Next Article in Journal
Clinically Oriented Evaluation of Transfer Learning Strategies for Cross-Site Breast Cancer Histopathology Classification
Previous Article in Journal
Development of a Compact Data Acquisition System for Immersive Ultrasonic Inspection of Small-Diameter Pipelines
Previous Article in Special Issue
A Method for Maximizing UAV Deployment and Reducing Energy Consumption Based on Strong Weiszfeld and Steepest Descent with Goldstein Algorithms
 
 
Font Type:
Arial Georgia Verdana
Font Size:
Aa Aa Aa
Line Spacing:
Column Width:
Background:
Article

A Novel TSF Control Method with an Adaptive Turn-On Angle in Three Regions to Suppress Torque Ripple in Permanent Magnet-Assisted Switched Reluctance Motor

School of Electrical Engineering and Automation, Jiangxi University of Science and Technology, Ganzhou 341000, China
*
Author to whom correspondence should be addressed.
Appl. Sci. 2025, 15(23), 12818; https://doi.org/10.3390/app152312818
Submission received: 11 October 2025 / Revised: 23 November 2025 / Accepted: 24 November 2025 / Published: 4 December 2025

Abstract

Compared to switched reluctance motors, permanent magnet-assisted switched reluctance motor (PMa-SRM) have higher torque density, but the torque ripple remains severe, especially under high speeds or a heavy load. A novel torque shared function (TSF) control method with an adaptive turn-on angle in three regions is presented in this paper in order to suppress torque ripple. Firstly, the inductance and flux linkage of the PMa-SRM is presented, and the look-up table of the current is obtained by the inverse interpolation method to build the PMa-SRM model. Secondly, the reason for torque ripple caused by conventional TSF is explained. Thirdly, the two-phase exchange (TpE) region is sub-divided into two regions, and the control method in each region is set accordingly. An adaptive turn-on angle algorithm is designed, which can automatically accommodate different speeds and loads. Finally, simulation and prototype tests verify that the novel TSF control method could validly suppress the torque ripple of the PMa-SRM in a wide speed range.

1. Introduction

Compared with switched reluctance motor (SRM), permanent magnet-assisted switched reluctance motor (PMa-SRM) combine the advantages of permanent magnet synchronous motors and switched reluctance motors, making full use of the reluctance torque and the permanent magnet torque [1,2,3]. They feature not only high energy efficiency and higher power density but also have the advantages of a wide speed regulation range and high cost-effectiveness. The assembly process and magnetization sequence of permanent magnets define the electromagnetic nature of PMa-SRM. These factors not only determine the distribution of the air-gap magnetic field, the improvement of torque density, and the torque ripple characteristics but also profoundly influence the parameter tuning of control strategies and the flux-weakening speed expansion capability [4,5]. However, owing to the double salient structure and the mode of switching phase winding, the magnetic circuit, which makes a larger torque ripple, is nonlinear, resulting in obvious vibration and noise. Furthermore, it is unlikely that the actual torque traces the reference torque in the case of high speeds and heavy loads in industries and electric vehicles. Therefore, suppressing the torque ripple of reluctance motors across a wide speed range has become a research hotspot [6,7,8,9,10,11,12].
Nowadays, many control methods have been presented to suppress torque ripple, such as direct torque control (DTC), direct instantaneous torque control (DITC), TSF, and model predictive torque control (MPTC). The cutting-edge research on dynamically regulated polarization selection [13], zone-specific assembly governed by many-body interactions [14], and adaptive propulsion across a broad frequency range [15] in colloidal systems has provided critical insights into and validation for the implementation of adaptive control strategies in complex systems. In [16], a model predictive torque control strategy based on optimized voltage vectors is proposed. This control strategy divides the motor operation sectors according to the torque characteristics, thereby reducing the number of candidate voltage vectors, effectively reducing the computational burden of predictive control, and it can effectively reduce torque ripple and enhance dynamic response capability. In [17], a high torque–ampere ratio is acquired in the two-phase exchange (TpE) region by an optimized DTC, and reference torque is distributed rationally. A rotor pole angle is divided into six regions, and a different voltage state is selected in each region in an improved DITC strategy [18]. The inductance variation rate of the outcoming phase quickly declines in the TpE region, resulting in small torque, so torque error compensation is applied to the outcoming phase to reduce torque ripple [19]. An offline TSF based on the flux characteristic can suppress torque ripple with minimum copper loss [20]. In [21], an optimal TSF strategy is introduced where linear active disturbance rejection control is adopted, and a modified coyote optimization algorithm is presented to automatically adjust the turn-on and turn-off angles. To reduce the current error at high speeds, the reference current of the input and output phases is compensated in the TpE regions, respectively [22,23]. In [24], an optimal TSF is devised based on the electromagnetic characteristics of the motor, which is controlled by the cerebellar model articulation controller (CMAC) to suppress the electromagnetic torque of the outcoming phase and increase the electromagnetic torque of the incoming phase. Both the turn-on and turn-off angles are adjusted in the next electrical cycle by sampling the current in online TSF strategy [25]. In [26,27], the TpE is segmented into two regions, and the corresponding hysteresis control strategy is designed based on the inductance characteristics.
Several intelligent algorithms have been integrated with SRM control methods, including sliding mode control, neural networks, and fuzzy control. In [28], a sliding mode control strategy is employed to regulate the phase current that can remedy the torque ripple in the TpE region online. In [29], the three-phase currents are accurately reconstructed and controlled using a single-phase current measurement. In [30], the phase current of the incoming and outgoing phase in the TpE region is dominated by a nonlinear regulatory factor to suppress torque ripple. In [31], the parameters are optimized by using a genetic algorithm, and the TSF is more consistent with the torque characteristics in the TpE. In [32,33], by estimating the demagnetization ability of the online phase, the mechanical angle period is divided into six sectors. As a consequence of this division, the negative torque is avoided and the optimizable region is determined.
But there exists larger torque ripple in conventional TSF, especially under high speeds or heavy loads. A TSF control method with an adaptive conduction angle in three regions is presented in this paper. The TpE is subdivided into two regions according to the inductance characteristics, and different control methods are employed in different regions. The turn-on angle is regulated at different speeds and loads, and the simulation and prototype experiment are carried out to prove performance of suppressing torque ripple. The main contributions of this paper are summarized as follows: (1) A novel partitioned torque sharing function method is proposed. (2) An adaptive adjustment of the turn-on angle is realized.
This paper is structured as follows: Section 2 describes the mathematical model about the PMa-SRM; Section 3 and Section 4 describe the theoretical principles of a traditional TSF and a novel TSF control method; Section 5 describes the turn-on angle optimization algorithm; Section 6 and Section 7 present the simulation and experiment results to verify the accuracy.

2. Mathematical Model of PMa-SRM

The structural model of the PMa-SRM presented in Figure 1 is composed of an outer rotor and an inner stator. The stator is made up of six segmented modules, each of which is W-shaped. There is only one phase winding per module. Both opposing coils are connected in series to compose one phase, and there are three phase windings.

