A Novel Design of Dual-Band Circularly Polarized Microstrip Patch Antenna for Unmanned Aerial Vehicle Applications
Abstract
1. Introduction
2. Antenna Design and Optimization
2.1. Circular Polarization
2.2. Parametric Analysis
2.2.1. Dual-Band Response
Changing the Parameter Element D
Changing the Parameter Element LH_cut
Changing the Parameter Element WH_cut
2.2.2. Axial Ratio
Changing the Parameter Element L1
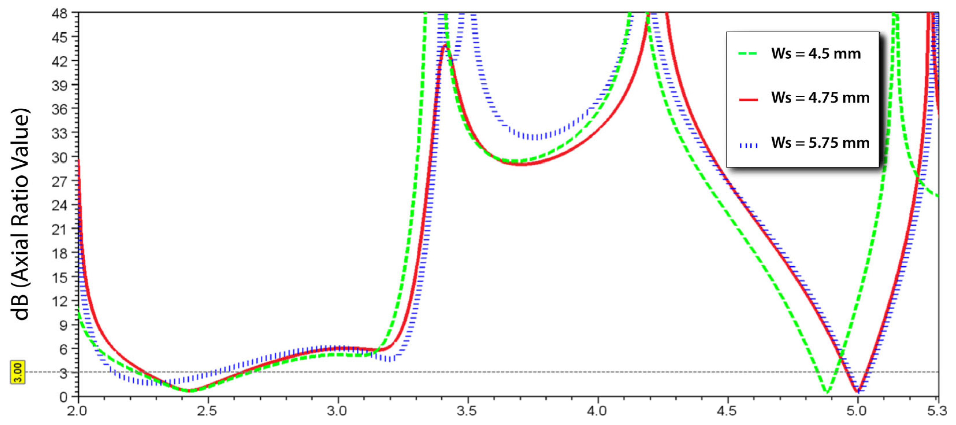
Changing the Parameter Element Ws
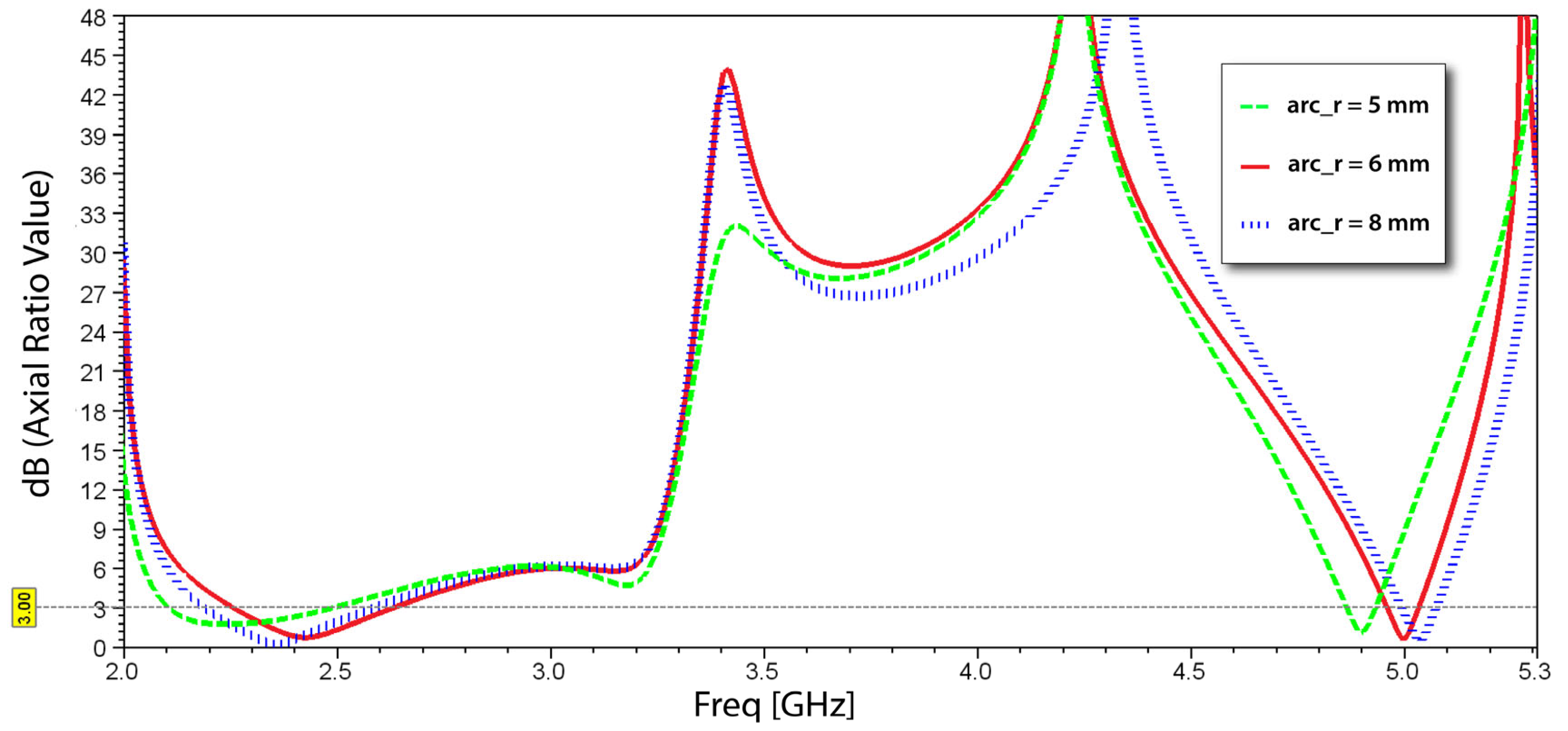
Changing the Parameter Element arc_r
3. Experimental Validation
4. Discussion
5. Conclusions
Author Contributions
Funding
Institutional Review Board Statement
Informed Consent Statement
Data Availability Statement
Conflicts of Interest
References
- Yang, Y.-L.; Lin, D.-B. A Compact Planar Wi-Fi Antenna with Optimized Radiation Patterns for Small UAV Applications. Appl. Sci. 2023, 13, 7470. [Google Scholar] [CrossRef]
- Widhalm, P.; Ritzinger, U.; Prüggler, N.; Prüggler, W.; Strelnikova, D.; Paulus, G.; D’apolito, F.; Eicken, F. Community Drones: A Concept Study on Shared Drone Services. Drones 2025, 9, 107. [Google Scholar] [CrossRef]
- Nguyen, M.T.; Nguyen, C.V.; Do, H.T.; Hua, H.T.; Tran, T.A.; Nguyen, A.D.; Ala, G.; Viola, F. UAV-assisted data collection in wireless sensor networks: A comprehensive survey. Electronics 2021, 10, 2603. [Google Scholar] [CrossRef]
- Gómez, L.; Ibrahim, A.S. Design, Analysis and Simulation of Microstrip Antenna Arrays with Flexible Substrate in Different Frequency, for Use in UAV-Assisted Marine Communications. J. Mar. Sci. Eng. 2023, 11, 730. [Google Scholar] [CrossRef]
- Rahardjo, E.T.; Zulkifli, F.Y.; Herwanto, D.Y.; Basari; Sri Sumantyo, J.T. Circular polarization Microstrip Antenna Array for UAV Application. In Proceedings of the International Symposium on Antennas & Propagation, Nanjing, China, 23–25 October 2013; pp. 870–872. Available online: https://ieeexplore.ieee.org/document/6717620/metrics#metrics (accessed on 10 January 2025).
- Wang, D.; Wang, M.; Xu, N.; Wu, W. Improved Measurement Method of Circularly-Polarized Antennas Based on Linear-Component Amplitudes. Open J. Antennas Propag. 2017, 5, 36–45. [Google Scholar] [CrossRef]
- Kandregula, V.R.; Zaharis, Z.D.; Ahmed, Q.Z.; Khan, F.A.; Loh, T.H.; Schreiber, J.; Serres, A.J.R.; Lazaridis, P.I. A Review of Unmanned Aerial Vehicle Based Antenna and Propagation Measurements. Sensors 2024, 24, 7395. [Google Scholar] [CrossRef]
