The Geochemical Characteristics, Genesis, and Geological Significance of Early Paleozoic Granites in the South Altun Orogenic Belt of Western China
Abstract
1. Introduction
2. Geological Setting
3. Sample Collection and Experimental Analysis
4. Geochemical Characteristics
4.1. Major Element Composition
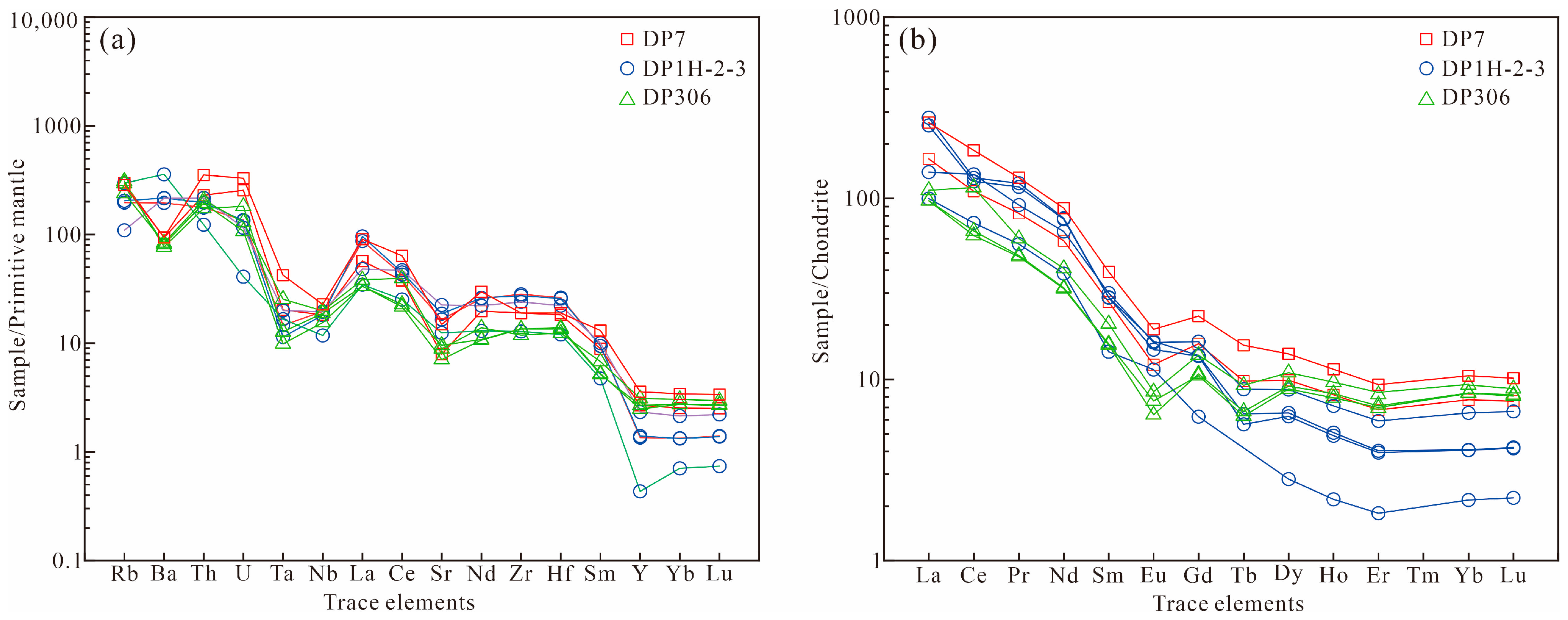
4.2. Trace Elements and Rare-Earth Elements
5. Discussion
5.1. Granite Type
5.2. Source Characteristics
5.3. Tectonic Setting

6. Conclusions
Author Contributions
Funding
Institutional Review Board Statement
Informed Consent Statement
Data Availability Statement
Conflicts of Interest
Abbreviations
| AOB | The Altun Orogenic Belt |
| DPA | The Dongping area |
| SAOB | The South Altun Orogenic Belt |
| SAOMB | The Southern Altun Ophiolitic Mélange Belt |
References
- Wang, T. Studies on Granites and Continental Dynamics. Earth Sci. Front. 2000, S2, 137–146. [Google Scholar]
- Wang, M.J.; Song, S.G.; Niu, Y.L.; Su, L. Post-collisional magmatism: Consequences of UHPM terrane exhumation and orogen collapse, N. Qaidam UHPM belt, NW China. Lithos 2014, 210, 181–198. [Google Scholar] [CrossRef]
- Kang, L. Early Paleozoic Multi-Stage Granitic Magmatism and the Geological Significance in the South Altyn Tagh HP-UHP Metamorphic Belt. Ph.D. Thesis, Northwest University, Xi’an, China, 2014. [Google Scholar]
- Liu, L.; Kang, L.; Cao, Y.T.; Yang, W.Q. Early Paleozoic granitic magmatism related to the processes from subduction to collision in South Altyn, NW China. Sci. China Earth Sci. 2015, 45, 1126–1137. [Google Scholar] [CrossRef]
- He, P.; Yang, P.; Lu, X.Z.; Yang, R.N.; He, X.T.; Li, F.B.; Zhang, H.; Yang, Y.M. Petrogenesis and tectonic implication of Yaolesayi granite in North Altyn-Tagh: Constraints from the zircon U-Pb ages and geochemistry. Chin. J. Geol. 2022, 57, 230–242. [Google Scholar] [CrossRef]
- Zeng, Z.C.; Hong, Z.L.; Bian, X.W.; Chen, N.; Zhang, R.Y.; Li, Q. Discovery of Late Ordovician sanukitoid-like diorite in southern Altyn orogeny and its geological significance. Earth Sci. Front. 2022, 29, 345–357. [Google Scholar] [CrossRef]
- Wang, C.; Liu, L.; Zhang, A.D.; Yang, W.Q.; Cao, Y.T. Geochemistry and petrography of Early Paleozoic Yusupuleke Tagh rapakivi-textured granite complex, South Altyn: An example for magma mixing. Acta Petrol. Sin. 2008, 24, 2809–2819. [Google Scholar] [CrossRef]
- Cao, Y.T.; Liu, L.; Wang, C.; Yang, W.Q. Geochemical, zircon U-Pb dating and Hf isotope compositions studies for Tatelekebulake granite in South Altyn Tagh. Acta Petrol. Sin. 2010, 26, 3259–3271. [Google Scholar]
- Cao, F.G.; Dong, F.R. Geology and Tectonic Significance of the Paleproterozoic Ophiolitic Melange in Goukouquan, Northern Margin of Altun. Northwestern Geol. 2014, 47, 47–60. [Google Scholar]