2.1. Electromagnetic Characteristic

Both the stator and rotor of PMa-SRM are salient pole structures. The motor’s magnetic circuit is nonlinear, because the flux linkage is switched among the phase windings when the rotor rotates. The tooth tip is highly saturated when the rear edge of the stator tooth meets the leading edge of the rotor tooth. The accuracy of the established linear model is limited due to nonlinear factors, including the skin effect in stator windings and the hysteresis of permanent magnets. The position and current accuracy of the model is poor, making it difficult to implement effective control strategies.
Based on the electromechanical energy transmission relationship, the output electromagnetic torque of the PMa-SRM is the graphic area enclosed by the two curves in Figure 2: one is the flux linkage of the unaligned position “tooth-to-slot”, the other is that of the aligned position “tooth-to-tooth”. The area enclosed by the black curve is the electromagnetic torque of the SRM, and the red one is that of the PMa-SRM. The PMa-SRM’s flux linkage is produced by the permanent magnet and the armature winding. The two red curves bodily move to the negative half-plane of the flux linkage and current, and the enclosed area is larger and the electromagnetic torque increases.

2.2. Mathematical Model

As shown in Figure 3, a mathematical model is established based on the voltage equation of winding and electromechanical equation of PMa-SRM.
The voltage equation of the windings is
U j = R j i j + d ψ j d t = R j i j + d L j i j + M j d t
where Uj, ij, Rj, and ψj are the voltage, current, resistance, and flux linkage of the j-th phase windings, respectively, and Mζ is the flux linkage of permanent magnet. The flux linkage will change when the current of the phase windings and the position of the rotor change in the reluctance motor; that is, the look-up table ψj (i, θ) can be obtained if the current and position are given. The current ij (ψ, θ) in Figure 3 can also be obtained from the flux linkage if the position of the rotor is given; that is, the inversion current can be checked.
T e = J d 2 θ d t 2 + D d θ d t + T L
where Te, TL, J, and D are the electromagnetic torque, load torque, moment of inertia, and viscous friction coefficient, respectively. The electromagnetic torque can be acquired by the look-up table from the rotor position and the current.
Building the mathematical model of the PMa-SRM requires the ij (ψ, θ) and Tj (i, θ) from Figure 3, where winding current changes with the flux linkage and rotor position, and the electromagnetic torque changes with the current and rotor position. As shown in Figure 4, the characteristic curve of the flux linkage ψj (i, θ) and torque Tj (i, θ) can be acquired by static field simulation in Maxwell. However, the current ij (ψ, θ) cannot be acquired, because the switched reluctance motor (SRM) modeled in Maxwell software must be driven by an external circuit, which adopts the form of a three-phase voltage source bridge inverter circuit. The external circuit provides a DC voltage of 240 V, and achieves current control through a chopping method by setting the current limiting amplitude. In Maxwell, the flux linkage characteristic curve can be obtained through simulation by specifying the voltage, current, and stator/rotor position; however, as an input variable, the current cannot be directly obtained through Maxwell simulation. So, an inverse interpolation method is present in the next section.

2.3. Inverse Interpolation Method

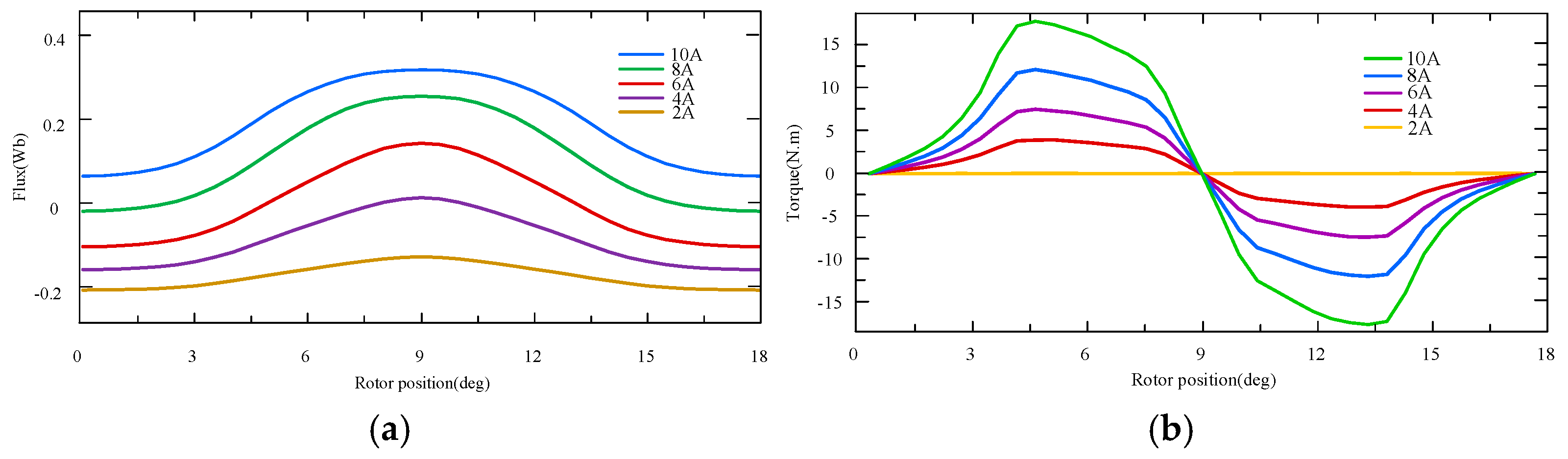
Assuming the motor is completely symmetric, its inductance distribution has a nonlinear correlation with both current and the stator/rotor position. The flux linkage of the PMa-SRM is nonlinear, as shown in Figure 5a; the flux linkage data matrix has the dimensions 450 × 37, with the rotor angle ranging from 1 to 18 degrees in steps of 0.5; and the current ranges from 0 to 24 in steps of 0.05. Due to the nonlinearity of the curve, an inverse calculation using linear interpolation was employed. The data was then linearized with reference to Equation (3).
ψ n = n ψ max ( I m , θ a ) ψ min ( 0 , θ u ) N + ψ min ( 0 , θ u ) ( n = 1 N )
where ψ max ( I m , θ a ) and ψ min ( 0 , θ u ) are the maximum and minimum flux linkage, respectively. The maximum flux linkage is produced when the rotor reaches the complete alignment position and the current simultaneously reaches the maximum value. The minimum flux linkage is generated when the rotor reaches the completely unaligned position and the current is zero. This interval between the complete alignment position and the unaligned position is subdivided into N, which is set to 1000 to compromise for the accuracy and calculation speed of the model.
Owing to the nonlinear magnetic circuit, the data on the flux linkage obtained by simulation is inconsistent with that obtained by linearity at the same rotor position, so linear interpolation method is presented below. If the smaller flux linkage occurs near the nonaligned rotor position when the current is small, there is no current value corresponding to this flux linkage near the aligned position, and the data needs to be supplemented. Conversely, if there is no larger current corresponding to the large flux linkage near the nonaligned position, the data also needs to be supplemented. Therefore, there are three cases, as outlined below.
ψ ( 0 , θ c o n s t ) < ψ n < ψ ( i max , θ c o n s t ) : when the rotor is at some fixed position, the linearized flux linkage is greater than the flux linkage which is generated when the current is zero, and less than that when the current is at its maximum. The current is obtained from the linear quadratic interpolation formula below.
i ( ψ n , θ c o n s t ) = i a + ( i b i a ) ψ n ψ ( i a , θ c o n s t ) ψ ( i b , θ c o n s t ) ψ ( i a , θ c o n s t )
where both ψ ( i a , θ c o n s t ) and ψ ( i b , θ c o n s t ) are the flux linkage of two neighboring points; i b and i a are the corresponding current values.
ψ n < ψ ( 0 , θ c o n s t ) : the flux linkage calculated by linear interpolation is smaller than that generated by simulation software when the current is zero.
It can be seen from Figure 5b that, owing to the presence of permanent magnet, the flux linkage may be negative at certain position even though the current is zero. Therefore, the current is zero in the inverse interpolation; that is,
i ( ψ n , θ c o n s t ) = 0
ψ n > ψ ( i max , θ c o n s t ) : the flux linkage is larger than that generated by simulation software even if the current is at its maximum.
There is no corresponding current in the inverse calculation in this case. The magnetic circuit is in a high saturation state, and the flux linkage hardly varies. It is impossible that ψ n occurs in the actual simulation analysis and the prototype experiment. The current is calculated by formula 6 below, which has no effect on the model.
i ( ψ n , θ c o n s t ) = i max + ( i max i max 1 ) ψ n ψ ( i max , θ c o n s t ) ψ ( i max , θ c o n s t ) ψ ( i max 1 , θ c o n s t )
Therefore, the nonlinear model developed in this paper for the PMa-SRM achieves a high accuracy and rapid response. Moreover, this model is mainly applied to assess the feasibility and effectiveness of the proposed control strategy through theoretical analysis and simulation.

