Abstract
Wireless passive temperature sensors are essential in environments where wired connections are impractical, such as rotating machinery and harsh conditions. A key advantage of these sensors is their ability to operate without a local power source. This study employs the antenna backscattering method, which relies on the wireless interaction between the interrogator antenna and the sensor antenna’s resonant frequency, implemented in the far-field region to support long communication distances. To evaluate the impact of antenna shape on sensor performance, three microstrip patch antenna shapes—rectangular, circular, and equilateral triangular—were designed to operate in the fundamental mode at 2.4 GHz. These designs were simulated using HFSS in Ansys Electromagnetic Suite® 2023 R1 (Ansys Inc., Canonsburg, PA, USA), fabricated on alumina substrates, and assessed for performance metrics, including communication distance and sensitivity. Results indicated that the equilateral triangular patch outperformed the others, achieving a maximum communication distance of 16.5 cm, a sensitivity of 0.129 MHz/°C over a temperature range of 25 °C to 500 °C, and a simulated gain of 5.84 dBi. These findings underscore the importance of antenna shape selection and optimization for robust, wireless temperature sensing in demanding environments.
1. Introduction
Temperature monitoring in harsh environments, such as in the automotive, aerospace, energy, and industrial sectors, is essential for detecting structural degradation and preventing functional failures in critical components like bearings with limited operating temperatures []. Conventional wired temperature sensors are impractical in such applications due to limitations in physical connections and power supply constraints. Wireless passive temperature sensors overcome these challenges by eliminating the need for local power sources.
Several wireless sensing techniques have been explored, including surface acoustic wave (SAW) sensors, LC resonators, and antenna backscattering methods. SAW sensors often produce weak signals, necessitating amplification or advanced signal processing techniques such as filtering and noise reduction to ensure accurate readings []. Additionally, their intricate design requires precise engineering, leading to increased manufacturing complexity, calibration challenges, and higher deployment costs []. Similarly, LC resonator sensors involve complex designs due to the need for precise alignment of inductive coupling components []. Their weak output signals, which are prone to noise interference, require sophisticated signal processing to enhance their reliability []. Furthermore, LC sensor performance deteriorates with increased distance from the reader due to variations in coupling efficiency, resulting in inconsistent measurements, particularly in large setups or obstructed environments [].
In contrast, the antenna backscattering method offers a simpler, low-cost, and highly efficient design, featuring well-defined resonant frequency characteristics and ease of implementation. This method enables high-frequency operation (2.4–15.5 GHz) and supports communication distances ranging from 20 to 500 mm [,,,,]. Daniel et al. demonstrated a 500 mm communication distance using a high-gain horn antenna as the interrogator and a rectangular patch antenna as the sensor, achieving a sensitivity of 2.2 MHz/°C [].
The antenna backscattering method relies on wireless interaction between the interrogator antenna and the sensor antenna, where the sensor is wirelessly powered by the coupling energy transmitted from the interrogator antenna []. While this method offers advantages in wireless sensing, its performance varies depending on whether it operates in the near-field or far-field region. In near-field operation, strong energy coupling enables impedance mismatch techniques, which enhance backscattered signal strength []. In far-field operation, however, energy transfer efficiency decreases with distance, making impedance matching essential for reliable sensing. Since impedance mismatch is ineffective in far-field applications, antenna optimization is crucial for maintaining backscattering efficiency and signal stability [].
Among various antenna configurations for wireless passive temperature sensing, rectangular microstrip patch antennas (MPAs) have been extensively investigated due to their well-established performance. However, alternative geometries, such as circular and equilateral triangular MPAs, possess inherent advantages in compactness, radiation efficiency, and mode diversity [,], which could potentially enhance backscattering signal strength and stability. Despite these promising attributes, no prior study has explored the feasibility of circular and equilateral triangular MPAs as sensor antennas for passive wireless sensing applications.
This study investigates and compares the performance of rectangular, circular, and equilateral triangular MPAs for wireless passive temperature sensing, focusing on their impact on backscattered signal strength and stability. These antennas are designed to operate at 2.4 GHz in the fundamental transverse magnetic mode, and the communication established in the far-field region. Sensor antennas are fabricated on alumina substrates, known for their high thermal stability and durability. Comparative analysis is conducted based on key performance metrics, including sensitivity and communication distance, to identify the optimal design for wireless passive temperature sensors in demanding environments.
