Next Article in Journal
Generalizations of Choquet-like Integrals by Restricted Dissimilarity Functions Applied to Multi-Channel Edge Detection Problems
Previous Article in Journal
Carbon-Rich Sediment Amendments and Aging: Effects on Desorption and Maize Phytoextraction of 4-Octylphenol and 4-Nonylphenol
 
 
Font Type:
Arial Georgia Verdana
Font Size:
Aa Aa Aa
Line Spacing:
Column Width:
Background:
Article

ANSYS/LS-DYNA Simulation and Experimental Study of a Corrugated Hob-Type Laver Harvesting Device

1
School of Mechanical and Power Engineering, Dalian Ocean University, Dalian 116023, China
2
Fishery Equipment Professional Technology Innovation Center of Liaoning Province, Dalian 116023, China
3
Key Laboratory of Facility Fisheries, Ministry of Education, Dalian 116023, China
4
College of China-New Zealand Collaboration, Dalian Ocean University, Dalian 116023, China
*
Author to whom correspondence should be addressed.
Appl. Sci. 2025, 15(24), 13271; https://doi.org/10.3390/app152413271
Submission received: 10 November 2025 / Revised: 12 December 2025 / Accepted: 13 December 2025 / Published: 18 December 2025

Abstract

Harvesting of laver is an important link in the laver culture chain, and a new type of corrugated harvesting blade with a curved edge angle was designed to solve the problems of low cutting ratio in laver harvesting. The mechanical model of the corrugated blade cutting laver was established to elucidate the dynamic characteristics of laver cutting under single-point support. Based on the measured biomechanical characteristic parameters of Porphyra yezoensis, a rigid-flexible coupling model of laver harvesting was established based on ANSYS/LS-DYNA2022R2. The Box–Behnken design (BBD) test method was used to study the influence of the main structural parameters of the corrugated blade on the harvesting of laver, and the optimal structural parameter combinations of the corrugated blade were determined as follows: a slip angle of 21°, blade inclination angle of 106°, and curved edge angle of 15°; the slip-cutting mowing force of the laver was 11.18 N and the tensile force was 1.4 N. A bench test was completed, and the results showed that the corrugated blade could be used for harvesting laver. The results showed that the average loss rate of the harvesting equipment was 1.85% and the average net recovery rate was 98.75% when the corrugated blade rotational speed was 900 rpm and the boat speed was 0.71 m/s; compared to the traditional straight-blade hob-type harvesting machine, the cutting force on laver has increased by 45.26%, and the tensile force has decreased by 68.35%, which satisfied the requirements of laver harvesting. This study provides theoretical and simulation model references for the design, analysis, and optimization of laver harvesting equipment.

1. Introduction

Laver belongs to the phylum of red algae, a class of protozoa in the genus Laver. The algal body is about 10–30 cm long, 2–6 cm wide, and 30–50 μm thick [1]. It is one of the most abundant algae in the coastal areas of East Asian countries. It has a delicious flavor and is rich in a variety of vitamins and minerals needed by the human body [2,3]. According to statistics, in 2022, China’s culture area of laver is 6.63 × 108 m2, and its culture output is about 2.18 × 105 t [4], ranking first in the world. Porphyra yezoensis, as the main variety of cultivated laver, needs to be attached to the net curtain through artificial seedling in September every year, and the harvesting period is concentrated in the period from November of that year to June of the following year [5]. At present, manual and partially mechanized harvesting are mainly used globally, but the structure of the equipment is simple, and there is a lack of theoretical research on the key technology of the equipment. This has led to the problems of low cutting ratio, low efficiency, and high loss rate for the current laver harvesting equipment, which, in turn, cannot guarantee the quality of harvesting [6]. Therefore, the research on harvesting cutting tools is extremely urgent.
Japan and South Korea started their research on laver harvesting equipment recently, and the degree of mechanization of their related equipment is in the leading level [7,8,9]. Laver harvesting equipment is mainly divided into three kinds; the first is pump-suction-type harvesting equipment, first seen in Japan, but its efficiency is low and it seriously damages laver leaves. After continuous exploration and improvement, two types of laver harvesting equipment, shearing and hobbing cutter, have been developed. The quality of laver harvested by shearing equipment is good, but it is rarely used due to its low efficiency. Hob-type harvesting equipment has advantages of high harvesting efficiency, low leakage rate, simple structure, low cost, and convenient maintenance, and has been attracting more and more attention and application [10]. Hiromu Nakakan [11] designed a hydraulically-driven hob-type laver harvester, which utilizes a shipboard hydraulic system to drive the hob to rotate and cut the laver, and this type of harvester can reduce the wear and tear of the blades, and improve the safety coefficient of the laver harvesting process. Sadami Yada et al. [12] conducted force analysis and motion trajectory analysis on the curtain-raising device and cutting device of the roller-type laver harvester, respectively, and it was finally determined that the mowing ratio of the laver was 30% when three pairs of blades were used with the blade slip-cutting angle of 30°, and the equipment’s harvesting effect was better, which provided a basis for the development of the subsequent laver harvesting equipment. Minho Choi, in South Korea [13], optimized the hob-type laver harvesting machine and added a winch screw conveyor to collect the cut laver and improve the efficiency of laver harvesting. Daido Trading Co., Ltd. [14] added an automatic water collection device to the automatic laver collection device, which can provide water lubrication for laver during harvesting, thus reducing the chance of entanglement of laver with net curtains, making the harvesting process smoother, and improving the net harvesting rate of laver. Sang Min Oh et al. [15] added a route and net curtain support control system to a laver harvesting vessel, which can automatically recognize the harvesting route and control the height of the net curtains’ raising and lowering, so that the process of harvesting laver is initially automated. In summary, scholars at home and abroad have developed and designed the structure and automation of laver harvesting equipment, but have not conducted in-depth research on the biomechanical properties and cutting mechanism of laver. Although the hob-type harvesting equipment is widely used, its principle for harvesting laver is to use high-speed rolling cutting tools to pull apart the laver. The broken surface of the laver is not neat enough, which poses a significant problem for the regeneration and quality of the remaining laver. Therefore, improving the cutting technology of harvesting equipment is the main direction of future research.
The cutting problem of laver is stochastic and complex, and it belongs to the high-speed penetration collision problem under the three-dimensional nonlinear structure. The rigid-flexible coupling interaction mechanism between the blade and the laver is difficult to observe and analyze by conventional methods, so it is necessary to resort to the finite element method to solve cutting problems in complex situations through the establishment and simulation of finite element models. Yanmei Meng [16] et al. utilized ANSYS/LS-DYNA software to carry out a dynamic simulation of a small mulberry cutting circular saw blade. The results show that under optimal parameter matching, the mulberry branch cutting section performs well and works relatively efficiently. Yang Wang [17] et al. established a model of a sugarcane cutting system based on the FEM-SPH coupling algorithm. They used simulation methods to study the stress on the blade surface and roots and found that the cutting resistance caused by friction can be reduced by reducing the friction coefficient between the inclined plane or the lower blade surface and the sugarcane. Fanting Kong et al. [18] used the SPH-FEM coupling algorithm to simulate the castor stalk cutting process according to the physical and mechanical characteristics of low castor planted in China, and optimized the parameters of the disc cutter blade to obtain the maximum cutting force and minimum cutting power consumption. Jiahong Tang et al. [19], on the basis of analyzing the motion trajectory of the laver harvesting tool, completed the design of the three-stage hob blade harvesting equipment based on ANSYS/LS-DYNA, and the cutting force suffered by this tool is the smallest, 4.21 N, but there is no innovative optimization of the cutter blade type. The scholars’ research has demonstrated that the finite element simulation method is feasible for studying cutting tools.
In this paper, the rationality of the finite element model of Porphyra yezoensis was verified by determining the biomechanical property parameters of Porphyra yezoensis. The cutting process was analyzed and ANSYS/LS-DYNA finite element numerical simulation was performed to reveal the interaction mechanism between the blade and the laver. A multi-factor orthogonal test method was used to study the effects of different parameters on the loss rate and harvesting efficiency of laver harvesting, and to determine the laver harvesting blade type with reasonable operating parameters. Finally, the optimal structural and operational parameters of the blade were obtained through bench tests, and the improvement in cutting performance of the optimized blade was verified, providing a theoretical basis for the development and application of seaweed harvesting equipment.

2. Materials and Methods

2.1. Structure and Principle of Laver Harvester

Porphyra yezoensis Ueda mainly adopts sea raft culture technology, and the culture facility consists of net curtain provides attachment base for the laver seedlings, and the support frame is the bracket to support the hanging net curtain. Seedlings are attached in September every year, and the main harvesting period is from November to June of the following year [5].
The harvester, as the core component of the laver harvesting boat, is located in front of the harvesting boat, which mainly consists of three corrugated blades, a baffle fence, a roller bar, and the rotating blade body. The blade is driven by a hydraulic motor, which drives the corrugated blade to rotate at high speed. When the corrugated blade forward-cuts the laver, the movement direction of a point on the blade has an angle with a normal direction, and the cutting mode is changed from positive cutting to sliding cutting [20], which reduces the cutting resistance, improves the cutting quality, and reduces the cutting loss at the same time. When the laver is harvested, as in Figure 1, the laver harvesting boat containing the harvester enters the laver breeding area and starts the laver harvester while moving forward. The netting rod holds up the laver net curtain, and the harvesting boat sails through under the net curtain. At this time, the laver leaves naturally falling under the net curtain are cut off by contact with the high-speed rotating corrugated blade and fall into the collection bin. When the laver in the collection bin reaches a certain loading capacity, the laver in the collection bin will be transported to the neighboring large-scale laver transport ship through the flexure transfer pump on the harvesting vessel to complete the harvesting operation.

