Line Spectrum Detection Algorithm of Single Vector Sensor Based on Singular Value Difference
Abstract
1. Introduction
2. The Analysis of Singular Value Difference in Frequency Domain
3. The Implementation of Detection Algorithm Based on Singular Value Difference
| Algorithm 1 Detection algorithm based on singular value difference |
| Data: The received sequence Result: Detection result |
| 1 The spectrum of and is calculated as ; |
| 2 The analysis bandwidth is selected; |
| 3 Set ; |
| 4 if |
| 5 and are obtained by SVD; |
| 6 Calculate ; |
| 7 end |
| 8 is interpolated to obtain ; |
| 9 is normalized as . |
4. Simulation Analyses
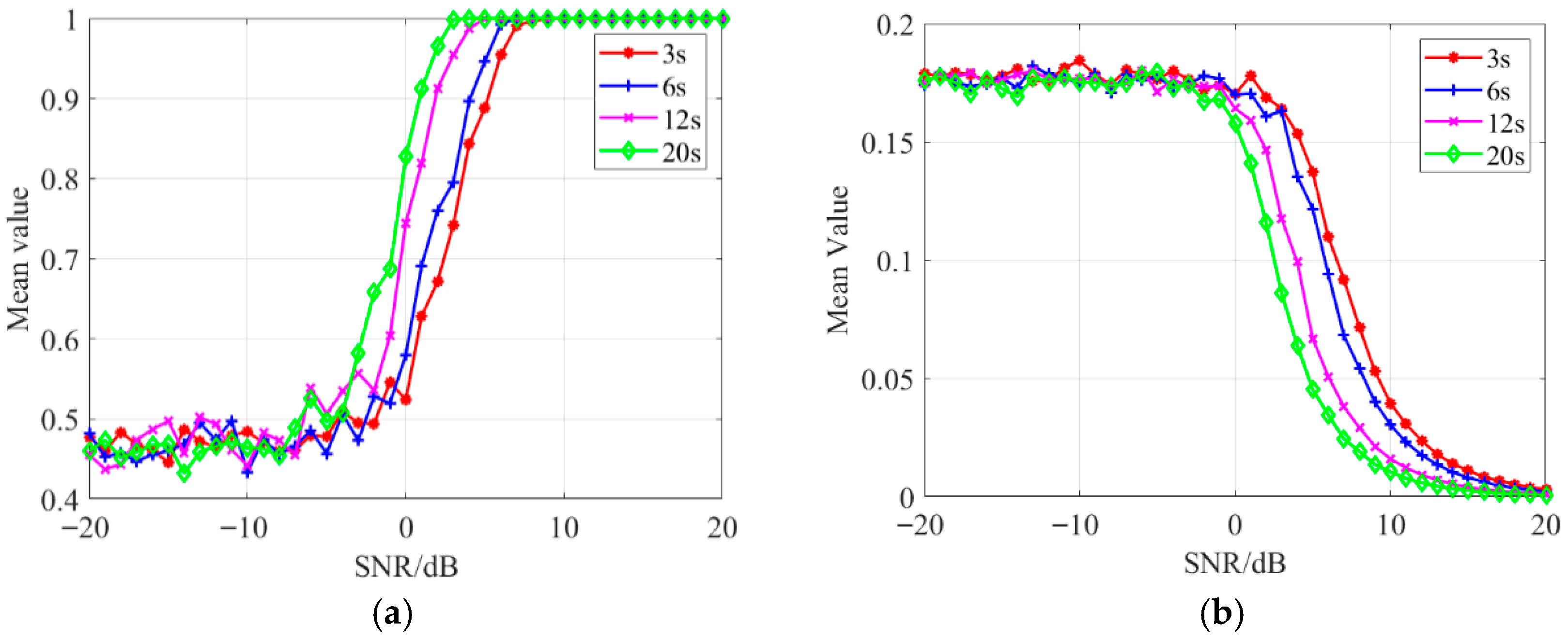
4.1. Simulation 1 the Analysis of Detection Statistic Value in Analysis Bandwidth
4.2. Simulation 2: The Analysis of Line Spectrum Detection Outcomes
5. Experimental Data Analysis
5.1. Weak Line Spectrum Detection of Continuous Wave (CW) Signal
5.2. Weak Line Spectrum Detection of Ship Signal
6. Conclusions
Author Contributions
Funding
Institutional Review Board Statement
Informed Consent Statement
Data Availability Statement
Acknowledgments
Conflicts of Interest
References
- Luo, X.; Shen, Z.H. A Space-Frequency Joint Detection and Tracking Method for Line-Spectrum Components of Underwater Acoustic Signals. Appl. Acoust. 2021, 172, 107609.1–107609.12. [Google Scholar] [CrossRef]
- Yang, K.D.; Zhou, X.Y. Deep Learning Classification for Improved Bicoherence Feature Based on Cyclic Modulation And Cross-Correlation. J. Acoust. Soc. Am. 2019, 146, 2201–2211. [Google Scholar] [CrossRef] [PubMed]
- Li, J.; Yang, H.H. The Underwater Acoustic Target Timbre Perception and Recognition Based on the Auditory Inspired Deep Convolutional Neural Network. Appl. Acoust. 2021, 182, 108210–108232. [Google Scholar] [CrossRef]
- Wang, B.; Yang, H.; Fang, T. Modulation Recognition of Underwater Acoustic Communication Signals Based on Deep Learning. EURASIP J. Adv. Signal Process. 2024, 2024, 103. [Google Scholar] [CrossRef]
- Lei, Z.F.; Lei, X.F.; Zhou, C.H. Research on Feature Extraction of Ship-Radiated Noise Based on Compressed Sensing and Center Frequency. IEEE Access 2021, 9, 128679–128686. [Google Scholar] [CrossRef]
- Luo, X.W.; Li, L.; Shen, Z.H. Line Spectrum Trajectory Extraction Method of Underwater Acoustic Signal Based on Dynamic Parameter HMM. J. Electron. Inf. Technol. 2022, 44, 1956–1965. [Google Scholar]
