Investigation of Fault-Tolerant Control Strategy of Five-Phase Permanent Magnet Synchronous Generator for Enhancing Wind Turbines’ Reliability
Abstract
1. Introduction
2. System Model
2.1. Wind Turbine Modelling
2.2. Five Phase Permanent Magnet Synchronous Machine (PMSM) Model
- is the stator voltage vector represented as
- is the stator voltage vector represented as
- is the diagonal stator resistance matrix expressed in Equation (8)
- is the stator flux linkage vector defined in Equation (9)
- and are the phase voltages in d1q1 reference frame
- and are the phase currents in d1q1 reference frame
- and are the phase voltages in d2q2 reference frame
- and are the phase currents in d2q2 reference frame
- and are d1-axis and q1-axis inductances, respectively.
- and are d2-axis and q2-axis inductances, respectively.
2.3. Back-to-Back Converter Control
3. Fault Tolerant Strategy
4. Results and Discussion
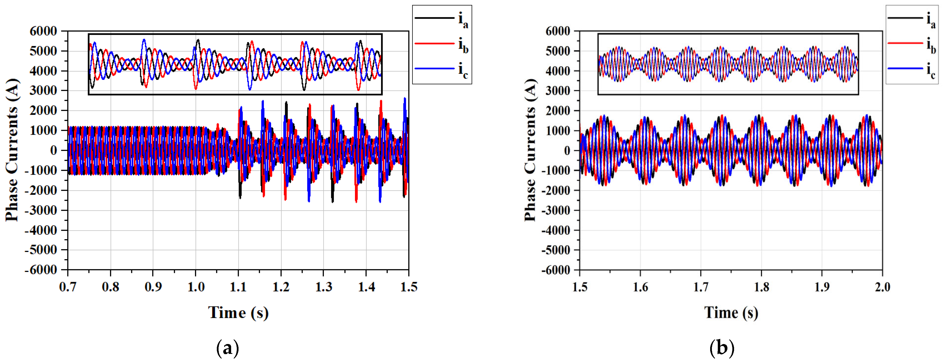
4.1. Single-Phase Fault
4.2. Double Phase Fault
4.3. Wind Speed Variation
5. Conclusions
- Under a single-phase open-circuit fault at 9 m/s, the proposed strategy reduced torque fluctuations by decreasing torque ripple from 49% to 3%, thereby enhancing machine performance. Furthermore, the total harmonic distortion (THD) of the grid current decreased from 11.54% to 4.89%, demonstrating an overall improvement in stability and power quality.
- For the double-phase open-circuit fault at 9 m/s, the proposed strategy significantly reduced torque ripple from 163.75% to 4.70% and decreased the THD from 38.08% to 27.06%. However, this case represents one of the most critical scenarios, as the system continued to operate under unbalanced conditions with a high current in phase ‘d’, which explains why the harmonics are higher compared to the single-phase open-circuit case.
- When subjected to a single-phase open-circuit fault at varying wind speeds, the proposed strategy maintained high stability, although the THD of the grid current increased slightly as wind speed increased. When the wind speed rose from 9 m/s to 11 m/s, the THD increased from 4.89% to 5.89%. However, these changes remained within an acceptable range, confirming the effectiveness of the proposed strategy.
- In the case of double-phase open-circuit fault at varying wind speeds, this scenario—previously discussed—is considered critical due to the high current in phase ‘d’. As wind speed increases, the current amplitude increases, and the unbalanced condition becomes more severe. This in turn will lead to inject high harmonics to the grid, which is unacceptable. Furthermore, the currents in this case may exceed their rated limits at high wind speed, causing severe damage to the generator, and this requires either an immediate system shutdown or speed and load adjustments. The speed and the torque of the generator can be controlled by using either the de-rating factor to decrease the values under high wind speed or advanced control strategies to control the pitch angle and limit the output power.
