Shared Aperture Reflectarray with High-Ratio Dual S/X-Band for LEO Satellite Communication Systems
Abstract
1. Introduction
2. Reflectarray Unit-Cell Design and Analysis
3. Reflectarray System Design and Measurement
3.1. Feed Antenna Design
3.2. Reflectarray Design and Fabrication
4. Results and Discussion
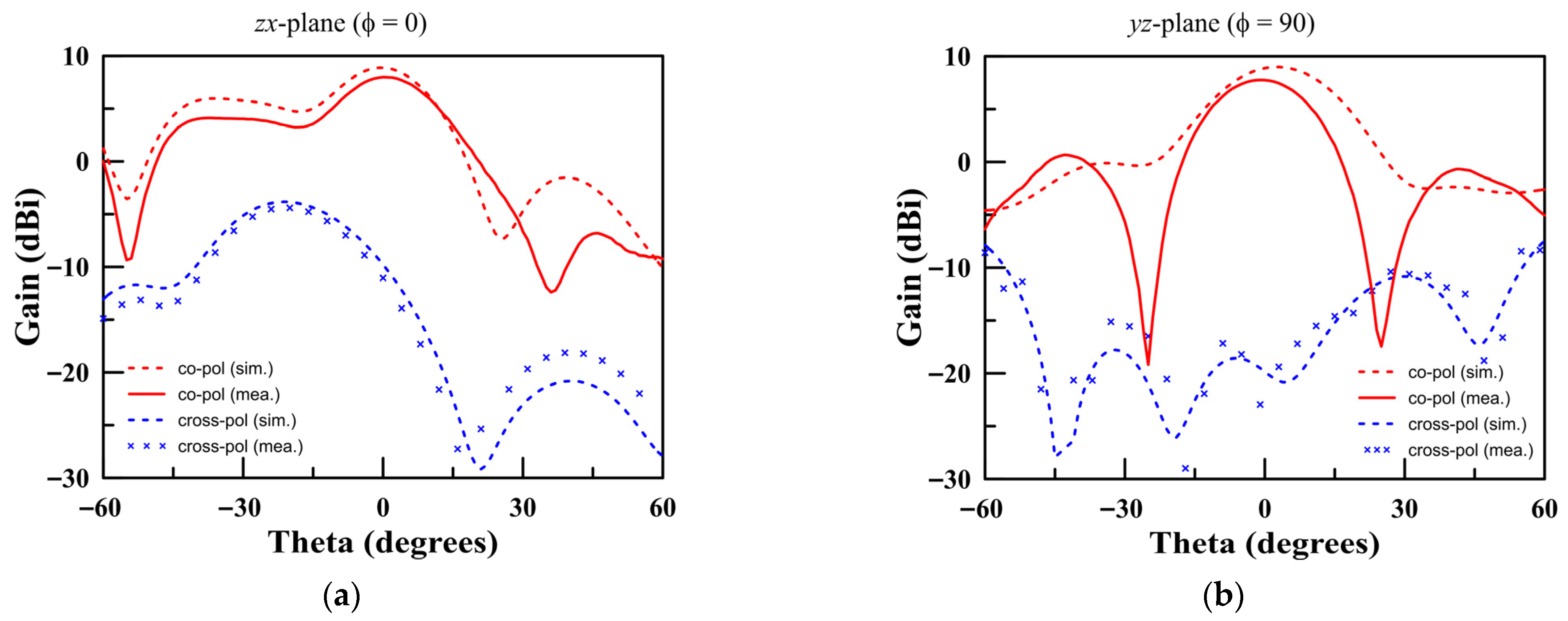
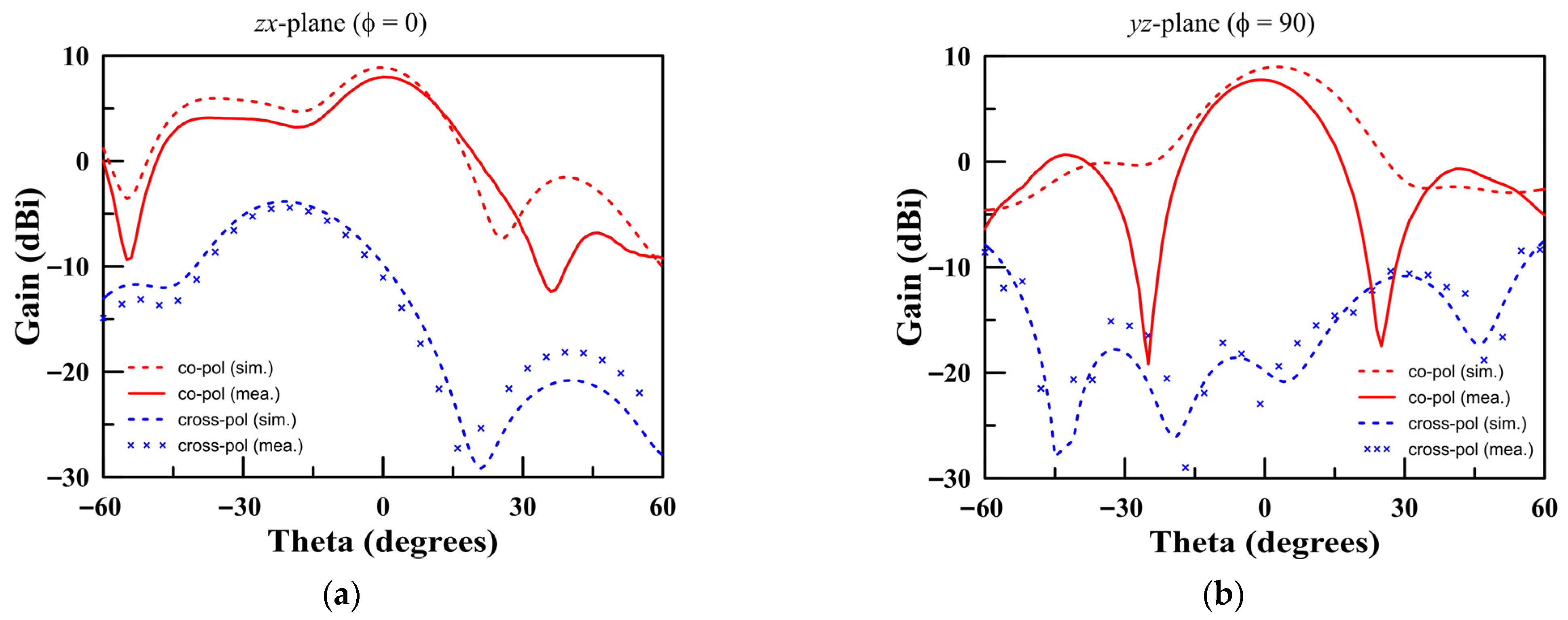
4.1. Radiation Pattern Measurements
4.2. Discussion and Performance Comparison
5. Conclusions
Author Contributions
Funding
Institutional Review Board Statement
Informed Consent Statement
Data Availability Statement
Conflicts of Interest
References
- Hong, Y.P.; Kim, J.M.; Jeong, S.C.; Kim, D.H.; Choi, M.H.; Lee, Y.; Yook, J.G. S-band dual-path dual-polarized antenna system for satellite digital audio radio service (SDARS) application. IEEE Trans. Microw. Theory Tech. 2006, 54, 1569–1575. [Google Scholar] [CrossRef]
- Choi, E.C.; Lee, J.W.; Lee, T.K.; Lee, W.K. Circularly polarized S-band satellite antenna with parasitic elements and its arrays. IEEE Antennas Wirel. Propag. Lett. 2014, 13, 1689–1692. [Google Scholar] [CrossRef]
- Elahi, M.; Trinh-Van, S.; Yang, Y.; Lee, K.-Y.; Hwang, K.-C. Compact and High Gain 4 × 4 Circularly Polarized Microstrip Patch Antenna Array for Next Generation Small Satellite. Appl. Sci. 2021, 11, 8869. [Google Scholar] [CrossRef]
- Tayyab, U.; Kumar, A.; Petry, H.-P.; Asghar, M.E.; Hein, M.A. Dual-Band Nested Circularly Polarized Antenna Array for 5G Automotive Satellite Communications. Appl. Sci. 2023, 13, 11915. [Google Scholar] [CrossRef]
- Pavone, S.C.; Mauro, G.S.; Donato, L.D.; Sorbello, G. Design of Dual Circularly Polarized Sequentially-Fed Patch Antennas for Satellite Applications. Appl. Sci. 2020, 10, 2107. [Google Scholar] [CrossRef]
- J, A.J.; Palaniswamy, S.K.; Kumar, S.; Kanagasabai, M.; Matekovits, L. Design and analysis of wideband single-layer reflectarray antenna for remote sensing and environmental monitoring. Sensors 2025, 25, 954. [Google Scholar] [CrossRef] [PubMed]
- Zhou, M.; Nicolaci, P.G.; Marote, D.; Herreros, J.; Vesterdal, N.; Palvig, M.F.; Sørensen, S.B.; Toso, G. High resolution synthetic aperture radar based on multiple reflectarray apertures. Electronics 2025, 14, 3832. [Google Scholar] [CrossRef]
