Next Article in Journal
Numerical Modeling of Bowel Sound Propagation: Impact of Abdominal Tissue Properties
Next Article in Special Issue
Molten Salt Mixtures as an Energy Carrier for Thermochemical Processes of Renewable Gas Production: Review and Perspectives
Previous Article in Journal
Comparative Analysis of AlexNet, ResNet-50, and VGG-19 Performance for Automated Feature Recognition in Pedestrian Crash Diagrams
Previous Article in Special Issue
Bluesil FLD 550 HT Silicone Oil as Heat Transfer Fluid for Power Plant Applications: Thermal Stability Properties
 
 
Font Type:
Arial Georgia Verdana
Font Size:
Aa Aa Aa
Line Spacing:
Column Width:
Background:
Article

Effect of Heterojunction Characteristics and Deep Electronic Levels on the Performance of (Cd,Zn)S/Sb2Se3 Solar Cells

by
Alessio Bosio
1,*,
Stefano Pasini
1,
Donato Spoltore
1,
Gianluca Foti
1,
Antonella Parisini
1,
Maura Pavesi
1,
Samaneh Shapouri
1,2,
Ildikó Cora
3,
Zsolt Fogarassy
3 and
Roberto Fornari
1
1
Department of Mathematical, Physical and Computer Science, University of Parma, 43124 Parma, Italy
2
Atomic and Molecular Group, Physics Department, Tarbiat Modares University, Tehran 14115-175, Iran
3
Institute for Technical Physics and Materials Science, Centre for Energy Research, HUN-REN, H-1525 Budapest, Hungary
*
Author to whom correspondence should be addressed.
Appl. Sci. 2025, 15(6), 2930; https://doi.org/10.3390/app15062930
Submission received: 9 January 2025 / Revised: 28 February 2025 / Accepted: 5 March 2025 / Published: 8 March 2025
(This article belongs to the Special Issue Advanced Solar Energy Materials: Methods and Applications)

Abstract

Antimony selenide (Sb2Se3) is an Earth-abundant and non-toxic material that stands out as a promising absorber for the fabrication of thin film solar cells. Despite significant advancements in recent years, all the devices reported in the literature exhibit open-circuit voltages well below the theoretical value. Identifying the factors contributing to this low voltage is an essential step for increasing the efficiency beyond the recently attained 10% milestone and moving closer to the theoretical limit. In this paper, we present the results of an in-depth analysis of a Sb2Se3 solar cell in the common superstrate configuration. By making use of current density–voltage characteristic as a function of both temperature and wavelength, capacitance–voltage measurements, and admittance spectroscopy, we ascribe the low open-circuit voltage to the presence of a potential barrier within the absorber material near the junction interface Furthermore, it was observed that the junction behavior in the dark and under illumination changes, which is compatible with the presence of deep electronic levels connected with intrinsic point defects.

1. Introduction

Antimony chalcogenides, such as Sb2S3, Sb2Se3, Sb2(S,Se)3 [1], and CuSb2Se3 [2], are gaining attention within the research community as potential and promising absorber materials for thin film solar cells. In particular, antimony selenide (Sb2Se3) exhibits several advantageous characteristics that make it suitable for this role. Sb2Se3 is generally considered to be an indirect bandgap semiconductor. Previous studies have reported an indirect bandgap of approximately 1.04 eV and a direct bandgap of about 1.17 eV at room temperature. Nevertheless, Sb2Se3 exhibits a strong absorption coefficient, which is advantageous for photovoltaic applications. The high absorption coefficient of Sb2Se3, despite its indirect bandgap, can be justified by the following considerations:
  • Quasi-1D Crystal Structure: strong orbital interactions inside the ribbon enhance light absorption.
  • Near-Direct Optical Transitions: a close-to-direct bandgap (~1.1–1.2 eV) boosts absorption.
  • p-d Orbital Hybridization: strong Se 4p–Sb 5s interactions improve optical transitions.
  • Short Exciton Diffusion Length: charges are generated close to where light is absorbed.
  • High Optical Density of States: enhancement of photon absorption [1].
These factors make Sb2Se3 behave more like a quasi-direct bandgap material with an Eg of 1.17 eV [3] that lies within the range for maximum efficiencies in the Shockley–Queisser (SQ) model [4].
Additionally, the innocuous nature and abundance of antimony selenide on the Earth’s crust suggest great potential for commercialization [5,6]. Sb2Se3 has a high absorption coefficient (α > 105 cm−1), which allows for thinner absorber layers; furthermore, the absence of polymorphism and a low melting point (885 K) facilitate efficient synthesis by different deposition techniques, such as Chemical Bath Deposition (CBD), Close-Spaced Sublimation (CSS), Vapor Transport Deposition (VTD), Rapid Thermal Evaporation (RTE), Ion Vapor Deposition (IVD), and Radio-Frequency Magnetron Sputtering (RFMS) [1,7,8]. On the other hand, the deposition of antimony selenide presents challenges, particularly regarding its sensitivity to the substrate [9], its tendency to form defects [10,11], and the occurrence of stoichiometric deviations [12]. These negative issues are reflected in low and highly anisotropic mobility, as well as self-compensation, which constitutes an impediment to extrinsic doping. State-of-the-art devices have partially addressed these challenges by careful control of the preferential orientation [13], band offset tuning [14], passivation of interface defects [15], and reduction of contact barriers [16]. These efforts led to the current record efficiency of 10.57% [17]. Research efforts were especially focused on enhancing Fill Factor (FF) and short-circuit current density (Jsc), which are both now over 70% of their SQ limits. However, no similar progress was achieved in increasing the Voc, which represents a notable problem for further efficiency improvements. Indeed, many reported devices in the literature exhibit a Voc close to 50% of the SQ limit [18]. Understanding the causes behind this Voc deficit is imperative for increasing the efficiency of Sb2Se3 solar cells.
This study employs sputtering and closed-space sublimation (CSS) for thin-film deposition, which offers key advantages over conventional methods. Sputtering, a PVD technique, ensures high film uniformity, precise thickness control, and strong adhesion, making it ideal for depositing high-purity layers. Compared to solution growth methods, it provides superior structural integrity. On the other hand, CSS is a highly efficient method for Sb2Se3 deposition, offering high deposition rates, scalability, and excellent crystallinity. It promotes better grain growth and reduces grain boundary defects, improving charge carrier transport. Moreover, low-temperature CSS is considered a cost-effective and energy-efficient choice for industrial solar cell production.
The ZnO/CdS-(Cd, Zn)S combination in Sb2Se3 solar cells provides key advantages in terms of optical, electrical, and structural properties, ensuring efficient charge transport and stability. ZnO, as an HRL (High Resistive Layer), offers high transparency (~3.3 eV bandgap), high resistivity, which is essential for reducing leakage currents, and strong chemical stability, outperforming alternatives like SnO2 in balancing optical and electrical properties.
Using CdS-(Cd, Zn)S as a buffer layer provides energy gap tuning, low interface defects, and good stability, making it more reliable than alternatives like ZnS or In2S3 and MgZnO despite cadmium toxicity concerns. Overall, ZnO and CdS-(Cd, Zn)S remain technologically viable choices that ensure the efficient charge extraction, scalability, and high performance of Sb2Se3 solar cells.
In this work, different optoelectrical measurements were carried out on Sb2Se3-based solar cells [19,20] to explain some unusual features of the J-V characteristic, namely, the presence of a “kink” and “crossover”. Both features may be justified by the existence of a potential barrier at the interface between the n-type electron transport layer (ETL) and the p-type absorber layer. Capacitance measurements reveal that the positive charge density in the region of the junction follows a linear profile rather than the typical step function. Furthermore, temperature-dependent admittance measurements show the presence of two deep levels, likely connected with intrinsic defects. As a fallout of this comprehensive assessment, we propose a possible path towards the improvement of photovoltage (Voc) and Fill Factor (FF) aimed at pushing up the power conversion efficiency (PCE) of Sb2Se3-based solar cells.

