Self-Training Can Reduce Detection False Alarm Rate of High-Resolution Imaging Sonar †
Abstract
1. Introduction
2. Related Work
3. Materials and Methods
3.1. Overall Idea
3.2. Training Strategy for Detector Based on Divided Classification Datasets
- Create Derived Classification Datasets (DCD) from the sonar image detection dataset. The method for creating the proxy classification task dataset is shown in Figure 4.
- 2.
- Pre-train the backbone network of the deep learning detector using the proxy classification task. A deep learning model typically consists of many layers, each with its own function and task. In deep learning, models are usually divided into three parts: the backbone, the neck, and the head. The backbone is the main component of the model, responsible for extracting features from the input image for subsequent processing and analysis. The neck is the intermediate layer connecting the backbone and the head. The main role of the neck is to reduce the dimensionality or adjust the features coming from the backbone to better suit the task requirements. The head is the final layer of the model, which takes as input the features processed by the neck. The structure of the head varies depending on the task; for object detection tasks, it is typically a bounding box regressor and a classifier. Therefore, the backbone network parameters obtained from the proxy task can be used to train the detector, allowing it to inherit the object features learned during the proxy task. Load the pre-trained model of the detector, replace the parameters of the backbone network with those from the backbone network of the classification network trained in the proxy task, and freeze the parameters of a certain number of layers in the backbone network.
- 3.
- Fine-tune the detector. Fine-tune the weights of the detector on the detection dataset to ultimately train a detector with a lower false alarm rate.
3.3. Evaluation Metrics
4. Results
4.1. Experimental Settings
4.1.1. Data Preparation
4.1.2. Model Preparation
4.1.3. Settings
4.2. Experimental Results
4.2.1. Performance on the Test Set
4.2.2. The Setup of Proxy Classification Tasks
4.2.3. Transfer Performance on the Sonar Dataset
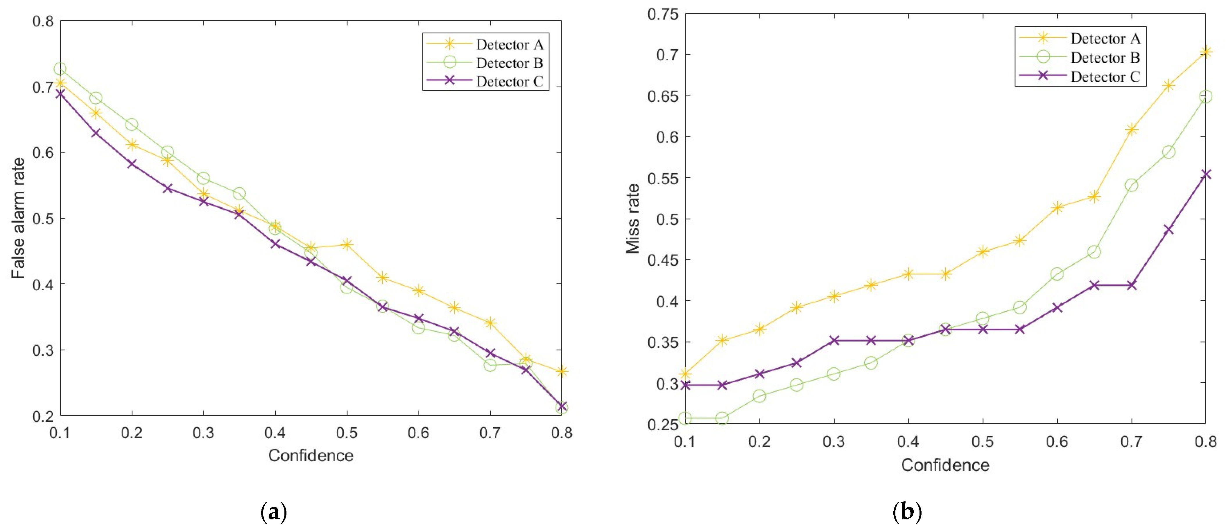
4.2.4. Analysis of Evaluation Metrics
5. Conclusions and Discussions
Author Contributions
Funding
Institutional Review Board Statement
Informed Consent Statement
Data Availability Statement
Conflicts of Interest
References
- Zhu, J.; Yin, T.; Guo, W.; Zhang, B.; Zhou, Z. An underwater target azimuth trajectory enhancement approach in BTR. Appl Acoust. 2025, 230, 110373. [Google Scholar] [CrossRef]
- Zheng, L.; Hu, T.; Zhu, J. Underwater Sonar Target Detection Based on Improved ScEMA-YOLOv8. IEEE Geosci. Remote Sens. Lett. 2024, 21, 1–5. [Google Scholar] [CrossRef]
- Wang, X.; Jiao, J.; Yin, J.; Zhao, W.; Han, X.; Sun, B. Underwater sonar image classification using adaptive weights convolutional neural network. Appl Acoust. 2019, 146, 145–154. [Google Scholar] [CrossRef]