Author Contributions
Funding
Institutional Review Board Statement
Informed Consent Statement
Data Availability Statement
Acknowledgments
Conflicts of Interest
References
- Ward, E.; Härer, H. Preliminary investigation of an invertor-fed 5-phase induction motor. Proc. Inst. Electr. Eng. 1969, 116, 980–984. [Google Scholar] [CrossRef]
- Rahman, K.; Rahman, S.; Bhaskar, M.S.; Iqbal, A.; Khandakar, A.; Tariq, M.; Alamri, B. Field-oriented control of five-phase induction motor fed from space vector modulated matrix converter. IEEE Access 2022, 10, 17996–18007. [Google Scholar] [CrossRef]
- Song, Z.; Jia, Y.; Liu, C. Open-phase fault-tolerant control strategy for dual three-phase permanent magnet synchronous machines without controller reconfiguration and fault detection. IEEE Trans. Power Electron. 2022, 38, 789–802. [Google Scholar] [CrossRef]
- Zhou, X.; Li, S.; Lu, M.; Zeng, F.; Zhu, M.; Yu, Y. New fault tolerance method for open-phase PMSM. IEEE Access 2019, 7, 146416–146427. [Google Scholar] [CrossRef]
- Wang, H.; Gu, C.; Buticchi, G.; Zhao, H.; Wang, S. Fault Tolerant Control Method for Double-phase Open-circuit Fault with Current and Voltage Reconfiguration in Five-phase SPMSM. In Proceedings of the 26th International Conference on Electrical Machines and Systems (ICEMS), Zhuhai, China, 5–8 November 2023; IEEE: New York, NY, USA, 2023; pp. 979–983. [Google Scholar]
- Frikha, M.A.; Croonen, J.; Deepak, K.; Benômar, Y.; El Baghdadi, M.; Hegazy, O. Multiphase motors and drive systems for electric vehicle powertrains: State of the art analysis and future trends. Energies 2023, 16, 768. [Google Scholar] [CrossRef]
- Jlassi, I.; Bento, F.; Cardoso, A.J.M. Fault-Tolerant PMSG Direct-Drive Wind Turbines, using Vector Control Techniques with Reduced DC-Link Ratings. In Proceedings of the IECON 2018—44th Annual Conference of the IEEE Industrial Electronics Society, Washington, DC, USA, 21–23 October 2018; IEEE: New York, NY, USA, 2018; pp. 1214–1219. [Google Scholar]
- Jlassi, I.; Cardoso, A.J.M. Fault-tolerant back-to-back converter for direct-drive PMSG wind turbines using direct torque and power control techniques. IEEE Trans. Power Electron. 2019, 34, 11215–11227. [Google Scholar] [CrossRef]
- Freire, N.M.A.; Cardoso, A.J.M. A fault-tolerant direct controlled PMSG drive for wind energy conversion systems. IEEE Trans. Ind. Electron. 2013, 61, 821–834. [Google Scholar] [CrossRef]
- Freire, N.M.A.; Cardoso, A.J.M. A fault-tolerant PMSG drive for wind turbine applications with minimal increase of the hardware requirements. IEEE Trans. Ind. Appl. 2013, 50, 2039–2049. [Google Scholar] [CrossRef]
- Bolbolnia, R.; Heydari, E.; Abbaszadeh, K. Fault tolerant control in direct-drive PMSG wind turbine systems under open-circuit faults. In Proceedings of the 2020 11th Power Electronics, Drive Systems, and Technologies Conference (PEDSTC), Tehran, Iran, 4–6 February 2020; IEEE: New York, NY, USA, 2020; pp. 1–5. [Google Scholar]
- Peng, X.; Liu, Z.; Jiang, D. A review of multiphase energy conversion in wind power generation. Renew. Sustain. Energy Rev. 2021, 147, 111172. [Google Scholar] [CrossRef]
- Pantea, A.; Yazidi, A.; Betin, F.; Carriere, S.; Sivert, A.; Vacossin, B.; Henao, H.; Capolino, G.-A. Fault-tolerant control of a low-speed six-phase induction generator for wind turbines. IEEE Trans. Ind. Appl. 2018, 55, 426–436. [Google Scholar] [CrossRef]
