Abstract
Wood dyeing plays a crucial role in enhancing the value of plantation wood and addressing the imbalance between supply and demand in the wood industry. However, challenges such as low dye uptake and inaccurate color matching persist. This study introduces a novel Separable Attention Feature Fusion-Gated Bidirectional Long Short-Term Memory (SAT Fusion-Gated BiLSTM) model to more accurately predict dye concentration and ultrasonic pretreatment power to address these issues. The model integrates multispectral data and uses ultrasonic treatment to open fiber gaps and decompose wood components, thereby improving dye uptake. Unlike traditional models, SAT Fusion-Gated BiLSTM combines a Maximum Information Coefficient (MIC)-based feature selection module, gated linear units for enhanced feature extraction, and an improved cross-attention mechanism for efficient data fusion. Compared to traditional deep learning models, the model’s performance is significantly improved, including an R2 of 0.9274, an RMSE of 0.0470, an RPIQ of 5.5825, an RPD of 5.0400, and a MAE of 0.0229. RPIQ and RPD improve by over 100.8% compared to traditional deep learning models, and the runtime is reduced by 83.94% when compared to Convolutional Neural Networks (CNNS). The Shapley Additive Explanation (SHAP) reveals the key spectral features that drive these predictions. These advancements in accuracy, efficiency, and interpretability make the model particularly promising for industrial applications, offering both improved operational efficiency and more precise resource management in the sustainable use of timber.
1. Introduction
Wood dyeing enhances the decorative properties of common wood, allowing low-quality wood to mimic the color of precious species to meet market demands. However, challenges such as excessive chemical use, waste treatment difficulties, and low dye utilization rates persist. Ultrasonic treatment has been shown to improve wood permeability, offering a potential energy-saving and environmentally friendly approach to enhance the wood dyeing performance [1]. Therefore, investigating the effects of ultrasonic pretreatment on wood dyeing outcomes and predicting the dye formulation and ultrasonic pretreatment power are of great importance.
In recent years, significant advancements have been made in wood staining technology. Studies have shown that ultrasonic treatment accelerates the evaporation of moisture within wood cell lumens, generating steam pressure that diffuses outward. This pressure can rupture weak structures, such as perforated membranes and parenchyma tissues, creating new fluid pathways and enhancing wood permeability [2,3,4,5,6], thereby improving the staining performance. Ultrasonic technology has seen widespread application in wood research, particularly for increasing wood permeability. Qu et al. [7] conducted an ultrasonic pretreatment on eucalyptus wood and found that ultrasonic waves help remove extractives from internal pores and create microchannels within the cell walls, further enhancing permeability. Furthermore, the elevated hydroxyl content in the pretreated samples can facilitate the formation of additional reaction sites for reactive dye molecules, thereby accelerating the dyeing process. Although research specifically focused on the effects of ultrasonic pretreatment on staining performance is limited, studies on ultrasonic-assisted dyeing [1,2,4] suggest that ultrasonic pretreatment can significantly enhance staining results. Exploring the impact of ultrasonic pretreatment on staining performance and identifying the optimal pretreatment power can further optimize the staining process, reduce material waste, and offer theoretical and technical support for industrial applications.
In the wood dyeing process, most formulations are traditionally determined by color matching personnel through extensive experimentation, leading to significant time and labor resource wastage [8]. To address these challenges, computer-aided color matching technologies have been applied to predict dye formulations [9]. Wu et al. [10] utilized Particle Swarm Optimization (PSO) to enhance the Friele and Stearns–Noechel models, significantly improving the efficiency and accuracy of dye formulation predictions. However, the numerous assumptions inherent in traditional color matching theories often compromise the accuracy of the results. Consequently, recent years have seen a growing application of machine learning methods in predicting wood dye formulations, greatly enhancing the speed and precision of these predictions. Guan developed an intelligent color-matching model for wood dyeing based on an improved Radial Basis Function (RBF) neural network, achieving faster convergence and higher accuracy compared to traditional RBF networks [11]. As machine learning techniques have advanced, deep learning has emerged as a powerful tool across many research fields, particularly in sequence data prediction. Studies indicate that the deep architectures of neural networks are particularly well-suited for sequence data, outperforming traditional machine learning models [12]. Long Short-Term Memory (LSTM) networks [13,14] and Bidirectional Long Short-Term Memory (BiLSTM) [15,16] have demonstrated a strong performance in capturing nonlinear relationships within sequence data, making them ideal for wood dye formulation prediction based on spectral data. However, these models involve a large number of trainable parameters, requiring extensive tuning, which is both time-consuming and labor-intensive [17]. Consequently, a variety of optimization algorithms have been employed to automate the search for optimal network parameters [18]. Despite their superior ability to process high-dimensional data [19], deep learning models face challenges due to their “black-box” nature, limiting their broader application. Exploring the interpretability of these models is, therefore, essential [20]. Interpretable models can identify which features most significantly influence predictions and clarify the impact of each feature on the final output [21]. The Shapley Additive Explanation (SHAP), based on game theory [22], has become a popular method for interpreting deep learning models, and has been successfully applied in various domains. Bhattarai et al. [23] integrated Artificial Intelligence (AI)-based deep learning models with SHAP to investigate the multivariate relationships between regional imaging measurements and cognition, uncovering key brain regions associated with Mild Cognitive Impairment (MCI) and Alzheimer’s Disease (AD). Similarly, Nahiduzzaman et al. [24] incorporated SHAP into Lightweight Parallel Depthwise Separable Convolutional Neural Networks (LPDCNNs) and the Ridge Regression Extreme Learning Machine (Ridge-ELM) framework to generate interpretable image sets for lung cancer, improving both model interpretability and clinical applicability. Ranasinghe et al. [25] applied SHAP to interpret a deep neural network model predicting concrete compressive strength, validating the findings against experimental data. Despite SHAP’s widespread use, its application in predicting wood dye formulations remains limited. This study aims to address this gap by uncovering relationships between spectral data and dyeing parameters, thereby advancing the development of interpretable predictive models in wood dyeing research.
In spectral analysis, the spectral characteristic parameters such as peak position, bandwidth, and shape index provide insights into the optical and color properties of materials. Spectral similarity metric parameters quantify variations in light intensity, color brightness, and wavelength components, offering a more nuanced understanding of material properties. Compared to traditional color difference metrics, these similarity metric parameters deliver a more precise and comprehensive measure of color variations. Yuan et al. [26] proposed a spectral similarity model based on the Fréchet distance and Pearson correlation between spectral vectors, demonstrating superior stability and accuracy in color representation and discrimination over conventional models. Similarly, Xiong et al. [27] developed spectral feature fusion algorithms using parameters like the distance, the correlation coefficient, the Lance distance, and the spectral angle, all of which effectively distinguish colors in color-spun woven fabrics. Current methods for predicting wood dyeing formulations rely on matching reflectance spectra but fail to account for the inherent color characteristics of the wood, neglecting pre- and post-dyeing color changes. By integrating spectral similarity metrics before and after dyeing with the spectral features of the dyed veneer, this approach captures more detailed spectral variations, providing a more accurate representation of optical changes due to the dyeing process. Traditional feature concatenation methods, however, often overlook intrinsic correlations between features, leading to redundancy and diminished prediction performance. In multimodal learning, cross-modal attention enables models to selectively focus on relevant information from multiple data types during training. Wei et al. [28] proposed a multimodal cross-attention network that models both intra- and inter-modal relationships between image regions and sentence words, effectively capturing fine-grained visual–semantic correlations to enhance image–sentence matching. Lee et al. [29] introduced the Cross-Modality Attention Transformer (CAT), which extracts complementary information from visible and thermal image pairs, improving multimodal pedestrian detection. Zou et al. [30] developed a Cross-Modal Attention (CMA) module that fuses red, green, blue (RGB) and depth features for 6D object pose estimation, improving accuracy and robustness. These studies underscore the significance of cross-modal attention in multimodal learning and its ability to integrate diverse modalities. However, its application to intelligent wood dyeing formula prediction remains largely unexplored. This study proposes a novel feature fusion module using cross-modal attention to integrate spectral features, thereby enhancing prediction accuracy.