- Williams, D.P. Underwater target classification in synthetic aperture sonar imagery using deep convolutional neural networks. In Proceedings of the 2016 23rd International Conference on Pattern Recognition (ICPR), Cancun, Mexico, 4–8 December 2016. [Google Scholar]
- Zhang, P.; Tang, J.; Zhong, H.; Ning, M.; Liu, D.; Wu, K. Self-Trained Target Detection of Radar and Sonar Images Using Automatic Deep Learning. IEEE Trans. Geosci. Remote Sens. 2022, 60, 1–14. [Google Scholar] [CrossRef]
- Huo, G.; Wu, Z.; Li, J. Underwater Object Classification in Sidescan Sonar Images Using Deep Transfer Learning and Semisynthetic Training Data. IEEE Access 2020, 8, 47407–47418. [Google Scholar] [CrossRef]
- Yang, Z.; Zhao, J.; Yu, Y.; Huang, C. A Sample Augmentation Method for Side-Scan Sonar Full-Class Images That Can Be Used for Detection and Segmentation. IEEE Trans. Geosci. Remote Sens. 2024, 62, 1–11. [Google Scholar] [CrossRef]
- Zhu, J.; Xie, Z.; Jiang, N.; Song, Y.; Han, S.; Liu, W.; Huang, X. Delay-Doppler Map Shaping through Oversampled Complementary Sets for High-Speed Target Detection. Remote Sens. 2024, 16, 2898. [Google Scholar] [CrossRef]
- Karimanzira, D.; Renkewitz, H.; Shea, D.; Albiez, J. Object Detection in Sonar Images. Electronics 2020, 9, 1180. [Google Scholar] [CrossRef]
- Hożyń, S. A Review of Underwater Mine Detection and Classification in Sonar Imagery. Electronics 2021, 10, 2943. [Google Scholar] [CrossRef]
- Song, Y.; He, B.; Liu, P. Real-Time Object Detection for AUVs Using Self-Cascaded Convolutional Neural Networks. IEEE J. Ocean. Eng. 2021, 46, 56–67. [Google Scholar] [CrossRef]
- Palomeras, N.; Furfaro, T.; Williams, D.P.; Carreras, M.; Dugelay, S. Automatic Target Recognition for Mine Countermeasure Missions Using Forward-Looking Sonar Data. IEEE J. Ocean. Eng. 2022, 47, 141–161. [Google Scholar] [CrossRef]
- Huang, C.; Zhao, J.; Zhang, H.; Yu, Y. Seg2Sonar: A Full-Class Sample Synthesis Method Applied to Underwater Sonar Image Target Detection, Recognition, and Segmentation Tasks. IEEE Trans. Geosci. Remote Sens. 2024, 62, 1–19. [Google Scholar] [CrossRef]
- Ma, Q.; Jiang, L.; Yu, W.; Jin, R.; Wu, Z.; Xu, F. Training with Noise Adversarial Network: A Generalization Method for Object Detection on Sonar Image. In Proceedings of the 2020 IEEE Winter Conference on Applications of Computer Vision (WACV), Snowmass Village, CO, USA, 1–5 March 2020. [Google Scholar]
- Yu, Y.; Zhao, J.; Gong, Q.; Huang, C.; Zheng, G.; Ma, J. Real-Time Underwater Maritime Object Detection in Side-Scan Sonar Images Based on Transformer-YOLOv5. Remote Sens. 2021, 13, 3555. [Google Scholar] [CrossRef]
- Chen, S.; Xue, J.H.; Chang, J.; Zhang, J.; Yang, J.; Tian, Q. SSL++: Improving Self-Supervised Learning by Mitigating the Proxy Task-Specificity Problem. IEEE Trans. Image Process. 2022, 31, 1134–1148. [Google Scholar] [CrossRef] [PubMed]
- Larsson, G.; Maire, M.; Shakhnarovich, G. Colorization as a Proxy Task for Visual Understanding. In Proceedings of the 2017 IEEE Conference on Computer Vision and Pattern Recognition (CVPR), Honolulu, HI, USA, 21–26 July 2017. [Google Scholar]
