Nano-Interaction Mechanism Between Crumb Rubber and Asphalt Components: A Molecular Dynamic Study
Abstract
1. Introduction
2. Modeling and Simulation Method
2.1. Asphalt Modeling
2.1.1. Base Asphalt Model
2.1.2. Model Validation
Density
Glass Transition Temperature (Tg)
Cohesive Energy Density and Solubility Parameters (Sp)
2.2. Four Components of Asphalt Modeling
- (1)
- The four major components of the 12 molecular proportions of the asphalt model construction are in Table 1, based on the amorphous cell module construction function for the four components.
- (2)
- Geometry optimization and annealing were performed on the constructed four cells.
- (3)
- The annealed cell was subjected to kinetic analysis according to the calculation requirements. The cells of the four components model at 25 °C are shown in Figure 5.
2.3. Crumb Rubber Asphalt Model
2.3.1. CR Model Optimization and Validation
2.3.2. CRMA Modeling
3. Results and Discussion
3.1. Effect on Density
3.1.1. Density Analysis of Asphalt Components
3.1.2. CR Effect on Asphalt Density
3.2. Effect on Compatibility
3.2.1. Compatibility of CR and Asphalt
3.2.2. Compatibility of CR and Asphalt Components
3.2.3. Compatibility Modeling
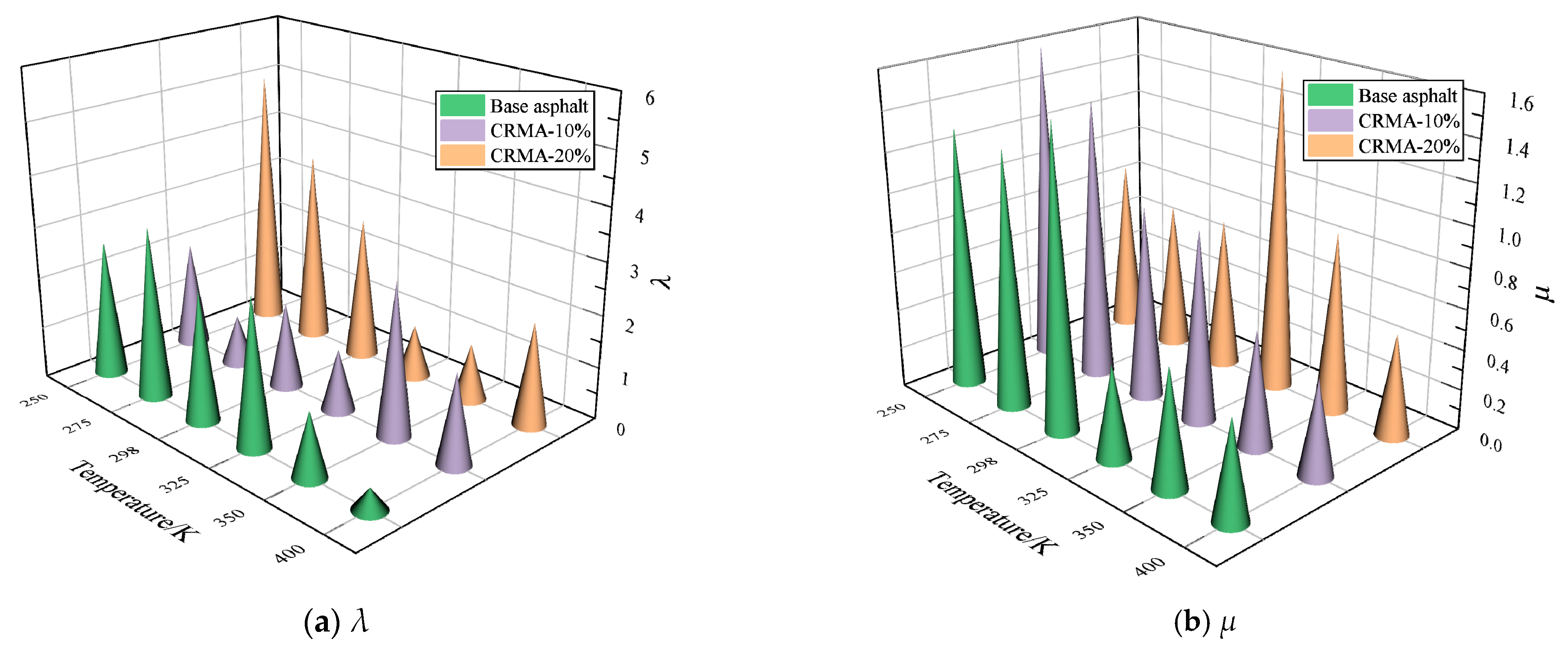
3.3. Mechanical Properties
3.3.1. Mechanical Modulus
3.3.2. Lamé Constant
3.4. Effects Mechanisms of Binding Energy
4. Conclusions
- (1)
- The difference in SP between asphalt and CR in 120~200 °C exceeded the limit value of 0.5 J/cm3, indicating the solubilizer was needed to realize effective blending. The CR and asphalt SP difference was the smallest at 140 °C and was largest at 180 °C, which showed that the optimum temperature for preparing and storing to prevent segregation did not coincide.