2. Experimental Section

Solar cells were fabricated in a superstrate configuration (Figure 1a), with ITO and ZnO as the front contact. CdS and Cd0.85Zn0.15S ((Cd,Zn)S) serve as the ETLs and, right after, antimony selenide (Sb2Se3) was deposited by Close-Spaced Sublimation (CSS) (details on growth parameters and technical specifications can be found in previous publications [9,20]). The back contact was an amorphous thin film composed of iron, sulfur, and oxygen; we refer to this layer as Fe-S-O, and it was coated by an Au layer. All layers, except Sb2Se3, were deposited using either r.f. magnetron sputtering (ZnO, CdS, (Cd,Zn)S) or d.c. magnetron sputtering (ITO, Fe-S-O, Au). The current–voltage (J-V) characteristics of the solar cells were assessed using a continuous LOT-Oriel solar simulator (Oriel, Irvine, CA, USA) equipped with an air mass AM1.5G filter. The simulator was equipped with a 600 W Xenon lamp (Oriel, Irvine, CA, USA) that gives a 1 kW/m2 light power density. To ensure accuracy, a calibrated pyranometer served as a reference, and the measurements were conducted at the standard temperature of 298 K. For the intensity-dependent current–voltage measurements, neutral density optical filters with optical densities (OD) of 3, 2, 1.3, 1, and 0.3 were employed.
J-V curves were taken under illumination, using a KEITHLEY 2400 (Keithley, Solon, OH, USA) source meter, between 233 K and 353 K in steps of 20 K. The antimony selenide-based solar cell was placed inside a thermostatic chamber and illuminated through an optical fiber coupled with a Linos photonics LQX 1000 lamp (Qioptiq Photonics, Gottingen, De). To achieve illumination in different spectral ranges, a combination of band-pass optical filters in the range from 1000 nm to 500 nm was employed.
Capacitance–voltage (CV) measurements in the dark and at room temperature (RT) were carried out with a Keithley 4200-SCS semiconductor characterization system, selecting the highest available frequency (10 MHz) to limit the contribution of deep levels to the capacitance while varying the applied reverse bias within the range of from 0.4 V to 2 V. For admittance spectroscopy, experiments were carried out in the dark and under light using a Hewlett Packard 4284A (Hewlett Packard Enterprise, Palo Alto, CA, USA) PRECISION LCR METER by varying the frequency between 100 Hz and 1 MHz, and the temperature in the range 273 K–353 K.
To determine the energy gap of CdS and (Cd,Zn)S, UV–vis absorption measurements were acquired with a Varian 2390 UV-VIS-NIR (Varian Inc., Palo Alto, CA, USA) in the range between 300 nm and 1500 nm using a transmission configuration.
The (scanning) transmission electron microscopy ((S)TEM) investigations were carried out in an aberration-corrected Titan Themis G2 200-type microscope ((Thermo Fisher Scientific, Waltham, MA, USA)) operating at 200 keV equipped with an X-FEG gun, a 4 k × 4 k CETA 16 CMOS camera (ThermoFisher Scientific), and a HAADF detector (E.A. Fischione Instruments (Fischione Instruments, Inc., PA, USA)). For the energy dispersive X-ray (EDX) mapping, a Super-X detector was used. The cross-sectional TEM samples were prepared by focused ion beam (FIB) technique using a ThermoFisher Scios 2 Dual Beam microscope with EasyLiftTM nanomanipulator. The TEM lamella was immediately moved to the TEM after preparation in FIB in order to reduce the contamination with air. After the TEM experiments, the lamella was stored in a vacuum.

3. Results and Discussion

3.1. The Sb2Se3 Solar Cell

Figure 1a illustrates a non-scaled diagram of the structures of the Cd0.85Zn0.15S/Sb2Se3-based solar cell. The key photovoltaic parameters, extracted from the J-V characteristic presented in Figure 1b, are reported in Table 1.
To evaluate the series resistance (Rs) and the ideality factor (n) of the solar cell, a manipulation of the J-V expression, neglecting the saturation current and supposing Rs << Rsh, yields the following [14]:
d V d J = n K T q ( J + J p h ) 1 + R S
Here, n represents the diode ideality factor and Jph is the current attributed to the photogenerated carriers, which can be approximated by the short-circuit current Jsc.
From the plot in Figure 2a, it is possible to extract the series resistance RS while, from the plot of dJ/dV in Figure 2b, one can obtain the shunt resistance Rsh (both values reported in Table 1) once the value of RS is known from the fit of Figure 2a [21].
d J d V = q J 0 n K T e [ q ( V J R S ) n K T ] + 1 R s h
For the subsequent analysis of the cell properties, it is important to note that the interface between the p-type Sb2Se3 and the n-type (Cd,Zn)S region is not sharp but rather graded due to layer intermixing, which helps minimize the lattice mismatch between the two materials. According to relation (3), the lattice mismatch (δ) between Sb2Se3 and Zn0.15Cd0.85S is indeed large [22]:
δ ( % ) = 2 | a ( Cd , Zn ) S b S b 2 S e 3 | a ( Cd , Zn ) S + b S b 2 S e 3 100 = 2.63 %
The lattice parameters of (Cd,Zn)S and Sb2Se3 are denoted as a ( Cd , Zn ) S and b S b 2 S e 3 , respectively.
The lattice parameter of (Cd,Zn)S (with 15% atomic concentration of Zn) is estimated using Vegard law [23,24] with a C d S = 4.14   Å and a Z n S = 3.82   Å [25,26].
a Z n 0.15 C d 0.85 S = 0.15 a Z n S + 0.85 a C d S = 4.092 Å
The lattice parameter of Sb2Se3 to be considered is b S b 2 S e 3 = 3.9858 Å, as for our growth conditions the Sb2Se3 preferential orientation is [001] direction, i.e., parallel to the growth axis [9].
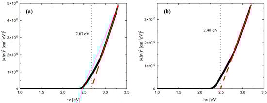
The nominal concentration of 15 at% Zn inside the CdS crystal structure was confirmed by taking the Eg of (Cd,Zn)S (2.67 ± 0.01 eV) and CdS (2.48 ± 0.01 eV) from a Tauc plot (see Figure 3). With the assumption that the energy gap varies linearly with the Zn concentration between the Eg of CdS (0%) and that of ZnS (100%), and taking the Eg of ZnS = 3.6 eV [27], we estimated the at% of Zn in CdS to be (17 ± 2)%, which is consistent with the present 15 at% value.
A lattice mismatch exceeding 1% normally introduces a significant density of crystallographic defects at the interface, which provides energy levels acting as recombination centers. This well-known fact limits the number of photocarriers that actually reach the device electrodes. Such a phenomenon was previously observed in CdS/CdTe-based solar cells and pre-vented the formation of an adapting layer [28], which gradually reduced the effective mismatch. Similarly, in antimony selenide-based solar cells, the introduction of such an adapting layer proved to be essential to circumvent the lattice mismatch issue.
The introduction of (Cd,Zn)S at the junction, besides decreasing the lattice mismatch, has two further advantages. First, as previously shown [9], the introduction of a Zn0.15Cd0.85S layer allows the growth of antimony selenide with preferential grain growth orientation along the [001] direction. Second, as demonstrated in ref. [14], a zinc concentration ranging from 15 at% to 20 at% within CdS enables the achievement of a spike-like type conduction band offset (CBO) at the interface with Sb2Se3, which is sufficiently small so as to not induce significant effects on the photovoltaic parameters of the cell.
The hypothesis regarding the existence of the intermixing layer between (Cd,Zn)S and Sb2Se3, based on the experience with the CdS/CdTe system, has been experimentally verified using HRTEM and EDS measurements in cross-section on the complete Sb2Se3-based cell. Figure 4b shows the EDS spectrum related to the cross-section highlighted in Figure 4a.
In Figure 4c–e,h, an interdiffusion of selenium and antimony atoms into the sulfide layer is observed, which forms an adaptive layer with an estimated thickness of about 20 nm in accordance with the EDS profile spectrum depicted in Figure 4b. The interdiffusion of Se and Sb into the sulfide layer occurs during the CSS deposition of Sb2Se3 at temperatures between 350 and 400 °C. This temperature range is sufficient to promote diffusion at the (Cd, Zn)S/Sb2Se3 interface, leading to the formation of an intermixing layer [29]. The observed interdiffusion is uniquely produced during the CSS growth as no additional heating is applied after deposition. Additionally, a non-negligible amount of oxygen (10 to 20 at%) seems present outside the ZnO layer, including in the Sb2Se3 layer. This amount cannot be explained by assuming the presence of oxygen during deposition since the starting vacuum of all the different deposition processes is less than 10−6 mbar, and the oxygen presence has been shown to be undetectable with an oxygen vapor pressure that is more than one order of magnitude greater [30]. A hypothesis regarding this anomalous experimental result is that the cross-sectional ca. 30 nm thin TEM lamella with a large free surface tends to oxidize during sample transfer, and, thus, the oxygen is not actually present in the subsequent layers, especially not in the Sb2Se3. After the TEM investigation, we put the samples into a vacuum (10−6 mbar); however, the measured amount of oxygen was 1.5 times higher on the second day due to the double transfer that exposed the sample to contamination by air.
TEM measurements on the Sb2Se3 do not show any spurious secondary phases of antimony oxides in accordance with the results obtained in Figure 5.