The remainder of this work is organized as follows. Section 2 outlines the sensor antenna design process, detailing the theoretical and the optimization of sensor dimensions. Section 3 explains the antenna backscattering principle and identifies the parameters influencing sensor sensitivity. Section 4 describes the experimental setup used for communication distance and sensitivity measurements. Section 5 presents the results and discussion, including an analysis of the S11 magnitude under various scenarios and a comparative analysis of the findings. Finally, Section 6 concludes the study by summarizing key findings and suggesting potential future improvements.
2. Sensor Antenna Design
2.1. Theoretical Antenna Dimension
The theoretical dimensions of the three patch antenna shapes—rectangular, circular, and equilateral triangular—were designed to operate at 2.4 GHz, based on their fundamental modes (TM10, TM11, and TM10, respectively), to achieve symmetric radiation characteristics. Alumina was selected as the substrate material due to its robustness in harsh environments, with a high melting point of 2072 °C. The substrate has a dielectric constant (ɛr) of 9.8, a loss tangent (tan δ) of 0.0003, and a thickness (h) of 2.45 mm []. The dimensions of the rectangular patch antenna were theoretically calculated using Equations (1)–(4) [].
2.2. Optimized Antenna Dimension
The design and modelling of the sensor antenna were performed using HFSS in the Ansys Electromagnetic Suite® 2023 R1(Ansys Inc., Canonsburg, PA, USA). The excitation port of each antenna employs a coaxial probe that is powered with a 1 mW source. To find the feeding points of each antenna, the position of the coaxial probe is adjusted iteratively using the optimetrics feature in HFSS. The theoretical and optimized values are presented in Table 1. All patch antenna designs use an Alumina substrate with dimensions of 50 × 50 × 2.45 mm, while the conductor parts are made of silver conductive paste with a thickness of 0.06 mm. The bottom surface of the substrate is fully covered with a ground plane. The design and corresponding manufacturing results are presented in Figure 1.
Table 1.
Theoretical and Optimized Values of Sensor Antenna Dimensions.
Figure 1.
The three patch shapes of sensor antenna designs: (a) simulated 3D model; (b) manufacturing result of sensor antenna.
3. The Antenna Backscattering Method
The antenna backscattering method is a wireless sensing approach that relies on the interaction of an interrogation signal with a sensor’s resonant frequency. The interrogator antenna transmits frequency sweeps to the patch antenna sensor, which is designed to resonate at a specific frequency. Because of the low impedance at resonance, effective energy transfer occurs when the interrogation frequency closely matches the sensor’s resonant frequency. This coupling generates surface charges on the conducting plates, leading to the generation of electric fields between conductors and magnetic fields from current flow in the patch and ground plane. These electromagnetic fields trap energy within the sensor, enabling it to function as a transmission line model [].
Upon receiving coupling energy from the interrogator antenna, the sensor antenna re-radiates a backscattered signal carrying information about temperature variations as illustrated in Figure 2. These variations manifest as a frequency shift relative to the initial resonant frequency measured at room temperature. The shift is primarily influenced by two temperature-dependent factors: the dielectric constant variation, commonly quantified by the Temperature Coefficient of Frequency (TCF), and the substrate expansion or contraction, governed by the Coefficient of Thermal Expansion (CTE). Since both parameters are highly temperature-dependent, any change in temperature directly affects the frequency shift in the backscattered signal. This relationship is mathematically described by Equation (10) [].
where represents the normalized frequency shift of the fundamental mode. and are the TCF and CTE, respectively, and denotes the temperature sensitivity.
Figure 2.
Schematic diagram of backscattering-based wireless temperature sensing system.
