Next Article in Journal
Antibiotic Susceptibility Testing of Escherichia coli and Coliform Isolates Detected in Samples of Drinking Water from Central Greece
Previous Article in Journal
Change in Right Ventricular Strain After Cone Reconstruction of Ebstein’s Anomaly: A Cardiovascular Magnetic Resonance-Feature Tracking Study
 
 
Font Type:
Arial Georgia Verdana
Font Size:
Aa Aa Aa
Line Spacing:
Column Width:
Background:
Article

Out-of-Roundness Wheel Damage Identification in Railway Vehicles Using AutoEncoder Models

1
Graduate Program in Civil Engineering, Federal University of Juiz de Fora, Juiz de Fora 36036-900, Brazil
2
CONSTRUCT-LESE, Faculty of Engineering, University of Porto, 4200-465 Porto, Portugal
3
CONSTRUCT-LESE, School of Engineering, Polytechnic of Porto, 4200-465 Porto, Portugal
*
Author to whom correspondence should be addressed.
Appl. Sci. 2025, 15(5), 2662; https://doi.org/10.3390/app15052662
Submission received: 26 January 2025 / Revised: 18 February 2025 / Accepted: 27 February 2025 / Published: 1 March 2025
(This article belongs to the Section Civil Engineering)

Abstract

This study presents a comparative analysis of three AutoEncoder (AE) models—Variational AutoEncoder (VAE), Sparse AutoEncoder (SAE), and Convolutional AutoEncoder (CAE)—to detect and quantify structural anomalies in railway vehicle wheels, such as polygonization. Vertical acceleration data from a virtual wayside monitoring system serve as input for training the AE models, which are coupled with Hotelling’s T2 Control Charts to differentiate normal and abnormal railway component behaviors. The results indicate that the SAE-T2 model outperforms its counterparts, achieving 16.67% higher accuracy than the CAE-T2 model in identifying distinct structural conditions, although with a 35.78% higher computational cost. Conversely, the VAE-T2 model is outperformed in 100% of the analyzed scenarios when compared to SAE-T2 in identifying distinct structural conditions while also exhibiting a 21.97% higher average computational cost. Across all scenarios, the SAE-T2 methodology consistently provided better classifications of wheel damage, showing its capability to extract relevant features from dynamic signals for Structural Health Monitoring (SHM) applications. These findings highlight SAE’s potential as an interesting tool for predictive maintenance, offering improved efficiency and safety in railway operations.

1. Introduction

Under normal operation, railways are subjected to traffic loads that may lead to geometric wear and tear of the track and its components. When irregularities exceed design thresholds, the track is deemed defective, posing risks of failure or service disruption. Such incidents can result in high maintenance costs, economic losses, material damage, and even accidents that threaten human lives.
Railway wheels, which bear loads, transmit traction, and guide vehicles, are subjected to severe operating conditions that can lead to out-of-roundness (OOR), or polygonization, characterized by tread irregularities along the wheel’s circumference [1]. OOR affects wheel–rail interaction by causing sudden changes in normal forces, increasing rolling and impact noise, compromising comfort and safety, and potentially resulting in freight movement issues, wheel or rail cracks, and tie damage [2,3]. Previous research indicates that hot spots, hardening effects from brake blocks, wheel fragmentation, and eccentricity are major contributors to polygonal wear [4,5], and manufacturing processes can also induce eccentricities [3,6]. Furthermore, high-order polygonization at high speeds can significantly amplify axle box acceleration and wheel–rail normal forces and can even cause wheel–rail separation when resonance occurs [7].
Traditionally, verifications related to the assessment of the degradation process of railway structures are performed through visual inspections and manual measurements using devices such as tachometers and leveling instruments. These techniques present significant economic and technical challenges, particularly when applied on a large scale. Moreover, these methods often fail to detect internal and complex anomalies, notably in the case of initial damage [8], such as those associated with internal rail cracks and wheel polygonalization, compromising the safety and efficiency of railway operations [9]. Early detection of these problems is important, since as the damage worsens, it can lead to gradual deterioration of structural functionality, potentially exceeding acceptable safety limits and significantly increasing the likelihood of critical failures or collapses [10].
Automated railway monitoring techniques have significantly advanced in recent years, enhancing safety and efficiency in rail operations. Advances in sensor technology [11] and modal identification [12], which allow for feature extraction from vibration signals and data processing [13], have brought new possibilities for improving structural and railway monitoring, offering more precise and financially sustainable solutions [9,14,15]. A recent systematic review highlights the growing application of Wireless Sensor Networks (WSNs) in railway infrastructure monitoring, emphasizing their role in real-time data collection and analysis [16]. Wu et al. (2023) [17] reviews three wheel–rail force measurement methods—Instrumented Wheelset (IWS), ground-based sensors, and indirect estimation—highlighting IWS as the most mature technique, with future advancements focusing on nondestructive, wireless, and continuous measurement for improved accuracy. Furthermore, the development of AI-based track-side monitoring systems has enabled the unsupervised detection and classification of train wheel defects, contributing to more effective maintenance strategies [2,18,19].
Specifically, a significant amount of recent research focuses on the application of ML-assisted data-driven SHM techniques for railway wheel polygonalization detection [3,20,21,22,23]. Unsupervised Machine Learning techniques, particularly Physics-Informed Generative Adversarial Networks (PI-GANs), have shown significant promise in Structural Health Monitoring (SHM) of Vehicle–Bridge Interaction (VBI) systems. For instance, Zhou et al. (2025) [24] proposed a Physics-Constrained Generative Adversarial Network (PC-GAN) for accurately estimating bridge surface roughness from vehicle vibration responses, demonstrating its adequacy under challenging conditions and its potential for rapid bridge pavement inspection. Moreover, Lee et al. (2025) [25] proposed an image-to-image Generative Adversarial Network (GAN) to estimate temporal frequency variations in Vehicle–Bridge Interaction systems, with validation through experiments confirming its effectiveness for bridge condition assessment.
Among those, AutoEncoders (AEs) [13,26] in particular have shown significant promise. AEs are a type of unsupervised ANN that learns efficient data representations by compressing input into a lower-dimensional space and subsequently reconstructing it. By employing AEs as dimensionality reduction techniques and combining them with appropriate metrics, it becomes possible to identify structural behaviors indicative of damage.
According to Spínola Neto et al. (2024) [27], the three most prominent AE approaches in SHM problems are Sparse AutoEncoders (SAEs) [28], characterized by sparsity constraints; Variational AutoEncoders (VAEs) [29], featuring probabilistic representations of the data; and Convolutional AutoEncoders (CAEs) [30], which incorporate convolutional layers. In their work, Spínola Neto et al. (2024) [27] compared the performance of these AEs in SHM problems applied to structures such as frames and bridges, concluding that VAEs exhibited superior performance for the analyzed structural types.
This paper presents a comprehensive comparative study of the main AutoEncoder models for OOR wheel damage identification. Our primary goal is to provide researchers with a clear reference for selecting the most suitable model for this type of application. While numerous studies have explored individual AutoEncoder models, there is a lack of direct comparisons among them, making it challenging for researchers and practitioners to determine the most effective approach. To address this gap, this study evaluates the effectiveness of SAE, VAE, and CAE for detecting stages of polygonization. Furthermore, to enhance the detection capabilities, this paper employs an approach that combines these AE models with Hotelling’s T2 Control Chart to capture and quantify structural variations in railway wheels at different stages of polygonization.
This paper utilizes simulated data generated using computational models implemented in ANSYS® (version 2022 R2) [31], based on the Finite Element Method (FEM). This methodology is commonly adopted in research [3,32,33] due to the significant challenges associated with instrumenting trains with sensors such as accelerometers. As highlighted by Castillo-Mingorance et al. (2020) [34], the harsh railway environment, characterized by vibrations, temperature fluctuations, humidity, and dust, poses significant challenges to the deployment and reliable operation of electronic sensors. Moreover, the installation of these sensors often requires access to difficult-to-reach locations and necessitates robust mounting mechanisms to ensure their integrity. Considering this scenario, numerical studies can also provide valuable insights into the robustness of the methodology at different levels of damage or noise in the data.

2. Theoretical Conceptualization

The SHM strategy implemented in this work encompasses two main techniques:
  • Unsupervised Machine Learning using AutoEncoders: This step involves the application of VAE, SAE, and CAE models to the dynamic data. The models extract features that effectively characterize the monitored vibration signals and serve as a dimensionality reduction tool. It is important to mention that the application of AEs in SHM tasks has been showing promising results, as reported in [27].
  • Hotelling’s T 2 Control Chart: This chart displays the values of the T 2 statistical metric, which is computed from the reduced parameters obtained through the VAE, SAE, and CAE models. The present study uses the T 2 Control Chart to visually and objectively assess the AutoEncoder models’ capability to detect structural changes in railway wheels.
AutoEncoders are neural network models designed to learn compact latent representations of input data to reconstruct the original data accurately. Their architecture consists of two main parts: an encoder and a decoder. This design enables AEs to capture the data’s intrinsic features and statistical patterns. The encoder maps the input to a lower-dimensional latent space h = f ( x ) , trying to preserve the most relevant data features. On the other hand, the decoder reconstructs the original data from this latent representation, denoted as r = g ( h ) . Essentially, it learns to reverse the transformation performed by the encoder [35], as shown in Equation (1):
L ( x , g ( f ( x ) ) ) ,
where L is a loss function that penalizes the output g ( f ( x ) ) for deviating from the original input x .
The following subsections provide the main principles of the aforementioned techniques. For further information on AutoEncoders, the reference Goodfellow et al. (2016) [35] is recommended. Additional details on the Shewhart Control Chart ( T 2 ) can be found in Montgomery (2009) [36].