3.2. Kink Effect in the J-V Characteristic

As clearly shown in Figure 1b, the current–density characteristic for the polycrystalline Sb2Se3-based solar cell exhibits different behavior in the dark and under illumination. Specifically, under illumination, a kink is observed at high voltages in the first quadrant of the forward J-V characteristic. This behavior is attributed to the presence of an energy barrier within the absorber layer, which can be explained by the two-diode model in series configuration (Figure 6a) [31,32]. In the first quadrant of the J-V characteristic, the main junction barrier is completely flattened by the voltage applied to the contacts. In this situation, holes must exit from the negative pole and electrons from the positive pole, contrary to what happens in the fourth quadrant, where the built-in electric field of the junction pushes the photogenerated carriers in the opposite direction.
In the case of the (Cd,Zn)S/Sb2Se3 junction, for a forward bias above Voc, this is certainly true for electrons, but holes tend to accumulate at the interface of the p-side of the junction. This accumulation is a result of the potential step caused by the offset between the valence bands of (Cd,Zn)S and Sb2Se3 (see Figure 7).
These materials possess quite different band gaps, and the low conduction band offset (CBO) leads to a big cliff-like discontinuity in the valence band, even under the conditions of the first quadrant of the J-V characteristic, as explained in [33]. Therefore, a fraction of the holes, partly photogenerated and partly injected, are trapped in the Sb2Se3 layer near the interface with (Cd,Zn)S. The trapped holes, unable to move freely, promote recombination with electrons, causing a noticeable decrease in current, which is seen as a kink in the J-V characteristic.
In the dark, the phenomenon is much less evident, as the resistance offered by the materials only allows the flow of a weaker current and, accordingly, the number of trapped holes is also lower.
To determine the barrier height, we performed temperature-dependent J-V characteristics at different temperatures, and we assumed that the barrier height as a function of the temperature follows a thermally activated behavior, as reported in ref. [34]:
R S T = C   e Φ B K T
where RS is the total resistance comprising the resistance due to the materials constituting the solar cell, the resistances arising from contacts R0, and the resistance of the additional barrier DB (see Figure 6a). C is a constant independent of the temperature T, and ΦB is the barrier height. If R0 is sufficiently small compared to the barrier resistance, and, therefore, negligible, then the temperature dependence of Rs is primarily attributed to DB, which is the circuital representation of the barrier due to charge trapping.
The total series resistance (Rs) was determined by linearly fitting the J-V characteristics, at different temperatures, around Voc. The inverse of the fitting slope represents the value of Rs. The barrier height was estimated to be 306 ± 9 meV from the slope of ln(RsT) vs. 1/T (Figure 8a) [35,36,37]. As reported in Figure 6b, the barrier height varies with the wavelength of the incident light. This happens because the penetration length depends on the wavelength and so does the thickness of the material where the photogenerated holes pile up [38]. This experimental fact may be appreciated from Figure 8b, where the barrier height is plotted as a function of the light penetration depth (remembering that approximately 82% of light is absorbed within a thickness of two penetration lengths, according to the Beer–Lambert–Bouguer law).
This result has two consequences: first, it completely rules out the dependence of the kink on potential barriers at the contacts, and, second, it shows that the barrier, due to trapped holes, is at its maximum at the junction region near the interface and then decreases into the p-type material.

3.3. Crossover Effect in the J-V Characteristic

From Figure 1b, it is evident that the J-V characteristic under light is not a simple translation of the dark J-V characteristic, as in an ideal junction. The two characteristics show a crossover, indicating a potential-dependent photocurrent [39,40,41]. It is typically assumed that the photogenerated current primarily depends on the intensity of incident light, with only a minor dependence on the voltage V. However, in this case, the dependence on V is not sufficiently weak to be disregarded. Consequently, we can describe the current flowing in the solar cell as follows (superposition principle) [33]:
J L ( V , g ) = J D s c ( V , g ) + J p h ( V , g )
where JL(V,g) is the total flowing current, JDSC(V,g) is the current flowing in the diode (p-n junction), and Jph(V,g) is the current generated by light. Here, V is the applied bias and g is the photocarrier generation rate. The net current of the diode without the contribution of light-induced generation can be expressed, considering the dark current, as follows:
J D s c ( V , g ) = J j ( V , g ) J d a r k
Here, Jj(V,g) represents the injection current of the diode, and Jdark is the current of the unilluminated diode, which, being minimally dependent on the potential, can be considered as constant. Consequently, the difference between JL(V,g) and Jdark can give some information about the crossover:
Δ = J L ( V , g ) J d a r k = [ J j ( V , g ) J d a r k ] + { J p h ( V , g ) J d a r k }
From the first term (in square brackets) on the right-hand side of Equation (8), we can infer that, if the current injected by the junction also depends on the illumination, then, in Δ, this term predominates, and the crossover essentially depends on this. On the contrary, if photogeneration depends on the potential, then the second term (curly brackets) predominates. The difference ∆ has a trade-off at the point Vx. In our Sb2Se3-based cell, the p-n junction can be considered as a hole-blocking heterojunction, attributed to the electron affinity of the n-type layer ((Cd,Zn)S) and the doping level of the p-type layer (Sb2Se3). As mentioned earlier, this implies an accumulation of positive charge in the p-type region of the junction and, consequently, (Jj(V,g) − Jdark) > 0. This remains valid even when considering the intermixing layer, which reduces the lattice mismatch but does not fully adapt the offset in the valence bands between (Cd,Zn)S and Sb2Se3. Concerning the presence of the crossover, there are, however, two more questions to be discussed. First, it should be considered that the potential we observe at the contacts is not the built-in potential Vbi but rather the potential that drops on the resistances of materials and contacts. We can denote this potential as Vbi,c to indicate that it is the potential observed at the contacts.
Secondly, as mentioned earlier, we need to consider that, in the (Cd,Zn)S/Sb2Se3 cell under moderate forward bias, only electrons can flow through the p-type contact, while holes are partially blocked by the barrier between the valence band of (Cd,Zn)S and Sb2Se3. The photocurrent is, therefore, voltage-dependent but cannot become zero until all electrons and holes have reached their respective contacts. Nevertheless, the presence of positive charge accumulation in the junction region under light implies a change in the internal electric fields. This, in turn, means that the diode current becomes dependent on the light-induced generation of charge carriers. This influences the point where the photocurrent and the dark current intersect. Two cases can be distinguished:
  • In the case where the doping density within the CdS + (Cd,Zn)S layer is quite low, in the order of 1013 cm−3, the electric field primarily drops in the n-type region and the p-type region will be only slightly depleted. In this region, there will be a relatively small accumulation of photogenerated positive charges. Therefore, a higher potential will be required to reach the crossover voltage, which is typically greater than Vbi,c.
  • In contrast, when the n-type region of the junction is more heavily doped than the p-type region, the latter experiences greater depletion. This results in a more pronounced bending of the energy bands in this region. Consequently, there is an increased accumulation of positive charges in this area, leading to a crossover point that is lower than Vbi,c.
To understand which of the two situations we are in, we need to assess how much Vbi,c depends on the series resistances of the device.
Considering the series resistance values of our solar cell (RS ≈ 3.6 Ω ∙ cm2), the relative voltage drop (J∙RS) across the materials is not significant, especially when the current density is very low, i.e., the voltage is close to Voc and/or the crossover point Vx. Therefore, Vbi,c is approximately equal to Vbi.
In summary, the condition where Vx < Vbi arises because of the higher doping level in Sb2Se3 compared to (Cd,Zn)S. It is now necessary to address the question of how Vx is influenced by light (generation). The variation of Vx and Voc as a function of the wavelength of the incident light has been illustrated in Figure 9a. Measurements were conducted using bandpass filters centered at wavelengths of 650 nm, 750 nm, 850 nm, and 950 nm. The Vx and Voc values were then extracted from the standardized JV curves normalized for an equal number of absorbed photons.
The graph (Figure 9a) indicates that Vx is always slightly higher than Voc, aligning with the definition of Vx. However, the difference between Vx and Voc seems to widen as the wavelength decreases (Figure 9b). Considering the penetration depth of the light into the Sb2Se3 layer, carriers generated by a longer wavelength must cover a greater distance to reach the electrodes (Figure 8b), amplifying the impact of recombination effects. This phenomenon results in a diminished photovoltage. The graph in Figure 9a shows a non-uniform dependency of Vx on light generation.
The accumulation of photogenerated charges at the junction varies with the wavelength of the absorbed light. Holes generated by short-wavelength light are near the junction, allowing for more effective accumulation compared to holes generated farther away by long-wavelength light. Explaining this analytically is challenging, but the observed trend as a function of absorbed light aligns with what is depicted in Figure 9a,b. Additionally, the slight increase in Vx values compared to Voc supports the accuracy of the Voc ≤ Vx ≤ Vbi relationship.