To enhance the dyeing performance of wood and leverage the advantages of multimodal learning, this study investigates the dyeing of Pinus sylvestris veneers after ultrasonic pretreatment. The impact of ultrasonic pretreatment on dyeing performance is examined, and a deep learning model based on the Improved Dung Beetle Optimized Separable Attention Feature Fusion-Gated Bidirectional Long Short-Term Memory (IDBO-SAT Fusion-Gated BiLSTM) network is proposed to predict dye formulations and ultrasonic pretreatment power. The main contributions are as follows:
- (1)
- Incorporation of spectral similarity metric parameters and characteristic parameters: the study integrates spectral similarity metric parameters and characteristic parameters into the prediction of wood dyeing formulations and ultrasonic pretreatment power. Feature selection based on the MIC combines selected features with spectral reflectance, enabling a richer representation of the spectral properties of dyed veneers.
- (2)
- Development of a multispectral predictive model: a model based on multispectral data is proposed, featuring a gated linear unit for intra-modal feature extraction, a Separable Attention Feature Fusion (SAT Fusion) module for integrating diverse spectral data, and a gated BiLSTM unit for prediction. This architecture facilitates deep interaction among spectral data, improving training efficiency, stability, and handling of unaligned spectral sequences.
- (3)
- Optimization using an Improved Dung Beetle (IDBO) algorithm: the SAT Fusion-Gated BiLSTM model is optimized with an improved dung beetle algorithm, significantly enhancing the accuracy of predictions for dye formulations and ultrasonic pretreatment power.
- (4)
- SHAP-based spectral feature analysis: spectral features are analyzed using the SHAP algorithm, identifying the most influential spectral features in the model and their impact on dye concentration and ultrasonic pretreatment power predictions.
The remainder of this paper is organized as follows. Section 2 outlines the SAT Fusion-Gated BiLSTM prediction model and the innovative methods proposed. Section 3 presents an in-depth discussion of the SAT Fusion-Gated BiLSTM model optimized with the improved dung beetle algorithm. Section 4 examines the effects of ultrasonic pretreatment on dyeing performance and compares the proposed model with traditional methods in predicting ultrasonic power and dye formulations. Finally, Section 5 concludes the study.
2. Proposed Methodology
This paper proposes a deep learning model, IDBO-SAT Fusion-Gated BiLSTM, for predicting dyeing recipes and ultrasonic pretreatment power. The model framework, shown in Figure 1, consists of four key components:
Figure 1.
Overall framework of dyeing formulation and ultrasonic pretreatment power prediction models.
- (1)
- Feature selection: spectral features from the dyed veneer surface are selected based on the Maximum Information Coefficient (MIC).
- (2)
- Feature extraction: spectral data are mapped to nonlinear feature subspaces using the gated linear unit, aligning dimensions to improve the model’s ability to process non-aligned sequences and extract abstract features within the data.
- (3)
- Feature fusion: the Separable Discrepancy Information Injection Module (SDIIM) and Separable Common Information Injection Module (SCIIM), based on an improved cross-attention mechanism, are employed to extract and fuse discrepancy and common information across spectral data, generating comprehensive fused features.
- (4)
- Prediction: the fused multimodal features are processed by a gated BiLSTM unit, capturing global temporal information across the spectral features to predict the dyeing recipe and ultrasonic pretreatment power.
This methodology aims to provide robust, accurate predictions for the dyeing recipe and ultrasonic pretreatment power in wood dyeing processes. The following sections detail each module’s function and process complexity.
3. IDBO-SAT Fusion-Gated BiLSTM Model for Predicting Dyeing Formulations and Ultrasonic Pretreatment Power
3.1. Feature Selection Module Based on Maximal Information Coefficient
The Maximal Information Coefficient (MIC) [31] was proposed by Reshef et al. and is calculated based on mutual information. Mutual information quantifies the amount of information one random variable contains about another. The formulas for calculating mutual information are presented in Equations (1) and (2), while the formulas for computing MIC are provided in Equations (3) and (4).
where p(x,y) represents the frequency of falling into the grid at (x,y) and p(x) and p(y) represent the probability distribution over x and y, respectively.
In Equations (3) and (4), a and b represent the number of rows and columns in the partition and B has the value n0.6, where n is the total number of samples. If MIC is 1, it indicates perfect correlation, while 0 represents no linear relationship. Compared to traditional correlation methods such as Pearson’s and Spearman’s, the MIC more effectively captures nonlinear relationships between variables, while offering high computational efficiency and robustness. Therefore, MIC was employed in this study to select the spectral characteristic parameters and spectral similarity metric parameters most strongly correlated with dye concentration and ultrasonic pretreatment power. Specifically, the spectral similarity metric parameters and the spectral characteristic parameters with the highest MIC values were chosen, as they most effectively reflect the underlying relationships between the variables. These parameters, which showed the strongest associations with dye concentration and ultrasonic power, were preferred over other metrics, ensuring both precision and robustness in the modeling process.
3.2. Feature Extraction Module Based on the Gated Linear Unit
In general, spectral data are characterized by high dimensionality, complexity, correlation, and redundancy. Therefore, mapping different spectral data into their respective nonlinear feature-embedding subspaces and adjusting them to the same dimensionality not only improves the modelling ability of the model for non-aligned sequences, but also learns the intra-modal abstract features in the spectral data to remove the noise and redundancies in the original data and retain the information useful for the task, and standardizes the inputs to the feature fusion module. The specific design of the feature extraction module is shown in Figure 1.
The model receives input from three different types of spectral data: the spectral reflectance data of the stained veneer surfaces Sr ∈ Rdr, the spectral characteristic parameters of the stained veneer surfaces Xp ∈ Rdp, and the spectral similarity metric parameters between stained and unstained veneers Xm ∈ Rdm, where dr denotes the number of dimensions of each Xr data type. The feature extraction is performed via a gated linear unit, as described in Equation (5). The method employs a discard technique, a gating mechanism, residual connectivity, and a four-layer fully connected neural network, which enables the model to more accurately capture key features in the data and, to some extent, alleviate the gradient vanishing problem, ensuring the initial training phase’s rapid convergence and stability.
3.3. Separable Attention Feature Fusion Module (SAT Fusion)
To achieve efficient feature representation, we designed a feature fusion module based on an improved cross-attention mechanism, comprising two Separable Discrepancy Information Injection Modules (SDIIM) and four Separable Common Information Injection Modules (SCIIM), both utilizing separable cross-attention. Intra-modal features extracted by the gated linear unit were injected into the SDIIM for discrepancy extraction and into the SCIIM for common information fusion. The process is represented as follows:
where F(s, p, m) is the fusion feature containing the difference information and the common information of different spectral data obtained by the final fusion; Zs, Zp, and Zm are the intra-modal features obtained from the spectral reflectance data, the spectral characteristic parameters, and the spectral similarity metric parameters extracted by the gated linear unit, respectively; Z1, Z2, and Z3 are the outputs of the first SDIIM, the first SCIIM, and the second SCIIM, respectively; Z5, Z6, and Z7 are the outputs of the second SDIIM, the third SCIIM, and the fourth SCIIM, respectively.
SDIIM was used to extract the discrepancy information between different spectral data, the structure of which is shown in Figure 2.
Figure 2.
The architecture of the Separable Discrepancy Information Injection Module (SDIIM).
The spectral reflectance data and spectral characteristic parameters were first extracted for differential information. The traditional cross-attention was improved by adopting a separable cross-attention structure, which was assumed to be based on Zs as K, V and Zp as Q. The spectral features of different modalities were linearly transformed to generate query vectors (Query, Q), key vectors (Key, K), and value vectors (Value, V), respectively:
After the linear transformation, Q, K, V ∈ Rn×d. The elements of the query vector Q were then normalized along the sequence dimensions by the Softmax function to obtain the context scores Cs, where Cs ∈ Rn×1.
The context scores Cs were used to perform a broadcast element-by-element multiplication with elements in the key vector K and a weighted summation to compute the context vector Cv. Cv was subjected to a broadcast element-by-element multiplication with the value vector V and activated by an activation function (Leaky ReLU) to obtain the public information SCMQV between Q and V. This process can be represented as follows:
Then, the public information was removed to obtain information about the differences between Q and V. This process can be represented as:
To obtain complementary information from the spectral characteristic parameters, we injected the difference information into Q, which can be expressed as:
where LayerNorm (∙) denotes layer normalization and is the output of SDIIM.