2.2. Theoretical Analysis of the Interaction Between Laver Leaves and Blades

2.2.1. Analysis of the State of Laver at the Time of Corrugated Blade Harvesting

The petiole of the laver is securely connected to the net curtain, and the laver blade hangs down naturally. There is an angle between the corrugated blade surface and the blade body β (tool inclination angle), °. θ is the angle of the curved edge of the blade edge (curved edge angle), °. During the laver harvesting operation, the corrugated blade rotates around the z-axis in a clockwise direction at a high speed, and at the same time, follows the hull along the x-axis direction, when the laver is subjected to the impact load of the corrugated blade, which leads to the bending deformation or fracture of the laver blades. At this time, the laver is subjected to the force, including the mesh curtain binding force on the laver Fe, N; the mowing force of the corrugated blade on the laver F, N; the instantaneous inertia force of the leaf of the laver P, N; and the gravity force of the laver blade G, N; as shown in Figure 2.
Among them, Fex, the Fey and Fez are the binding components of the net curtain on the laver in the x, y, and z directions, respectively, and NFx, and Fy and Fz are the components of the mowing force of the tool on the laver in the x, y, and z directions, N, respectively; m is the mass of a single laver, kg; and h is the distance from the impact point to the root, m.
In the case of low-speed cutting, the bending deformation of the tail end of the laver occurs along the direction of impact, resulting in a decrease in the cutting effect and fracture rate of the laver [21]. The larger the bending deformation of the laver, the worse the cutting effect on the laver, and at this time, the laver fracture mode is mostly pulled off. The deflection curve equation of the laver deformation is expressed as
w = ( F x + F z ) y 2 6 E I 3 h + y h y 0 w = ( F x + F z ) h 2 6 E I 3 y h y h
where y is the longitudinal coordinate (m) of a point of the laver; w is the displacement of the laver in the plane (horizontal plane) where the x-axis and y-axis are located (m); E is the modulus of elasticity of the laver (Pa); and I is the rotational inertia of the laver (m4).
As shown in Figure 2, when the rotational speed of the corrugated blade is high, the laver at the cutting point obtains a high instantaneous acceleration under the high-speed collision, and the dynamic equilibrium equation of laver cutting is expressed as
P + F e F = 0 P = m a 0  
where a 0 is the instantaneous acceleration of the laver (m/s2). All symbols in Equation (2) are considered scalar quantities. The higher the collision velocity, the greater the mowing force F, and the greater the instantaneous acceleration, the smaller the degree of bending deformation of the laver P . At this instant, the leaf body will show a tendency to be stationary at both ends and deform in the middle section following the tool. At this moment, the mowing force F and the inertia force of laver P constitute a pair of shear-like forces, which is conducive to upright and efficient laver cutting under unsupported cutting conditions.

2.2.2. Analysis of the Mowing Force of Corrugated Blades on Laver

The blade inclination angle and curved edge angle of the corrugated blade determine the situation of the mowing force that the laver is subjected to during harvesting. When the corrugated blade starts to cut the laver, the mowing force that the laver is subjected to will be affected by F, as shown in Figure 2. Among them,
α = π β
F x = F sin α cos θ
F y = F sin α cos θ G
F z = F cos α sin θ
τ = F cos α cos θ 2 + F sin α sin θ 2 A s
σ = F cos α G A S
where F is the mowing force of the corrugated blade on the laver, N. The corrugated blade can be used to mow the laver, N F x , and F y and F z are the mowing force components of the tool on the laver in the x, y, and z directions, N, respectively; θ is the angle of the curved edge of the tool edge (curved edge angle), °; α is the angle between the tool and the laver; A S is the cross-section of the laver section, m2; and β is the inclination angle of the tool, °.
When harvesting laver, the most effective shear should be perpendicular to the laver in the direction of shear force while providing a slight tensile force in the direction of the laver drop (y-axis). From Equations (4)–(7), it can be concluded that the three-directional force, shear stress, and tensile stress of the laver are governed by the angle of the curved edge of the tool θ , and the angle between the tool and the laver α , of which α is determined by the tool inclination angle β . When θ remains constant, the trend of change in F x is proportional to α , while the trend of change in F z and F y is inversely proportional to α . When α does not change, the trend of change in F x is inversely proportional to θ , while the trend of change in F z is inversely proportional to θ . Therefore, the trend of α and θ together affect the magnitude of the three-way force on the laver.
The magnitude of the slip angle determines the sharpness of the harvesting tool. The effect of the tool slip angle on the force exerted on the laver during cutting is shown in Figure 3. The size of the tool slip angle affects the cutting edge width L of the tool and the cutting force of the tool on the laver F M .
Based on force analysis:
F M = F H + sin r F T
L = L 1 S tan r
σ = F M L L 2
It can be deduced:
σ = F H sin r   F T L 1 S tan r L 2
where F M is the transient cutting force, N; F T is the blade thrust force, N; F H is the slip end thrust force, N; r is the slip angle, °; L 1 is the thickness of the harvesting blade, mm; L is the thickness of the blade, mm; L 2 is the width of the blade in contact with the laver, mm; and S is the length of the blade, mm.
From Equation (9), it can be seen that the cutting force exerted on the laver F M is affected by the slip angle r. As can be seen from Equation (12), the shear stress on the laver is also affected by the slip angle r; as r increases, the smaller the thickness L of the blade, and the greater the force per unit area of the laver. When the slip angle is 35°, the blade is in a pure sharp state; in order to avoid the blade being too sharp and cutting the net curtain, the slip angle is generally controlled below 25°.
To summarize, the cutting state and force of laver are not only affected by the physical factors of the laver itself (E, h), but also by the structural parameters of the corrugated blade tool ( θ , h r , β ), and the rotational speed of the tool is also related.

2.3. Tests on Biomechanical Properties of Porphyra Yezoensis

2.3.1. Tensile and Shear Tests

According to the method described by Luwei et al. [22], fresh Porphyra yezoensis from the Xingshutun offshore aquaculture area of Dalian City, Liaoning Province, was taken to conduct shear tests, as shown in Figure 4a, and tensile tests, as shown in Figure 4b by texture analyzer (TMS-PRO, Ensoul Technology Ltd., Beijing, China). 80 dumbbell-shaped samples were subjected to 20 experiments at four different loading rates, using a texture analyzer to output the force-displacement curves.

2.3.2. Density Measurement Test

Sixty intact pieces of freshly streaked laver were randomly taken and soaked in seawater for 30 min and set aside. The mass of soaked laver was weighed using an electronic balance (Mettler Toledo, model ME104E/02, Mettler Toledo Instruments Shanghai Co., Ltd., precision 0.1 mg, Shanghai, China), and recorded as the mass of wet Porphyra yezoensis, and the volume was measured using a measuring cylinder (100 mL). The measured laver was dried by oven (model DZF, Shanghai Yuejin Medical Instrument Co., Ltd., Shanghai, China), and the mass and volume of the dry streaked laver were measured with a balance and a measuring cylinder containing n-heptane solution [23] (Xileng Chemical, Heze, China), respectively, and the data were recorded and the densities of the dry and wet laver were calculated.
The main biomechanical parameters of laver measured by shear, tensile, and density measurement tests are shown in Table 1, and it can be seen that the shear destructive strength of laver is greater than the tensile destructive strength of laver, so laver is more likely to be pulled apart in the same situation. In comparison with cutting, the cell wall of stretched laver is more likely to be damaged, which will reduce the quality of laver and affect the secondary growth of laver [24].

2.4. Establishment of Simulation Model of Laver Harvesting

2.4.1. Simulation Calibration Test of Mechanical Properties of Laver

Through the tensile and shear tests of laver, it is found that the deformation state of laver under the action of external load is directly related to the size of the load. When the external force is small enough, laver shows linear elasticity; with a continuous increase in external load, laver is subjected to more stress than its elastic limit, and the stress state of laver starts to gradually convert into plasticity from linear elasticity, then finally shows irregular changes until the laver is fractured. Therefore, the intrinsic model used for the laver cannot be a single elastic model or a simple instantaneous damage model. Considering that laver first exhibits an elastic state and then presents irregular changes, the Isotropic Elasticity model and the Johnson Cook failure model are selected.
Three-Dimensional Geometric Modeling of Laver
According to the dimensional parameters of the dumbbell-shaped laver mold and shear tool, the simulation model was established with SolidWorks, and the established experimental model of laver stretching and the experimental model of laver shearing are shown in Figure 5.
Shear Model Boundary Conditions and Parameterization
The experimental model is simplified and imported into the ANSYS preprocessing module and the relevant simulation parameters are set for the shear model. The tool and the laver fixed table are set as rigid bodies, because the tool is a non-important part of the analysis. The material is set as stainless steel, the laver is set as a flexible body, and the intrinsic material is set as Isotropic elasticity and Johnson Cook failure. The lower cross-section of the laver fixed table and the two end surfaces of the laver model are subjected to the surface fixation constraints, the linear velocity is added to the tool, and the velocity is set according to the measured mechanical property test parameters (20 mm/min, 30 mm/min, 40 mm/min, and 50 mm/min). In order to exclude the error generated by the mesh failure in the simulation process, each simulation group with small-amplitude mesh sizes under different speeds was repeated three times. In order to ensure that the tool cuts the laver during the simulation process, the simulation time is set to be greater than the time required for the tool to cut the laver, so the time for the shear simulation calibration test is set to 1.25 s. In order to be able to track the contact force applied to the laver, the body contact tracker command is added to the laver model. Deformation and equivalent force tracking are added to the laver model in the solution setup.
In order to make the simulation more accurate, three kinds of contact keywords are selected: *contact_automatic_surface_to_surface, *contact_eroding_surface_to_suface, and *contact_eroding_nodes_to_surface. Set the contact friction coefficient in the range of 0.40~0.60 and Poisson’s ratio in the range of 0.30~0.40. By substituting different parameters for the shear model, it is found that when the keyword is *contact_eroding_surface_to_surface, the contact friction coefficient is 0.51 and Poisson’s ratio is 0.36, the force –displacement curves of simulation and actual experiments are the closest, and the maximum shear stress and maximum tensile stress obtained from the simulation experiments have the lowest error compared to the data obtained from the actual experiments. The resulting final model parameter settings are shown in Table 2.
Tensile Model Boundary Conditions and Parameter Settings
The whole simulation model is set as a flexible body model, and the intrinsic materials are set with Isotropic elasticity and Johnson Cook failure. Face-fixed constraints are applied to the lower face of the model, linear velocities are applied to the upper face of the model, and the velocity sizes are set according to the measured experimental parameters (20 mm/min, 30 mm/min, 40 mm/min, and 50 mm/min). In order to exclude the error generated by the mesh failure during the simulation process, each group of simulations at different speeds with small changes in the mesh size was repeated three times. In order to ensure that the laver is pulled off during the simulation process, the simulation time needs to be set larger than the time required for the laver to reach the limit of tensile length, so the time of the tensile simulation test is set to 1.5 s. Since there is no collision and there are no contact problems during the stretching process of the laver, there is no need to set the contact keyword and contact friction coefficient, and the rest of the parameters are the same as those in Table 2.

