Long-Term Mechanical Properties and Microstructure of High-Performance Concrete with Waste Foundry Sand and Coal Bottom Ash
Abstract
1. Introduction
2. Materials and Methods
2.1. Materials
2.2. Mixture Proportions
- Series 1 (REF): 0% CBA, 0% WFS (natural sand + granite only)
- Series 2 (BA25FS5): 25% CBA (replacing granite) + 5% WFS (replacing natural sand)
- Series 3 (BA20FS10): 20% CBA + 10% WFS
- Series 4: 15% CBA + 15% WFS.
2.3. Experimental Program
- compressive strength at 28, 56 and 730 days;
- splitting tensile strength and flexural tensile strength at 28 and 56 days;
- static modulus of elasticity at 28 days;
- bulk density, open porosity and water absorption at 28 days;
- ultrasonic pulse velocity (UPV) at 730 days;
- SEM for selected series at 730 days to interpret ITZ and pore features.
2.4. Specimen Production and Curing
2.5. Test Methods and Standards
2.5.1. Sampling, Numbers and Statistics
2.5.2. Rationale for Selected Ages
3. Results
3.1. Physical Properties
3.2. Mechanical Properties
3.2.1. Compressive Strength
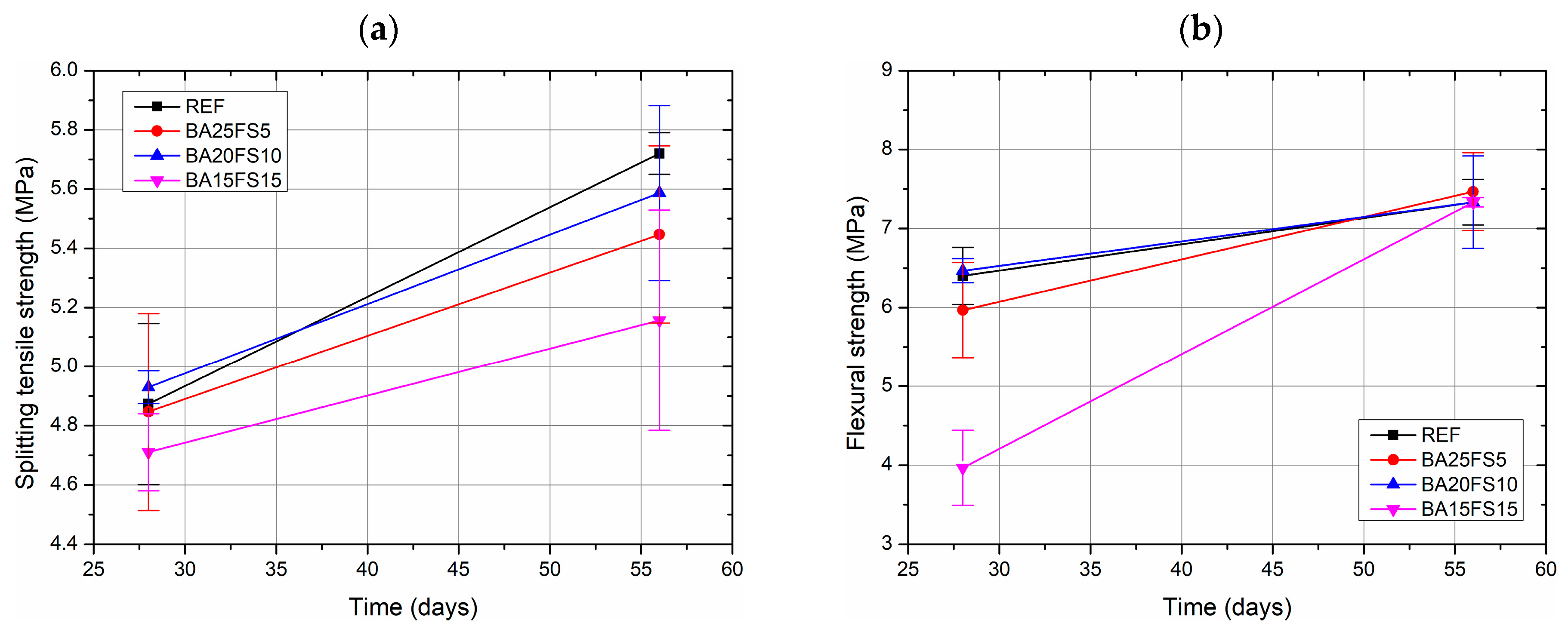
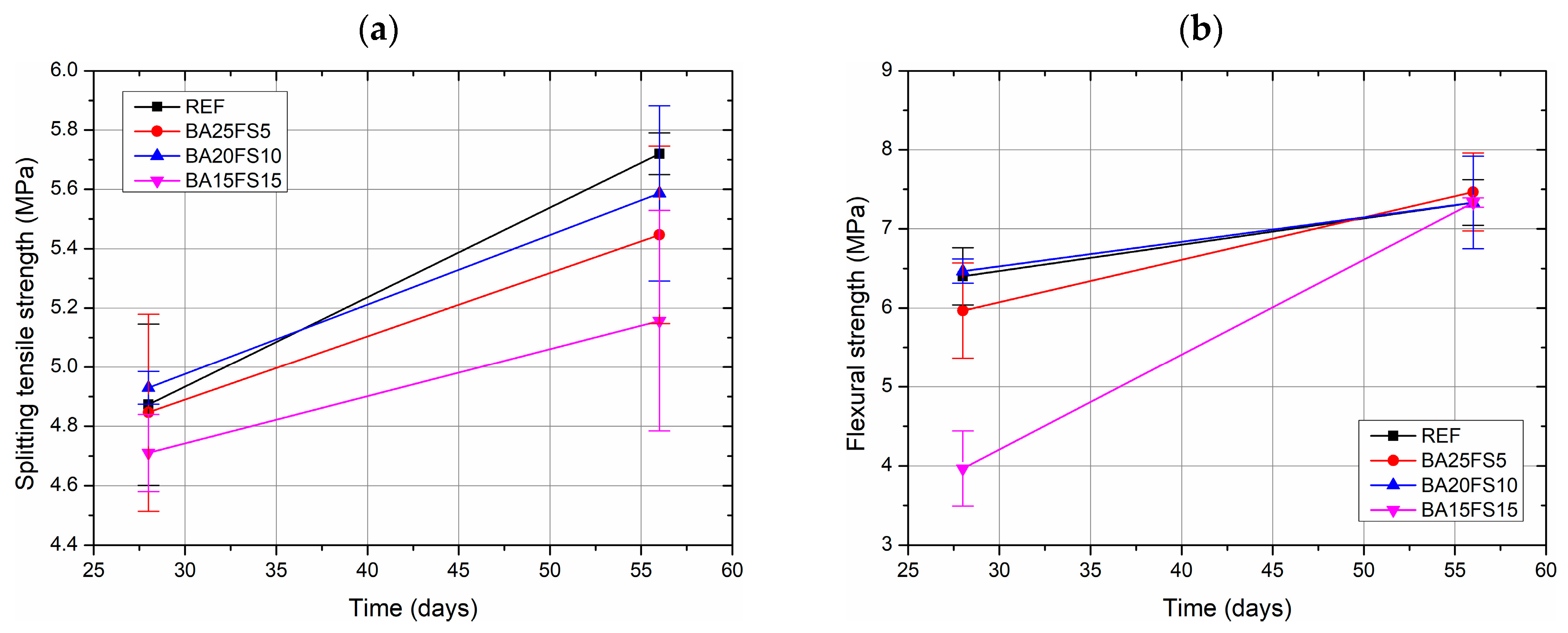
3.2.2. Splitting Tensile Strength and Flexural Strength
3.2.3. Modulus of Elasticity
3.2.4. Ultrasonic Pulse Velocity
3.3. Microstructural Observations
3.4. Empirical Relationships and Modeling Approach
3.4.1. Porosity–Compressive Strength Relationship
3.4.2. Density–Porosity–Strength Coupling
3.4.3. Ultrasonic Pulse Velocity–Compressive Strength Relationship
3.4.4. Elastic Modulus–Compressive Strength Correlation
3.4.5. Interrelations Between Splitting Tensile, Flexural, and Compressive Strengths
3.4.6. Statistical and Modeling Considerations
4. Discussion Summary and Model Validation
5. Conclusions
- 1
- Synergistic interaction of CBA and WFS resulted in refined pore structure, enhanced hydration, and improved long-term stability. Moderate hybridization levels (BA25FS5 and BA20FS10) provided an optimal balance between compactness and workability.
