Deterioration of White Tempera Mock-Ups Paints in a SO2-Rich Atmosphere
Abstract
1. Introduction
2. Materials and Methods
2.1. Materials
2.2. SO2 Exposure Aging Test
2.3. Analytical Techniques
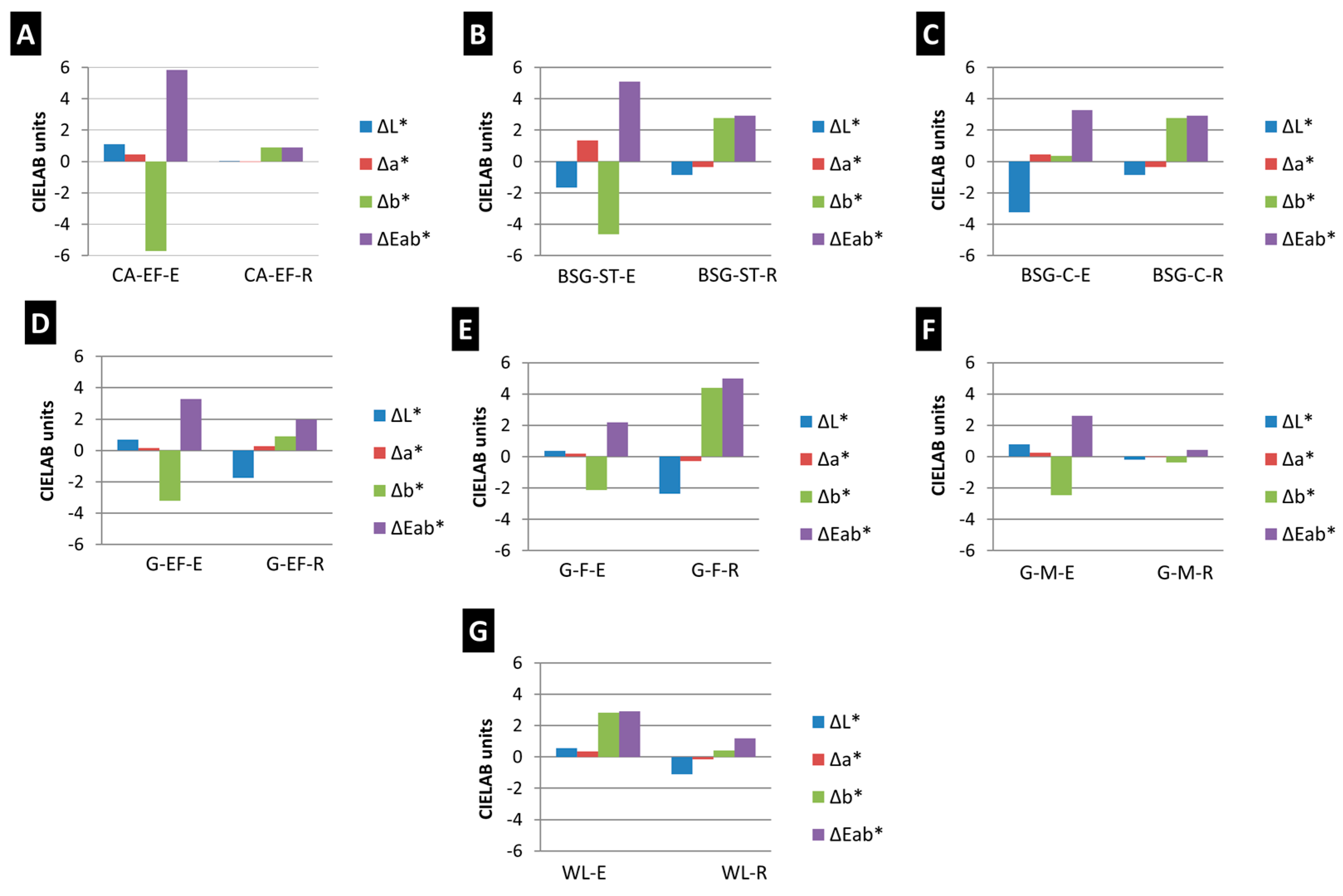
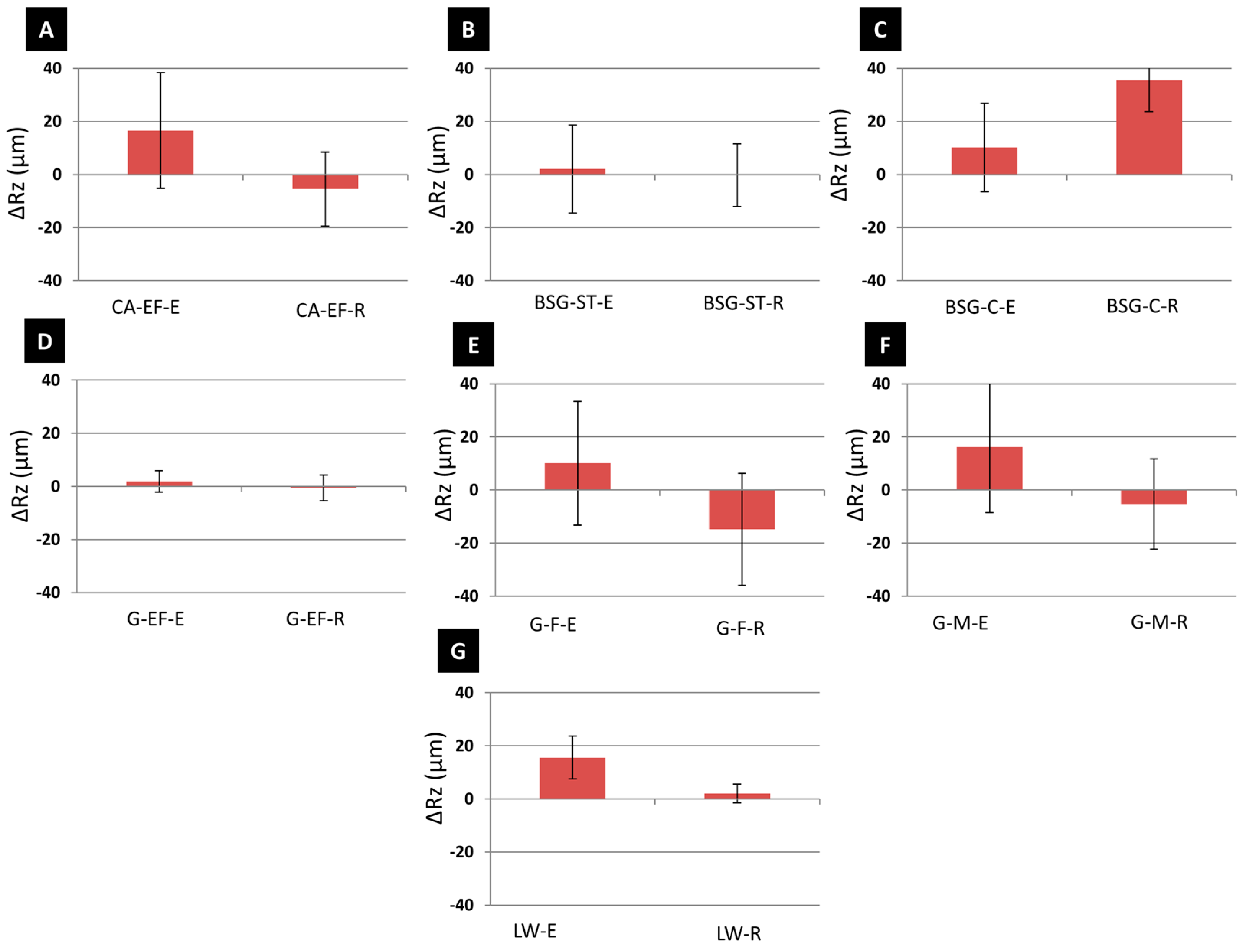
3. Results
3.1. Pigment Characterization
3.2. Physical, Mineralogical and Chemical Changes of the Mock-Ups After SO2 Exposure Aging Test
4. Discussion
5. Conclusions
Author Contributions
Funding
Data Availability Statement
Acknowledgments
Conflicts of Interest
References
- La Russa, M.F.; Fermo, P.; Comite, V.; Belfiore, C.M.; Barca, D.; Cerioni, A.; De Santis, M.; Barbagallo, L.F.; Ricca, M.; Ruffolo, S.A. The Oceanus statue of the Fontana di Trevi (Rome): The analysis of black crust as a tool to investigate the urban air pollution and its impact on the stone degradation. Sci. Total Environ. 2017, 593–594, 297–309. [Google Scholar] [CrossRef] [PubMed]
- Comite, V.; Miani, A.; Ricca, M.; La Russa, M.; Pulimeno, M.; Fermo, P. The impact of atmospheric pollution on outdoor cultural heritage: An analytic methodology for the characterization of the carbonaceous fraction in black crusts present on stone surfaces. Environ. Res. 2021, 201, 111565. [Google Scholar] [CrossRef] [PubMed]
- Rovella, N.; Aly, N.; Comite, V.; Randazzo, L.; Fermo, P.; Barca, D.; Alvarez de Buergo, M.; La Russa, M.F. The environmental impact of air pollution on the built heritage of historic Cairo (Egypt). Sci. Total Environ. 2021, 764, 142905. [Google Scholar] [CrossRef] [PubMed]
- Coccato, A.; Moens, L.; Vandenabeele, P. On the stability of mediaeval inorganic pigments: A literature review of the effect of climate, material selection, biological activity, analysis and conservation treatments. Herit. Sci. 2017, 5, 1–25. [Google Scholar] [CrossRef]
- Vazquez, P.; Carrizo, L.; Thomachot-Schneider, C.; Gibeaux, S.; Alonso, F.J. Influence of surface finish and composition on the deterioration of building stones exposed to acid atmospheres. Constr. Buil. Mater. 2016, 106, 392–403. [Google Scholar] [CrossRef]
- Herrera, A.; Cardell, C.; Pozo-Antonio, J.S.; Burgos-Cara, A.; Elert, K. Effect of proteinaceous binder on pollution-induced sulfation of lime-based tempera paints. Prog. Org. Coat. 2018, 123, 99–110. [Google Scholar] [CrossRef]
