An Online Path-Planning Strategy for an Unmanned Aerial Vehicle Crossing Mobile Narrow Passages
Featured Application
Abstract
1. Introduction
1.1. Background and Related Works
1.2. Aims and Work Contributions
2. Mission Planning and the Strategy to Cross Moving Narrow Passages
2.1. Mission Planning
2.2. Spatial Path-Planning
| Algorithm 1 Path-planning for moving narrow passages. |
|
2.3. Path-Following
3. Robots Dynamic Modeling and Control
3.1. The UGV Model and Control
3.2. The UAV Model and Control
3.3. Stability Analysis of the Controllers
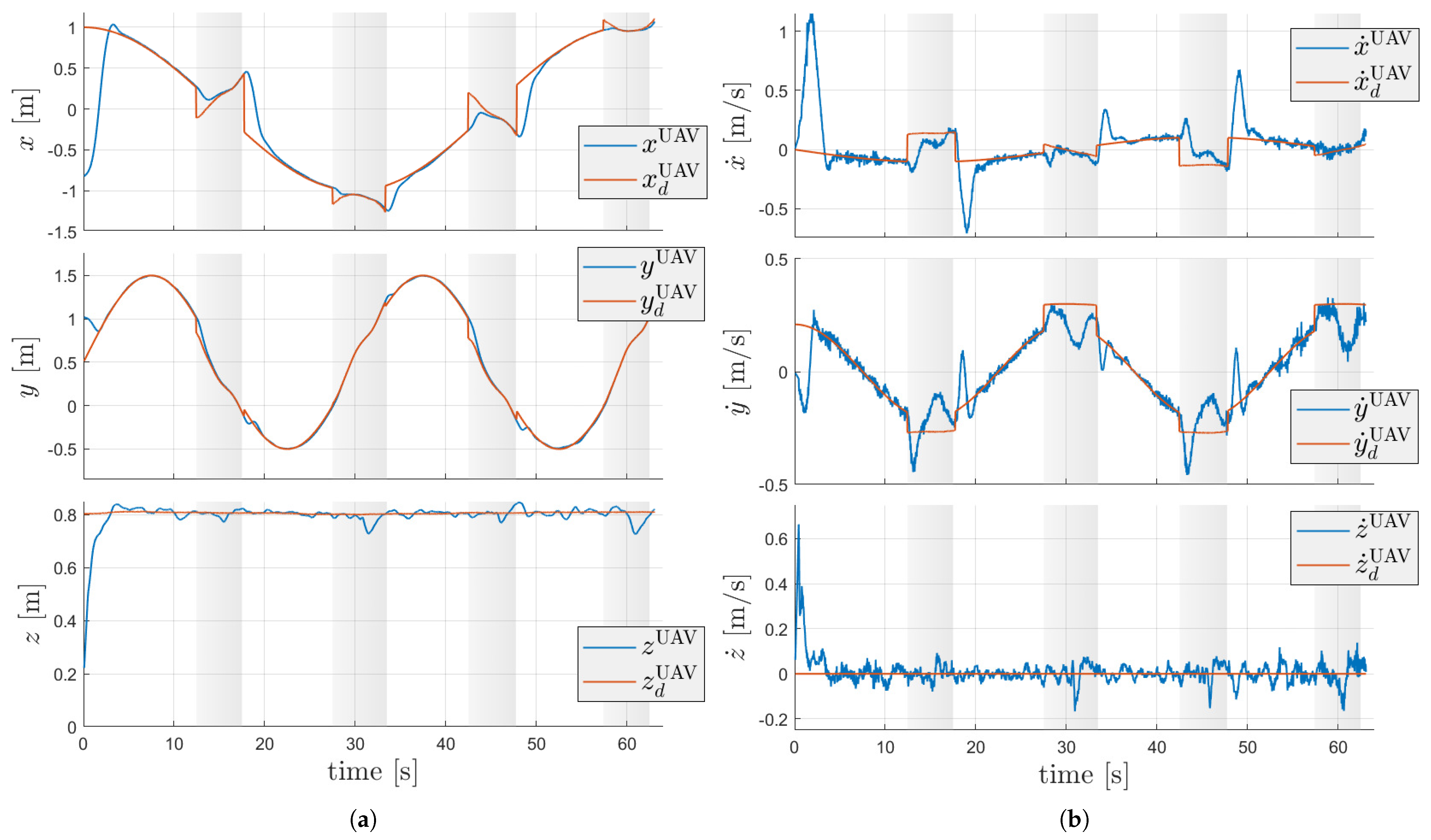
4. Experiments, Results, and Discussion
5. Concluding Remarks
Author Contributions
Funding
Data Availability Statement
Conflicts of Interest
Abbreviations
| UAV | Unmanned Aerial Vehicle |
| UGV | Unmanned Ground Vehicle |
| GPS | Global Positioning Systems |
| CPS | Constrained Polygonal Space |
| ESWG | Extremely Sparse Waypoint Graph |
| RL | Reinforcement Learning |
| DL | Deep Learning |
| CNN | Convolutional Neural Network |
| PSO | Particle Swarm Optimization |
References
- Chen, S.; Laefer, D.F.; Mangina, E. State of Technology Review of Civilian UAVs. Recent Patents Eng. 2016, 10, 160–174. [Google Scholar] [CrossRef]
- Muchiri, G.; Kimathi, S. A review of applications and potential applications of UAV. In Proceedings of the Sustainable Research and Innovation Conference, Nairobi, Kenya, 4–6 May 2016; pp. 280–283. [Google Scholar]
- Adade, R.; Aibinu, A.M.; Ekumah, B.; Asaana, J. Unmanned Aerial Vehicle (UAV) applications in coastal zone management—A review. Environ. Monit. Assess. 2021, 193, 154. [Google Scholar] [CrossRef] [PubMed]
- Shakhatreh, H.; Sawalmeh, A.H.; Al-Fuqaha, A.; Dou, Z.; Almaita, E.; Khalil, I.; Othman, N.S.; Khreishah, A.; Guizani, M. Unmanned aerial vehicles (UAVs): A survey on civil applications and key research challenges. IEEE Access 2019, 7, 48572–48634. [Google Scholar] [CrossRef]
- Alotaibi, E.T.; Alqefari, S.S.; Koubaa, A. Lsar: Multi-uav collaboration for search and rescue missions. IEEE Access 2019, 7, 55817–55832. [Google Scholar] [CrossRef]
- Lyu, M.; Zhao, Y.; Huang, C.; Huang, H. Unmanned aerial vehicles for search and rescue: A survey. Remote Sens. 2023, 15, 3266. [Google Scholar] [CrossRef]
- Lygouras, E.; Santavas, N.; Taitzoglou, A.; Tarchanidis, K.; Mitropoulos, A.; Gasteratos, A. Unsupervised human detection with an embedded vision system on a fully autonomous UAV for search and rescue operations. Sensors 2019, 19, 3542. [Google Scholar] [CrossRef]
- Zhao, S.; Kang, F.; Li, J.; Ma, C. Structural health monitoring and inspection of dams based on UAV photogrammetry with image 3D reconstruction. Autom. Constr. 2021, 130, 103832. [Google Scholar] [CrossRef]
- Hayajneh, M.; Al Mahasneh, A. Guidance, Navigation and Control System for Multi-Robot Network in Monitoring and Inspection Operations. Drones 2022, 6, 332. [Google Scholar] [CrossRef]
- Aela, P.; Chi, H.L.; Fares, A.; Zayed, T.; Kim, M. UAV-based studies in railway infrastructure monitoring. Autom. Constr. 2024, 167, 105714. [Google Scholar] [CrossRef]