- Pantea, A.; Yazidi, A.; Betin, F.; Carriere, S.; Sivert, A.; Capolino, G.-A. Fault tolerant control of six-phase induction generator for wind turbines. In Proceedings of the 2017 IEEE International Electric Machines and Drives Conference (IEMDC), Miami, FL, USA, 21–24 May 2017; IEEE: New York, NY, USA, 2017; pp. 1–7. [Google Scholar]
- Toledo, S.; Caballero, D.; Maqueda, E.; Arrua, S.; Gomez-Redondo, M.; Gregor, R.; Rivera, M.; Wheeler, P. Fault tolerant predictive control for six-phase wind generation systems using multi-modular matrix converter. In Proceedings of the IECON 2021—47th Annual Conference of the IEEE Industrial Electronics Society, Toronto, ON, Canada, 13–16 October 2021; IEEE: New York, NY, USA, 2021; pp. 1–6. [Google Scholar]
- Gonzalez, I.; Duran, M.J.; Che, H.S.; Levi, E.; Aguado, J. Fault-tolerant efficient control of six-phase induction generators in wind energy conversion systems with series-parallel machine-side converters. In Proceedings of the 7th IET International Conference on Power Electronics, Machines and Drives (PEMD 2014), Manchester, UK, 8–10 April 2014; IET: Stevenage, UK, 2014; pp. 2–10. [Google Scholar]
- Gonzalez-Prieto, I.; Duran, M.J.; Che, H.S.; Levi, E.; Bermúdez, M.; Barrero, F. Fault-tolerant operation of six-phase energy conversion systems with parallel machine-side converters. IEEE Trans. Power Electron. 2015, 31, 3068–3079. [Google Scholar] [CrossRef]
- Zhou, S.; Rong, F.; Yin, Z.; Huang, S.; Zhou, Y. HVDC transmission technology of wind power system with multi-phase PMSG. Energies 2018, 11, 3294. [Google Scholar] [CrossRef]
- Seck, A.; Moreau, L.; Benkhoris, M.-F.; Machmoum, M. Automatic generation of optimal phase currents for five-phase PMSG control under open phase condition. In Proceedings of the IECON 2017—43rd Annual Conference of the IEEE Industrial Electronics Society, Beijing, China, 29 October–1 November 2017; IEEE: New York, NY, USA, 2017; pp. 3847–3852. [Google Scholar]
- Pham, H.-T.; Bourgeot, J.-M.; Benbouzid, M. Fault-tolerant model predictive control of 5-phase PMSG under an open-circuit phase fault condition for marine current applications. In Proceedings of the IECON 2016—42nd Annual Conference of the IEEE Industrial Electronics Society, Florence, Italy, 23–26 October 2016; IEEE: New York, NY, USA, 2016; pp. 5760–5765. [Google Scholar]
- Zhao, J.; Xie, W. Fault-Tolerant Control Strategy of Five-Phase Permanent Magnet Synchronous Generator. In Proceedings of the 6th International Conference on Electrical Engineering and Green Energy (CEEGE), Grimstad, Norway, 6–9 June 2023; IEEE: New York, NY, USA, 2023; pp. 119–123. [Google Scholar]
- Stanescu, D.; Digulescu, A.; Ioana, C.; Candel, I. Early-warning indicators of power cable weaknesses for offshore wind farms. In Proceedings of the OCEANS 2023—MTS/IEEE US Gulf Coast, Biloxi, MS, USA, 25–28 September 2023; IEEE: New York, NY, USA, 2023; pp. 1–6. [Google Scholar]
- Nandipati, S.; Nichenametla, A.N.; Waghmare, A.L. Cost-effective maintenance plan for multiple defect types in wind turbine blades. In Proceedings of the 2018 Annual Reliability and Maintainability Symposium (RAMS), Reno, NV, USA, 22–25 January 2018; IEEE: New York, NY, USA, 2018; pp. 1–5. [Google Scholar]