3. Conventional TSF

3.1. Conventional TSF Control System

The three-phase windings are sequentially excited once during a mechanic angle of the rotor pole. As shown in Figure 6, the electrical angle of one phase winding, which is excited, is subdivided into two regions based on the inductance characteristic curve in the conventional TSF; that is, the single-phase conducting (SpC) region and two-phase exchanging (TpE) region. The torque of the incoming phase rises in the TpE, and that of the outgoing phase decreases.
The conventional TSF control system consists of a look-up table, PID module, torque sharing function, and hysteresis control, as shown in Figure 7. The error between the actual and reference speed is input into the PID module, and the instantaneous reference torque of each phase winding can be allocated by TSF, the turn-on angle, turn-off angle, and overlapped angle. The actual torque obtained by the look-up table is compared with the instantaneous reference torque in the hysteresis controller to control the power converter.

3.2. Conventional Torque Sharing Function

The TSF module assigns the reference torque to three-phase windings based on the TSF curve so that the electromagnetic and reference torque are equal in the TpE region. f k ( θ ) (k = 1, 2, 3) is defined as the torque sharing function, which must be met with the following formula:
T k ( θ ) = T r e f f k ( θ ) k = 1 3 f k ( θ ) = 1 0 f k ( θ ) 1
The two-phase windings provide output torque in the TpE simultaneously, but only in one phase winding in the SpC. f k ( θ ) is generally expressed as below:
f k ( θ ) = 0       0 θ θ o n R ( θ )   θ o n θ θ o n + θ o v 1     θ o n + θ o v θ θ o f f 1 R ( θ )       θ o f f θ θ o f f + θ o v 0     θ o f f θ
where R(θ) is the TSF curve of the incoming phase in the TpE, which is generally of four types—linear, exponential, sine, and cubic—as shown in Figure 8. θon, θoff, and θov are the turn-on angle, turn-off angle, and overlap angle, respectively. At the same position, the output phase winding is disconnected and the input phase winding is independently connected; that is, the output phase angle θ o f f k 1 is equal to the input phase angle θ o n k .

3.3. Cause of Torque Ripple Generation

The torque ripple can be effectively decreased by the conventional TSF strategy, but it is still larger in the TpE region when the load and speed vary. On the one hand, both the current of the outgoing phase and the rate of inductance changing simultaneously decrease in the first half of the TpE region, which leads the electromagnetic torque to drop obviously. It is smaller than the reference torque allocated to the outgoing phase. In addition, the small inductance changing rate of the incoming phase only produces a small electromagnetic torque. It is also smaller than the reference torque allocated to the incoming phase. Therefore, the electromagnetic torque cannot quickly track the reference torque, and a lower torque ripple appears.
On the other hand, the torque ripple is larger when the rotor is in the second half of the TpE region. It can be seen from Formula (2) that the angular acceleration is negative when Te is less than TL, and the angular velocity begins to decrease, resulting in the actual speed being less than the reference speed. In order to quickly track the reference speed, the speed loop needs to be adjusted, resulting in the reference torque being greater than the actual torque. In addition, the changing rate of the incoming phase inductance starts to increase, and the electromagnetic torque increase rapidly. Therefore, the total torque is large, and the value of the torque ripple peaks.
Furthermore, the conduction angle is fixed in the conventional TSF scheme, so the range of speeds is relatively narrow. This will cause a greater torque ripple, especially at high speeds. A TSF control method with an adaptive turn-on angle in three regions, can effectively decrease the torque ripple for partial loads and speeds.

4. Novel TSF with Three Regions

Although the conventional TSF control method can decrease torque ripple, the range of speeds and loads is limited. Both the current and rotor position need to be detected, and the torque of each phase winding also needs be estimated in the conventional TSF control method. A TSF control method with an adaptive turn-on angle in three regions is presented, which can automatically regulate the turn-on angle based different speeds and loads.

4.1. Subdivided Region

The electrical angle of one phase winding, which is excited, is subdivided into three regions, that are the two phase-exchanging regions, TpE I and TpE II, and the single phase-conducting (SpC) region; the end point of TpE II is a fixed angle where the rear edge of the rotor just meets the front edge of the stator, as shown in Figure 9.
The position where the inductance of the incoming phase obviously changes is named the inductance boundary point, where the TpE is separated into two regions; that is, TpE I and TpE II. The starting point of TpE I is defined by the turn-on angle of the incoming phase. This angle is determined by an optimized function that considers different speeds and loads. The endpoint of the TpE II region is at the aligned position. This is a fixed angle defined as the instant when the rear edge of the rotor aligns with the front edge of the stator, and the inductance of the outgoing phase begins to decrease. After the outgoing phase is demagnetized in TpE I and TpE II, its current is very small or zero, so the electromagnetic torque can be ignored.

4.2. Control Method

The control block diagram of a TSF control method with an adaptive turn-on angle in three regions is shown in Figure 10. Compared with the conventional TSF, an adaptive turn-on angle module and a new torque sharing function are added in the novel TSF in accordance with the characteristics of inductance in the TpE regions.
Taking the A and B phases as examples, with the phase A acting as the outgoing phase and phase B as the incoming phase, the TSF control method is set in each region for the outgoing and incoming phase. Half of the electromagnetic torque is provided, respectively, by phases A and B at the inductance boundary points θ m B .
SpC region ( θ e A θ o n B ): only phase A works, while phase B and phase C do not work. Therefore, the TSF expression is described in this region as
f A ( θ ) = 1 f B , C ( θ ) = 0
TpE I region ( θ o n B θ m B ): the changing rate of incoming-phase inductance is very small, and only a little electromagnetic torque can be generated. Most of it is provided by the outgoing phase. Therefore, phase B is always excited to rapidly raise the current, and phase A is controlled to diminish the torque ripple. The turn-on angle is inversely calculated by the optimized turn-on angle formula. The TSF expression is described in TpE I as
f A ( θ ) = 1 R B = 1 T B / T r e f f B ( θ ) = 1
TpE II region ( θ m B θ e B ): the changing rate of the incoming-phase inductance quickly grows, and most of the electromagnetic torque comes from the incoming phase. The current of the outgoing phase should be quickly reduced to refrain from generating a large negative torque in the next SpC. Therefore, phase A is turned off all the time, and phase B is controlled to reduce the torque ripple. The TSF expression is shown in the TpE II as
f A ( θ ) = 0 f B ( θ ) = 1 R A = 1 T A / T r e f
In conclusion, the expression of the new TSF curve is
f ( θ ) = 1   θ e A < θ < θ o n B     ( SpC   region ) R B       θ o n B θ < θ m B     incoming   phase 1 R B   θ o n B θ < θ m B     outgoing   phase R A       θ m B θ < θ e B     outgoing   phase 1 R A   θ m B θ < θ e B     incoming   phase ,
where Rk = Tk/Tref and k represents the A, B, and C phases; Tk and Tref represent the torque of each phase and the reference torque, respectively.