2.4.2. Simplification of the Laver Harvesting Model

Laver is highly adhesive, and the laver growing on the net curtain will tend to stick together, as shown in Figure 6. In actual harvesting, each cut is actually cutting the laver agglomerate, i.e., the overlapping morphology of multiple pieces of laver. In order to simulate the cutting process using the finite element method, the laver is simplified as a uniform cylindrical inverted cone, which exhibits a vertical droop in the natural state, and the net curtain is set as a plane to impose a fixed constraint on the root of the laver. In the process of harvesting of laver with equipment, the forward direction of the tool is always parallel to the laver net curtain to be cut. Three-dimensional modeling software SOLIDWORKS v.2020 is used to establish a three-bit geometric model of laver.

2.4.3. Meshing

As shown in Figure 7, the grid diagram of the corrugated blade harvesting simulation model is mainly composed of a corrugated blade, a corrugated blade fixed rotary axis, and laver, according to the natural polymerization state of the actual laver. Among them, the turning radius of the corrugated blade in the cutting process is 300 mm, the length of the columnar part of the laver is 200 mm, the length of the inverted cone column is 50 mm, and the diameter of the columnar part is 10 mm.
In order to ensure a balance between simulation accuracy and computational efficiency [25], a hybrid mesh strategy is used to finely partition the mesh for high stress and high strain situations that may exist in the seaweed model, and to roughly partition the mesh for models with regular and negligible deformation of the corrugated blade. SOLIDWORKS2023 is used to establish the three-dimensional stereo-model of the corrugated blade and laver, which is imported into ANSYS/LS-DYNA through the STEP channel, controlling the mesh type of laver to be hexahedron-based, with a mesh size of 1 mm. The mesh of the blade is set to be the default of the program, which is divided to obtain a total of 88,471 mesh cells, as shown in Figure 7.

2.4.4. Simulation Parameterization

Simulation Parameter Setting
In Section 2.4.1, the laver simulation model was verified in shear and tensile tests, which proves the feasibility of the model. So, the model parameters for this simulation were set according to Table 2, and the contact occurs during the simulation of corrugated blade shear, so it is also necessary to add the keyword of erosion-containing contact with the shear simulation test.
Simulation Boundary Condition Setting
In order to more closely match the realistic blade shearing laver, fixed constraint boundary conditions were applied to the tops of the five laver models during the simulation. The linear velocity in the x-direction is applied to the corrugated blade model as a whole, with a speed value of 0.77 m/s; the clockwise rotation speed around the z-axis is applied to the corrugated blade model, with a rotation speed value of 900 rpm, and the simulation time is set to 0.01 s.
Simulation Solution Setting
The simulation of the corrugated blade laver harvesting equipment is mainly to explore the optimal parameters of the corrugated blade through the three directions of forces exerted on the laver. Since the corrugated blade is curved, the forces on the laver at different positions are different. Therefore, it is necessary to add the body contact tracker to the five laver models, set up the tracking of x, y, and z directions in the solution information for the laver models, and add the overall deformation and equivalent force settings in the overall solution settings.

2.4.5. Simulation Model Building

Figure 8 shows the stress cloud diagram of the laver model, from which it can be seen that the maximum stress on the laver is 1.52 MPa, and in the process of cutting the laver, the upper petiole part and the lower blade part basically remain stable without displacement, consistent with the previous cutting state analyzed in Section 2.2.1, which indicates that the laver at this time receives the mowing force and the inertia force of the class of shear effect.
As shown in Figure 9, one of the five laver samples was taken as the object of analysis for the convenience of observing the laver cutting process. F x ,   F y , F z correspond to the component forces of the laver mowing force in the three directions, respectively, and these three forces first increase and then decrease with time. The possible reason is that when the tool touches the laver, the laver and tool have a small relative sliding, and the mowing force it is subjected to reaches the first peak; then, the laver leaf shows the yielding state, and this state lasts for a period of time, during which the mowing force suffered by the laver shows a slight decreasing trend. Until the laver reaches the yielding limit, the blade cuts into the laver at the moment the mowing force on the laver reaches the second peak. At this time, the back of the laver, which is away from the blade due to the laver yield reaching the limit of toughness of the laver, will also fracture. So, for the laver fracture in this case, the blade mowing and the toughness limit of the fracture are synchronized until the laver petiole and leaf blade are completely detached. The figure shows that the corrugated blade can cut the laver smoothly and the severed laver is relatively flat.

2.5. Orthogonal Experimental Design

2.5.1. Evaluation Indicators

In the design of orthogonal experiments, the evaluation index of the test should be confirmed first. The collision of the laver with the rotating blades in the harvesting process, and the way the laver breaks, is an important method to judge the harvesting effect. According to the biomechanical determination of laver, it is known that laver is more likely to be pulled apart than cut off under the same force. When the laver is pulled off, the breaking position of the laver will randomly appear in the position of the laver with lower tensile destructive strength, which affects the harvest quality of the laver, and at the same time, the laver stubble left on the mesh curtain is more likely to be infected with pathogens, so the best way to break laver is to cut it off.
According to the spatial mechanical relationship, the mowing force on the laver is:
F = F x 2 + F y 2 + F z 2
From Equation (2), it can be seen that when cutting at high speed, the mowing force and the laver inertia force constitute a pair of shear-like forces, which is favorable for upright and efficient laver cutting under single-point support cutting conditions. The combined force of F x and F z in the horizontal plane directly determines the cutting quality of the laver. At the same time, because of the existence of the curved edge angle, there is an angle π 2 θ between   F x and F z ; at this time, the blade and the laver have lateral slip, and the cutting mode is slip-cutting mowing, which can reduce the cutting resistance and cutting loss. Therefore,   F x and F z are beneficial for the cutting of laver, while F y is beneficial for providing appropriate stretching force to help cut laver in the process of laver cutting. But, if this force is too much, it will pull apart the laver, so F y is the main factor of the unstable quality of laver cutting. Therefore, F x ,   F y , and F z can be used as evaluation indexes.

2.5.2. Factors and Levels

In the optimization process, the selection of design variables is very important. In this study, the cutting state and force of the laver are not only affected by the physical factors of the laver itself (E, thickness, h), but they also have a significant relationship with the structural parameters of the corrugated blade ( θ , r , β ). Among them, the stubble height (h) of laver can be adjusted according to the actual needs of farmers. As shown in Figure 10, in the corrugated blade structure, the curved edge angle of the blade θ provides the slip cutting volume for the slip cutting of laver, but an excessively large curved edge angle affects the tool’s cutting trajectory of the tool cutting laver, resulting in uneven harvesting of the laver and unstable stubble height, which should not be too large, thus it is set to 5°~15°. The tool slip angle r determines the sharpness of the tool, but the angle should not be too large to cut through the net curtain of the laver, so it should be 15 °~25 °; and the appropriate tool tilt angle β can reduce the downward pull of the tool on the laver during the cutting process and increase the mowing rate of the laver, so it should be 90°~110°. The factor level coding is shown in Table 3.

2.6. Test Stand Construction and Test Methods

The laver harvesting equipment test stand mainly includes the corrugated blade laver harvesting machine (Figure 11), special hydraulic station, frequency converter speed controller, Hall rotational speed meter, electronic scale, unharvested laver net curtain (1.5 × 1.2 m), hemp rope, hexagonal roller machine, etc., as shown in Figure 12. The blade parameters of the corrugated harvesting blade are the optimal parameters after simulation optimization analysis.
The test process is as follows. The laver net curtain is connected to one end of the twine, and the twine is connected to the fixed hexagonal roller machine outside the roller shaft. A frequency converter regulates the rotation of the hexagonal roller motor, with the twine pulling and tugging to drive the net curtain forward. The gasoline engine hydraulic equipment provides the tool with rotating power to drive its rotation, then the net curtain passes over the equipment, and the drooping laver makes contact with the high-speed rotation of the blade, which then cuts off the laver, as shown in Figure 12. Traveling speed and tool rotation speed were selected as test factors, and the net harvesting rate and loss rate were evaluated as indicators for the test. The experimental data is expressed as mean ± standard deviation, and one-way analysis of variance (ANOVA) is used to compare the differences between groups, with a significance level set at p < 0.05. The test results of the corrugated blade harvesting equipment were also compared with those of straight-blade harvesting equipment [19].
Figure 13 shows a schematic diagram of the evaluation of the net recovery rate, which is calculated by the formula [26]:
y c = n c n + n c × 100 %
where n —Weight of harvested laver, kg;
  • n c —Weight of laver in excess of stubble length, kg.
Figure 14 shows a schematic diagram of the harvest loss rate, which is calculated by the formula [26]:
y s = m s m + m s × 100 %
In the formula, m s —Weight of laver falling outside the specified area, kg;
m —Weight of laver falling into the specified area, kg.
In this case, the area in which laver can be collected is specified in conjunction with the deck area of the actual harvesting vessel, as shown in Figure 14. That is, the weight of laver falling outside the specified area is the lost weight.
In order to analyze the influence of corrugated blades on the net picking rate and loss rate of Porphyra yezoensis under different operating parameters, a bench test was conducted with travel speed and blade speed as test factors, and the test was repeated three times in each group. The average of the three tests was taken as the test results. The factors and levels are shown in Table 4.