- Doersch, C.; Gupta, A.; Efros, A.A. Unsupervised Visual Representation Learning by Context Prediction. In Proceedings of the 2015 IEEE International Conference on Computer Vision (ICCV), Santiago, Chile, 7–13 December 2015. [Google Scholar]
- Cheke, R.; Eising, C.; Denny, P.; van de Ven, P. PatchLoc: Embedded Patch Localization Pretext Task for Tumor Segmentation in Medical Images. IEEE Access 2024, 12, 66845–66857. [Google Scholar] [CrossRef]
- Han, J.; Liu, C.; You, Z.; Zhang, Z.; Hu, Z.; Zhang, P. Reducing False alarm rate of Sonar image Detection via Self-training. In Proceedings of the 2024 6th International Conference on Robotics, Intelligent Control and Artificial Intelligence (RICAI 2024), Nanjing, China, 6–8 December 2024. [Google Scholar]
- Huang, C.; Zhao, J.; Yu, Y.; Zhang, H. Comprehensive Sample Augmentation by Fully Considering SSS Imaging Mechanism and Environment for Shipwreck Detection Under Zero Real Samples. IEEE Trans. Geosci. Remote Sens. 2022, 60, 1–14. [Google Scholar] [CrossRef]
- Li, C.; Ye, X.; Cao, D.; Hou, J.; Yang, H. Zero shot objects classification method of side scan sonar image based on synthesis of pseudo samples. Appl Acoust. 2021, 173, 107691. [Google Scholar] [CrossRef]
- Chandrashekar, G.; Raaza, A.; Rajendran, V.; Ravikumar, D. Side scan sonar image augmentation for sediment classification using deep learning based transfer learning approach. Mater. Today Proc. 2023, 80, 3263–3273. [Google Scholar] [CrossRef]
- Deng, J.; Dong, W.; Socher, R.; Li, L.J.; Kai, L.; Li, F.-F. ImageNet: A large-scale hierarchical image database. In Proceedings of the 2009 IEEE Conference on Computer Vision and Pattern Recognition, Miami, FL, USA, 20–25 June 2009. [Google Scholar]
- Ferreira, F.; Machado, D.; Ferri, G.; Dugelay, S.; Potter, J. Underwater optical and acoustic imaging: A time for fusion? a brief overview of the state-of-the-art. In Proceedings of the OCEANS 2016 MTS/IEEE Monterey, Monterey, CA, USA, 19–23 September 2016. [Google Scholar]
- Reed, S.; Petillot, Y.; Bell, J. Automated approach to classification of mine-like objects in sidescan sonar using highlight and shadow information. IEE Proc.-Radar Sonar Navig. 2004, 151, 48–56. [Google Scholar] [CrossRef]
- Ren, S.; He, K.; Girshick, R.; Sun, J. Faster R-CNN: Towards Real-Time Object Detection with Region Proposal Networks. IEEE Trans. Pattern Anal. Mach. Intell. 2017, 39, 1137–1149. [Google Scholar] [CrossRef]
- Lin, T.-Y.; Goyal, P.; Girshick, R.; He, K.; Dollar, P. Focal Loss for Dense Object Detection. IEEE Trans. Pattern Anal. Mach. Intell. 2020, 42, 318–327. [Google Scholar] [CrossRef] [PubMed]

















| Experiment | Detector | Training Set of Pre-Trained Model | Training Set of Proxy Task | Training Set | Training Strategy |
|---|---|---|---|---|---|
| Experiment 1 | Detector A | Coco | -- | SAS 240 | Pre-trained–fine-tune |
| Detector B | -- | -- | SAS 240 | Train from Scratch | |
| Detector C | -- | SAS 240 | SAS 240 | DCD | |
| Experiment 2 | Detector D | Coco | -- | SAS 450 | Pre-trained–fine-tune |