- Amarasingam, N.; Salgadoe, A.S.A.; Powell, K.; Gonzalez, L.F.; Natarajan, S. A review of UAV platforms, sensors, and applications for monitoring of sugarcane crops. Remote Sens. Appl. Soc. Environ. 2022, 26, 100712. [Google Scholar] [CrossRef]
- Jenssen, R.; Roverso, D.; Roverso, D. Intelligent monitoring and inspection of power line components powered by UAVs and deep learning. IEEE Power Energy Technol. Syst. J. 2019, 6, 11–21. [Google Scholar]
- Barcelos, C.O.; Fagundes-Júnior, L.A.; Villa, D.K.D.; Sarcinelli-Filho, M.; Silvatti, A.P.; Gandolfo, D.C.; Brandão, A.S. Robot Formation Performing a Collaborative Load Transport and Delivery Task by Using Lifting Electromagnets. Appl. Sci. 2023, 13, 822. [Google Scholar] [CrossRef]
- Saunders, J.; Saeedi, S.; Li, W. Autonomous aerial robotics for package delivery: A technical review. J. Field Robot. 2024, 41, 3–49. [Google Scholar] [CrossRef]
- Saponi, M.; Borboni, A.; Adamini, R.; Faglia, R.; Amici, C. Embedded payload solutions in UAVs for medium and small package delivery. Machines 2022, 10, 737. [Google Scholar] [CrossRef]
- Deng, X.; Guan, M.; Ma, Y.; Yang, X.; Xiang, T. Vehicle-assisted uav delivery scheme considering energy consumption for instant delivery. Sensors 2022, 22, 2045. [Google Scholar] [CrossRef]
- Akhtar, A.; Saleem, S.; Shan, J. Path Invariant Controllers for a Quadrotor With a Cable-Suspended Payload Using a Global Parameterization. IEEE Trans. Control Syst. Technol. 2021, 30, 2002–2017. [Google Scholar] [CrossRef]
- Cardoso, E.S.; Bacheti, V.P.; Sarcinelli-Filho, M. Package Delivery Based on the Leader-Follower Control Paradigm for Multirobot Systems. In Proceedings of the 2023 International Conference on Unmanned Aircraft Systems (ICUAS’23), Warsaw, Poland, 6–9 June 2023. [Google Scholar]
- Puniach, E.; Gruszczyński, W.; Ćwiąkała, P.; Matwij, W. Application of UAV-based orthomosaics for determination of horizontal displacement caused by underground mining. ISPRS J. Photogramm. Remote Sens. 2021, 174, 282–303. [Google Scholar] [CrossRef]
- Park, S.; Choi, Y. Applications of unmanned aerial vehicles in mining from exploration to reclamation: A review. Minerals 2020, 10, 663. [Google Scholar] [CrossRef]
- Ćwiąkała, P.; Gruszczyński, W.; Stoch, T.; Puniach, E.; Mrocheń, D.; Matwij, W.; Matwij, K.; Nędzka, M.; Sopata, P.; Wójcik, A. UAV applications for determination of land deformations caused by underground mining. Remote Sens. 2020, 12, 1733. [Google Scholar] [CrossRef]
- Freire, V.; Xu, X. Flatness-based quadcopter trajectory planning and tracking with continuous-time safety guarantees. IEEE Trans. Control Syst. Technol. 2023, 31, 2319–2334. [Google Scholar] [CrossRef]
- Bolourian, N.; Hammad, A. LiDAR-equipped UAV path planning considering potential locations of defects for bridge inspection. Autom. Constr. 2020, 117, 103250. [Google Scholar] [CrossRef]
- Ma, X.; Jiao, Z.; Wang, Z.; Panagou, D. 3-d decentralized prioritized motion planning and coordination for high-density operations of micro aerial vehicles. IEEE Trans. Control Syst. Technol. 2017, 26, 939–953. [Google Scholar] [CrossRef]