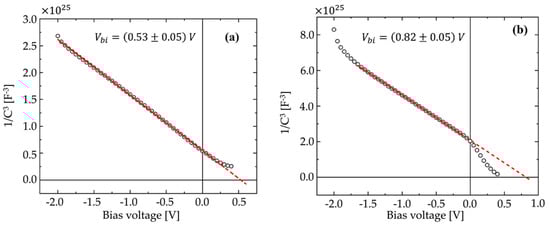
3.4. Capacitance–Voltage Characterization

Capacitance–voltage measurements, in the dark and under light, were performed to obtain the built-in potential and the behavior of the spatial charge density. The capacitance of the p-n junction can be expressed for any diode as follows [42]:
C = c o n s t a n t · ( 1 + V V b i ) β
Here, C represents the capacitance of the junction, V denotes the reverse bias, Vbi stands for the barrier potential, and β is a coefficient accounting for the dependency of C on the reverse bias V. For an ideal junction with an abrupt charge density step profile, β = 1/2. β can be determined from the slope of the linear fit of ln(C) vs. ln(V) in dark and light condition (see Figure 10). This procedure enables the determination of the spatial distribution of a space charge within the junction region. The values of β result in 1 2.94 and 1 3.06 in dark conditions and under light, respectively. Both values are very close to 1 3 and suggest a linear dependence of C3 vs. V, which corresponds to a linear dependence of the space charge density within the space charge region, according to the C-V theory for a linearly graded junction reported in [43,44].
The relationship between depletion region capacitance and applied voltage is thus as follows:
1 C 3 = 12 ( V b i V ) q ( δ ρ ) A 3 ( ϵ 0 ϵ ) 2
where V represents the applied voltage, Vbi is the built-in potential, q is the electron charge, ( δ ρ ) indicates the impurity gradient expressed in cm−4, A denotes the active area of the diode, ϵ is the relative dielectric constant (assumed to be 15.1 [45,46]), and ϵ₀ represents the vacuum dielectric constant. Equation (10) is indeed confirmed by the plot in Figure 11 that reports the plot of 1/C3 vs. applied bias, and the linear fit in the negative bias region can be used to determine the built-in potential from the intercept with the V-axis. Vbi was found to be (0.53 ± 0.05) V and (0.82 ± 0.05) V under light and dark conditions, respectively [35,36,37]. The result reveals a higher built-in potential in dark conditions compared to that under light. This discrepancy contradicts classical theory, as these two values are expected to be equal and suggest the presence of an illumination-linked potential. Indeed, when we consider the height (0.3 V) of the barrier attributed to the hole-blocking heterojunction and add it to Vbi under illumination (0.53 V), we obtain a value very close to the Vbi (0.83 V) in the dark. This confirms that the first term on the left side of Equation (8) is significantly influenced by g, the photocarrier generation rate, as corroborated by the presence of the crossover discussed above.

3.5. Deep Levels

In the dark, the plot of the J-V curve on a log–log graph exhibits three distinct linear regions [47,48,49,50]:
  • Ohmic region ( J V );
  • Trap-filling-limit region ( J V n > 2 );
  • Child region ( J V 2 ).
In the presence of traps, increasing the applied voltage results in an increased injected current, which will fill empty traps. The trap density ( N t ) can be determined from the trap-filling-limit (Vtfl) voltage, which is the intersection between the linear fits of the ohmic and trap-filling-limit regions of Figure 12. Once the intersection is known, the trap density can be calculated from the following relation [21,51]:
N t = 2 ϵ ϵ 0 V t f l q L 2
where ε is the relative dielectric constant (assumed equal to 15.1 [45,46]), ε0 is the vacuum dielectric constant, q is the electron charge, and L is the antimony selenide thickness [52].
With an estimated trap density of Nt ≈ 1.1 ∙ 1013 cm-3, it can be then assumed that all traps in the Child region are filled.
Consequently, the relationship governing the current–voltage trend in this region follows the Mott–Gurney law [48].
J C = 9 8 ϵ ϵ 0 μ h V C V b i L 3
Here, JC and VC are the values at the intercept between the linear fits of trap-filling-limit and Child regions. Vbi is the built-in voltage in the dark, and µh denotes the hole mobility. Solving Equation (12) yields µh ≈ 8.9 cm2 V−1 s−1.
Utilizing the resistivity measured in our previous work for antimony selenide in the dark [9], and applying the well-known relationship, we obtain the following:
σ = 1 ρ = q p μ
A free hole density p of 1.4 × 1014 cm−3 is obtained. The difference of just one order of magnitude between the free hole density and the density of traps may explain the rather low performances of the solar cell.
To assess the energy position of the traps, admittance spectroscopy measurements in the dark and under illumination at steps of 20 K from 193 K to 353 K were carried out. Notably, the curves at the lowest temperatures exhibit an inflection point for the capacitance at high frequency, which again confirms the presence of deep traps [53] as shown in Figure 13.
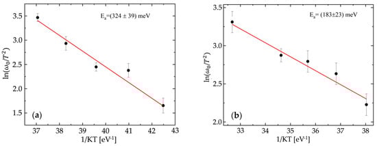
By evaluating the frequency ω0 at which the inflection points occur and considering the following relationship [54]:
ω 0 T 2 = 2 ξ 0 exp ( E a K T )
the activation energy of the deep levels can be determined, as shown in Figure 14.
Two deep levels acting as traps were identified at (183 ± 23) meV and (324 ± 39) meV in the dark and under light, respectively. It is important to note that this is only an estimate since the C-ω curves were obtained at relatively large d-factor values and that, with this procedure, it is not possible to determine the exact position of these traps, whether in the p-type or the n-type region. Anyway, from the curves shown in Figure 13 and Figure 14, we can deduce that these energies represent the limits of a narrow energy band corresponding to a distribution of traps. This conclusion is supported by the absence of an evident inflection in each curve, as the decrease in capacitance is not sharp, which points to the overlapping effects of multiple trap levels close in energy. This band of traps may explain why two different energy levels show up in the dark or under light (Figure 14). This phenomenon can be explained by the band bending occurring at the intermixing layer between (Cd,Zn)S and Sb2Se3. Indeed, because of the extended trap levels and the variable Fermi and quasi-Fermi levels in the dark and after illumination, only energy-related fractions of the traps will be filled. The literature [55] reports numerous levels within the Sb2Se3 energy gap; most of them are categorized as deep donors, with only a few classified as acceptor-like defects. Among these, the antimony vacancy (VSb) corresponds to an energy level located at 180 meV above the top of the valence band [55,56], which is consistent with the lower extreme of the trap band detected by admittance measurements (Figure 13 and Figure 14). If VSb [55,56] is the actual point defect acting as a trap then one is led to conclude that the trap band is localized in the Sb2Se3 layer.
Preventing defects can reduce recombination, leading to a higher open-circuit voltage (Voc) and fill factor (FF), while minimizing the lattice mismatch improves carrier transport and short-circuit current density (Jsc). Based on trends in similar thin-film technologies, efficiency gains of 20–30% are expected with effective defect passivation and optimized interfaces.