- Guo, W.; Piao, S.; Guo, J.; Lei, Y.; Iqbal, K. Passive Detection of Ship-Radiated Acoustic Signal Using Coherent Integration of Cross-Power Spectrum with Doppler and Time Delay Compensations. Sensors 2020, 20, 1767–1787. [Google Scholar] [CrossRef]
- Wang, M.; Qiu, B.C.; Zhu, Z.F.; Ma, L.; Zhou, C.P. Passive Tracking of Underwater Acoustic Targets Based on Multi-Beam Lofar and Deep Learning. PLoS ONE 2022, 17, e0273898. [Google Scholar] [CrossRef] [PubMed]
- Wang, Y.Z.; Qiu, S.J.; Hu, G.Q.; Wu, B.; Yu, Y. Suppressing Short Time Marine Ambient Noise Based on Deep Complex Unet to Enhance the Vessel Radiation Signal in Lofar Spectrogram. J. Appl. Geophys. 2025, 233, 105611. [Google Scholar] [CrossRef]
- Zhang, R.; He, C.; Jing, L.; Zhou, C.; Long, C.; Li, J. A Modulation Recognition System for Underwater Acoustic Communication Signals Based on Higher-Order Cumulants and Deep Learning. J. Mar. Sci. Eng. 2023, 11, 1632–1652. [Google Scholar] [CrossRef]
- Shi, B.; Cao, T.Y.; Ge, Q.Q.; Wang, Z.T.; Guo, W.B. Underwater Non-stationary Acoustic Signal Detection Based on the STHOC Noise Suppression. Arab. J. Sci. Eng. 2025, 50, 10985–11000. [Google Scholar] [CrossRef]
- Yang, J.R.; Yan, S.F.; Mao, L.L.; Sui, Z.P.; Wang, W.; Zeng, D. Underwater Acoustic Signal Denoising Based on Sparse Tqwt and Wavelet Thresholding. Digit. Signal Process. 2024, 153, 12–27. [Google Scholar] [CrossRef]
- Zhang, Y.; Yang, Z.; Du, X.; Luo, X. A New Method for Denoising Underwater Acoustic Signals Based On EEMD, Correlation Coefficient, Permutation Entropy, and Wavelet Threshold Denoising. J. Mar. Sci. Appl. 2024, 23, 222–237. [Google Scholar] [CrossRef]
- Li, Z.; Cheng, Y.; Qiu, J. Adaptive Line Enhancer for Passive Sonars Based on Frequency-Domain Sparsity, Shannon Entropy Criterion and Mixed-Weighted Error. Arab. J. Sci. Eng. 2025, 50, 5899–5920. [Google Scholar]
- Yu, X.Y.; Chi, C.; Li, S.Q.; Li, Y.; Huang, H.N.; Wang, G.Q. Underwater Acoustic Target Recognition via Combining Adaptive Line Enhancement and Deep Neural Network. In Proceedings of the 2024 International Conference on Oceans, Singapore, 15–18 April 2024; pp. 1–4. [Google Scholar]
- Li, J.; Zhou, X.Y.; Cui, X.R.; Ji, M.Q.; Li, L.; Jiang, B.; Li, S.B.; Liu, J.H. Underwater Delay Estimation Based on Adaptive Singular Value Decomposition Reconstruction Under Low SNR and Multipath Conditions. Trans. Emerg. Telecommun. Technol. Adv. 2025, 36, e70145. [Google Scholar] [CrossRef]