- Naqvi, A. Decoupling trends of emissions across EU regions and the role of environmental policies. J. Clean. Prod. 2021, 323, 129130. [Google Scholar] [CrossRef]
- Bevilacqua, N.; Borgioli, L.; Gracia, I.A. I Pigmenti Nell’Arte Dalla Preistoria All Rivoluzi Industriale; Il Prato: Saonara, Italy, 2003. [Google Scholar]
- Palet, A. Tratado de Pintura. Color, Pigmentos y Ensayo; Edicions de la Universitat de Barcelona: Barcelona, Spain, 2002. [Google Scholar]
- Asenjo Rubio, E. Las arquitecturas pintadas en las ciudades europeas: Aportaciones desde Málaga: La secuencia cronológica y estilística. Boletín Arte 2005, 26, 117–138. [Google Scholar] [CrossRef]
- Ambers, J. Raman analysis of pigments from the Egyptian Old Kingdom. J. Raman Spectrosc. 2004, 35, 768–773. [Google Scholar] [CrossRef]
- Cotte, M.; Susini, J.; Metrich, N.; Moscato, A.; Gratziu, C.; Bertagnini, A.; Pagano, M. Blackening of Pompeian Cinnabar Paintings: X-ray Microspectroscopy Analysis. Anal. Chem. 2006, 78, 7484–7492. [Google Scholar] [CrossRef]
- Cardell, C.; Herrera, A.; Guerra, I.; Navas, N.; Rodríguez-Simón, L.; Elert, K. Pigment-size effect on the physico-chemical behavior of azurite-tempera dosimeters upon natural and accelerated photo aging. Dyes Pigm. 2017, 141, 53–65. [Google Scholar] [CrossRef]
- Mazzeo, R.; Prati, S.; Quaranta, M.; Joseph, E.; Kendix, E.; Galeotti, M. Attenuated total reflection micro FTIR characterisation of pigment– binder interaction in reconstructed paint films. Anal. Bioanal. Chem. 2008, 392, 65–76. [Google Scholar] [CrossRef]
- Gutman, M.; Lesar-Kikelj, M.; Mladenovič, A.; Čobal-Sedmak, V.; Križnar, A.; Kramar, S. Raman microspectroscopic analysis of pigments of the Gothic wall painting from the Dominican Monastery in Ptuj (Slovenia). J. Raman Spectrosc. 2014, 45, 1103–1109. [Google Scholar] [CrossRef]
- Smith, G.D.; Clark, R.J. The role of H2S in pigment blackening. J. Cult Herit. 2002, 3, 101–105. [Google Scholar] [CrossRef]
- Manzano, E.; Romero-Pastor, J.; Navas, N.; Rodríguez-Simón, L.R.; Cardell, C. A study of the interaction between rabbit glue binder and blue copper pigment under UV radiation: A spectroscopic and PCA approach. Vib. Spectrosc. 2010, 53, 260–268. [Google Scholar] [CrossRef]