- Kusnins, R.; Cirjulina, D.; Eidaks, J.; Gailis, K.; Babajans, R.; Litvinenko, A.; Kolosovs, D.; Pikulins, D. A study on a compact double layer sub-GHz reflectarray design suitable for wireless power transfer. Electronics 2024, 13, 2754. [Google Scholar] [CrossRef]
- Nascetti, A.; Pittella, E.; Teofilatto, P.; Pisa, S. High-gain S-band patch antenna system for earth-observation CubeSat satellites. IEEE Antennas Wirel. Propag. Lett. 2015, 14, 434–437. [Google Scholar] [CrossRef]
- Abdullah, H.H.; Elboushi, A.; Gohar, A.E.; Abdallah, E.A. An improved S-band CubeSat communication subsystem design and implementation. IEEE Access 2021, 9, 45123–45136. [Google Scholar] [CrossRef]
- Vazquez-Sogorb, C.; Montoya-Roca, R.; Addamo, G.; Peverini, O.A.; Virone, G. Ridged Apertures for LEO Direct Radiating Arrays in Ka-Band. Appl. Sci. 2024, 14, 7825. [Google Scholar] [CrossRef]
- Encinar, J.A.; Arrebola, M.; de la Fuente, L.F.; Toso, G. A transmit-receive reflectarray antenna for direct broadcast satellite applications. IEEE Trans. Antennas Propag. 2011, 59, 3255–3264. [Google Scholar] [CrossRef]
- Jung, E.Y.; Lee, J.W.; Lee, T.K.; Lee, W.K. SIW-based array antennas with sequential feeding for X-band satellite communication. IEEE Trans. Antennas Propag. 2012, 60, 3632–3639. [Google Scholar] [CrossRef]
- Rengarajan, S.R. Reflectarrays of rectangular microstrip patches for dual-polarization dual-beam radar interferometers. Prog. Electromagn. Res. 2013, 133, 1–15. [Google Scholar] [CrossRef]
- Anim, K.; Shin, G.H.; Jung, Y.B. Dual-resonant stacked linear array of cross-slotted patches for small SAR satellites. IEEE Trans. Antennas Propag. 2021, 69, 3584–3587. [Google Scholar] [CrossRef]
- Herraiz Tirado, D.; Fernandez, M.D.; Herraiz-Zanon, D.; Carballo, I.G.; Alomainy, A.; Belenguer, A. Innovative Integration of High-Performance Floating Patch Antennas in Empty Substrate Integrated Waveguides. Appl. Sci. 2025, 15, 4549. [Google Scholar] [CrossRef]
- Rao, S.K. Advanced antenna technologies for satellite communications payloads. IEEE Trans. Antennas Propag. 2015, 63, 1205–1217. [Google Scholar] [CrossRef]
- Rebollo, A.; Vaquero, Á.F.; Arrebola, M.; Pino, M.R. 3D-printed dual-reflector antenna with self-supported dielectric subreflector. IEEE Access 2020, 8, 209091–209100. [Google Scholar] [CrossRef]