- Ali, S.; Abu-Samah, A.; Abdullah, N.F.; Kamal, N.L.M. Propagation Modeling of Unmanned Aerial Vehicle (UAV) 5G Wireless Networks in Rural Mountainous Regions Using Ray Tracing. Drones 2024, 8, 334. [Google Scholar] [CrossRef]
- Ray, M.K.; Mandal, K. Pair of diagonal slots loaded low-profile circularly polarised patch antenna with wide 3 dB axial ratio beamwidth. IET Microwaves Antennas Propag. 2019, 13, 2433–2438. [Google Scholar] [CrossRef]
- Niyamanon, S.; Senathong, R.; Phongcharoenpanich, C. Dual-Frequency Circularly Polarized Truncated Square Aperture Patch Antenna with Slant Strip and L-Shaped Slot for WLAN Applications. Int. J. Antennas Propag. 2018, 2018, 7684742. [Google Scholar] [CrossRef]
- Tan, M.-T.; Wang, B.-Z. A Dual-Band Circular polarization Planar Monopole Antenna for WLAN/Wi-Fi Applications. IEEE Antennas Wirel. Propag. Lett. 2015, 15, 670–673. [Google Scholar] [CrossRef]
- Oo, W.M.; Tun, H.M.; Nway, T.M.; Pradhan, D.; Sahu, P.K.; Naing, Z.M. Design, Analysis and Fabrication of Dual Band Microstrip Patch Antenna for (L2) Band GPS and WiFi Applications. In Proceedings of the 2022 International Conference for Advancement in Technology (ICONAT), Goa, India, 21–22 January 2022; pp. 1–5. [Google Scholar]
- Jin, H.; Han, C.-Z.; Fu, Y.; Yang, H. A Low-Profile Dual-Band Directional Antenna for Unmanned Aerial Vehicle Applications. Int. J. Antennas Propag. 2022, 2022, 4765008. [Google Scholar] [CrossRef]
- Trinh-Van, S.; Yang, Y.; Lee, K.-Y.; Kim, Y.S.; Hwang, K.C. Bandwidth-enhanced circular polarization crescent-shaped slot antenna via circular-patch loading. Appl. Sci. 2019, 9, 1117. [Google Scholar] [CrossRef]
- Liu, X.; Wang, H.; Yang, X.; Wang, J. Quad-Band Circular Polarized Antenna for GNSS, 5G and WIFI-6E Applications. Electronics 2022, 11, 1133. [Google Scholar] [CrossRef]
- Raza, M.U.; Ren, H.; Yan, S. Dual-Band Monopole MIMO Antenna Array for UAV Communication Systems. Sensors 2024, 24, 5913. [Google Scholar] [CrossRef] [PubMed]
- Yang, X.; Qi, Y.; Yuan, B.; Cao, Y.; Wang, G. A Miniaturized High-Gain Flexible Antenna for UAV Applications. Int. J. Antennas Propag. 2021, 2021, 9919425. [Google Scholar] [CrossRef]
- Liu, N.; Zhu, L.; Choi, W. Low-profile wide-beamwidth circularly-polarised patch antenna on a suspended substrate. IET Microwaves Antennas Propag. 2016, 10, 885–890. [Google Scholar] [CrossRef]
- Telli, K.; Kraa, O.; Himeur, Y.; Ouamane, A.; Boumehraz, M.; Atalla, S.; Mansoor, W. A Comprehensive Review of Recent Research Trends on Unmanned Aerial Vehicles (UAVs). Systems 2023, 11, 400. [Google Scholar] [CrossRef]
- Laghari, A.A.; Jumani, A.K.; Laghari, R.A.; Nawaz, H. Unmanned aerial vehicles: A review. Cogn. Robot. 2022, 3, 8–22. [Google Scholar] [CrossRef]