2.1. Sparse AutoEncoder

Sparse AutoEncoders incorporate a sparsity penalty Ω ( h ) into their cost function, as shown in Equation (2), to create sparser latent representations and increase network robustness by focusing on distinct data features. Goodfellow et al. (2016) [35] note that this sparsity enhances anomaly detection. Moreover, Finotti et al. (2023) [37] show that SAEs effectively detect behavioral changes in structural systems, simplifying data analysis and improving sensitivity to relevant patterns.
L S A E = L ( x , g ( f ( x ) ) ) + Ω ( h )
As described in [35], the Mean Squared Error (MSE) in Equation (3) computes the average of the squared differences between the original values ( x i ) and their reconstructions ( y i ). Its quadratic penalization of larger errors makes it particularly effective for detecting anomalies, where identifying significant deviations is fundamental.
M S E = 1 N i = 1 N ( y i x i ) 2
A typical SAE network (Figure 1) features a symmetric arrangement of two encoding and two decoding layers, with a central layer defining the latent representation h . Both the first (encoder) and last (decoder) layers contain M neurons, matching the length of each sampled signal, while the central layer has k neurons k M , thus reducing the dimensionality. The feature vector h captures essential information about structural behavior and is subsequently used as input to the T 2 Control Chart for structural novelty detection.

2.2. Variational AutoEncoder

A Variational AutoEncoder extends a standard AutoEncoder by employing a regularized latent space based on principles of probabilistic Machine Learning. Instead of encoding an input x as a single point, the encoder q ϕ ( f ( x ) | x ) receives the input as a distribution characterized by its mean ( μ x ) and standard deviation ( σ x ), from which a sample is drawn, f ( x ) , and subsequently decoded. The decoder p θ ( x | f ( x ) ) receives the latent variables f ( x ) and the probabilistic density function provides the matrices containing the mean and covariance of the model g ( f ( x ) ) . The weights ϕ need to be learned by the ANN so that it can configure a loss function and generate both the latent space and the output. As shown in Equation (4), the loss function combines a reconstruction term, L ( x , g ( f ( x ) ) ) , and a Kullback–Leibler (KL) divergence term L K L . This regularization component organizes the latent space by aligning it with a standard normal distribution. Similar to the SAE, in this work, the VAE models also incorporate MSE as their loss function for comparative reasons. Figure 2 shows the structure of a general VAE network.
L V A E = L ( x , g ( f ( x ) ) ) + L K L

2.3. Convolutional AutoEncoder

Convolutional Neural Networks (CNNs) are specially tailored for grid-structured data, including time series and images, by replacing at least one layer’s matrix multiplication with convolution [35,38]. A Convolutional AutoEncoder applies this principle to encode and decode data, achieving success not only in image-based tasks but also in time series analysis [27]. Through 1D convolutional layers and max-pooling (Conv + Max), the encoder extracts and compresses relevant features; flattened and dense layers (Flat + Dense) then prepare the data for reconstruction. The decoder reverses this procedure using up-sampling and convolutions (Up + Conv) to restore the original data. Feature extraction in CAEs is performed through 1D convolutions applied to each input channel, and max-pooling preserves the most informative responses while reducing dimensionality [27,39]. Figure 3 provides a schematic representation of a CAE network, illustrating its encoding and decoding processes.
Like other AutoEncoders, CAE training iteratively minimizes the discrepancy between the reconstructed and original data. The Mean Absolute Error (MAE) is commonly used as the loss function to quantify this difference. As expressed in Equation (5), the MAE calculates the mean of the absolute differences across all samples in the dataset. As highlighted by Spínola Neto et al. (2024) [27] and Jun Qi et al. (2020) [40], the MAE has been widely employed in CAE applications, demonstrating its effectiveness in capturing complex patterns within the data.
M A E = 1 N i = 1 N | y i x i |
To conclude the AE background, Table 1 provides an overview of the characteristics that distinguish the three AutoEncoder models, allowing for a direct comparison.
Figure 3. Example of a CAE network structure (adapted from Cataltas and Tutuncu (2023) [41]).
Figure 3. Example of a CAE network structure (adapted from Cataltas and Tutuncu (2023) [41]).
Applsci 15 02662 g003

2.4. Shewhart T 2 Control Chart

The Shewhart ( T 2 ) Control Chart is a visual statistical tool that monitors the stability of parameters over time. Its graphical representation, consisting of data points and horizontal control limits, allows deviations from the normal condition to be identified. When a point exceeds these limits, it indicates the presence of external factors affecting data variability, signaling an out-of-control condition. In addition to its early detection capability, T 2 is widely recognized in the scientific community for its clear and intuitive interpretation, facilitating decision-making. Its applicability across various fields makes it a valuable tool for identifying structural changes in data, contributing to quality and reliability improvements in SHM systems [36].
In this study, the T 2 statistic is employed to evaluate the integrity of railway wheels based on features extracted from AE models. This metric quantifies the distance of a new observation from the historical data mean, allowing the detection of anomalies that may indicate damage. The magnitude of T 2 is directly related to data variability and correlation. By comparing the calculated value to a statistically established Upper Control Limit (UCL), it is possible to determine whether the structure operates within its normal conditions [36,37].
Although other metrics exist, such as the MSE and the Original-to-Reconstructed-Signal Ratio (ORSR), T 2 proved to be more effective in identifying anomalies in the analyzed data. Equation (6) presents the mathematical formulation of T 2 :
T 2 = R ( h ¯ h ¯ ¯ ) T S 1 ( h ¯ h ¯ ¯ ) ,
where h ¯ represents the sample mean vector, while h ¯ ¯ and S are the reference mean vector and the reference covariance matrix, respectively. The UCL is defined as the value that exceeds 95% of the T 2 values of the training data, establishing a threshold for anomaly detection [27,37].
Thus, T 2 values above the UCL indicate significant changes in the data, suggesting the presence of structural damage or other irregularities. This approach allows for continuous monitoring of the structure’s condition and the implementation of corrective actions before catastrophic failures occur. It is important to emphasize that, by definition, 5% of the T 2 values from the training data will exceed the UCL, which is not a cause for concern if they remain close to the threshold [27,37].

3. Methodology

This work proposes an unsupervised learning approach based on three different AE models to investigate their ability to detect and isolate simulated vibration signals from different stages of railway wheel polygonization. These models are trained with a subset of the data to learn the most informative latent representation for each class. When confronted with new data, the models reconstruct a given signal and compare it with its original input. The magnitude of the difference between these two representations, known as reconstruction error, serves as a metric to quantify the dissimilarity between the analyzed signal and each reference class, e.g., “undamaged wheel”, “damaged wheel level 1”, etc.
As with any unsupervised AutoEncoder model-based approach for SHM, it is essential to first establish a baseline behavior—whether normal or not—by assessing the structure’s initial health condition. Once this baseline is defined, the monitoring procedure in our approach operates in an unsupervised manner. As new data are acquired, the Shewhart T 2 statistic is evaluated. If its value exceeds a predefined threshold, the new data are considered significantly different from the baseline, indicating a potential change in the structure’s behavior. To evaluate the effectiveness of the proposed methodology, the data are divided into three sets: training, validation, and monitoring. Specifically, 70% of the data representing the undamaged structural state are used for training, enabling the AE models to learn to accurately reconstruct the vibration signals associated with this condition. The remaining 30% of the undamaged state data form the validation set, which is used to fine-tune the model’s hyperparameters and assess its generalization capability. Finally, the model performance is evaluated using a monitoring set composed of data from two damaged structural states. The T 2 statistic is employed as a metric to quantify the distance between the latent representation new set of signals and the distribution learned during training. The model is expected to yield significantly higher T 2 values for the monitoring data, indicating the presence of damage in the structure and demonstrating the AutoEncoder’s capability to distinguish among different structural states.
For all cases analyzed in this study, the simulated dynamic signals are directly used in the time domain as input for the AE models due to its simplicity and effectiveness. Preliminary tests showed that reconstruction errors in the time domain were similar to those in the frequency domain, indicating that both approaches perform equally well. Consequently, using time domain data was preferred, as it eliminates additional transformations, easing the data preprocessing without compromising signal compression and reconstruction accuracy. Furthermore, the time-domain vibration signals are standardized using the z-score normalization to ensure comparability between different samples and facilitate the mapping performed by AEs. The z-score transforms the original data into a common scale with zero mean and unit standard deviation, and it is applied before AEs process data. Equation (7) mathematically describes this transformation, where z represents the standardized vector, x the original vector, μ the mean of the data, and σ the standard deviation.
z = x μ σ
The hyperparameters for the AutoEncoders—such as the learning rate, the number of layers, and the latent representation dimensions—were optimized using Optuna, a Python library that applies Bayesian optimization [42]. Optuna explores the hyperparameter space through probabilistic methods, guiding its search based on previous results to identify the best configuration for minimizing the loss function. Optimizing hyperparameters in AE models is particularly challenging due to architectural complexity and the nonlinear interaction among parameters. The Bayesian approach that Optuna uses differs from traditional methods, such as grid search and random search, once it constructs iterative probabilistic models that guide the search toward more promising regions of the hyperparameter space. This capability is enhanced by the Tree-structured Parzen Estimator (TPE) algorithm, which employs nonparametric distributions to estimate the probability of superior performance across different configurations [43]. Minimizing the difference in T 2 values between the training and validation sets ensured that the model could effectively discriminate between different structural states, promoting adequate generalization. Optuna performed 50 iterations to minimize the reconstruction error.
Figure 4 provides an overview of the proposed methodology. This graphical representation facilitates the understanding of the process of analyzing and quantifying structural modifications in railway wheels.
All the simulations performed in this study were conducted in a local environment set up in Jupyter Notebook, implemented in version 1.93 of Visual Studio Code [44]. The code used was developed in Python, version 3.10.11, ensuring compatibility with the necessary libraries and tools for performing the analyses. The machine used to run the simulations is equipped with an AMD Ryzen 5 5500 processor, 6 cores, and 12 threads, operating at 3.6 GHz (with a boost of up to 4.2 GHz), with a 19 MB cache and compatibility with the AM4 socket. The installed RAM consisted of a 16 GB DDR4 Mancer Dantalion Z module, with a frequency of 3200 MHz and C19 latency. In addition, the simulations were accelerated by a Mancer Radeon RX 5500 XT Streaky graphics card, equipped with 8 GB of GDDR6-128-bit memory (AMD, Santa Clara, CA, USA).
The choice of a local infrastructure, as opposed to cloud-based platforms, was motivated by several reasons. Firstly, cloud environments often require specific subscriptions for access to more powerful Graphical Processing Units (GPUs) and Central Processing Units (CPUs), which can result in significant recurring costs for long-term projects. Additionally, such platforms may experience disconnections after prolonged continuous use, compromising the execution of lengthy simulations and requiring manual restarts. With the local setup, it was possible to ensure greater control over the execution environment, continuity in data processing, and resource optimization while maintaining the reproducibility and computational efficiency required for this study.

