Next Article in Journal
Extension of the Discrete Electron Transport Capabilities of the Geant4-DNA Toolkit to MeV Energies
Previous Article in Journal
Noise Reduction Using Synthetic Microjet Excitation in Supersonic Rectangular Jets
Previous Article in Special Issue
A Comprehensive Review on Brain–Computer Interface (BCI)-Based Machine and Deep Learning Algorithms for Stroke Rehabilitation
 
 
Font Type:
Arial Georgia Verdana
Font Size:
Aa Aa Aa
Line Spacing:
Column Width:
Background:
Review

A Chronological Review of the Transmission and Effects of Mechanical Vibrations on the Hand—Arm System in an Occupational Workplace

by
Aurora Felicia Cristea
1,*,
Monica Carmen Bӑlcӑu
2 and
Simion Haragâṣ
1
1
Faculty of Industrial Engineering, Robotics and Production Management, Department of Mechanical Systems Engineering, Technical University of Cluj-Napoca, 28 Memorandumului Street, 400641 Cluj-Napoca, Romania
2
Faculty of Automotive, Mechatronics and Mechanical Engineering, Department of Automotive Engineering and Transports, Technical University of Cluj Napoca, 28 Memorandumului Street, 400641 Cluj-Napoca, Romania
*
Author to whom correspondence should be addressed.
Appl. Sci. 2025, 15(3), 1182; https://doi.org/10.3390/app15031182
Submission received: 1 June 2024 / Revised: 20 December 2024 / Accepted: 27 December 2024 / Published: 24 January 2025
(This article belongs to the Special Issue Predictive Analytics in Healthcare)

Abstract

This paper aims to review researchers’ concerns over time (from the 1980s to the present) regarding the transmission of mechanical vibrations in the workplace to the limbs, with a preponderant focus on the hand–arm system and some of the effects over time. These concerns are strictly approached from the point of view of their effects on different races, types of jobs, and forms of tools handled in the workplace. In this regard, when we refer to unwanted vibrations (harmful to a person) in the industrial environment, these are vibrations that can produce harmful effects on an individual’s health, leading to occupational diseases such as white finger syndrome. Some of the terms specific to the studies reviewed, such as vibration perception and biodynamic force, among others, are explained in this paper as needed. Studies in the field have shown that vibrations are transmitted differently when the arm is bent at the elbow joint compared to when it is outstretched; also, the transmission of vibrations is influenced by other factors, such as the temperature of the working environment, the gender and age of the person who is using the vibrating devices, and last but not least, the time of their use and the frequency. The conclusions presented by the specialized literature often refer to existing standards, in particular SR EN ISO 5349/2003. Finally, in this paper, conclusions are drawn regarding how to analyze the transmission of vibrations over time, and some recommendations are given for avoiding or minimizing them, which can be added to the already-existing standards.

1. Introduction

This review presents a contribution to vibration transmissibility studies involving hand–arm systems, providing and overview of research from 1980 to 2024, without assuming coverage of all relevant studies, as this field is extremely vast [1,2,3,4].
It is known that the action of vibrations on the human body [2,4] generally produces undesirable long-term effects (occupational diseases). Concerns regarding the effects of vibrations on the human body, mainly their effects on the hand–arm system, were first researched in the 1970s, as shown by the studies by Reynold, reproduced by [1]. Interest in this topic is still alive today. According to Griffin and Palmer’s research found another benchmark related to vibration analysis. They studied this topic over time, presenting their conclusions in relevant papers, books, studies and standards [1,2,4,5,6,7,8,9,10].
It can be said that vibrations transmitted to the human body [11], in particular those transmitted to the hand–arm system [3,9,12,13], can have harmful effects. These unwanted effects appear especially due to the long-term use of vibration-producing equipment [14,15] in industrial environments. This category includes forges, rotary hammers, dies, and pick hammers, among others, which are used for long periods of time and, sometimes, without appropriate protective equipment. Exposure to these vibrations over time may lead to occupational diseases, such as white finger syndrome, finger necrosis, retinal detachment, dizziness, and other unwanted effects on the human body, influencing cognitive and motor functions [11].
It is worth mentioning that, in this field, there are important books that present information on the main aspects of this issue, as well as various research papers, such as [1], and works on specific study topics, addressing notions such as the following:
-
The power absorbed by the hand (VPA—vibration power absorption) [15,16,17,18] and the sensitivity of the hand in terms of the absorption power [19], among others;
-
The entire hand–arm system or specific components, such as the palm, fingers, and wrist;
-
The analysis of vibration transmission from different types of tools and in relation to specific jobs, such as mining, forestry, and others [8,14,20];
-
Unwanted effects of vibrations that cause occupational diseases, including measures to address them, like the procedure for measuring vibrotactile perception at the fingertips, as proposed for standardization in the ISO CD 13091-1; the evaluation of the threshold of vibratory sensation using the cold provocation test for the diagnosis of vibration syndrome; the investigation of chipping hammer vibrations, quality of life, and work in relation to nickel miners and smelter workers; vibration-induced white finger syndrome in different groups of workers exposed to hand–arm vibrations in the metallurgical industry; the use of vibration patterns in pneumatic hammers; health surveillance of forestry workers exposed to hand–arm vibrations in Wakayama, Japan, from 1974 to 1996; and the usefulness of vibration emission declarations in the management of hand–arm vibration risk at workplaces with grinding machines [15,21], among others;
-
Methods to prevent vibrations in industrial environments and the importance of wearing protective equipment on the hands, in particular the use of protective gloves [22,23,24,25];
-
Other factors, such as sound [26] or temperature [27], that can influence the vibrations transmitted to humans.
Therefore, the review paper presented by the authors contains notions related to the exposure of subjects to vibrations at work, which are sometimes contrasting, such as biodynamic responses. This research could be extended in terms of the duration of exposure to vibrations, for example, to individual groups of subjects (men and women) and specific types of occupation. However, the amount of information contained in such a review would exceed the number of pages of a typical review paper [11].
The work carried out was very varied in terms of the approach taken to the subject and the chronology of concerns in this field. An attempt was made to follow a chronological line (focusing, for instance, on the concerns in this field in the 1980s–1990s, until now), so that, in the end, this paper could also propose some recommendations to avoid vibrations in industrial environments. The data provided by the literature in this area were first presented in 1970–1980 by Harris and Shoenberger, then in 1971–1973 by Harris and Sommer, and, finally, in 1984 by Sandover and Champion, as per reference [1], who studied workplace vibrations and their combination with other environmental factors (temperature and noise). All these corroborated ref. [1], showing that exposure to vibrations at work leads to occupational diseases or the deterioration of a person’s health during this time.
Previous research in this field, starting from the 1980s–1990s [1], presented long-term analyses regarding the transmission of vibrations from industrial environments. These focused on occupational diseases developed over years of exposure, reproduced through research reports [1], and new standards such as, for example, BS 5228-2:2009+A1:2014 [28], regulating the time of exposure to vibrations with the aim of minimizing their transmission to humans. However, all these reports could only be validated with the help of other papers in the field that studied more specific areas of the hand–arm system, such as the gripping force in the palm, the influence of the hand position during the handling of vibrating devices, etc.
Research was carried out over periods of 5, 10, and 20 years [1], monitoring the transmission of vibrations, especially within mining and construction occupations, where vibrations are transmitted to the hand–arm system, and the probability of the occurrence of professional diseases is higher (white finger syndrome). These approaches have been repeated over time, up until now, with applicability to various equipment types and devices, such as grinders and rotary impact machines. In relation to these aspects, specialized notions in this field have been presented, such as apparent mass, biodynamic response, transmissibility, and others, proving the importance of using correct device positioning, as well as use times, in relation to the transmission of vibrations. It has also been shown that some factors, such as the duration of use, protective equipment, assumed work risk, and others, could influence the transmissibility of vibrations. An important aspect to mention is that these vibration studies present analyses based on the male sex, since it is mostly men who occupy jobs with a high risk of vibration transmission.
In the current standard, 5349/2003, anatomical reference systems for the hand–arm system are defined. Thus, present analyses are carried out according to either a transmission axis or the three axes of the anatomical system given by the vibration of the hand–arm system. Additionally, research has shown that the maximum amplitude is transmitted differently to hands with the elbow bent at different angles or extended. In this paper, the results are compared between studies, as well as with the standardization data presented in SR EN ISO 5349/2003, and outlined in Section 6.
A fundamental requirement in all vibration-related activities [3,4] is the ability to obtain an accurate description of the vibrations through measurement and analysis. Hence, precise measurements of the vibrations transmitted along certain axes of the coordinate system given by SR EN 5349/2003 or the components of the hand–arm system are necessary. For example, vibration analysis could start from the design of machines that use vibration as an excitation source or the creation and maintenance of the mechanics of products that must function without vibration-related problems.
To better understand this paper, a brief review of some terms specific to vibrations transmitted to the hand–arm system and the order in which they are approached in this work are provided below.