- Roucek, T.; Pecka, M.; Cızek, P.; Petrıcek, T.; Bayer, J.; Šalansky, V.; Azayev, T.; Hert, D.; Petrlık, M.; Báca, T.; et al. System for multi-robotic exploration of underground environments CTU-CRAS-NORLAB in the DARPA subterranean challenge. arXiv 2021, arXiv:2110.05911. [Google Scholar]
- Muller, M.; Li, G.; Casser, V.; Smith, N.; Michels, D.L.; Ghanem, B. Learning a controller fusion network by online trajectory filtering for vision-based uav racing. In Proceedings of the IEEE/CVF Conference on Computer Vision and Pattern Recognition Workshops, Long Beach, CA, USA, 16–17 June 2019. [Google Scholar]
- Ribeiro, R.; Ramos, J.; Safadinho, D.; de Jesus Pereira, A.M. UAV for everyone: An intuitive control alternative for drone racing competitions. In Proceedings of the 2018 2nd International Conference on Technology and Innovation in Sports, Health and Wellbeing (TISHW), Thessaloniki, Greece, 20–22 June 2018; pp. 1–8. [Google Scholar]
- Madaan, R.; Gyde, N.; Vemprala, S.; Brown, M.; Nagami, K.; Taubner, T.; Cristofalo, E.; Scaramuzza, D.; Schwager, M.; Kapoor, A. Airsim drone racing lab. In Proceedings of the Neurips 2019 Competition and Demonstration Track, PMLR, Vancouver, BC, Canada, 8–14 December 2020; pp. 177–191. [Google Scholar]
- Aggarwal, S.; Kumar, N. Path planning techniques for unmanned aerial vehicles: A review, solutions, and challenges. Comput. Commun. 2020, 149, 270–299. [Google Scholar] [CrossRef]
- Yang, L.; Qi, J.; Xiao, J.; Yong, X. A literature review of UAV 3D path planning. In Proceeding of the 11th World Congress on Intelligent Control and Automation, Shenyang, China, 29 June–4 July 2014; pp. 2376–2381. [Google Scholar]
- Spedicato, S.; Notarstefano, G. Minimum-time trajectory generation for quadrotors in constrained environments. IEEE Trans. Control Syst. Technol. 2017, 26, 1335–1344. [Google Scholar] [CrossRef]
- Cui, Z.; Wang, Y. UAV path planning based on multi-layer reinforcement learning technique. IEEE Access 2021, 9, 59486–59497. [Google Scholar] [CrossRef]
- Chen, Y.b.; Luo, G.c.; Mei, Y.s.; Yu, J.q.; Su, X.l. UAV path planning using artificial potential field method updated by optimal control theory. Int. J. Syst. Sci. 2016, 47, 1407–1420. [Google Scholar] [CrossRef]
- Khuswendi, T.; Hindersah, H.; Adiprawita, W. Uav path planning using potential field and modified receding horizon a* 3d algorithm. In Proceedings of the 2011 International Conference on Electrical Engineering and Informatics, Bandung, Indonesia, 17–19 July 2011; pp. 1–6. [Google Scholar]
- Hao, G.; Lv, Q.; Huang, Z.; Zhao, H.; Chen, W. Uav path planning based on improved artificial potential field method. Aerospace 2023, 10, 562. [Google Scholar] [CrossRef]
- Chen, T.; Zhang, G.; Hu, X.; Xiao, J. Unmanned aerial vehicle route planning method based on a star algorithm. In Proceedings of the 2018 13th IEEE Conference on Industrial Electronics and Applications (ICIEA), Wuhan, China, 31 May–2 June 2018; pp. 1510–1514. [Google Scholar]