4. Conclusions

This study aims to improve the efficiency of Sb2Se3-based solar cells by optimizing DC/RF sputtering for the ZnO/CdS-(Cd,Zn)S and back-contact layers, along with the CSS for Sb2Se3, in order to improve film quality, interface engineering, and defect reduction. Compared to other Sb2Se3 studies, this approach offers significant advantages. Unlike chemical bath deposition, electrodeposition, hydrothermal deposition, and thermal evaporation, it ensures superior crystallinity, lower defect density, and improved charge transport. When considering alternative absorbers, like CdTe, CIGS, and perovskites, Sb2Se3 stands out for its earth abundance, non-toxicity, and long-term stability. Although CdTe and CIGS offer higher efficiencies, they face material scarcity and toxicity concerns, while perovskites suffer from stability issues, particularly under prolonged exposure to moisture and heat, which hinder their large-scale deployment. Despite the actual lower efficiencies (~10–11%) of Sb2Se3, advancements in passivation and heterojunction engineering can bridge this gap. This work contributes to the field by proposing novel scalable, reproducible deposition methods, implementing defect passivation strategies, and demonstrating industrial viability. With continued progress, Sb2Se3 solar cells can achieve higher efficiencies and become a commercially viable and sustainable thin-film photovoltaic technology.
In particular, we discussed the non-standard J-V characteristic of (Cd,Zn)S/Sb2Se3 heterojunctions, particularly focusing on features such as kink, crossover, and photovoltage losses. The presence of a kink can be attributed to the accumulation of positive charges in the junction region, arising from a non-perfect alignment of the energy bands with the (Cd,Zn)S. On the other hand, the occurrence of a crossover is likely due to a small built-in voltage resulting from the limited density of holes in Sb2Se3. Capacitance measurements suggest that the (Cd,Zn)S/Sb2Se3 junction is not sharp but rather presents a linear charge distribution. Two deep levels sensitive to illumination conditions were identified through admittance measurements, and there are indications that VSb is involved as one of the traps.
Higher power conversion efficiencies in Sb2Se3-based solar cells can be expected by properly addressing some major issues:
  • Given the imperfect alignment of the energy bands with (Cd,Zn)S, it is imperative to explore alternative n-type partners, such as Zn(S,O), TiO2, MgO2, Cd2Sn04, and others, in an attempt to minimize the interface barrier. A possible benefit of such attempts could be the substitution of cadmium-based semiconductors with environment-friendly materials and, at the same time, enhanced transparency in the ETL.
  • Replacing cadmium-based materials in Sb2Se3 solar cells offers significant environmental benefits by reducing toxicity and minimizing contamination risksEliminating cadmium simplifies manufacturing, enhances worker safety, and facilitates recycling by avoiding hazardous waste management. Alternative materials, such as Zn(O,S), ZnMgO, or low-Cd (Cd, Zn)S, can provide suitable band alignment while reducing environmental impact, though interface engineering remains crucial to maintaining performance. As sustainability becomes a key factor in solar energy adoption, cadmium-free Sb2Se3 solar cells align with stricter environmental policies and market demands, enhancing their long-term commercial viability.
  • The correlation between the deep levels and intrinsic defects offers the opportunity to adjust the Sb2Se3 growth parameters and post-deposition treatments. This adjustment aims to minimize or eliminate intrinsic defects responsible for the formation of deep levels. Preventing deep levels acting as traps for charge carriers would enhance free charge accumulation in the junction region, thereby improving the built-in potential, photovoltage, and photocurrent.
It is crucial to carefully consider the lattice mismatch between the ETL layer and Sb2Se3 to mitigate the formation of the interfacial states responsible for recombination centers. These recombination centers can significantly reduce the internal quantum efficiency, leading to adverse effects on photovoltaic conversion efficiency.
The insights gained in this study can help to improve the efficiency of Sb2Se3-based solar cells, stimulate a broader research effort, and attract commercial attention.
Indeed, the transition from laboratory-scale to industrial applications for Sb2Se3-based solar cells using DC/RF sputtering and close-spaced sublimation (CSS) involves key considerations for scalability, cost-effectiveness, device stability, and compatibility with existing production infrastructure.
Low-temperature sputtering and CSS are scalable techniques with low energy consumption and high deposition rates, making them suitable and cost-effective for large-area solar cell production.
Reducing deep-level defects and lattice mismatches is crucial for ensuring long-term device performance and stability. The techniques are compatible with existing solar cell production lines, hence reducing initial investment and speeding up commercialization.
Efficiency improvements and optimization will help Sb2Se3-based solar cells compete with CdTe and CIGS. In summary, Sb2Se3-based solar cells have strong potential to become commercial players.

Author Contributions

A.B., G.F., S.P. and D.S. wrote the original draft of this manuscript; A.B., A.P., D.S., S.S., M.P. and R.F. revised and confirmed the manuscript, A.B. offered financial support. I.C. did the TEM measurements and evaluation of data. Z.F. contributed to the EDS evaluation. All authors have read and agreed to the published version of the manuscript.

Funding

This research was funded by the National Recovery and Resilience Plan (NRRP), Mission 4 Component 2 Investment 1.5—Call for tender No. 3277 of 30/12/2021 of the Italian Ministry of University and Research funded by the European Union—NextGenerationEU. Award Number: Project code ECS00000033, Concession Decree No. 1052 of 23/06/2022 adopted by the Italian Ministry of University and Research, CUP D93C22000460001, “Ecosystem for Sustainable Transition in Emilia-Romagna” (Ecosister). The Hungarian authors thank the VEKOP-2.3.3-15-2016-00002 of the European Structural and Investment Funds for their support and also wish to thank the Ministry of Innovation and Technology of Hungary from the National Research, Development and Innovation Fund, financed under the TKP2021 funding scheme, grant number TKP2021-NVA-03. I.C. thanks the János Bolyai Research Scholarship of the Hungarian Academy of Sciences for their support. The authors gratefully thank Noémi Szász for the TEM sample preparations.

Institutional Review Board Statement

Not applicable.

Informed Consent Statement

Not applicable.

Data Availability Statement

Data will be made available on request.

Acknowledgments

We would like to thank Andrea Baraldi of the University of Parma for his support in the optical measurements of the layers used for this study.

Conflicts of Interest

The authors declare no conflicts of interest.