- Chen, W.Y.; Wang, S.Z.; Li, Z.J.; Li, D. Underwater Acoustic Signal Denoising Method Based on DBO-VMD and Singular Value Decomposition. Aip Adv. 2015, 15, 055308. [Google Scholar] [CrossRef]
- Zheng, E.M.; Yu, H.B.; Chen, X.H.; Sun, C.Y. Line Spectrum Detection Algorithm Based on the Phase Feature of Target Radiated Noise. J. Syst. Eng. Electron. 2016, 27, 72–80. [Google Scholar]
- Wang, P.; Dong, J.; Wang, L.F.; Qiao, S.H. Signal Denoising Method Based on EEMD and SSA Processing for MEMS Vector Hydrophones. Micromachines 2024, 15, 1183. [Google Scholar] [CrossRef]
- Terracciano, D.S.; Costanzi, R.; Manzari, V.; Stifani, M.; Caiti, A. Passive Bearing Estimation Using a 2-D Acoustic Vector Sensor Mounted on a Hybrid Autonomous Underwater Vehicle. IEEE J. Ocean. Eng. 2022, 47, 799–814. [Google Scholar] [CrossRef]
- Choi, K.H.; Choi, J.W.; Kim, S.; Dahl, P.H.; Dall’Osto, D.R.; Song, H.C. Experimental Study on Performance Improvement of Underwater Acoustic Communication Using a Single Vector Sensor. IEEE J. Ocean. Eng. 2024, 49, 1574–1587. [Google Scholar] [CrossRef]
- Dong, H.T.; Suo, J.; Zhu, Z.G.; Li, S.Y. Improved Underwater Single-Vector Acoustic DOA Estimation via Vector Convolution Preprocessing. Electronics 2024, 13, 1796–1811. [Google Scholar] [CrossRef]
- Hawkes, M.; Nehorai, A. Acoustic vector-sensor correlations in ambient noise. IEEE J. Ocean. Eng. 2001, 26, 337–347. [Google Scholar] [CrossRef]
- Zhang, W.X.; Chen, Y.; Bian, Q.; Liu, Y.Y.; Liang, Y.; Meng, Z. An Adaptive Dual-Channel Underwater Target Detection Method Based on a Vector Cross-Trispectrum Diagonal Slice. J. Mar. Sci. Eng. 2025, 13, 1628. [Google Scholar] [CrossRef]
- Li, H.; Wang, T.; Guo, X.Y.; Su, L.; Mo, Y.X. Application research on vector coherent frequency-domain batch adaptive line enhancement in deep water. IET Radar Sonar Navig. 2024, 18, 1859–1873. [Google Scholar] [CrossRef]
- Shchurov, V.A. Movement of Acoustic Energy in the Ocean; Springer: New York, NY, USA, 2022; pp. 13–14. [Google Scholar]
- Ali, S.S.; Zhao, W.; Jin, M.; Yoo, S.J. Enhanced Maximum-Minimum Eigenvalue Based Spectrum Sensing. In Proceedings of the 2019 International Conference on Information and Communication Technology Convergence (ICTC), Jeju-si, Republic of Korea, 16–18 October 2019; pp. 708–713. [Google Scholar]
- Zhang, W.; Abreu, G.; Inamori, M.; Sanada, Y. Spectrum Sensing Algorithms via Finite Random Matrices. IEEE Trans. Wirel. Commun. 2012, 60, 164–175. [Google Scholar] [CrossRef]