- Zhang, Z.; Wu, J.; Dai, J.; He, C. A novel real-time penetration path planning algorithm for stealth UAV in 3D complex dynamic environment. IEEE Access 2020, 8, 122757–122771. [Google Scholar] [CrossRef]
- He, Z.; Zhao, L. The comparison of four UAV path planning algorithms based on geometry search algorithm. In Proceedings of the 2017 9th International Conference on Intelligent Human-Machine Systems and Cybernetics (IHMSC), Hangzhou, China, 26–27 August 2017; Volume 2, pp. 33–36. [Google Scholar]
- Dong, D.; Xing, L.; Zheng, L.; Jia, Y.; Sun, D. Automated 3-d electromagnetic manipulation of microrobot with a path planner and a cascaded controller. IEEE Trans. Control Syst. Technol. 2021, 30, 2672–2680. [Google Scholar] [CrossRef]
- Yang, L.; Qi, J.; Song, D.; Xiao, J.; Han, J.; Xia, Y. Survey of Robot 3D Path Planning Algorithms. J. Control Sci. Eng. 2016, 2016, 7426913. [Google Scholar] [CrossRef]
- Ahn, J.; Jung, S.; Kim, H.; Hwang, H.J.; Jun, H.B. A study on unmanned combat vehicle path planning for collision avoidance with enemy forces in dynamic situations. J. Comput. Des. Eng. 2023, 10, 2251–2270. [Google Scholar] [CrossRef]
- Majeed, A.; Hwang, S.O. Path planning method for UAVs based on constrained polygonal space and an extremely sparse waypoint graph. Appl. Sci. 2021, 11, 5340. [Google Scholar] [CrossRef]
- Song, Y.; Steinweg, M.; Kaufmann, E.; Scaramuzza, D. Autonomous drone racing with deep reinforcement learning. In Proceedings of the 2021 IEEE/RSJ International Conference on Intelligent Robots and Systems (IROS), Prague, Czech Republic, 27 September–1 October 2021; pp. 1205–1212. [Google Scholar]
- Rojas-Perez, L.O.; Martinez-Carranza, J. Deeppilot: A cnn for autonomous drone racing. Sensors 2020, 20, 4524. [Google Scholar] [CrossRef] [PubMed]
- Caldeira, A.G.; Vasconcelos, J.V.R.; Sarcinelli-Filho, M.; Brandão, A.S. UAV Path-Following Strategy for Crossing Narrow Passages. In Proceedings of the 2020 International Conference on Unmanned Aircraft Systems (ICUAS), Athens, Greece, 1–4 September 2020; pp. 26–31. [Google Scholar]
- Hebecker, T.; Buchholz, R.; Ortmeier, F. Model-based local path planning for UAVs. J. Intell. Robot. Syst. 2015, 78, 127–142. [Google Scholar] [CrossRef]
- Bai, X.; Jiang, H.; Cui, J.; Lu, K.; Chen, P.; Zhang, M. UAV Path Planning Based on Improved A-star and DWA Algorithms. Int. J. Aerosp. Eng. 2021, 2021, 4511252. [Google Scholar] [CrossRef]
- Tang, Y.; Miao, Y.; Barnawi, A.; Alzahrani, B.; Alotaibi, R.; Hwang, K. A joint global and local path planning optimization for UAV task scheduling towards crowd air monitoring. Comput. Netw. 2021, 193, 107913. [Google Scholar] [CrossRef]
- Rubí, B.; Pérez, R.; Morcego, B. A survey of path following control strategies for UAVs focused on quadrotors. J. Intell. Robot. Syst. 2020, 98, 241–265. [Google Scholar] [CrossRef]
- Brandão, A.S.; Sarcinelli-Filho, M.; Carelli, R. Leader-following control of a UAV-UGV formation. In Proceedings of the 2013 16th International Conference on Advanced Robotics (ICAR), Montevideo, Uruguay, 25–29 November 2013; pp. 1–6. [Google Scholar]