2. Transmissibility of the Acceleration Base

Because in the following the analysis of results is performed after vibration measurements, the way in which the standards require these measurements to be performed is briefly presented below. The methods for measuring mechanical vibrations in the hand–arm system and reporting exposure to these vibrations, transmitted by the hand along three orthogonal axes (in conformity with ISO 5349/2003), must meet some minimum requirements. This standard defines specific frequency weighting and band-pass filters to allow the uniform comparison of measurements. In most situations, measurements are made in bands of one-third of an octave, where the smallest vibrations are measured, while reporting is performed in real-time or frequency through FFT (Fast Fourier Transform) representations. This method is often the most convenient for analyzing the transmission of vibrations.
Next, this paper will present studies regarding the transmissibility of the acceleration base. This is defined as the ratio of the force transmitted to the force applied. The transmitted force indicates that which is being transmitted to the foundation or the body of a particular system. The applied force is the external agent that causes the force to be generated and transmitted in the first place. Therefore, some examples of TAB (transmissibility of the acceleration base) are derived from Figure 1, in conformity with [1], by reporting the TAB values measured at the fingers, wrist, elbow, and shoulder (for all three directions, orthogonal to the anatomical reference system), in comparison to the limits established by the SR EN ISO 5349/2003. It can be observed that only the TAB graph corresponding to the wrist follows the curve almost identically for a wide range of frequencies.
In 2005, research was carried out on different types and sets of tools: for instance, Dong’s research on a set of 20 vibrating tools showed the relevance of correlation coefficients (r-values), derived according to the TAB in the measured values (Table 1), in conformity with the references [1]. All these values, finally, were compared with SR EN ISO 5349/2003.
In this study, all measurements were performed for six finger–hand–arm positions in conformity with [1], finding several correlations between the TAB values obtained at the head, shoulder, elbow, and wrist and accelerations given by SR EN ISO 5349/2003 [9,10].
In conformity with [1], Figure 1a,b present the BFB factors corresponding to the weighting frequency obtained at the fingers and palm, which agree with the apparent mass values.
Regarding the notion of apparent mass (dynamic force/acceleration), according to the research of Palmer (2006), it has been shown that the measured unweighted acceleration is more relevant in studies than the weighted acceleration and is given by the ISO standards regarding the evaluation of the conditions of occurrence of VWF (vibration white finger) syndrome. A brief explanation of the definition of weighted acceleration refers to how calculated and intense mechanical vibrations affect the human body at work or in vehicles. The resulting values are expressed as a vibration-weighted signal, a signal expressed as a function of frequency, or as their square mean. Finally, it is concluded that the vibrations of tools and devices are generally less than 250 Hz.
The principle of application of the TAB and BFB measurement methods is based on the distribution of accelerations in the case of the former and the distribution of inertial forces in the case of the latter in the hand–arm system.
The validation of the studies in this field was confirmed by the results obtained by Griffin (1999) [3] for a group of 20 vibrating tools, as well as the weighted values of the aR.M.S accelerations which had been taken into account for the analysis.
Based on the interpretation of Figure 1, the following can be concluded: a lot of research does not take into account the fact that, at high vibration frequencies (>250 Hz), the finger and the hand are subject to conditions for the appearance of symptoms of occupational hand diseases, which have direct links to the methodological weighting norms imposed by SR EN ISO 5349/2003.
According to [29], the hand component related to the coupling force in the operation of a vibrating tool is generally made up of the applied force (AF) and the biodynamic force (BF). There is wide interest in quantifying the coupling force. The objectives of this study are to develop an effective method for estimating the BF and investigate its fundamental characteristics. Using the biodynamic response of the hand–arm system, such as the apparent mass or mechanical impedance and the acceleration which can be measured on vibrating tools, this study proposes an indirect method for BF estimation. The distribution of BF on the fingers and the palm and along the forearm, using the zh-axis, is analyzed when operating eighteen types of tools. The results indicate that the BFs depend on both the tool vibration spectrum and the biodynamic properties of the hand–arm system [29]. The dominant BF frequency component is usually at the same frequency as the dominant vibration frequency of each tool. The BF distributed on the palm (2–98 N) is much higher than that distributed along the fingers (1–30 N) at frequencies less than 100 Hz, but these biodynamic forces (2–22 N) are comparable at higher frequencies. The distribution of BF by the palm on several tools has relatively low dominant frequencies (≤40 Hz), in particular in the resonant frequency range (16–40 Hz), and is comparable with the palm force applied by 50–100 N.
In conformity with [30], symptoms of occupational hand diseases (such as white finger syndrome and diseases of the peripheral nervous system) appear due to prolonged and intensive exposure to vibrations from orbital and grinding equipment. These can cause finger diseases, which could be associated with the biodynamic responses of these appendages. The biodynamic responses of the hand–arm system have also been studied by many researchers, but the detailed biodynamic responses distributed between the substructures (phalanges) of the hand have not been sufficiently studied [30]. To advance knowledge in this aspect and help develop improved finite-element models of substructures, the study cited above used ten subjects (five men and five women) who participated in the experiment, simultaneously measuring their biodynamic response to the input of the vibrating system, related to the transmissibility of vibrations to the fingers and palms exposed to vibration. Vibrations from the studied flat disk also allowed the researchers to examine the relationship between these two measures rendered by biodynamic responses. A scanning laser vibrometer can be used to measure vibrations’ distribution. The above study confirmed that hand responses to distributed vibrations (like acceleration R.M.S.) varied among distinct finger locations, vibration frequencies, and applied hand forces. Two major resonances in the vibrational transmissibility were observed [30]. At the first resonance, the vibrations transmitted to different locations were more or less in phase; therefore, this resonance was also observed in the biodynamic response of the driving point, which measured the overall biodynamic response of the system. The second resonance was observed in the fingers. This resonant frequency varied greatly between fingers, as well as between the phalanges of each finger; it was difficult to pinpoint this exact resonance in the biodynamic response of the input point in the system (Figure 2).
According to [31], the biodynamic response of the hand can be studied by the grip force in two types of experiments. This kind of study is carried out because vibrations, over time, can lead to occupational diseases related to the hand–arm system, as shown in the specialized literature—in particular, VWF. The first experiment analyzes the transmissibility of vibrations when the grip force is a continuous function, while the hand is subjected to discrete sinusoidal excitations. In the second experiment, the biodynamic responses of the system are studied when the hand is subjected to random vibrations, at broadband frequencies (up to 1500 Hz), measured for five values of grip forces and combinations of grip and push forces.
In conclusion, vibration transmissibility depends on the frequencies studied, meaning that they increase with the grip force until reaching a maximum. Next, with the increase in the grip force, which is the internal force exerted by the digits and palm on the manipulated object and depends on the frequency studied, the transmissibility decreases [5].
The study in ref. [13] presents a comparison between the vibrations transmitted to the hand and the foot, and it theoretically demonstrates how to stabilize the movement of a mechanical system equivalent to the hand–arm system, subject to vibrations and excited at a frequency of 4.16 Hz. It is known from the specialized literature in this field and reference [4] that, at low frequencies (<25 Hz), changes occur in the normal state of the hand–arm system’s functionality, namely disorders of the bones and the nervous system.
In conformity with [32], people in an industrial environment can be exposed daily to foot-transmitted vibration (FTV) caused by standing on mobile equipment or vibrating platforms and surfaces (Figure 3). This exposure could increase the risk of developing neurological, vascular, and musculoskeletal problems. In the above study, all results measured for the hand–arm system, namely, HAV and FTV, were compared with the standards.
Similarities emerged from the above study between wrist and ankle responses, with the only difference being the resonance area for the fingers and toes. This study stated that HAV standards were more appropriate than whole-body vibration standards for assessing higher-frequency exposure to FTV, in conformity with the standards [5,6,7,8]. In the below image, the green color represents joint points in the hand and toes related to HAV standards, while the red color in the foot is related to FTV exposure in the standards.
Based on [33], the reason for the vibrations’ transmissibility to the hand is shown in Figure 4, Figure 5 and Figure 6, alongside the probability of white finger syndrome. FEA (finite-element analysis) and 2D modeling of the hand–arm system were performed, and a laser vibrometer was used for the measurements. Frequencies between 10 and 400 Hz were studied under different grip force levels, and it was found that the addition of a small mass (0.3 g) at the accelerometer did not significantly influence the measurements. Data were collected simultaneously from measurements specific to individuals, including anthropometry. This allowed the researchers to characterize the skin and the behavior of the skin of the hand when disrupted, as well as investigate the effect of different factors on the transmissibility of vibrations. The results showed that vibration transmissibility to the hand varied between individuals, and the key finding was that exposure to vibration had a significant effect on the fingers when changing the temperature even for a short test period.
The second study presented in [33] (Figure 4, Figure 5 and Figure 6) focused on the vibrations transmitted to the thumb. It was found that these vibrations were concentrated in the thumb’s most-vascularized area. Vibration transmissibility was influenced by temperature (Table 2).
Figure 7 presents the microscopic structure of three products used in the study of glove materials. It appears that structure b belongs to a more appropriate material to study from the point of view of density.
The data presented in [11] established a method for measuring biodynamic responses to vibrations in the hand–arm system. For this purpose, the vibration exposure of a worker holding and pressing a usual work piece on a sanding belt was simulated. This method was applied to measure the apparent mass and vibration transmissibility produced by two different feed forces (15 N and 30 N) and six simulated grinding interfaces with different stiffness values. A major resonance was observed in each transmissivity spectrum of the work piece, which correlated with the major impedance resonance of the entire system. In conclusion, these resonant frequencies depended on the mass of the work piece, the stiffness of the grinding interface, and the feed force.
Increasing the feed force increased the overall vibration transmissibility to the hand–arm system, and the transmissibility to the work piece was not significantly affected by the interface conditions. A review paper made a short introspective analysis, showing a similarity between hand and foot vibration transmission as a way to biometrically recognize a person [32]. The research in question used the frequency response function (FRF, measured between two points—one of excitation and the other of response—both belonging to a mechanical structure) of the human body, in particular for the fingers, and used this information for personal identification. All these methods were similar to the biometric measurement procedure for the upper limbs (hand–arm).
In these studies, the FRF values of the individuals’ fingers were measured. A biodynamic system model was simulated for the component elements of a finger, namely the phalanges, the joints, and the skin. The analytical data were compared with the experimental ones and, based on the correlation coefficient method between the frequency binaries of the measured FRF, the most efficient set of frequency binaries from the entire FRF spectrum was extracted: “These extracted features were used to train a support vector machine for classifying individuals. In a controlled experimental setup, the classification results showed a maximum accuracy of 99%, affirming the feasibility of using human finger vibration responses as a new biometric method for person recognition” [34] (Table 3).
Ref. [19] analyzed another set of devices, namely the grinders, which transmit vibrations to the hand depending on the position at which they are operated. The evaluation of the subjects was carried out according to the position of the hand, with the wrist in the usual position or rotated to 90 degrees.
They considered using the simple hypotheses that the action of the muscle groups that act when handling the devices, regardless of the position of the hand, would be the same and that the pressing forces acted mainly on the intermediate phalanges. They analyzed the device when operated without gloves, in which case the forces on the intermediate phalanges could exceed the discomfort and pressure threshold regardless of the position of the wrist. This validated other research on the subject, such as [35], which studied the effects of two grip force levels and forearm postures on the vibrations transmitted to the hand–arm system, as well as the physiological responses [36].

3. Absorption Energy or Absorption Power

Another metric notion, specific to vibrations, is the energy absorbed per unit of time (power). Some results regarding this are presented below. The term energy absorbed per time unit for 8 h and 4 h of vibration exposure represents the total amount of energy accumulated during the vibration exposure period. This is the energy related to the time unit, calculated with Equation (2), as per reference [1], where T(8) = 28,800 s (time of exposure to vibrations, corresponding to 8 h “weighted energy”), ahw = weighted acceleration [m/s2], and T = the period of exposure to vibrations at the analyzed frequency [s].
a hw ( ech . 8 h ) = { 1 T ( 8 ) 0 T [ a hw ( t ) ] 2 dt } 1 / 2
The “limit of exposure to vibrations” is rendered by the degree of sensitivity of the individual exposed to said vibrations, analyzed according to the responses of people exposed to vibrations (%), at a certain time interval. It should be mentioned that there are situations in which the previously mentioned undesirable conditions appear before reaching the vibration sensitivity threshold, in conformity with [1]; therefore, it is recommended to avoid these values.
Research conducted over long periods of time and studies such as those by Reynolds and Lündström, in conformity with the studies presented in [1], showed that hands with a bent elbow transmit fewer vibrations to the shoulder than fully outstretched hands.
Another notion often encountered in biomechanics is VPA—vibration power absorption. In conformity with [1], it represents the vibration absorption power, and, sometimes, it is used as the average vibration power absorption density (VPAD) because the VPAD may be a better measure of energy than the total power absorption of the hand–arm system, particularly for measurements of the soft tissues of the fingers [37]. These values can be determined for the hand–arm system (in particular, the palm) for frequencies between 40 and 100 Hz.
For a more detailed bilinear analysis of mechanical vibrations in time–frequency coordinates, WVD can be used [1], but there are disadvantages in terms of exposure time. While using the Wigner–Ville time–frequency distribution (WVD), the energy concentrations (acceleration R.M.S. depends on the frequency) can be measured easily.
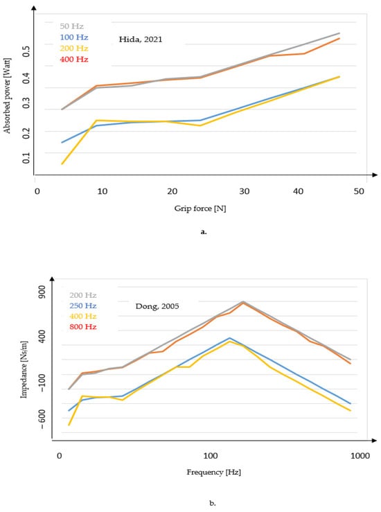
The continuation of studies regarding the energy absorbed by the hand and its subassembly was carried out by other researchers [17]. Among these, some examined the transmissibility of hand–arm vibrations in terms of absorption with the arm extended and bent, the excitation coming from electric tools. The absorption power of the biomechanical models of the hand system, determined by both the mechanical impedance of the input drive point in the system and the transmissibility of vibrations to the arms, was higher at a frequency of 25 Hz than at other frequencies transmitted via the hands (fingers and palm) for both positions during VPA. It can be noticed that the values of vibration transmissibility to the hands were larger above 100 Hz (suggested by the standard over 250 Hz), but, in comparison, the arm’s transmitted values are bigger under 25 Hz; these data were all reported by SR EN ISO 5349/2003.
The conclusions of these researchers showed that the power absorbed by the hand while using the device with the arm extended was about 2.5 times higher than that absorbed, for the same type of force, with the arm bent, according to [1]. It was also observed that the higher the rotation speed of the tool during operation, the higher the power absorbed by the hand. This was regardless of the position of the arm and only in the range of 5–16 Hz. Hence, it was necessary to evaluate the transmission of vibrations to the subassemblies of the hand–arm system and not the system as a unit. The results thus depended on the source of excitation, the method of attachment, and their natural frequencies. Similarly, results in terms of absorption power were reproduced by the author of the following study.
The brief conclusions drawn around biomechanics notions are that the energy absorbed by the hand in a given unit of time depends on the operator’s hand grip force on the tool, the static energy, the vibration amplitude, and the type of tool.
In general, high-frequency vibrations (>250 Hz) are transmitted to the hand and then further to the elbow, shoulder, and central nervous system, causing, over time, disturbances of the visual and auditory systems. There is also a range of low frequencies (5–16 Hz) that cause hand ailments and would be good to avoid.
If an analysis of the vibration distribution in a study is desired, the Wigner–Ville distribution could be used to identify the dominant frequencies contained in the signal.
Operators of portable power tools are the most exposed to vibrations transmitted to the hand and the potential diseases associated with them. It is thus recommended to avoid stretching the arms when using these vibrating devices, as, under such positioning, if the VDA is high, the transmitted vibrations are strongly absorbed by the hand–arm system, possibly causing occupational diseases.