SCIIM, also based on separable cross-attention, was used to fuse the common information between the spectral reflectance data and the spectral characteristic parameters, with the structure shown in Figure 3.
Figure 3.
The architecture of the Separable Common Information Injection Module (SCIIM).
Common information was firstly injected from the spectral characteristic parameters to enrich the fused information. Assuming that is used as Q and Zp is used as K and V, the common information between the spectral reflectance data extracted by the SDIIM and the difference information between the spectral characteristic parameters, and Zp, can be expressed as:
The public information between and Zp was added to . The process can be expressed as:
Subsequently, the common information between and Zs continued to be injected into the fusion feature to enrich the fusion feature. The process followed that in the above equation, and, after obtaining the fusion feature of the spectral reflectance data and the spectral characteristic parameters, it was then fused with the spectral similarity metric parameters in a similar way to obtain the final fusion feature that contained the difference information and common information among the spectral reflectance data, spectral characteristic parameters, and spectral similarity metric parameters. Meanwhile, the SDIIM and SCIIM improved the traditional cross-attention mechanism by avoiding the large-scale matrix multiplication in the traditional cross-attention through element-by-element computation and weighted summation, which reduces the computational complexity from to (n is the length of the input sequence and h is the size of the dimension of the hidden layer) without loss of performance and significantly reduces memory consumption, so that it can also maintain high computational efficiency when dealing with long sequence data, a feature which can effectively improve the modeling effect of the model on high-dimensional spectral data.
3.4. Prediction Module Based on the Gated BiLSTM Unit
Although BiLSTM improves feature extraction by combining forward and backward LSTM layers, it assigns equal weight to all input features and struggles to filter out redundant or noisy information. Additionally, as sequence length and data complexity increase, issues like gradient vanishing can slow training convergence. To address these challenges, we propose the gated BiLSTM unit, which utilizes parallel linear and BiLSTM layers for feature extraction, global information capture, and sequence dependency modeling. The outputs were fused through element-wise multiplication to adaptively suppress redundant features and emphasize key ones. The design of the gated BiLSTM unit is shown in Figure 1.
3.5. Improved Dung Beetle Optimization Algorithm
The Dung Beetle Optimization (DBO) algorithm [32], which draws inspiration from the rolling, dancing, foraging, stealing, and breeding behaviors observed in dung beetles, is a population-based intelligent optimization algorithm. To address the shortcomings of the dung beetle algorithm, including its suboptimal convergence accuracy and proclivity for becoming trapped in a local optimum, this paper employs three strategies to improve the dung beetle algorithm.
3.5.1. Elite Reverse Learning
This paper integrates the elite reverse learning strategy [33] into the conventional DBO algorithm. The location of the elite center is illustrated in Equation (19).
The Xcenter represents the elite center, and the Xb1, Xb2, Xb3, and Xb4 solutions represent the four optimal solutions in the population at the last iteration. The random number r is generated between 0 and 1. The inverse solution is calculated using the following equation:
Here, r1 and r2 are random numbers between 0 and 1. Xcenter represents the elite center, while X denotes the current solution. The fitness values of the reverse solution and the current solution are compared, and the solution with the smaller fitness value is selected as the optimal solution.
3.5.2. Improved Dung Beetle Rolling Behavior Based on Harris Hawk Algorithm
To better balance the exploration and exploitation capabilities of the algorithm, this study adopts the Harris Hawks Optimization (HHO) approach, utilizing the escape energy E to regulate the search strategy, replacing the original rolling behavior. In HHO, the search and attack behavior of Harris hawks is governed by E, defined as follows:
where E0 is the initial energy, a random number from −1 to 1, t is the current number of iterations, and T is the maximum number of iterations.
When |E| ≥ 1, the algorithm enters the exploration phase and adopts the strategy of the Harris hawk searching for prey, defined as follows:
Here, X(t + 1) and X(t) represent the position vectors of the Harris hawk at the (t + 1)-th and t-th iterations, respectively. Xp(t) denotes the position vector of the prey at the t-th iteration. Xr(t) is the position vector of a randomly selected Harris hawk within the population at the t-th iteration, and Xm(t) represents the average position vector of all Harris hawks in the population at the t-th iteration. The variables r1, r2, r3, r4, and q are random numbers within the range (0, 1), while UB and LB are the upper and lower bounds of the search space, respectively:
Here, r and r5 are random numbers within the range (0, 1), while ΔX(t) represents the difference in position vectors between the prey and the Harris hawk at the t-th iteration. J denotes the intensity of random jumps during the prey’s escape, and D is the dimensionality of the problem being solved. S is a D-dimensional vector where each element is a random number within (0, 1). The function LF (·) refers to the Lévy flight function, and F(·) represents the fitness function. The modified strategy eliminates the early dependency on the worst position seen in the original dung beetle algorithm, enhancing global search capabilities, effectively avoiding local optima, and accelerating the convergence rate in later stages.
3.5.3. Spiral Function Perturbation Mechanism
A spiral perturbation mechanism [34] is introduced in this study to disturb the optimal solution. The formula for the spiral function and the updated position after perturbation is presented in Equation (28):
Here, r represents the flight radius of the spiral function and k is a random value within the range [0, 2π]. Both u and v were set to 1. Xbest and Xbest0 denote the positions after and before the perturbation, respectively.
3.5.4. Summary of IDBO
Step 1: population initialization.
Step 2: application of an elite reverse learning strategy.
Step 3: calculate the fitness values and update the positions of the dung beetles.
Step 4: perform boundary checking and expand the search boundary if it is exceeded.
Step 5: calculate the fitness value and update the current optimal solution.
Step 6: perturb the optimal solution using the spiral function perturbation mechanism.
Step 7: calculate the fitness value and update the optimal solution. If the termination condition for the algorithm is met, output the global optimal solution. Otherwise, repeat Step 2.
3.6. Evaluation Indicators
Five indicators were selected for this study to evaluate the accuracy of the model: the coefficient of determination (R2), the Mean Absolute Error (MAE), the Root Mean Square Error (RMSE), the Relative Predictive Deviation (RPD), and the Ratio of Interquartile Range to RMSE (RPIQ). The higher the R2, RPD, and RPIQ and the lower the RMSE and MAE, the better the model’s predictive ability and stability. The calculation formulas are as follows:
Here, n is the number of samples, and are the true and predicted values of dye concentration and ultrasound power, respectively, is the mean of the true values, SD is the standard deviation, and IQ is the difference between the third and first quartiles of the true values.
3.7. The SHapley Additive exPlanation (SHAP) Values
SHAP values represent the relative contribution (negative or positive) of each feature in a sample to the model output. These values are available through the DeepExplainer module of the SHAP library (https://github.com/slundberg/shap, accessed on 29 January 2025). Let us assume that the i-th sample is represented by , and that the j-th feature of the i-th sample is . Furthermore, let us define as the average of all samples, and let us denote the predicted value of the model as . In this case, the SHAP value of can be expressed in accordance with Equation (30).