4. Experimental Setup
Performance testing consists of two key measurements: communication distance and sensitivity. A standard commercial dipole with the length of 55 mm operating at 2.3–2.5 GHz is used as the interrogator antenna. For communication distance measurement, the sensor antenna remains fixed while the interrogator antenna is positioned using a fixture pole to alter its height in a vertical direction. A ruler is employed to measure the distance. Besides that, some absorbers are employed to prevent unwanted interference from the surroundings. As the distance between the antennas increases, the backscattered signal is observed until the S11 peak diminishes to the level of background noise, indicating the communication limit. The experimental setup for communication distance measurement is shown in Figure 3a.
Figure 3.
Experimental setup for evaluating the performance of the three sensor antennas: (a) communication distance measurement setup; (b) sensitivity measurement setup; (c) thermal evaluation on the thermal insulator surface.
Sensitivity is measured by monitoring the resonant frequency shift as the temperature increases from 25 to 50 °C and then in 50 °C increments up to 500 °C. The antenna distance is fixed at 5 cm, which satisfies the far-field condition for both antennas. The interrogator antenna is connected to port 1 of the VNA and positioned directly in front of the sensor antenna to ensure proper polarization alignment and is located outside the furnace, as illustrated in Figure 2. A thermal insulator cover made of alumina foam isolates the heating environment inside the furnace. Alumina foam is widely used as a high-temperature thermal insulator in various industries, including industrial manufacturing, aerospace, and power generation applications. A K-type thermocouple measures the actual temperature inside the furnace and verifies the accuracy of the furnace’s temperature controller.
Both measurements utilize the Time-Domain Gating (TDG) method applied in the VNA to eliminate environmental interference and isolate the backscattered signal received by the interrogator antenna []. The inset in Figure 2 illustrates the Time-Domain Gating (TDG) process, where an S11 null in the original frequency domain is transformed into a peak after gating. The FFT (Fast Fourier Transform) converts S11 to the time domain, allowing unwanted reflections to be removed. After applying IFFT (Inverse Fast Fourier Transform), the gated signal is converted back to the frequency domain, isolating the antenna’s resonant response. As a result, the original S11 null shifts to a peak, representing the dominant resonance frequency of the antenna. The experimental setup for sensitivity measurement is shown in Figure 3b.
To verify heat containment, Figure 3c shows the external surface temperature of the thermal insulator cover, measured using a non-contact infrared thermometer, which reads 54.6 °C while the internal furnace temperature exceeds 400 °C. This confirms the alumina foam as a thermal insulator that effectively minimizes heat leakage, ensuring a safe environment for the interrogator antenna and measurement instruments while maintaining measurement accuracy and system stability. To further enhance heat isolation, it is recommended to use a thermal cover made of a low-thermal-conductivity material.
5. Results and Discussion
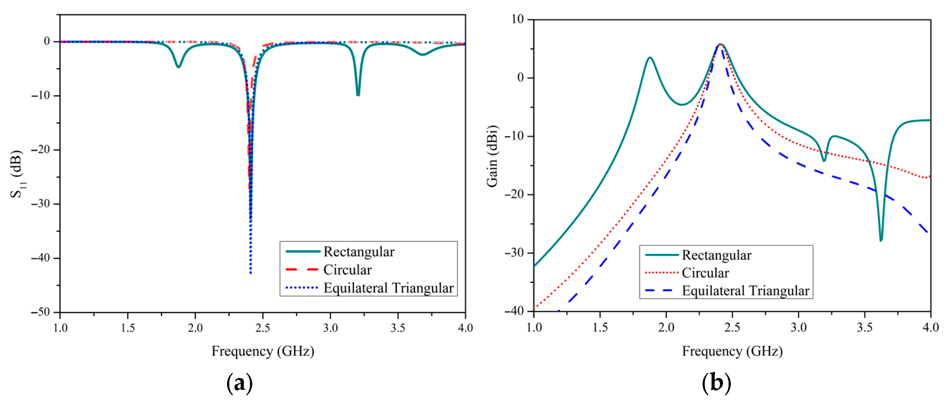
Based on the simulation results, the resonant frequency of the three patch antennas is approximately 2.4 GHz, with a bandwidth range of 31 to 48 MHz. The highest simulated gain also occurs near 2.4 GHz, as shown in Figure 4. Figure 5 illustrates the simulated electric field distribution for the three sensor antennas, confirming their operation in the fundamental mode, which is transverse magnetic mode (TM mode), as supported by previous studies [,,]. Additionally, the maximum electric field intensity is concentrated along the edges of the equilateral triangular patch, as depicted in Figure 5c.
