Research on Radionuclide Identification Method Based on GASF and Deep Residual Network
Abstract
Featured Application
Abstract
1. Introduction
2. Energy Spectrum Two-Dimensional Method Based on Segmented GSAF
3. Establishment of Neural Network Model
3.1. Modeling
3.2. Evaluation
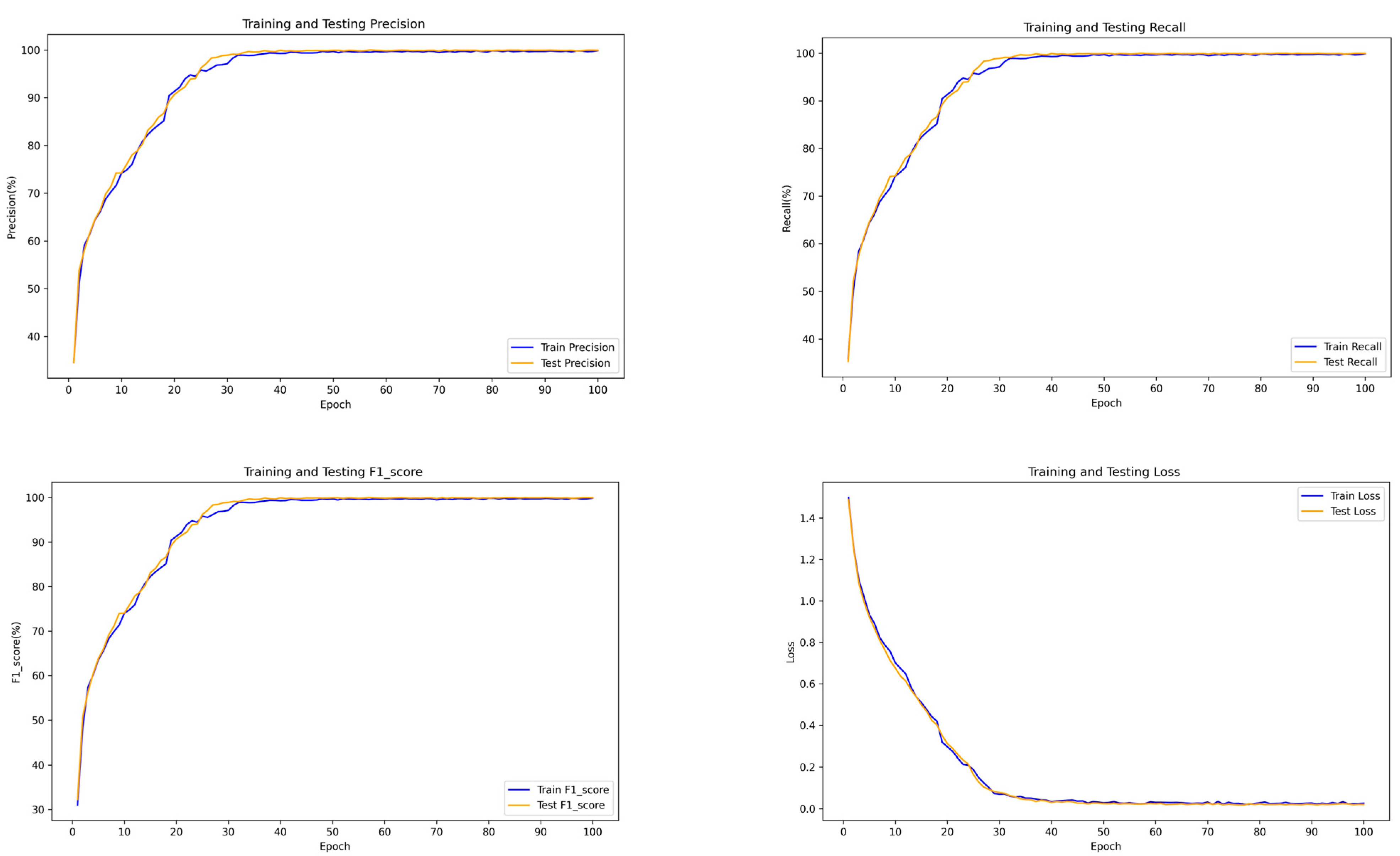
4. Experimental Results and Analysis
4.1. Data Sources
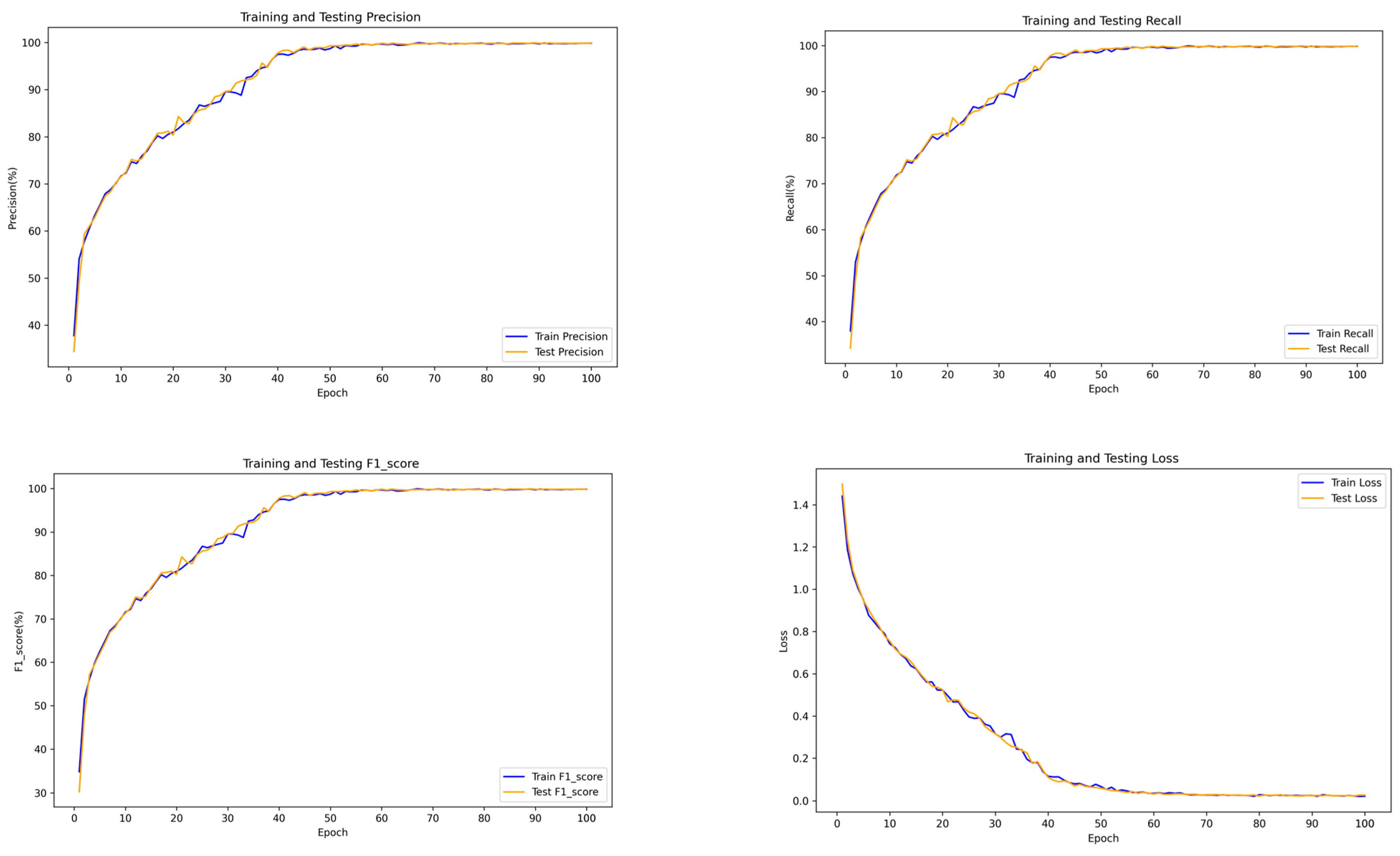
4.2. Original Model
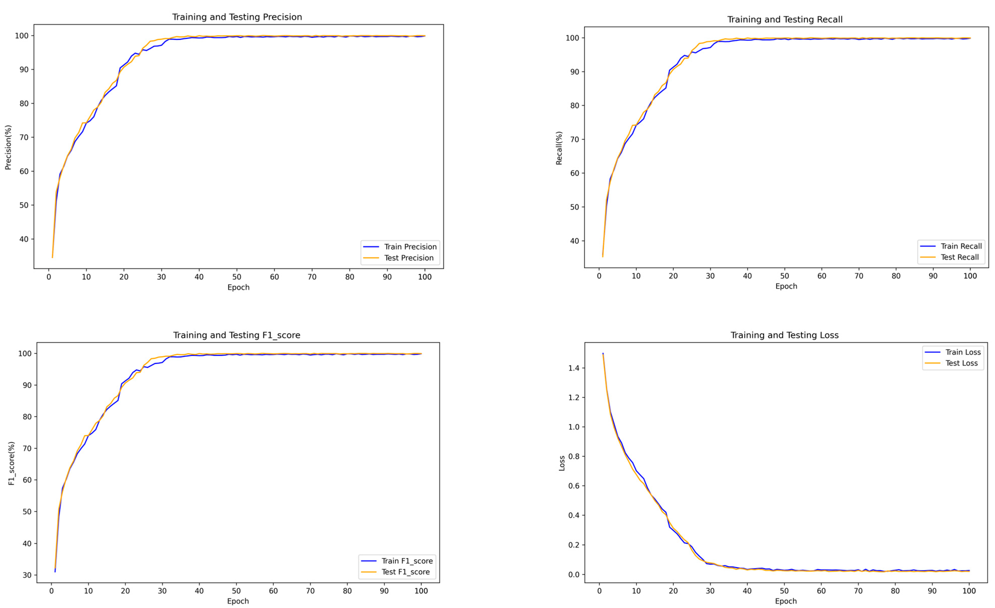
4.3. Improvethe Model
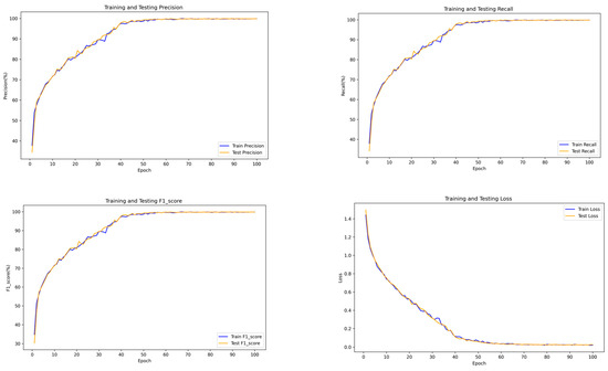
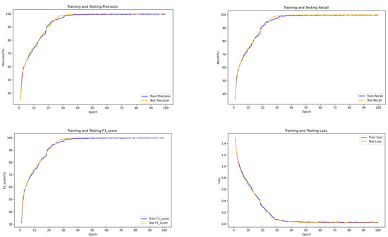
4.4. Verification with Experimental Data
5. Discussion
Author Contributions
Funding
Institutional Review Board Statement
Informed Consent Statement
Data Availability Statement
Conflicts of Interest
References
- Iyer, J.K.S.N.; Suri, S.; Gupta, P. Nuclear security and safeguards in the age of the nuclear renaissance. Sci. Glob. Secur. 2017, 25, 113–130. [Google Scholar]
- Nilsson, J.S.; Nilsson, L.; Jonsson, A. Environmental monitoring of nuclear waste and radiation accidents. Sci. Total Environ. 2017, 601–602, 258–267. [Google Scholar]
- Nunes, P.J.H.; Costa, L.M.; Lima, J.A. Use of radiopharmaceuticals in diagnostic imaging. Eur. J. Nucl. Med. Mol. Imaging 2016, 43, 26–38. [Google Scholar]
- Sargent, R.A.S.; Smith, M. Radiation detection in industrial applications. J. Radiol. Prot. 2012, 32, 337–350. [Google Scholar]
- Yue, C.; Niu, D. A review of radioactive nuclide gamma spectrum analysis methods. Ordnance Autom. 2023, 42, 44–47. [Google Scholar]
- Liu, Y.; Wang, W.; Niu, D. Nuclide recognition analysis method based on artificial neural networks. Ordnance Autom. 2015, 34, 86–91. [Google Scholar]