4. The Limits of Comfort and Endurance

Other terms specific to the transmission of vibrations to the hand are the perceptibility and sensitivity of the hand, which depend directly on the duration of exposure to vibrations. From these, other notions can be deduced in the latency period, until the symptoms of a disease appear.
Another approach to the characteristic notion of mechanical vibrations, regarding their transmissibility to the hand–arm system, involves the comfort and resistance limits studied among groups of people. Values of this kind were reproduced by [1], in conformity with studies by Miwa dating back to 1967 and 1968. These studies show the establishment of a threshold limit for the transmission of vibrations to the hand, for frequencies between 3 and 300 Hz (Figure 8). In all these studies, the hand was pressed on a flat surface.
Figure 8 shows, as per [1], different job categories (4 groups of shipbuilders), comprising 179 welders, 412 painters, 52 different trades, and 42 riveters, including data on those most affected by VWF syndrome (welders, painters, and riveters), upon condition appearance after 5 years of exposure to vibrations. This level of exposure is considered low compared to other job categories analyzed, like miners, builders, and excavator drivers.
Therefore, ref. [38] described the biodynamic responses of the hand–arm system (Figure 9), mostly characterized in terms of driving-point force–motion relationships, which also served as the primary basis for developing the mechanical-equivalent models for points 1–11 (where points (1–9) are fixed on the hand and 10–11 on the wrist). The vibrations of the hand–arm system were measured, in particular along the arm and the anatomical axis zh, and it was observed that their transmission depended on the position, specifically the angle of the elbow, and the grip force. Therefore, they decreased with distance from the source of excitation. A threshold of 25 Hz was established for the vibration transmissibility to the hand–arm system.
Ref. [39] evaluated the ergonomic benefits of an angle grinder with a rotatable main handle during a cutting task. Angle grinder manufacturers rarely address ergonomic features in their advertisements, and, if they address these, the benefits are expressed qualitatively. Meanwhile, quantitative information about the effects of the device on the worker is required to make informed decisions during tool selection and cumulative vibration trauma prevention. In the above study, eleven maintenance workers and metalworkers used an angle grinder to cut a horizontal steel rod using three wrist postures. Only one of the postures was available in the case of a rotatable main handle. The postural effect was evaluated objectively with electromyography and a force-sensing resistor-based force glove. Subjective ratings of discomfort and control were obtained with a visual analog scale. The results of these subjective ratings favored the near-neutral wrist posture. The forearm muscles’ electromyographic activities were similar across the three postures. The forces on the hand–handle interface were concentrated on the intermediate phalanges when the device was operated without gloves, and these forces may exceed the discomfort pressure pain threshold (PPT), which is the minimum amount of pressure which causes pain and can be measured using hand-held pressure vibrometers, regardless of wrist posture. Therefore, in the cutting task, the subjective measures did not exclude a near-neutral wrist posture, which was a feature of using the rotatable main handle. The objective measures indicated a lack of preference for one posture over another in the above studies. The application of these findings gives insight into the impact of wrist posture on muscle activity, forces, hand–handle interface, and discomfort. This is useful information for those responsible for tool selection.
Ref. [39] determined the vibrotactile perception peaks from the fingertips. The study sought to determine the vibrotactile perception threshold (VPT) and the temporary threshold shift (TTS) [39]. These were measured before and after the subjects were exposed to the vibration transmitted to the hand through the tool. The vibrations were measured using conventional tool-mounted accelerometers. The results of this study concerned the vibration measurements transmitted to the hands of the subjects, showing that they were proportional to the increase in TTS (trajectory of circle 2). On the other hand, the data obtained by measuring conventional vibrations on the tool against standards showed a relatively constant vibration level (trajectory of circle 1). However, the TTS increased over time for the subject group. Ref. [39] focused on the transmission of vibrations from gardening machines (such as turbo blowers, lawnmowers, etc.) to the hand (Figure 10).
Generally, bagging machines (lawnmowers and blowers) produce vibrations that are transmitted to the operator’s hand and which, with prolonged use, can cause conditions such as white finger syndrome. The above mentioned paper evaluated the level of vibration emitted by blowers, according to the methodology of the international standard SR EN ISO 5349/2003 [9]. The vibrations transmitted by two different bagging machines (blowers) were analyzed. The study was conducted on ten subjects who used these tools daily. The vibrations were recorded in two ways—in the operational and inactive modes. The study showed that the average weighted accelerations transmitted by the blowers to the hand may differ from the active/operational to the inactive mode depending on the type and use of the blowers. This study suggested that the vibrations transmitted to the hand from a blower can reach the critical threshold of the accelerations transmitted by vibrations, established by the European Directive 2002, and this value can be influenced by the duration of use of the blowers (between 5 and 7 h per day).

4.1. Perception

Perception is an important quantity from the point of view of vibration transmission to the hand and, further, to the human body, and it is largely related to bearability. Studies in the specialized literature [4] have shown, in this respect, the following:
The perceptibility or tolerability of hand vibrations has been shown to depend on the perceptual sensations of people exposed to vibrations and increase in amplitude, according to references in the field. These increases in vibration amplitudes, presented by [1] and shown in studies by Mishoe and Suggs in 1974, are more pronounced at low frequencies (<40 Hz). The results were obtained by comparing the responses of different people exposed to harmonic and random vibrations, for all three coordinate axes, with measurements carried out at a frequency range from 32 to 2000 Hz.
It has also been shown that, from a medical point of view, the vibrotactile sensation of the fingers (perceptibility) [31] when touching a vibrating surface is first felt at the level of the skin tissue (Meissner and Pacinian components)], as per [1]. It has also been shown that, at high frequencies of 125 Hz, the Pacinian corpuscles of the skin are active, and, at low frequencies, the Meissner corpuscles are active only in the range of 40–80 Hz. Therefore, any Meissner corpuscle can be responsible for pain perception depending on the contact area between the hand and the tool and the pressure exerted on the tool, in conformity with [1].
Of course, as exposure to vibrations (40–80 Hz) from the point of view of perception differs from one person to another, exposure to these is dependent on the temperature of the working environment, age, sex, and duration [1].

4.2. Exposure Period

The period of exposure to vibrations presents another important characteristic of the transmission of vibrations to the human body, and this is directly expressed in terms of energy accumulated in units of time [1]. The notion of dominant time appears and is closely related to the latency period.
The latency period is the time until the first symptoms of a disease appear, and disease severity is more serious the shorter the latency period is.
Using an inverse linear relationship between daily vibration exposure and vibration amplitude, the effective period of use of a vibrating tool can be determined. Therefore, when using it for 8 h/day, the aR.M.S maximum acceleration can have a value of 2.8 m/s2, and, when using it for 30 min/day, the aR.M.S acceleration can increase, with a value of 44.8 m/s2, in conformity with [1].
The conclusions of studies in this area were as follows: Periods of interruption from daily work activity in a vibrational environment are necessary. These breaks are beneficial to the health of the person exposed to vibrations, according to [1] and Huzl et al.’s 1971 work.
A total of 8 h of exposure to acceleration aR.M.S would not be proper because of the person’s long period of exposure to the vibrations. Studies have shown that, for 8 h of vibration exposure, the weight acceleration is 2.8 m/s2, which would be equivalent to 30 min of vibration exposure with aR.M.S acceleration of 5.6 m/s2. That is, the subjects could be exposed to higher accelerations over shorter exposure periods to vibration. Table 4 shows the percentage of people exposed to and affected by mechanical vibrations (in years). Daily exposure of the subjects to vibrations, at work, over 2–35 years, was related to the appearance of initial symptoms, until the appearance of the VWF syndrome. These data are according to the values proposed by [1], following Brammer’s studies in 1982. It can be observed that, with several minutes of daily exposure to vibrations with acceleration (aR.M.S) of large amplitudes corresponding to 25 m/s2, the percentage of people affected by VWF was small, at 2.5%. However, with lower vibration frequencies and longer exposure times, the percentage of people affected by vibrations increased to 50%.
The conclusions of these studies directly relate to the energy absorbed over time by the subjects’ hands, which is an indicator of the latency period. The latency period varies according to the individuality of each person exposed to vibrations, the duration of the person’s exposure to vibrations (in years), and the frequency values at which the vibrations are felt.

4.3. Period of Dominance of Symptoms

Another notion related to the appearance of symptoms of occupational diseases, in conformity with [1], is the period of dominance of said symptoms, appearing as an effect of vibrations (Figure 11). The following paragraphs present emerging conditions symptomatic of vibrations’ effect on the human hand–arm system. Twenty subjects exposed to vibrations were involved in the study discussed below. The results were compared with the values from vibratory action at an exposure time of 8 h, 2 h, and 0.5 h. The analyzed data were collected by Griffin in 1982 and presented by [1].
The results obtained by Agate and Druett (1947) and presented by [1] stated that the likelihood of Raynaud’s syndrome due to exposure to vibration (caused by tool handling) was found around frequencies of 40–125 cycles per second, whereas tools which developed vibrations around 600 cycles per second did not induce Raynaud’s syndrome nor VWF.
The conclusions drawn by these studies regarding the occurrence of Raynaud’s syndrome or VWF in the hand included the fact that this syndrome caused the loss of vibrotactile sensitivity and a decrease in blood circulation in the hand, producing an extremely unpleasant appearance, with tingling and numbness. Exposure to high-amplitude vibration for frequencies up to 1000 Hz was shown to cause serious medical conditions in the hands (rectangle symbol), and low-frequency vibration tools (10–50 Hz) were also shown to cause high-amplitude vibrations to be transmitted to the hand (triangle symbol) and depends of exposure time [1].
The most common condition of the hand due to the transmission of vibrations is VWF, called vibration white finger, but it is rarely superimposed on another disease, such as muscle or bone diseases. Bone disturbances occur particularly in the wrist, elbow, and shoulder, reflecting discomfort or even pain at high vibration frequencies (>250 Hz), and the pain is proportional to the size of the contact area. The period of symptom dominance is not a clear measure of the severity of vibration exposure, because, while symptom dominance is greatly influenced by the severity of the vibration, it depends on state changes (like fatigue, temperature, exposure, and age) that occur in each individual [1].
In Figure 11 [1], it can be seen that the degree of impairment of the population exposed to vibration and developing vascular white finger symptoms (VWF) is greater as the frequency decreases and the exposure time (reported in years) increases. In other words, as a person’s period of exposure to vibration increases, for frequencies below 20 Hz, VWF conditions are more likely to occur, in conformity with [1]. To prevent the occurrence of the VWF phenomenon as a result of the transmission of mechanical vibrations from the tools to the hand of the human operator, the tools are manufactured to work for a frequency range between 30 and 250 Hz that is not harmful to the health of the operators, according to SR EN ISO 5349/2003. The studies presented by researchers up until this moment validate these results, so we can say that vibrating tools could be developed that operate outside of the range of frequencies at which symptoms of occupational diseases appear. However, these would not constitute an exception because using them without adequate protective equipment for years [1], their wear and tear, and improper conditions (cold) could still lead to occupational diseases, the most common being VWF.
The curve in Figure 12 and Equation (2) present the probability (P) of the appearance of VWF symptoms (in the range of 0–1) for different vibrating tools as a function of acceleration (horizontal scale), according to the following expression where ln(ahw) is the natural logarithm of the weighted acceleration R.M.S, according to current standards 5349/2003.
P = 0.5 × { 1 + sin   [ 22 l n ( a h w ) 55 ] }
Therefore, the variations that appear are due to frequency discrepancies when using the tools. The curve demonstrates that short-term exposure to vibrations or a single exposure will not cause symptoms of these ailments, but increasing the exposure period leads to an increase in the probability of their appearance. Diseases are caused by the cumulative action of vibrations on the human body, as studied over time by Griffin in 1982, who reported on 23 subjects who used vibrating tools at work; his results are presented in [1].
All studies in the specialized literature demonstrate that exposure to vibrations of equal amplitude and frequency, but different in duration, leads to the appearance of VWF conditions (Figure 12), at different time intervals. For example, exposure to vibration for 10,000 h over 5 years differs in scientific terms of disease occurrence from an exposure of the same duration but spread over 20 years. The prevalence and severity of VWF symptoms have been shown to increase with the duration of exposure to vibration and time, using work tools studied by Matsumoto et al. in 1977 and Tominaga in 1982, presented by [1].
For these reasons, it is difficult to accurately determine the optimal time of day when the transmissibility of vibrations from the tool to the hand is minimal and the operator is under excellent working conditions. An effect of the duration of exposure to vibration is also determined by the relationship that exists between the amplitude of the vibration and the period of exposure to the vibration before the appearance of the first VWF symptom (e.g., latency), in conformity with [1].
Most research neglects setting the beginning of the latency period to an average value because each individual has a measure of natural adaptability; after this period, the latent dominance can be taken into account [1].
In conformity with the results of the studies by Taylor et al. in 1975, Griffin in 1982, and Brammer in 1982, presented in [1], it can be stated that the linear regression of vibration exposure is a function of the mean variation in the latency period (Lt) and is inversely proportional to the weighted value of ahw acceleration (e.g., Lt = 100/ahw) or the root mean square of weighted acceleration (Lt = 100 ahw−1/2).
The use of natural frequencies for a certain type of vibrating tools, following international standards SR EN ISO 5349/2003, and the analysis of the results obtained from seven studies show that, at weighted acceleration R.M.S. values between 12 and 28 m/s2 and a latency period (Equation (3), in conformity with [1]) between 2 and 5.7 years, the average latency interval Lt is given by the following relationship:
L t = 78.7 / a h w 1.07
For an exposure of this duration, the formula (Lt) is not appropriate to use, as it does not accurately show the period of dominance of the symptoms (in years). In most cases [1], the acceleration aR.M.S of vibration transmission is below 10 m/s2, which this indicates an average latency period or symptom dominance of 50%.
The research by Brammer shows [1] that, for a group of people exposed to vibration and a period of dominance P, the latency interval average is a function of the duration of exposure to vibration. Also, the results obtained depend on the number of people exposed, and, if their number varies (input–output) during the study, the results obtained are not satisfactory [1].
Also, Brammer, in conformity with the data presented in [1], stated that the threshold for evaluating accelerations leading to VWF symptoms is an acceleration aR.M.S of 1 m/s2 for the appearance of symptom dominance in 10% of subjects exposed to vibrations for 30 years and an acceleration aR.M.S of 2.9 m/s2 for symptom dominance in 50% of subjects exposed to vibration for 25 years.
The results of studies by different specialized authors [40,41,42] have demonstrated that decreasing the period of exposure of subjects to vibrations will lead to a reduction in the probability of the appearance of VWF symptoms and, therefore, other ailments.
For these reasons, it is necessary to respect the standard rules regarding people’s exposure to vibrations [9,43] and the design of machines, tools, and work equipment, as well as possibly improve them in relation to the degree of safety of the person exposed to vibrations in the workplace for long periods of time (years). Some studies combine vibrations’ effects on the body with those of noises.

