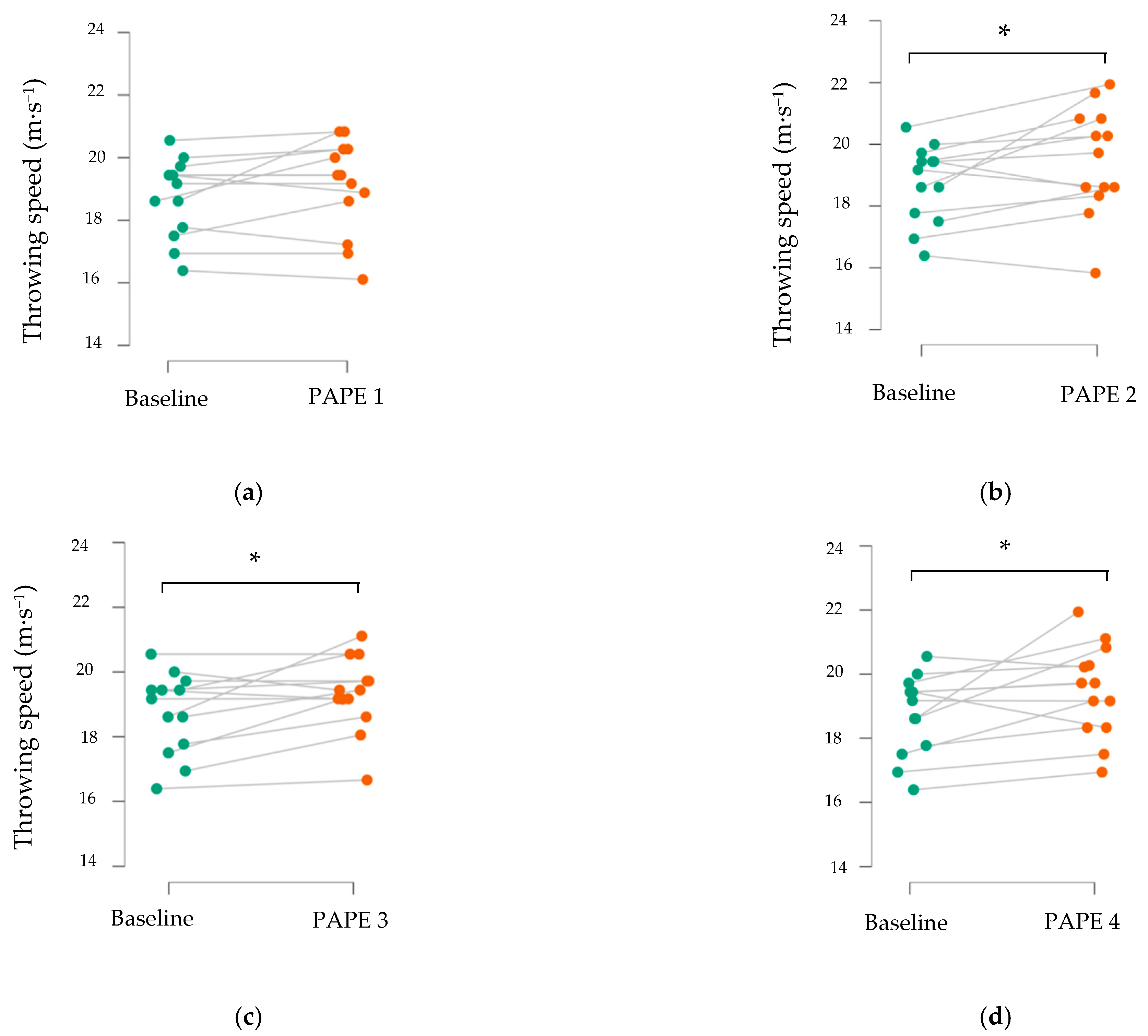
3. Results
4. Discussion
5. Conclusions
Author Contributions
Funding
Institutional Review Board Statement
Informed Consent Statement
Data Availability Statement
Acknowledgments
Conflicts of Interest
References
- Bao Fredriksen, A.; Tillaar, R. The Acute Effects of Different Wearable Resistance Loads Attached to the Forearm on Throwing Kinematics, Myoelectric Activity and Performance in Experienced Female Handball Players. J. Funct. Morphol. Kinesiol. 2022, 7, 58. [Google Scholar] [CrossRef] [PubMed]
- Felice, F.; Ley, C. Predicting handball matches with machine learning and statistically estimated team strengths. J. Sports Anal. 2025, 11, 22150218251313937. [Google Scholar] [CrossRef]
- Bragazzi, N.L.; Rouissi, M.; Hermassi, S.; Chamari, K. Resistance Training and Handball Players’ Isokinetic, Isometric and Maximal Strength, Muscle Power and Throwing Ball Velocity: A Systematic Review and Meta-Analysis. Int. J. Environ. Res. Public Health 2020, 17, 2663. [Google Scholar] [CrossRef]
- Black, G.M.; Gabbett, T.J.; Cole, M.H.; Naughton, G. Monitoring Workload in Throwing-Dominant Sports: A Systematic Review. Sports Med. 2016, 46, 1503–1516. [Google Scholar] [CrossRef] [PubMed]
- Karcher, C.; Buchheit, M. On-court demands of elite handball, with special reference to playing positions. Sports Med. 2014, 44, 797–814. [Google Scholar] [CrossRef]
- Fischer, J.; Paternoster, F.K. Post-Activation-Performance Enhancement: Possible Contributing Factors. J. Sports Sci. Med. 2024, 23, 34–45. [Google Scholar] [CrossRef]
- Cuenca-Fernández, F.; Smith, I.C.; Jordan, M.J.; MacIntosh, B.R.; López-Contreras, G.; Arellano, R.; Herzog, W. Nonlocalized postactivation performance enhancement (PAPE) effects in trained athletes: A pilot study. Appl. Physiol. Nutr. Metab. 2017, 42, 1122–1125. [Google Scholar] [CrossRef]
- Boullosa, D. Post-activation performance enhancement strategies in sport: A brief review for practitioners. Hum. Mov. 2021, 22, 101–109. [Google Scholar] [CrossRef]
- Akgül, M.Ş.; Tohănean, D.I.; Akçay, N.; Păun, L.I.; Çetin, T.; Uysal, H.Ş.; Alexe, C.I. Effects of Different Intensities of Post-Activation Performance Enhancement Protocols on Repeated Sprint Ability in Male Soccer Players: A Randomized Crossover Trial. Appl. Sci. 2024, 14, 11269. [Google Scholar] [CrossRef]
- Do Carmo, E.; De Ouza, E.; Roschel, H.; Kobal, R.; Ramos, H.; Gil, S. Self-selected rest interval improves vertical jump post-activation potentiation. J. Strength Cond. Res. 2021, 35, 91–96. [Google Scholar] [CrossRef]
- Chen, Y.; Su, Q.; Yang, J.; Li, G.; Zhang, S.; Lv, Y.; Yu, L. Effects of rest interval and training intensity on jumping performance: A systematic review and meta-analysis investigating post-activation performance enhancement. Front. Physiol. 2023, 14, 1202789. [Google Scholar] [CrossRef] [PubMed]