4. Experimental Process and Analysis
4.1. Materials
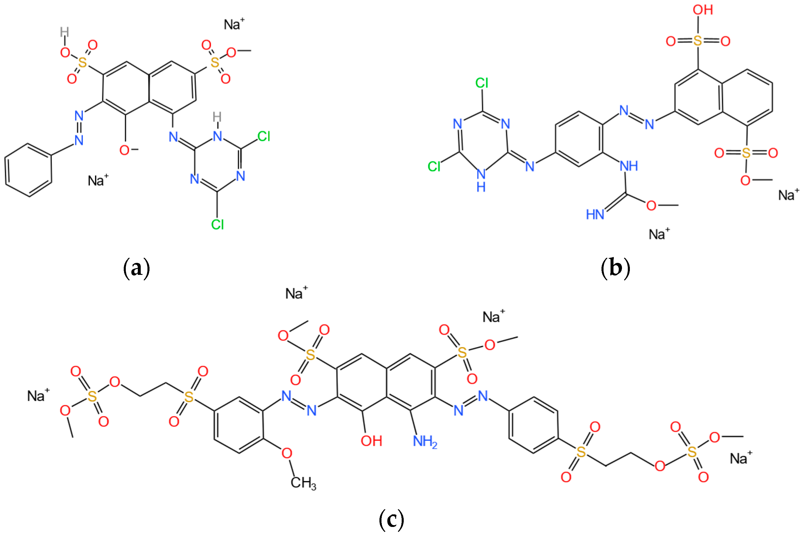
Camphor pine was selected as the dyeing substrate, made of 50 mm × 50 mm × 2 mm (L × T × R) veneer for the dyeing treatment; the materials used for dyeing included reactive red dye X-3B, reactive yellow dye X-RG, reactive blue dye X-3G, NaCl, the penetrating agent JFC, and a color-fixing agent (anhydrous sodium carbonate), among others. The molecular structures of the dyes used (X-3B, X-RG, and X-3G) are shown in Figure 4a, b, and c, respectively.
Figure 4.
Molecular structures of the three dyes: (a) represents the molecular structure of reactive red X-3B, (b) represents the molecular structure of reactive yellow X-RG, and (c) represents the molecular structure of reactive blue X-3G.
4.2. Experimental Design of the Effect of the Ultrasonic Pretreatment on the Dyeing Effect
4.2.1. Ultrasonic Pretreatment and Dyeing Treatment
Eighteen pieces of camphor pine veneer were divided into three groups of six pieces each, and the veneer was immersed in an ultrasonic cleaner with the temperature set to 65 °C. The ultrasonic pretreatment was carried out with a power of 0 W, 150 W, and 300 W, respectively, and the time of each treatment was 120 min. Each experiment was repeated six times, and the average value was taken to reduce the experimental error. A 500 mL reactive red dye solution with a concentration of 10 g/L was prepared using distilled water. The dye solution was supplemented with 1 g/L of penetrant JFC and 15 g/L of NaCl and stirred thoroughly. The ultrasonically pretreated sample was then immersed in the dye bath and dyed at 65 °C for 2 h. Subsequently, 20 g/L of anhydrous sodium carbonate was added to the solution to fix the color for 30 min. After the dyeing process, the water bath was turned off, and the beaker was removed. The veneer surface was rinsed with water, air-dried, and stored.
4.2.2. Measurement of Dyeing Rate
The absorbance value of the dye solution before dyeing and after dyeing was measured using a UV-visible spectrophotometer. The dye uptake rate was then calculated using Equation (31):
where represents the absorbance of the maximum absorption wavelength of the dye solution before dyeing, in ABS, and represents the absorbance of the maximum absorption wavelength of the dye solution after dyeing, in ABS.
4.3. Analysis of the Influence of the Ultrasonic Pretreatment on Dyeing Results
The dyeing rate of the dyed veneer after the ultrasonic pretreatment at different powers is shown in Figure 5.
Figure 5.
The influence of different ultrasonic powers on the dyeing rate.
The study found that the staining rate of the stained veneer pretreated with ultrasonics was higher than that of the stained veneer without the ultrasonic pretreatment; within a certain power range, the staining rate increased with the increase in ultrasonic power. To further investigate the effect of the ultrasonic pretreatment on wood staining, Scanning Electron Micrographs (SEM) and Fourier Transform Infrared (FTIR) spectra of the stained veneers, with and without ultrasonic pretreatment, were obtained. The results of scanning electron microscope observations of the stained veneer after the ultrasonic pretreatment and of the stained veneer without the ultrasonic pretreatment are shown in Figure 6. It can be seen from Figure 6 that the voids between the wood fibers increased after the wood had been pretreated by ultrasonic treatment, a phenomenon which makes the passage of the dye solution into the wood smoother and facilitates dye uptake and the adsorption of the dye.
Figure 6.
SEM of the stained veneers with and without the ultrasonic pretreatment. (a) shows electron microscope images of the stained veneers without the ultrasonic pretreatment, and (b) displays electron microscope images of the stained veneers after the ultrasonic pretreatment.
Figure 7 shows the FTIR spectra of the stained wood veneer pretreated with ultrasounds and the stained wood veneer not pretreated with ultrasounds. A comparison of the FTIR spectra between ultrasound-pretreated and non-pretreated stained veneers reveals that the absorption intensities of the characteristic peaks associated with cellulose (at 2929.5, 1410.7, 1151.1, and 1022.2 cm−1), lignin (at 1576.9, 1508.4, and 1213.3 cm−1), and hemicellulose (at 1732.8 cm−1) were lower in the ultrasound-pretreated Pinus sylvestris var. mongolica veneers than in the non-pretreated samples. This indicates that the ultrasound pretreatment disrupts the structure of cellulose, hemicellulose, and lignin, leading to their degradation into smaller molecules. Such a degradation facilitates the penetration of dye molecules into the wood’s interior, improving the staining effect.
Figure 7.
Comparison of FTIR spectra of the ultrasound-pretreated dyed veneer, untreated dyed veneer, and undyed veneer.
4.4. Prediction of Dye Formulas and Ultrasonic Pretreatment Power
4.4.1. Dataset and Experimental Environment
The experiments described in this paper were performed on a server with the following specifications: 20 vCPU Intel(R) Xeon(R) Platinum 8457C, GPU-L20 (48 GB), and the operating system Linux. The algorithms and models were implemented using the Python language.
The experimental dataset comprised spectral reflectance data, spectral characteristic parameters, spectral similarity metric parameters, dye concentration, and ultrasonic pretreatment power for 648 stained veneers. The 648 pine veneers were divided into 108 groups of six veneers each. Within each group, identical dye concentration and ultrasonic pretreatment power settings were applied, both selected randomly. Due to experimental constraints, the ultrasonic power was restricted to a random range of 0 to 300 W, with the treatment conducted at 65 °C for 120 min. Following the pretreatment, the dyeing process was initiated, as described in Section 4.2.1. The partial settings for the dye concentration and the ultrasonic pretreatment power are presented in Table A1, located in Appendix A. A hyperspectral analyzer was employed to extract the spectral reflectivity of the veneer both before and after dyeing. In this experiment, the SPECIM FX10 hyperspectral camera (SPECIM, SPECTRAL IMAGING LTD., Oulu, Finland) was used to scan the surface of the wood veneer. Its key specifications, including a wavelength range of 400–1000 nm, a spectral resolution of 5.5 nm, a spectral sampling interval of 2.7 nm, 224 spectral bands, a spatial resolution of 1024, and a dual-source halogen light (400–2500 nm), are detailed in Table A2 of Appendix A. These parameters, particularly the spectral resolution and sampling interval, ensure high precision and sensitivity in the 400–700 nm range. The camera’s performance was validated through rigorous calibration, providing reliable spectral reflectance data. Detailed specifications are available in the SPECIM FX10 technical manual, uploaded as Supplementary Material. This process yielded the spectral reflectivity of the veneer at each wavelength within the 400–700 nm band, both before and after dyeing. Subsequently, the corresponding spectral characteristic parameters and the spectral similarity metric parameters of the dyed veneer were calculated. For the purposes of this analysis, and represent two spectra, and , respectively. The spectral characteristic parameters are presented in Table A3, and the calculation method of the spectral similarity metric parameters is provided in Table A4, both located in Appendix A.
The MIC values among each spectral feature, dye concentration, and ultrasonic pretreatment power are shown in Figure 8 and Figure 9. The target variables, including the concentrations of three reactive dyes—reactive Red (R), reactive Yellow (Y), and reactive brilliant Blue (B)—and ultrasonic pretreatment Power (P), are represented by the abbreviations R, Y, B, and P, respectively, in the figures.
Figure 8.
MIC of spectral similarity metric parameters with respect to dye concentration and ultrasonic pretreatment power.
Figure 9.
MIC of spectral characteristic parameters with respect to dye concentration and ultrasonic pretreatment power.
Based on the MIC between various spectral features and the four variables, dye concentration and ultrasonic pretreatment power, the Spectral Angle Measure Distance (), the Spectral Information Divergence (SID), the German–McClure function distance (), and the distance () were selected as spectral similarity metric parameters. Additionally, the green peak reflectivity (), the yellow edge amplitude (), the blue border position (), and the blue edge area () were chosen as spectral characteristic parameters.