5. Adaptive Turn-On Angle Algorithm

A larger incoming phase current is needed to produce sufficient electromagnetic torque in cases of a heavy load. However, the current of the outgoing phase will reduce rapidly to prevent negative torque. The current of the incoming phase cannot track the reference current at the fixed conduction angle, and it does not have enough time to reduce the current of the outcoming phase. So, the motor cannot carry a large load at a fixed conduction angle mode.
The turn-on angle has an important effect on the current and torque of phase windings. As shown in Figure 11, if the turn-on angle θon is at the position θ1, the phase winding is excited for a long time during the small inductance region, so the current is larger, resulting in a larger torque. Conversely, if θon is at the position θ3, the torque is smaller, which will reduce the efficiency of the motor. Only when θon is at the appropriate position θ2, is the waveform of the phase current nearly flat, and the torque ripple small.
The turn-on angle also has a certain influence on speed variation. In the low-speed region, an earlier turn-on angle helps extend the current conduction time, ensuring that the phase current can fully build up during the period of the inductance rising. As the speed increases, the back electromotive force (EMF) of the motor also rises, significantly restricting the rate at which the phase current builds up. Adopting a turn-on angle that precedes the minimum inductance position provides the necessary time advance for current growth. If the turn-on angle is set too late, the current will be unable to track the reference waveform in time, leading to insufficient torque output at high speeds. The optimization of the turn-on angle essentially represents a dynamic trade-off between the torque output capability and the upper operational speed limit.
In order to optimize the turn-on angle, an online turn-on angle optimization function is designed based on the mathematical model for the PMa-SRM. The online optimization of the turn-on angle could maintain system performance, reducing sensitivity to speed estimation errors to some extent.
ω = d θ / d t is substituted into Formula (1), and the differential of flux linkage can be expressed as
d ψ = U j ω d θ
The upper equation is integrated with both the turn-on angle θ o n and the inductance boundary point θ m as follows:
ψ θ m ψ θ o n = U j ω θ m θ o n
Finally, the updated turn-on angle is obtained by
θ o n = θ m ψ ( θ m , T m ) ψ ( θ o n , T o n ) U j ω
where Tm is the reference torque at the inductance boundary point, and Ton is the torque at the turn-on angle θon; ψ ( θ m , T m ) and ψ ( θ o n , T o n ) are the flux linkage at θm and θon, respectively, both of which can be obtained by software simulation and digital interpolation. The control block diagram of the turn-on angle is shown in Figure 12, and Tm is the phase reference torque from the TSF; the derived turn-on angle θon is a critical and dynamic optimization variable, adjusted in real-time according to the motor’s operating conditions. To mitigate the sensitivity to interpolation errors inherent in the lookup table method, this study utilizes a high-accuracy lookup table, thereby minimizing the associated errors and improving overall system robustness.
According to Equation (15), if the torque become larger at the constant speed, the turn-on angle will reduce. The conducting time of the phase winding will become longer, and the current will increase at the same bus voltage. Otherwise, the current decreases.