- Miyamoto, N.; Mitsukawa, N.; Sugisaki, N.; Fukunaga, T.; Kawakami, Y. Joint angle dependence of intermuscle difference in postactivation potentiation. Muscle Nerve 2010, 41, 519–523. [Google Scholar] [CrossRef] [PubMed]
- Esformes, J.; Keenan, M.; Moody, J.; Bampouras, T. Effect of different types of conditioning contraction on upper body post-activation potentiation. J. Strength Cond. Res. 2011, 25, 143–148. [Google Scholar] [CrossRef] [PubMed]
- Blazevich, A.; Babault, N. Post-activation Potentiation Versus Post-activation Performance Enhancement in Humans: Historical Perspective, Underlying Mechanisms, and Current Issues. Front. Physiol. 2019, 10, 1359. [Google Scholar] [CrossRef]
- Muñoz de la Cruz, V.; Rodríguez-Barbero, S.; Rodrigo-Carranza, V.; Salinero, J.J.; González-Ravé, J.M.; González-Mohíno, F. Post-Activation Potentiation Enhancement Response of Two Complex Training Sequences. Appl. Sci. 2024, 14, 11487. [Google Scholar] [CrossRef]
- Sale, D. Postactivation potentiation: Role in performance. Br. J. Sports Med. 2004, 38, 386–387. [Google Scholar] [CrossRef]
- Cormier, P.; Freitas, T.; Rubio-Arias, J.; Alcaraz, P. Complex and Contrast Training: Does Strength and Power Training Sequence Affect Performance-Based Adaptations in Team Sports? A Systematic Review and Meta-analysis. J. Strength Cond. Res. 2020, 34, 1461–1479. [Google Scholar] [CrossRef]
- Argus, C.K.; Gill, N.D.; Keogh, J.W.; McGuigan, M.R.; Hopkins, W.G. Effects of two contrast training programs on jump performance in rugby union players during a competition phase. Int. J. Sports Physiol. Perform. 2012, 7, 68–75. [Google Scholar] [CrossRef] [PubMed]
- Lorenz, D. Variable resistance training using elastic bands to enhance lower extremity strengthening. Int. J. Sports Phys. Ther. 2014, 9, 410–414. [Google Scholar] [PubMed]
- Krzysztofik, M.; Wilk, M.; Filip, A.; Zmijewski, P.; Zajac, A.; Tufano, J. Can Post-Activation Performance Enhancement (PAPE) Improve Resistance Training Volume during the Bench Press Exercise? Int. J. Environ. Res. Public Health 2020, 17, 2554. [Google Scholar] [CrossRef]
- Krzysztofik, M.; Wilk, M.; Goals, A.; Lockie, R.; Maszczyk, A.; Zajac, A. Does Eccentric-Only and Concentric-Only Activation Increase Power Output? Med. Sci. Sports Exerc. 2020, 52, 484–489. [Google Scholar] [CrossRef] [PubMed]
- Seitz, L.; Haff, G. Factors Modulating Post-Activation Potentiation of Jump, Sprint, Throw, and Upper-Body Ballistic Performances: A Systematic Review with Meta-Analysis. Sports Med. 2016, 46, 231–240. [Google Scholar] [CrossRef] [PubMed]