In addition, we examined the changes in the reflectance spectra of the stained veneer as the ultrasonic power and dye concentration were varied. As shown in Figure 10 and Figure 11, when the concentration of reactive red X-3B, reactive yellow X-RG, and reactive blue X-3G dyes was changed, the reflectance of the dyed veneer changed significantly in the 400–500 nm and 550–700 nm bands, both of which were sensitive bands. The 400–500 nm and 650–700 nm bands were more sensitive to the ultrasound pretreatment. However, it should be noted that this sensitivity is specific to the dyes used in this study. Different types of dyes, especially those with distinct molecular structures, may exhibit sensitivity in different spectral regions, and further investigation would be required to confirm these findings for other dyes.
Figure 10.
Spectral reflectance of the veneer stained with different concentrations of dyes.
Figure 11.
Spectral reflectance of the dyed veneers with and without the ultrasonic pretreatment.
4.4.2. Model Training and Testing
The IDBO-SAT Fusion-Gated BiLSTM prediction model was constructed using the spectral reflectance of the dyed veneer surface, the spectral similarity metric parameters, and the spectral characteristic parameters selected by the MIC analysis as inputs, and the dye concentration and ultrasonic pretreatment power as outputs. The dataset was split into training (70%), validation (10%), and test (20%) sets, with all data normalized before being input into the model. The optimization parameter ranges were determined through experimental tuning, ensuring that they were well-suited to the dataset and task, and outperformed other tested ranges in preliminary trials. Optimization was performed using the Improved Dung Beetle Optimization (IDBO) algorithm, with the Mean Squared Error (MSE) as the fitness function, a population size of 50, and a maximum of 200 iterations. The parameters of the model are set as shown in Table 1.
Table 1.
Training parameter settings for the model.
4.4.3. Comparative Analysis of Experimental Results
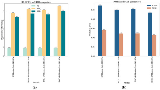
To assess the performance of the proposed model, it was compared with several commonly used models, including LSTM, Convolutional Long Short-Term Memory (ConvLSTM), Gated Recurrent Unit (GRU), BiLSTM, CNNs, Support Vector Regression (SVR), Random Forest (RF), and Attention Feature Fusion-Gated Bidirectional Long Short-Term Memory (AT Fusion-Gated BiLSTM). The primary distinction between the AT Fusion-Gated BiLSTM model and the proposed model lies in the feature fusion module. While the former uses traditional cross-attention to construct the Discrepancy Information Injection Module (DIIM) and the Common Information Injection Module (CIIM), the proposed model employs a separable cross-attention mechanism for feature fusion. The comparison was conducted using five evaluation metrics: R2, RMSE, RPIQ, RPD, and MAE. The corresponding prediction performance evaluations are shown in Table 2, Table 3 and Table 4. The comparison results of R2, RMSE, RPIQ, RPD, MAE, and running time are shown in Figure 12, Figure 13 and Figure 14, respectively. Table 2 shows a comparison between the performance of several models without the spectral characteristic parameters and spectral similarity metric parameters and the performance of several models with these parameters. Figure 12 and Figure 13 compare the performance of the proposed model with several traditional machine learning models after adding spectral characteristic parameters and spectral similarity metric parameters. Table 3 shows the experimental effects of removing or adding each module in the overall SAT Fusion-Gated BiLSTM. Table 4 shows the performance comparison among the models after adding spectral characteristic parameters and spectral similarity metric parameters and after optimizing the proposed models with different optimization algorithms. Figure 15 presents scatter plots comparing the predicted and actual values for the concentrations of reactive red, reactive yellow, and reactive blue dyes, as well as for the ultrasonic pretreatment power.
Table 2.
Performance comparison of several models with and without the spectral characteristic parameters and spectral similarity metric parameters.
Table 3.
Model ablation experiments for SAT Fusion-Gated BiLSTM include the gated BiLSTM with the gated linear unit and the SAT Fusion module removed, the gated linear BiLSTM with the SAT Fusion module removed, and the SAT Fusion-Gated BiLSTM.
Table 4.
Comparison of the performance of the proposed model optimized with different optimization algorithms (adding spectral characteristic parameters and spectral similarity metric parameters) according to R2, RPIQ, RPD, RMSE, and MAE.
Figure 12.
Performance comparison between the proposed model and other machine learning models according to R2, RPIQ, RPD, RMSE, and MAE. (a) presents a comparison of R2, RPIQ, and RPD metrics, (b) presents a comparison of RMSE and MAE metrics.
Figure 13.
Running time comparison between the proposed model and other machine learning models.
Figure 14.
Comparison of the performance of the proposed model optimized with different optimization algorithms (adding spectral characteristic parameters and spectral similarity metric parameters) according to R2, RPIQ, RPD, RMSE, and MAE. (a) presents a comparison of R2, RPIQ, and RPD metrics, (b) presents a comparison of RMSE and MAE metrics.
Figure 15.
Scatter plots of true versus predicted values for the testing dataset. (a) Predicted versus true concentrations of reactive red dye. (b) Predicted versus true concentrations of reactive yellow dye. (c) Predicted versus true concentrations of reactive blue dye. (d) Predicted versus true values for ultrasonic pretreatment power.
As shown in Table 2, the inclusion of spectral characteristic parameters and spectral similarity metric parameters led to a performance improvement in most models, although the enhancement was not substantial. The SVR model exhibited the poorest performance, with an R2 value of 0.5885, an RMSE value of 0.1314, an RPIQ value of 1.9973, an RPD value of 1.8032, and a MAE value of 0.0782. Notably, while the inclusion of these parameters allowed the BiLSTM and LSTM models to achieve an optimal performance—with BiLSTM attaining an R2 of 0.7733 and RMSE, RPIQ, RPD, and MAE values of 0.0944, 2.7801, 2.5099, and 0.0481, respectively, and LSTM achieving an R2 of 0.7350, with RMSE, RPIQ, RPD, and MAE values of 0.0919, 2.8574, 2.5797, and 0.0519, respectively—the BiLSTM demonstrated a superior performance in terms of R2 and MAE, whereas the LSTM achieved the best RMSE, RPIQ, and RPD metrics, slightly outperforming the BiLSTM in these areas. However, the improvements seen in sequence models such as LSTM, GRU, ConvLSTM, and BiLSTM were relatively minor compared to those of the CNN and RF models. This limited enhancement may be attributed to the nature of the added spectral characteristic parameters and spectral similarity metric parameters, which differ from spectral reflectance data types and are non-aligned sequences. Simply concatenating these distinct spectral data lacks an understanding and utilization of the intrinsic relationships between features, hindering deep interactions among the data. This approach can lead to overlooked correlations between features, reduced efficiency in information utilization, and the potential introduction of redundancy, ultimately constraining the modeling performance of sequence models and resulting in only a limited performance gain.
As shown in Figure 12 and Figure 13, the proposed SAT Fusion-Gated BiLSTM model outperformed traditional models, achieving the highest predictive performance with an R2 value of 0.8999 and RMSE, RPIQ, RPD, and MAE values of 0.0547, 4.8005, 4.3340, and 0.0280, respectively, all of which are the best among the models considered. In contrast, the worst-performing model, SVR, achieved an R2 value of only 0.5885, with RMSE, RPIQ, RPD, and MAE values of 0.1314, 1.9973, 1.8032, and 0.0782, respectively. The proposed model exhibited a high performance while requiring only 5.7683 s to execute, a significantly faster processing time than that of traditional deep learning models, including GRU, CNNs, LSTM, and BiLSTM. Although the running time of the proposed model was slightly higher than that of the SVR, RF, and AT Fusion-Gated BiLSTM models, the performance metrics of the proposed model, including R2, RPIQ, RPD, RMSE, and MAE, demonstrated a notable enhancement, with the proposed model exhibiting an optimal balance between running efficiency and prediction accuracy.