- Brandão, A.S.; Sarcinelli-Filho, M.; Carelli, R. An analytical approach to avoid obstacles in mobile robot navigation. Int. J. Adv. Robot. Syst. 2013, 10, 278. [Google Scholar] [CrossRef]
- De La Cruz, C.; Carelli, R. Dynamic model based formation control and obstacle avoidance of multi-robot systems. Robotica 2008, 26, 345–356. [Google Scholar] [CrossRef]
- Martins, F.N.; Sarcinelli-Filho, M.; Carelli, R. A velocity-based dynamic model and its properties for differential drive mobile robots. J. Intell. Robot. Syst. 2017, 85, 277–292. [Google Scholar] [CrossRef]
- De Carvalho, K.B.; Villa, D.K.D.; Sarcinelli-Filho, M.; Brandão, A.S. Gestures-teleoperation of a heterogeneous multi-robot system. Int. J. Adv. Manuf. Technol. 2022, 118, 1999–2015. [Google Scholar] [CrossRef]
- Santana, L.V.; Brandão, A.S.; Sarcinelli-Filho, M. Navigation and cooperative control using the ar. drone quadrotor. J. Intell. Robot. Syst. 2016, 84, 327–350. [Google Scholar] [CrossRef]
- Pinto, A.O.; Marciano, H.N.; Bacheti, V.P.; Moreira, M.S.M.; Brandão, A.S.; Sarcinelli-Filho, M. High-level modeling and control of the Bebop 2 micro aerial vehicle. In Proceedings of the 2020 International Conference on Unmanned Aircraft Systems (ICUAS), Athens, Greece, 1–4 September 2020; pp. 939–947. [Google Scholar]
- Tang, S.; Kumar, V. Autonomous flight. Annu. Rev. Control Robot. Auton. Syst. 2018, 1, 29–52. [Google Scholar] [CrossRef]












Disclaimer/Publisher’s Note: The statements, opinions and data contained in all publications are solely those of the individual author(s) and contributor(s) and not of MDPI and/or the editor(s). MDPI and/or the editor(s) disclaim responsibility for any injury to people or property resulting from any ideas, methods, instructions or products referred to in the content. |
© 2025 by the authors. Licensee MDPI, Basel, Switzerland. This article is an open access article distributed under the terms and conditions of the Creative Commons Attribution (CC BY) license (https://creativecommons.org/licenses/by/4.0/).
Share and Cite
Fagundes-Junior, L.A.; Villa, D.K.D.; Sarcinelli-Filho, M.; Brandão, A.S. An Online Path-Planning Strategy for an Unmanned Aerial Vehicle Crossing Mobile Narrow Passages. Appl. Sci. 2025, 15, 12452. https://doi.org/10.3390/app152312452
Fagundes-Junior LA, Villa DKD, Sarcinelli-Filho M, Brandão AS. An Online Path-Planning Strategy for an Unmanned Aerial Vehicle Crossing Mobile Narrow Passages. Applied Sciences. 2025; 15(23):12452. https://doi.org/10.3390/app152312452
Chicago/Turabian StyleFagundes-Junior, Leonardo Alves, Daniel Khede Dourado Villa, Mário Sarcinelli-Filho, and Alexandre Santos Brandão. 2025. "An Online Path-Planning Strategy for an Unmanned Aerial Vehicle Crossing Mobile Narrow Passages" Applied Sciences 15, no. 23: 12452. https://doi.org/10.3390/app152312452
APA StyleFagundes-Junior, L. A., Villa, D. K. D., Sarcinelli-Filho, M., & Brandão, A. S. (2025). An Online Path-Planning Strategy for an Unmanned Aerial Vehicle Crossing Mobile Narrow Passages. Applied Sciences, 15(23), 12452. https://doi.org/10.3390/app152312452