Figure 4.
The simulated S11 and gain results: (a) S11 reflection coefficients of the three sensor antennas; (b) Gain of the three sensor antennas.
Figure 5.
Simulated electric field distribution of the three sensor antennas: (a) rectangular patch antenna with TM10 mode; (b) circular patch antenna with TM11 mode; (c) equilateral triangular patch antenna with TM10 mode.
An investigation was conducted to examine the effect of placing an alumina foam thermal insulator cover between the sensor antenna and the interrogator antenna, with a fixed distance of 5 cm. Figure 6 illustrates the difference in S11 magnitude with and without the thermal cover. The results show that the S11 magnitude is higher without the thermal cover compared to when the cover is present. This reduction in magnitude is attributed to the re-radiated wave from the patch antenna experiencing reflections as it passes through the thermal insulator cover. These reflections introduce additional losses, leading to a decrease in the observed S11 magnitude []. One approach to mitigate these additional losses is to utilize a low-loss dielectric material for the thermal cover, which would enhance electromagnetic wave transmission while minimizing reflection and absorption for future research directions.
Figure 6.
The observed S11 of backscattering signals with and without thermal cover.
To evaluate the feasibility and reliability of this temperature monitoring system in various practical applications, the S11 magnitude was investigated under different positioning angles of the interrogator antenna, as shown in Figure 7a. The distance between the interrogator and sensor antennas was fixed at 5 cm, while the incident angle of the interrogator antenna varied from 0° to 30° in 10° increments.

Figure 7.
The observed S11 of backscattering signal under various incident angles: (a) measurement setup; (b) rectangular; (c) circular; (d) equilateral triangular.
As illustrated in Figure 7b–d, the maximum S11 magnitude was observed at the 0° incident angle, where the interrogator antenna is directly facing the sensor antenna, achieving optimal polarization matching. At 10° and 20° incident angles, the S11 peak was still detectable, indicating acceptable power transfer. However, at 30°, a significant degradation in S11 magnitude was observed across all three patch shapes, indicating reduced power transfer efficiency and insufficient coupling energy between the interrogator and sensor antennas.
Figure 8 illustrates the maximum communication distance measurements for each sensor antenna. As the distance between the interrogator and sensor antennas increased, the S11 peak magnitude decreased significantly until it became completely damped, indicating the limit of detectable communication. Based on these observations, the maximum communication distance for the equilateral triangular patch antenna was determined to be 16.5 cm, as its S11 peak remains detectable at this range but becomes indistinguishable from background noise at 17 cm. In comparison, the rectangular and circular antennas exhibited maximum communication distances of 15 cm and 14.5 cm, respectively.
Figure 8.
The observed S11 of backscattering signals as the communication distance increases: (a) rectangular; (b) circular; (c) equilateral triangular.
Another observed phenomenon was the resonant frequency shift caused by the increasing distance between the antennas. The rectangular and circular patch antennas exhibited noticeable frequency shifts, highlighting their sensitivity to positional changes. In contrast, the equilateral triangular patch antenna maintained a relatively stable resonant frequency at approximately 2.42 GHz. This stability is attributed to its unique geometric and electromagnetic properties, which improve impedance matching and reduce susceptibility to distance-related variations.
According to the results shown in Figure 9, the S11 magnitude for all antenna shapes fluctuated within the initial temperature range of 25 to 150 °C and decreased steadily as the temperature rises from 200 to 500 °C. Among the designs, the circular patch antenna exhibited the lowest S11 peak, as shown in Figure 9b. Additionally, its backscattering signal became unstable at elevated temperatures, deteriorating significantly as the temperature reached 500 °C. In contrast, the equilateral triangular patch antenna maintained the most stable S11 magnitude across all temperatures, with its resonant frequency shifting from 2.4009 GHz (25 °C) to 2.3396 GHz (500 °C), as shown in Figure 9c. The application of third-order polynomial fitting to the frequency shift data as a function of increasing temperature demonstrates a high degree of accuracy, with an R2 value ranging from 0.98 to 0.99, indicating a strong correlation between temperature variation and frequency response.