- Wang, Y.; Wei, Y. Nuclide recognition based on fuzzy logic in γ-ray energy spectra. J. Tsinghua Univ. 2012, 52, 1736–1740. [Google Scholar]
- Zhou, W.; Zhou, D.; Kang, J. Research on a nuclide recognition algorithm based on logistic regression binary classification. Nucl. Electron. Detect. Technol. 2023, 43, 12–17. [Google Scholar]
- Zhou, S. Research on Nuclide Recognition Method Based on Multi-Class Weight Label Fuzzy Decision Tree. Master’s Thesis, Southwest University of Science and Technology, Mianyang, China, 2022. [Google Scholar]
- Ren, J.; Zhang, J.; Wang, K. Nuclide recognition algorithm based on SVD and SVM. Ordnance Autom. 2017, 36, 50–53. [Google Scholar]
- Wen, S.; Wang, B.; Xiao, G.; Shen, C. Research on nuclide recognition algorithm based on sequential Bayesian methods. Nucl. Electron. Detect. Technol. 2016, 36, 179–183. [Google Scholar]
- Wang, Y.; Ouyang, C.; Liu, Z.; Wan, Y. Energy spectrum nuclide recognition method based on long short-term memory neural network. High Power Laser Part. Beams 2020, 32, 154–161. [Google Scholar]
- Du, X.; Liang, M.; Li, K.; Yu, Y.; Liu, X.; Wang, X.; Wang, R.; Zhang, G.; Fu, Q. γ-ray radioactive nuclide recognition method based on convolutional neural networks. J. Tsinghua Univ. 2023, 63, 980–986. [Google Scholar]
- Hu, H.X.; Zhang, J.M.; Wang, K.P.; Feng, X.H. Application of convolutional neural networks in complex nuclide recognition. Sens. Microsyst. 2019, 38, 154–156+160. [Google Scholar]
- Wang, Z.G.; Yan, W.Z.; Oates, T. Time series classification from scratch with deep neural networks: A strong baseline. In Proceedings of the 2017 International Joint Conference on Neural Networks (IJCNN), Anchorage, AK, USA, 14–19 May 2017; IEEE Press: New York, NY, USA, 2017; pp. 1578–1585. [Google Scholar]