- Sun, J.M.; Ma, Z.P.; Tang, Z.; Li, X.M. LA-ICP-MS Zircon Dating of the Yumuquan Magma Mixing Granite in the Southern Altyn Tagh and Its Tectonic Significance. Acta Geol. Sin. 2012, 86, 247–257. [Google Scholar] [CrossRef]
- Ren, Y.F.; Chen, D.L.; Hauzenberger, C.; Liu, L.; Zhu, X.H. Petrology and geochronology of ultrahigh-pressure granitic gneiss from South Dulan, North Qaidam belt, NW China. Int. Geol. Rev. 2016, 58, 171–195. [Google Scholar] [CrossRef]
- Xu, N.; Wu, C.L.; Zheng, K.; Gao, D. Petrogenesis and tectonic implications of the Mangya A type alkali-feldspar granites in the South Altun, Northwest China. Acta Geol. Sin. 2020, 94, 1431–1449. [Google Scholar] [CrossRef]
- Xu, N.; Wu, C.L.; Gao, Y.H.; Lei, M.; Zheng, K.; Gao, D. Tectonic evolution of the South Altyn, NW China: Constraints by geochemical, zircon U–Pb and Lu–Hf isotopic analysis of the Palaeozoic granitic plutons in the Mangya area. Geol. Mag. 2020, 157, 1121–1143. [Google Scholar] [CrossRef]
- Wu, C.L.; Chen, H.J.; Wu, D.; Ernst, W.G. Paleozoic granitic magmatism and tectonic evolution of the South Altun block, NW China: Constraints from zircon U-Pb dating and Lu-Hf isotope geochemistry. J. Asian Earth Sci. 2018, 160, 168–199. [Google Scholar] [CrossRef]
- Yang, W.Q.; Ding, H.B.; Liu, L.; Xiao, P.X.; Cao, Y.T.; Kang, L.; Liang, S.; Liao, X.Y.; Wang, Y.W. Formation age of ore-bearing strata of the Dimunalike iron deposit in South Altun Mountains and its geological significance. Geol. Bull. China 2012, 31, 2090–2101. [Google Scholar]
- Kang, L.; Xiao, P.X.; Gao, X.F. Early Paleozoic magmatism and collisional orogeny in the southern margin of Altyn. Geol. Rev. 2015, 61, 661–662. [Google Scholar]
- Kang, L.; Xiao, P.X.; Gao, X.F.; Xi, R.G.; Yang, Z.C. Early Paleozoic Magmatism and Collision Orogenic Process of the South Altyn. Acta Geol. Sin. 2016, 90, 2527–2550. [Google Scholar]
- Xu, N.; Wu, C.L.; Lei, M.; Zhang, X.; Chen, H.J.; Guo, W.F.; Zheng, K.; Gao, D.; Liu, J.Z. Petrogenesis, Zircon U-Pb chronology, and Lu-Hf Isotopic Characteristics of Monzonitic Granite from Mangya Area. Earth Sci. 2018, 43, 60–80. [Google Scholar] [CrossRef]
- Xu, N.; Wu, C.L.; Zhao, M.M.; Liu, C. Genesis and geological significance of post-collision granites in the South Altun. Earth Sci. 2024, 49, 4418–4433. [Google Scholar] [CrossRef]
- Chen, N.; Zeng, Z.C.; Zhao, D.C.; Zhang, R.Y.; Li, Q.; Zhao, J.L.; Wang, T.Y.; Liu, X.D. Petrogenesis and Tectonic Implications of Late Ordovician Alkaline Gabbro in the South Altyn Orogenic Belt. Northwestern Geol. 2023, 56, 91–102. [Google Scholar] [CrossRef]
- Ma, T. The Metamorphism of Two Metamorphic Belts Insouthern Altyn and Their Tectonic Relationship. Ph.D. Thesis, Northwest University, Xi’an, China, 2022. [Google Scholar]