3. Results

3.1. Comparative Analysis of Measured and Simulated Results of Mechanical Properties of Laver

According to the finite element simulation and measured results, the force-displacement curves and the fracture edge state of the Porphyra yezoensis were obtained, and the edge extraction of the fracture was carried out. As shown in Figure 15, the trend of measured and simulated force-displacement curves in shear and tensile tests is the same. In particular, there is some yielding in the shear test of Porphyra yezoensis, while there is no obvious yield point in the tensile test. In the tensile test, the fracture displacement points were closer and all appeared between 13 and 15 mm. The actual tensile breaking force is 0.147 N, and the simulated breaking force is 0.137 N; the error between the simulated and actual tensile breaking force is 7.3%. In the shear test, the fracture displacement points of the laver are closer to each other, and all of them are between 22~23 mm. The actual shear rupture force was 0.403 N, and the simulated shear rupture force was 0.37 N; the error between the simulated and actual rupture force was 8.63%. The shear fracture force of laver was 2.1 times the tensile fracture force. Therefore, the tensile strength of laver is lower under the same applied force condition.
In the finite element simulation test, the maximum stress of the model of Porphyra yezoensis at tensile fracture was 1.29 MPa, and the stress applied was distributed in all parts of the model, with the maximum stress point occurring at the tensile end of the dumbbell-shaped top. Ideally, the texture of laver leaves is uniformly distributed, so the fracture location of the model is located in the middle and the fracture is flush. Compared with the actual tensile test fracture diagrams, the comparison shows that the actual fracture of laver is relatively flat and basically consistent with the edge curve of the model fracture. The maximum stress in the model of Porphyra yezoensis was 4.16 MPa when it was subjected to shear fracture, and the stress in the model of laver mainly appeared in the part where the model was sheared. The fracture location of the model is also in the sheared part of the model. The fracture of the model was not flush, which was caused by the relative sliding between the tool and the surface of the model during the shearing process of Porphyra yezoensis due to the slow traveling speed of the tool. Comparison of the shear test fracture edge curves was similar to the simulated model fracture.