References

  1. Bosio, A.; Foti, G.; Pasini, S.; Spoltore, D. A Review on the Fundamental Properties of Sb2Se3-Based Thin Film Solar Cells. Energies 2023, 16, 6862. [Google Scholar] [CrossRef]
  2. Abouabassi, K.; Sala, A.; Atourki, L.; Soussi, A.; Elfanaoui, A.; Kirou, H.; Hssi, A.A.; Bouabid, K.; Gilioli, E.; Ihlal, A. Electrodeposited CuSbSe2 thin films based solar cells on various substrates. J. Nanoparticle Res. 2022, 24, 221. [Google Scholar] [CrossRef]
  3. Chen, C.; Li, W.; Zhou, Y.; Chen, C.; Luo, M.; Liu, X.; Zeng, K.; Yang, B.; Zhang, C.; Han, J.; et al. Optical properties of amorphous and polycrystalline Sb2Se3 thin films prepared by thermal evaporation. Appl. Phys. Lett. 2015, 107, 043905. [Google Scholar] [CrossRef]
  4. Kirchartz, T.; Rau, U. What Makes a Good Solar Cell? Adv. Energy Mater. 2018, 8, 201703385. [Google Scholar] [CrossRef]
  5. Khadir, A. Performance investigation of Sb2S3 and Sb2Se3 earth abundant based thin film solar cells. Opt. Mater. 2022, 127, 112281. [Google Scholar] [CrossRef]
  6. Basak, A.; Singh, U.P. Numerical modelling and analysis of earth abundant Sb2S3 and Sb2Se3 based solar cells using SCAPS-1D. Sol. Energy Mater. Sol. Cells 2021, 230, 111184. [Google Scholar] [CrossRef]
  7. Zeng, K.; Xue, D.-J.; Tang, J. Antimony selenide thin-film solar cells. Semicond. Sci. Technol. 2016, 31, 063001. [Google Scholar] [CrossRef]
  8. Mavlonov, A.; Razykov, T.; Raziq, F.; Gan, J.; Chantana, J.; Kawano, Y.; Nishimura, T.; Wei, H.; Zakutayev, A.; Minemoto, T.; et al. A review of Sb2Se3 photovoltaic absorber materials and thin-film solar cells. Sol. Energy 2020, 201, 227–246. [Google Scholar] [CrossRef]
  9. Pasini, S.; Spoltore, D.; Parisini, A.; Foti, G.; Marchionna, S.; Vantaggio, S.; Fornari, R.; Bosio, A. Sb2Se3 Polycrystalline Thin Films Grown on Different Window Layers. Coatings 2023, 13, 338. [Google Scholar] [CrossRef]
  10. Hu, X.; Tao, J.; Weng, G.; Jiang, J.; Chen, S.; Zhu, Z.; Chu, J. Investigation of electrically-active defects in Sb2Se3 thin-film solar cells with up to 5.91% efficiency via admittance spectroscopy. Sol. Energy Mater. Sol. Cells 2018, 186, 324–329. [Google Scholar] [CrossRef]
  11. Savory, C.N.; Scanlon, D.O. The complex defect chemistry of antimony selenide. J. Mater. Chem. A 2019, 7, 10739–10744. [Google Scholar] [CrossRef]
  12. Huang, M.; Cai, Z.; Wang, S.; Gong, X.; Wei, S.; Chen, S. More Se Vacancies in Sb2Se3 under Se-Rich Conditions: An Abnormal Behavior Induced by Defect-Correlation in Compensated Compound Semiconductors. Small 2021, 17, 2102429. [Google Scholar] [CrossRef] [PubMed]
  13. Krautmann, R.; Spalatu, N.; Gunder, R.; Abou-Ras, D.; Unold, T.; Schorr, S.; Krunks, M.; Acik, I.O. Analysis of grain orientation and defects in Sb2Se3 solar cells fabricated by close-spaced sublimation. Sol. Energy 2021, 225, 494–500. [Google Scholar] [CrossRef]
  14. Li, G.; Li, Z.; Liang, X.; Guo, C.; Shen, K.; Mai, Y. Improvement in Sb2Se3 Solar Cell Efficiency through Band Alignment Engineering at the Buffer/Absorber Interface. ACS Appl. Mater. Interfaces 2019, 11, 828–834. [Google Scholar] [CrossRef]
  15. Rijal, S.; Li, D.; Awni, R.A.; Xiao, C.; Bista, S.S.; Jamarkattel, M.K.; Heben, M.J.; Jiang, C.; Al-Jassim, M.; Song, Z.; et al. Templated Growth and Passivation of Vertically Oriented Antimony Selenide Thin Films for High-Efficiency Solar Cells in Substrate Configuration. Adv. Funct. Mater. 2022, 32, 2110032. [Google Scholar] [CrossRef]
  16. Zhang, J.; Kondrotas, R.; Lu, S.; Wang, C.; Chen, C.; Tang, J. Alternative back contacts for Sb2Se3 solar cells. Sol. Energy 2019, 182, 96–101. [Google Scholar] [CrossRef]
  17. Zhao, Y.; Wang, S.; Li, C.; Che, B.; Chen, X.; Chen, H.; Tang, R.; Wang, X.; Chen, G.; Wang, T.; et al. Regulating deposition kinetics via a novel additive-assisted chemical bath deposition technology enables fabrication of 10.57%-efficiency Sb2Se3 solar cells. Energy Environ. Sci. 2022, 15, 5118–5128. [Google Scholar] [CrossRef]
  18. Barthwal, S.; Kumar, R.; Pathak, S. Present Status and Future Perspective of Antimony Chalcogenide (Sb2X3) Photovoltaics. ACS Appl. Energy Mater. 2022, 5, 6545–6585. [Google Scholar] [CrossRef]
  19. Don, C.H.; Shalvey, T.P.; Sindi, D.A.; Lewis, B.; Swallow, J.E.N.; Bowen, L.; Fernandes, D.F.; Kubart, T.; Biswas, D.; Thakur, P.K.; et al. Reactive DC Sputtered TiO2Electron Transport Layers for Cadmium-Free Sb2Se3Solar Cells. Adv. Energy Mater. 2024, 14, 202401077. [Google Scholar] [CrossRef]
  20. Pasini, S.; Spoltore, D.; Parisini, A.; Marchionna, S.; Fornasini, L.; Bersani, D.; Fornari, R.; Bosio, A. Innovative back-contact for Sb2Se3-based thin film solar cells. Sol. Energy 2023, 249, 414–423. [Google Scholar] [CrossRef]
  21. Liang, G.-X.; Luo, Y.-D.; Chen, S.; Tang, R.; Zheng, Z.-H.; Li, X.-J.; Liu, X.-S.; Liu, Y.-K.; Li, Y.-F.; Chen, X.-Y.; et al. Sputtered and selenized Sb2Se3 thin-film solar cells with open-circuit voltage exceeding 500 mV. Nano Energy 2020, 73, 104806. [Google Scholar] [CrossRef]
  22. Cang, Q.; Guo, H.; Jia, X.; Ning, H.; Ma, C.; Zhang, J.; Yuan, N.; Ding, J. Enhancement in the efficiency of Sb2Se3 solar cells by adding low lattice mismatch CuSbSe2 hole transport layer. Sol. Energy 2020, 199, 19–25. [Google Scholar] [CrossRef]
  23. Denton, A.R.; Ashcroft, N.W. Vegard’s law. Phys. Rev. A 1991, 43, 3161–3164. [Google Scholar] [CrossRef] [PubMed]
  24. Vegard, L. Die Konstitution der Mischkristalle und die Raumfüllung der Atome. Z. Physik 1921, 5, 17–26. [Google Scholar] [CrossRef]
  25. Ohata, K.; Saraie, J.; Tanaka, T. Phase Diagram of the CdS-CdTe Pseudobinary System. Jpn. J. Appl. Phys. 1973, 12, 1198–1204. [Google Scholar] [CrossRef]
  26. Fang, X.; Zhai, T.; Gautam, U.K.; Li, L.; Wu, L.; Bando, Y.; Golberg, D. ZnS nanostructures: From synthesis to applications. Prog. Mater. Sci. 2011, 56, 175–287. [Google Scholar] [CrossRef]
  27. D’amico, P.; Calzolari, A.; Ruini, A.; Catellani, A. New energy with ZnS: Novel applications for a standard transparent compound. Sci. Rep. 2017, 7, 16805. [Google Scholar] [CrossRef]
  28. Chou, H.; Rohatgi, A.; Jokerst, N.; Kamra, S.; Stock, S.; Lowrie, S.; Ahrenkiel, R.; Levi, D. Approach toward high efficiency CdTe/CdS heterojunction solar cells. Mater. Chem. Phys. 1996, 43, 178–182. [Google Scholar] [CrossRef]
  29. Spalatu, N.; Krautmann, R.; Katerski, A.; Karber, E.; Josepson, R.; Hiie, J.; Acik, I.O.; Krunks, M. Screening and optimization of processing temperature for Sb2Se3 thin film growth protocol: Interrelation between grain structure, interface intermixing and solar cell performance. Sol. Energy Mater. Sol. Cells 2021, 225, 111045. [Google Scholar] [CrossRef]
  30. Liu, X.; Chen, C.; Wang, L.; Zhong, J.; Luo, M.; Chen, J.; Xue, D.; Li, D.; Zhou, Y.; Tang, J. Improving the performance of Sb2Se3 thin film solar cells over 4% by controlled addition of oxygen during film deposition. Prog. Photovoltaics Res. Appl. 2015, 23, 1828–1836. [Google Scholar] [CrossRef]
  31. Garcia-Sanchez, F.J.; Romero, B. Equivalent Circuit Models for Next Generation Photovoltaic Devices with S-shaped I-V Curves. In Proceedings of the 2019 8th International Symposium on Next Generation Electronics (ISNE), Zhengzhou, China, 9–10 October 2019; pp. 1–4. [Google Scholar]
  32. Wei, T.; Xu, C.; Lin, W.; Huang, G.; Yu, F. A Lumped-Parameter Equivalent Circuit Modeling for S-Shaped IV Kinks of Organic Solar Cells. Crystals 2019, 9, 80. [Google Scholar] [CrossRef]
  33. Moore, J.E.; Dongaonkar, S.; Chavali, R.V.K.; Alam, M.A.; Lundstrom, M.S. Correlation of Built-In Potential and I–V Crossover in Thin-Film Solar Cells. IEEE J. Photovoltaics 2014, 4, 1138–1148. [Google Scholar] [CrossRef]
  34. Sharma, B.; Purohit, R. Semiconductor Heterojunctions; Elsevier: Amsterdam, The Netherlands, 1974. [Google Scholar] [CrossRef]
  35. Gunawan, O.; Todorov, T.K.; Mitzi, D.B. Loss mechanisms in hydrazine-processed Cu2ZnSn(Se,S)4 solar cells. Appl. Phys. Lett. 2010, 97, 233506. [Google Scholar] [CrossRef]
  36. Wang, K.; Gunawan, O.; Todorov, T.; Shin, B.; Chey, S.J.; Bojarczuk, N.A.; Mitzi, D.; Guha, S. Thermally evaporated Cu2ZnSnS4 solar cells. Appl. Phys. Lett. 2010, 97, 143508. [Google Scholar] [CrossRef]
  37. Mavlonov, A.; Nishimura, T.; Chantana, J.; Kawano, Y.; Masuda, T.; Minemoto, T. Back-contact barrier analysis to develop flexible and bifacial Cu(In,Ga)Se2 solar cells using transparent conductive In2O3: SnO2 thin films. Sol. Energy 2020, 211, 1311–1317. [Google Scholar] [CrossRef]
  38. Chen, C.; Bobela, D.C.; Yang, Y.; Lu, S.; Zeng, K.; Ge, C.; Yang, B.; Gao, L.; Zhao, Y.; Beard, M.C.; et al. Characterization of basic physical properties of Sb2Se3 and its relevance for photovoltaics. Front. Optoelectron. 2017, 10, 18–30. [Google Scholar] [CrossRef]
  39. Dittrich, T. Basic Characteristics and Characterization of Solar Cells. In Materials Concepts for Solar Cells; World Scientific Publishing Co Pte Ltd.: Singapore, 2018; pp. 3–43. [Google Scholar] [CrossRef]
  40. Chung, C.-H.; Bob, B.; Song, T.-B.; Yang, Y. Current–voltage characteristics of fully solution processed high performance CuIn(S,Se)2 solar cells: Crossover and red kink. Sol. Energy Mater. Sol. Cells 2014, 120, 642–646. [Google Scholar] [CrossRef]
  41. Gloeckler, M.; Jenkins, C.R.; Sites, J.R. Explanation of Light/Dark Superposition Failure in CIGS Solar Cells. MRS Proc. 2002, 763, 522. [Google Scholar] [CrossRef]
  42. El-Nahass, M.; Zeyada, H.; Aziz, M.; Makhlouf, M. Current transport mechanisms and photovoltaic properties of tetraphenylporphyrin/n-type silicon heterojunction solar cell. Thin Solid Films 2005, 492, 290–297. [Google Scholar] [CrossRef]
  43. Green, D.R.; Michaels, T.E.; Olsen, L.C.; Price, L.S. Current Solar Cell Measurement Methods Review and Evaluation; Hanford Engineering Development Laborator: Richland, WA, USA, 1980. [Google Scholar]
  44. Sze, S.M.; Li, Y.; Ng, K.K. Physics of Semiconductor Devices; Wiley: Hoboken, NJ, USA, 2006; pp. 77–133. [Google Scholar] [CrossRef]
  45. Sun, S.; Zhang, S.; Han, Y.; Tan, H.; Wen, J.; Liu, X.; Sun, Y.; Liu, H. Improved performances in Sb2Se3 solar cells based on CdS buffered TiO2 electron transport layer. J. Sol-Gel Sci. Technol. 2024, 109, 182–191. [Google Scholar] [CrossRef]
  46. Chen, S.; Ishaq, M.; Xiong, W.; Shah, U.A.; Farooq, U.; Luo, J.; Zheng, Z.; Su, Z.; Fan, P.; Zhang, X.; et al. Improved Open-Circuit Voltage of Sb2Se3 Thin-Film Solar Cells Via Interfacial Sulfur Diffusion-Induced Gradient Bandgap Engineering. Sol. RRL 2021, 5, 2100419. [Google Scholar] [CrossRef]
  47. Bube, R.H. Trap Density Determination by Space-Charge-Limited Currents. J. Appl. Phys. 1962, 33, 1733–1737. [Google Scholar] [CrossRef]
  48. Le Corre, V.M.; Duijnstee, E.A.; El Tambouli, O.; Ball, J.M.; Snaith, H.J.; Lim, J.; Koster, L.J.A. Revealing Charge Carrier Mobility and Defect Densities in Metal Halide Perovskites via Space-Charge-Limited Current Measurements. ACS Energy Lett. 2021, 6, 1087–1094. [Google Scholar] [CrossRef]