- Liu, L.; Che, Z.C.; Wang, Y.; Luo, J.H.; Chen, D.L. The petrological characters and geotectonic setting of high-pressure metamorphic rock belts in Altun Mountains. Acta Petrol. Sin. 1999, 15, 57–64. [Google Scholar]
- Ma, Z.P.; Li, X.M.; Sun, L.M.; Xu, X.Y.; Lei, Y.X.; Wang, L.S.; Duan, X.X. Discovery of layered mafic-ultramafic intrusion in Changshagou, Altyn Tagh, and its geological implication: A pilot study on its petrological and geochemical characteristics. Acta Petrol. Sin. 2009, 25, 793–804. [Google Scholar]
- Wang, Y.L.; Li, H.G.; Shen, Y.; Li, X.; Wang, G.H.; Tan, W. The relationship between structural features and hydrocarbonentrapment in the east part of Altyn Tagh piedmont. Oil Geophys. Prospect. 2015, 50, 156–161+19. [Google Scholar] [CrossRef]
- Wu, L.; Xiao, A.C.; Wang, L.Q.; Shen, Z.Y.; Zhou, S.P.; Chen, Y.Z.; Wang, L.; Liu, D.; Guan, J.Y. Late Jurassic—Early Cretaceous Northern Qaidam Basin, NW China: Implications for the Earliest Cretaceous intracontinental tectonism. Cretac. Res. 2011, 32, 552–564. [Google Scholar] [CrossRef]
- Mao, L.G.; Xiao, A.C.; Wang, L.; Wu, L.; Lou, Q.Q.; Shen, Y.; Zhang, H.W. Uplift of NW margin of Qaidam Basin in the Late Eocene: Lmplicationsfor the initiation of Altyn Fault. Acta Petrol. Sin. 2013, 29, 2876–2882. [Google Scholar]
- Wu, L.; Yang, H.T.; Zhang, Y.S.; Zhang, Y.J.; Wei, Y.Y.; Huang, K.; Cao, F.W.; Ge, M.J.; Ye, Y.H.; Chen, Y.; et al. Structural coupling between the Qaidam basin and bordering orogenic belts in the Cenozoic. Acta Geol. Sin. 2023, 97, 2939–2955. [Google Scholar] [CrossRef]
- Wu, C.L.; Gao, Y.H.; Lei, M.; Qin, H.P.; Liu, M.Z.; Frost, B.R.; Wooden, J.L. Zircon Shrimp U-Pb dating, Lu-Hf isotopic characteristics and petrogenesis of the Palaeozoic granites in Mangya area, southern Altun, NW China. Acta Petrol. Sin. 2014, 30, 2297–2323. [Google Scholar]
- Dong, Z.C.; Xiao, P.X.; Xi, R.G.; Guo, L.; Gao, X.F. Geochemical characteristics and isotopic dating of bojites in the tectonic mélange belt on south margin of Altyn. Geol. Rev. 2011, 57, 207–216. [Google Scholar]
- Yang, W.Q.; Liu, L.; Ding, H.B.; Xiao, P.X. Geochemistry, geochronology and zircon Hf isotopes of the Dimunalike granite in South Altyn Tagn and its geological significance. Acta Petrol. Sin. 2012, 28, 4139–4150. [Google Scholar]
- Sun, G.Q.; Zhang, S.C.; Wang, Y.T.; Li, Y.L.; Guo, H.; Bo, S.S. Eocene Sedimentary–Diagenetic Environment Analysis of the Pingtai Area of the Qaidam Basin. Appl. Sci. 2022, 12, 6850. [Google Scholar] [CrossRef]
- Liu, J.; Wang, B.; Zhou, F.; Qin, Z.; Liu, Y.T.; Ma, D.Z.; Tao, H.F. Genesis of helium source rock in Dongping Gas Field, Qaidam Basin and its influence on helium in natural gas reservoirs. Nat. Gas Geosci. 2023, 34, 601–617. [Google Scholar] [CrossRef]
- GB/T14506.28-2010; Methods for Chemical Analysis of Silicate Rocks. The State Administration for Market Regulation of China: Beijing, China, 2010.