- Osaretin, I.A.; Shields, M.W.; Lorenzo, J.A.M.; Blackwell, W.J. A compact 118-GHz radiometer antenna for the micro-sized microwave atmospheric satellite. IEEE Antennas Wirel. Propag. Lett. 2014, 13, 1533–1536. [Google Scholar] [CrossRef]
- Zhang, H.; Chen, X.; Wang, Z.; Ge, Y.; Pu, J. A 1-bit electronically reconfigurable reflectarray antenna in X band. IEEE Access 2019, 7, 66567–66575. [Google Scholar] [CrossRef]
- Yang, H.; Yang, F.; Cao, X.; Xu, S.; Gao, J.; Chen, X.; Li, M.; Li, T. A 1600-element dual-frequency electronically reconfigurable reflectarray at X/Ku-band. IEEE Trans. Antennas Propag. 2017, 65, 3024–3032. [Google Scholar] [CrossRef]
- Prado, D.R.; Lopez-Fernandez, J.A.; Barquero, G.; Arrebola, M.; Las-Heras, F. Fast and accurate modeling of dual-polarized reflectarray unit cells using support vector machines. IEEE Trans. Antennas Propag. 2018, 66, 1258–1270. [Google Scholar] [CrossRef]
- Kiris, O.; Topalli, K.; Unlu, M. A reflectarray antenna using hexagonal lattice with enhanced beam steering capability. IEEE Access 2019, 7, 45526–45532. [Google Scholar] [CrossRef]
- Yu, H.; Guo, L. Broadband single-layer reflectarray antenna employing circular ring elements dented with sectorial slits. IEEE Access 2019, 7, 165814–165819. [Google Scholar] [CrossRef]
- You, B.-Q.; Liu, Y.-X.; Zhou, J.-H.; Chou, H.-T. Numerical synthesis of dual-band reflectarray antenna for optimum near-field radiation. IEEE Antennas Wirel. Propag. Lett. 2012, 11, 760–762. [Google Scholar] [CrossRef]
- Lu, S.; Qu, S.-W. Low-profile dual-band reflector antenna for high-frequency applications. Sensors 2023, 23, 5781. [Google Scholar] [CrossRef]
- Khan, S.; Malik, B.T.; Koziel, S. Highly compact dual-band frequency selective surface for path-loss and coverage improvement in millimeter-wave advanced wireless applications. Sci. Rep. 2025, 15, 7029. [Google Scholar] [CrossRef] [PubMed]
- Guo, L.; Tan, P.K.; Chio, T.H. Single-layered broadband dual-band reflectarray with linear orthogonal polarizations. IEEE Trans. Antennas Propag. 2016, 64, 4064–4068. [Google Scholar] [CrossRef]