4. Characterization of the Simulated Data

This study uses numerical simulations to investigate the identification of polygonal wear in railway wheels. A detailed model of a Laagrss freight train interacts with a three-dimensionally modeled track, considering different levels of wheel [45]. The dynamic responses of the system are obtained and analyzed to extract features that enable the identification of polygonal defects.
Section 4.1 describes the vehicle model, while Section 4.2 details the track modeling. The interaction between the two is presented in Section 4.3, with emphasis on the wheel–rail contact model. In Section 4.4, the simulation scenarios and the virtual instrumentation used for data collection are described. Finally, Section 4.5 presents the polygonal wear profiles considered in the studies, based on real wheel data.

4.1. Railway Vehicle

The present study employed a three-dimensional numerical model of the Laagrss freight train, consisting of five wagons and capable of reaching speeds of up to 120 km/h [2,45]. The ANSYS® platform (2018) [31] was used to develop a detailed 3D multibody model, simulating the vehicle dynamics through spring-damper elements and lumped masses. The geometry and material properties of the model, including a tare weight of 27 t per wagon and a load capacity of 52 t, are detailed in Table 2 and Figure 5. The vehicle was calibrated based on real data and modal parameters outlined in the work of Ribeiro et al. (2013) [46].
The interaction between wagon components was represented using rigid beam elements, enabling an accurate analysis of the vehicle’s dynamic response. The modeling methodology adopted, as detailed in Bragança et al. (2022) [47], allows for a precise evaluation of the interaction between vehicle components and its influence on the system’s dynamic behavior.

4.2. Railroad

The numerical modeling of the track employed in this study is based on the research conducted by Montenegro et al. (2020) [48] and is also implemented in the ANSYS® software [31]. The model adopts a multilayer approach to represent the interaction between the track components, including ballast, sleepers, rails, and foundation [2,45].
Figure 6 illustrates the discretization of the model, where the rails and sleepers are modeled using beam elements with appropriate properties. The interfaces, such as ballast and pads/fasteners below and above the sleepers, are considered using spring and pressure point elements in all three directions. Finally, the foundation properties were considered by a simplified approach based on a Winkler model (presented in detail in Mosleh et al. (2020) [49]). The 3D ballast track numerical model is validated with modal parameters as presented in Ribeiro et al. (2021) [50]. The material and geometric parameters considered in the simulation are detailed in Table 3.
The geometric specifications and simulation parameters used for the tracks and trains analyzed in this study are also presented in detail by Mosleh et al. (2020, 2021) [49,51]. It is recommended to consult these works for additional information on the models adopted.

4.3. Dynamic Train–Rail Interaction

The methodology used for vehicle–structure interaction analysis, detailed and validated in Montenegro et al. (2015) [52], to take into consideration the lateral dynamics alongside vertical interaction has been widely applied in various contexts [49,51,53,54,55].
The coupling is established through a validated wheel–rail contact model [52], which is formulated using a specially designed contact finite element. This element employs a structured approach consisting of three main stages:
  • Geometric contact determination—The first stage involves identifying the precise contact point between the wheel and rail at each computational step. This is achieved using an online method [56], where a set of nonlinear equations is solved to ensure compatibility between the contact surfaces. Further details on the parameterization of these surfaces and the associated geometric equations can be found in Montenegro et al. (2015) [52].
  • Normal contact force calculation—Once the contact point is determined, the second stage focuses on computing the normal forces exerted at the interface. These forces are obtained using Hertzian contact theory [57], which provides an analytical approach to estimating pressure distribution and deformation within the contact patch.
  • Tangential contact and creep force computation—The final stage deals with the forces generated due to rolling friction between the wheel and rail. The creep forces, which arise from relative motion at the contact interface, are evaluated using the USETAB routine [58]. In this method, precomputed values for longitudinal and lateral tangential forces are stored in a lookup table, allowing efficient interpolation during dynamic simulations based on creepage values and the aspect ratio of the Hertzian contact ellipse.
For the dynamic analysis solver, the system’s governing equilibrium equations are supplemented by constraint equations that link the displacements of the vehicle’s contact nodes to the corresponding nodal displacements of the track structure. These equations form a unified system, with both displacements and contact forces as unknowns, which is then solved using an optimized block factorization algorithm (further details available in Montenegro et al. (2015) [52]). Since the numerical framework is built on the Finite Element Method, it allows for the modeling of both structures and vehicles of varying complexity. The current formulation is implemented in MATLAB® (version R2022a) [59], whereas the vehicle and track structures are modeled in ANSYS® [31], as illustrated in Figure 7. A more in-depth discussion of the train–track interaction tool and the wheel–rail contact model, along with their validation, is provided by Montenegro et al. (2015) [52].

4.4. Simulated Scenarios

For the early detection of wheel polygonization stages, a virtual monitoring system was implemented to acquire the dynamic data evaluated in this study. Following the recommendations of Mosleh et al. (2022) [61,62], the instrumentation focused on the track, specifically the rail, as sensors placed near the rails are more promising in achieving satisfactory results. Six accelerometers were strategically positioned at the midpoint between sleepers, as shown in Figure 8, to capture vibrations induced by train passages. This configuration enables the precise identification of vibrational signatures characteristic of defective wheels, allowing intervention before more severe damage occurs.
To evaluate the effectiveness of the proposed method for detecting polygonalized wheels, numerical simulations were conducted under a variety of operating conditions. The simulation dataset included both reference scenarios, characterized by the absence of defects, and scenarios with two distinct stages of wheel wear. This approach enabled the validation of the method’s ability to accurately reproduce experimental data obtained under real-world conditions, including cases involving multiple stages of polygonalization. The simulations were performed considering a nominal speed of 80 km/h.
The analysis of the simulation data focused on three distinct cases: (i) a reference scenario, characterized by the absence of defects in the front right wheel of the first wagon; (ii) a polygonalization scenario in the rear left wheel of the third wagon (Damage 1); and (iii) a polygonalization scenario in the rear right wheel of the fifth wagon (Damage 2). For each case, 10 numerical simulations were performed. The selection of these specific cases was driven by the need to assess the method’s ability to detect damage in different positions along the train. Figure 7 provides a graphical visualization of the various wheel positions considered in the simulated scenarios.
To prepare the simulation data for training the AE model, a preprocessing step was carried out. Each complete simulation, consisting of 39,169 data points, represented the full dynamic signal of the train in a given scenario. However, the high data volume and the limited number of samples per scenario (only 10 simulations) could compromise training effectiveness and increase computational costs. Given this context, each simulation of each of the scenarios was segmented into 10 smaller parts, each containing 3916 points. This strategy significantly expanded the training dataset from 30 simulations to 300 simulations without compromising the representativeness of the original data. Data segmentation is a common practice in Machine Learning, especially when dealing with time series, as it aims to optimize the training process and enhance the model’s generalization capability. Table 4 presents a comparison of the number of signals per scenario before and after segmentation, highlighting the substantial increase in the number of samples available for training, validation, and monitoring.
The acceleration data, collected in baseline and damaged scenarios, were prepared for numerical simulation through the application of a second-order Chebyshev type II low-pass filter. With a cutoff frequency of 500 Hz, this filter attenuates high-frequency components, isolating the dynamic characteristics of interest. To simulate real operating conditions, random noise with a normal distribution was added to the filtered signals, representing the inherent uncertainties and disturbances in the system. The 10 kHz sampling rate ensures adequate temporal resolution for capturing the system’s fast dynamics.