The reported runtime excludes data preprocessing and focuses solely on model construction, training, and evaluation. The significant performance improvement of the SAT Fusion-Gated BiLSTM model over BiLSTM, LSTM, and other conventional deep learning models is primarily due to the integration of the Separable Attention Feature Fusion (SAT Fusion) module, which combines SDIIM and SCIIM based on separable cross-attention mechanisms. Additionally, the model incorporates Gated Linear Units (GLUs) and gated BiLSTM units to enhance computational efficiency through an optimized information flow. SDIIM and SCIIM are designed to extract differential and shared information from multimodal data, respectively, facilitating efficient feature fusion. By enabling key feature interactions, they preserve the benefits of parallel processing while improving feature representation and integration. This lightweight strategy reduces redundant feature generation and mitigates the sequential dependency typical of recurrent networks, significantly shortening runtime. SAT Fusion’s hierarchical feature fusion effectively captures multimodal relationships, improving both feature extraction and computational efficiency. During fusion, SDIIM extracts differential information from spectral reflectance data, spectral characteristic parameters, and spectral similarity metric parameters using separable cross-attention. SCIIM integrates shared information from these datasets, reducing redundancy and information loss and avoiding the low feature utilization seen in concatenated multispectral data. The SAT Fusion module dynamically leverages each modality’s strengths, generating richer feature representations and enhancing the understanding of multimodal spectral data. These structural optimizations enable SAT Fusion-Gated BiLSTM to achieve significant runtime reductions without compromising model depth or feature representation. The GLU and gated BiLSTM units further optimize information flow. Specifically, GLUs apply layer normalization, with inputs processed through two parallel channels—a linear transformation and a sigmoid transformation. The outputs are fused via element-wise multiplication and added back to the normalized input through a residual connection, allowing the model to focus on critical information while retaining the original input. The gated BiLSTM unit extends the traditional BiLSTM by incorporating a parallel linear layer to capture global patterns, in addition to sequential features. These outputs are fused through element-wise multiplication, adjusting feature importance and suppressing redundancy, a process which enhances computational efficiency and feature representation without sacrificing expressive power.
Table 3 illustrates the effect of removing or adding each module within the SAT Fusion-Gated BiLSTM architectural framework. Removing the SAT Fusion module and the gated linear unit resulted in a sequential decrease in model performance, indicating that the gated linear unit and the SDIIM- and SCIIM-based SAT Fusion modules are essential for optimizing network performance. The effectiveness of the gated linear unit and the SDIIM- and SCIIM-based SAT Fusion modules is thus verified. It can be seen that the R2, RPIQ, RPD, RMSE, and MAE values of the entire SAT Fusion-Gated BiLSTM network reached the optimal performance level, proving the effectiveness of each module.
As shown in Table 4 and Figure 14, the proposed IDBO-SAT Fusion-Gated BiLSTM model achieved the best performance among all evaluated models, with an R2 value of 0.9274 and RMSE, RPIQ, RPD, and MAE values of 0.0470, 5.5825, 5.0400, and 0.0229, respectively. These values are the optimal results among the models tested. Compared to the SAT Fusion-Gated BiLSTM model without parameter optimization by the IDBO algorithm, the IDBO-SAT Fusion-Gated BiLSTM model demonstrated further enhanced predictive performance, with increases in R2, RPIQ, and RPD values of 3.06%, 16.29%, and 16.29%, respectively, and decreases in RMSE and MAE values of 14.08% and 18.21%, respectively. The experimental results confirm that the proposed method outperforms other approaches in terms of evaluation metrics.
The results demonstrate that even in the absence of the Improved Dung Beetle Optimization (IDBO) algorithm for parameter optimization, the proposed SAT Fusion-Gated BiLSTM model is capable of effectively handling multimodal and complex spectral data. Furthermore, the model performance is markedly superior to that of the commonly utilized models, including LSTM, ConvLSTM, GRU, BiLSTM, CNNs, SVR, and RF. This corroborates the assertion that the proposed SAT Fusion module is efficacious in integrating disparate spectral features, thereby reducing the incidence of prediction errors. The predictive efficacy of the model is further enhanced following the optimization of its parameters through the application of the IDBO algorithm. To sum up, the proposed IDBO-SAT Fusion-Gated BiLSTM model evinces a pronounced improvement across all evaluation metrics, particularly in the RPIQ metric and the RPD metric, which exhibits an increase of 100.80% in comparison to the BiLSTM, which is the best performing of the traditional deep learning models.
As shown in Figure 15, the predicted values were very close to the true values. The scatter plots for reactive red, yellow, and blue dyes (Figure 15a, Figure 15b, and Figure 15c) exhibited strong linear relationships, with R2 values of 0.928, 0.876, and 0.925, respectively. These R2 values indicate that the model explains 92.8%, 87.6%, and 92.5% of the variance in the predicted dye concentrations, respectively. For the ultrasonic pretreatment power (Figure 15d), an even stronger linear correlation was observed, with an R2 value of 0.980, indicating that the model explains 98.0% of the variance in predicted power values. In summary, these results demonstrate the model’s strong performance, achieving high accuracy in predicting both dye concentrations and ultrasonic pretreatment power. This highlights the model’s effectiveness and reliability in these predictive tasks.
4.5. Analysis of the Spectral Feature
Figure 16 and Figure A1 show the results of the spectral characterization based on the SHAP algorithm.
Figure 16.
Four bar graphs illustrate the significance of various features in predicting different dye concentrations and ultrasonic pretreatment powers. (a) shows the top 30 spectral features contributing the most to the prediction of the reactive red dye concentration, (b) presents the top 30 features for the reactive yellow dye concentration, (c) displays the top 30 features for the reactive blue dye concentration, and (d) illustrates the top 30 features impacting the prediction of the ultrasonic pretreatment power.
Figure 16 presents an analysis of spectral features conducted on 40 randomly selected samples from the test set. The average SHAP values for each feature were calculated by averaging the SHAP values across these 40 samples, with the feature displaying the largest absolute SHAP value identified as the most important. Figure A1 visually illustrates the importance of each variable through color-coded points, where the y-axis represents feature relevance and the x-axis represents SHAP values. Red points indicate a higher feature importance, while blue points signify a lower importance, reflecting the impact of various input features on the prediction outcomes. As shown in Figure 16 and Figure A1, the predicted concentration of the reactive red X-3B dye was most influenced by spectral reflectance at 442.26 nm and 452.79 nm, with a positive correlation between reflectance at these wavelengths and the predicted concentration. Similarly, the predicted concentration of reactive yellow X-RG was primarily influenced by the reflectance at wavelengths of 452.79 nm, 450.16 nm, 431.74 nm, and 455.43 nm. An increase in reflectance at 452.79 nm, 450.16 nm, and 455.43 nm was associated with a decrease in the predicted concentration, whereas an increase in reflectance at 431.74 nm correlated positively with an increase in predicted concentration. For the reactive blue X-3G dye, the reflectance at 402.90 nm and 431.74 nm had the most significant impact on the predicted concentration, with a strong positive correlation between the reflectance at 402.90 nm and the predicted concentration and a negative impact from increasing reflectance at 431.74 nm. In predicting the ultrasonic pretreatment power, reflectance at 701.81 nm, 434.37 nm, and 431.74 nm played a dominant role, with a higher reflectance at 701.81 nm corresponding to a higher predicted power, while the reflectance at 434.37 nm and 431.74 nm negatively correlated with the predicted power. Additionally, , SAD, and were found to be associated with the predictions of both dye concentrations and ultrasonic power, aligning closely with the spectral data analysis presented in Section 4.4.1. It should be noted that these conclusions are specific to the reactive dyes used in this study. Different types of dyes may exhibit varying spectral and chemical behaviors, and the model may require retraining to ensure accurate predictions.
5. Conclusions
This study employs an ultrasonic pretreatment to improve veneer dyeing performance and develops the IDBO-SAT Fusion-Gated BiLSTM model to predict dye formulations and ultrasonic pretreatment power. The key conclusions are as follows:
- The ultrasonic pretreatment increased the gaps between wood fibers, disrupting the structure of cellulose, hemicellulose, and lignin, a phenomenon which resulted in an enhanced dye uptake.