Figure 9.
The measured S11 of backscattering signals and the fitted frequency shifts results: (a) rectangular; (b) circular; (c) equilateral triangular.
According to the key performance results summarized in Table 2, the equilateral triangular patch antenna demonstrated superior performance, achieving a maximum communication distance of 16.5 cm and a sensitivity of 0.129 MHz/°C. Among the tested designs, it exhibited the highest simulated gain, resulting in the greatest communication range. Simulation results in Figure 5 showed that the equilateral triangular shape concentrated the electric field more strongly along its edges compared to the other designs. In contrast, the circular patch antenna, lacking sharp edges, displayed a more uniform but weaker electric field distribution. This behavior aligns with the established principle that electric fields tend to concentrate at sharp edges or regions of high curvature, where increased surface charge density generates a stronger electric field []. A stronger electric field enhances the sensor’s ability to efficiently receive coupling energy from the interrogator antenna at its resonant frequency, leading to a more stable antenna backscattering signal that is reflected back to the interrogator antenna.
Table 2.
The comparison of sensor antenna key performances.
While sensitivity variation among the designs was minimal due to the dominant influence of dielectric substrate properties, the choice of substrate material plays a critical role []. However, signal stability under temperature variations was significantly impacted by the antenna shape, with the equilateral triangular design proving to be the most reliable.
6. Conclusions
This study focused on the design and analysis of three patch antenna shapes for wireless passive temperature sensor applications. The process involved theoretical calculations, simulations using HFSS in Ansys Electromagnetic Suite® 2023 R1(Ansys Inc., Canonsburg, PA, USA), and fabrication with an alumina substrate and silver conductive paste. Each sensor dimension was 50 × 50 × 2.45 mm, making it practical for real-world implementation in applications such as industrial furnaces, bearing housings in engines, and nuclear reactors for early safety detection and hardware degradation prevention.
Performance was evaluated through communication distance and sensitivity measurements over a temperature range of 25 to 500 °C, with increments of 50 °C at a fixed distance of 5 cm, which satisfies the far-field condition for both antennas. The equilateral triangular patch antenna demonstrated superior performance, achieving the maximum communication distance of 16.5 cm and a sensitivity of 0.129 MHz/°C. Its sharp edges concentrated the electric field, enabling efficient power transfer from the interrogator antenna, resulting in better stability of the backscattering signal. Additionally, the equilateral triangular antenna achieved the highest simulated gain of 5.84 dBi at 2.4 GHz. In contrast, the circular patch antenna exhibited the weakest performance due to its uniform electric field distribution, leading to reduced backscattering signal strength, particularly in high-temperature environments.
The design of the sensor antenna is critical as it functions as both a sensing and communication component. For sensing, it requires substrate and conductor materials capable of withstanding harsh environments. For communication, the sensor antenna’s frequency must align with the interrogator’s resonant frequency and operate within a narrow bandwidth to lower the uncertainty of measurement, which in turn allows for a wider measurable temperature and maximize gain to ensure reliable wireless communication. A poorly designed antenna can weaken backscattered signals and compromise the sensor’s functionality. Beyond the sensor antenna design, another crucial factor is the selection of the thermal cover material. It is recommended to use a low-loss material to maintain communication efficiency while ensuring low thermal conductivity to provide effective heat isolation. This combination is essential for establishing a safe and reliable temperature monitoring system in harsh environments.
These findings underscore the vital role of antenna design in optimizing wireless passive temperature sensor systems. With its compact size, reliable performance without the need for local power, and simple design and installation, the equilateral triangular sensor antenna is a promising candidate for harsh environment applications. Future improvements could involve manufacturing the interrogator antenna using high-temperature-resistant materials to ensure its reliability in harsh environments, along with a broader bandwidth design to enhance temperature monitoring by capturing a wider range of frequency shifts.