- Sylvester, P.J. Post-collisional strongly peraluminous granites. Lithos 1998, 45, 29–44. [Google Scholar] [CrossRef]
- Chappell, B.W.; Bryant, C.J.; Wyborn, D. Peraluminous I-type granites. Lithos 2012, 153, 142–153. [Google Scholar] [CrossRef]
- Peccerillo, A.; Taylor, S.R. Geochemistry of Eocene calc-alkaline volcanic rocks from the Kastamonou area, Northern Turkey. Contrib. Mineral. Petrol. 1976, 58, 63–81. [Google Scholar] [CrossRef]
- Maniar, P.D.; Piccoli, P.M. Tectonic discrimination of granitoids. Geol. Soc. Am. Bull. 1989, 101, 635–643. [Google Scholar] [CrossRef]
- Li, H.B.; Ji, J.Z.; Lian, Y.; Li, L.M.; Wu, H.R. Petrogeochemistry, zircon U-Pb chronology and geological implications of granite in Shamai tungsten deposit, Inner Mongolia. Acta Petrol. Et Mineral. 2023, 42, 809–825. [Google Scholar] [CrossRef]
- Sun, S.S.; McDonough, W.F. Chemical and isotopic systematics of oceanic basalts: Implications for mantle composition and processes. In Magmatism in the Ocean Basins; Saunders, A.D., Norry, M.J., Eds.; Geological Society, London, Special Publications: London, UK, 1989; Volume 42, pp. 313–345. [Google Scholar] [CrossRef]
- Pitcher, W.S. The Nature and Origin of Granite; University of Liverpool: Liverpool, UK, 1997; ISBN 978-94-010-6464-4. [Google Scholar]
- Chen, Z.W.; Yuan, C.; Lin, Z.F.; Huang, Z.Y.; Wang, X.Y. Genesis, evolution and rare metal enrichment mechanism of the Early Devonian granites in Chinese Altun. Acta Petrol. Sin. 2023, 39, 3392–3416. [Google Scholar] [CrossRef]
- Whalen, J.B.; Currie, K.L.; Chappell, B.W. A-type granites: Geochemical characteristics, discrimination and petrogenesis. Contrib. Mineral. Petrol. 1987, 95, 407–419. [Google Scholar] [CrossRef]
- Chappell, B.W.; White, A.J.R. I- and S-type granites in the Lachlan Fold Belt. Earth Environ. Sci. Trans. R. Soc. Edinb. 1992, 83, 1–26. [Google Scholar] [CrossRef]
- Defant, M.J.; Drummond, M.S. Derivation of some modern arc magmas by melting of young subducted lithosphere. Nature 1990, 347, 662–665. [Google Scholar] [CrossRef]
- Han, J.J.; Li, H.G.; He, J.; Zhao, M.F.; Han, X.; Zhang, X.Y.; Chai, Y. Petrogenesis and Tectonic Implications of Daomuti Intrusive Rocks in East Kunlun Orogen: Constraints from the Geochronology and Geochemistry. Northwestern Geol. 2023, 56, 140–154. [Google Scholar] [CrossRef]
- Patiño Douce, A.E. What do experiments tell us about the relative contributions of crust and mantle to the origin of granitic magmas? In Understanding Granites: Integrating New and Classical Techniques; Castro, A., Fernández, C., Vigneresse, J.L., Eds.; Geological Society, London, Special Publications: London, UK, 1999; Volume 168, pp. 55–75. [Google Scholar] [CrossRef]
- Wattam, S.A.; Hewins, R.H. Granoblastic olivine aggregates as precursors of Type I chondrules: An experimental test. Geochim. Et Cosmochim. Acta 2009, 73, 5460–5482. [Google Scholar] [CrossRef]
- Castillo, P.R.; Janney, P.E.; Solidum, R.U. Petrology and geochemistry of Camiguin Island, southern Philippines: Insights to the source of adakites and other lavas in a complex arc setting. Contrib. Mineral. Petrol. 1999, 134, 33–51. [Google Scholar] [CrossRef]