| Detector E | -- | -- | SAS 450 | Train from Scratch | |
| Detector F | -- | SAS 450 | SAS 450 | DCD | |
| Experiment 3 | Detector G | -- | SAS 240 | SAS 450 | DCD |
| Detector H | SAS 240 | -- | SAS 450 | Pre-trained–fine-tune |
| Experiment | Detector | Confidence | False Alarm Rate | Missing Rate |
|---|---|---|---|---|
| Experiment 2 | Detector D | 0.1 | 0.846 | 0.667 |
| 0.2 | 0.889 | 0.833 | ||
| 0.3 | 0.833 | 0.833 | ||
| 0.4 | 1 | 1 | ||
| Detector F | 0.1 | 0.692 | 0.333 | |
| 0.2 | 0.667 | 0.333 | ||
| 0.3 | 0.800 | 0.667 | ||
| 0.4 | 0.750 | 0.667 | ||
| Experiment 3 | Detector G | 0.1 | 0.765 | 0.333 |
| 0.2 | 0.556 | 0.333 | ||
| 0.3 | 0.571 | 0.667 | ||
| 0.4 | 0.600 | 0.667 | ||
| Detector H | 0.1 | 0.800 | 0.833 | |
| 0.2 | 0.800 | 0.833 | ||
| 0.3 | 0.750 | 0.833 | ||
| 0.4 | 0.750 | 0.833 |
| Detector | mAP50 | mAP50-95 |
|---|---|---|
| Detector A | 0.893 | 0.46 |
| Detector B | 0.899 | 0.47 |
| Detector C | 0.906 | 0.488 |
| Detector D | 0.516 | 0.326 |
| Detector E | 0.379 | 0.147 |
| Detector F | 0.469 | 0.261 |
| Detector G | 0.413 | 0.225 |
| Detector H | 0.789 | 0.482 |
| Detector | F1 | T | ||
|---|---|---|---|---|
| Detector A | 0.80 | 0.592 | 0.458 | 0.489 |
| Detector B | 0.83 | 0.460 | 0.471 | 0.278 |
| Detector C | 0.86 | 0.434 | 0.440 | 0.473 |
| Detector D | 0.44 | 0.900 | 0.892 | 0.149 |
| Detector E | 0.37 | -- | -- | 0.032 |
| Detector F | 0.52 | 0.727 | 0.727 | 0.248 |
| Detector G | 0.34 | 0.733 | 0.623 | 0.124 |
| Detector H | 0.71 | 0.750 | 0.775 | 0.529 |
Disclaimer/Publisher’s Note: The statements, opinions and data contained in all publications are solely those of the individual author(s) and contributor(s) and not of MDPI and/or the editor(s). MDPI and/or the editor(s) disclaim responsibility for any injury to people or property resulting from any ideas, methods, instructions or products referred to in the content. |
© 2025 by the authors. Licensee MDPI, Basel, Switzerland. This article is an open access article distributed under the terms and conditions of the Creative Commons Attribution (CC BY) license (https://creativecommons.org/licenses/by/4.0/).
Share and Cite
Han, J.; Fan, Y.; He, Z.; You, Z.; Zhang, P.; Hu, Z. Self-Training Can Reduce Detection False Alarm Rate of High-Resolution Imaging Sonar. Appl. Sci. 2025, 15, 1189. https://doi.org/10.3390/app15031189
Han J, Fan Y, He Z, You Z, Zhang P, Hu Z. Self-Training Can Reduce Detection False Alarm Rate of High-Resolution Imaging Sonar. Applied Sciences. 2025; 15(3):1189. https://doi.org/10.3390/app15031189
Chicago/Turabian StyleHan, Jingqi, Yue Fan, Zheng He, Zhenhang You, Peng Zhang, and Zhengliang Hu. 2025. "Self-Training Can Reduce Detection False Alarm Rate of High-Resolution Imaging Sonar" Applied Sciences 15, no. 3: 1189. https://doi.org/10.3390/app15031189
APA StyleHan, J., Fan, Y., He, Z., You, Z., Zhang, P., & Hu, Z. (2025). Self-Training Can Reduce Detection False Alarm Rate of High-Resolution Imaging Sonar. Applied Sciences, 15(3), 1189. https://doi.org/10.3390/app15031189