- Hosseini, S.A.; Ahmedi, A.; Blaabjerg, F.; Peyghami, S. Exploring wind farm reliability: Key concepts, databases and fault Trees. Renew. Sustain. Energy Rev. 2025, 211, 115227. [Google Scholar] [CrossRef]
- Yang, C.; Jia, J.; He, K.; Xue, L.; Jiang, C.; Liu, S.; Zhao, B.; Wu, M.; Cui, H. Comprehensive analysis and evaluation of the operation and maintenance of offshore wind power systems: A survey. Energies 2023, 16, 5562. [Google Scholar] [CrossRef]
- Ali, W.; El-Thalji, I.; Giljarhus, K.E.T.; Delimitis, A. Classification analytics for wind turbine blade faults: Integrated signal analysis and machine learning approach. Energies 2024, 17, 5856. [Google Scholar] [CrossRef]
- Hes, J.B.; Jiang, X. Predictive maintenance scheduling framework for offshore wind turbines based on condition monitoring: A review. In Advances in Maritime Technology and Engineering; CRC Press: Boca Raton, FL, USA, 2024; pp. 563–574. [Google Scholar]
- Majout, B.; Bossoufi, B.; Bouderbala, M.; Masud, M.; Al-Amri, J.F.; Taoussi, M.; El Mahfoud, M.; Motahhir, S.; Karim, M. Improvement of PMSG-based wind energy conversion system using developed sliding mode control. Energies 2022, 15, 1625. [Google Scholar] [CrossRef]
- da Silva, L.T.F.; Tomim, M.A.; Barbosa, P.G.; de Almeida, P.M.; da Silva Dias, R.F. Modeling and simulating wind energy generation systems by means of co-simulation techniques. Energies 2023, 16, 7013. [Google Scholar] [CrossRef]
- Slootweg, J.G.; Polinder, H.; Kling, W.L. Representing wind turbine electrical generating systems in fundamental frequency simulations. IEEE Trans. Energy Convers. 2003, 18, 516–524. [Google Scholar] [CrossRef]
- Zeghlache, A.; Mekki, H.; Benkhoris, M.F.; Djerioui, A.; Ziane, D.; Zeghlache, S. Robust Fault-Tolerant Control of a Five-Phase Permanent Magnet Synchronous Motor under an Open-Circuit Fault. Appl. Sci. 2024, 14, 5190. [Google Scholar] [CrossRef]
- Parsa, L.; Toliyat, H.A. Fault-tolerant interior-permanent-magnet machines for hybrid electric vehicle applications. IEEE Trans. Veh. Technol. 2007, 56, 1546–1552. [Google Scholar] [CrossRef]
- Mousa, H.H.; Youssef, A.R.; Mohamed, E.E. Model predictive speed control of five-phase PMSG based variable speed wind generation system. In Proceedings of the 2018 Twentieth International Middle East Power Systems Conference (MEPCON), Cairo, Egypt, 18–20 December 2018; IEEE: New York, NY, USA, 2018; pp. 304–309. [Google Scholar]
- Parsa, L.; Toliyat, H.A. Fault-tolerant five-phase permanent magnet motor drives. In Proceedings of the Conference Record of the 2004 IEEE Industry Applications Conference, 2004, 39th IAS Annual Meeting, Seattle, WA, USA, 3–7 October 2004; IEEE: New York, NY, USA, 2004; Volume 2, pp. 1048–1054. [Google Scholar]
- Ding, S.; Chen, W.; Tong, M.; Xie, F.; Zheng, C. Fault tolerant control for a five-phase permanent magnet synchronous machine driving system. In Proceedings of the 2016 IEEE 11th Conference on Industrial Electronics and Applications (ICIEA), Hefei, China, 5–7 June 2016; IEEE: New York, NY, USA, 2016; pp. 2021–2025. [Google Scholar]
- Huang, N. Simulation of Power Control of a Wind Turbine Permanent Magnet Synchronous Generator System. Master’s Thesis, Marquette University, Milwaukee, WI, USA, 2013. [Google Scholar]
