4.5. Wheel Polygonization Profiles

The wheels of railway vehicles, although designed to be circular, often present irregularities that significantly affect the dynamic performance of the system. One such imperfection, known as polygonization, consists of radial undulations along the tread. The severity of these undulations, when greater than 0.2 mm, can induce considerable variations in the wheel–rail contact forces, generating vibrations and noise. The geometric characterization of polygonization involves the calculation of the wavelength ( λ ) of the irregularities, which is a function of the wheel radius ( R w ) and the harmonic order ( θ ) of the undulation, as expressed by Equation (8), where θ takes positive integer values.
λ = 2 π R w θ , θ = 1 , 2 , 3 , . . . , n
To cover a wide range of operating conditions, two sets of wheel profiles were generated for the numerical simulations. These profiles were constructed from real wheel data, both under initial polygonization damage conditions (Damage 1) and under more severe polygonization damage conditions (Damage 2), with their respective irregularity spectra presented in Figure 9.
The measurement data used to characterize the wheel profiles were obtained from two main sources: (i) Johansson et al. (2005) [63] provided data for intact polygonal wheels (Damage 1), with a wavelength spectrum extending across 20 harmonics, ranging from 0.135 to 2.7 m (Figure 9a); (ii) Cai et al. (2019) [64] provided data for polygonal wheels with damage (Damage 2), where the first 30 harmonics were considered. For these latter data, the sixth to eighth harmonic orders were predominant, indicating a specific wear pattern.
A variety of wheel profiles with different levels of irregularities were numerically synthesized. The methodology employed involved the superposition of multiple sinusoidal functions (H = 30), as described in Equation (9).
w ( x w ) = θ = 1 H A θ sin 2 π λ x w + ψ θ
The amplitude of each sinusoidal component, A θ , was determined using Equation (10), where ω ref represents a reference wavelength.
A θ = 2 · 10 L w 20 · w r e f
Figure 9 illustrates the irregularity spectra used to calibrate the numerical models, both for the initial polygonization condition (Figure 9a) and for the severe polygonization condition (Figure 9b). For each spectrum, a set of profiles was generated by randomly varying the initial phases ψ θ of the sinusoidal functions within the range of 0 to 2 π . This approach enabled the simulation of the inherent randomness associated with wheel manufacturing and wear processes. The high similarity between the acceleration signals obtained for healthy wheels and those with different levels of polygonization can be verified in Figure 10. This figure illustrates the complexity of the task of classifying defects in railway wheels using Machine Learning techniques. The small variation in signal amplitude and the similarity between them make the distinction between the classes a complex task, requiring the extraction of high-order features for accurate classification.

5. Application of the Proposed SHM Methodology to Numerical Data

5.1. Analysis of Reconstruction Results

The original vibrational response and its respective reconstruction made by VAE, SAE, and CAE models for the first accelerometer of each simulated scenario are presented in Figure 11, Figure 12 and Figure 13, respectively. The results of the other accelerometers were similar to those presented and, thus, were omitted. The optimal hyperparameters for the AutoEncoders, determined using Optuna, are listed in Table 5. They are applied in both the training and validation of the models.
Except for the VAE, which exhibited difficulties in fully reconstructing all signal classes, both the SAE and CAE demonstrated a good ability to represent the original characteristics of the data. A comparative analysis of the latent representations reveals a clear gradient in reconstruction similarity relative to the original signal, with classes closer to class 0 exhibiting higher fidelity. This trend suggests that both the SAE and CAE can capture the structural nuances of the data, enabling the accurate identification of anomalies and changes in behavioral patterns.
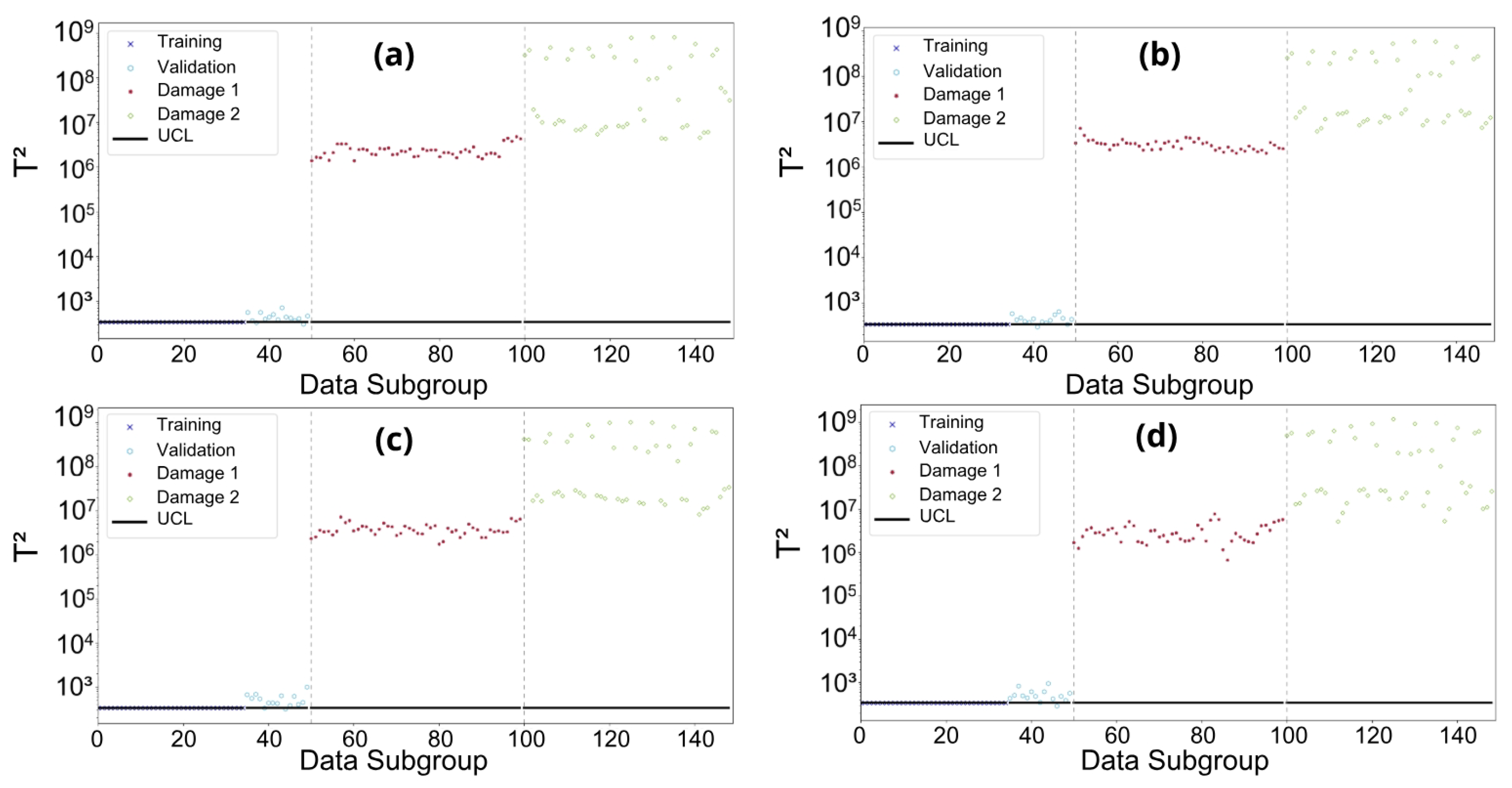
Visualization of the results obtained using Shewhart’s T 2 Control Chart (Figure 14, Figure 15 and Figure 16) confirms the effectiveness of the AutoEncoders in detecting anomalies. Analysis of the data from accelerometers 1 to 4 reveals a clear separation among classes, indicating that the models can discriminate between different operating conditions. This separability is particularly evident for the SAE and CAE models, corroborating the results of the qualitative analysis of the reconstructions.
The analysis of Figure 14 and Figure 15 reveals a good agreement between the T 2 results obtained by the CAE and SAE models in both training and validation classes. This similarity indicates a generalization capability of the models, i.e., their ability to accurately classify data not used during training. The VAE model, as illustrated in Figure 16 and corroborated by Figure 19, exhibits mixed results. In some cases, a less evident separation between validation and monitoring data is observed, as indicated in Figure 16b,c. In other cases, it is possible to identify an overlap between damage classes 1 and 2, as evidenced in Figure 16a and Figure 19a. Furthermore, the model suggests a convergence of damage classes 1 and 2 with the training and validation data, as demonstrated in Figure 16d and Figure 19d. These mixed behaviors and inconsistencies highlight the difficulty of the VAE in capturing the intrinsic characteristics of the data and, consequently, in generalizing to new datasets.
Except for the VAE model, all proposed methodologies demonstrated sensitivity to structural changes, as evidenced by crossing the Upper Control Limit in the monitoring classes. The VAE model, in none of the six evaluated scenarios, exhibited sensitivity to structural changes, as previously discussed, showing varied behaviors and being outperformed in 100% of the cases by the SAE methodology and in 83.33% of the cases by the CAE methodology. However, the comparative analysis of the results indicates that the SAE methodology stands out in precisely quantifying these changes. When comparing the performances of the CAE and SAE models, the latter proved to be more effective in quantifying the magnitude of structural changes. Although both models show an increase in T 2 values as damage severity increases, the SAE provides a clearer separation between damage classes 1 and 2, indicating higher sensitivity to subtle variations in the data. Furthermore, among the six accelerometers evaluated, the SAE methodology did not present any overlap of the whiskers in the box-plots for monitoring data, whereas the CAE methodology exhibited whisker overlap for accelerometer 4, as shown in Figure 14d. These results reveal a 100% accuracy rate for the SAE model compared to 83.33% for the CAE model.
For a more detailed visualization of the T 2 value distributions and to facilitate model comparisons, box-plots were constructed (Figure 17, Figure 18 and Figure 19). These graphs enable the identification of the variability in T 2 values for each model and scenario, as well as highlighting potential outliers. The analysis of the box-plots supports the previous conclusions, emphasizing the superiority of the SAE methodology in detecting and quantifying structural changes.
Figure 17. Box-plots of T 2 values from the CAE model. (a) Accelerometer 1; (b) accelerometer 2; (c) accelerometer 3; (d) accelerometer 4.
Figure 17. Box-plots of T 2 values from the CAE model. (a) Accelerometer 1; (b) accelerometer 2; (c) accelerometer 3; (d) accelerometer 4.
Applsci 15 02662 g017
Figure 18. Box-plots of T 2 values from the SAE model. (a) Accelerometer 1; (b) accelerometer 2; (c) accelerometer 3; (d) accelerometer 4.
Figure 18. Box-plots of T 2 values from the SAE model. (a) Accelerometer 1; (b) accelerometer 2; (c) accelerometer 3; (d) accelerometer 4.
Applsci 15 02662 g018
Figure 19. Box-plots of T 2 values from the VAE model. (a) Accelerometer 1; (b) accelerometer 2; (c) accelerometer 3; (d) accelerometer 4.
Figure 19. Box-plots of T 2 values from the VAE model. (a) Accelerometer 1; (b) accelerometer 2; (c) accelerometer 3; (d) accelerometer 4.
Applsci 15 02662 g019
When submitting an AutoEncoder trained with data representative of a healthy structural state to new data from the same state, it is expected that the latent representations will exhibit small variations around a central value, as evidenced by T 2 values close to the mean. This observation reflects the model’s ability to capture the intrinsic characteristics of the healthy state. However, when the model is exposed to data from a damaged state, the latent representations tend to deviate significantly from the learned pattern, manifesting in high T 2 values. This divergence results from the model’s inability to adequately reconstruct anomalous data, revealing the presence of damage or anomalies in the structure.
The results obtained in this study support the theoretical expectations, with the exception of the VAE. Specifically, for the SAE and CAE models, damage classes 1 and 2, associated with structural damage in railway wheels, exhibited significantly higher T 2 values, indicating a clear correlation between the severity of the damage and the distance of the latent representations from the mean. This trend demonstrates the effectiveness of AutoEncoders in quantifying structural damage severity, with SAE and CAE showing greater sensitivity to changes in data characteristics.
The comparative analysis between the CAE and SAE models revealed good performance in discriminating between different damage classes, with no overlap between the whiskers of the box-plots corresponding to distinct classes. However, the SAE model proved to be more sensitive to damage gradations, showing greater separation between damage classes 1 and 2. This observation suggests that SAE may be more suitable for accurately quantifying degradation stages.
In contrast to the results obtained for the CAE and SAE models, the VAE faced challenges in distinguishing between different levels of irregularities, as shown in Figure 19. The significant overlap between the box-plots corresponding to validation data and damage class 1, along with the deviation between training and validation data, indicates that the model failed to effectively capture the distinctive features of these classes. Although the results for accelerometers 2 and 3 were relatively acceptable, the same does not apply to accelerometers 1 and 4, as their box-plots showed significant overlap. This limitation may be attributed to various factors, such as problem complexity, model architecture, and even the range of hyperparameters used in optimization performed by Optuna.