- By combining pre- and post-dyeing veneer spectral similarity metrics with spectral characteristic parameters and spectral reflectance data obtained after veneer dyeing, the prediction accuracy of dye formulations and ultrasonic pretreatment power was improved. The proposed IDBO-SAT Fusion-Gated BiLSTM model demonstrated significant improvements over traditional machine learning models in metrics such as R², RPIQ, RPD, RMSE, and MAE. Notably, RPD and RPIQ values showed more than a 100.8% increase over conventional models, while maintaining high computational efficiency with an 83.94% reduction in runtime relative to CNNs.
- An analysis using the SHAP algorithm identified key spectral features, including reflectance in the 400–500 nm range and at 701.81 nm, which influence predictions of dye concentrations and ultrasonic pretreatment power.
In conclusion, the IDBO-SAT Fusion-Gated BiLSTM model offers significant advantages in predicting dye formulations and ultrasonic pretreatment power, thereby contributing to the optimization of wood dyeing technology. However, it is important to note that these findings are specific to the reactive dyes used in this study; if other types of dyes are applied, the model may require retraining and the results may differ.
Supplementary Materials
The supporting information can be downloaded at: https://sensing.konicaminolta.us/wp-content/uploads/Specim-FX10-Technical-Datasheet-04.pdf (accessed on 29 January 2025).
Author Contributions
Conceptualization, X.G.; methodology, X.G. and X.C.; software, X.C.; validation, X.C.; data collection, X.C.; writing—original draft preparation, X.C.; writing—review and editing, X.G., X.C., Z.H., and H.C.; visualization, X.C.; project administration, X.G.; funding acquisition, X.G. All authors have read and agreed to the published version of the manuscript.
Funding
National Natural Science Foundation of China (32171691); Harbin Science and Technology Bureau Manufacturing Innovation Talent Project (CXRC20221110393).
Institutional Review Board Statement
Not applicable.
Informed Consent Statement
Not applicable.
Data Availability Statement
The data used in this study are not publicly available due to confidentiality and privacy concerns. Access to the data can only be granted upon request and with the permission of the appropriate parties. Please contact the corresponding author for further information.
Acknowledgments
Thanks to the School of Computer and Control Engineering, Northeast Forestry University.
Conflicts of Interest
The authors declare that they have no conflicts of interest to report regarding the present study.
Appendix A
Table A1.
Dye concentrations and ultrasonic pretreatment power for partial samples. Dye concentrations are expressed in grams per liter (g/L), and ultrasonic power is expressed in watts (W). “Sample No.” refers to the sample identification number.
Table A1.
Dye concentrations and ultrasonic pretreatment power for partial samples. Dye concentrations are expressed in grams per liter (g/L), and ultrasonic power is expressed in watts (W). “Sample No.” refers to the sample identification number.
| Sample No. | Dye Concentration (g/L) | Ultrasonic Power (W) | ||
|---|---|---|---|---|
| Active Red Dye (g/L) | Active Yellow Dye (g/L) | Active Blue Dye (g/L) | ||
| 1 | 2.3 | 1.0 | 1.2 | 0 |
| 2 | 2.0 | 2.0 | 2.0 | 300 |
| 3 | 2.0 | 4.0 | 6.0 | 150 |
| 4 | 1.1 | 5.1 | 0.9 | 240 |
| 5 | 2.0 | 4.1 | 0.4 | 120 |
| 6 | 1.7 | 5.4 | 0.6 | 240 |
Table A2.
SPECIM hyperspectral imager parameters.
Table A2.
SPECIM hyperspectral imager parameters.
| Working Parameters | Parameter Value |
|---|---|
| Camera | VNIR-FX10 |
| Spatial resolution | 1024 |
| Wavelength range | 400–1000 nm |
| Field of view | 38° |
| Scanning speed | 65 mm/s |
| Image acquisition speed | 330–9900 Hz |
| Light source | Dual-source halogen light (400–2500 nm) |
Table A3.
Spectral characteristic parameters. Wavelength is in nanometers (nm), reflectivity is unitless, and amplitude/area is specified where applicable.
Table A3.
Spectral characteristic parameters. Wavelength is in nanometers (nm), reflectivity is unitless, and amplitude/area is specified where applicable.
| Type | Variables | Definition | Description |
|---|---|---|---|
| Spectral absorption characteristics parameters | Green peak position | Wavelength of maximum reflectivity (510–560 nm). | |
| Green peak reflectivity | Maximum reflectance (510–560 nm). | ||
| Red valley location | Wavelength of minimum reflectivity (650–690 nm). | ||
| Red valley reflectivity | Minimum reflectance (650–690 nm). | ||
| Spectral trilateral characteristic parameters | Red edge position | Wavelength of maximum first derivative (680–760 nm). | |
| Red edge amplitude | Maximum first derivative (680–760 nm). | ||
| Red edge area | Sum of first derivatives (680–760 nm). | ||
| Yellow edge position | Wavelength of maximum first derivative (560–640 nm). | ||
| Yellow edge amplitude | Maximum first derivative (560–640 nm). | ||
| Yellow border area | Sum of first-order differentials (560–640 nm). | ||
| Blue border position | Wavelength of maximum first derivative (490–530 nm). | ||
| Blue edge amplitude | Maximum first derivative (490–530 nm). | ||
| Blue edge area | Sum of first-order derivatives (490–530 nm). |
Table A4.
Spectral similarity metric parameters.
Table A4.
Spectral similarity metric parameters.
| Spectral Similarity Metric Parameters | Calculation Method |
|---|---|
| Euclidean Distance (ED) | |
| German–McClure Function (GMCF) | |
| Chebyshev Distance (TD) | |
| Manhattan Distance (MD) | |
| Fréchet Distance (DF) | |
| Spectral Angle Measure (SAD) | |
| Pearson Coefficient (Pearson) | |
| Spectral Information Divergence (SID) |

Figure A1.
Beeswarm plot of the global SHAP analysis displays the impact of different features. (a) presents a beeswarm plot of the top 30 spectral features contributing to the prediction of the reactive red dye concentration, (b) displays the beeswarm plot for the reactive yellow dye concentration, (c) shows the beeswarm plot for the reactive blue dye concentration, and (d) illustrates the beeswarm plot for the top 30 features influencing the ultrasonic pretreatment power prediction.