- (2)
- The SP order of the four components was asphaltene > aromatics > resins > saturates. The SP prediction model of the four components based on the multiple linear regression method was obtained. The normalization prediction model was:
- (3)
- The CR-asphalt binding energy increased with increasing CR dosage. However, the unit binding energy decreased. The unit molecule binding energy with 20% dosage was minimized.
- (4)
- CR could enhance the mechanical properties of asphalt, but the improvement was limited to small dosages. Increasing the dosage can enhance the mechanical properties of asphalt, especially, can significantly improve the mechanical properties in medium- and high-temperature conditions. However, the mechanical properties are reduced by too much dosage. Bulk modulus and shear modulus were recommended for preferential analysis of the mechanical properties of CRMA. It is recommended to keep the CR dosage at 20%.
Author Contributions
Funding
Institutional Review Board Statement
Informed Consent Statement
Data Availability Statement
Conflicts of Interest
References
- Ma, Y.; Wang, S.; Zhou, H.; Hu, W.; Polaczyk, P.; Huang, B. Recycled polyethylene and crumb rubber composites modified asphalt with improved aging resistance and thermal stability. J. Clean. Prod. 2022, 334, 130102. [Google Scholar] [CrossRef]
- Peng, W.; Li, P.; Gong, W.; Tian, S.; Wang, Z.; Liu, S.; Liu, Z. Preparation and mechanism of rubber-plastic alloy crumb rubber modified asphalt with low viscosity and stabilized performance. Constr. Build. Mater. 2023, 388, 131687. [Google Scholar] [CrossRef]
- Shisong, R.; Xueyan, L.; Jian, X.; Peng, L. Investigating the role of swelling-degradation degree of crumb rubber on CR/SBS modified porous asphalt binder and mixture. Constr. Build. Mater. 2021, 300, 124048. [Google Scholar]
- Carlo, C.; Edoardo, B.; Emiliano, P.; Maurizio, B. Evaluation of the rheological and performance behaviour of bitumen modified with compounds including crumb rubber from waste tires. Constr. Build. Mater. 2022, 361, 129679. [Google Scholar]
- Wang, T.; Xiao, F.; Zhu, X.; Huang, B.; Wang, J.; Amirkhanian, S. Energy consumption and environmental impact of rubberized asphalt pavement. J. Clean. Prod. 2018, 180, 139–158. [Google Scholar] [CrossRef]
- Bakar, S.K.A.; Abdullah, M.E.; Kamal, M.M.; Rahman, R.A.; Buhari, R.; Jaya, R.P.; Sabri, S.; Ahmad, K.A. The effect of crumb rubber on the physical and rheological properties of modified binder. J. Phys. Conf. Ser. 2018, 1049, 012099. [Google Scholar] [CrossRef]
- Wenhui, Z.; Xiangbing, X.; Guanghui, L.; Jiuguang, G.; Meng, B.; Mingwei, W. Research on the Influence of Nanocarbon/Copolymer SBS/Rubber Powder Composite Modification on the Properties of Asphalt and Mixtures. Adv. Mater. Sci. Eng. 2020, 2020, 8820202. [Google Scholar]
- Tang, N.; Huang, W.; Hu, J.; Xiao, F. Rheological characterisation of terminal blend rubberised asphalt binder containing polymeric additive and sulphur. Road Mater. Pavement 2018, 19, 1288–1300. [Google Scholar] [CrossRef]