5.2. Computational Processing Times

To ensure reproducibility, result accuracy, and feasibility verification for model application, each stage of the experiment—from data loading to the final damage assessment using the T 2 index—was timed. The systematic repetition of the training, validation, and testing stages, along with the application of T 2 , the generation of box-plots, and damage index quantification, guaranteed the reproducibility of the results. For each AE model, procedures were executed six times using the available accelerometers. The average execution times obtained for each model are presented in Table 6.
The evaluation of execution times across different methodologies revealed a clear hierarchy of computational complexity. Variational AutoEncoder models exhibited the longest processing time, averaging 7 h 01 min 21 s. This characteristic is intrinsic to the probabilistic nature of VAEs, which require inference of complex latent distributions. In contrast, Sparse AutoEncoder models demonstrated an average execution time of 5 h 28 min 48 s, indicating a considerable reduction compared to VAEs. Convolutional AutoEncoders emerged as the most efficient approach, with an average execution time of 3 h 31 min 9 s, representing a 35.78% reduction compared to SAE and 50.11% compared to VAE. This computational performance advantage can be attributed to the convolutional architecture, which weights the hierarchical structure of the data and reduces the number of parameters to be estimated.
Despite the differences observed in execution times, it is interesting to highlight that, in a practical context, the average values obtained for all methodologies were quite reasonable. Furthermore, although the computational cost is relevant, it does not represent a hindering barrier to the application of any of these techniques. Consequently, the choice between VAE, SAE, and CAE models should be guided mainly by the quality of the results produced and the suitability of each model to the specific problem under investigation.

6. Conclusions

In this study, three AE-based methodologies, combined with Hotelling’s T 2 statistics, were compared to detect and quantify structural changes in railway wheels. SAE- T 2 stood out for its accurate anomaly detection and computational efficiency, outperforming VAE- T 2 and CAE- T 2 . VAE, on the other hand, faced challenges in generalizing and correctly classifying data. While CAE- T 2 produced promising results, SAE- T 2 proved to be slightly more accurate in distinguishing between different levels of damage analyzed. Hyperparameter optimization proved to be important in enhancing models’ performances, as evidenced by the variation in the results obtained for each model and structure.
The choice between SAE and CAE methodologies depends on factors such as runtime and available computational resources. SAE- T 2 is more accurate, while CAE- T 2 is faster. Considering current technological advances and available data processing capacity, runtime does not necessarily constitute a significant impediment for SAE- T 2 . VAE, however, proved to be less effective due to difficulties in adjusting the suggestion range of its hyperparameters.
For future research, we propose the development of real-time monitoring systems coupling the IoT (Internet of Things) with cloud computing to detect anomalies in an automated manner. Additionally, exploring advanced Machine Learning techniques, such as reinforcement learning and Generative Adversarial Networks, may lead to significant advancements in SHM. Incorporating time–frequency analysis techniques may also enrich data analysis and enable the detection of subtle changes in structural behavior. Furthermore, to validate the methodology developed in this work, an experimental campaign will be planned, in which vehicles with wheel defects properly characterized will pass through an instrumented section of the track.

Author Contributions

Conceptualization, R.F., F.B., and A.C.; methodology, R.F., F.B., and A.C.; validation, R.M.; formal analysis, R.M. and A.C.; investigation, A.M. and D.R.; resources, D.R.; data curation, A.M., A.G., and V.G.; writing—original draft, R.M.; writing—review and editing, F.B., A.C., R.F., and D.R.; supervision, A.C.; project administration, F.B. and A.C.; funding acquisition, F.B., A.C., D.R., and A.M. All authors have read and agreed to the published version of the manuscript.

Funding

This work was financed by CAPES (Finance Code 0001), Conselho Nacional de Desenvolvimento Científico e Tecnológico—CNPq (Brazil)—Grants CNPq/FNDCT/MCTI 407256/2022-9, 402533/2023-2, 303982/2022-5, and 308008/2021-9 and Fundação de Amparo à Pesquisa do Estado de Minas Gerais—FAPEMIG—Grants BPD-00080-22 and APQ-00032-24. Coauthors Andreia Meixedo, Diogo Ribeiro, António Guedes, and Vítor Gonçalves acknowledge the financial support from Base Funding—UIDB/04708/2020 with DOI 10.54499/UIDB/04708/2020 (https://doi.org/10.54499/UIDB/04708/2020, accessed on 24 February 2025) and Programmatic Funding—UIDP/04708/2020 with DOI 10.54499/UIDP/04708/2020 (https://doi.org/10.54499/UIDP/04708/2020, accessed on 24 February 2025) of the CONSTRUCT—Instituto de I&D em Estruturas e Construções—funded by national funds through the FCT/MCTES (PIDDAC).

Institutional Review Board Statement

Not applicable.

Informed Consent Statement

Not applicable.

Data Availability Statement

The dataset described in this study was also addressed in the works of Magalhães et al. (2024) [3] and Guedes et al. (2023) [2] and is available at https://bit.ly/SHM-Data (accessed on 24 February 2025). All codes used in this study are available at https://bit.ly/SHM-CoDes (accessed on 24 February 2025).

Conflicts of Interest

The authors declare no conflicts of interest.