Author Contributions
Conceptualization, T.A. and Y.-T.L.; methodology, T.A.; software, T.A. and Y.-T.L.; validation, Y.-C.C. and C.-C.K.; formal analysis, Y.-C.C. and T.A.; investigation, T.A.; data curation, T.A. and Y.-T.L.; writing—original draft preparation, T.A.; writing—review and editing, T.A., Y.-T.L., Y.-C.C. and C.-C.K.; visualization, T.A.; supervision Y.-C.C. and C.-C.K. All authors have read and agreed to the published version of the manuscript.
Funding
This research was funded by MIRDC (Metals Industry Research and Development Center) of Taiwan (DABET11306).
Institutional Review Board Statement
Not applicable.
Informed Consent Statement
Not applicable.
Data Availability Statement
Data is contained within the article.
Acknowledgments
The authors respectfully thank the Microwave Communication Laboratory at Lunghwa University of Science and Technology for providing the necessary instruments and facilities for this study, as well as MIRDC for sponsoring the study.
Conflicts of Interest
The authors declare no conflicts of interest.
References
- Wang, L.Q.; Chen, G.C.; Gu, L.; Zheng, D.Z. Operating temperature in high-speed ball bearing. Proc. Inst. Mech. Eng. Part C J. Mech. Eng. Sci. 2007, 221, 353–359. [Google Scholar] [CrossRef]
- Song, W.; Tong, J.; Wang, D. SAW Sensor Technology and Its implementation and application in Electric Power Temperature Measurement. In Proceedings of the 2015 International Conference on Automation, Mechanical Control and Computational Engineering, Jinan, China, 24–26 April 2015. [Google Scholar]
- Edmonson, P.J.; Hunt, W.D. Surface Acoustic Wave Sensors: Attributes and Advantages. In Proceedings of the 2004 IEEE Radio and Wireless Conference, Atlanta, GA, USA, 22 September 2004. [Google Scholar]
- Wang, Y.; Tan, Q.; Zhang, L.; Lin, B.; Li, M.; Fan, Z. Wireless Passive LC Temperature and Strain Dual-Parameter Sensor. Micromachines 2020, 12, 34. [Google Scholar] [CrossRef] [PubMed]
- Masud, M.; Vazquez, P.; Rehman, M.R.U.; Elahi, A.; Wijns, W.; Shahzad, A. Measurement Techniques and Challenges of Wireless LC Resonant Sensors: A review. IEEE Access 2023, 11, 95235–95252. [Google Scholar] [CrossRef]
- Li, C.; Tan, Q.; Jia, P.; Zhang, W.; Liu, J.; Xue, C.; Xiong, J. Review of research status and development trends of Wireless Passive LC resonant sensors for harsh environments. Sensors 2015, 15, 13097–13109. [Google Scholar] [CrossRef] [PubMed]
- Cheng, H.; Ebadi, S.; Ren, X.; Gong, X. Wireless passive high-temperature sensor based on multifunctional reflective patch antenna up to 1050 degrees centigrade. Sens. Actuators A Phys. 2015, 222, 204–211. [Google Scholar] [CrossRef]
- Daniel, J.; Nguyen, S.; Chowdhury, M.A.R.; Xu, S.; Xu, C. Temperature and Pressure Wireless Ceramic Sensor (Distance = 0.5 Meter) for Extreme Environment Applications. Sensors 2021, 21, 6648. [Google Scholar] [CrossRef] [PubMed]
- Yan, D.; Yang, Y.; Hong, Y.; Liang, T.; Yao, Z.; Chen, X.; Xiong, J. AlN-Based Ceramic Patch Antenna-Type Wireless Passive High-Temperature Sensor. Micromachines 2017, 8, 301. [Google Scholar] [CrossRef] [PubMed]
- Yan, D.; Yang, Y.; Hong, Y.; Liang, T.; Yao, Z.; Chen, X.; Xiong, J. Low-Cost Wireless Temperature Measurement: Design, Manufacture, and Testing of a PCB-Based Wireless Passive Temperature Sensor. Sensors 2018, 18, 532. [Google Scholar] [CrossRef]