5. Hand–Arm System Standards

The following research emphasizes the importance of hand–arm vibration transmissibility standards and the need to comply with them. The old standard SR EN 5349/86 through Annex A, in conformity with [1], gave us formulas regarding the connection between aR.M.S acceleration at a “weighted energy” exposure of 4 h and the frequency in the dominant axis of vibration before the appearance of the first symptoms of finger whitening. The measurements made according to Equation (4) are illustrated in Table 5 and correspond to a period of symptom dominance for subjects exposed to vibration, between 10% and 50% of whom show symptoms. The weighted acceleration R.M.S. was calculated to be between 2 and 50 m/s2 (the values in parentheses were calculated using Equations (5) and (6) in the following paragraph). The connection between exposure to vibration and weighted acceleration R.M.S is given by Equation (4).
D y y e a r = 31.8 ( A ( 8 ) m / s 2 ) 1.06
Equation (4) is derived from [9] and presents the following:
A(8) is the daily vibration exposure (8 h energy equivalent vibration);
Dy is the group mean total (lifetime) exposure duration, in years.
For example, Table 5 shows that, at daily exposures of 4 h of weighted energy, for 2 years, at a weight acceleration R.M.S. of 14 m/s2, 10% of the people exposed to said vibrations developed symptoms of finger whitening. As the exposure period increased (>10 years) and the aR.M.S decreased (up to 2 m/s2), the percentage of subjects exposed to vibration who reported the appearance of VWF symptoms increased (>30%).
E = 9.5 C 1 / 2 a hw ( 4 )
E = 9.5 a hw ( 4 ) [ C T ( 4 ) t ] 1 / 2
where E = vibration exposure (years) before VWF, and  a h w ( 4 )  has a formula similar to Equation (1), but T(4) = 14,400 s; all equations are in conformity with [1].
The period of exposure to vibrations (E) can be calculated according to Equations (5) and (6) knowing the number of subjects exposed to vibrations (%), the number of years during which they were directly exposed to said vibrations (approximately 9.5 years), and the weighted acceleration R.M.S (ahw), corresponding to 4 h weighted energy.
If the exposure duration and vibration amplitude are constant over time, the dominance is directly proportional to daily exposure to vibration. In conformity with [1] and SR EN ISO 5349/86, an acceleration of 0.8 m/s2 was proposed for a hand’s vibration exposure of 4 h “weighted energy” and a frequency of 16 Hz.
Figure 13 shows the nomogram of the daily exposure to vibrations of people and the exposure related to a “weighted energy” of 4 h (the data were derived from Annex A of SR EN ISO 5349/86).
Research shows that there are major differences between the transmission of vibrations from the chair on which a person sits during work to the hand and the transmission of vibrations from the tool to the hand. In both cases, vibrations are transmitted through tissues in the contact area between the source and the human body. It is known that the transmission of vertical vibrations to the body create disorders of the internal organs of the individual and have a smaller effect on the hands and fingers [1]. Usually, at high amplitudes and frequencies (>250 Hz), horizontal and vertical vibrations are not transmitted to a large extent to the body. These influence the hands, and the exposure limits for them are set by the SR EN ISO 2631/2001 (and in conformity with Directive 2002/44/CE) [44] for weighted acceleration values of 21 m/s1.75.

6. Discussions

In the second part of this review, discussing the means of protection and standardization, it is mentioned from the beginning that we addressed only some studies that had applied protection gloves to the hands of those subjected to vibrations at work [23,24,25,45]. However, a major gap in this field concerns experimental research topics on vibration protection systems other than gloves; this does not refer to mathematical modeling but rather equipment made and tested practically [46].
The topic of this review on the transmission of vibrations from the industrial environment to the hand–arm system and the human body as a whole is a complex, interdisciplinary issue, which is also very varied in terms of approach and the chronology of concerns in this field.
In our review, the studies can be divided into two large categories: (a) one regarding the transmission of vibrations from the source of excitation (the tool), which includes the measurement of vibrations [3,5,8,9,10,14,31,47]; and (b) the second, on the effects that vibrations have over time on the human body [1,9,11,17,26,36,40,48,49,50,51,52]. If we recall Lündström’s studies in 1973, in accordance with [1], it was suggested that the energy absorbed by the hand per unit of time would be a more accurate indication of the severity of vibration transmission than measurements of acceleration aR.M.S. This is in agreement with Adewusi S. [38], who studied the absorption of the vibration power distributed to the hand–arm system at different positions, with the hand fixed to the handle, and measured the absorption of the vibration power generated by the tool.
In relation to this, Gemme G. [53] showed that the transmission of vibrations to the hands produces the condition called white fingers.
According to the data reported by [1] and Reynolds–Lündström, it was also shown that positioning the hand with a bent elbow transmitted fewer vibrations to the shoulder than an outstretched hand. Other works showed results on the vibration transmissibility characteristics of the human hand–arm system with different hand forces and excitation levels, and these were influenced by posture [17,36,38,54,55].
Regarding finger measurement studies or fingerprinting, innovative studies were carried out on the classification of individuals [34]. In a controlled experimental setup, the classification results showed a maximum accuracy of 99%, affirming the feasibility of using human finger vibration responses as a new biometric method for person recognition, establishing a method for measuring biodynamic vibration responses for the hand–arm system [29,30,56,57,58].
Table 6, Table 7 and Table 8 attempt to summarize some important data regarding the values and duration of exposure up until the appearance of the first symptoms of VWF, according to the specialized literature in this field [1].
Therefore, the vibrations transmitted to the hand (hand–arm system) from the vibrating tool or device (Table 7 and Table 8) are influenced by the frequency, the position of the hand, the way the tool is being gripped or pressed, the duration of its use, and other external factors such as the age of the individual, the temperature, the physical and mental state of the person during tool handling, etc.
Regarding the influence of vibrations on the blood system, it can be said that a reduction in the shear forces exerted by the blood on the arterial walls (wall shear stress—WSS) is observed during exposure to vibrations [35,42,60] and “An acute but repeated reduction in WSS can lead to arterial stenosis characteristic of VWF”. Consequently, exposure to high quantities of vibration (>250 Hz), especially high-frequency ones, leads to trans-mission through the hand and further to the elbow, shoulder, and central nervous system, causing visual and audi-tory disturbances over time (Table 8 and Table 9).
Operators of hand-held power tools are exposed to hand-transmitted vibration and the associated potential injuries. A study showed that an extended arm posture should be avoided when operating hand-held power tools because a large vibration power is absorbed by the human hand–arm system under this conditions, which may cause hand–arm injury [50,51,52].
The studies mentioned in [1] led to the emergence of some standards and the establishment of limit and threshold values for hand vibration transmission, specifically for frequencies ranging between 3 and 300 Hz, with the hand positioned on a flat surface.
Regarding the perceptibility of hand vibrations, in conformity with [1] and according to Mishoe and Suggs’ studies in 1974, it was shown that the perceptual sensations of people exposed to vibrations increased with the increase in vibration amplitudes, and they were more pronounced at low frequencies (<40 Hz). These results were obtained by comparing the responses of different people exposed to harmonic and random vibrations, for all three coordinate axes, and the measurements were conducted for the frequency scale from 32 to 2000 Hz.
Conclusions were drawn regarding the maximum amplitude of arm swings with the elbow bent at various angles [61] or the hand outstretched. It was also concluded that ambient temperature, time of the work operation, and posture, all influence the transmission of vibrations [54].
The effects of vibrations in the workplace were analyzed by combining stress factors such as vibrations and noises [26]. The results obtained were compared with those of other studies [58,62,63] and standardization data.
All research studies so far have made valuable contributions regarding vibration transmissibility to hand–arm systems, but what is novel in this paper is the comparison of recent studies to research conducted between the 1980s and 1990s [4]. This paper does not present mathematical models, but only software simulations and experimental analyses given by measurements, in a chronological order.
Observations concern the occurrence of Raynaud’s syndrome or VWF in the hand, which causes the loss of vibrotactile sensitivity and a reduction in the speed of blood circulation in this appendage, producing an unpleasant condition (tingling) and numbness. Exposure at frequencies greater than 250 Hz has been shown to cause serious medical conditions in the hands. Generally, low frequencies of vibrating tools (<50 Hz) cause vibrations of high amplitudes to be transmitted to the hand [36,38,56].
Figure 14 presents some relevant data regarding the estimation of the level of exposure to vibrations in the workplace, given by the weighted acceleration and the exposure time (Table 9) (these data are also presented in the references of the UK HSE).
Therefore, research on the transmission of vibrations to the hand–arm system at work is under continuous development, and specialists in the field, based on the results obtained, publish these data, particularly in the form of tables, after years of study. The data reproduce daily vibration exposure to find an equivalent in points depending on the instrument used to calculate the exposure period, so as to avoid prolonged exposure to occupational vibrations. Thus, data from the Brandon Hire Station, the famous UK tool hire company, based on the ready reckoner table (Figure 14) [64], can help calculate daily vibration exposure (which is equivalent to the vibration exposure period (E) given by Equations (5) and (6) at the vibration level threshold). To complete this calculation, it is necessary to know the vibration magnitude (level) and exposure time. The ready calculator covers a range of vibration magnitudes up to 40 m/s2 and a range of exposure times up to 10 h, and this paper represents points corresponding to a vibration exposure of six hours (or those used by the UK HSE).
The exposure values for different combinations of magnitude of vibration and exposure times are given in exposure points instead of values in m/s2 A(8). This makes it easier to estimate time exposure in points than the A(8) values: exposure points change simply with time, so twice the exposure time means twice the number of points; and exposure points can be added together, for example, when a worker is exposed to two or more different sources of vibration in a day. Therefore, the exposure action value (2.5 m/s2 A(8)) is equal to 100 points, and the exposure limit value (5 m/s2 A(8)) is equal to 400 points.
Table 9 shows that, at 8 h, there are no differences between unweighted and weighted acceleration for a value of 2.8 m/s2, in conformity with [1].
Therefore, depending on whether the vibrations are transmitted by the exciting tool to the palm, fingers, elbow, or shoulder, they create a cumulative effect. If one does not comply with the rules given by SR EN 5349/2003, exposure to vibrations could lead to occupational diseases, among which the most common is VWF.