  49. Rohr, J.A.; Moia, D.; Haque, S.A.; Kirchartz, T.; Nelson, J. Exploring the validity and limitations of the Mott–Gurney law for charge-carrier mobility determination of semiconducting thin-films. J. Phys. Condens. Matter 2018, 30, 105901. [Google Scholar] [CrossRef]
  50. Duijnstee, E.A.; Ball, J.M.; Le Corre, V.M.; Koster, L.J.A.; Snaith, H.J.; Lim, J. Toward Understanding Space-Charge Limited Current Measurements on Metal Halide Perovskites. ACS Energy Lett. 2020, 5, 376–384. [Google Scholar] [CrossRef]
  51. Chen, K.; Wu, P.; Yang, W.; Su, R.; Luo, D.; Yang, X.; Tu, Y.; Zhu, R.; Gong, Q. Low-dimensional perovskite interlayer for highly efficient lead-free formamidinium tin iodide perovskite solar cells. Nano Energy 2018, 49, 411–418. [Google Scholar] [CrossRef]
  52. Jain, A.; Kumar, P.; Jain, S.C.; Kumar, V.; Kaur, R.; Mehra, R.M. Trap filled limit voltage (VTFL) and V2 law in space charge limited currents. J. Appl. Phys. 2007, 102, 094505. [Google Scholar] [CrossRef]
  53. Walter, T.; Herberholz, R.; Müller, C.; Schock, H.W. Determination of defect distributions from admittance measurements and application to Cu(In,Ga)Se2 based heterojunctions. J. Appl. Phys. 1996, 80, 4411–4420. [Google Scholar] [CrossRef]
  54. Pan, X.; Pan, Y.; Shen, L.; Wang, L.; Wang, R.; Weng, G.; Jiang, J.; Hu, X.; Chen, S.; Yang, P.; et al. All-Vacuum-Processed Sb2(S,Se)3 Thin Film Photovoltaic Devices via Controllable Tuning Seed Orientation. Adv. Funct. Mater. 2023, 33, 202214511. [Google Scholar] [CrossRef]
  55. Wijesinghe, U.; Longo, G.; Hutter, O.S. Defect engineering in antimony selenide thin film solar cells. Energy Adv. 2023, 2, 12–33. [Google Scholar] [CrossRef]
  56. Huang, M.; Xu, P.; Han, D.; Tang, J.; Chen, S. Complicated and Unconventional Defect Properties of the Quasi-One-Dimensional Photovoltaic Semiconductor Sb2Se3. ACS Appl. Mater. Interfaces 2019, 11, 15564–15572. [Google Scholar] [CrossRef] [PubMed]
Figure 1. (a) Non-scaled sketch of the Sb2Se3-based solar cell and cross-sectional bright field (BF) TEM image of the solar cell; (b) current density–voltage characteristics in dark (black) and under solar simulator illumination with 700 W/m2 AM1.5G filtered light (red); the magnification highlights the crossover point VX.
Figure 1. (a) Non-scaled sketch of the Sb2Se3-based solar cell and cross-sectional bright field (BF) TEM image of the solar cell; (b) current density–voltage characteristics in dark (black) and under solar simulator illumination with 700 W/m2 AM1.5G filtered light (red); the magnification highlights the crossover point VX.
Applsci 15 02930 g001
Figure 2. (a) Linear fit (in red) of dV/dJ data for the determination of RS. (b) Linear fit (in red) of dJ/dV data for the determination of Rsh. The curves were derived from J-V curves measured under solar simulator illumination of 700 W/m2 AM1.5G at a temperature of 298 K.
Figure 2. (a) Linear fit (in red) of dV/dJ data for the determination of RS. (b) Linear fit (in red) of dJ/dV data for the determination of Rsh. The curves were derived from J-V curves measured under solar simulator illumination of 700 W/m2 AM1.5G at a temperature of 298 K.
Applsci 15 02930 g002
Figure 3. Tauc plot of (a) (Cd,Zn)S and (b) CdS thin films. Red lines represent the linear fitting with the dotted part being the extrapolation to the energy axis.
Figure 3. Tauc plot of (a) (Cd,Zn)S and (b) CdS thin films. Red lines represent the linear fitting with the dotted part being the extrapolation to the energy axis.
Applsci 15 02930 g003
Figure 4. (a) Cross-sectional HAADF TEM image with elemental EDX maps for (c) Zn, (d) O, (e) Se, (f) Sb, (g) Cd, (h) S. The white box on the HAADF image shows the area from where the (b) integrated intensity profile with the calculated at% was taken. The diffusion of Se and Sb atoms into the sulfide layer is observed.
Figure 4. (a) Cross-sectional HAADF TEM image with elemental EDX maps for (c) Zn, (d) O, (e) Se, (f) Sb, (g) Cd, (h) S. The white box on the HAADF image shows the area from where the (b) integrated intensity profile with the calculated at% was taken. The diffusion of Se and Sb atoms into the sulfide layer is observed.
Applsci 15 02930 g004
Figure 5. HRTEM image from the ZnO/CdS/(Cd,Zn)S/Sb2Se3 interfaces. The FFT from the signed area is indexed as orthorhombic (s.g. Pnma) Sb2Se3 from the [010] projection. In the right-upper corner, the HAADF image with the projected atomic structure of the Sb2Se3 is shown. CdS and the (Cd,Zn)S layer are polycrystalline.
Figure 5. HRTEM image from the ZnO/CdS/(Cd,Zn)S/Sb2Se3 interfaces. The FFT from the signed area is indexed as orthorhombic (s.g. Pnma) Sb2Se3 from the [010] projection. In the right-upper corner, the HAADF image with the projected atomic structure of the Sb2Se3 is shown. CdS and the (Cd,Zn)S layer are polycrystalline.
Applsci 15 02930 g005
Figure 6. (a) The solar cell model highlights the second barrier diode positioned in anti-series with respect to the primary barrier diode. R0 and DB are the contact resistance and threshold barrier of the anti-series diode, respectively. (b) Non-scaled sketch for the proposed model of the (Cd,Zn)S/Sb2Se3 junction highlighting the intermixing layer between (Cd,Zn)S and Sb2Se3, the penetration depth in which 63% of the incoming light is absorbed, and the depletion layer.
Figure 6. (a) The solar cell model highlights the second barrier diode positioned in anti-series with respect to the primary barrier diode. R0 and DB are the contact resistance and threshold barrier of the anti-series diode, respectively. (b) Non-scaled sketch for the proposed model of the (Cd,Zn)S/Sb2Se3 junction highlighting the intermixing layer between (Cd,Zn)S and Sb2Se3, the penetration depth in which 63% of the incoming light is absorbed, and the depletion layer.
Applsci 15 02930 g006
Figure 7. Schematic representation of the (Cd,Zn)S/Sb2Se3 interface band profiles.
Figure 7. Schematic representation of the (Cd,Zn)S/Sb2Se3 interface band profiles.
Applsci 15 02930 g007
Figure 8. The data points on both graphs were obtained by illuminating the sample with a LQX 1000 lamp. (a) Arrhenius plot of ln(T·RS) (in K·Ωcm2) as a function of 1/T. Each experimental value was derived from the J-V measurements taken at temperatures ranging from 196 K to 353 K without optical filters. (b) The height of the additional barrier as a function of distance from the junction: each data point was obtained using bandpass filters centered at 650 nm, 750 nm, 850 nm, and 950 nm, and all were normalized to the same number of absorbed photons.
Figure 8. The data points on both graphs were obtained by illuminating the sample with a LQX 1000 lamp. (a) Arrhenius plot of ln(T·RS) (in K·Ωcm2) as a function of 1/T. Each experimental value was derived from the J-V measurements taken at temperatures ranging from 196 K to 353 K without optical filters. (b) The height of the additional barrier as a function of distance from the junction: each data point was obtained using bandpass filters centered at 650 nm, 750 nm, 850 nm, and 950 nm, and all were normalized to the same number of absorbed photons.
Applsci 15 02930 g008
Figure 9. (a) Measurements of Vx and Voc were conducted at different wavelengths, with all potential values standardized to an equal number of absorbed photons. The varied wavelengths were selected using passband filters centered at 650 nm, 750 nm, 850 nm, and 950 nm. (b) ΔV = Vx − Voc as a function of the absorbed light wavelength.
Figure 9. (a) Measurements of Vx and Voc were conducted at different wavelengths, with all potential values standardized to an equal number of absorbed photons. The varied wavelengths were selected using passband filters centered at 650 nm, 750 nm, 850 nm, and 950 nm. (b) ΔV = Vx − Voc as a function of the absorbed light wavelength.
Applsci 15 02930 g009
Figure 10. Plot of ln(C) (C unit: F) against ln(V + Vbi) (V + Vbi unit: V) under light and dark conditions. The linear fit of the experimental data is made in the reverse bias region for V > V b i .
Figure 10. Plot of ln(C) (C unit: F) against ln(V + Vbi) (V + Vbi unit: V) under light and dark conditions. The linear fit of the experimental data is made in the reverse bias region for V > V b i .
Applsci 15 02930 g010
Figure 11. Plot of 1/C3 as a function of the bias voltage: (a) under light, (b) in dark conditions.
Figure 11. Plot of 1/C3 as a function of the bias voltage: (a) under light, (b) in dark conditions.
Applsci 15 02930 g011
Figure 12. Plotting log(J) (unit: mA/cm2) against log(V) (unit: V) under dark conditions reveals three distinct regions, delineated by dotted vertical lines. Linear fittings of the data in the respective region are shown in red, blue and green for the Ohmic, TFL and Child region respectively.
Figure 12. Plotting log(J) (unit: mA/cm2) against log(V) (unit: V) under dark conditions reveals three distinct regions, delineated by dotted vertical lines. Linear fittings of the data in the respective region are shown in red, blue and green for the Ohmic, TFL and Child region respectively.
Applsci 15 02930 g012
Figure 13. Admittance spectroscopy measurements (a) under light (b) in the dark.
Figure 13. Admittance spectroscopy measurements (a) under light (b) in the dark.
Applsci 15 02930 g013
Figure 14. l n ( ω 0 / T 2 ) (unit: s 1 · K 2 ) as a function of 1/KT, illustrating two distinct activation energies observed (a) under light and (b) in the dark.
Figure 14. l n ( ω 0 / T 2 ) (unit: s 1 · K 2 ) as a function of 1/KT, illustrating two distinct activation energies observed (a) under light and (b) in the dark.
Applsci 15 02930 g014
Table 1. Main photovoltaic parameters of the investigated solar cell. Voc is the open circuit voltage, VX is the crossover voltage, Jsc is the current density, FF is the fill factor, PCE is the power conversion efficiency, Rsh is the shunt resistance, RS is the series resistance, n is the ideality factor.
Table 1. Main photovoltaic parameters of the investigated solar cell. Voc is the open circuit voltage, VX is the crossover voltage, Jsc is the current density, FF is the fill factor, PCE is the power conversion efficiency, Rsh is the shunt resistance, RS is the series resistance, n is the ideality factor.
Voc [mV]365 ± 6.0PCE [%]4.36 ± 0.3
Vx [mV]375 ± 6.0Rsh [Ωcm2]378 ± 16
Jsc [mA/cm2]17.1 ± 0.3RS [Ωcm2]3.6 ± 0.1
FF [%]49 ± 3.0n2.1 ± 0.1
Disclaimer/Publisher’s Note: The statements, opinions and data contained in all publications are solely those of the individual author(s) and contributor(s) and not of MDPI and/or the editor(s). MDPI and/or the editor(s) disclaim responsibility for any injury to people or property resulting from any ideas, methods, instructions or products referred to in the content.