3.2. Analysis of Orthogonal Experiment Results

The tool blade in this simulation is corrugated, so at different points in the blade, the laver and tool contact force is also different. So, this simulation test analyses five laver pieces, with laver between the same spacing in the arrangement of the tool’s arc edge, to determine the final test results of the absolute force average value for the five sheets of laver. The test results are shown in Table 5.
(1)
Fx Response surface test analysis
The simulation data in Table 5 were analyzed by ANOVA to obtain the significance ANOVA table for F x , as shown in Table 6. In Table 6, the p-value of the model is less than 0.0001, so the effect of the model on F x is highly significant, and the model usability is high. In addition, the reliability of the model was validated through regression diagnosis (see Appendix A, Figure A1, Figure A2 and Figure A3 for details). The diagnosis of all FX responses showed that their residuals followed a normal distribution, had homogeneity of variance, and were independent of each other, and no strong outliers were found. This indicates that the mathematical model established in this article is effective, and its statistical inference conclusions are reliable. The value of p for the entire model misfit term is 0.3293 > 0.05, and the model has a high degree of fit. The larger the F value, the greater the contribution of the factors. From this, it can be determined that the contributions of each factor to F x have the following order of precedence: slip angle (A) > curved edge angle (C) > tool inclination angle (B).
The significance is determined based on the p-value, which is obtained from Table 6: p-values of factors A, B, C, AC, BC, A2, B2, and C2 are less than 0.01 for highly significant effects, and the p-value of AB is more than 0.05, so it is not significant. Therefore, multivariate fitting of the simulation test results was performed to obtain the radial force F x . The fitting equation for each factor is shown in Equation (16):
F x = 5.9 + 2.58 A + 0.48 B + 1.08 C 0.0023 A B + 0.75 A C + 0.75 B C + 0.58 A 2 + 0.96 B 2 + 1.81 C 2
The fitted equations were analyzed by performing ANOVA on the F x response surface regression model, and after excluding insignificant factors, the fitted equation was obtained, as shown in Equation (17):
F x = 5.9 + 2.58 A + 0.48 B + 1.08 C + 0.75 A C + 0.75 B C + 0.58 A 2 + 0.96 B 2 +   1.81 C 2
where A is the slip angle, B is the tool inclination angle, and C is the curved edge angle.
After removing the insignificant term AB, the adjusted R2 of the simplified model slightly increased from 0.9824 to 0.9845, indicating that the explanatory power of the model for the experimental data was not affected and was slightly improved. More importantly, the predicted R2 significantly increased from 0.9278 to 0.9507, indicating that the simplified model’s predictive ability for new data has been further enhanced. Meanwhile, the standard deviation of the residuals decreased from 0.3156 to 0.2957, indicating an improvement in the accuracy of the model.
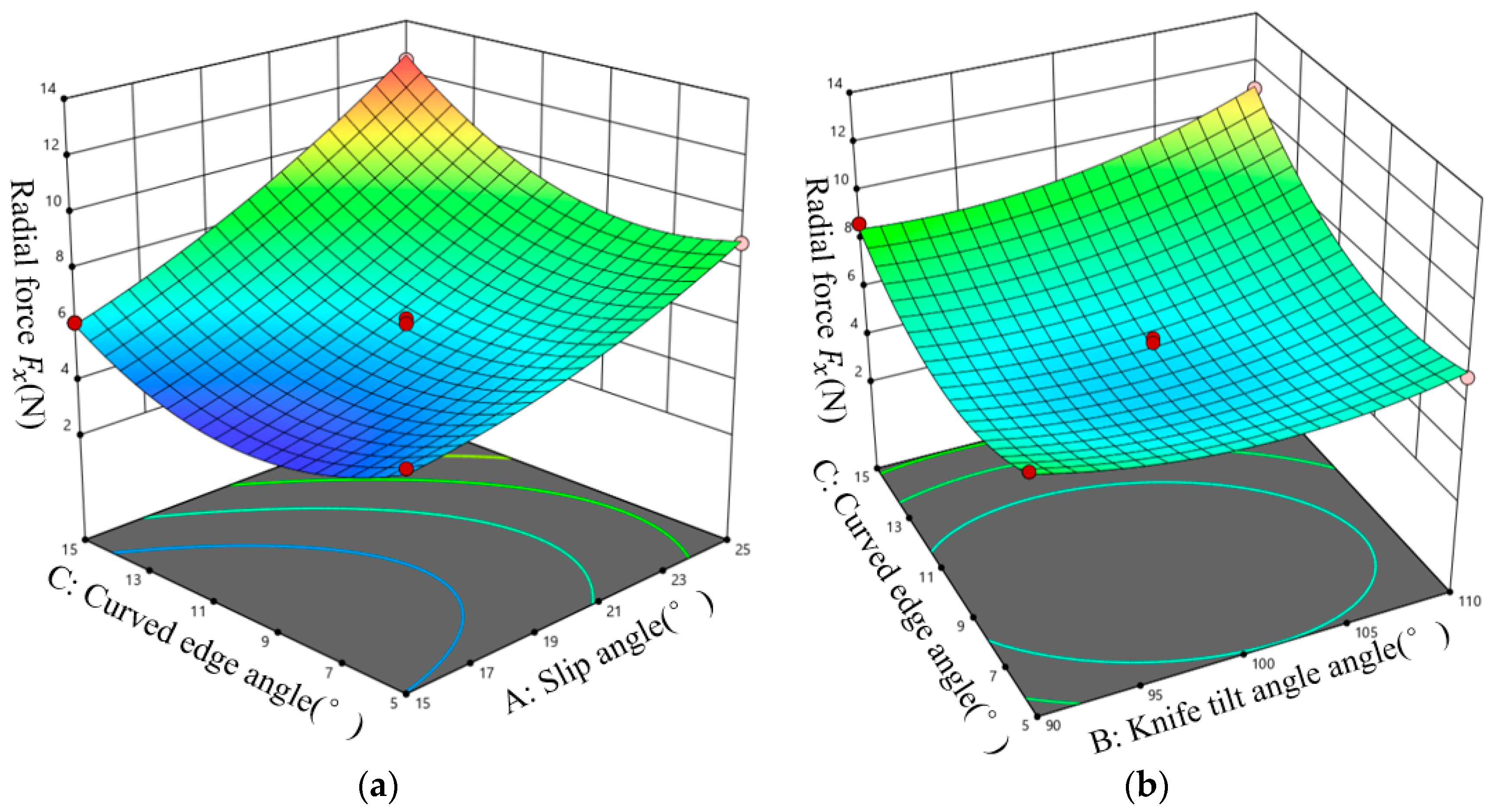
Figure 16a shows the effect of slip angle (A) and curved edge angle (C) on radial force F x interaction. It can be seen that at the test level, the two factors have a large influence on F x , and there is an interaction effect. In the case of constant slip angle, with the increase in tool curved edge angle, F x shows a trend of a slow decrease followed by a gradual increase.
The change in the curved edge angle implies a change in the curved portion of the blade, which may alter the effective rake angle at the moment of impact, thereby affecting the size of F x . In the case of a constant curved edge angle, with the increase in slip angle, the F x shows an increasing trend. This is because as the slip angle increases, the blade end becomes sharp and the contact area between the blade and the laver decreases, the pressure increases, and thus the radial cutting force F x increases. The interaction between the two (AC) reflects the coupling effect of “sharpness” and “cutting angle” on cutting force. This also corresponds with the core innovation of the corrugated blade—turning positive cutting into sliding cutting. Meanwhile, the slip angle and the edge curved edge angle jointly determine the sliding component of the blade relative to the laver, which is the key to reducing cutting resistance and improving cutting quality. When the curved edge angle is between 9 and 11° and the slip angle is 15°, the radial force on the laver is small. When the slip angle is 25° and the curved edge angle is 15°, the radial force on the laver is maximum. From the figure, it can be found that the rate of change of F x along the direction of slip angle is faster, so the effect of slip angle on F x is greater than the effect of curved edge angle on F x .
Figure 16b shows the effect of tool inclination (B) and curved edge angle (C) on the F x interaction, from which it can be seen that the response surface plots of two factors on F x exist, and there is an interaction. In the case of a constant tool inclination angle, with the increase in curved edge angle, F x shows a smooth and then gradually increasing trend. In the case of a constant curved edge angle, with the increase in blade inclination angle, F x shows a trend of decreasing first and then gradually rising. At a blade inclination angle between 95 and 105° and a curved edge angle between 9 and 11°, F x is smaller, which may be due to the fact that the angle of contact between the laver and the blade edge is smaller, and the radial force is reduced under that condition. At a blade inclination angle of 110° and a curved edge angle of 15°, F x is maximum.
The slip angle (A) mainly affects the sharpness of the cutting edge, while the tool inclination angle (B) mainly affects the spatial decomposition of the cutting force. The direct impact paths of the two on the force mechanism of laver are relatively independent, so it is reasonable that their interaction (AB) is not statistically significant.
(2)
F y Response surface test analysis
Regression analysis was performed on the simulation data in Table 5 to obtain the ANOVA results table of Fy. As shown in Table 7, the p-value of the regression model is less than 0.0001, indicating that the model is highly significant, the out-of-fit term is not significant, and the model is usable. The reliability of the model was validated through regression diagnosis (see Appendix A, Figure A4, Figure A5 and Figure A6 for details). Based on the F-value, the influence order of each factor is determined as: curved edge angle (C) > tool inclination angle (B) > slip angle (A).
The degree of significance was determined based on the p-value where factors A, B, C, A2, B2, and BC are highly significant, factors AC and C2 are significant, and AB is not significant, so there is a quadratic relationship between the factors and the response values.
Multivariate fitting of the simulation test results was performed to obtain the effect of the F y fitting equation, as shown in Equation (18):
F y = 2.03 0.95 A 1.57 B 1.91 C 0.378 A B + 0.83 A C + 1.32 B C +   1.02 A 2 + 1.84 B 2 + 0.7 C 2
where A is the slip angle, B is the tool inclination angle, and C is the curved edge angle.
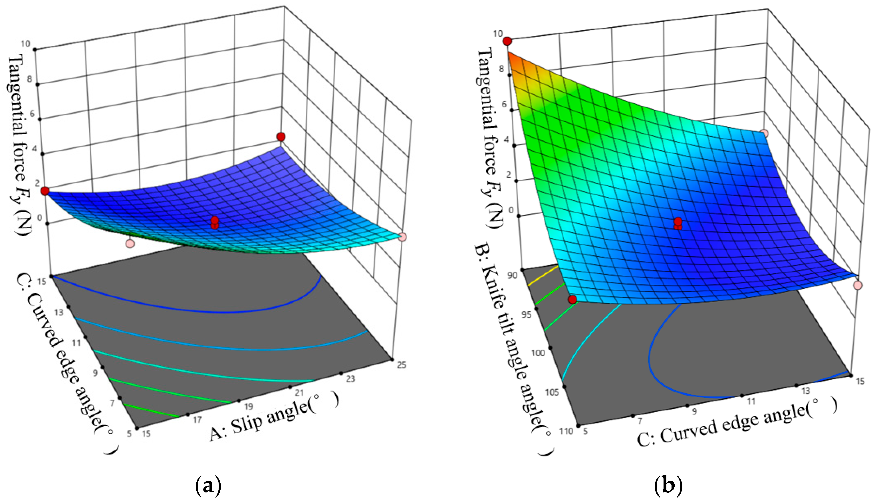
Figure 17a shows the effects of slip angle (A) and curved edge angle (C) on the F y interaction, from which it can be seen that a constant curved edge angle and gradually increasing slip angle F y shows a tendency of decreasing first and then decreasing smoothly. With a constant slip angle and increasing curved edge angle, the F y firstly decreases and then remains steady. When the slip angle is 15°, the curved edge angle is 5°, and F y is maximum. The radial force generated by the tool is the largest at this time; the tool provides the largest downward force to the laver and produces the strongest stretching effect on the laver, so the laver may be pulled apart and cause splash loss, which may increase the rate of harvesting loss. When the curved edge angle is between 13 and 15° and the slip angle is between 20° and 25°, F y is smaller; this is because when the slip angle of the tool is between 20~25° and the curved edge angle is between 13~15°, it is easier for the tool to cut the laver, and the laver is cut off, so it suffers less tangential force. At this time, more broken laver has been cut off, which plays a positive role in realizing the low-loss harvesting of laver.
Figure 17b shows the effect of tool inclination angle (B) and curved edge angle (C) on the F y interaction, and it can be seen that the two factors have a great influence on F y and there is an interaction effect. Among them, when the tool inclination angle is small, with the gradual increase in the curved edge angle, F y shows a significant decrease and then tends to flatten out. This may be because with an increase in the curved edge angle, the blade and laver slip-cutting angle increases, making it is easier for the blade to cut into the laver, so the relative friction displacement between the blade and the laver is smaller, and the tensile force on the laver is smaller. At a curved edge angle of 5° and a blade inclination angle of 90°, the F y is maximum, and at this time, the laver is more inclined to be pulled off. At a curved edge angle of 9~11° and a blade inclination angle of 100~105°, F y is smaller.
(3)
Fz Response surface test analysis
Regression analysis was performed on the simulation data in Table 5 to obtain the significance ANOVA table of F z , as shown in Table 8. The regression model has a p-value of 0.0005, suggesting that the model has a significant effect on Fz. The reliability of the model was validated through regression diagnosis (see Appendix A, Figure A7, Figure A8 and Figure A9 for details). The order of influence of each factor on Fywas determined as follows: curved edge angle (C) > tool inclination (B) > slip angle (A).
The significance was determined based on the p-value, and it can be obtained from Table 8: B, C, A2, B2, and AC are highly significant effects, BC and C2 are significant effects, and A and AB are not significant. The simulation test results were multivariate fitted using Design-Expert 13.0 software to obtain the effect of F z on the fitting equation, as shown in Equation (19):
F z = 2.28 + 0.1038 A + 0.265 B + 0.279 C + 0.103 A B 0.36 A C + 0.228 B C   0.423 A 2 0.63 B 2 0.263 C 2
where A is the slip angle, B is the tool inclination angle, and C is the curved edge angle.
Figure 18a shows the effect of slip angle (A) and curved edge angle (C) on the F z interaction, from which it can be seen that at the test level, the two factors have a large influence on F z and there is an interaction effect. With a gradual increase in the slip angle, F z is sharply increased first, and then the region is flat. When the slip angle is 21~25°, the axial force F z is larger, because when the slip angle is small, the tool struggles to cut into the laver. The axial force is the auxiliary force of the blade cutting into the laver to produce a slip cut, so the axial force generated at this time is small. When the slip angle is larger, the tool can cut off the laver smoothly; the laver and tool’s relative slip cut becomes larger, and the axial force increases. In the case where the slip angle is less than 20°, as the curved edge angle gradually increases, F z shows an upward trend. In the case where the slip angle is greater than 20°, as the curved edge angle gradually increases, F z shows a tendency of first flattening and then slowly decreasing. From the figure, it can be found that the rate of change of F z along the direction of the slip angle is much faster than that along the direction of the curved edge angle, so the effect of slip angle on the F z angle is greater than the effect of the curved edge angle on F z .
Figure 18b shows the effect of tool inclination angle (B) and curved edge angle (C) on the F z interaction, from which it can be seen that the two factors have an interaction effect. Among them, in the process of gradually increasing the curved edge angle, F z shows a trend of first gently increasing and then gently decreasing. In the process of gradually increasing the tool inclination angle, F z showed a tendency of rising and then falling. When the curved edge angle is 11~13° and the tool inclination angle is 15~105°, F z is larger, and at this time, the slip-cutting effect on laver is better.
(4)
Parameter optimization
Based on the obtained multiple regression equations, the corrugated blade parameters were optimized using numerical optimization design with Design-Expert13.0 [25]. In order to form a more effective shear effect and to cut more laver instead of pulling it apart, the model of laver was subjected to the F y minimum, and the F x and F z maximum as the optimization principle. The limiting range of each factor is as follows: the slip angle is 15–25°, the tool inclination angle is 90–110°, and the curved edge angle is 5–15°.
Determine the effect on the laver models subjected to F x and F z . Perform constrained objective maximization optimization for the laver model subjected to F y . Minimization optimization is performed to obtain the optimization objective function and constraints as follows.
F = max F x = m a x [ f 1 ( A , B , C ) ] F = min F y = m i n [ f 2 A , B , C ] F = max F z = m a x [ f 3 A , B , C ]
s . t . 15 < A < 25 90 < B < 110 5 < C < 15
By optimizing the parameters of the corrugated blade (the results are shown in Table 9), reducing Fy and increasing Fz in the process of laver harvesting is more meaningful for the low-loss harvesting of laver, so the fourth group of optimized result values, i.e., a slip angle of 21.41°, blade inclination angle of 106.40°, and curved-edge angle of 15°, are selected. In order to facilitate tool machining, the optimized parameters were rounded, resulting in the following: a slip angle of 21°, tool inclination angle of 106°, and curved edge angle of 15°. Under these conditions, Fx, Fy, and Fz are 10.95 N, 1.40 N, and 2.26 N, respectively. The slip-cutting mowing force suffered by the laver is 11.18 N and the tensile force is 1.4 N. Compared with the three-stage rolling cutter harvesting equipment designed by Tang Jiahong et al. [19], the cutting force of laver given by the corrugated blade increased by 45.26% compared to the three-stage straight-blade harvesting equipment, and the tensile force decreased by 68.35%.