Remarks on Research in This Field

Generally, papers in this field of research detail topics that have already been presented by other researchers but to which continuous changes are made, such as the tools through which measurements are made, the position of the trunk and hand, the measurement duration, the group of subjects (varying in number, age, occupation, or nationality) [14,20,65,66,67], the influence of other external factors, and the importance of skin and blood tissues in their transmission [35,60]. A less frequently discussed topic in these studies is vibration transmission among female groups (e.g., dentistry field), because these jobs are often occupied by men.
Current research also discusses theoretical modeling and simulations, alongside concerns regarding the improvement of anti-vibration materials, particularly for gloves and other protective equipment. While this review does not concentrate on these aspects, it would be worthwhile to discuss them as well. A novelty compared to the 1980s is the fact that current studies include contributions related to vibration measurements, including the development of more accurate measurement methods, such as laser vibrometers.
New vibration assessment methods have been developed through biometric methods, contributing to the identification of the finger area and the vibration pressure applied by the shape of the handles or the tools used, alongside possible ergonomic considerations to improve them [39] Additionally, biometric studies have also been developed, making it possible to identify a person through these methods [34].
Papers determining the anthropometric parameters of hand–arm systems are also innovative, making major contributions to the understanding of symptoms caused by vibrations in the hand, particularly in the sanguine vessels and nervous system for the palm and fingers.
Very promising contributions might be made by increasing the amount of research on the design and implementation of vibration dissipation equipment for the hand–arm system [46] (with the exception of gloves, which are continuously being researched). This is because the vibrations that are transmitted to humans in the work environment could be picked up and dissipated through this equipment, leading to the minimization of vibrations and implicitly preventing occupational diseases. Simulations are very important for this, but particularly important is the experimental component, regarding hand–arm systems. Research on this topic is quite weak, as, although many studies present theoretical, simulated, linear, and non-linear models, these are not being validated in significant proportions by practice. Currently, protective gloves are almost the only protective equipment able to dissipate mechanical vibrations transmitted to the hand (all presented devices, which are few in number, are uncomfortable either due to their materials or wearability) [25,68]. Even gloves reduce the operator’s dexterity and sense of touch while carrying out operations. A different strategy on the market involves audio-warning kits that signal the operator when the permissible limits of vibration exposure have been exceeded [9,10]. This type of equipment can, for example, collect data via Bluetooth and transmit them to another device component of the warning kit. The advantage is that this type of protective equipment is light and maneuverable, but its disadvantages include the higher cost of purchase.
Therefore, more studies using an experimental design are required to demonstrate and validate vibration-dissipating equipment for the hand–arm system in terms of functional and ergonomic factors. The majority of existing studies compare the obtained measurement values with the vibration standards [47]. Therefore, if the equipment is difficult to wear and handle, it will be avoided by the operator (as in the case of gloves [24,25], because they reduce hand perceptivity), even if its protective aim is to minimize vibrations. In this context, the risk of transmitting large mechanical vibrations to a person will increase.

7. Conclusions

This review paper aims to contribute through an analysis of research from 1980 to 2024 in the field of vibrations transmitted to hand–arm systems, without claiming to be all-inclusive. The reason for this is that the field is extremely vast, with previous studies being concerned with the transmission of vibrations and the occurrence of occupational diseases [1], and the most recent ones nominally dealing with more specific aspects (for example, the transmission of vibrations to the hand by the force of grip [36,55] of the hand and the working tool [14,17,42,47,69], etc., comparisons with the standards [5,6,7,8,9,10], or aspects of vibration measurement [58,63,70]).
These conclusions can be divided into two parts, one regarding the standardization of vibration transmission to the hand–arm system and the other regarding the use of gloves.
In the first instance, studies in the specialized literature in this field [1,2,3,4,5,6,7,8,9,10,11,12,13,14,15,16,17,18,19,20,21,22,23,24,25,26,27,28,29,30,31,32,33,34,35,36,37,38,39,40,41,42,43,44,45,46,47,48,49,50,51,52,53,54,55,56,57,58,59,60,61,62,63,64,65,66,67,68,69,70,71,72,73,74,75,76,77,78,79,80,81,82,83,84,85,86,87,88], as well as others, have shown over time that mechanical vibrations are transmitted to the human body and, in particular, to the hand–arm system through the use of vibrating devices and machines, and their complete elimination is not a viable solution.
Research is under continuous development in this field: for example, Adewusi S. [38], Griffin M. J. [4], Dong R.G. [16], and others have studied vibration absorption power [17,82] and apparent mass or mechanical impedance. Also, studies by Palmer K. T. [1], Bovenzi M. [35,41], Brammer A. J., [37,50], Lünström R. [59], Griffin M.J. [3,4], Pelmear P. L. [86], and others have shown the effects of vibration on people in the workplace. Griffin M.J.’s and C. M. Harris’s books [2,4] are a compendium on the transmissibility of vibrations to the human body (or hand–arm system) [41,48,51,52,55,76,77,80,81,85,87]. This is why the studies in this review present comparative results regarding vibrations measured on hand–arm systems and existing standards, such as 5349/2003. These studies show how to minimize the vibration transmitted to a person in the workplace. At present, the use of gloves is recommended.
The types of materials from which these gloves are made are still under study [23,25,45] to obtain equipment that absorbs as little power as possible during the use of vibrating tools [14,15,17,42,83].
Hence, there is a need for thresholds regarding the duration of exposure to vibrations, such as compliance with standards limiting people exposure [5,6,7,8,9,10], alongside the need to wear and use protective equipment against said vibrations [24,25].
This is also the reason why researchers have contributed to vibration reduction by making improvements to existing protective equipment. For instance, vibration dissipation equipment [46] is being designed so as to dissipate vibrations, preventing them from reaching a large proportion of the elbow, shoulder, and head.
In addition, three previously highlighted aspects should be taken into account, as well as conclusions regarding the risks which may arise as a result of prolonged exposure to vibrations at the workplace.
Employers should respect the threshold values imposed by the standards regarding human exposure to vibrations in the workplace [5,6,7,8] (outlined in SR EN 5349/2001 and the subsequent amendments introduced in 2003 regarding vibration exposure and the transmission of vibrations to the hand–arm system, as well as SR EN 2631/2001, regarding vibrations transmitted to the human body).
Compliance with the vibration thresholds given by the above standards creates a comfortable state for those exposed to vibrations during work, without causing a deterioration of their health and instead leading to higher work productivity [3,11,23,26,31,36,40,48,49,50,51,52,55,86,87].
These vibration limits are established through standardization, which means having benchmarks for comparison so that human subjects are not exposed to vibrations around these thresholds, which are considered dangerous from the point of view of health deterioration. This does not guarantee that, with repeated exposure to vibrations at values below these limits, the state of health of the exposed person will not be affected over time [1,4].
It can be observed that the protection of people exposed daily to vibrations in the workplace is evaluated under strict standards regarding the duration of exposure [1,5,6,7,8,10], the acceleration amplitude, protective equipment, and periodic checks of the health of the individual exposed to them.
There are three standard directions regarding the exposure of a person to vibration, developed by the European Committee for Standardization (CEN) [1], which have been applied since the 1990s. They are concerned with the response of the human body to the action of vibration and are continuously improving [23] by, for instance, establishing general protection limits and safety limit values for devices and work tools and taking individual measures to protect the worker (e.g., using gloves).
Gloves are important work protection equipment for vibration reduction. Research however should aim to gather existing results for the various fingers, including the index finger’s mechanical properties and anatomical structure, which could be used to evaluate and validate experimental and in silico models in the future [33].
It has been estimated by studies that a daily vibration exposure of 4–8 h/day “weighted energy” will develop a symptom latency period of 10–20 years before the appearance of the first symptoms of the condition in question. A study was carried out on a group of people in whom the appearance of the first symptoms of the condition (10%) was observed after these years, in conformity with [1].
Anticipation of the latency period in 30%, 40%, and 50% of subjects exposed to vibration led to the appearance of the first symptoms of finger whitening after a period of daily vibration exposure to only 4 h/day “weighted energy” [1]. For an easier understanding of the results expressed by other researchers in this field, they have been presented in Figure 15.
Figure 15 shows a comparison between the probability of the occurrence of ailments caused by a one-week exposure of people to vibrations [%] for different workplaces over ten years (1991–2000). There is an increase in symptoms of professional illness for builders as the construction industry gains momentum.
Figure 16 represents a comparison between measurements taken 10 years apart of the vibrations that are transmitted to the hand in an industrial environment, for a common frequency scale of 15–30 Hz. It can be observed that, at frequencies lower than 15 Hz, the vibration, either due to absorption or impedance, is high, which also validates the studies carried out in the 1990s by Palmer [1].
The higher the gripping force [36,55], the higher the absorption; the results are in accordance with Adevusi S. (2013) [17] and the data presented in Table 7.
All countries have legislative measures to prevent illness among professionals working with vibration sources [5,6,7,8,62,67,88]. Also, measures are provided to reduce vibrations in work machines starting from the design phase. As mentioned earlier, in terms of hand protection against the transmission of vibrations from exciting sources, only gloves are currently available [23,45].
Some states provide, within their legislation, conditions for when occupational illness at work is caused by the employer’s noncompliance with the law (exposure time, protective equipment), allowing the injured person to ask for compensation (financial or material).
Other research instead focuses on developing and evaluating a new methodology for the assessment of finger-borne vibrations, including the vibration test facility and measurement protocol [18,43,48,49,57,71,72,74,76,77,78,82].
Another strategy is to develop a finite-element model of the proximal finger system to help evaluate measurement methods and validate physical models of the fingers.
Yet another research direction involves performing various measurements on human participants to study the effect of aspects of finger-transmitted vibrations [35,52,88] in relation to VWF and be used for finger model validation.
In conformity with [39], only one postures was available in the case of a rotatable main handle. The postural effect was evaluated objectively with electromyography and a force-sensing resistor-based force glove.
Other studies instead focus on the development and validation of an artificial finger model to serve as an experimental test bench for the evaluation of finger-transmitted vibrations [59]. This will reproduce both the loading and vibration behaviors of the human finger system.
The studies based on Ref. [33] use the results to test the artificial finger model, evaluate its ability, and measure the effect of using anti-vibration gloves, which will lead to the development of new materials for gloves; this line of research has been validated by [23], among others.
In conclusion, this review paper aimed to show that vibrations are part of people’s professional life, especially in certain work environments, where prolonged exposure to them must be avoided (mining, construction) [62,88].
All the studies carried out so far have demonstrated and validated the fact that, at low frequencies—below 25 Hz—vibrations are transmitted more than at higher frequencies, but there is also a limit of up to 250 Hz, above which vibrations are strongly felt.
Likewise, posture, grip strength, sex, physical condition, and other factors can influence their transmission. In this sense, new methods of approaching their measurements and testing the limit threshold are being developed (in compliance with the SR EN 5349/2003 standard).
Improvements are also being made to the materials from which protective gloves are created, which are currently the only method of reducing the transmission of vibrations further along the forearm and fingers [68,75].
Specialty studies show that there are more and more mathematical models for equipment, which theoretically show how these products could minimize the transmission of vibrations along the arm. The only drawbacks of research in this field are the experimental realization and validation of theoretical results regarding the protective equipment. In addition, such works are, unfortunately, extremely rare to come by.

Author Contributions

Conceptualization, A.F.C.; methodology, S.H.; software, M.C.B.; validation, A.F.C.; formal analysis, S.H.; investigation, A.F.C., S.H. and M.C.B.; resources, A.F.C.; writing—original draft preparation, A.F.C. and M.C.B.; writing—review and editing, A.F.C.; visualization, A.F.C.; and supervision, A.F.C. All authors have read and agreed to the published version of the manuscript.

Funding

This research received no external funding.

Conflicts of Interest

The authors declare no conflicts of interest.