- Zhang, J.X.; Yu, S.Y.; Li, Y.S.; Teng, X.; Wu, Y.W.; Guo, Q. Proto-Tethys orogenic system in the northern Qinghai-Tibet Plateau: Resubdivision of lithotectonic units in Qilian-North Qaidam anddiscussion on several controversial scientific issues. Acta Petrol. Sin. 2023, 39, 3507–3532. [Google Scholar] [CrossRef]
- Liu, L.; Che, Z.C.; Wang, Y.; Luo, J.H.; Wang, J.Q.; Gao, Z.J. Sm-Nd Isochron Age Evidence of the Early Paleozoic Serpentinite in the Erqin Mangya Area. Chin. Sci. Bull. 1998, 8, 880–883. [Google Scholar]
- Dong, G.C.; Luo, M.F.; Mo, X.X.; Zhao, Z.D.; Dong, L.Q.; Yu, X.H.; Wang, X.; Li, X.W.; Huang, X.F.; Liu, Y.B. Petrogenesis and Tectonic Implications of the Early Paleozoic Granitoids in East Kunlun belt: Evidences from geochronology, geochemistry and isotopes. China Univ. Geosci. 2023, 9, 1383–1397. [Google Scholar] [CrossRef]
- Ma, Z.P.; Li, X.M.; Xu, X.Y.; Sun, J.M.; Tang, Z.; Du, T. Zircon LA-ICP-MS U-Pb isotopic dating for Qingshuiquan layered mafic-ulmafic intrusion southern Altun orogen, in northwestern China and its implication. Geol. China 2011, 38, 1071–1078. [Google Scholar]
- Wu, S.P.; Wu, C.L.; Chen, Q.L. Characteristics and tectonic setting of the Tula aluminous A- type granite at the south side of the Altyn Tagh fault, NW China. Geol. Bull. China 2007, 10, 1385–1392. [Google Scholar]
- Wu, L.; Xiao, A.C.; Ma, D.D.; Li, H.G.; Xu, B.; Shen, Y.; Mao, L.G. Cenozoic fault systems in southwest Qaidam Basin, northeastern Tibetan Plateau: Geometry, temporal development and significance for hydrocarbon accumulation. AAPG Bull. 2014, 98, 1213–1234. [Google Scholar] [CrossRef]
- Gu, Y.C.; Chen, R.Y.; Du, J.Y.; Ju, N. Petrogenesis and tectonic implications of the Early Cretaceous syenogranite in Huanggangliang area, southern Great Hinggan Range: Evidence from zircon U-Pb ages, petrogeochemistry and Sr-Nd-Pb isotopes. Geol. Bull. China 2025, 44, 91–116. [Google Scholar] [CrossRef]
- Hu, X.C.; Yang, Z.X.; Kang, W.L.; Guo, X.G.; Chen, H.Y.; Lei, Z.Q.; Liu, Y.B.; Gong, Z.Z.; Jing, D.L. Geochemistry, zircon U-Pb age of the Qianhongquan monzogranite in the Beishan area of Gansu Province and its geological significance. Mineral. Petrol. 2023, 4, 49–59. [Google Scholar]
- Zhang, G.B.; Kong, J.G.; Wang, C.P.; Shi, H.J.; Ju, N.; He, Y.L. Geochronology and geochemistry of the Late Carboniferous granite in the Huma area, northern Great Xing’an Range: Constraints on the tectonic evolution of the Paleo-Asian Ocean. Geoscience 2025, 39, 62–82. [Google Scholar] [CrossRef]






| Well | DP306 | DP5 | DP7 | DPH301-1 | DP1H-2-3 | ||||||||||
|---|---|---|---|---|---|---|---|---|---|---|---|---|---|---|---|
| Sample Number | DP306-1 | DP306-2 | DP306-3 | DP5-1 | DP5-2 | DP5-3 | DP7-1 | DP7-2 | DPH301-1 | DPH301-2 | DP1H-2-3-1 | DP1H-2-3-2 | DP1H-2-3-3 | DP1H-2-3-4 | DP1H-2-3-5 |
| Depth (m) | 1917.39 | 1913.32 | 1908.75 | 2653.46 | 2652.81 | 2652.56 | 2171 | 2169.24 | 1878.96 | 1892.55 | |||||
| Lithology | Migmatite | Monzogranite | Leptite | Granitic Gneiss | Granitic Gneiss | Granitic Gneiss | Granodiorite | Leptite | Granitic Gneiss | Granitic Gneiss | Granitic Gneiss | Granitic Gneiss | Granitic Gneiss | Granitic Gneiss | Granitic Gneiss |