- Peng, W.; Li, P.; Gao, J.; Liu, Z.; Wang, X.; Wang, S.; Wu, W. Long-term skid resistance evolution and influence mechanism of asphalt pavement based on self-developed wear equipment. Constr. Build. Mater. 2024, 453, 139085. [Google Scholar] [CrossRef]
- Zhang, C.; Yu, H.; Zhu, X.; Yao, D.; Peng, X.; Fan, X. Unified characterization of rubber asphalt mixture strength under different stress loading paths. J. Mater. Civil. Eng. 2024, 36, 4023498. [Google Scholar] [CrossRef]
- Li, J.; Chen, Z.; Xiao, F.; Amirkhanian, S.N. Surface activation of scrap tire crumb rubber to improve compatibility of rubberized asphalt. Resour. Conserv. Recycl. 2021, 169, 105518. [Google Scholar] [CrossRef]
- Su, J.; Li, P.; Zhu, G.; Wang, X.; Dong, S. Interface Interaction of Waste Rubber–Asphalt System. Buildings 2024, 14, 1868. [Google Scholar] [CrossRef]
- Xu, L.; Deng, Y.; Ni, H.; Sun, D.; Ling, S.; Tian, Y. Effect of aging on damping properties of rubberized asphalt binder and rubberized porous asphalt mixture. Constr. Build. Mater. 2024, 411, 134743. [Google Scholar] [CrossRef]
- Zhao, Z.; Wu, S.; Xie, J.; Yang, C.; Yang, X.; Chen, S.; Liu, Q. Recycle of waste tire rubber powder in a novel asphalt rubber pellets for asphalt performance enhancement. Constr. Build. Mater. 2023, 399, 132572. [Google Scholar] [CrossRef]
- Kabir, S.F.; Zheng, R.; Delgado, A.G.; Fini, E.H. Use of microbially desulfurized rubber to produce sustainable rubberized bitumen. Resour. Conserv. Recycl. 2021, 164, 105144. [Google Scholar] [CrossRef]
- Xing, C.; Jiang, W.; Li, M.; Wang, M.; Xiao, J.; Xu, Z. Application of atomic force microscopy in bitumen materials at the nanoscale: A review. Constr. Build. Mater. 2022, 342, 128059. [Google Scholar] [CrossRef]
- Khan, Z.H.; Faisal, H.M.; Tarefder, R.A. Phase identification and characterization of aging effects in asphaltic materials by nanoindentation testing. Transp. Geotech. 2018, 17, 154–164. [Google Scholar] [CrossRef]
- Yang, X.; Ning, Z.; Feng, X.; He, X.; Tan, S. Methods for improving storage stability of rubber bitumen: A review. J. Clean. Prod. 2024, 449, 141595. [Google Scholar] [CrossRef]
- Picado-Santos, L.G.; Capitão, S.D.; Neves, J.M.C. Crumb rubber asphalt mixtures: A literature review. Constr. Build. Mater. 2020, 247, 118577. [Google Scholar] [CrossRef]
- Zhou, X.; Moghaddam, T.B.; Chen, M.; Wu, S.; Adhikari, S.; Wang, F.; Fan, Z. Nano-scale analysis of moisture diffusion in asphalt-aggregate interface using molecular simulations. Constr. Build. Mater. 2021, 285, 122962. [Google Scholar] [CrossRef]
- Zheng, C.; Shan, C.; Liu, J.; Zhang, T.; Yang, X.; Lv, D. Microscopic adhesion properties of asphalt–mineral aggregate interface in cold area based on molecular simulation technology. Constr. Build. Mater. 2021, 268, 121151. [Google Scholar] [CrossRef]
- Sonibare, K.; Rucker, G.; Zhang, L. Molecular dynamics simulation on vegetable oil modified model asphalt. Constr. Build. Mater. 2021, 270, 121687. [Google Scholar] [CrossRef]