- Pozo-Antonio, J.S.; Rivas, T.; Dionísio, A.; Barral, D.; Cardell, C. Effect of a SO2 Rich Atmosphere on Tempera Paint Mock-Ups. Part 1: Accelerated Aging of Smalt and Lapis Lazuli-based Paints. Minerals 2020, 10, 427. [Google Scholar] [CrossRef]
- Pozo-Antonio, J.S.; Cardell, C.; Barral, D.; Dionísio, A.; Rivas, T. Effect of a SO2 Rich Atmosphere on Tempera Paint Mock-Ups. Part 2: Accelerated Aging of Azurite-and Malachite-based Paints. Minerals 2020, 10, 424. [Google Scholar] [CrossRef]
- Pacheco, F. Arte de la Pintura; Cátedra: Madrid, Spain, 1990. [Google Scholar]
- CIE S014-4/E:2007; Colorimetry Part 4: CIE 1976 L*A*b* Colour Space. Commission Internationale de l’eclairage. CIE Central Bureau: Vienna, Austria, 2007.
- UNE-EN USO 4288:1998; Geometrical Product Specifications (GPS)—Surface Texture: Profile Method—Rules and Procedures for the Assessment of Surface Texture. Asociación Española de Normalización y Certificación: Madrid, Spain, 1998.
- UNE-EN 828:2013; Adhesives—Wettability—Determination by Measurement of Contact Angle and Surface Free Energy of Solid Surface. Asociación Española de Normalización y Certificación: Madrid, Spain, 2013.
- Pozo-Antonio, J.S.; Barral, D.; Herrera, A.; Elert, K.; Rivas, T.; Cardell, C. Effect of tempera paint composition on their superficial physical properties- application of interferometric profilometry and hyperspectral imaging techniques. Prog. Org. Coat. 2018, 117, 56–68. [Google Scholar] [CrossRef]
- Eastaugh, N.; Walsh, V.; Chaplin, T.; Siddall, R. Pigment Compendium: A Dictionary of Historical Pigments; Elsevier Butterworth-Heinemann Publications: Oxford, UK, 2007. [Google Scholar]
- Mokrzycki, W.; Tatol, M. Color difference DeltaE-A survey. Mach. Graph. Vis. 2011, 20, 383–411. [Google Scholar]
- Liang, H.; Keita, K.; Peric, B.; Vajzovic, T. Pigment identification with optical coherence tomography and multispectral imaging. In Proceedings of the 2nd International Topical Meeting on Optical Sensing and Artificial Vision, Saint Petersburg, Russia, 12–15 May 2008. [Google Scholar]
- Liang, H. Advances in multispectral and hyperspectral imaging for archaeology and art conservation. Appl. Phys. A 2012, 106, 309–323. [Google Scholar] [CrossRef]
- Nodari, L.; Ricciardi, P. Non-invasive identification of paint binders in illuminated manuscripts by ER-FTIR spectroscopy: A systematic study of the influence of different pigments on the binders’ characteristic spectral features. Herit. Sci. 2019, 7, 7. [Google Scholar] [CrossRef]