- Kong, G.; Li, X.; Wang, Q.; Zhang, J. A dual-band circularly polarized elliptical patch reflectarray antenna for high-power microwave applications. IEEE Access 2021, 9, 74522–74530. [Google Scholar] [CrossRef]
- Han, C.; Rodenbeck, C.; Huang, J.; Chang, K. A C/Ka dual frequency dual layer circularly polarized reflectarray antenna with microstrip ring elements. IEEE Trans. Antennas Propag. 2004, 52, 2871–2876. [Google Scholar] [CrossRef]
- Liu, Y.; Cheng, Y.J.; Zhao, M.H.; Fan, Y. Dual-band shared-aperture high-efficiency reflectarray antenna based on structure-reuse technique. IEEE Antennas Wirel. Propag. Lett. 2021, 20, 366–370. [Google Scholar] [CrossRef]
- Nayeri, P.; Yang, F.; Elsherbeni, A.Z. Reflectarray Antennas: Theory, Designs, and Applications; Wiley-IEEE Press: Piscataway, NJ, USA, 2018. [Google Scholar] [CrossRef]
- Huang, J.; Encinar, J.A. Reflectarray Antennas; John Wiley & Sons: Hoboken, NJ, USA, 2007; Volume 30. [Google Scholar] [CrossRef]
- Tienda, C.; Encinar, J.A.; Barba, M.; Arrebola, M. Dual-polarization Ku-band compact spaceborne antenna based on dual-reflectarray optics. Sensors 2018, 18, 1100. [Google Scholar] [CrossRef] [PubMed]
- Li, S.; Cai, Y.; Ma, H.; Bu, L.; Qi, S.; Cao, Y.; Wu, T. A novel broadband reflectarray antenna employing equivalent magnetic dipole elements. Sci. Rep. 2025, 15, 10771. [Google Scholar] [CrossRef]
- Satriyotomo, B.; Pyo, S. A reflectarray antenna based on diamond-ring slotted elements with enhanced reflection phase. In Proceedings of the 2022 IEEE International Conference on Aerospace Electronics and Remote Sensing Technology (ICARES), Yogyakarta, Indonesia, 26–27 October 2022; pp. 1–4. [Google Scholar] [CrossRef]
- Ajitesh; Srivastava, S.K.; Singh, A.; Bharati, R.; Sharma, A.K.; Meshram, M.K. A single layer dual band reflectarray antenna for millimeter-wave application. In Proceedings of the 2022 IEEE Microwave, Antennas and Propagation Conference (MAPCON), Bangalore, India, 12–15 December 2022. [Google Scholar] [CrossRef]
- Gülseren, A.H.; Alparslan, A.; Türker Tokan, N. Dual-Band Frequency Selective Surface-Backed Reflectarray for High-Speed Ka-Band Satellites. Appl. Sci. 2024, 14, 2928. [Google Scholar] [CrossRef]
- Pozar, D.M.; Targonski, S.D.; Syrigos, H.D. Design of millimeter wave microstrip reflectarrays. IEEE Trans. Antennas Propag. 1999, 45, 287–296. [Google Scholar] [CrossRef]