6. Simulation Analysis

A model of a three-phase 6/20 PMa-SRM is built in Matlab(2023a)/Simulink to prove the feasibility of the novel TSF strategy with an adaptive conduction angle and three regions. The parameters of the PMa-SRM are shown in Table 1.
The motor’s speed is set at 500, 1000, and 1500 rpm, respectively, and the load is set at 2 N·m. The turn-on angle and overlapping angle are 0° and 3° in the conventional TSF, respectively. The coefficient of torque ripple Kr is expressed below to compare the performance of ripple suppression.
K r = T e M   a x T e M   i n T e a v × 100 %
Both the novel TSF and the conventional TSF strategy can suppress torque ripple at low speeds well. The Kr is 23% in the novel TSF, and 29% in the conventional TSF strategy, as shown in Figure 13 when the speed is 500 rpm and the load is 2 N·m. In addition, the current peak is smaller, and the current waveform is smoother in the novel TSF.
According to Figure 14a,b, Kr is 23% and 58% in the novel TSF method and the conventional TSF method, respectively, when the speed is 1000 rpm and the load is 2 N·m. When the speed increases, there is not enough time for the phase current to be excited, and the average current is small. The changing rate of inductance of incoming phase is light in the TpE I, so a smaller torque is produced. On the contrary, the changing rate of inductance quickly increases in TpE II, resulting in a larger torque. The turn-on angle is 1.1° in Figure 14b and 1.6° in Figure 13b, because the time when the incoming phase is excited increases when the speed rises from 500 to 1000 rpm. The incoming phase is always excited throughout TpE I to raise the minimum torque, and the outgoing phase is turned off throughout TpE II so that there is no negative torque.
Kr is 25% and 175% in the adaptive turn-on angle TSF control and conventional TSF control in Figure 15, respectively, when the speed is 1500 rpm and the load is 2 N·m. When the speed increases, the rising time of the incoming phase current shortens and the three-phase synthetic torque is small. Therefore, the reference speed is greater than the actual speed, resulting in a large speed error. The three-phase synthetic torque is enlarged by the outer speed loop to eliminate the speed error, and a large torque ripple emerges.
As shown in Figure 16, by performing FFT on the current, it can be observed that the conventional TSF control strategy exhibits higher magnitudes at 0, 150, and 180 Hz. In contrast, the improved TSF proposed in this paper demonstrates lower overall magnitudes, indicating effective suppression of torque ripple.
The turn-on angle is 0.65° for the conventional TSF in Figure 15, but it is 1.1° for the novel TSF. Therefore, it has enough time when the incoming phase is excited to increase the electromagnetic torque, resulting in a smaller torque ripple. The conventional TSF does not apply to variable speeds and large loads, and the waveform of the current and torque cannot be obtained, as shown in Figure 15a. But the novel TSF can do this, as shown in Figure 15b. The performance of torque ripple at different speeds and loads is shown in Table 2, and the effect of suppressing torque ripple is very obvious at high speeds and large loads.
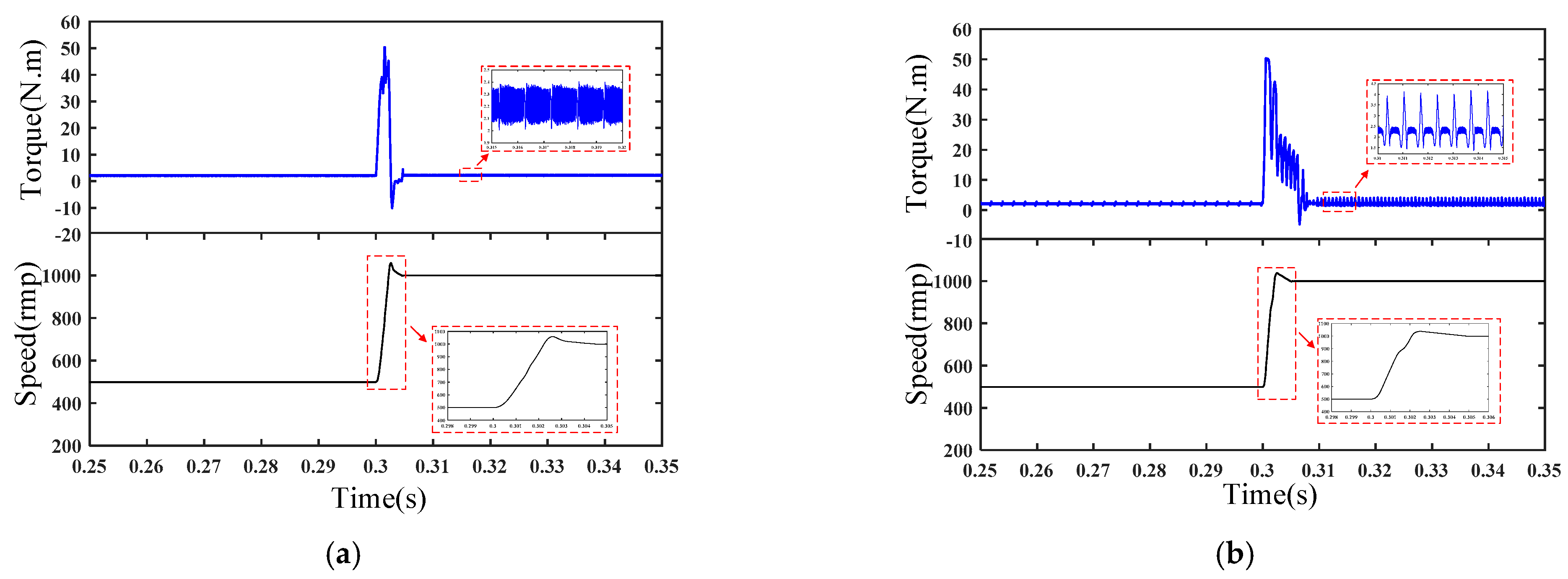
To verify the effectiveness of the control strategy proposed in this paper under speed and load disturbances, the simulation results are shown in Figure 17 and Figure 18. The speed and torque waveforms of the control strategy proposed in this paper and the traditional TSF control strategy, under speed disturbances, are shown in Figure 17a,b. As can be seen from the figure, when the speed increases from 500 r/min to 1000 r/min at 0.3 s, the control strategy proposed in this paper still has a good effect on torque fluctuation suppression during sudden speed changes.
The torque waveforms of the control strategy proposed in this paper and the traditional TSF control strategy under torque disturbances, as shown in Figure 18. As can be seen from the figure, at 0.3s, the load increases from 2 N·m to 4 N·m, and the control strategy proposed in this paper still has a good effect on suppressing torque ripple during sudden load changes.

7. Prototype Experiment

To further verify the TSF control method with an adaptive turn-on angle in three regions, an experimental platform for the PMa-SRM is built, as shown in Figure 19. The TMS320F28335 is employed as the control board, the sampling frequency is 10 kHz, the P parameter in the PI controller is 5, the I parameter is 0.1, an asymmetric half-bridge circuit is taken as the drive board, and a 15-bit absolute encoder is used for real-time position signaling. The experimental platform uses a 15-bit BRT38-COM32768 absolute encoder model manufactured by Britech Technology in Shenzhen, China. The accuracy of this encoder can reach 0.01°. The position signal sent by the encoder is read using the CAN communication protocol F28335. The motor current is measured by an RP1001c current sensor model manufactured by RIGOL in Beijing, China, while the motor speed and torque are measured using an HCNJ-101 sensor manufactured by the Haibohua Technology Company in Beijing, China. The parameters are consistent with the motor parameters in the simulation test.
The hardware implementation of the aforementioned control system is achieved as follows: The rotor position and phase current data, acquired by an encoder and by current sampling, are sent to the TMS320F28335 microcontroller for computation. The TMS320F28335 is manufactured by TI in Dallas, TX, USA. The control algorithm then generates conduction signals, which are output via the PWM module to an asymmetric half-bridge driver. This driver subsequently switches the IGBTs on and off, thus controlling the motor’s operation.
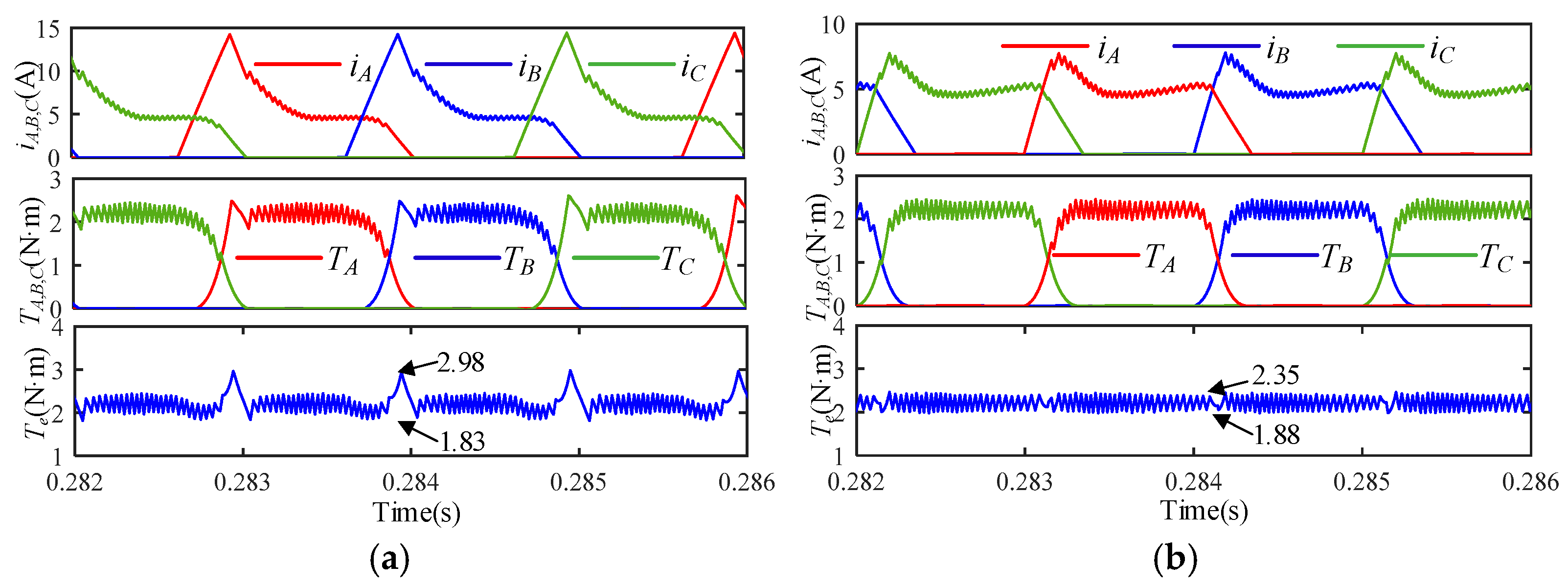
To test the novel TSF strategy, the prototype experiment is carried out in both the conventional TSF and the novel TSF when the load is set at 2 N·m and the speed is 500 rpm. The test results are shown in Figure 20 and Figure 21. In Figure 20a, owing to the PI control at the speed loop in the conventional TSF strategy, the current slowly increases. But the incoming phase is always excited in TpE I in the novel TSF method in Figure 21a, so the phase current quickly increases. The torque ripple of the conventional TSF scheme is 40%, as shown in Figure 20b, and that of the novel TSF method is 27.5%, as shown in Figure 21b. The torque ripple is significantly reduced.
To verify the performance of the adaptive turn-on angle at different rotational speeds and the effectiveness of the proposed control strategy, the prototype experiment is carried out in both the conventional TSF and the novel TSF when the load is set to 5 N·m and the speed is 1000 rpm. The test results are shown in Figure 22 and Figure 23. The torque ripple of the conventional TSF scheme is 46%, as shown in Figure 22b, and that of the novel TSF method is 22%, as shown in Figure 23b. The torque ripple is significantly reduced.