| SiO2 (%) | 73.09 | 74.17 | 74.29 | 70.71 | 69.95 | 71.77 | 74.61 | 71.39 | 73.78 | 75.2 | 71.92 | 70.12 | 70.44 | 70.31 | 72.54 |
| TiO2 (%) | 0.2 | 0.17 | 0.19 | 0.25 | 0.25 | 0.27 | 0.31 | 0.19 | 0.15 | 0.16 | 0.39 | 0.35 | 0.41 | 0.42 | 0.35 |
| Al2O3 (%) | 13.97 | 13.6 | 13.53 | 14.09 | 14.39 | 13.9 | 14.09 | 14.83 | 13.75 | 12.46 | 14.93 | 15.64 | 14.7 | 14.82 | 14.08 |
| TFe2O3 (%) | 2.23 | 1.88 | 1.83 | 2.47 | 2.72 | 2.42 | 2.13 | 2.43 | 1.72 | 2.01 | 2.96 | 2.94 | 3.48 | 2.93 | 2.76 |
| MnO (%) | 0.06 | 0.05 | 0.05 | 0.08 | 0.09 | 0.07 | 0.04 | 0.06 | 0.05 | 0.06 | 0.04 | 0.05 | 0.08 | 0.07 | 0.06 |
| MgO (%) | 0.48 | 0.39 | 0.45 | 0.56 | 0.63 | 0.5 | 0.54 | 0.43 | 0.42 | 0.42 | 0.58 | 0.67 | 0.76 | 0.75 | 0.63 |
| CaO (%) | 1.19 | 0.81 | 1.55 | 1.81 | 1.86 | 1.28 | 0.57 | 1.29 | 1.55 | 1.38 | 0.58 | 0.46 | 1.32 | 1.21 | 0.75 |
| Na2O (%) | 3.3 | 3.33 | 3.25 | 4.55 | 3.25 | 4.39 | 0.81 | 2.73 | 3.27 | 3.19 | 3.18 | 3 | 3.03 | 2.88 | 2.46 |
| K2O (%) | 4.28 | 4.47 | 4.17 | 3.81 | 4.88 | 4.35 | 5.01 | 5.6 | 4.6 | 3.48 | 3.98 | 5.37 | 4.13 | 4.57 | 4.19 |
| P2O5 (%) | 0.05 | 0.04 | 0.05 | 0.07 | 0.07 | 0.08 | 0.07 | 0.06 | 0.04 | 0.04 | 0.11 | 0.11 | 0.12 | 0.12 | 0.12 |
| LOI (%) | 0.56 | 0.45 | 0.97 | 1.83 | 2.26 | 1.43 | 1.67 | 0.99 | 1.07 | 0.92 | 1.37 | 1.31 | 1.59 | 1.81 | 1.62 |
| TOTAL (%) | 99.41 | 99.35 | 100.32 | 100.22 | 100.35 | 100.44 | 99.86 | 100 | 100.39 | 99.31 | 100.05 | 100.02 | 100.07 | 99.9 | 99.55 |
| Well | Sample Number | Depth (m) | 7Li (ug/g) | 9Be (ug/g) | 45Sc (ug/g) | 51V (ug/g) | 52Cr (ug/g) | 59Co (ug/g) | 60Ni (ug/g) | 65Cu (ug/g) | 66Zn (ug/g) | 71Ga (ug/g) | 74Ge (ug/g) |
| DP7 | DP-7-24 | 2171.5 | 98.50 | 2.81 | 2.24 | 9.68 | 6.34 | 62.75 | 4.40 | 3.38 | 77.55 | 17.68 | 0.67 |
| DP7-25 | 2169.2 | 89.97 | 3.16 | 3.70 | 9.95 | 4.17 | 68.38 | 1.56 | 1.02 | 62.15 | 20.15 | 0.96 | |
| DP1H-2-3 | DP1H-2-3-15 | 3187.59 | 16.87 | 1.93 | 2.19 | 14.06 | 5.19 | 47.68 | 1.69 | 7.78 | 46.85 | 18.96 | 0.94 |
| DP1H-2-3-13 | 3180.98 | 13.96 | 1.81 | 2.41 | 14.90 | 4.69 | 49.88 | 2.44 | 8.81 | 63.43 | 18.52 | 1.02 | |
| DP1H-2-3-10 | 3088.52 | 5.91 | 1.21 | 1.46 | 8.02 | 4.72 | 42.79 | 2.04 | 5.19 | 30.33 | 17.03 | 0.89 | |
| DP1H-2-3-7 | 3078.29 | 11.57 | 1.62 | 3.47 | 19.07 | 4.68 | 24.79 | 2.41 | 5.90 | 44.37 | 17.36 | 0.87 | |
| DP306 | DP306-6-3 | 1908.75 | 44.63 | 2.93 | 2.26 | 7.91 | 4.99 | 72.28 | 3.00 | 6.32 | 64.65 | 17.48 | 1.19 |
| DP306-6-1 | 1917.39 | 47.08 | 2.38 | 1.28 | 11.01 | 3.52 | 41.75 | 1.36 | 1.69 | 52.43 | 17.12 | 0.95 | |
| DP306-6-2 | 1913.32 | 53.55 | 2.96 | 1.63 | 7.85 | 3.45 | 64.11 | 1.21 | 1.14 | 42.40 | 17.96 | 1.14 | |
| Average Value (ug/g) | 42.45 | 2.31 | 2.29 | 11.38 | 4.64 | 52.71 | 2.23 | 4.58 | 53.79 | 18.03 | 0.96 | ||
| Maximum (ug/g) | 5.91 | 1.21 | 1.28 | 7.85 | 3.45 | 24.79 | 1.21 | 1.02 | 30.33 | 17.03 | 0.67 | ||
| Minimum (ug/g) | 98.50 | 3.16 | 3.70 | 19.07 | 6.34 | 72.28 | 4.40 | 8.81 | 77.55 | 20.15 | 1.19 | ||
| Well | Sample Number | Depth (m) | 80Ar2 (ug/g) | 85Rb (ug/g) | 88Sr (ug/g) | 89Y (ug/g) | 90Zr (ug/g) | 93Nb (ug/g) | 98Mo (ug/g) | 111Cd (ug/g) | 114Cd (ug/g) | 118Sn (ug/g) | 133Cs (ug/g) |