- Matusiński, A.; Pietraszewski, P.; Krzysztofik, M.; Gołaś, A. The Effects of Resisted Post-Activation Sprint Performance Enhancement in Elite Female Sprinters. Front. Physiol. 2021, 12, 651659. [Google Scholar] [CrossRef]
- Pisz, A.; Blazek, D.; Jebavy, R.; Kolinger, D.; Wilk, M.; Krzysztofik, M.; Stastny, P. Antagonist activation exercises elicit similar post-activation performance enhancement as agonist activities on throwing performance. BMC Sports Sci. Med. Rehabil. 2023, 15, 44. [Google Scholar] [CrossRef]
- Freitas, T.T.; Martinez-Rodriguez, A.; Calleja-González, J.; Alcaraz, P.E. Short-term adaptations following Complex Training in team- sports: A meta-analysis. PLoS ONE 2017, 12, e0180223. [Google Scholar] [CrossRef]
- Fu, K.; Chen, L.; Poon, E.T.; Wang, R.; Li, Q.; Liu, H.; Ho, I.M.K. Post-activation performance enhancement of flywheel training on lower limb explosive power performance. Front. Physiol. 2023, 14, 1217045. [Google Scholar] [CrossRef]
- Pereira, L.A.; Boullosa, D.; Moura, T.B.; Mercer, V.P.; Fernandes, V.; Bishop, C.; Loturco, I. Post-Activation Performance Enhancement in Sprinters: Effects of Hard Versus Sand Surfaces. J. Hum. Kinet. 2022, 82, 173–180. [Google Scholar] [CrossRef]
- Mina, M.A.; Blazevich, A.J.; Tsatalas, T.; Giakas, G.; Seitz, L.B.; Kay, A. Variable, but not free-weight, resistance back squat exercise potentiates jump performance following a comprehensive task-specific warm-up. Scand. J. Med. Sci. Sports 2019, 29, 380–392. [Google Scholar] [CrossRef]
- Dvir, Z.; Muller, S. Multiple-joint isokinetic dynamometry: A critical review. J. Strength. Cond. Res. 2019, 34, 587–601. [Google Scholar] [CrossRef]
- Morenas-Aguilar, M.; Rodriguez-Perea, A.; Chirosa-Rios, L.J.; Vasquez-Diz, J.A.; Chirosa-Rios, I.J.; Vera-Vera, J.F. Test-Restest Reliability of 3 Specific Strength Tests in Professional Handball Players. J. Sport Rehabil. 2023, 33, 53–62. [Google Scholar] [CrossRef]
- Rodríguez-Perea, A.; Morenas Aguilar, M.D.; Escobar-Molina, R.; Martínez-García, D.; Chirosa Ríos, I.; Jerez-Mayorga, D.; Chirosa Ríos, L.; Janicijevic, D.; Reyes-Ferrada, W. Strength Assessment of Trunk Rotator Muscles: A Multicenter Reliability Study. Healthcare 2023, 11, 2331. [Google Scholar] [CrossRef]
- Chirosa-Ríos, I.; Ruiz-Orellana, L.; Chirosa-Ríos, L.I.; Del-Cuerpo, I.; Martínez-Martín, I.; Rodríguez-Perea, Á. Defensive Two-Step Test in Handball Players: Reliability of a new test for Assesing Displacement Velocity. J. Sports Sci. 2022, 18, 233–244. [Google Scholar] [CrossRef]
- Del-Cuerpo, I.; Jerez-Mayorga, D.; Delgado-Floody, P.; Morenas-Aguilar, M.; Chirosa-Ríos, L.J. Test–Retest Reliability of the Functional Electromechanical Dynamometer for Squat Exercise. Int. J. Environ. Res. 2023, 20, 1289. [Google Scholar] [CrossRef] [PubMed]