References

  1. Palmer, K.T.; Griffin, M.J.; Syddall, H.E.; Pannett, B.; Cooper, C.; Coggon, D. Research Report—Hand-Transmitted Vibration: Occupational Exposure and Their Health Effects in Great Britain; University of Southampton: Southampton, UK, 1991. [Google Scholar]
  2. Harris, C.M.; Piersol, A.G. Shock and Vibration Handbook, 5th ed.; Columbia University: New York, NY, USA, 2002; p. 1456. [Google Scholar]
  3. Griffin, M.J. Hand—Transmitted Vibration: Ocupational Exposures and Their Health Effects in Great Britain; University of Southampton: Southampton, UK, 1999; pp. 218–228. Available online: https://ouci.dntb.gov.ua/en/works/V40zbBy9/ (accessed on 14 November 2024).
  4. Griffin, M.J. Handbook of Human Vibration; Southampton University: Southampton, UK, 1996; p. 800. [Google Scholar]
  5. SR ISO 15230-1-2021; Mechanical Vibration and Shock. Coupling Forces at the Man—Machine Interface for Hand—Transmitted Vibration—Part 1: Measurement and Evaluation. ISO: Geneva, Switzerland, 2021.
  6. SR CR 1030-2-2000; Hand-Arm Vibrations. Indications for Reducing the Risk of Vibration. Part 2: Preventive Measures at Work. ISO: Geneva, Switzerland, 2000.
  7. SR ISO 13753-1998; Mechanical Vibration and Shock—Hand—Arm Vibration—Method for Measuring the Vibration Transmissibility of Resilient Materials When Loaded by the Hand—Arm System. ISO: Geneva, Switzerland, 1998.
  8. SR ISO 7505-1985; Forestry Machines. Chainsaws. Measurement of Vibrations Transmitted by the Hand. ISO: Geneva, Switzerland, 1985.
  9. SR EN 5349-2-2003; Mechanical Vibrations. Measurement and Evaluation of Human Exposure to Vibrations Transmitted by the Hand. Part 2: Practical Guidelines for Measurement at Work. ISO: Geneva, Switzerland, 2003.
  10. SR EN 5349-1-2003; Mechanical Vibrations. Measurement and Evaluation of Human Exposure to Vibrations Transmitted by the Hand. Part 1: General Requirements. ISO: Geneva, Switzerland, 2003.
  11. Halmai, B.; Holsgrove, T.P.; Vine, S.J.; Harris, D.J.; Williams, G.K.R. The after—Effects of occupational whole-body vibration on human cognitive, visual, and motor function: A systematic review. Appl. Ergon. 2024, 118, 104264. [Google Scholar] [CrossRef] [PubMed]
  12. Wu, M.; Jia, S.; Lin, Z. An Experimental Study on the Vibration Transmission Characteristics of Wrist Exposure to Hand Transmitted Vibration. Appl. Sci. 2022, 12, 2232. [Google Scholar] [CrossRef]
  13. Cristea, A.F. Theoretical interpretations concerning the stability of the human hand—Arm system at low frequencies, system comparative with a mechanical system. Acta Tech. Napoc. 2019, 63, 405–410. [Google Scholar]
  14. Niekerk, J.L.; Heyns, P.S.; Heyns, M.; Hassall, J.R. The measurement of vibration characteristics of mining equipment and impact percussive machines and tools. J. S. Afr. Inst. Min. Metall. 1999, 235–242. [Google Scholar]
  15. Greenslade, E.; Larsson, T.J. Reducing vibration exposure from hand—Held grinding, sanding and polishing power tools by improvement in equipment and industrial processes. Saf. Sci. 1997, 25, 143–152. [Google Scholar] [CrossRef]
  16. Dong, R.G.; Wu, J.Z.; Welcome, D.E.; McDowell, T.W. Estimation of Vibration Power Absorption Density in Human Fingers. J. Biomech. Eng. 2005, 127, 849–856. [Google Scholar] [CrossRef] [PubMed]
  17. Adewusi, S.; Rakheja, S.; Marcotte, P.; Thomas, M. Distributed vibration power absorption of the human hand—Arm system in different postures coupled with vibrating handle and power tools. Engineering 2013, 43, 363–374. [Google Scholar] [CrossRef]
  18. Wu, J.Z.; Dong, R.G.; Welcome, D.E.; Xu, X.S. A method for analyzing vibration power absorption density in human fingertip. J. Sound Vib. 2010, 329, 5600–5614. [Google Scholar] [CrossRef]
  19. Cristea, A.F. Sensitivity to mechanical vibrations, Methods of attenuation. In MediTech 2020—7th International Conference Advancements of Medicine and Health Care Through Technology, 7th ed.; Springer: Cluj-Napoca, Romania, 2020; Chapter 37; Volume 88, pp. 321–330. Available online: https://link.springer.com/book/10.1007/978-3-030-93564-1 (accessed on 14 November 2024).
  20. Miyashita, K.; Tomida, K.; Morioka, I.; Sasaki, T.; Iwata, H. Health surveillance of forestry workers exposed to hand—Arm vibration in Wakayama in Japan from 1974 to 1996. In Proceedings of the Eight International Conference on Hand—Arm Vibration, Umeå, Sweden, 9–12 June 1998; Arbetslivsinstitutet: Umeå, Sweden, 1998; pp. 91–93. [Google Scholar]
  21. Pinto, I.; Staccini, N.; Bovenzi, M. Usefulness of vibration emission declarations in the management of hand—Arm vibration risk at the work—Place: Grinding machine. In Proceedings of the Eight International Conference on Hand—Arm Vibration, Umeå, Sweden, 9–12 June 1998; Arbetslivsinstitutet: Umeå, Sweden, 1998; pp. 87–89. Available online: http://nile.lub.lu.se/arbarch/arb/1998/arb1998_14.pdf (accessed on 14 November 2024).
  22. Carlstedt-Duke, B.; Nilsson, B.Y.; Swerup, C.; Söderström, A.M.; Kolmodin, H.B. Vibration syndrome among Swedish workers: A follow-up study from 1989–1995. In Proceedings of the Eight International Conference on Hand—Arm Vibration, Umeå, Sweden, 9–12 June 1998; Arbetslivsinstitutet: Umeå, Sweden, 1998; pp. 69–71. [Google Scholar]
  23. Dong, R.G.; Rakheja, S.; Smutz, A.; Schopper, D.W.; Wu, J.Z. Effectiveness of a new method (TEAT) to assess vibration transmissibility of gloves. Int. J. Ind. Ergon. 2002, 30, 33–48. [Google Scholar] [CrossRef]
  24. Paddan, G.S.; Griffin, M.J. Effect of push force on the transmission of shear vibration through gloves. In Proceedings of the Eight International Conference on Hand—Arm Vibration, Umeå, Sweden, 9–12 June 1998; Arbetslivsinstitutet: Umeå, Sweden, 1998; pp. 101–103. [Google Scholar]
  25. Kotton, J.; Kowalski, P.; Szopa, J. An attempt to construct antivibration gloves on the basic of information on the vibration transmissibility of materials. In Proceedings of the Eight International Conference on Hand—Arm Vibration, Umeå, Sweden, 9–12 June 1998; Arbetslivsinstitutet: Umeå, Sweden, 1998; pp. 95–97. Available online: http://nile.lub.lu.se/arbarch/arb/1998/arb1998_14.pdf (accessed on 14 November 2024).
  26. Sisto, R.; Botti, T.; Cerini, L.; Di Giovanni, R.; Marchetti, E.; Lunghi, A.; Sacco, F.; Sanjust, F.; Tirabasso, A.; Moleti, A. Synergistic effects of noise and hand—Arm vibration on distortion product otoacoustic emissions in healthy subjects. Int. J. Ind. Ergon. 2017, 62, 48–54. [Google Scholar] [CrossRef]
  27. Amaro, A.; Paulino, M.F.; Neto, M.A.; Roseiro, L. Hand—Arm Vibration Assessment and Changes in the Thermal Map of the Skin in Tennis Athletes during the Service, Engineering, Medicine. Int. J. Environ. Res. 2019, 16, 5117–5126. [Google Scholar]
  28. BS 5228-2:2009+A1:2014; Code of Practice for Noise and Vibration Control on Construction and Open Sites—Vibration. BSI Knowledge: Online, 2009.
  29. Dong, R.G.; Welcome, D.E.; Wu, J.Z. Frequency weightings based on biodynamics of fingershand—Arm system. Ind. Health 2005, 43, 516–526. [Google Scholar] [CrossRef] [PubMed]
  30. Xu, X.S.; Welcome, D.E.; McDowell, T.W.; Wu, J.Z.; Wimer, B.; Warren, C.; Dong, R.G. The vibration transmissibility and driving—Point biodynamic response of the hand exposed to vibration normal to the palm. Eng. Med. Int. J. Ind. Ergon. 2011, 41, 418–427. [Google Scholar] [CrossRef]
  31. Maeda, S.; Yonekawa, Y.; Kanada, K.; Takahashi, Y. Effect of push forces on vibrotactile thresholds measurement. In Proceedings of the Eight International Conference on Hand—Arm Vibration, Umeå, Sweden, 9–12 June 1998; Arbetslivsinstitutet: Umeå, Sweden, 1998; pp. 41–43. [Google Scholar]
  32. Marrone, F.; Massotti, C.; Goggins, K.A.; Eger, T.R.; Marchetti, E.; Bovenzi, M.; Tarabini, M. Comparison between the Biomechanical Responses of the Hand and Foot When Exposed to Vertical Vibration. Proceedings 2023, 86, 34. [Google Scholar] [CrossRef]
  33. Almagirby, A. Understanding Vibration Transmitted to the Human Finger. Ph.D. Thesis, University of Sheffield, Sheffield, UK, 2016. Available online: https://etheses.whiterose.ac.uk/17293/ (accessed on 14 November 2024).
  34. Goggins, K. Measuring and Modelling Human Response to Foot-Transmitted Vibration Exposure. Ph.D. Thesis, Laurentian University Sudbury, Sudbury, ON, Canada, 2019; p. 184. [Google Scholar]
  35. Bovenzi, M.; Alessandrini, B.; Mancini, R.; Canava, M.G.; Centi, L. Vibration white finger and finger systolic blood pressure after cold provocation in chain saw operators: A follow up study. In Proceedings of the Eight International Conference on Hand—Arm Vibration, Umeå, Sweden, 9–12 June 1998; Arbetslivsinstitutet: Umeå, Sweden, 1998; pp. 73–75. Available online: http://nile.lub.lu.se/arbarch/arb/1998/arb1998_14.pdf (accessed on 14 November 2024).
  36. Revilla, J.A.; Loh, P.; Muraki, S. Effects of two grip force levels and forearm postures on hand-arm transmitted vibration and physiological responses. Eng. Med. Hum. Factors Ergon. Manuf. 2021, 31, 679–692. [Google Scholar] [CrossRef]
  37. Brammer, A.J.; Piercy, J.E. Rationale formeasuring vibrotactile perception at the fingertips as proposed for standardisation in ISO CD 13091-1. In Proceedings of the Eight International Conference on Hand—Arm Vibration, Umeå, Sweden, 9–12 June 1998; Arbetslivsinstitutet: Umeå, Sweden, 1998; pp. 37–39. [Google Scholar]
  38. Adewusi, S.; Rakheja, S.; Marcotte, P.; Boutin, J. Vibration transmissibility characteristics of the human hand–arm system under different postures, hand forces and excitation levels. Eng. Acoust. Eng. Vib. 2010, 329, 2953–2971. [Google Scholar] [CrossRef]
  39. Reinvee, M.; Aia, S.; Pääsuke, M. Ergonomic Benefits of an Angle Grinder with Rotatable Main Handle in a Cutting Task, Engineering. Hum. Factors 2019, 61, 1112–1124. [Google Scholar] [CrossRef]
  40. Revilla, J.A.; Priadythama, I.; Loh, P.; Muraki, S. Effects of various handle shapes and surface profiles on the hand—Arm responses and comfort during short—Term exposure to handle vibration. Eng. Environ. Sci. J. Occup. Environ. Hyg. 2022, 19, 353–369. [Google Scholar] [CrossRef] [PubMed]
  41. Bovenzi, M. Epidemiologic aspects of the exposure—Response relationship in the hand—Arm vibration syndrome. In Proceedings of the Eight International Conference on Hand—Arm Vibration, Umeå, Sweden, 9–12 June 1998; Arbetslivsinstitutet: Umeå, Sweden, 1998; pp. 67–69. [Google Scholar]
  42. Gerhardsson, L.; Balogh, I.; Hambert, P.A.; Hjortsberg, U.; Karlsson, J.E.; Lundborg, G. Vascular and nerve damages at exposure to vibrating tools related to the ISO norm 5349, Appendix A. In Proceedings of the Eight International Conference on Hand—Arm Vibration, Umeå, Sweden, 9–12 June 1998; Arbetslivsinstitutet: Umeå, Sweden, 1998; pp. 117–119. [Google Scholar]
  43. Armstrong, T.; Martin, B. Upper limb disorders associated with manual work and hand—Transmitted vibration. In Proceedings of the Eight International Conference on Hand—Arm Vibration, Umeå, Sweden, 9–12 June 1998; Arbetslivsinstitutet: Umeå, Sweden, 1998; pp. 1–2. [Google Scholar]
  44. Directive 2002/44/EC of the European Parliament and of the Council of 25 June 2002 on the Minimum Health and Safety Requirements Regarding the Exposure of Workers to the Risks Arising from Physical Agents (Vibration) (Sixteenth Individual Directive within the Meaning of Article 16(1) of Directive 89/391/EEC)—Joint Statement by the European Parliament and the Council. Available online: https://www.ilo.org/media/409921/download (accessed on 14 November 2024).
  45. Reynolds, D.D.; Steiner, J.K. Evaluation of the test procedures for testing antivibration gloves using ISO Standard 10819 and recomandations for modifications to the standard. In Proceedings of the Eight International Conference on Hand—Arm Vibration, Umeå, Sweden, 9–12 June 1998; Arbetslivsinstitutet: Umeå, Sweden, 1998; pp. 93–95. Available online: http://nile.lub.lu.se/arbarch/arb/1998/arb1998_14.pdf (accessed on 14 November 2024).
  46. Pop (Cristea), A.F.; Arghir, M. Vibration Dampening Device Attached to the Human Operator’s Hand—Arm System. Patent No. 128900/2018, 14 July 2000. [Google Scholar]
  47. De Mester, M.; De Muynck, W.; De Bacquer, D.; De Loof, P. Reproducibility and value of hand—Arm vibration measurements using the ISO 5349 method and compared to a recently developed method. In Proceedings of the Eight International Conference on Hand—Arm Vibration, Umeå, Sweden, 9–12 June 1998; Arbetslivsinstitutet: Umeå, Sweden, 1998; pp. 11–13. Available online: http://nile.lub.lu.se/arbarch/arb/1998/arb1998_14.pdf (accessed on 14 November 2024).
  48. Ahmet, E.Ö.; Huseyin, L.; Sevda, T.Ç. The Development of an Innovative Occupational Passive Upper Extremity Exoskeleton and an Investigation of Its Effects on Muscles. Appl. Sci. 2023, 13, 6763. [Google Scholar] [CrossRef]
  49. Griffin, M.J. Standards for the evaluation of hand—Transmitted vibration and the prevention of adverse effects. In Proceedings of the Eight International Conference on Hand—Arm Vibration, Umeå, Sweden, 9–12 June 1998; Arbetslivsinstitutet: Umeå, Sweden, 1998; pp. 77–79. [Google Scholar]
  50. Brammer, A.J.; Taylor, W. An investigation of chipping hammer vibration. In Vibration Effects on the Hand and Arm in Industry; John Wiley & Sons: New York, NY, USA, 1982; p. 376. [Google Scholar]
  51. Martin, B.J.; Saltzman, J.; Elders, G. Effects of hand vibration frequency and duration on eye—Hand coordination in pointing tasks. In Proceedings of the Eight International Conference on Hand—Arm Vibration, Umeå, Sweden, 9–12 June 1998; Arbetslivsinstitutet: Umeå, Sweden, 1998; pp. 59–61. [Google Scholar]
  52. Christophe, N.; Settembre, N.; Maha, R.; Jacquet, E. A Multiscale Approach for Predicting Certain Effects of Hand—Transmitted Vibration on Finger Arteries. Eng. Med. Vib. 2022, 5, 213–237. [Google Scholar]
  53. Gemme, G. Vibration—Induced white fingers—Knowledge deficits. In Proceedings of the Eight International Conference on Hand—Arm Vibration, Umeå, Sweden, 9–12 June 1998; Arbetslivsinstitutet: Umeå, Sweden, 1998; pp. 17–19. Available online: http://nile.lub.lu.se/arbarch/arb/1998/arb1998_14.pdf (accessed on 14 November 2024).
  54. Newell, H.; Mansfield, G.S.N.J. Influence of posture and multi—Axis vibration on reaction time performance and perceived workload. In 41st United Kingdom Group Meeting on Human Responses to Vibration, UK; Department of Human Science, University of Loughborough: Loughborough, UK, 2005; p. 13. [Google Scholar]
  55. Zhang, W.; Li, H.; Dong, J.; Qin, Z.; Xu, H.; Shang, Y. An investigation of the Effect of Hand—Arm Posture and Grip Force on Vibration Transmission Rate of Human Hand—Arm System, Agricultural and Food Sciences. Eng. Iran. J. Sci. Technol. 2022, 46, 667–677. [Google Scholar]
  56. Hida, N.; Abid, M.; Lakrad, F. Nonlinear Biodynamic Models of the Hand-arm System and Parameters Identification using the Vibration Transmissibility or the Driving-point Mechanical Impedance. J. Appl. Comput. Mech. 2021, 7, 944–955. [Google Scholar]
  57. Dong, R.; Welcome, D.J.; Wu, Z. Estimation of biodynamic forces distributed on the fingers and the palm exposed to vibration. Eng. Ind. Health 2005, 43, 485–494. [Google Scholar] [CrossRef]
  58. Pan, D.; Xu, X.S.; Welcome, D.E.; McDowell, T.W.; Warren, C.; Wu, J.; Dong, R.G. The relationships between hand coupling force and vibration biodynamic responses of the hand—Arm system. Ergonomics 2018, 61, 818–830. [Google Scholar] [CrossRef]
  59. Lünström, R.; Lindmark, A.; Widman, L.; Jacobsson, B. Comparison of thermal perception thresholds on the fingertip for vibration exposed and controls. In Proceedings of the Eight International Conference on Hand—Arm Vibration, Umeå, Sweden, 9–12 June 1998; Arbetslivsinstitutet: Umeå, Sweden, 1998; pp. 53–55. Available online: http://nile.lub.lu.se/arbarch/arb/1998/arb1998_14.pdf (accessed on 14 November 2024).
  60. Olsen, N. Finger systolic blood pressure during cooling in VWF; value of different diagnostic categories for a routine test method. In Proceedings of the Eight International Conference on Hand—Arm Vibration, Umeå, Sweden, 9–12 June 1998; Arbetslivsinstitutet: Umeå, Sweden, 1998; pp. 17–19. [Google Scholar]
  61. Donkers, M.J.; An, K.; Chao EY, S.; Morrey, B.F. Hand position affects elbow joint load during push—Up exercise. Biomechanics 1993, 26, 625–632. [Google Scholar] [CrossRef] [PubMed]
  62. Haines, T.; Julian, J.; Verral, B. Quality of life and work in nickel miners and smelter workers: Symptomatic and aesth esiometric correlates. In Proceedings of the Eight International Conference on Hand—Arm Vibration, Umeå, Sweden, 9–12 June 1998; Arbetslivsinstitutet: Umeå, Sweden, 1998; pp. 63–65. [Google Scholar]
  63. Xu, X.S.; Welcome, D.E.; McDowell, T.W.; Warren, C.; Lin, H.; Xiao, B.; Chen, Q.; Dong, R.G. Characterizing vibration responses of a handheld workpiece and the hand–arm system. J. Low Freq. Noise Vib. Act. Control 2021, 40, 802–822. [Google Scholar] [CrossRef]