- Liu, S.; Shan, L.; Qi, C.; Zhang, W.; Li, G.; Wang, B.; Wei, W. Effect of SBS structure on viscosity of SBS-modified asphalt based on molecular dynamics: Insights from shearing phase morphology, adsorption and swelling mechanisms. J. Mol. Liq. 2024, 393, 123567. [Google Scholar] [CrossRef]
- Fu, Z.; Tang, Y.; Peng, C.; Ma, F.; Li, C. Properties of polymer modified asphalt by polyphosphoric acid through molecular dynamics simulation and experimental analysis. J. Mol. Liq. 2023, 382, 121999. [Google Scholar] [CrossRef]
- Wang, H.; Ding, H.; Feng, B.; Shao, L.; Qu, X.; You, Z. Advances on molecular simulation technique in asphalt mixture. J. Traffic Transp. Eng. 2020, 20, 1–14. [Google Scholar]
- Li, D.D.; Greenfield, M.L. Chemical compositions of improved model asphalt systems for molecular simulations. Fuel 2014, 115, 347–356. [Google Scholar] [CrossRef]
- Qu, X.; Fan, Z.; Li, T.; Hong, B.; Zhang, Y.; Wei, J.; Wang, D.; Oeser, M. Understanding of asphalt chemistry based on the six-fraction method. Constr. Build. Mater. 2021, 311, 125241. [Google Scholar] [CrossRef]
- Du, J.; Jin, Y.; Hou, S.; Jin, R.; Wang, Q. Effect of component characteristics on mechanical properties of asphalt: A molecular dynamics study. Case Stud. Constr. Mat. 2023, 18, e2007. [Google Scholar] [CrossRef]
- Gao, Y.; Xie, Y.; Liao, M.; Li, Y.; Zhu, J.; Tian, W. Study on the mechanism of the effect of graphene on the rheological properties of rubber-modified asphalt based on size effect. Constr. Build. Mater. 2023, 364, 129815. [Google Scholar] [CrossRef]
- Jiao, B.; Pan, B.; Che, T. Evaluating impacts of desulfurization and depolymerization on thermodynamics properties of crumb rubber modified asphalt through molecular dynamics simulation. Constr. Build. Mater. 2022, 323, 126360. [Google Scholar] [CrossRef]
- Hu, D.; Pei, J.; Li, R.; Zhang, J.; Jia, Y.; Fan, Z. Using thermodynamic parameters to study self-healing and interface properties of crumb rubber modified asphalt based on molecular dynamics simulation. Front. Struct. Civ. Eng. 2020, 14, 109–122. [Google Scholar] [CrossRef]
- Zhang, L.; Liu, Y.; Wang, L.; Xue, Z. Multi-Scale Study on the Effect of Snowmelt Salt on the Interface Adhesion of Rubberized Asphalt–Steel Slag. Transp. Res. Rec. J. Transp. Res. Board. 2024. [Google Scholar] [CrossRef]
- Wang, P.; Dong, Z.; Tan, Y.; Liu, Z. Investigating the Interactions of the Saturate, Aromatic, Resin, and Asphaltene Four Fractions in Asphalt Binders by Molecular Simulations. Energ. Fuel 2015, 29, 112–121. [Google Scholar] [CrossRef]
- Kong, P.; Xu, G.; Fu, L.; Feng, H.; Chen, X. Chemical structure of rubber powder on the compatibility of rubber powder asphalt. Constr. Build. Mater. 2023, 392, 131769. [Google Scholar] [CrossRef]
- GB/T 8655-2019; Styrene-Butadiene Rubber (SBR) 1500, 1502. National Technical Committee for Standardization of Rubber and Rubber Products: Beijing, China, 2019.