3.3. Bench Test Analysis of Results

(1)
Tool rotation speed influence test
The traveling speed was fixed at 0.51 m/s to study the change rule of net picking rate and loss rate under different rotational speeds of corrugated blades, and the results are shown in Table 10. When the rotational speeds of the blades were 800 rpm, 900 rpm, and 1000 rpm, the net recovery rate of the corrugated blades was 98.98%, 98.49%, and 98.91%, and the loss rate was 1.16%, 1.27%, and 3.38%, respectively.
To evaluate the statistical significance of the impact of different operating parameters on harvesting performance, one-way analysis of variance (ANOVA) was performed on loss rate and net recovery rate. Single factor analysis of variance showed that the rotational speed had no significant effect on the net recovery rate of laver within the testing range of 800 rpm to 1000 rpm (F = 3.332, p = 0.106). The net recovery rate of the corrugated blade reached over 98% at all three speeds, indicating a good harvesting effect, and that the corrugated blades are easy to cut laver with during the harvesting process.
The tool speed has a significant impact on the loss rate (F = 190.648, p < 0.001). In the post hoc test, Bonferroni’s test showed that the loss rate at 1000 rpm (3.38 ± 0.20%) was significantly higher than that at 800 rpm (1.16 ± 0.13%, p < 0.001) and 900 rpm (1.27 ± 0.13%, p < 0.001), while there was no significant difference in loss rate between 800 rpm and 900 rpm (p = 1.0). This result indicates that controlling the tool speed below 900 rpm can effectively reduce losses.
Compared with the straight blade designed by Tang et al. [27], the net harvesting rate of the straight blade is 89% at a speed of 800 rpm, which is significantly lower than that of the corrugated blade. This indicates that the corrugated blade harvesting equipment is more capable of harvesting laver at a low rotational speed, which can reduce the splash of laver and energy loss. So, corrugated blade harvesting equipment can use appropriately reduced rotational speeds to harvest laver, meaning it can reduce the splash loss of laver without affecting the net recovery rate. As shown in Figure 19, at the same rotational speed, the recovery loss rate of corrugated blades is lower than that of straight blades [27]. However, when the rotational speed reaches 1000 rpm, there is a significant increase in the recovery loss rate of both corrugated and straight blades. This indicates that both corrugated and straight blades will produce high splash losses after the speed exceeds 1000 rpm.
(2)
Travel speed impact test
Fix the rotational speed of the tool at 900 rpm, and study the change rule of the net recovery rate and loss rate of the corrugated blade under different traveling speeds. The results are shown in Table 11. It can be seen from the figure that when the traveling speed of the net curtains is 0.51 m/s, 0.77 m/s, and 1.03 m/s, the net recovery rate of the corrugated blade is 98.49%, 98.87%, and 98.51%, respectively, and the loss rate is 1.27%, 1.19%, and 2.24%, respectively. As shown in Figure 20, at different travel speeds, the net recovery rate of corrugated blades is higher than that of straight blades [27]. When the traveling speed of the net curtain was between 0.51 and 1.03 m/s, the net recovery rate of laver did not vary much and was higher than 98%, which indicated that the net recovery rate of the corrugated blade was not significantly affected by the traveling speed. This is also similar to the results of ANOVA (F = 1.268, p = 0.347). However, the net recovery rate of straight blades shows a decreasing trend with the increase in traveling speed. When the traveling speed increased from 0.51 m/s to 0.77 m/s, the change in harvest loss rate of the corrugated blade was not large. And when the traveling speed increases from 0.77 m/s to 1.03 m/s, the loss rate increases more. As shown in the ANOVA results, traveling speed has a significant impact on the loss rate (F = 228.966, p < 0.001). In the post hoc test, Bonferroni’s test showed that the traveling speed at 1.03 m/s (2.24 ± 0.06%) was significantly higher than that at 0.51 m/s (1.27 ± 0.07%, p < 0.001) and 0.77 m/s (1.19 ± 0.07%), while there was no significant difference in traveling speed between 0.51 m/s and 0.77 m/s (p = 0.54). The fluctuation of its observed values is mainly due to random factors during the experimental process, and 1.03 m/s is more like a critical value. Under different speeds of the net curtain, the harvesting loss rate of the corrugated blade is lower than that of the straight blade. Therefore, the use of corrugated blade harvesting equipment for laver harvesting operations can slightly increase the traveling speed of the vessel, which can increase the harvesting efficiency of laver without affecting the net recovery rate.
In the comprehensive analysis, the average net recovery rate of laver harvested by corrugated blade was 98.75%, and the average loss rate was 1.85%; both are better than those of the straight cutter harvesting equipment, which reached the requirements of laver harvesting, and the corrugated blade was more favorable for the harvesting of low-loss laver. In the process of harvesting laver by corrugated blade, the net recovery rate of laver is less affected by the rotational speed of the blade and the traveling speed of the net curtain, and the loss rate is more significantly affected. Thus, the rotational speed of the blade can be appropriately reduced, and the boat can be improved in the process of harvesting, so as to increase the efficiency of harvesting of laver, and to reduce the splash loss and the energy loss of the equipment. Therefore, when the rotational speed of the tool is 900 rpm and the speed of the boat is 0.71 m/s, it can meet the requirements of the loss rate and the net recovery rate of laver harvesting, and also have a high harvesting efficiency.

4. Conclusions

Our study innovatively introduced a sliding cutting method based on the existing common straight-blade hob harvesting mechanism, designed a corrugated hob harvesting mechanism with a slip angle, and determined the optimal combination of corrugated blade structural parameters through orthogonal experiments. This structure can effectively improve the cutting rate of laver harvesting, and reduce the proportion of laver being pulled apart. Through finite element simulation and bench experiments, it has been proven that the new corrugated blade structure can reduce loss rate, improve harvesting efficiency, and enhance the quality of laver after harvesting compared to traditional straight blades.
(1)
Finite element parameter calibration of the mechanical properties of laver by tensile and shear tests showed that the density range of wet laver was 0.76 g cm−3, Poisson’s ratio was 0.36, the elastic modulus range was 2.74 MPa, the shear modulus range was 10.6 MPa, the shear breaking strength was 3.41 MPa, and the tensile breaking strength was 1.20 MPa; and under the same conditions, the laver was easier to be pulled off.
(2)
Using SolidWorks to establish a three-dimensional model of the corrugated harvesting blade, and carrying out simulation analysis of the laver cutting process via ANSYS/LS-DYNA, the simulation results show that the corrugated blade can effectively cut off the laver, and the main structural parameters of the corrugated blade are investigated through the response surface orthogonal test to investigate the influence law of the radial, tangential, and axial forces of the laver, and to determine the optimal combination of structural parameters of the corrugated blade. They were determined as follows: slip angle 21°, blade inclination angle 106°, and curved edge angle 15°. The slip-cutting mowing force on the laver under this condition was 11.18 N and the tensile force was 1.4 N.
(3)
The tool was processed and compared with the traditional straight-blade harvesting equipment, and the bench comparison test was completed, through which it was found that the average loss rate of the harvesting equipment was 1.85%, and the average net recovery rate was 98.75%. This meets the requirements of harvesting at a corrugated blade speed of 900 rpm and boat speed of 0.71 m/s.

Author Contributions

Conceptualization, Y.C. and G.M.; Data curation, Y.C., S.Lv. and G.M.; Formal analysis, Y.C., S.L., Y.Y., B.X. and G.M.; Funding acquisition, G.Z. and X.L.; Investigation, Y.C., Y.Y., S.N., B.X. and H.L.; Methodology, Y.C., S.L., S.N. and G.M.; Project administration, G.Z., X.L., H.Z., Q.Z. and G.M.; Supervision, G.Z. and G.M.; Validation, Y.C., S.L., Y.Y., S.N., B.X., H.L. and H.W.; Visualization, Y.C., S.L. and Y.Y.; Writing—original draft, Y.C. and S.L.; Writing—review and editing, Y.Y., X.L., H.Z., Q.Z., H.W. and G.M. All authors have read and agreed to the published version of the manuscript.

Funding

This research was funded by the National Key R&D Program of China, Grant Number 2023YFD2400800. The Basic Scientific Research Program of Liaoning Provincial Education Department, Grant Number LJ232410158048. Liaoning Provincial Undergraduate Colleges and Universities Basic Scientific Research Operational Fees Program, Grant number 2024JBPTZ002. Dalian Science and Technology Innovation Fund, Grant number 2024JJ13GX039.

Data Availability Statement

Data are contained within the article.

Acknowledgments

Engineering, Dalian Ocean University, for providing equipment and technical support in the process of the experiment. We are also grateful to our other colleagues, such as Bin Xu, Xiaojie Shang, and Shang Ni in the lab for their help during the experiment.

Conflicts of Interest

The authors declare no conflicts of interest.