| Cp | C1 | C2 | C3 | C4 | C5 | C6 |
|---|---|---|---|---|---|---|
| 0.48 | 0.5176 | 116 | 0.4 | 5 | 21 | 0.0068 |
| Parameter | Value |
| Turbine Blade Radius | 35.25 m |
| Air density | 1.225 kg/m3 |
| Tip-speed ratio (optimum) | 8.1 |
| Power Coefficient (Max) | 0.48 |
| Rated Power | 2 MW |
| Number of pole pairs | 26 |
| Permanent magnet flux | 8.239 Wb |
| Generator Stator Resistance | 0.821 Ω |
| Generator inductance | 1.5731 mH |
| DC-link Voltage | 1150 V |
| DC-link Capacitor | 0.023 F |
| Grid Voltage | 575 V |
| Grid frequency | 60 Hz |
| Grid resistance | 0.0005 Ω |
| Grid inductance | 0.131 mH |
| Control Parameters | Value |
| Kp and Ki for speed loop control | 150, 1000 |
| Kp and Ki for current control (Machine side) | 10, 0.1 |
| Kp and Ki for DC link control | 30, 400 |
| Kp and Ki for current control (Grid side) | 0.4, 12 |
| Fault Type | Wind Speed | Normal Operation | Fault Condition | Fault Tolerant |
|---|---|---|---|---|
| Single Phase Fault | 8 | 4.03% | 12.63% | 5.12% |
| 9 | 2.94% | 11.54% | 4.89% | |
| 10 | 2.14% | 13.66% | 5.25% | |
| 11 | 1.62% | 13.72% | 5.89% | |
| Double Phase Fault | 8 | 4.03% | 40.26% | 21.86% |
| 9 | 2.94% | 38.08% | 27.06% | |
| 10 | 2.14% | 33.75% | 32.44% | |
| 11 | 1.62% | 31.66% | 33.59% |
| Fault Type | Wind Speed | Normal Operation | Fault Condition | Fault Tolerant |
|---|---|---|---|---|
| Single Phase Fault | 8 | 2.83% | 46.98% | 3.15% |
| 9 | 2.73% | 49% | 3% | |
| 10 | 2.78% | 52% | 2.31% | |
| 11 | 2.98% | 54.31% | 2.51% | |
| Double Phase Fault | 8 | 2.83% | 170% | 5% |
| 9 | 2.73% | 163.78% | 4.70% | |
| 10 | 2.78% | 163% | 4.37% | |
| 11 | 2.98% | 153.51% | 14% |
Disclaimer/Publisher’s Note: The statements, opinions and data contained in all publications are solely those of the individual author(s) and contributor(s) and not of MDPI and/or the editor(s). MDPI and/or the editor(s) disclaim responsibility for any injury to people or property resulting from any ideas, methods, instructions or products referred to in the content. |
© 2025 by the authors. Licensee MDPI, Basel, Switzerland. This article is an open access article distributed under the terms and conditions of the Creative Commons Attribution (CC BY) license (https://creativecommons.org/licenses/by/4.0/).
Share and Cite
Alsaleem, A.; Alanazi, M. Investigation of Fault-Tolerant Control Strategy of Five-Phase Permanent Magnet Synchronous Generator for Enhancing Wind Turbines’ Reliability. Appl. Sci. 2025, 15, 11894. https://doi.org/10.3390/app152211894
Alsaleem A, Alanazi M. Investigation of Fault-Tolerant Control Strategy of Five-Phase Permanent Magnet Synchronous Generator for Enhancing Wind Turbines’ Reliability. Applied Sciences. 2025; 15(22):11894. https://doi.org/10.3390/app152211894
Chicago/Turabian StyleAlsaleem, Abdulhakeem, and Mutaz Alanazi. 2025. "Investigation of Fault-Tolerant Control Strategy of Five-Phase Permanent Magnet Synchronous Generator for Enhancing Wind Turbines’ Reliability" Applied Sciences 15, no. 22: 11894. https://doi.org/10.3390/app152211894
APA StyleAlsaleem, A., & Alanazi, M. (2025). Investigation of Fault-Tolerant Control Strategy of Five-Phase Permanent Magnet Synchronous Generator for Enhancing Wind Turbines’ Reliability. Applied Sciences, 15(22), 11894. https://doi.org/10.3390/app152211894