Share and Cite

MDPI and ACS Style

Bosio, A.; Pasini, S.; Spoltore, D.; Foti, G.; Parisini, A.; Pavesi, M.; Shapouri, S.; Cora, I.; Fogarassy, Z.; Fornari, R. Effect of Heterojunction Characteristics and Deep Electronic Levels on the Performance of (Cd,Zn)S/Sb2Se3 Solar Cells. Appl. Sci. 2025, 15, 2930. https://doi.org/10.3390/app15062930

AMA Style

Bosio A, Pasini S, Spoltore D, Foti G, Parisini A, Pavesi M, Shapouri S, Cora I, Fogarassy Z, Fornari R. Effect of Heterojunction Characteristics and Deep Electronic Levels on the Performance of (Cd,Zn)S/Sb2Se3 Solar Cells. Applied Sciences. 2025; 15(6):2930. https://doi.org/10.3390/app15062930

Chicago/Turabian Style

Bosio, Alessio, Stefano Pasini, Donato Spoltore, Gianluca Foti, Antonella Parisini, Maura Pavesi, Samaneh Shapouri, Ildikó Cora, Zsolt Fogarassy, and Roberto Fornari. 2025. "Effect of Heterojunction Characteristics and Deep Electronic Levels on the Performance of (Cd,Zn)S/Sb2Se3 Solar Cells" Applied Sciences 15, no. 6: 2930. https://doi.org/10.3390/app15062930

APA Style

Bosio, A., Pasini, S., Spoltore, D., Foti, G., Parisini, A., Pavesi, M., Shapouri, S., Cora, I., Fogarassy, Z., & Fornari, R. (2025). Effect of Heterojunction Characteristics and Deep Electronic Levels on the Performance of (Cd,Zn)S/Sb2Se3 Solar Cells. Applied Sciences, 15(6), 2930. https://doi.org/10.3390/app15062930

Note that from the first issue of 2016, this journal uses article numbers instead of page numbers. See further details here.

Article Metrics

Back to TopTop