  64. Available online: https://brandonhirestation.com/health-and-safety/hand-arm-vibration-syndrome (accessed on 15 July 2024).
  65. Urban, P.; Lukas, E. Occupational diseases due to hand—Arm vibration in the Czech Republic in the year 1997. In Proceedings of the Eight International Conference on Hand—Arm Vibration, Umeå, Sweden, 9–12 June 1998; Arbetslivsinstitutet: Umeå, Sweden, 1998; pp. 153–155. [Google Scholar]
  66. Palmer, K.T.; Griffin, M.J.; Bendall, H.; Pannett, B.; Coggon, D. Prevalence and pattern of occupational exposure to hand transmitted vibration in Great Britain: Findings from a national survey. Occup. Environ. Med. 2000, 57, 218–228. [Google Scholar] [CrossRef]
  67. Sutinen, P.; Koskimies, K.; Aalto, H.; Starck, J.; Pyykkö, I. Shoulder and elbow musculosceletal disorders in forest workers exposed to hand—Arm vibration. In Proceedings of the Eight International Conference on Hand—Arm Vibration, Umeå, Sweden, 9–12 June 1998; Arbetslivsinstitutet: Umeå, Sweden, 1998; pp. 61–63. Available online: http://nile.lub.lu.se/arbarch/arb/1998/arb1998_14.pdf (accessed on 14 November 2024).
  68. Kaulbars, U. Main parameters influencing damping performance of resilient material. In Proceedings of the Eight International Conference on Hand—Arm Vibration, Umeå, Sweden, 9–12 June 1998; Arbetslivsinstitutet: Umeå, Sweden, 1998; pp. 105–107. [Google Scholar]
  69. Howarth, H.; Pitts, P.M.; Fischer, S. Guide to Good Practice on Hand—Arm Vibration. Non—Binding Guide to Good Practice with a View to Implementation of Directive 2002/44/EC on the Minimum Health and Safety Requirements Regarding the Exposure of Workers to the Risks Arising from Physical Agents (Vibrations). Saf. Eng. 2006, 1–61. Available online: https://eprints.soton.ac.uk/43480/ (accessed on 26 December 2024).
  70. Hirata, M.; Sakakibara, H.; Toibana, N. Medial plantar nerve conduction velocities among patients with vibration syndrome due to chain—Saw working. In Proceedings of the Eight International Conference on Hand—Arm Vibration, Umeå, Sweden, 9–12 June 1998; Arbetslivsinstitutet: Umeå, Sweden, 1998; pp. 125–127. [Google Scholar]
  71. Akmar, S.; Aziz, A.; Nuawi, M.; Nor, M. Monitoring of hand—Arm vibration. Int. J. Acoust. Vib. 2017, 22, 34–43. [Google Scholar]
  72. Lin, H.; Boileau, P.; Jiang, Y.; Yan, M.; Xiao, B. Investigating the Relationship between Coupling Forces and Hand—Transmitted Vibration under Varying Excitation Levels. J. Sound Vib. 2022, 329, 2953–2971. [Google Scholar] [CrossRef]
  73. Available online: https://www.ohsas-experts.ro/expunerea-la-vibratii/ (accessed on 15 March 2024).
  74. Yusoff, S.M. Clustering classification and human perception of automative steering wheel transient vibrations, Dissertation submitted in partial fulfilment for the degree of Doctor of Philosophy. In College of Engineering, Design and Physical Sciences; Brunel University: London, UK, 2017; pp. 1–215. [Google Scholar]
  75. Gerhardsson, L.; Balogh, I.; Scheuer, J.; Voss, P.; Ǻkesson, I. Can new materials give a better protection from hand—Arm vibration exposure? In Proceedings of the Eight International Conference on Hand—Arm Vibration, Umeå, Sweden, 9–12 June 1998; Arbetslivsinstitutet: Umeå, Sweden, 1998; pp. 119–121. [Google Scholar]
  76. Ando, H.; Ishitake TMiyazaki YKano, M.; Tsutsumi, A.; Matoba, T. Palmar sweating reaction to vibration stress. In Proceedings of the Eight International Conference on Hand—Arm Vibration, Umeå, Sweden, 9–12 June 1998; Arbetslivsinstitutet: Umeå, Sweden, 1998; pp. 31–32. Available online: http://nile.lub.lu.se/arbarch/arb/1998/arb1998_14.pdf (accessed on 14 November 2024).
  77. Honma, H.; Kaji, H.; Kobayashi, T.; Yasuno, Y.; Saito, K.; Bossnev, W.; Fujino, A.; Tsutsui, T. Eight cases of HAV syndrome with arterial lesions of lower extremities. In Proceedings of the Eight International Conference on Hand—Arm Vibration, Umeå, Sweden, 9–12 June 1998; Arbetslivsinstitutet: Umeå, Sweden, 1998; pp. 21–23. Available online: http://nile.lub.lu.se/arbarch/arb/1998/arb1998_14.pdf (accessed on 14 November 2024).
  78. Hyewon YJ, W.B.; Jae-Hak, J.; Yong-Hwa, P. Feasibility study on person identification utilizing frequency response functions of human fingers. J. Sound Vib. 2023, 568, 118055. [Google Scholar]
  79. Gabasa, S.A.A.; Razali, K.A.; As’arry, A.; Jalil, N.A.A. Vibration Transmitted to the Hand by Backpack Blowers, Engineering, Agricultural and Food Sciences. Int. J. Automot. 2019, 16, 6697–6705. [Google Scholar] [CrossRef]
  80. Lindsell, C.J.; Griffin, M.J. A standardised test battery to detect neurological and vascular components of the hand—Arm vibration syndrome. In Proceedings of the Eight International Conference on Hand—Arm Vibration, Umeå, Sweden, 9–12 June 1998; Arbetslivsinstitutet: Umeå, Sweden, 1998; pp. 39–41. [Google Scholar]
  81. Tomida, K.; Miyashita, K.; Morioka, I.; Miyai, N.; Kuriyama, J.S. Evaluation of treshold of vibratory sensation by cold provocation test for diagnosis of vibration syndrome. In Proceedings of the Eight International Conference on Hand—Arm Vibration, Umeå, Sweden, 9–12 June 1998; Arbetslivsinstitutet: Umeå, Sweden, 1998; pp. 151–153. Available online: http://nile.lub.lu.se/arbarch/arb/1998/arb1998_14.pdf (accessed on 14 November 2024).
  82. Strydom, J.P.D.; Heyns, P.S. Development of vibration absorbing handle for rock drills. J. S. Afr. Inst. Min. Metall. 2002, 102, 167–172. [Google Scholar]
  83. Lenzumi, P.; Nataletti, P.; Pierroni, A. The vibration pattern of pneumatic hammers. In Proceedings of the Eight International Conference on Hand—Arm Vibration, Umeå, Sweden, 9–12 June 1998; Arbetslivsinstitutet: Umeå, Sweden, 1998; pp. 3–5. [Google Scholar]
  84. Lundborg, G. Vibration—Induced neuropathy of the hand. In Proceedings of the Eight International Conference on Hand—Arm Vibration, Umeå, Sweden, 9–12 June 1998; Arbetslivsinstitutet: Umeå, Sweden, 1998; pp. 47–49. Available online: http://nile.lub.lu.se/arbarch/arb/1998/arb1998_14.pdf (accessed on 14 November 2024).
  85. Lündstrom, R. Health and risk factors surveillance for hand—Arm vibration. In Proceedings of the Eight International Conference on Hand—Arm Vibration, Umeå, Sweden, 9–12 June 1998; Arbetslivsinstitutet: Umeå, Sweden, 1998; pp. 113–114. Available online: http://nile.lub.lu.se/arbarch/arb/1998/arb1998_14.pdf (accessed on 14 November 2024).
  86. Pelmear, P.L.; Taylor, W.; Wasserman, D.E. Limbs Vibration (A Comprehensive Quide for Proffesional Health Preocupation); Van Nostran Reinhold: New York, NY, USA, 1998; p. 288. [Google Scholar]
  87. Poole, C.J.M.; Bovenzi, M.; Nilsson, T.; Lawson, I.J.; House, R.; Thompson, A.; Youakim, S. International consensus criteria for diagnosing and staging hand–arm vibration syndrome. Int. Arch. Occup. Environ. Health 2019, 92, 117–127. [Google Scholar] [CrossRef] [PubMed]
  88. Harazin, B. Vibration white finger in different groups of workers exposed to hand—Arm vibration in metallurgicalindustry. In Proceedings of the Eight International Conference on Hand—Arm Vibration, Umeå, Sweden, 9–12 June 1998; Arbetslivsinstitutet: Umeå, Sweden, 1998; pp. 123–125. [Google Scholar]
Figure 1. (a) BFB factors obtained for weighted frequencies [1] and (b) TAB factors obtained for weighted frequencies [1].
Figure 1. (a) BFB factors obtained for weighted frequencies [1] and (b) TAB factors obtained for weighted frequencies [1].
Applsci 15 01182 g001
Figure 2. Laser scanning points on five fingers and the back of the hand [30].
Figure 2. Laser scanning points on five fingers and the back of the hand [30].
Applsci 15 01182 g002
Figure 3. Anatomical dots (a,b) paired points considered in [32].
Figure 3. Anatomical dots (a,b) paired points considered in [32].
Applsci 15 01182 g003
Figure 4. Diagram of the three orthogonal directions—x, y, and z—and the frequency weighting curve (Wh) as outlined in SR EN ISO 5349-1/2003 [33].
Figure 4. Diagram of the three orthogonal directions—x, y, and z—and the frequency weighting curve (Wh) as outlined in SR EN ISO 5349-1/2003 [33].
Applsci 15 01182 g004
Figure 5. A two-dimensional (2D) finite-element model of a fingertip in contact with a flat surface [33].
Figure 5. A two-dimensional (2D) finite-element model of a fingertip in contact with a flat surface [33].
Applsci 15 01182 g005
Figure 6. Temperature drop after vibration exposure for all participants [33].
Figure 6. Temperature drop after vibration exposure for all participants [33].
Applsci 15 01182 g006
Figure 7. Optical microscope images (200 μm) of three glove materials used in [33]. (a) Zoom-in glove material 1; (b) zoom-in glove material 2; (c) zoom-in glove material 3.
Figure 7. Optical microscope images (200 μm) of three glove materials used in [33]. (a) Zoom-in glove material 1; (b) zoom-in glove material 2; (c) zoom-in glove material 3.
Applsci 15 01182 g007
Figure 8. Occupations exposed to VWF syndrome (probability of occurrence %) and represented in studies by Nelson and Griffin (1989), according to [1].
Figure 8. Occupations exposed to VWF syndrome (probability of occurrence %) and represented in studies by Nelson and Griffin (1989), according to [1].
Applsci 15 01182 g008
Figure 9. Measurement locations on the hand dorsum and pictorial view of hand–arm posture during the measurement. The arms are bent at an angle of around 90° to the original direction of the forearm [38].
Figure 9. Measurement locations on the hand dorsum and pictorial view of hand–arm posture during the measurement. The arms are bent at an angle of around 90° to the original direction of the forearm [38].
Applsci 15 01182 g009
Figure 10. Palm adapter positioned between the hand and the tool handle (in the circle) [39].
Figure 10. Palm adapter positioned between the hand and the tool handle (in the circle) [39].
Applsci 15 01182 g010
Figure 11. The aR.M.S acceleration values at which symptoms of VWF occur [1].
Figure 11. The aR.M.S acceleration values at which symptoms of VWF occur [1].
Applsci 15 01182 g011
Figure 12. Relationship between vibration frequency, acceleration aR.M.S, and probability of white finger syndrome [1].
Figure 12. Relationship between vibration frequency, acceleration aR.M.S, and probability of white finger syndrome [1].
Applsci 15 01182 g012
Figure 13. Transmission of vibrations to the hand at a daily exposure of 4 h “weighted energy” (years) and appearance probability of VWF syndrome [1].
Figure 13. Transmission of vibrations to the hand at a daily exposure of 4 h “weighted energy” (years) and appearance probability of VWF syndrome [1].
Applsci 15 01182 g013
Figure 14. List of results obtained from Brandon Hire Station SHEQ [64] regarding the admitted exposure to vibration of the hand–arm system.
Figure 14. List of results obtained from Brandon Hire Station SHEQ [64] regarding the admitted exposure to vibration of the hand–arm system.
Applsci 15 01182 g014
Figure 15. A summary of paper results concerning the probability [%] of symptom occurrence, depending on occupation, when subjects are exposed to vibrations for five working days (studies from 1991 are from reference [1] and those from 2000 are in accordance with reference [66]).
Figure 15. A summary of paper results concerning the probability [%] of symptom occurrence, depending on occupation, when subjects are exposed to vibrations for five working days (studies from 1991 are from reference [1] and those from 2000 are in accordance with reference [66]).
Applsci 15 01182 g015
Figure 16. Comparison results of absorption power or impedance of the hand between older and newer research: (a). non-linear biodynamic models of the hand–arm system and parameter identification using the vibration transmissibility or the driving-point mechanical impedance [56]; and (b). estimation of vibration power absorption density in human fingers [16].
Figure 16. Comparison results of absorption power or impedance of the hand between older and newer research: (a). non-linear biodynamic models of the hand–arm system and parameter identification using the vibration transmissibility or the driving-point mechanical impedance [56]; and (b). estimation of vibration power absorption density in human fingers [16].
Applsci 15 01182 g016
Table 1. Correlation coefficients obtained for each pair of measured aR.M.S acceleration values and TAB values, in the anatomical locations of the finger–hand–arm system in comparison with SR EN ISO 5349/2003, in conformity with [1].
Table 1. Correlation coefficients obtained for each pair of measured aR.M.S acceleration values and TAB values, in the anatomical locations of the finger–hand–arm system in comparison with SR EN ISO 5349/2003, in conformity with [1].
Anatomical Location and
SR EN
Unweighted ValueSR EN ISO 5349/2003Digit or FingerDorsal PalmWristElbowShoulder
SR EN ISO 5349/20030.459------
Finger0.9480.523-----
Dorsal Palm0.9460.6130.986----
Wrist0.4070.9970.4820.569---
Elbow0.1850.9360.2410.3410.947--
Shoulder0.2780.9320.3200.4220.9320.984-
Head0.0330.8010.0130.0950.8170.9550.937
Table 2. Mean values of finger temperature at the distal (D) and proximal (P) positions, measured before and after exposure to vibrations [33].
Table 2. Mean values of finger temperature at the distal (D) and proximal (P) positions, measured before and after exposure to vibrations [33].
Temperature Before Vibration Exposure [°C]Temperature After Vibration Exposure [°C]Temperature Drop [°C]
RegionDPDPDP
Mean31.7531.7329.6430.072.11.6
SD3.692.983.163.01--
Min21.6023.6022.4823.92--
Max34.9235.2233.9634.40--
Table 3. Finger (digit) responses [34].
Table 3. Finger (digit) responses [34].
StatisticsDigit 2 (mm)Digit 3 (mm)Digit 4 (mm)Digit 5 (mm)
ldlmldlmldlmldlmldlmldlm
Mean24.522.242.326.026.046.825.625.141.523.015.635.4
Minimum20.016.029.022.021.033.020.019.027.018.010.025.0
Maximum29.025.056.033.031.058.032.030.054.033.020.044.0
Std.2.92.37.62.72.27.62.72.77.73.43.05.9
ld and lm represent the lengths of the distal and middle phalanges, respectively, defined as the distance between the center of the joints at both ends of the phalanges.
Table 4. Subjects exposed daily to vibrations, at work, for 2–35 years, in conformity with [1].
Table 4. Subjects exposed daily to vibrations, at work, for 2–35 years, in conformity with [1].
Subjects Affected by VWF Syndrome (%) as a Result of Exposure to Vibrations
Acceleration aR.M.S [m/s2]1020304050
25---2.22.5
20-22.42.83.2
15-2.73.33.84.3
122.33.44.24.95.5
102.74.15.15.96.7
83.55.26.57.58.5
64.77.18.81012
55.88.6111214
47.311141618
31015182124
215232833-
132----
Table 5. Exposure to vibration (in years) before the appearance of the first symptoms of whitening of the fingers, according to Annex A of SR EN ISO 5349/1989, in conformity with [1].
Table 5. Exposure to vibration (in years) before the appearance of the first symptoms of whitening of the fingers, according to Annex A of SR EN ISO 5349/1989, in conformity with [1].
Population Affected by Finger Whitening Syndrome [%]
Acceleration aR.M.S Weighted ahw Corresponding to 4 h [m/s2]10%20%30%40%50%
215 (15)23 (21.2)>25>25>25
56 (6)9 (8.5)11 (10.4)12 (12)14 (13.4)
103 (3)4 (4.2)5 (5.2)6 (6)7 (6.7)
201 (1.5)2 (2.1)2 (2.6)3 (3)3 (3.4)
Table 6. Transmissibility of vibration from device to hand, in conformity with [59].
Table 6. Transmissibility of vibration from device to hand, in conformity with [59].
LocationFrequency [Hz]Force [N]Frequency [Hz]Force [N]
Palm 2–98
Fingers<1001–30>1002–22
Palm resonance16–40 Hz
Table 7. Impedance [53] and absorption power of the hand [17].
Table 7. Impedance [53] and absorption power of the hand [17].
LocationFrequency Impedance [Hz]Frequency Power Absorption [Hz]
Fingers≤40<5–16
Palm>100>60–160
Arm>25-
Table 8. Exposure over time and probability of VWF symptom appearance [1].
Table 8. Exposure over time and probability of VWF symptom appearance [1].
LocationAcceleration R.M.S
[m/s2]
4 h ExposureYearsPercent [%]
Hand14daily-10
2daily-30
12–28daily2–5.710
<10daily2–5.750
Table 9. A summary of weighted acceleration R.M.S. values in comparison with STAS BSI/1975 and legislative Directive 2002/44/EC [1].
Table 9. A summary of weighted acceleration R.M.S. values in comparison with STAS BSI/1975 and legislative Directive 2002/44/EC [1].
TimeHand–Arm System (Directive 2002/44/EC)After
SR EN ISO 5349/86
Unweighted Acceleration Weighted Acceleration
30 min--44.8 m/s25.6 m/s2
4 h-0.8 m/s2--
8 h2.5 m/s2-2.8 m/s2
Maximum 8 h5 m/s2--
BSI = British Standardization Institution.
Disclaimer/Publisher’s Note: The statements, opinions and data contained in all publications are solely those of the individual author(s) and contributor(s) and not of MDPI and/or the editor(s). MDPI and/or the editor(s) disclaim responsibility for any injury to people or property resulting from any ideas, methods, instructions or products referred to in the content.