- Dong, H.; Zhen, C.; Li, X.; Pang, J.; Niu, Y.; Tan, Q.; Xiong, J. Design and Testing of Miniaturized Dual-Band Microstrip Antenna Sensor for Wireless Monitoring of High Temperatures. IEEE Sens. J. 2023, 23, 27242–27250. [Google Scholar] [CrossRef]
- Sanders, J.W.; Yao, J.; Huang, H. Microstrip Patch Antenna Temperature Sensor. IEEE Sens. J. 2015, 15, 5312–5319. [Google Scholar] [CrossRef]
- Nikitin, P.V.; Rao, K.V.S. Theory and measurement of backscattering from RFID tags. IEEE Antennas Propag. Mag. 2006, 48, 212–218. [Google Scholar] [CrossRef]
- Singh, B.; Sarwade, N.; Ray, K.P. A 50-X microstrip line fed shorted equilateral triangular microstrip antenna. Microw. Opt. Technol. Lett. 2018, 60, 1219–1222. [Google Scholar] [CrossRef]
- Ludiyati, H.; Prafitri, Y.; Asthan, R.S.; Munir, A. Performance Analysis of Microstrip Circular Patch Antenna Composed of Artificial Dielectric Material. In Proceedings of the 2018 12th International Conference on Telecommunication Systems, Services, and Applications (TSSA), Yogyakarta, Indonesia, 4–5 October 2018. [Google Scholar] [CrossRef]
- Du-Yue, X.; Yi-Chien, C. Study and Application of High Quality Factor Millimeter Wave Dielectric Ceramics; Electrical Engineering Department of Lunghwa University of Science and Technology: Taoyuan City, Taiwan, 2019. [Google Scholar]
- Balanis, C.A. Antenna Theory Analysis and Design, 4th ed.; John Wiley & Sons, Inc.: Hoboken, NJ, USA, 2016. [Google Scholar]
- Pozar, D.M.; Schaubert, D.H. Microstrip Antennas: The Analysis and Design of Microstrip Antennas and Arrays, 1st ed.; Wiley-IEEE Press: Hoboken, NJ, USA, 1995. [Google Scholar]
- Swami, S.; Bhatnagar, S.K.; Vats, A.; Mathur, M. Equilateral Triangular Microstrip Antenna—A New Design Formula Based on Bhatnagar’s Postulate. SKIT Res. J. 2015, 5, 41–42. [Google Scholar]
- Bártík, H. Antenna Measurements Using the Mirror Method with Gating in a Time Domain. Radioengineering 2005, 14, 58–62. [Google Scholar]
- De Souza, F.A.A.; De Siqueira Campos, A.L.P.; Neto, A.G.; Serres, A.J.R.; De Albuquerque, C.C.R. Higher Order Mode Attenuation in Microstrip Patch Antenna with DGS H Filter Specification from 5 to 10 GHz Range. J. Microw. Optoelectron. Electromagn. Appl. 2020, 19, 214–227. [Google Scholar] [CrossRef]
- Zhang, Q.; Zhang, G.; Liu, Z.; Tan, X.; Tang, W.; Yang, H. A new balanced-to-single-ended in-phase filtering power divider based on circular patch resonator with good isolation and wide stopband. Int. J. RF Microw. Comput.-Aided Eng. 2021, 31, e22839. [Google Scholar] [CrossRef]
- Zhu, Y.; Wang, J.; Hong, J.; Chen, J.-X.; Wu, W. Two- and Three-Way Filtering Power Dividers with Harmonic Suppression Using Triangle Patch Resonator. IEEE Trans. Circuits Syst. I Regul. Pap. 2021, 68, 5007–5017. [Google Scholar] [CrossRef]
- Miller, R.; Lau, Y.Y.; Booske, J.H. Electric field distribution on knife-edge field emitters. Appl. Phys. Lett. 2007, 91, 074105. [Google Scholar] [CrossRef]
Disclaimer/Publisher’s Note: The statements, opinions and data contained in all publications are solely those of the individual author(s) and contributor(s) and not of MDPI and/or the editor(s). MDPI and/or the editor(s) disclaim responsibility for any injury to people or property resulting from any ideas, methods, instructions or products referred to in the content. |
© 2025 by the authors. Licensee MDPI, Basel, Switzerland. This article is an open access article distributed under the terms and conditions of the Creative Commons Attribution (CC BY) license (https://creativecommons.org/licenses/by/4.0/).