| DP7 | DP-7-24 | 2171.5 | 2.37 | 190.00 | 166.93 | 12.21 | 211.84 | 13.03 | 1.48 | 0.04 | 0.10 | 6.91 | 34.94 |
| DP7-25 | 2169.2 | 3.84 | 180.81 | 314.30 | 16.31 | 211.74 | 16.24 | 1.15 | 0.04 | 0.12 | 8.20 | 33.91 | |
| DP1H-2-3 | DP1H-2-3-15 | 3187.59 | 2.95 | 124.97 | 348.17 | 6.15 | 315.19 | 14.00 | 1.26 | 0.05 | 0.03 | 1.61 | 2.84 |
| DP1H-2-3-13 | 3180.98 | 1.69 | 129.59 | 394.13 | 6.38 | 305.49 | 12.91 | 1.41 | 0.05 | 0.03 | 1.64 | 3.03 | |
| DP1H-2-3-10 | 3088.52 | 3.26 | 187.69 | 261.82 | 1.97 | 143.24 | 8.38 | 1.43 | 0.02 | 0.02 | 1.26 | 3.11 | |
| DP1H-2-3-7 | 3078.29 | 3.81 | 69.39 | 474.47 | 10.61 | 268.18 | 13.86 | 1.14 | 0.05 | 0.03 | 1.73 | 2.76 | |
| DP306 | DP306-6-3 | 1908.75 | 3.59 | 151.66 | 188.17 | 14.06 | 133.06 | 14.18 | 1.57 | 0.04 | 0.12 | 7.22 | 8.84 |
| DP306-6-1 | 1917.39 | 1.51 | 197.23 | 149.60 | 12.20 | 151.32 | 13.41 | 1.01 | 0.04 | 0.10 | 6.41 | 9.55 | |
| DP306-6-2 | 1913.32 | 2.18 | 186.70 | 202.50 | 11.30 | 151.27 | 11.03 | 1.24 | 0.03 | 0.09 | 6.13 | 9.56 | |
| Average Value (ug/g) | 2.80 | 157.56 | 277.79 | 10.13 | 210.15 | 13.00 | 1.30 | 0.04 | 0.07 | 4.57 | 12.06 | ||
| Maximum (ug/g) | 1.51 | 69.39 | 149.60 | 1.97 | 133.06 | 8.38 | 1.01 | 0.02 | 0.02 | 1.26 | 2.76 | ||
| Minimum (ug/g) | 3.84 | 197.23 | 474.47 | 16.31 | 315.19 | 16.24 | 1.57 | 0.05 | 0.12 | 8.20 | 34.94 | ||
| Well | Sample Number | Depth (m) | 135Ba (ug/g) | 178Hf (ug/g) | 181Ta (ug/g) | 182W (ug/g) | 205Tl (ug/g) | 208Pb (ug/g) | 209Bi (ug/g) | 232Th (ug/g) | 238U (ug/g) | 139La (ug/g) | 140Ce (ug/g) |
| DP7 | DP-7-24 | 2171.5 | 646.78 | 5.64 | 0.83 | 481.92 | 1.34 | 25.00 | 0.14 | 19.53 | 5.35 | 39.12 | 67.13 |
| DP7-25 | 2169.2 | 651.09 | 5.85 | 1.74 | 509.79 | 1.33 | 28.96 | 0.16 | 30.13 | 6.89 | 62.08 | 112.92 | |
| DP1H-2-3 | DP1H-2-3-15 | 3187.59 | 1349.36 | 8.12 | 0.60 | 400.41 | 0.74 | 17.15 | 0.10 | 15.02 | 2.86 | 59.96 | 76.14 |
| DP1H-2-3-13 | 3180.98 | 1497.14 | 7.96 | 0.47 | 384.81 | 0.68 | 21.12 | 0.12 | 16.69 | 2.80 | 66.05 | 79.34 | |
| DP1H-2-3-10 | 3088.52 | 2472.90 | 3.70 | 0.68 | 349.09 | 1.05 | 22.66 | 0.13 | 10.47 | 0.86 | 23.65 | 44.78 | |
| DP1H-2-3-7 | 3078.29 | 1490.03 | 6.84 | 0.82 | 196.96 | 0.60 | 14.01 | 0.08 | 18.41 | 2.43 | 33.05 | 83.24 | |
| DP306 | DP306-6-3 | 1908.75 | 577.91 | 3.84 | 1.05 | 608.70 | 1.29 | 47.87 | 0.27 | 17.57 | 2.72 | 26.28 | 70.33 |
| DP306-6-1 | 1917.39 | 529.94 | 4.17 | 0.52 | 329.54 | 1.18 | 32.85 | 0.19 | 14.74 | 3.83 | 22.93 | 38.23 | |
| DP306-6-2 | 1913.32 | 558.43 | 4.27 | 0.40 | 478.03 | 1.12 | 31.01 | 0.17 | 16.47 | 2.26 | 22.95 | 40.52 | |
| Average Value (ug/g) | 1085.95 | 5.60 | 0.79 | 415.47 | 1.04 | 26.74 | 0.15 | 17.67 | 3.33 | 39.56 | 68.07 | ||
| Maximum (ug/g) | 529.94 | 3.70 | 0.40 | 196.96 | 0.60 | 14.01 | 0.08 | 10.47 | 0.86 | 22.93 | 38.23 | ||
| Minimum (ug/g) | 2472.90 | 8.12 | 1.74 | 608.70 | 1.34 | 47.87 | 0.27 | 30.13 | 6.89 | 66.05 | 112.92 | ||
| Well | Sample Number | Depth (m) | 141Pr (ug/g) | 146Nd (ug/g) | 149Sm (ug/g) | 151Eu (ug/g) | 160Gd (ug/g) | 159Tb (ug/g) | 164Dy (ug/g) | 165Ho (ug/g) | 166Er (ug/g) | 172Yb (ug/g) | 175Lu (ug/g) |