Share and Cite

MDPI and ACS Style

Cristea, A.F.; Bӑlcӑu, M.C.; Haragâṣ, S. A Chronological Review of the Transmission and Effects of Mechanical Vibrations on the Hand—Arm System in an Occupational Workplace. Appl. Sci. 2025, 15, 1182. https://doi.org/10.3390/app15031182

AMA Style

Cristea AF, Bӑlcӑu MC, Haragâṣ S. A Chronological Review of the Transmission and Effects of Mechanical Vibrations on the Hand—Arm System in an Occupational Workplace. Applied Sciences. 2025; 15(3):1182. https://doi.org/10.3390/app15031182

Chicago/Turabian Style

Cristea, Aurora Felicia, Monica Carmen Bӑlcӑu, and Simion Haragâṣ. 2025. "A Chronological Review of the Transmission and Effects of Mechanical Vibrations on the Hand—Arm System in an Occupational Workplace" Applied Sciences 15, no. 3: 1182. https://doi.org/10.3390/app15031182

APA Style

Cristea, A. F., Bӑlcӑu, M. C., & Haragâṣ, S. (2025). A Chronological Review of the Transmission and Effects of Mechanical Vibrations on the Hand—Arm System in an Occupational Workplace. Applied Sciences, 15(3), 1182. https://doi.org/10.3390/app15031182

Note that from the first issue of 2016, this journal uses article numbers instead of page numbers. See further details here.

Article Metrics

Back to TopTop