References

  1. Nielsen, J.C.O.; Johansson, A. Out-of-round railway wheels-a literature survey. Proc. Inst. Mech. Eng. Part F J. Rail Rapid Transit 2000, 214, 79–91. [Google Scholar] [CrossRef]
  2. Guedes, A.; Silva, R.; Ribeiro, D.; Vale, C.; Mosleh, A.; Montenegro, P.; Meixedo, A. Detection of Wheel Polygonization Based on Wayside Monitoring and Artificial Intelligence. Sensors 2023, 23, 2188. [Google Scholar] [CrossRef] [PubMed]
  3. Magalhães, J.; Jorge, T.; Silva, R.; Guedes, A.; Ribeiro, D.; Meixedo, A.; Mosleh, A.; Vale, C.; Montenegro, P.; Cury, A. A strategy for out-of-roundness damage wheels identification in railway vehicles based on sparse autoencoders. Railw. Eng. Sci. 2024, 32, 421–443. [Google Scholar] [CrossRef]
  4. Kaper, H. Wheel corrugation on Netherlands railways (NS): Origin and effects of “polygonization” in particular. J. Sound Vib. 1988, 120, 267–274. [Google Scholar] [CrossRef]
  5. Snyder, T.W.; Stone, H.; Kristan, J. Wheel flat and out-of round formation and growth. In Proceeding of the 2003 IEEE/ASME Joint Railroad Conference, Chicago, IL, USA, 24–24 April 2003; pp. 143–148. [Google Scholar] [CrossRef]
  6. Staskiewicz, T.; Firlik, B. Out-of-round tram wheels – current state and measurements. Arch. Transp. 2018, 45, 93–103. [Google Scholar] [CrossRef]
  7. Wu, X.; Rakheja, S.; Qu, S.; Wu, P.; Zeng, J.; Ahmed, A. Dynamic responses of a high-speed railway car due to wheel polygonalisation. Veh. Syst. Dyn. 2018, 56, 1817–1837. [Google Scholar] [CrossRef]
  8. Vale, C.; Simões, M.L. Prediction of Railway Track Condition for Preventive Maintenance by Using a Data-Driven Approach. Infrastructures 2022, 7, 34. [Google Scholar] [CrossRef]
  9. Malekjafarian, A.; OBrien, E.J.; Quirke, P.; Cantero, D.; Golpayegani, F. Railway Track Loss-of-Stiffness Detection Using Bogie Filtered Displacement Data Measured on a Passing Train. Infrastructures 2021, 6, 93. [Google Scholar] [CrossRef]
  10. Ngamkhanong, C.; Kaewunruen, S.; Costa, B.J.A. State-of-the-Art Review of Railway Track Resilience Monitoring. Infrastructures 2018, 3, 3. [Google Scholar] [CrossRef]
  11. Du, J.; Zhao, X.; Su, J.; Li, B.; Duan, X.; Dong, T.; Lin, H.; Ren, Y.; Miao, Y.; Radamson, H.H. Review of Short-Wavelength Infrared Flip-Chip Bump Bonding Process Technology. Sensors 2025, 25, 263. [Google Scholar] [CrossRef]
  12. Finotti, R.P.; Barbosa, F.d.S.; Cury, A.A.; Gentile, C. A novel natural frequency-based technique to detect structural changes using computational intelligence. Procedia Eng. 2017, 199, 3314–3319. [Google Scholar] [CrossRef]
  13. Finotti, R.P.; Barbosa, F.d.S.; Cury, A.A.; Pimentel, R.L. Numerical and Experimental Evaluation of Structural Changes Using Sparse Auto-Encoders and SVM Applied to Dynamic Responses. Appl. Sci. 2021, 11, 11965. [Google Scholar] [CrossRef]
  14. Wei, Z.; Núñez, A.; Li, Z.; Dollevoet, R. Evaluating Degradation at Railway Crossings Using Axle Box Acceleration Measurements. Sensors 2017, 17, 2236. [Google Scholar] [CrossRef] [PubMed]
  15. Barke, D.; Chiu, W.K. Structural Health Monitoring in the Railway Industry: A Review. Struct. Health Monit. 2005, 4, 81–93. [Google Scholar] [CrossRef]
  16. Bianchi, G.; Fanelli, C.; Freddi, F.; Giuliani, F.; Placa, A.L. Systematic review railway infrastructure monitoring: From classic techniques to predictive maintenance. Adv. Mech. Eng. 2025, 17, 16878132241285631. [Google Scholar] [CrossRef]
  17. Wu, P.; Zhang, F.; Wang, J.; Wei, L.; Huo, W. Review of wheel-rail forces measuring technology for railway vehicles. Adv. Mech. Eng. 2023, 15, 16878132231158991. [Google Scholar] [CrossRef]
  18. Ni, Y.Q.; Zhang, Q.H. A Bayesian machine learning approach for online detection of railway wheel defects using track-side monitoring. Struct. Health Monit. 2021, 20, 1536–1550. [Google Scholar] [CrossRef]
  19. Mohammadi, M.; Mosleh, A.; Vale, C.; Ribeiro, D.; Montenegro, P.; Meixedo, A. Smart railways: AI-based track-side monitoring for wheel flat identification. Proc. Inst. Mech. Eng. Part F J. Rail Rapid Transit 2025, 239, 272–289. [Google Scholar] [CrossRef]
  20. Amini, A.; Entezami, M.; Huang, Z.; Rowshandel, H.; Papaelias, M. Wayside detection of faults in railway axle bearings using time spectral kurtosis analysis on high-frequency acoustic emission signals. Adv. Mech. Eng. 2016, 8, 1687814016676000. [Google Scholar] [CrossRef]
  21. Wu, Y.; Wang, J.; Liu, M.; Jin, X.; Hu, X.; Xiao, X.; Wen, Z. Polygonal wear mechanism of high-speed wheels based on full-size wheel-rail roller test rig. Wear 2022, 494–495, 204234. [Google Scholar] [CrossRef]
  22. Ye, Y.; Wei, L.; Li, F.; Zeng, J.; Hecht, M. Multislice Time-Frequency image Entropy as a feature for railway wheel fault diagnosis. Measurement 2023, 216, 112862. [Google Scholar] [CrossRef]
  23. Ye, Y.; Bin, Z.; Ping, H.; Bo, P. OORNet: A Deep Learning Model for on-Board Condition Monitoring and Fault Diagnosis of out-of-Round Wheels of High-Speed Trains. Measurement 2022, 199, 111268. [Google Scholar] [CrossRef]
  24. Zhou, J.; Zhang, Z.; Jin, Z.; Kong, X.; Wang, X.; Liu, H. Indirect measurement of bridge surface roughness using vibration responses of a two-axle moving vehicle based on physics-constrained generative adversarial network. J. Sound Vib. 2025, 595, 118763. [Google Scholar] [CrossRef]
  25. Lee, J.; Song, S.H.; Kim, R.E.; Lee, J.H. A Generative adversarial network model for estimating temporal frequency variation of vehicle-bridge interaction using modified Stockwell transform. J. Sound Vib. 2025, 594, 118655. [Google Scholar] [CrossRef]
  26. Finotti, R.P.; Gentile, C.; Barbosa, F.d.S.; Cury, A.A. Structural novelty detection based on sparse autoencoders and control charts. Struct. Eng. Mech. 2022, 81, 647–664. [Google Scholar] [CrossRef]
  27. Spínola Neto, M.; Finotti, R.P.; Barbosa, F.d.S.; Cury, A.A. Structural Damage Identification Using Autoencoders: A Comparative Study. Buildings 2024, 14, 2014. [Google Scholar] [CrossRef]
  28. Finotti, R.P.; Barbosa, F.d.S.; Cury, A.A.; Pimentel, R.L. Novelty Detection Using Sparse Auto-Encoders to Characterize Structural Vibration Responses. Arab. J. Sci. Eng. 2022, 47, 13049–13062. [Google Scholar] [CrossRef]
  29. Xu, H.; Chen, W.; Zhao, N.; Li, Z.; Bu, J.; Li, Z.; Liu, Y.; Zhao, Y.; Pei, D.; Feng, Y.; et al. Unsupervised Anomaly Detection via Variational Auto-Encoder for Seasonal KPIs in Web Applications. In Proceedings of the 2018 World Wide Web Conference, Lyon, France, 23–27 April 2018; pp. 187–196. [Google Scholar] [CrossRef]
  30. Ehsani, N.; Aminifar, F.; Mohsenian-Rad, H. Convolutional autoencoder anomaly detection and classification based on distribution PMU measurements. IET Gener. Transm. Distrib. 2022, 16, 2816–2828. [Google Scholar] [CrossRef]
  31. ANSYS®. Academic Research; ANSYS®: Canonsburg, PA, USA, 2018. [Google Scholar]
  32. Costa, C.; Ribeiro, D.; Jorge, P.; Rúben, S.; Rui, C.; Arêde, A. Calibration of the Numerical Model of a Short-span Masonry Railway Bridge Based on Experimental Modal Parameters. Procedia Eng. 2015, 114, 846–853. [Google Scholar] [CrossRef]
  33. Meixedo, A.; Ribeiro, D.; Calçada, R.; Delgado, R. Global and Local Dynamic Effects on a Railway Viaduct with Precast Deck. In Proceedings of the Second International Conference on Railway Technology: Research, Development and Maintenance, Ajaccio, Corsica, France, 8–11 April 2014. [Google Scholar]
  34. Castillo-Mingorance, J.M.; Sol-Sánchez, M.; Moreno-Navarro, F.; Rubio-Gámez, M.C. A Critical Review of Sensors for the Continuous Monitoring of Smart and Sustainable Railway Infrastructures. Sustainability 2020, 12, 9428. [Google Scholar] [CrossRef]
  35. Goodfellow, I.; Bengio, Y.; Courville, A. Deep Learning; MIT Press: Cambridge, MA, USA, 2016. [Google Scholar]
  36. Montgomery, D.C. Introduction to Statistical Quality Control, Sixth Edition; John Wiley & Sons: Hoboken, NJ, USA, 2009. [Google Scholar]
  37. Finotti, R.P.; Felício, C.; Oliveira, P.H.E.; Barbosa, F.d.S.; Cury, A.A.; Silva, R.C. Novelty detection on a laboratory benchmark slender structure using an unsupervised deep learning algorithm. Lat. Am. J. Solids Struct. 2023, 20, e512. [Google Scholar] [CrossRef]
  38. Resende, L.; Finotti, R.; Barbosa, F.; Garrido, H.; Cury, A.; Domizio, M. Damage identification using convolutional neural networks from instantaneous displacement measurements via image processing. Struct. Health Monit. 2024, 23, 1627–1640. [Google Scholar] [CrossRef]
  39. Li, Z.; Liu, F.; Yang, W.; Peng, S.; Zhou, J. A Survey of Convolutional Neural Networks: Analysis, Applications, and Prospects. IEEE Trans. Neural Netw. Learn. Syst. 2022, 33, 6999–7019. [Google Scholar] [CrossRef] [PubMed]
  40. Qi, J.; Du, J.; Siniscalchi, S.M.; Ma, X.; Lee, C.H. On Mean Absolute Error for Deep Neural Network Based Vector-to-Vector Regression. IEEE Signal Process. Lett. 2020, 27, 1485–1489. [Google Scholar] [CrossRef]
  41. Cataltas, O.; Tutuncu, K. Detection of protein, starch, oil, and moisture content of corn kernels using one-dimensional convolutional autoencoder and near-infrared spectroscopy. PeerJ Comput. Sci. 2023, 9, e1266. [Google Scholar] [CrossRef]
  42. Akiba, T.; Sano, S.; Yanase, T.; Ohta, T.; Koyama, M. Optuna: A Next-generation Hyperparameter Optimization Framework. In Proceedings of the 25th ACM SIGKDD Conference on Knowledge Discovery and Data Mining, Anchorage, AK, USA, 4–8 August 2019; Association for Computing Machinery: New York, NY, USA, 2019; pp. 2623–2631. [Google Scholar] [CrossRef]
  43. Bergstra, J.; Yamins, D.; Cox, D. Making a Science of Model Search: Hyperparameter Optimization in Hundreds of Dimensions for Vision Architectures. In Proceedings of the 30th International Conference on Machine Learning, Atlanta, GA, USA, 16–21 June 2013. [Google Scholar]
  44. Microsoft. Microsoft Visual Studio Code; Version 1.93; Microsoft: Redmond, WA, USA, 2009. [Google Scholar]
  45. UIC. Code of Practice for the Loading and Securing of Goods on Railway Wagons; UIC: Paris, Île-de-France, France, 2022. [Google Scholar]
  46. Ribeiro, D.; Calçada, R.; Delgado, R.; Brehm, M.; Zabel, V. Finite-element model calibration of a railway vehicle based on experimental modal parameters. Veh. Syst. Dyn. 2013, 51, 821–856. [Google Scholar] [CrossRef]
  47. Bragança, C.; Neto, J.; Pinto, N.; Montenegro, P.A.; Ribeiro, D.; Carvalho, H.; Calçada, R. Calibration and validation of a freight wagon dynamic model in operating conditions based on limited experimental data. Veh. Syst. Dyn. 2022, 60, 3024–3050. [Google Scholar] [CrossRef]
  48. Montenegro, P.; Heleno, R.; Carvalho, H.; Calçada, R.; Baker, C. A comparative study on the running safety of trains subjected to crosswinds simulated with different wind models. J. Wind. Eng. Ind. Aerodyn. 2020, 207, 104398. [Google Scholar] [CrossRef]
  49. Mosleh, A.; Montenegro, P.; Alves Costa, P.; Calçada, R. An approach for wheel flat detection of railway train wheels using envelope spectrum analysis. Struct. Infrastruct. Eng. 2020, 17, 1710–1729. [Google Scholar] [CrossRef]
  50. Ribeiro, D.; Calçada, R.; Brehm, M.; Zabel, V. Calibration of the numerical model of a track section over a railway bridge based on dynamic tests. Structures 2021, 34, 4124–4141. [Google Scholar] [CrossRef]
  51. Mosleh, A.; Montenegro, P.A.; Costa, P.A.; Calçada, R. Railway Vehicle Wheel Flat Detection with Multiple Records Using Spectral Kurtosis Analysis. Appl. Sci. 2021, 11, 4002. [Google Scholar] [CrossRef]
  52. Montenegro, P.; Neves, S.; Calçada, R.; Tanabe, M.; Sogabe, M. Wheel–rail contact formulation for analyzing the lateral train–structure dynamic interaction. Comput. Struct. 2015, 152, 200–214. [Google Scholar] [CrossRef]
  53. Montenegro, P.A.; Calçada, R.; Pouca, N.V.; Tanabe, M. Running safety assessment of trains moving over bridges subjected to moderate earthquakes. Earthq. Eng. Struct. Dyn. 2016, 45, 483–504. [Google Scholar] [CrossRef]
  54. Montenegro, P.A.; Barbosa, D.; Carvalho, H.; Calçada, R. Dynamic effects on a train-bridge system caused by stochastically generated turbulent wind fields. Eng. Struct. 2020, 211, 110430. [Google Scholar] [CrossRef]
  55. Gonçalves, V.; Mosleh, A.; Vale, C.; Montenegro, P. Wheel Out-of-Roundness Detection Using an Envelope Spectrum Analysis. Sensors 2023, 23, 2138. [Google Scholar] [CrossRef]
  56. Sugiyama, H.; Araki, K.; Suda, Y. On-line and off-line wheel/rail contact algorithm in the analysis of multibody railroad vehicle systems. J. Mech. Sci. Technol. 2009, 23, 991–996. [Google Scholar] [CrossRef]