References
- Liu, Y.; Hu, J.; Gao, J.; Guo, H.; Chen, Y.; Cheng, Q. Wood veneer dyeing enhancement by ultrasonic-assisted treatment. bioResources 2015, 10, 1198–1212. [Google Scholar] [CrossRef][Green Version]
- Qi, Y.; Zhou, Z.; Xu, R.; Dong, Y.; Liu, M.; Shen, L.; Han, J. Research on the dyeing properties of Chinese fir using ultrasonic-assisted mulberry pigment dyeing. Forests 2023, 14, 1832. [Google Scholar] [CrossRef]
- Tanaka, T.; Avramidis, S.; Shida, S. A preliminary study on ultrasonic treatment effect on transverse wood permeability. Maderas. Cienc. Tecnol. 2010, 12, 3–9. [Google Scholar] [CrossRef]
- Wang, X.; Yu, Z.; Zhang, Y.; Qi, C.; Chang, W.-L. Evaluation of ultrasonic-assisted dyeing properties of fast-growing poplar wood treated by reactive dye based on grey system theory analysis. J. Wood Sci. 2018, 64, 861–871. [Google Scholar] [CrossRef]
- Kang, C.W.; Jang, E.S.; Lee, N.H.; Jang, S.S.; Lee, M. Air permeability and sound absorption coefficient changes from ultrasonic treatment in a cross section of Malas (Homalium foetidum). J. Wood Sci. 2021, 67, 10. [Google Scholar] [CrossRef]
- Jang, E.S.; Kang, C.W. An experimental study on pore structural changes of ultrasonic treated Korean paulownia (Paulownia coreana). Wood Sci. Technol. 2022, 56, 883–898. [Google Scholar] [CrossRef]
- Qu, L.; Zhang, J.; Wang, Z.; He, Z.; Yi, S. Effects of ultrasonic pretreatment on the drying characteristics of Eucalyptus grandis × Eucalyptus urophylla. Wood Res. 2017, 62, 625–634. [Google Scholar]
- Wang, J.X. Advances in wood dyeing research. For. Sci. Technol. 2020, 45, 42–47. [Google Scholar] [CrossRef]
- Zhao, Y.J.; Zhang, Y.; Yu, Z.M.; Zhang, Z.T.; Hu, G.B. Application of computer technology in reconstituted decorative lumber. For. Sci. Technol. 2019, 62, 21–24. [Google Scholar] [CrossRef]
- Wu, M.C.; Guan, X.M.; Li, W.F.; Huang, Q.L. Color spectra algorithm of hyperspectral wood dyeing using particle swarm optimization. Wood Sci. Technol. 2020, 55, 49–66. [Google Scholar] [CrossRef]
- Guan, X.; Zhu, Y.; Song, W. Application of RBF neural network improved by peak density function in intelligent color matching of wood dyeing. Chaos Solitons Fractals 2016, 89, 485–490. [Google Scholar] [CrossRef]
- LeCun, Y.; Bengio, Y.; Hinton, G. Deep learning. Nature 2015, 521, 436–444. [Google Scholar] [CrossRef]
- Zhang, B.; Li, N.; Shi, F.; Law, R. A deep learning approach for daily tourist flow forecasting with consumer search data. Asia Pac. J. Tour. Res. 2020, 25, 323–339. [Google Scholar] [CrossRef]
- Salamanis, A.; Xanthopoulou, G.; Kehagias, D.; Tzovaras, D. LSTM-based deep learning models for long-term tourism demand forecasting. Electronics 2022, 11, 3681. [Google Scholar] [CrossRef]
- Kulshrestha, A.; Krishnaswamy, V.; Sharma, M. Bayesian BILSTM approach for tourism demand forecasting. Ann. Tour. Res. 2020, 83, 102925. [Google Scholar] [CrossRef]
- Subbiah, S.S.; Paramasivan, S.K.; Arockiasamy, K.; Senthivel, S.; Thangavel, M. Deep learning for wind speed forecasting using Bi-LSTM with selected features. Intell. Autom. Soft Comput. 2023, 35, 3829–3844. [Google Scholar] [CrossRef]
- Guo, X.; Bi, Z.; Wang, J.; Qin, S.; Liu, S.; Qi, L. Reinforcement learning for disassembly system optimization problems: A survey. Int. J. Netw. Dyn. Intell. 2023, 2, 1–14. [Google Scholar] [CrossRef]
- Guan, X.; Cui, H. Wood dyeing recipe prediction based on LDA and an improved cuckoo search algorithm with a CNN-GRU network. Sci. Technol. Eng. 2024, 24, 12268–12276. [Google Scholar] [CrossRef]
- Yuan, Q.; Shen, H.; Li, T.; Li, Z.; Li, S.; Jiang, Y.; Xu, H.; Tan, W.; Yang, Q.; Wang, J.; et al. Deep learning in environmental remote sensing: Achievements and challenges. Remote Sens. Environ. 2020, 241, 111716. [Google Scholar] [CrossRef]
- Rossel, R.V.; Behrens, T.; Ben-Dor, E.; Chabrillat, S.; Demattê, J.A.M.; Ge, Y.; Gomez, C.; Guerrero, C.; Peng, Y.; Ramirez-Lopez, L.; et al. Diffuse reflectance spectroscopy for estimating soil properties: A technology for the 21st century. Eur. J. Soil Sci. 2022, 73, e13271. [Google Scholar] [CrossRef]
- Kashem, A.; Karim, R.; Malo, S.C.; Das, P.; Datta, S.D.; Alharthai, M. Hybrid data-driven approaches to predicting the compressive strength of ultra-high-performance concrete using SHAP and PDP analyses. Case Stud. Constr. Mater. 2024, 20, e02991. [Google Scholar] [CrossRef]
- Lundberg, S.M.; Lee, S.-I. A unified approach to interpreting model predictions. In Proceedings of the 31st International Conference on Neural Information Processing Systems (NIPS’17), Long Beach, CA, USA, 4–9 December 2017; Curran Associates Inc.: Red Hook, NY, USA; pp. 4768–4777. [Google Scholar]
- Bhattarai, P.; Thakuri, D.S.; Nie, Y.; Chand, G.B. Explainable AI-based Deep-SHAP for mapping the multivariate relationships between regional neuroimaging biomarkers and cognition. Eur. J. Radiol. 2024, 174, 111403. [Google Scholar] [CrossRef]
- Nahiduzzaman, M.; Abdulrazak, L.F.; Ayari, M.A.; Khandakar, A.; Islam, S.R. A novel framework for lung cancer classification using lightweight convolutional neural networks and ridge extreme learning machine model with SHapley Additive exPlanations (SHAP). Expert Syst. Appl. 2024, 248, 123392. [Google Scholar] [CrossRef]
- Ranasinghe, R.S.S.; Kulasooriya, W.K.V.J.B.; Perera, U.S.; Ekanayake, I.U.; Meddage, D.P.P.; Mohotti, D.; Rathanayake, U. Eco-friendly Mix Design of Slag-Ash-Based Geopolymer Concrete Using Explainable Deep Learning. Results Eng. 2024, 23, 102503. [Google Scholar] [CrossRef]
- Yuan, L.; Wang, S.; Gu, Q.; Tu, S.; Xiong, Y.; Yuan, H.; Liu, J.; Yan, Y. Color transfer rules between melange yarns and fabrics based on spectral pan-similarity measurement. J. Text. Sci. Eng. 2019, 40, 30–37. [Google Scholar] [CrossRef]
- Xiong, Y. Research on the Correlation Between the Color-Spinning Process and Color Presentation by Integrating Multi-Dimensional Feature Analysis. Master’s Thesis, Wuhan Textile University, Wuhan, China, 2022. Available online: https://doi.org/10.27698/d.cnki.gwhxj.2022.000209 (accessed on 29 January 2025).
- Wei, X.; Zhang, T.; Li, Y.; Zhang, Y.; Wu, F. Multi-modality cross attention network for image and sentence matching. In Proceedings of the IEEE/CVF Conference on Computer Vision and Pattern Recognition, Seattle, WA, USA, 13–19 June 2020; pp. 10941–10950. [Google Scholar] [CrossRef]
- Lee, W.Y.; Jovanov, L.; Philips, W. Cross-modality attention and multimodal fusion transformer for pedestrian detection. In European Conference on Computer Vision; Springer Nature: Cham, Switzerland, 2022; pp. 608–623. [Google Scholar] [CrossRef]
- Zou, L.; Huang, Z.; Wang, F.; Yang, Z.; Wang, G. CMA: Cross-modal attention for 6D object pose estimation. Comput. Graph. 2021, 97, 139–147. [Google Scholar] [CrossRef]
- Reshef, D.N.; Reshef, Y.A.; Finucane, H.K.; Grossman, S.R.; McVean, G.; Turnbaugh, P.J.; Lander, E.S.; Mitzenmacher, M.; Sabeti, P.C. Detecting novel associations in large data sets. Science 2011, 334, 1518–1524. [Google Scholar] [CrossRef]
- Xue, J.; Shen, B. Dung beetle optimizer: A new meta-heuristic algorithm for global optimization. J. Supercomput. 2023, 79, 7305–7336. [Google Scholar] [CrossRef]
- Li, Y.; Gao, S.; Meng, X. An improved Harris Hawk optimization algorithm based on elite guidance. Comput. Eng. Sci. 2024, 46, 363–373. [Google Scholar] [CrossRef]
- Dhiman, G.; Kumar, V. Seagull optimization algorithm: Theory and its applications for large-scale industrial engineering problems. Knowl.-Based Syst. 2019, 165, 169–196. [Google Scholar] [CrossRef]
Disclaimer/Publisher’s Note: The statements, opinions and data contained in all publications are solely those of the individual author(s) and contributor(s) and not of MDPI and/or the editor(s). MDPI and/or the editor(s) disclaim responsibility for any injury to people or property resulting from any ideas, methods, instructions or products referred to in the content. |
© 2025 by the authors. Licensee MDPI, Basel, Switzerland. This article is an open access article distributed under the terms and conditions of the Creative Commons Attribution (CC BY) license (https://creativecommons.org/licenses/by/4.0/).