| DP7 | DP-7-24 | 2171.5 | 7.67 | 26.68 | 3.97 | 0.68 | 3.14 | 0.35 | 2.44 | 0.45 | 1.09 | 1.25 | 0.19 |
| DP7-25 | 2169.2 | 12.06 | 40.36 | 5.80 | 1.07 | 4.46 | 0.56 | 3.40 | 0.62 | 1.50 | 1.69 | 0.25 | |
| DP1H-2-3 | DP1H-2-3-15 | 3187.59 | 10.73 | 34.98 | 4.19 | 0.82 | 2.68 | 0.20 | 1.54 | 0.27 | 0.63 | 0.66 | 0.10 |
| DP1H-2-3-13 | 3180.98 | 11.22 | 35.44 | 4.20 | 0.92 | 2.70 | 0.23 | 1.61 | 0.28 | 0.65 | 0.66 | 0.10 | |
| DP1H-2-3-10 | 3088.52 | 5.18 | 17.54 | 2.11 | 0.64 | 1.24 | 0.00 | 0.69 | 0.12 | 0.29 | 0.35 | 0.05 | |
| DP1H-2-3-7 | 3078.29 | 8.50 | 29.98 | 4.43 | 0.90 | 3.22 | 0.32 | 2.16 | 0.39 | 0.94 | 1.05 | 0.16 | |
| DP306 | DP306-6-3 | 1908.75 | 5.57 | 18.75 | 3.00 | 0.48 | 2.71 | 0.34 | 2.68 | 0.53 | 1.32 | 1.50 | 0.22 |
| DP306-6-1 | 1917.39 | 4.42 | 14.50 | 2.29 | 0.36 | 2.13 | 0.24 | 2.26 | 0.46 | 1.16 | 1.35 | 0.20 | |
| DP306-6-2 | 1913.32 | 4.48 | 14.64 | 2.33 | 0.43 | 2.09 | 0.23 | 2.18 | 0.43 | 1.11 | 1.35 | 0.20 | |
| Average Value (ug/g) | 7.76 | 25.87 | 3.59 | 0.70 | 2.71 | 0.31 | 2.11 | 0.39 | 0.97 | 1.09 | 0.16 | ||
| Maximum (ug/g) | 4.42 | 14.50 | 2.11 | 0.36 | 1.24 | 0.20 | 0.69 | 0.12 | 0.29 | 0.35 | 0.05 | ||
| Minimum (ug/g) | 12.06 | 40.36 | 5.80 | 1.07 | 4.46 | 0.56 | 3.40 | 0.62 | 1.50 | 1.69 | 0.25 |
Disclaimer/Publisher’s Note: The statements, opinions and data contained in all publications are solely those of the individual author(s) and contributor(s) and not of MDPI and/or the editor(s). MDPI and/or the editor(s) disclaim responsibility for any injury to people or property resulting from any ideas, methods, instructions or products referred to in the content. |
© 2025 by the authors. Licensee MDPI, Basel, Switzerland. This article is an open access article distributed under the terms and conditions of the Creative Commons Attribution (CC BY) license (https://creativecommons.org/licenses/by/4.0/).
Share and Cite
Zeng, X.; Fu, S.; Wang, G.; Wang, B.; Wu, Z.; Cui, H.; Feng, Z. The Geochemical Characteristics, Genesis, and Geological Significance of Early Paleozoic Granites in the South Altun Orogenic Belt of Western China. Appl. Sci. 2025, 15, 12239. https://doi.org/10.3390/app152212239
Zeng X, Fu S, Wang G, Wang B, Wu Z, Cui H, Feng Z. The Geochemical Characteristics, Genesis, and Geological Significance of Early Paleozoic Granites in the South Altun Orogenic Belt of Western China. Applied Sciences. 2025; 15(22):12239. https://doi.org/10.3390/app152212239
Chicago/Turabian StyleZeng, Xu, Suotang Fu, Guiwen Wang, Bo Wang, Zhixiong Wu, Haidong Cui, and Zongqi Feng. 2025. "The Geochemical Characteristics, Genesis, and Geological Significance of Early Paleozoic Granites in the South Altun Orogenic Belt of Western China" Applied Sciences 15, no. 22: 12239. https://doi.org/10.3390/app152212239
APA StyleZeng, X., Fu, S., Wang, G., Wang, B., Wu, Z., Cui, H., & Feng, Z. (2025). The Geochemical Characteristics, Genesis, and Geological Significance of Early Paleozoic Granites in the South Altun Orogenic Belt of Western China. Applied Sciences, 15(22), 12239. https://doi.org/10.3390/app152212239