  57. Hertz, H. Ueber die Berührung fester elastischer Körper. De Gruyter 1882, 1882, 156–171. [Google Scholar] [CrossRef]
  58. Kalker, J. Book of Tables for the Herzian Creep-Force Law; Faculty of Technical Mathematics and Informatics, Delft University of Technology: Delft, The Netherlands, 1996. [Google Scholar]
  59. MathWorks. MATLAB®, version R2022a; The MathWorks Inc.: Natick, MA, USA, 2022. [Google Scholar]
  60. Mohammadi, M.; Mosleh, A.; Vale, C.; Ribeiro, D.; Montenegro, P.; Meixedo, A. An Unsupervised Learning Approach for Wayside Train Wheel Flat Detection. Sensors 2023, 23, 1910. [Google Scholar] [CrossRef]
  61. Mosleh, A.; Meixedo, A.; Ribeiro, D.; Montenegro, P.; Calçada, R. Early wheel flat detection: An automatic data-driven wavelet-based approach for railways. Veh. Syst. Dyn. 2022, 61, 1644–1673. [Google Scholar] [CrossRef]
  62. Mosleh, A.; Meixedo, A.; Ribeiro, D.; Montenegro, P.; Calçada, R. Automatic clustering-based approach for train wheels condition monitoring. Int. J. Rail Transp. 2023, 11, 639–664. [Google Scholar] [CrossRef]
  63. Johansson, A.; Andersson, C. Out-of-round railway wheels—A study of wheel polygonalization through simulation of three-dimensional wheel–rail interaction and wear. Veh. Syst. Dyn. 2023, 43, 539–559. [Google Scholar] [CrossRef]
  64. Cai, W.; Chi, M.; Tao, G.; Wu, X.; Wen, Z. Experimental and Numerical Investigation into Formation of Metro Wheel Polygonalization. Shock Vib. 2019, 2019, 1538273. [Google Scholar] [CrossRef]
Figure 1. Example of an SAE network structure (Finotti et al. (2021) [13]).
Figure 1. Example of an SAE network structure (Finotti et al. (2021) [13]).
Applsci 15 02662 g001
Figure 2. Example of a VAE network structure.
Figure 2. Example of a VAE network structure.
Applsci 15 02662 g002
Figure 4. Flowchart of the proposed methodology.
Figure 4. Flowchart of the proposed methodology.
Applsci 15 02662 g004
Figure 5. Graphical representation of the numerical model of the railway vehicle considered (Guedes et al. (2023) [2]).
Figure 5. Graphical representation of the numerical model of the railway vehicle considered (Guedes et al. (2023) [2]).
Applsci 15 02662 g005
Figure 6. Three-dimensional graphical representation of the numerical model of the track adopted in this study (Guedes et al. (2023)) [2].
Figure 6. Three-dimensional graphical representation of the numerical model of the track adopted in this study (Guedes et al. (2023)) [2].
Applsci 15 02662 g006
Figure 7. Representation of the numerical modeling steps that form the study model, with the wheels considered in the analysis highlighted. (Adapted from Mohammadi et al. (2023) [60].)
Figure 7. Representation of the numerical modeling steps that form the study model, with the wheels considered in the analysis highlighted. (Adapted from Mohammadi et al. (2023) [60].)
Applsci 15 02662 g007
Figure 8. Virtual wayside monitoring system with accelerometers positioned mid-span between sleepers: (a) back view; (b) top view. (Adapted from Magalhães et al. (2024) [3].)
Figure 8. Virtual wayside monitoring system with accelerometers positioned mid-span between sleepers: (a) back view; (b) top view. (Adapted from Magalhães et al. (2024) [3].)
Applsci 15 02662 g008
Figure 9. Amplitude spectra of wheel irregularity (Lw) and harmonic order ( θ ) in (a) undamaged polygonal wheel (Johansson et al. (2005) [63]), (b) damaged polygonal wheel (Cai et al. (2019) [64]).
Figure 9. Amplitude spectra of wheel irregularity (Lw) and harmonic order ( θ ) in (a) undamaged polygonal wheel (Johansson et al. (2005) [63]), (b) damaged polygonal wheel (Cai et al. (2019) [64]).
Applsci 15 02662 g009
Figure 10. Original signals from accelerometer 1 for the conditions: (a) No damage; (b) Damage 1; (c) Damage 2.
Figure 10. Original signals from accelerometer 1 for the conditions: (a) No damage; (b) Damage 1; (c) Damage 2.
Applsci 15 02662 g010
Figure 11. Original and reconstructed signals by the CAE model for accelerometer 1: (a) training of damage class 0; (b) validation of damage class 0; (c) testing of damage class 1; (d) testing of damage class 2.
Figure 11. Original and reconstructed signals by the CAE model for accelerometer 1: (a) training of damage class 0; (b) validation of damage class 0; (c) testing of damage class 1; (d) testing of damage class 2.
Applsci 15 02662 g011
Figure 12. Original and reconstructed signals by the SAE model for accelerometer 1: (a) training of damage class 0; (b) validation of damage class 0; (c) testing of damage class 1; (d) testing of damage class 2.
Figure 12. Original and reconstructed signals by the SAE model for accelerometer 1: (a) training of damage class 0; (b) validation of damage class 0; (c) testing of damage class 1; (d) testing of damage class 2.
Applsci 15 02662 g012
Figure 13. Original and reconstructed signals by the VAE model for accelerometer 1: (a) training of damage class 0; (b) validation of damage class 0; (c) testing of damage class 1; (d) testing of damage class 2.
Figure 13. Original and reconstructed signals by the VAE model for accelerometer 1: (a) training of damage class 0; (b) validation of damage class 0; (c) testing of damage class 1; (d) testing of damage class 2.
Applsci 15 02662 g013
Figure 14. Shewhart T 2 Control Charts for the analysis of the CAE model. (a) Accelerometer 1; (b) accelerometer 2; (c) accelerometer 3; (d) accelerometer 4.
Figure 14. Shewhart T 2 Control Charts for the analysis of the CAE model. (a) Accelerometer 1; (b) accelerometer 2; (c) accelerometer 3; (d) accelerometer 4.
Applsci 15 02662 g014
Figure 15. Shewhart T 2 Control Charts for the analysis of the SAE model. (a) Accelerometer 1; (b) accelerometer 2; (c) accelerometer 3; (d) accelerometer 4.
Figure 15. Shewhart T 2 Control Charts for the analysis of the SAE model. (a) Accelerometer 1; (b) accelerometer 2; (c) accelerometer 3; (d) accelerometer 4.
Applsci 15 02662 g015
Figure 16. Shewhart T 2 Control Charts for the analysis of the VAE model. (a) Accelerometer 1; (b) accelerometer 2; (c) accelerometer 3; (d) accelerometer 4.
Figure 16. Shewhart T 2 Control Charts for the analysis of the VAE model. (a) Accelerometer 1; (b) accelerometer 2; (c) accelerometer 3; (d) accelerometer 4.
Applsci 15 02662 g016
Table 1. Feature analysis across different AutoEncoder implementations evaluated.
Table 1. Feature analysis across different AutoEncoder implementations evaluated.
ModelUse in SHMAdvantagesDisadvantagesKey Features of SHM
SAE- Feature extraction from vibration, acoustic, or strain signals.
- Identifying relevant features indicative of damage through sparse activations.
- Promotes a compact, interpretable feature space.
- Reduces overfitting by forcing many hidden units to stay near zero activation.
- Relatively simple to implement and train.
- Requires careful tuning of sparsity penalties (too strong can lose key information, too weak can yield irrelevant representations).
- Not specifically tailored to spatial/temporal correlations.
- Particularly good for applications where explainability or interpretability of sensor features is desired.
- Works well in combination with other models for dimension reduction.
VAE- Anomaly detection by learning a probabilistic latent space.
- Estimating uncertainty in sensor signals.
- Generative modeling of normal structural behavior.
- Provides a probabilistic framework.
- Good for assessing the likelihood of damage scenarios.
- The latent space can capture underlying structural variability.
- Can generate synthetic “normal” data for comparison or data augmentation.
- More complex to train due to KL divergence term and reparameterization trick.
- May produce smoother/less sharp reconstruction outputs, especially for high-dimensional signals/images.
- Enables thresholding on reconstruction probability (not just reconstruction error).
- Helpful for tasks where uncertainty quantification is important in decision-making (e.g., high-stakes infrastructure).
CAE- Image-based SHM (e.g., thermographic images, structural surface crack detection).
- Potentially applied to 2D/3D data (e.g., wavefields, damage scans).
- Learns translationally invariant features, good for imaging tasks.
- Handles high-dimensional data more efficiently (weight sharing, local receptive fields).
- Often provides higher-fidelity reconstructions for visual data.
- Less straightforward if data are purely 1D (e.g., single vibration signals) unless converted to 2D representations (spectrograms, wavelet transforms).
- Network can become large, requiring more computational resources.
- Particularly well suited for visual inspection or 2D representations of structural signals (e.g., spectrogram-based methods).
- Commonly used in damage segmentation or crack detection tasks.
Table 2. Parameters and adopted values for the car body, wheel set, and suspensions (Guedes et al. (2023) [2].)
Table 2. Parameters and adopted values for the car body, wheel set, and suspensions (Guedes et al. (2023) [2].)
ParameterSymbol (Unit)Adopted Value
Car body
Mass m c b (t)41.1
Roll moment of inertia I c b , x (t·m2)49
Pitch moment of inertia I c b , y (t·m2)673
Yaw moment of inertia I c b , z (t·m2)665
Length L c b (m)10,000
Wheel set
Mass m w (kg)1247
Roll moment of inertia I w , x (kg·m2)312
Yaw moment of inertia I w , z (kg·m2)312
Suspensions
Longitudinal stiffness k l , x (kN/m)44,981
Lateral stiffness k l , y (kN/m)30,948
Vertical stiffness k l , z (kN/m)1860
Vertical damping c l , z (kN·s/m)16.7
Table 3. Parameters for the numerical model of the railway track structure (Adapted from Mosleh et al. (2021) [51].)
Table 3. Parameters for the numerical model of the railway track structure (Adapted from Mosleh et al. (2021) [51].)
ParameterSymbol (Unit)Value
Rail area A r ( m 2 ) 7.67 × 10 4
Rail density ρ r ( kg / m 3 )7850
Rail second moment of area I r ( m 4 ) 30.38 × 10 6
Rail Young’s modulus E r ( N / m 2 ) 210 × 10 9
Rail pad, longitudinal stiffness k p , x ( N / m ) 20 × 10 6
Rail pad, longitudinal damping C p , x ( N · s / m ) 50 × 10 3
Rail pad, lateral stiffness k p , y ( N / m ) 20 × 10 6
Rail pad, lateral damping C p , y ( N · s / m ) 50 × 10 3
Rail pad, vertical stiffness k p , z ( N / m ) 500 × 10 6
Rail pad, vertical damping C p , z ( N · s / m ) 200 × 10 3
Sleeper density ρ s ( kg / m 3 )2590
Ballast, longitudinal stiffness k b , x ( N / m ) 900 × 10 3
Ballast, longitudinal damping C b , x ( N · s / m ) 15 × 10 3
Ballast, lateral stiffness k b , y ( N / m ) 2250 × 10 3
Ballast, lateral damping C b , y ( N · s / m ) 15 × 10 3
Ballast, vertical stiffness k b , z ( N / m ) 30 × 10 6
Ballast, vertical damping C b , z ( N · s / m ) 15 × 10 3
Foundation, longitudinal stiffness k f , x ( N / m ) 20 × 10 6
Foundation, lateral stiffness k f , y ( N / m ) 20 × 10 6
Foundation, vertical stiffness k f , z ( N / m ) 20 × 10 6
Table 4. Comparison of data before and after segmentation for each scenario.
Table 4. Comparison of data before and after segmentation for each scenario.
ScenarioNumber of Samples (Before)Number of Samples (After)Points per Sample (Before)Points per Sample (After)
No Damage (reference)1010039,1693916
Damage 1 (left rear wheel, 3rd wagon)1010039,1693916
Damage 2 (right rear wheel, 5th wagon)1010039,1693916
Table 5. Optimized hyperparameters used in AutoEncoder models.
Table 5. Optimized hyperparameters used in AutoEncoder models.
HyperparameterVAESAECAE
learning_rate0.000001044710.0006901410.000688171
epochs140306283
batch_size12325
original_dim391639163916
intermediate_dim2170--
latent_dim214345157
optimizeradamadamadam
lambda_sparse-0.00003972-
Table 6. Individual time per accelerometer and average execution time for each AutoEncoder.
Table 6. Individual time per accelerometer and average execution time for each AutoEncoder.
AccelerometerCAESAEVAE
13 h 27 min 33 s5 h 28 min 17 s5 h 45 min 55 s
23 h 34 min 11 s5 h 27 min 52 s6 h 53 min 19 s
33 h 33 min 12 s5 h 35 min 50 s6 h 55 min 36 s
43 h 31 min 01 s5 h 19 min 23 s8 h 19 min 21 s
53 h 36 min 28 s5 h 45 min 34 s7 h 20 min 29 s
63 h 24 min 27 s5 h 15 min 52 s6 h 54 min 23 s
Average Time3 h 31 min 9 s5 h 28 min 48 s7 h 01 min 21 s
Disclaimer/Publisher’s Note: The statements, opinions and data contained in all publications are solely those of the individual author(s) and contributor(s) and not of MDPI and/or the editor(s). MDPI and/or the editor(s) disclaim responsibility for any injury to people or property resulting from any ideas, methods, instructions or products referred to in the content.