- Li, X.-P.; He, C.-L.; Ji, J.-F.; Yang, M.-B.; Zhang, Y.; Zhang, A.-X.; Li, W. A Compact Broadband Common-Aperture Dual-Polarized Antenna for Drone Applications. Micromachines 2024, 16, 48. [Google Scholar] [CrossRef]
- Liu, J.; Yu, Y.; Zeng, Y.; Yang, X. Design of a Dual Frequency Circular Polarized Microstrip Antenna. In Proceedings of the 2019 International Conference on Wireless Communication, Network and Multimedia Engineering (WCNME 2019), Guilin, China, 21–22 April 2019. [Google Scholar]
- Kurniawan, F.; Sumantyo, J.T.S.; Gao, S.; Ito, K.; Santosa, C.E. Square-shaped feeding truncated circularly polarised slot antenna. IET Microwaves Antennas Propag. 2018, 12, 1279–1286. [Google Scholar] [CrossRef]
- Mira, F.; Artiga, X.; Llamas-Garro, I.; Vázquez-Gallego, F.; Velázquez-González, J.S. Circularly Polarized Dual-Band LoRa/GPS Antenna for a UAV-Assisted Hazardous Gas and Aerosol Sensor. Micromachines 2021, 12, 377. [Google Scholar] [CrossRef]
- Xiao, Y.; He, L.; Wei, X. Dual-Band Dual-Circularly Polarized Shared-Aperture Phased Array for S-/C-Band Satellite Communications. Electronics 2025, 14, 387. [Google Scholar] [CrossRef]
- Mohammed, A.H.; Alnahwi, F.M.; Al-Yasir, Y.I.A. A Circularly Polarized Microstrip Antenna with Dual Circular Polarization Using a 90° Hybrid Coupler and Proximity-Coupled Feeding for LTE 43 5G Applications. Appl. Sci. 2024, 14, 11877. [Google Scholar] [CrossRef]
- Song, Z.; Xu, X.; Shi, Y.; Wang, L. Design of a Compact Circularly Polarized Implantable Antenna for Capsule Endoscopy Systems. Sensors 2024, 24, 3960. [Google Scholar] [CrossRef] [PubMed]
- Lee, T.-H.; Jung, J.; Pyo, S. Circularly Polarized 4 × 4 Array Antenna with a Wide Axial Ratio Bandwidth. Electronics 2024, 13, 2076. [Google Scholar] [CrossRef]
- Chen, Q.; Yang, J.; He, C.; Zhang, D.; Huang, S.; Wang, M.; Yu, F.; Dai, G. Wideband Circularly Polarization and High-Gain of a Slot Patch Array Antenna Realized by a Hybrid Metasurface. Sensors 2024, 24, 3510. [Google Scholar] [CrossRef]
- Liu, X.; Liu, H.; Zheng, K.; Liu, J.; Taleb, T.; Shiratori, N. AoI-Minimal Clustering, Transmission and Trajectory Co-Design for UAV-Assisted WPCNs. IEEE Trans. Veh. Technol. 2024, 74, 1035–1051. [Google Scholar] [CrossRef]
- Miklavčič, P.; Batagelj, B. A New Sum-Channel Radiating Element for a Patch-Monopole Monopulse Feed. Electronics 2024, 13, 3187. [Google Scholar] [CrossRef]
- Ansys Inc. 3D High Frequency Simulation Software, ANSYS HFSS. 2017. Available online: http://www.ansys.com (accessed on 2 December 2024).


