- You, H.; Fan, G. Gamma spectrum analysis of copper ore based on neural networks. Electron. Technol. Softw. Eng. 2023, 2, 125–129. [Google Scholar]
- He, K.M.; Zhang, X.Y.; Ren, S.Q.; Sun, J. Deep residual learning for image recognition. In Proceedings of the 2016 IEEE Conference on Computer Vision and Pattern Recognition (CVPR), Las Vegas, NV, USA, 27–30 June 2016; IEEE: Piscataway, NJ, USA, 2016. [Google Scholar]
- Gao, Y.; Li, X.; Zhang, Z.; Wang, J. Gamma spectrum simulation and identification of nuclear materials using MCNP and deep learning. Nucl. Instrum. Methods Phys. Res. Sect. A 2018, 895, 21–28. [Google Scholar]
- Han, S.; Mao, H.; Dally, W.J. Deep Compression: Compressing Deep Neural Networks with Pruning, Trained Quantization and Huffman Coding. arXiv 2016, arXiv:1510.00149. [Google Scholar]
- Szegedy, C.; Liu, W.; Jia, Y.; Sermanet, P.; Reed, S.; Anguelov, D.; Erhan, D.; Vanhoucke, V.; Rabinovich, A. Going deeper with convolutions. In Proceedings of the IEEE Conference on Computer Vision and Pattern Recognition (CVPR) 2015, Boston, MA, USA, 7–12 June 2015; IEEE: Piscataway, NJ, USA, 2015; pp. 1–9. [Google Scholar]
- Springenberg, J.T.; Dosovitskiy, A.; Riedmiller, M.; Fischer, P. Striving for Simplicity: The all Convolutional Net. arXiv 2014, arXiv:1412.6806. [Google Scholar]
- Howard, A.G.; Zhu, M.; Chen, B.; Kalenichenko, D.; Wang, W.; Weyand, T.; Andreetto, M.; Adam, H. MobileNets: Efficient Convolutional Neural Networks for Mobile Vision Applications. arXiv 2017, arXiv:1704.04861. [Google Scholar]
- Liu, Z.; Wang, S.; Li, L.; Zhang, Y. Application of SPECT in early detection of lung cancer. J. Nucl. Med. 2020, 61, 469–475. [Google Scholar]