- Martínez-García, D.; Rodríguez-Perea, Á.; Huerta-Ojeda, Á.; Jerez-Mayorga, D.; Aguilar-Martínez, D.; Chirosa-Rios, I.; Ruiz-Fuentes, P.; Chirosa-Ríos, L.J. Effects of Pre-Activation with Variable Intra-Repetition Resistance on Throwing Velocity in Female Handball Players: A Methodological Proposal. J. Hum. Kinet. 2021, 77, 235–244. [Google Scholar] [CrossRef] [PubMed]
- Piscitelli, F.; Milanese, C.; Sandri, M.; Cavedon, V.; Zancanaro, C. Investigating predictors of ball-throwing velocity in team handball: The role of sex, anthropometry, and body composition. Sport Sci. Health 2016, 12, 11–20. [Google Scholar] [CrossRef]
- World Medical Association. World Medical Association Declaration of Helsinki: Ethical principles for medical research involving human subjects. JAMA 2013, 310, 2191–2194. [Google Scholar] [CrossRef]
- Andrades-Ramírez, O.; Ulloa-Díaz, D.; Alfaro-Castillo, B.; Arroyo-Jofré, P.; Castillo-Paredes, A.; Chirosa-Ríos, L. Test-retest reliability of an isometric and isometric/vibratory muscular strength protocol with functional electro-mechanical dynamometry. Sports 2024, 12, 175. [Google Scholar] [CrossRef]
- Andrades-Ramírez, O.; Alfaro-Castillo, B.; Martínez-García, D.; Cuevas-Aburto, J.; Ulloa-Díaz, D.; Chirosa-Ríos, L.J. Fiabilidad y estabilidad del gesto de diferentes variantes de lanzamiento de balonmano. MHSalud 2022, 19, 52–63. [Google Scholar] [CrossRef]
- Cifuentes-Zapata, C.; Andrades-Ramírez, O.; Ulloa-Díaz, D.; Rodríguez-Perea, Á.; Huerta-Ojeda, Á.; Chirosa-Ríos, L.J. Intra-session reliability of isometric muscle strength of the bilateral standing press in female handball players. PeerJ 2024, 26, e18196. [Google Scholar] [CrossRef]
- Hopkins, W. Spreadsheets for analysis of validity and reliability. Sportscience 2015, 21, 36–44. [Google Scholar]
- López-Martín, E.; Ardura-Martínez, D. The effect size in scientific publication. Educ. XX1 2023, 26, 9–17. [Google Scholar] [CrossRef]
- Tillin, N.A.; Bishop, D. Factors modulating post-activation potentiation and its effect on performance of subsequent explosive activities. Sports Med. 2009, 39, 147–166. [Google Scholar] [CrossRef] [PubMed]
- Maszczyk, A.; Wilk, M.; Krzysztofik, M.; Gepfert, M.; Zając, A.; Petr, M.; Stastny, P. The effects of resistance training experience on movement characteristics in the bench press exercise. Biol. Sport 2020, 37, 79–83. [Google Scholar] [CrossRef] [PubMed]
- Asencio, P.; Sabido, R.; García-Valverde, A.; Hernández-Davó, J.L. Does handball throwing velocity increase after an eccentric overload-induced postactivation potentiation? Eur. J. Hum. 2020, 44, 5–18. [Google Scholar] [CrossRef]
- Wilson, J.M.; Duncan, N.M.; Marin, P.J.; Brown, L.E.; Loenneke, J.P.; Wilson, S.M.; Jo, E.; Lowery, R.P.; Ugrinowitsch, C. Meta-analysis of post-activation potentiation and power: Effects of conditioning activity, volume, gender, rest periods, and training status. J. Strength Cond. Res. 2013, 27, 854–858. [Google Scholar] [CrossRef]