- Fuertes, S.; Laca, A.; Oulego, P.; Paredes, B.; Rendueles, M.; Díaz, M. Development and characterization of egg yolk and egg yolk fractions edible films. Food Hydrocoll. 2017, 70, 229–239. [Google Scholar] [CrossRef]
- Pellegrini, D.; Duce, C.; Bonaduce, I.; Biagi, S.; Ghezzi, L.; Colombini, M.P.; Tinè, M.R.; Bramanti, E. Fourier transform infrared spectroscopic study of rabbit glue/inorganic pigments mixtures in fresh and aged reference paint reconstructions. Microchem. J. 2016, 124, 31–35. [Google Scholar] [CrossRef]
- Rodríguez Blanco, J.D.; Shaw, S.; Benning, L.G. The kinetics and mechanisms of amorphous calcium carbonate (ACC) crystallization to calcite, via vaterite. Nanoscale 2010, 3, 265–271. [Google Scholar] [CrossRef] [PubMed]
- Ji, J.; Ge, Y.; Balsam, W.; Damuth, J.E.; Chen, J. Rapid identification of dolomite using a Fourier Transform Infrared Spectrophotometer (FTIR): A fast method for identifying Heinrich events in IODP Site U1308. Mar. Geol. 2009, 258, 60–68. [Google Scholar] [CrossRef]
- Horgnies, M.; Chen, J.J.; Bouillon, C. Overview about the use of fourier transform infrared spectroscopy to study cementitious materials. WIT Trans. Eng. Sci. 2013, 77, 251–262. [Google Scholar] [CrossRef]
- Socrates, G. Infrared and Raman Characteristic Group Frequencies: Tables and Charts, 3rd ed.; John Wiley and Sons: Hoboken, NJ, USA, 2001. [Google Scholar]
- Bishop, J.; Lane, M.; Dyar, M.; King, S.; Brown, A.; Swayze, G. What Lurks in the Martian Rocks and Soil? Investigations of Sulfates, Phosphates, and Perchlorates. Spectral properties of Ca-sulfates: Gypsum, bassanite, and anhydrite. Am. Min. 2014, 99, 2105–2115. [Google Scholar] [CrossRef]
- Liu, Y. Raman, Mid-IR, and NIR spectroscopic study of calcium sulfates and mapping gypsum abundances in Columbus crater, Mars. Planet. Space Sci. 2018, 163, 35–41. [Google Scholar] [CrossRef]
- Siidra, O.; Nekrasova, D.; Depmeier, W.; Chukanov, N.; Zaitsev, A.; Turner, R. Hydrocerussite-related minerals and materials: Structural principles, chemical variations and infrared spectroscopy. Acta Crystallogr. Sect. B Struct. Sci. Cryst. Eng. Mater. 2018, 74, 182–195. [Google Scholar] [CrossRef]