- Levin, C.S.; Wang, Y.; Adams, M.A.; Lee, K. PET/CT imaging in cardiovascular disease. J. Cardiovasc. Imaging 2019, 27, 84–92. [Google Scholar]
- Zhou, Z.; Zhang, M. A k-nearest neighbor approach for uncertain data classification. J. Mach. Learn. Res. 2002, 3, 1351–1365. [Google Scholar]
- Ren, Z.; Liu, S. Handling out-of-distribution and unseen data in deep neural networks. IEEE Trans. Neural Netw. Learn. Syst. 2017, 28, 1787–1798. [Google Scholar]
- Hsu, C.W.; Lin, C.J. A comparison of methods for multiclass support vector machines. IEEE Trans. Neural Netw. 2010, 13, 421–434. [Google Scholar]
- Lee, D.; Choi, J. Classifying unseen categories in deep learning: A threshold-based approach. Neural Comput. Appl. 2018, 30, 2675–2682. [Google Scholar]
- Bengio, Y.; Courville, A. Deep Learning; MIT Press: Cambridge, MA, USA, 2016. [Google Scholar]
- Liu, Z.; Yang, Y. Improving generalization in neural networks with uncertainty estimation. Proc. IEEE Int. Conf. Comput. Vis. 2018, 34, 511–519. [Google Scholar]









| Metric | Calculation Method | Significance |
|---|---|---|
| Accuracy | A = (TP + TN)/(TP + FP + TN + FN) | The proportion of correct predictions among all predictions |
| Precision | P = TP/(TP + FP) | The proportion of predicted positive samples that are actually positive |
| Recall | R = TP/(TP + FN) | The proportion of actual positive samples that are correctly predicted |
| F1 Score | F1 = 2 × R × P/(R + P) | The harmonic mean of precision and recall |
| Layer Name | Original Model | Improved Model |
|---|---|---|
| Conv1 | ||
| Conv2 | ||
| Conv3 | ||
| Conv4 | ||
| Conv5 | ||
| Average Pooling, Fc, Softmax | ||