Appendix A. Response Surface Model Regression Diagnostic Graph

Figure A1. FX model residual normal probability plot.
Figure A1. FX model residual normal probability plot.
Applsci 15 13271 g0a1
Figure A2. FX model residual and predicted value graph.
Figure A2. FX model residual and predicted value graph.
Applsci 15 13271 g0a2
Figure A3. FX model residual and running sequence diagram.
Figure A3. FX model residual and running sequence diagram.
Applsci 15 13271 g0a3
Figure A4. FY model residual normal probability plot.
Figure A4. FY model residual normal probability plot.
Applsci 15 13271 g0a4
Figure A5. FY model residual and predicted value graph.
Figure A5. FY model residual and predicted value graph.
Applsci 15 13271 g0a5
Figure A6. FY model residual and running sequence diagram.
Figure A6. FY model residual and running sequence diagram.
Applsci 15 13271 g0a6
Figure A7. FZ model residual normal probability plot.
Figure A7. FZ model residual normal probability plot.
Applsci 15 13271 g0a7
Figure A8. FZ model residual and predicted value graph.
Figure A8. FZ model residual and predicted value graph.
Applsci 15 13271 g0a8
Figure A9. FZ model residual and running sequence diagram.
Figure A9. FZ model residual and running sequence diagram.
Applsci 15 13271 g0a9

References

  1. Zhu, J.Y.; Yan, X.H.; Ding, L.P. Atlas of Primary Colors of Chinese Laver; Agricultural Press: Beijing, China, 2016; pp. 28–33. [Google Scholar]
  2. Cho, T.J.; Rhee, M.S. Health functionality and quality control of laver (Porphyra, Pyropia): Current issues and future perspectives as an edible laver. Mar. Drugs 2020, 18, 14. [Google Scholar] [CrossRef] [PubMed]
  3. Blouin, N.A.; Brodie, J.A.; Grossman, A.C.; Xu, P.; Brawley, S.H. Porphyra: A marine crop shaped by stress. Trends Plant Sci. 2011, 16, 29–37. [Google Scholar] [CrossRef] [PubMed]
  4. Bureau of Fisheries and Fishery Administration; Ministry of Agriculture and Rural Affairs. China Fishery Statistics Yearbook 2022; Agricultural Press: Beijing, China, 2022; pp. 23–50. [Google Scholar]
  5. Zhou, W.; Hu, C.M.; Lu, Q.Q.; Xu, G.; Yang, L.; Tian, C.; Deng, Y. Germplasm Innovation and Application of Pyropia yezoensis. J. Guangxi Acad. Sci. 2021, 37, 46–52. [Google Scholar]
  6. Wang, X.N. Current status of research on laver. China Food Saf. Mag. 2020, 14, 33–35. [Google Scholar]
  7. Zhang, X.; Wang, H.; Fang, E.J.; Gao, Y.; Guo, B.; Liu, K.F.; Xu, X.P.; Chen, W. Preliminary study on the culture of striped seaweed in Bohai Bay. Mar. Lake Marsh Bull. 2019, 2, 147–152. [Google Scholar]
  8. Aquatic Products Laboratory, Council of Agriculture, Executive Yuan, Republic of China. From the Current Situation of Japanese Laver Culture to Our Future Practice. Available online: https://www.tfrin.gov.tw/News_Content.aspx?n=307&sms=9031&s=29 (accessed on 1 October 2020).
  9. Korea Guandao Products. Seaweed Story. Available online: http://m.wandobonga.com/page/zs03#zta02 (accessed on 1 October 2020).
  10. Zhang, J.L. A preliminary study on the development and application of water conservancy machinery in shallow beach and tidal flat aquaculture. J. Water Wheel. Pump. 1987, 1, 31–34. [Google Scholar]
  11. Nakakanohiro, S. Picking Machine. J.P. Patent 20,060,000,88A, 21 July 2004. [Google Scholar]
  12. Yada, S.; Chen, J.K.; Toda, K. Analysis of roller type laver picker. J. La Mer 1996, 34, 25–32. [Google Scholar]
  13. Choi, M. Laver Automatic Collector. K.R. Patent 10,201,500,679,73A, 11 December 2013. [Google Scholar]
  14. Daido, S.C. An Automatic Water Extraction Device. K.R. Patent 20,048,767,5Y1, 19 October 2018. [Google Scholar]
  15. Oh, S.M.; Park, B.J.; Angani, A.; Kim, E.S. Realization of Fully Automatic Harvest Unit for Water laver in the Korea Sea. In Proceedings of the 2019 IEEE International Conference on Architecture, Construction, Environment and Hydraulics (ICACEH), Xiamen, China, 20–22 December 2019. [Google Scholar]
  16. Meng, Y.; Wei, J.; Wei, J.; Chen, H.; Cui, Y. An ANSYS/LS-DYNA simulation and experimental study of circular saw blade cutting system of mulberry cutting machine. Comput. Electron. Agric. 2019, 15, 38–48. [Google Scholar] [CrossRef]
  17. Yang, W.; Zhao, W.J.; Liu, Y.D.; Chen, Y.; Yang, J. Simulation of forces acting on the cutter blade surfaces and root system of sugarcane using FEM and SPH coupled method. Comput. Electron. Agric. 2021, 180, 105893. [Google Scholar] [CrossRef]
  18. Kong, F.T.; Wu, T.; Zhang, B.; Zhao, H.; Sun, Y.; Chen, C.; Xie, Q. Curve fitting and optimization of the cutting edge of the castor oil waveform disc cutter. Trans. CSAE 2024, 40, 66–75. [Google Scholar] [CrossRef]
  19. Tang, J.; Li, X.; Zhang, G.; Lu, W.; Ni, S.; Sun, Z.; Li, H.; Zhao, C.; Zhang, H.; Zhang, Q.; et al. An ANSYS/LS-DYNA Simulation and Experimental Study of Sectional Hob Type Laver Harvesting Device. Agriculture 2023, 13, 361. [Google Scholar] [CrossRef]
  20. Teng, S.M.; Wang, Z.Q.; Li, Y.; Yang, H.W.; Li, L.X. Research on cutting method and cutting resistance. J. Agric. Eng. 2009, 31, 89–90+96. [Google Scholar]
  21. Yu, Z.; Yang, K.; Hu, Z.; Peng, B.; Gu, F.; Yang, L.; Yang, M. Parameter optimization and simulation analysis of floating root cutting mechanism for garlic harvester. Comput. Electron. Agric. 2023, 204, 107521. [Google Scholar] [CrossRef]
  22. Lu, W.; Li, X.; Zhang, G.; Tang, J.; Ni, S.; Zhang, H.; Zhang, Q.; Zhai, Y.; Mu, G. Research on Biomechanical Properties of Laver (Porphyra yezoensis Ueda) for Mechanical Harvesting and Postharvest Transportation. AgriEngineering 2022, 4, 48–66. [Google Scholar] [CrossRef]
  23. Alberto, M.S.; Maria, A.S.; Mayor, L. Determination of Particle Density and Porosity in Foods and Porous Materials with High Moisture Content. Int. J. Food Prop. 2007, 10, 455–469. [Google Scholar] [CrossRef]
  24. Lu, W.; Li, X.; Zhang, G.; Tang, J.; Ni, S.; Zhao, C.; Sun, Z.; Zhang, H.; Zhang, Q.; Mu, G. Tensile and shear mechanical properties of laver (Porphyra yezoensis Ueda). Int. J. Food Prop. 2023, 26, 1005–1019. [Google Scholar] [CrossRef]
  25. Josef, A.S.; Patrick, S.; Christian, M. Robust hybrid/mixed finite elements for rubber-like materials under severe compression. Comput. Mech. 2022, 70, 101–122. [Google Scholar]
  26. Yao, S. Optimization Design and Experimental Research on Key Components of Kale Harvester; Chinese Academy of Agricultural Sciences: Beijing, China, 2020. [Google Scholar]
  27. Tang, J.H. Dynamic Analysis and Equipment Development for Laver (Porphyra yezoensis) Harvesting; Dalian Ocean University: Dalian, China, 2022. [Google Scholar]
Figure 1. Schematic diagram of laver harvesting.
Figure 1. Schematic diagram of laver harvesting.
Applsci 15 13271 g001
Figure 2. Force analysis of laver during blade harvesting.
Figure 2. Force analysis of laver during blade harvesting.
Applsci 15 13271 g002
Figure 3. Graphical representation of the effect of slip angle on the force on the laver.
Figure 3. Graphical representation of the effect of slip angle on the force on the laver.
Applsci 15 13271 g003
Figure 4. Mechanical characterization test of Porphyra yezoensis. (a) Tensile test. (b) Shear test.
Figure 4. Mechanical characterization test of Porphyra yezoensis. (a) Tensile test. (b) Shear test.
Applsci 15 13271 g004
Figure 5. Modeling diagrams for the validation of laver. (a) Model diagram of the laver stretching experiment. (b) Model diagram of the laver shear experiment.
Figure 5. Modeling diagrams for the validation of laver. (a) Model diagram of the laver stretching experiment. (b) Model diagram of the laver shear experiment.
Applsci 15 13271 g005
Figure 6. Diagram of laver in its natural state and its three-dimensional geometric modeling.
Figure 6. Diagram of laver in its natural state and its three-dimensional geometric modeling.
Applsci 15 13271 g006
Figure 7. Grid diagram of laver harvesting model.
Figure 7. Grid diagram of laver harvesting model.
Applsci 15 13271 g007
Figure 8. Stress cloud of corrugated blade cutting laver.
Figure 8. Stress cloud of corrugated blade cutting laver.
Applsci 15 13271 g008
Figure 9. Force curve and cutting simulation of laver.
Figure 9. Force curve and cutting simulation of laver.
Applsci 15 13271 g009
Figure 10. Graphical representation of corrugated blade parameters. (a) Schematic side view of tool parameters. (b) Schematic top view of tool parameters.
Figure 10. Graphical representation of corrugated blade parameters. (a) Schematic side view of tool parameters. (b) Schematic top view of tool parameters.
Applsci 15 13271 g010
Figure 11. Corrugated blade laver harvester. Parts of harvesting machine: 1—Frame. 2—Support net roller bar. 3—Arc baffle. 4—Corrugated blade. 5—Reinforcement. 6—Hydraulic motor. 7—Hexagonal roller machine.
Figure 11. Corrugated blade laver harvester. Parts of harvesting machine: 1—Frame. 2—Support net roller bar. 3—Arc baffle. 4—Corrugated blade. 5—Reinforcement. 6—Hydraulic motor. 7—Hexagonal roller machine.
Applsci 15 13271 g011
Figure 12. Bench test diagram of corrugated blade harvesting equipment. (a) Diagram of corrugated blade bench test. (b) Post-harvest net curtain map.
Figure 12. Bench test diagram of corrugated blade harvesting equipment. (a) Diagram of corrugated blade bench test. (b) Post-harvest net curtain map.
Applsci 15 13271 g012
Figure 13. Schematic diagram of net harvesting rate.
Figure 13. Schematic diagram of net harvesting rate.
Applsci 15 13271 g013
Figure 14. Schematic of the extent of the loss area provision.
Figure 14. Schematic of the extent of the loss area provision.
Applsci 15 13271 g014
Figure 15. Comparison of simulation of Porphyra yezoensis characterization test.
Figure 15. Comparison of simulation of Porphyra yezoensis characterization test.
Applsci 15 13271 g015
Figure 16. Response surface analysis of radial force F x interaction. (a) Slip angle and curved edge angle on radial force interaction. (b) Interaction of tool tilt angle and curved edge angle.
Figure 16. Response surface analysis of radial force F x interaction. (a) Slip angle and curved edge angle on radial force interaction. (b) Interaction of tool tilt angle and curved edge angle.
Applsci 15 13271 g016
Figure 17. Response surface analysis of the interaction for F y . (a) Interaction of curved edge angle and slip angle on tangential force. (b) Interaction of tool inclination angle and curved edge angle on tangential force.
Figure 17. Response surface analysis of the interaction for F y . (a) Interaction of curved edge angle and slip angle on tangential force. (b) Interaction of tool inclination angle and curved edge angle on tangential force.
Applsci 15 13271 g017
Figure 18. Response surface analysis of the interaction of factors on F z . (a) Interaction of curved edge angle and slip angle on axial force. (b) Interaction of curved edge angle and tool inclination angle on axial force.
Figure 18. Response surface analysis of the interaction of factors on F z . (a) Interaction of curved edge angle and slip angle on axial force. (b) Interaction of curved edge angle and tool inclination angle on axial force.
Applsci 15 13271 g018
Figure 19. Net recovery and loss rates of corrugated and straight blades at different rotational speeds.
Figure 19. Net recovery and loss rates of corrugated and straight blades at different rotational speeds.
Applsci 15 13271 g019
Figure 20. Net recovery and loss rates of corrugated and straight blades at different traveling speeds.
Figure 20. Net recovery and loss rates of corrugated and straight blades at different traveling speeds.
Applsci 15 13271 g020
Table 1. Parameters of main biomechanical properties of Porphyra yezoensis.
Table 1. Parameters of main biomechanical properties of Porphyra yezoensis.
ParametersNumerical Value
Shear modulus/MPa9.64~12.53
Shear strength/MPa2.80~3.94
Elastic Modulus/MPa2.54~3.17
Tensile Strength/MPa0.95~1.44
Density ( wet ) / g cm−30.596~1.1
Density ( dried ) / g cm−30.571~1.684
Table 2. Parameters of the model.
Table 2. Parameters of the model.
ParametersPorphyra YezoensisCutters
Modulus of elasticity/MPa2.742.00 × 1011
Tensile breaking strength/MPa1.20-
Shear modulus/MPa10.6-
Shear breaking strength/MPa3.41-
Density/g-cm−30.767.85
Poisson’s ratio0.360.33
Coefficient of contact friction0.51
Contact KeywordsContains erosion exposure
Table 3. Factor level coding.
Table 3. Factor level coding.
LevelConsiderations
Slip Angle A/(°)Blade Tilt Angle B/(°)Curved Edge Angle C/(°)
−115905
02010010
12511015
Table 4. Factor Level Codes for Bench Comparison Tests.
Table 4. Factor Level Codes for Bench Comparison Tests.
LevelTravel Speed (m/s)Tool Speed (rpm)
−10.51800
00.771900
11.031000
Table 5. Stress surface test program and results.
Table 5. Stress surface test program and results.
Test No.Experimental FactorsEvaluation Indicators
Slip Angle A/(°)Blade Tilt Angle B/(°)Curved Edge Angle C/(°)Fx/(N)Fy/(N)Fz/(N)
120100106.091.972.21
2251001512.52.321.53
32090158.752.841.14
4209057.969.931.06
52011057.113.661.17
6251101010.771.961.77
715110105.385.171.17
8201101510.881.872.16
91510055.586.850.93
102590109.555.371.07
112510058.973.851.67
1220100105.772.192.37
1320100105.781.692.33
1420100106.281.832.48
1515100156.121.992.23
161590104.077.070.88
1720100105.572.491.99
Table 6. Significant ANOVA for Fx regression equation.
Table 6. Significant ANOVA for Fx regression equation.
SourceSquare SumDegrees of Freedom Mean SquareF-Valuep-Value
Model89.799.97100.06<0.0001
A53.25153.25534.61<0.0001
B1.8111.8118.220.0037
C9.3119.3193.46<0.0001
AB0.00210.0020.020.8906
AC2.2412.2422.440.0021
BC2.2212.2222.290.0022
A21.4211.4214.270.0069
B23.9113.9139.240.0004
C213.85113.85139.02<0.0001
Residual0.69770.0996
Lost proposal0.37730.1261.570.3293
Inaccuracies0.32140.08
Aggregate90.416
Table 7. Significant ANOVA for Fy regression equation.
Table 7. Significant ANOVA for Fy regression equation.
SourceSquare SumDegrees of Freedom Mean SquareF-Valuep-Value
Model89.0299.8930.58<0.0001
A7.1817.1822.20.0022
B19.69119.6960.870.0001
C29.15129.1590.11<0.0001
AB0.5710.571.760.226
AC2.7712.778.570.0221
BC7.0217.0221.710.0023
A24.3614.3613.490.0079
B214.26114.2644.10.0003
C22.0712.076.390.0394
Residual2.2670.32
Lost proposal1.8730.626.280.054
Inaccuracies0.396340.099
Aggregate91.2816
Table 8. Significant ANOVA for FZ regression equation.
Table 8. Significant ANOVA for FZ regression equation.
SourceSquare SumDegrees of Freedom Mean SquareF-Valuep-Value
Model5.0390.55918.330.0005
A0.08610.0862.830.1366
B0.56110.56118.440.0036
C0.6210.6220.40.0027
AB0.04210.0421.380.2786
AC0.51810.51817.010.0044
BC0.20710.2076.790.0351
A20.7510.7524.720.0016
B21.6711.6754.930.0001
C20.2910.299.560.0175
Residual0.21370.031
Lost proposal0.07430.0250.7050.597
Inaccuracies0.139540.035
Aggregate5.2416
Table 9. Parameter optimization table.
Table 9. Parameter optimization table.
NOSlip AngleTilt Angle of BladeCurved CornerFxFyFz
°°°NNN
121.453106.4741510.9961.4212.255
221.418106.4881510.9741.4222.258
321.49106.4751511.0241.4232.252
421.417106.4021510.9531.4052.261
Table 10. Corrugated blade net recovery rate and loss rate at different rotational speeds.
Table 10. Corrugated blade net recovery rate and loss rate at different rotational speeds.
Number of Revolutions per MinuteNet Recovery Rate %Loss Rate %
80098.98 ± 0.301.16 ± 0.13
90098.49 ± 0.231.27 ± 0.13
100098.91 ± 0.233.38 ± 0.20
Table 11. Corrugated blade harvesting and loss rates at different traveling Speeds.
Table 11. Corrugated blade harvesting and loss rates at different traveling Speeds.
Traveling Speed m/sNet Recovery Rate %Loss Rate %
0.5198.49 ± 0.321.27 ± 0.07
0.7798.87 ± 0.351.19 ± 0.07
1.0398.51 ± 0.342.24 ± 0.06
Disclaimer/Publisher’s Note: The statements, opinions and data contained in all publications are solely those of the individual author(s) and contributor(s) and not of MDPI and/or the editor(s). MDPI and/or the editor(s) disclaim responsibility for any injury to people or property resulting from any ideas, methods, instructions or products referred to in the content.