- Charola, A.E.; Ware, R. Acid depostion and the deterioration of stone: A brief review of a broad topic. In Natural Stone, Weathering Phenomena, Conservation Strategies and Case Studies; Siegesmund, S., Weiss, T., Vollbrecht, A., Eds.; Geological Society Special Publication No. 205; The Geological Society: London, UK, 2002; pp. 393–406. [Google Scholar]
- Cultrone, G.; Arizzi, A.; Sebastián, E.; Rodriguez-Navarro, C. Sulfation of calcitic and dolomitic lime mortars in the presence of diesel particulate matter. Environ. Geol. 2008, 56, 741–752. [Google Scholar] [CrossRef]
- Bico, J.; Thiele, U.; Quere, D. Wetting of textured surfaces. Colloids Surf. A Physicochem. Eng. Asp. 2002, 206, 41–46. [Google Scholar] [CrossRef]







| Kremer Pigment Reference | Authors’ Identification Code | Kremer Mineralogical Composition | Authors’ Mineralogical Composition | Kremer Grain Size (µm) | Authors’ Grain Size (µm) * | Mineralogical Composition of Paints Before the Aging Test | Mineralogical Composition of Paints After the Aging Test | ||
|---|---|---|---|---|---|---|---|---|---|
| Egg Yolk Mock-Ups | Rabbit Glue Mock-Ups | Egg Yolk Mock-Ups | Rabbit Glue Mock-Ups | ||||||
| Calcite 58720 | CA-EF | Calcite | Calcite Dolomite | 20 | 25 (0.25–100) | Calcite Dolomite | Calcite Portlandite | Calcite Dolomite Ca3(SO3)2SO4·2H2O | Calcite Gypsum |
| Bianco San Giovanni 11415 | BSG-ST | Portlandite Calcite | Portlandite Calcite | 120 | 60 (0.25–120) | Portlandite Calcite | Portlandite Calcite | Portlandite Calcite CaSO3·1/2H2O | Portlandite Calcite CaSO3·1/2H2O |
| Bianco San Giovanni 11416 | BSG-C | Portlandite Calcite | Portlandite Calcite | 120–1000 | 120 (0.3–250) | Portlandite Calcite | Portlandite Calcite | Portlandite Calcite CaSO3·1/2H2O | Portlandite Calcite CaSO3·1/2H2O |
| Gypsum Alabaster, Italian plaster 58340 | G-EF | Gypsum | Bassanite Anhydrite | <75 | 7 (0.2–85) | Bassanite Anhydrite | Gypsum | Bassanite Anhydrite Gypsum K2SO4 | Gypsum Bassanite Anhydrite CaSO3 |
| Natural gypsum 58300 Selenite (Terra Alba) | G-F | Gypsum | Bassanite Anhydrite | 80% < 20 18% < 25 1.9% < 32 1.9% < 32 | 9 (0.2–75) | Anhydrite Gypsum | Anhydrite Gypsum | Anhydrite Gypsum CaSO3 K0.67Na1.33SO4 MgS2O3·6H2O | Anhydrite Gypsum CaSO3 K0.67Na1.33SO4 MgS2O3·6H2O |
| Gypsum alabaster 58343 | G-M | Bassanite | Bassanite Anhydrite | 85% < 40 | 16 (1–160) | Bassanite Anhydrite | Bassanite Anhydrite | Gypsum CaSO3 | Gypsum CaSO3 |