| Precision/% | Recall/% | Accuracy/% | Number of Parameters/105 | Model Size/MB | Time for 100 Epochs/S | |
|---|---|---|---|---|---|---|
| Original Model | 99.9 | 99.6 | 99.8 | 111.81 | 42.65 | 10,633 |
| Improved Model | 99.3 | 99.7 | 99.5 | 7.15 | 2.73 | 10,341 |
Disclaimer/Publisher’s Note: The statements, opinions and data contained in all publications are solely those of the individual author(s) and contributor(s) and not of MDPI and/or the editor(s). MDPI and/or the editor(s) disclaim responsibility for any injury to people or property resulting from any ideas, methods, instructions or products referred to in the content. |
© 2025 by the authors. Licensee MDPI, Basel, Switzerland. This article is an open access article distributed under the terms and conditions of the Creative Commons Attribution (CC BY) license (https://creativecommons.org/licenses/by/4.0/).
Share and Cite
Zhao, S.; Zhou, S.; Chen, R. Research on Radionuclide Identification Method Based on GASF and Deep Residual Network. Appl. Sci. 2025, 15, 1218. https://doi.org/10.3390/app15031218
Zhao S, Zhou S, Chen R. Research on Radionuclide Identification Method Based on GASF and Deep Residual Network. Applied Sciences. 2025; 15(3):1218. https://doi.org/10.3390/app15031218
Chicago/Turabian StyleZhao, Shuqiang, Shumin Zhou, and Rui Chen. 2025. "Research on Radionuclide Identification Method Based on GASF and Deep Residual Network" Applied Sciences 15, no. 3: 1218. https://doi.org/10.3390/app15031218
APA StyleZhao, S., Zhou, S., & Chen, R. (2025). Research on Radionuclide Identification Method Based on GASF and Deep Residual Network. Applied Sciences, 15(3), 1218. https://doi.org/10.3390/app15031218