8. Conclusions

The conventional TSF strategy exhibits significant torque ripple under varying speed or load conditions. To address this limitation, a novel TSF method is proposed. This method subdivides the TpE region into TpE I and TpE II based on the inductance characteristic curve of the PMa-SRM, with a dedicated TSF designed for each sub-region. Furthermore, the turn-on angle is adaptively adjusted according to the operating speed and load. The experimental results demonstrate that the proposed strategy reduces torque ripple by 8% and 28% at 500 rpm and 1000 rpm, respectively, compared to the conventional approach. Both the simulation and the experimental results from a prototype machine consistently verify that the novel three-region TSF method with an adaptive turn-on angle is highly effective at suppressing torque ripple.

Author Contributions

Conceptualization, C.H. and J.X.; methodology, J.X.; software, P.W.; validation, P.W.; formal analysis, C.H.; investigation, J.X.; resources, Y.Y. and J.Z.; data curation, P.W.; writing—original draft preparation, P.W. and J.Z.; writing—review and editing, J.X. and C.H.; project administration, C.H.; funding acquisition, C.H. All authors have read and agreed to the published version of the manuscript.

Funding

This research was funded by the National Natural Science Foundation of China, grant number 52167005, the funding amount is 320,000 RMB; the Jiangxi Province Natural Science Foundation, grant number 20232BAB204063, the funding amount is 100,000 RMB; and the Jiangxi Provincial Key Laboratory of Maglev Rail Transit Equipment, grant number 2020SSY050, the funding amount is 500,000 RMB.

Institutional Review Board Statement

Not applicable.

Informed Consent Statement

Not applicable.

Data Availability Statement

The original contributions presented in this study are included in the article. Further inquiries can be directed to the corresponding author.

Conflicts of Interest

The authors declare no conflicts of interest. The funders had no role in the design of the study; in the collection, analyses, or interpretation of data; in the writing of the manuscript; or in the decision to publish the results.