Share and Cite

MDPI and ACS Style

Melo, R.; Finotti, R.; Guedes, A.; Gonçalves, V.; Meixedo, A.; Ribeiro, D.; Barbosa, F.; Cury, A. Out-of-Roundness Wheel Damage Identification in Railway Vehicles Using AutoEncoder Models. Appl. Sci. 2025, 15, 2662. https://doi.org/10.3390/app15052662

AMA Style

Melo R, Finotti R, Guedes A, Gonçalves V, Meixedo A, Ribeiro D, Barbosa F, Cury A. Out-of-Roundness Wheel Damage Identification in Railway Vehicles Using AutoEncoder Models. Applied Sciences. 2025; 15(5):2662. https://doi.org/10.3390/app15052662

Chicago/Turabian Style

Melo, Renato, Rafaelle Finotti, António Guedes, Vítor Gonçalves, Andreia Meixedo, Diogo Ribeiro, Flávio Barbosa, and Alexandre Cury. 2025. "Out-of-Roundness Wheel Damage Identification in Railway Vehicles Using AutoEncoder Models" Applied Sciences 15, no. 5: 2662. https://doi.org/10.3390/app15052662

APA Style

Melo, R., Finotti, R., Guedes, A., Gonçalves, V., Meixedo, A., Ribeiro, D., Barbosa, F., & Cury, A. (2025). Out-of-Roundness Wheel Damage Identification in Railway Vehicles Using AutoEncoder Models. Applied Sciences, 15(5), 2662. https://doi.org/10.3390/app15052662

Note that from the first issue of 2016, this journal uses article numbers instead of page numbers. See further details here.

Article Metrics

Back to TopTop