| Parameter | Value (mm) | Parameter | Value (mm) |
|---|---|---|---|
| W | 40 | Lf | 7 |
| L | 40 | Wf | 1.5 |
| h | 1.6 | Lg | 24 |
| D | 18 | g2 | 8.5 |
| LH_cut | 25.8 | g3 | 0.0625 |
| WH_cut | 3.5 | LV_slot | 9.4375 |
| g1 | 0.1 | WV_slot | 0.4 |
| Ls | 4.64 | LH_slot | 8.5 |
| Ws | 4.75 | WH_slot | 2.5 |
| L1 | 9 | Lsq | 6 |
| L2 | 1.5 | Wsq | 6 |
| arc_r | 6 |
| Citation | Band (GHz) | Size mm3 | Gain (dBi) |
|---|---|---|---|
| [9] | WLAN | 40 × 54 × 1.6 | 4.29 at (2.50 GHz) |
| [10] | WLAN/WiFi | 40 × 47 × 1.5 | 2.51 at (2.45 GHz) 3.51 at (5.75 GHz) |
| [11] | S and C | 50 × 50 × 1.6 | 7.29 at (2.44–7.62 GHz) |
| [12] | GPS and WiFi | 56 × 56 × 1.6 | 4.22 at (1.23 GHz) 2.39 at (2.42 GHz) |
| [23] | S | 170 × 170 × 1.6 | 5.14 at (2.20 GHz) 4.5 at (2.30 GHz) |
| Proposed Work | WiFi | 40 × 40 × 1.6 | 5.01 at (2.45 GHz) 5.27 at (5 GHz) |
Disclaimer/Publisher’s Note: The statements, opinions and data contained in all publications are solely those of the individual author(s) and contributor(s) and not of MDPI and/or the editor(s). MDPI and/or the editor(s) disclaim responsibility for any injury to people or property resulting from any ideas, methods, instructions or products referred to in the content. |
© 2025 by the authors. Licensee MDPI, Basel, Switzerland. This article is an open access article distributed under the terms and conditions of the Creative Commons Attribution (CC BY) license (https://creativecommons.org/licenses/by/4.0/).
Share and Cite
Almehmadi, A.S.; Aldhaheri, R.W. A Novel Design of Dual-Band Circularly Polarized Microstrip Patch Antenna for Unmanned Aerial Vehicle Applications. Appl. Sci. 2025, 15, 1816. https://doi.org/10.3390/app15041816
Almehmadi AS, Aldhaheri RW. A Novel Design of Dual-Band Circularly Polarized Microstrip Patch Antenna for Unmanned Aerial Vehicle Applications. Applied Sciences. 2025; 15(4):1816. https://doi.org/10.3390/app15041816
Chicago/Turabian StyleAlmehmadi, Abdulaziz S., and Rabah W. Aldhaheri. 2025. "A Novel Design of Dual-Band Circularly Polarized Microstrip Patch Antenna for Unmanned Aerial Vehicle Applications" Applied Sciences 15, no. 4: 1816. https://doi.org/10.3390/app15041816
APA StyleAlmehmadi, A. S., & Aldhaheri, R. W. (2025). A Novel Design of Dual-Band Circularly Polarized Microstrip Patch Antenna for Unmanned Aerial Vehicle Applications. Applied Sciences, 15(4), 1816. https://doi.org/10.3390/app15041816