- Wang, L.; Zhang, L.; Liu, Y. Compatibility of Rubber Powder and Asphalt in Rubber Powder Modified Asphalt by Molecular Dynamics. J. Build. Mater. 2018, 21, 689–694. [Google Scholar]
- Xing, B.; Feng, Y.; Sun, S.; Qian, C.; Fang, C.; Lv, X.; Song, A.; Lyu, Y. Investigations on the rheological and swelling-degradation behavior of crumb rubber within the bituminous matrix. Constr. Build. Mater. 2023, 367, 130262. [Google Scholar] [CrossRef]
- Guo, F.; Zhang, J.; Pei, J.; Zhou, B.; Hu, Z. Study on the Mechanical Properties of Rubber Asphalt by Molecular Dynamics Simulation. J. Mol. Model. 2019, 25, 365. [Google Scholar] [CrossRef] [PubMed]
- Gao, Y.; Tian, W.; Li, Y.; Zhu, J.; Liao, M.; Xie, Y. Study on compatibility mechanism of plasticizer and asphalt based on molecular dynamics. Mater. Des. 2023, 228, 111827. [Google Scholar] [CrossRef]




















| Components | Molecules Number | Molecular Formula | Relative Molecular Mass/(g/mol) | Mass Fraction/% | |
|---|---|---|---|---|---|
| Saturates | 4 | C30H62 | 422.9 | 5.2 | 11.0 |
| 4 | C35H62 | 482.8 | 5.8 | ||
| Aromatics | 11 | C35H44 | 464.8 | 15.7 | 31.9 |
| 13 | C30H46 | 406.8 | 16.2 | ||
| Resins | 4 | C36H57N | 503.9 | 6.2 | 39.8 |
| 4 | C40H60S | 572.9 | 7.0 | ||
| 5 | C29H50O | 414.7 | 6.4 | ||
| 4 | C40H59N | 554.0 | 6.8 | ||
| 15 | C18H10S2 | 290.4 | 13.4 | ||
| Asphaltene | 3 | C42H54O | 575 | 5.3 | 17.3 |
| 2 | C66H81N | 888.5 | 5.5 | ||
| 3 | C51H62S | 707.2 | 6.5 | ||
| Acquisition Method | CED/(108J/m3) | SP |
|---|---|---|
| MD | 3.426 | 18.511 |
| Experimental value [33] | 3.31~3.73 | 18.19~19.31 |
| Intercept/(J/cm3)0.5 | Fitting Factor | |||
|---|---|---|---|---|
| Saturates | Aromatics | Resins | Asphaltene | |
| 9.698 | 2.556 | 1.526 | −2.707 | −0.756 |
| Intercept/(J/cm3)0.5 | Fitting Factor | |||
|---|---|---|---|---|
| Saturates | Aromatics | Resins | Asphaltene | |
| 9.698 | 23.238 | 4.783 | −15.647 | −1.901 |
Disclaimer/Publisher’s Note: The statements, opinions and data contained in all publications are solely those of the individual author(s) and contributor(s) and not of MDPI and/or the editor(s). MDPI and/or the editor(s) disclaim responsibility for any injury to people or property resulting from any ideas, methods, instructions or products referred to in the content. |
© 2025 by the authors. Licensee MDPI, Basel, Switzerland. This article is an open access article distributed under the terms and conditions of the Creative Commons Attribution (CC BY) license (https://creativecommons.org/licenses/by/4.0/).
Share and Cite
Li, J.; He, L. Nano-Interaction Mechanism Between Crumb Rubber and Asphalt Components: A Molecular Dynamic Study. Appl. Sci. 2025, 15, 1302. https://doi.org/10.3390/app15031302
Li J, He L. Nano-Interaction Mechanism Between Crumb Rubber and Asphalt Components: A Molecular Dynamic Study. Applied Sciences. 2025; 15(3):1302. https://doi.org/10.3390/app15031302
Chicago/Turabian StyleLi, Jian, and Liang He. 2025. "Nano-Interaction Mechanism Between Crumb Rubber and Asphalt Components: A Molecular Dynamic Study" Applied Sciences 15, no. 3: 1302. https://doi.org/10.3390/app15031302
APA StyleLi, J., & He, L. (2025). Nano-Interaction Mechanism Between Crumb Rubber and Asphalt Components: A Molecular Dynamic Study. Applied Sciences, 15(3), 1302. https://doi.org/10.3390/app15031302