- Cuenca-Fernández, F.; López-Contreras, G.; Mourão, L.; de Jesus, K.; Zacca, R.; Arellano, R. Eccentric flywheel post-activation potentiation influences swimming start performance kinetics. J. Sports Sci. 2018, 37, 443–451. [Google Scholar] [CrossRef]



| Mean ± SD (m·s−1) | ||||||||
|---|---|---|---|---|---|---|---|---|
| Baseline | PAPE 1 | p-Value | ES | |||||
| Peak velocity | 18.73 | ± | 1.25 | 19.07 | ± | 1.50 | 0.152 | 0.18 |
| PAPE 2 | ||||||||
| 19.48 | ± | 1.72 | 0.031 | 0.35 | ||||
| PAPE 3 | ||||||||
| 19.33 | ± | 1.14 | 0.027 | 0.41 | ||||
| PAPE 4 | ||||||||
| 19.47 | ± | 1.44 | 0.039 | 0.31 | ||||
Disclaimer/Publisher’s Note: The statements, opinions and data contained in all publications are solely those of the individual author(s) and contributor(s) and not of MDPI and/or the editor(s). MDPI and/or the editor(s) disclaim responsibility for any injury to people or property resulting from any ideas, methods, instructions or products referred to in the content. |
© 2025 by the authors. Licensee MDPI, Basel, Switzerland. This article is an open access article distributed under the terms and conditions of the Creative Commons Attribution (CC BY) license (https://creativecommons.org/licenses/by/4.0/).
Share and Cite
Cifuentes-Zapata, C.; Andrades-Ramírez, O.; Ulloa-Díaz, D.; Huerta Ojeda, Á.; Barahona-Fuentes, G.; Jorquera-Aguilera, C.; Chirosa-Ríos, L.-J. Effect of an Intra-Sets Variable Resistance Potentiation Protocol on Throwing Speed in Elite Female Handball Players. Appl. Sci. 2025, 15, 3582. https://doi.org/10.3390/app15073582
Cifuentes-Zapata C, Andrades-Ramírez O, Ulloa-Díaz D, Huerta Ojeda Á, Barahona-Fuentes G, Jorquera-Aguilera C, Chirosa-Ríos L-J. Effect of an Intra-Sets Variable Resistance Potentiation Protocol on Throwing Speed in Elite Female Handball Players. Applied Sciences. 2025; 15(7):3582. https://doi.org/10.3390/app15073582
Chicago/Turabian StyleCifuentes-Zapata, Claudio, Oscar Andrades-Ramírez, David Ulloa-Díaz, Álvaro Huerta Ojeda, Guillermo Barahona-Fuentes, Carlos Jorquera-Aguilera, and Luis-Javier Chirosa-Ríos. 2025. "Effect of an Intra-Sets Variable Resistance Potentiation Protocol on Throwing Speed in Elite Female Handball Players" Applied Sciences 15, no. 7: 3582. https://doi.org/10.3390/app15073582
APA StyleCifuentes-Zapata, C., Andrades-Ramírez, O., Ulloa-Díaz, D., Huerta Ojeda, Á., Barahona-Fuentes, G., Jorquera-Aguilera, C., & Chirosa-Ríos, L.-J. (2025). Effect of an Intra-Sets Variable Resistance Potentiation Protocol on Throwing Speed in Elite Female Handball Players. Applied Sciences, 15(7), 3582. https://doi.org/10.3390/app15073582