References

  1. Gaafar, M.A.; Abdelmaksoud, A.; Orabi, M.; Chen, H.; Dardeer, M. Switched Reluctance Motor Converters for Electric Vehicles Applications: Comparative Review. IEEE Trans. Transp. Electrif. 2023, 9, 3526–3544. [Google Scholar] [CrossRef]
  2. Kusumi, T.; Kobayashi, K.; Umetani, K.; Hiraki, E. Analytical Derivation of Phase-Current Waveform for Elimination of Torque and Input-Current Ripples of Switched Reluctance Motor Operating Under Magnetic Saturation. IEEE Trans. Ind. Appl. 2020, 4, 5248–5261. [Google Scholar] [CrossRef]
  3. Cai, Y.; Sobue, H.; Wiguna, C.A.; Chiba, A.; Yoshizaki, S.; Senda, K. Radial Electromagnetic Force Estimation Using Strain Gauges in Switched Reluctance Motors. IEEE Trans. Ind. Appl. 2023, 59, 1242–1252. [Google Scholar] [CrossRef]
  4. Duru, H.T.; Camur, S.; Arifoglu, B.; Beser, E.R.S.O.Y. Design and analysis of a permanent magnet assisted synchronous reluctance motor. IEEE Int. Electr. Mach. Drives Conf. 2003, 1, 346–352. [Google Scholar]
  5. Torres, C.L. Analysis and Implementation of a Methodology for Optimal PMa-SynRM Design Taking into Account Performances and Reliability. Ph.D. Thesis, Universitat Politècnica de Catalunya, Barcelona, Spain, 2018. [Google Scholar]
  6. Chen, H.; Liu, J.; Wang, X.; Li, X.; Orabi, M.; Li, Y.; Gong, Y.; Parspour, N.; Zhang, J. A Novel Method to Suppress the Force Ripple of a Switched Reluctance Linear Motor. IEEE Trans. Ind. Appl. 2022, 58, 4792–4803. [Google Scholar] [CrossRef]
  7. Ding, W.; Liu, G.; Li, P. A Hybrid Control Strategy of Hybrid-Excitation Switched Reluctance Motor for Torque Ripple Reduction and Constant Power Extension. IEEE Trans. Ind. Electron. 2020, 67, 38–48. [Google Scholar] [CrossRef]
  8. Scalcon, F.P.; Fang, G.; Vieira, R.P.; Gründling, H.A.; Emadi, A. Discrete-Time Super-Twisting Sliding Mode Current Controller with Fixed Switching Frequency for Switched Reluctance Motors. IEEE Trans. Power Electron. 2022, 37, 3321–3333. [Google Scholar] [CrossRef]
  9. Sun, X.; Zhu, Y.; Cai, Y.; Xiong, Y.; Yao, M.; Yuan, C. Current Fault Tolerance Control Strategy for 3-Phase Switched Reluctance Motor Combined with Position Signal Reconstruction. IEEE Trans. Energy Convers. 2023, 38, 1679–1690. [Google Scholar] [CrossRef]
  10. Xu, S.; Tao, L.; Han, G.; Liu, C. A Novel-Driven Scheme Regarding to Current Dynamics Enhancement for Switched Reluctance Motor System. IEEE Trans. Transp. Electrif. 2023, 9, 4447–4457. [Google Scholar] [CrossRef]
  11. Yang, F.; Yuan, Y.; Sun, Y.; Ding, S.; Yan, L.; Xu, J. Coupling Suspension Force Regulator Considering Time-Varying Characteristic for a Bearingless Switched Reluctance Motor. IEEE Trans. Ind. Electron. 2023, 70, 6632–6641. [Google Scholar] [CrossRef]
  12. Dianov, A.; Tinazzi, F.; Calligaro, S.; Bolognani, S. Review and classification of MTPA control algorithms for synchronous motors. IEEE Trans. Power Electron. 2022, 37, 3990–4007. [Google Scholar] [CrossRef]
  13. Tao, Y.; Xue, R.; Wu, Q.; Wang, B.; Fang, M.; Ruan, Q.; Liu, W.; Ren, Y. Polarization-Selective Dynamic Coupling: Electrorotation-Orbital Motion of Twin Colloids in Rotating Fields. Electrophoresis 2025. [Google Scholar] [CrossRef]
  14. Tao, Y.; Liu, W.; Li, X.; Wang, S.; Sun, Y.; Wu, Q.; Xu, H.; Tu, L.; Ren, Y. Alternating-current induced-charge electrokinetic self-propulsion of metallodielectric Janus particles in confined microchannels within a wide frequency range. J. Appl. Phys. 2025, 138, 184702. [Google Scholar] [CrossRef]
  15. Tao, Y.; Gao, Y.; Liu, Z.; Chen, Y.; Liu, W.; Yu, G.; Ren, Y. Many-body electrohydrodynamic contact dynamics in alternating-current dielectrophoresis: Resolving hierarchical assembly of soft binary colloids. Phys. Fluids 2025, 37, 082043. [Google Scholar] [CrossRef]
  16. Yang, Y.; Sun, X.; Dianov, A.; Demidova, G.; Prakht, V.; Wang, Y.; Han, S. Model predictive torque control of six-phase switched reluctance motors based on improved voltage vector strategy. IEEE Trans. Transp. Electrif. 2025, 11, 7650–7661. [Google Scholar] [CrossRef]
  17. Zhu, T.; Cao, X.; Yu, Q.; Deng, Z.; Hao, Z. Direct Torque Control with Phase Commutation Optimization for Single-Winding Bearingless Switched Reluctance Motor. IEEE Trans. Power Electron. 2025, 37, 13238–13249. [Google Scholar] [CrossRef]
  18. Ren, P.; Zhu, J.; Jing, Z.; Guo, Z.; Xu, A. Improved DITC strategy of switched reluctance motor based on adaptive turn-on angle TSF. Energy Rep. 2022, 8, 1336–1343. [Google Scholar] [CrossRef]
  19. Feng, L.; Sun, X.; Guo, D.; Yao, M.; Diao, K. Advanced Torque Sharing Function Strategy with Sliding Mode Control for Switched Reluctance Motors. IEEE Trans. Transp. Electrif. 2023, 10, 2302–2311. [Google Scholar] [CrossRef]
  20. Li, H.; Bilgin, B.; Emadi, A. An Improved Torque Sharing Function for Torque Ripple Reduction in Switched Reluctance Machines. IEEE Trans. Power Electron. 2019, 34, 1635–1644. [Google Scholar] [CrossRef]
  21. Feng, L.; Sun, X.; Yang, Z.; Diao, K. Optimal Torque Sharing Function Control for Switched Reluctance Motors Based on Active Disturbance Rejection Controller. IEEE/ASME Trans. Mechatron. 2023, 28, 2600–2608. [Google Scholar] [CrossRef]
  22. Al-Amyal, F.; Számel, L. Research on Novel Hybrid Torque Sharing Function for Switched Reluctance Motors. IEEE Access 2022, 10, 91306–91315. [Google Scholar] [CrossRef]
  23. Xia, Z.; Bilgin, B.; Nalakath, S.; Emadi, A. A New Torque Sharing Function Method for Switched Reluctance Machines with Lower Current Tracking Error. IEEE Trans. Ind. Electron. 2021, 11, 10612–10622. [Google Scholar] [CrossRef]
  24. Ling, X.; Zhou, C.; Yang, L.; Zhang, J. Torque Ripple Suppression Method of Switched Reluctance Motor Based on an Improved Torque Distribution Function. Electronics 2022, 11, 1552. [Google Scholar] [CrossRef]
  25. Xia, Z.; Fang, G.; Xiao, D.; Emadi, A.; Bilgin, B. An Online Torque Sharing Function Method Involving Current Dynamics for Switched Reluctance Motor Drives. IEEE Trans. Transp. Electrif. 2023, 9, 31–39. [Google Scholar] [CrossRef]
  26. Sun, Q.; Wu, J.; Gan, C. Optimized Direct Instantaneous Torque Control for SRMs with Efficiency Improvement. IEEE Trans. Ind. Electron. 2021, 68, 2072–2082. [Google Scholar] [CrossRef]
  27. Yu, Z.; Gan, C.; Ni, K.; Chen, Y.; Qu, R. A Simplified PWM Strategy for Open-Winding Flux Modulated Doubly-Salient Reluctance Motor Drives with Switching Action Minimization. IEEE Trans. Ind. Electron. 2023, 70, 2241–2253. [Google Scholar] [CrossRef]
  28. Meng, F.; Liu, A.; Lou, J.; Zhang, W.; Ren, D.; Li, Y. A torque sharing function with online compensation of excitation current control method for torque ripple reduction in electric excitation auxiliary switched reluctance motor drives. IET Electr. Power Appl. 2022, 16, 817–827. [Google Scholar] [CrossRef]
  29. Han, G.; Wu, M.; Lu, Z.; Liu, W.; Zhu, B. Phase Current Measurement Method for Switched Reluctance Motors with One Current Sensor. IEEE Trans. Transp. Electrif. 2023, 9, 699–711. [Google Scholar] [CrossRef]
  30. Rana, A.K.; Teja, A.R. A Mathematical Torque Ripple Minimization Technique Based on a Nonlinear Modulating Factor for Switched Reluctance Motor Drives. IEEE Trans. Ind. Electron. 2022, 69, 1356–1366. [Google Scholar] [CrossRef]
  31. Ren, P.; Zhu, J.; Jing, Z.; Guo, Z.; Xu, A. Minimization of torque ripple in switched reluctance motor based on MPC and TSF. IEEJ Trans. Electr. Electron. Eng. 2021, 16, 1535–1543. [Google Scholar] [CrossRef]
  32. Ding, W.; Li, J.; Yuan, J. An Improved Model Predictive Torque Control for Switched Reluctance Motors with Candidate Voltage Vectors Optimization. IEEE Trans. Ind. Electron. 2023, 70, 4595–4607. [Google Scholar] [CrossRef]
  33. Li, W.; Cui, Z.; Ding, S.; Chen, F.; Guo, Y. Model Predictive Direct Torque Control of Switched Reluctance Motors for Low-Speed Operation. IEEE Trans. Energy Convers. 2022, 37, 1406–1415. [Google Scholar] [CrossRef]
Figure 1. The motor structure of PMa-SRM.
Figure 1. The motor structure of PMa-SRM.
Applsci 15 12818 g001
Figure 2. The flux linkage curve of the PMa-SRM and SRM.
Figure 2. The flux linkage curve of the PMa-SRM and SRM.
Applsci 15 12818 g002
Figure 3. The mathematical model of PMa-SRM.
Figure 3. The mathematical model of PMa-SRM.
Applsci 15 12818 g003
Figure 4. The torque data diagram of PMa-SRM. (a) Flux linkage; (b) torque.
Figure 4. The torque data diagram of PMa-SRM. (a) Flux linkage; (b) torque.
Applsci 15 12818 g004
Figure 5. (a) The flux linkage data diagram; (b) the current data diagram by inversion.
Figure 5. (a) The flux linkage data diagram; (b) the current data diagram by inversion.
Applsci 15 12818 g005
Figure 6. Allocated region in the conventional TSF.
Figure 6. Allocated region in the conventional TSF.
Applsci 15 12818 g006
Figure 7. Conventional TSF control block diagram.
Figure 7. Conventional TSF control block diagram.
Applsci 15 12818 g007
Figure 8. The four waveforms of a general TSF. (a) Linear type; (b) exponential type; (c) sine type; and (d) cubic type.
Figure 8. The four waveforms of a general TSF. (a) Linear type; (b) exponential type; (c) sine type; and (d) cubic type.
Applsci 15 12818 g008
Figure 9. The partition of PMa-SRM based on inductive sharing characteristic.
Figure 9. The partition of PMa-SRM based on inductive sharing characteristic.
Applsci 15 12818 g009
Figure 10. Control block diagram of the novel TSF control method.
Figure 10. Control block diagram of the novel TSF control method.
Applsci 15 12818 g010
Figure 11. Waveforms of phase current at three turn-on angles.
Figure 11. Waveforms of phase current at three turn-on angles.
Applsci 15 12818 g011
Figure 12. Control block diagram of turn-on angle.
Figure 12. Control block diagram of turn-on angle.
Applsci 15 12818 g012
Figure 13. Simulation waveform at 500 rpm and 2 N·m. (a) Conventional TSF, and (b) novel TSF.
Figure 13. Simulation waveform at 500 rpm and 2 N·m. (a) Conventional TSF, and (b) novel TSF.
Applsci 15 12818 g013
Figure 14. Simulation waveform at 1000 rpm and 2 N·m. (a) Conventional TSF, and (b) novel TSF.
Figure 14. Simulation waveform at 1000 rpm and 2 N·m. (a) Conventional TSF, and (b) novel TSF.
Applsci 15 12818 g014
Figure 15. Simulation waveform at 1500 rpm and 2 N·m. (a) Conventional TSF, and (b) novel TSF.
Figure 15. Simulation waveform at 1500 rpm and 2 N·m. (a) Conventional TSF, and (b) novel TSF.
Applsci 15 12818 g015
Figure 16. FFT analysis of current. (a) The novel TSF; (b) the conventional TSF.
Figure 16. FFT analysis of current. (a) The novel TSF; (b) the conventional TSF.
Applsci 15 12818 g016
Figure 17. The speed and torque waveforms. (a) The control strategy proposed in this paper under variable speed conditions; (b) the traditional TSF control strategy under variable speed conditions.
Figure 17. The speed and torque waveforms. (a) The control strategy proposed in this paper under variable speed conditions; (b) the traditional TSF control strategy under variable speed conditions.
Applsci 15 12818 g017
Figure 18. The torque waveforms under variable load conditions. (a) The control strategy proposed in this paper; (b) the TSF control method based on the hyperbolic tangent function; and (c) the traditional TSF control strategy.
Figure 18. The torque waveforms under variable load conditions. (a) The control strategy proposed in this paper; (b) the TSF control method based on the hyperbolic tangent function; and (c) the traditional TSF control strategy.
Applsci 15 12818 g018
Figure 19. PMa-SRM experimental prototype platform.
Figure 19. PMa-SRM experimental prototype platform.
Applsci 15 12818 g019
Figure 20. Experimental waveform in conventional TSF method at speed of 500 rpm and with load of 2 N·m. (a) Current; (b) torque.
Figure 20. Experimental waveform in conventional TSF method at speed of 500 rpm and with load of 2 N·m. (a) Current; (b) torque.
Applsci 15 12818 g020
Figure 21. Experimental waveform in novel TSF method at speed of 500 rpm and with load of 2 N·m. (a) Current; (b) torque.
Figure 21. Experimental waveform in novel TSF method at speed of 500 rpm and with load of 2 N·m. (a) Current; (b) torque.
Applsci 15 12818 g021
Figure 22. Experimental waveform in conventional TSF method at speed of 1000 rpm and with load of 5 N·m. (a) Current; (b) torque.
Figure 22. Experimental waveform in conventional TSF method at speed of 1000 rpm and with load of 5 N·m. (a) Current; (b) torque.
Applsci 15 12818 g022
Figure 23. Experimental waveform in novel TSF method at speed of 1000 rpm and with load of 5 N·m. (a) Current; (b) torque.
Figure 23. Experimental waveform in novel TSF method at speed of 1000 rpm and with load of 5 N·m. (a) Current; (b) torque.
Applsci 15 12818 g023
Table 1. PMa-SRM parameters.
Table 1. PMa-SRM parameters.
ParametersValueParametersValue
Rated speed/rpm1000Rated voltage/V240
Rated power/kW1Rated torque/(N·m)5
Peak current/A10Effective value of current/A5.5
Outer diameter of stator/mm142Inner diameter of stator/mm70
Table 2. The torque ripple performance of the novel TSF.
Table 2. The torque ripple performance of the novel TSF.
Speed (r/min)Load (N·m)θon (°)Kr (Mean ± Std)I(A)
50021.623% ± 0.6%7.6
50041.415% ± 0.4%11
50061.2513.5% ± 0.9%13.2
100021.123% ± 0.6%7.7
100040.7514% ± 0.5%10.6
100060.4513% ± 0.3%12.6
150020.6525% ± 1.0%7.5
150040.120.5% ± 0.4%10.5
15006−0.422% ± 0.7%12.5
Disclaimer/Publisher’s Note: The statements, opinions and data contained in all publications are solely those of the individual author(s) and contributor(s) and not of MDPI and/or the editor(s). MDPI and/or the editor(s) disclaim responsibility for any injury to people or property resulting from any ideas, methods, instructions or products referred to in the content.