Share and Cite

MDPI and ACS Style

Chang, Y.; Lv, S.; Yang, Y.; Ni, S.; Xu, B.; Zhang, G.; Li, X.; Zhang, H.; Zhang, Q.; Li, H.; et al. ANSYS/LS-DYNA Simulation and Experimental Study of a Corrugated Hob-Type Laver Harvesting Device. Appl. Sci. 2025, 15, 13271. https://doi.org/10.3390/app152413271

AMA Style

Chang Y, Lv S, Yang Y, Ni S, Xu B, Zhang G, Li X, Zhang H, Zhang Q, Li H, et al. ANSYS/LS-DYNA Simulation and Experimental Study of a Corrugated Hob-Type Laver Harvesting Device. Applied Sciences. 2025; 15(24):13271. https://doi.org/10.3390/app152413271

Chicago/Turabian Style

Chang, Yizhi, Shuai Lv, Yazhou Yang, Shang Ni, Bin Xu, Guochen Zhang, Xiuchen Li, Hanbing Zhang, Qian Zhang, Hangqi Li, and et al. 2025. "ANSYS/LS-DYNA Simulation and Experimental Study of a Corrugated Hob-Type Laver Harvesting Device" Applied Sciences 15, no. 24: 13271. https://doi.org/10.3390/app152413271

APA Style

Chang, Y., Lv, S., Yang, Y., Ni, S., Xu, B., Zhang, G., Li, X., Zhang, H., Zhang, Q., Li, H., Wu, H., & Mu, G. (2025). ANSYS/LS-DYNA Simulation and Experimental Study of a Corrugated Hob-Type Laver Harvesting Device. Applied Sciences, 15(24), 13271. https://doi.org/10.3390/app152413271

Note that from the first issue of 2016, this journal uses article numbers instead of page numbers. See further details here.

Article Metrics

Back to TopTop