| Lead white 46000 | LW | Basic lead carbonate | Hydrocerussite Cerussite | <45 | 3 (0.1–10) | Hydrocerussite Cerussite | Hydrocerussite Cerussite | Hydrocerussite Cerussite Pb4O3SO4·H2O Pb2O(SO4) Pb4SO4(CO3)·2(OH)2 | Hydrocerussite Cerussite Pb4O3SO4·H2O Pb2O(SO4) Pb4SO4(CO3)·2(OH)2 |
| Authors’ Identification Code | Egg-Yolk-Based Samples | Rabbit-Glue-Based Samples |
|---|---|---|
| CA-EF | 56.82 ± 6.33 | 120.58 ± 2.68 |
| BSG-ST | 83.20 ± 1.83 | 127.63 ± 3.94 |
| BSG-C | 96.97 ± 2.28 | 114.12 ± 3.73 |
| G-EF | 111.93 ± 2.05 | 114.84 ± 1.34 |
| G-F | 86.45 ± 2.13 | 115.55 ± 6.65 |
| G-M | 90.17 ± 4.14 | 113.39 ± 1.41 |
| WL | 93.70 ± 1.87 | 98.67 ± 1.03 |
Disclaimer/Publisher’s Note: The statements, opinions and data contained in all publications are solely those of the individual author(s) and contributor(s) and not of MDPI and/or the editor(s). MDPI and/or the editor(s) disclaim responsibility for any injury to people or property resulting from any ideas, methods, instructions or products referred to in the content. |
© 2025 by the authors. Licensee MDPI, Basel, Switzerland. This article is an open access article distributed under the terms and conditions of the Creative Commons Attribution (CC BY) license (https://creativecommons.org/licenses/by/4.0/).
Share and Cite
Rivas, T.; Pozo-Antonio, J.S.; Jiménez-Desmond, D.; Dionísio, A.; Cardell, C. Deterioration of White Tempera Mock-Ups Paints in a SO2-Rich Atmosphere. Appl. Sci. 2025, 15, 1610. https://doi.org/10.3390/app15031610
Rivas T, Pozo-Antonio JS, Jiménez-Desmond D, Dionísio A, Cardell C. Deterioration of White Tempera Mock-Ups Paints in a SO2-Rich Atmosphere. Applied Sciences. 2025; 15(3):1610. https://doi.org/10.3390/app15031610
Chicago/Turabian StyleRivas, Teresa, José Santiago Pozo-Antonio, Daniel Jiménez-Desmond, Amelia Dionísio, and Carolina Cardell. 2025. "Deterioration of White Tempera Mock-Ups Paints in a SO2-Rich Atmosphere" Applied Sciences 15, no. 3: 1610. https://doi.org/10.3390/app15031610
APA StyleRivas, T., Pozo-Antonio, J. S., Jiménez-Desmond, D., Dionísio, A., & Cardell, C. (2025). Deterioration of White Tempera Mock-Ups Paints in a SO2-Rich Atmosphere. Applied Sciences, 15(3), 1610. https://doi.org/10.3390/app15031610