- Penna, F.; Garello, R.; Spirito, M.A. Cooperative Spectrum Sensing Based on The Limiting Eigenvalue Ratio Distribution in Wishart Matrices. IEEE Commun. Lett. 2009, 13, 507–509. [Google Scholar] [CrossRef]
- Wang, P.; Fang, J.; Hing, N.; Li, H. Multiantenna-Assisted Spectrum Sensing for Cognitive Radio. IEEE Trans. Veh. Technol. 2010, 59, 1791–1800. [Google Scholar] [CrossRef]
- Zhang, R.; Lim, T.J.; Liang, Y.C.; Zeng, Y. Multi-Antenna Based Spectrum Sensing for Cognitive Radios: A GLRT Approach. IEEE Trans. Commun. 2010, 58, 84–88. [Google Scholar] [CrossRef]
- Ciflikli, C.; Ilgin, F.Y. Studentized Extreme Eigenvalue Based Double Threshold Spectrum Sensing Under Noise Uncertainty. Teh. Vjesn. 2020, 27, 353–357. [Google Scholar]
- Zeng, Y.; Liang, Y.C. Eigenvalue-based spectrum sensing algorithms for cognitive radio. IEEE Trans. Commun. 2009, 57, 1784–1793. [Google Scholar] [CrossRef]



















Disclaimer/Publisher’s Note: The statements, opinions and data contained in all publications are solely those of the individual author(s) and contributor(s) and not of MDPI and/or the editor(s). MDPI and/or the editor(s) disclaim responsibility for any injury to people or property resulting from any ideas, methods, instructions or products referred to in the content. |
© 2025 by the authors. Licensee MDPI, Basel, Switzerland. This article is an open access article distributed under the terms and conditions of the Creative Commons Attribution (CC BY) license (https://creativecommons.org/licenses/by/4.0/).
Share and Cite
Han, X.; Wang, Y.; Huo, Y.; Han, P.; Zhang, C. Line Spectrum Detection Algorithm of Single Vector Sensor Based on Singular Value Difference. Appl. Sci. 2025, 15, 12184. https://doi.org/10.3390/app152212184
Han X, Wang Y, Huo Y, Han P, Zhang C. Line Spectrum Detection Algorithm of Single Vector Sensor Based on Singular Value Difference. Applied Sciences. 2025; 15(22):12184. https://doi.org/10.3390/app152212184
Chicago/Turabian StyleHan, Xue, Yang Wang, Yan Huo, Peng Han, and Chang Zhang. 2025. "Line Spectrum Detection Algorithm of Single Vector Sensor Based on Singular Value Difference" Applied Sciences 15, no. 22: 12184. https://doi.org/10.3390/app152212184
APA StyleHan, X., Wang, Y., Huo, Y., Han, P., & Zhang, C. (2025). Line Spectrum Detection Algorithm of Single Vector Sensor Based on Singular Value Difference. Applied Sciences, 15(22), 12184. https://doi.org/10.3390/app152212184