- Encinar, J.A. Design of two-layer printed reflectarrays using patches of variable size. IEEE Trans. Antennas Propag. 2001, 49, 1403–1410. [Google Scholar] [CrossRef]
- Chaharmir, M.R.; Shaker, J.; Cuhaci, M.; Ittipiboon, A. A Broadband Reflectarray Antenna With Double Square Rings As The Cell Elements. In Proceedings of the 2006 First European Conference on Antennas and Propagation, Nice, France, 6–10 November 2006; pp. 1–4. [Google Scholar] [CrossRef]
- Dores, G.; Dinis, H.; Baptista, D.; Mendes, P.M. Performance Assessment of a GNSS Antenna Array with Digital Beamforming Supported by an FPGA Platform. Appl. Sci. 2025, 15, 5811. [Google Scholar] [CrossRef]
- Malfajani, R.S.; Arand, B.A. Dual-band orthogonally polarized single-layer reflectarray antenna. IEEE Trans. Antennas Propag. 2017, 65, 6145–6150. [Google Scholar] [CrossRef]
- Li, X.; Li, X.; Yang, L. Single-layer dual-band wide band-ratio reflectarray with orthogonal linear polarization. IEEE Access 2020, 8, 93586–93593. [Google Scholar] [CrossRef]
- Su, T.; Yi, X.; Wu, B. X/Ku dual-band single-layer reflectarray antenna. IEEE Antennas Wirel. Propag. Lett. 2019, 18, 338–342. [Google Scholar] [CrossRef]
- Narayanasamy, K.; Alsath, M.G.; Savarimuthu, K. Design and Analysis of Single Layer Ku/K Band Integrated Element Reflectarray Antenna. Int. J. Microw. Wirel. Technol. 2023, 15, 1424–1433. [Google Scholar] [CrossRef]
- Costanzo, S.; Venneri, F.; Borgia, A.; Di Massa, G. Dual-band dual-linear polarization reflectarray for mmWaves/5G applications. IEEE Access 2020, 8, 78183–78192. [Google Scholar] [CrossRef]
- Yobuamalan, V.Y.; Subramaniam, R.; Kumar, S.S.S.; Sivathanu, C. Dual Band Reflect Array for Tx/Rx Ground Station Drone Tracking Applications. Inf. Midem-J. Microelectron. Electron. Compon. Mater. 2025, 55, 115–125. [Google Scholar] [CrossRef]
- Deng, R.; Yang, F.; Xu, S.; Li, M. An FSS-backed 20/30-GHz dual-band circularly polarized reflectarray with suppressed mutual coupling and enhanced performance. IEEE Trans. Antennas Propag. 2017, 65, 926–931. [Google Scholar] [CrossRef]














| Reference | Year | Structure | Freq. Bands (GHz) | Freq. Ratio | Aperture Size (λlow) | Aperture Efficiency (%) | Gain (dBi) |