Share and Cite

MDPI and ACS Style

Wei, P.; Xu, J.; Huang, C.; Zhang, J.; Yu, Y. A Novel TSF Control Method with an Adaptive Turn-On Angle in Three Regions to Suppress Torque Ripple in Permanent Magnet-Assisted Switched Reluctance Motor. Appl. Sci. 2025, 15, 12818. https://doi.org/10.3390/app152312818

AMA Style

Wei P, Xu J, Huang C, Zhang J, Yu Y. A Novel TSF Control Method with an Adaptive Turn-On Angle in Three Regions to Suppress Torque Ripple in Permanent Magnet-Assisted Switched Reluctance Motor. Applied Sciences. 2025; 15(23):12818. https://doi.org/10.3390/app152312818

Chicago/Turabian Style

Wei, Pengpeng, Junxin Xu, Chaozhi Huang, Junjie Zhang, and Yiqiang Yu. 2025. "A Novel TSF Control Method with an Adaptive Turn-On Angle in Three Regions to Suppress Torque Ripple in Permanent Magnet-Assisted Switched Reluctance Motor" Applied Sciences 15, no. 23: 12818. https://doi.org/10.3390/app152312818

APA Style

Wei, P., Xu, J., Huang, C., Zhang, J., & Yu, Y. (2025). A Novel TSF Control Method with an Adaptive Turn-On Angle in Three Regions to Suppress Torque Ripple in Permanent Magnet-Assisted Switched Reluctance Motor. Applied Sciences, 15(23), 12818. https://doi.org/10.3390/app152312818

Note that from the first issue of 2016, this journal uses article numbers instead of page numbers. See further details here.

Article Metrics

Back to TopTop