|---|---|---|---|---|---|---|---|
| [43] | 2017 | Single-Layer | 9.7/19.2 | 1.97 | 9.7 (Diameter) | ∼50 | 23.6/30.6 |
| [44] | 2020 | Single-Layer | 10/22 | 2.20 | 6.7 × 6.7 | ∼35 | 27.5/31.5 |
| [45] | 2019 | Single-Layer | 8.5/16.0 | 1.88 | N/A | N/A | 22.9/28.8 |
| [46] | 2023 | Single-Layer | 14.25/22.5 | 1.58 | 11.4 × 11.4 | ∼10 | 28.0/26.4 |
| [47] | 2020 | Single-Layer | 28/38 | 1.36 | 11.6 × 11.6 | ∼15 | 28.1/29.2 |
| [48] | 2025 | Single-Layer | 11.3/13.6 | 1.20 | 7 × 7 elements | N/A | N/A |
| [49] | 2017 | Double-Layer | 20/30 | 1.50 | 13.2 (Diameter) | ∼40 | 36.1/38.5 |
| This work | 2025 | Single | 2/8 | 4.00 | 1.7 × 2.4 | 18.4/39.7 | 7.99/17.99 |
Disclaimer/Publisher’s Note: The statements, opinions and data contained in all publications are solely those of the individual author(s) and contributor(s) and not of MDPI and/or the editor(s). MDPI and/or the editor(s) disclaim responsibility for any injury to people or property resulting from any ideas, methods, instructions or products referred to in the content. |
© 2025 by the authors. Licensee MDPI, Basel, Switzerland. This article is an open access article distributed under the terms and conditions of the Creative Commons Attribution (CC BY) license (https://creativecommons.org/licenses/by/4.0/).
Share and Cite
Satriyotomo, B.; Salsabila, S.; Lee, T.-H.; Pyo, S. Shared Aperture Reflectarray with High-Ratio Dual S/X-Band for LEO Satellite Communication Systems. Appl. Sci. 2025, 15, 11992. https://doi.org/10.3390/app152211992
Satriyotomo B, Salsabila S, Lee T-H, Pyo S. Shared Aperture Reflectarray with High-Ratio Dual S/X-Band for LEO Satellite Communication Systems. Applied Sciences. 2025; 15(22):11992. https://doi.org/10.3390/app152211992
Chicago/Turabian StyleSatriyotomo, Bagas, Salwa Salsabila, Tae-Hak Lee, and Seongmin Pyo. 2025. "Shared Aperture Reflectarray with High-Ratio Dual S/X-Band for LEO Satellite Communication Systems" Applied Sciences 15, no. 22: 11992. https://doi.org/10.3390/app152211992
APA StyleSatriyotomo, B., Salsabila, S., Lee, T.-H., & Pyo, S. (2025). Shared Aperture Reflectarray with High-Ratio Dual S/X-Band for LEO Satellite Communication Systems. Applied Sciences, 15(22), 11992. https://doi.org/10.3390/app152211992