- 2
- Mechanical behavior demonstrated that moderate CBA–WFS substitution maintained or slightly improved compressive strength over time, while the BA15FS15 mixture achieved the highest elastic modulus due to enhanced matrix continuity and ITZ integrity.
- 3
- Microstructural observations confirmed that hybrid mixes developed denser C–S–H networks, fewer microvoids, and stronger interfacial bonding compared with the reference concrete, indicating a direct link between pore refinement and mechanical performance.
- 4
- Durability evaluation based on ultrasonic pulse velocity and porosity confirmed high internal compactness and negligible microcracking after two years of curing, consistent with the high long-term strength and elastic response.
- 5
- Empirical model validation showed strong correlations between compressive strength, porosity, density, and ultrasonic velocity, as well as consistency with classical modulus–strength relationships. The derived models accurately describe the mechanical response of CBA–WFS concretes within experimental uncertainty.
- 6
- Practical implications highlight that replacing up to 30% of natural fine aggregates with combined CBA and WFS can achieve high-performance concretes with sustainable characteristics and long-term mechanical reliability.
Author Contributions
Funding
Institutional Review Board Statement
Informed Consent Statement
Data Availability Statement
Acknowledgments
Conflicts of Interest
References
- Mehta, P.K.; Monteiro, P.J.M. Concrete: Microstructure, Properties, and Materials; McGraw-Hill: New York, NY, USA, 2014. [Google Scholar]
- Scrivener, K.; John, V.M.; Gartner, E. Eco-efficient cements: Potential economically viable solutions for a low-CO2 cement-based materials industry. Cem. Concr. Res. 2018, 114, 2–26. [Google Scholar] [CrossRef]
- Ibrahim, M.H.W.; Abidin, N.E.Z.; Jamaluddin, N.; Kamaruddin, K.; Hamzah, A.F. Bottom ash—Potential use in self-compacting concrete as fine aggregate. ARPN J. Eng. Appl. Sci. 2016, 11, 2570–2577. [Google Scholar]
- Rafieizonooz, M.; Mirza, J.; Salim, M.R.; Hussin, M.W.; Khankhaje, E. Investigation of coal bottom ash and fly ash in concrete as replacement for sand and cement. Constr. Build. Mater. 2016, 116, 15–24. [Google Scholar] [CrossRef]
- Singh, M.; Siddique, R. Effect of coal bottom ash as partial replacement of sand on properties of concrete. Resour. Conserv. Recycl. 2013, 72, 20–32. [Google Scholar] [CrossRef]
- Smarzewski, P.; Barnat-Hunek, D.; Jezierski, W. The possibility of using boiler slag as coarse aggregate in high strength concrete. KSCE J. Civ. Eng. 2017, 21, 2432–2444. [Google Scholar] [CrossRef]
- American Coal Ash Association (ACAA). Production and Use Survey Report; ACAA: Washington, DC, USA, 2020. [Google Scholar]
- Smarzewski, P.; Barnat-Hunek, D. Mechanical and durability related properties of high-performance concrete made with coal cinder and waste foundry sand. Constr. Build. Mater. 2016, 121, 9–17. [Google Scholar] [CrossRef]
- Kim, H.K. Utilization of sieved and ground coal bottom ash powders as a coarse binder in high-strength mortar to improve workability. Constr. Build. Mater. 2015, 91, 57–64. [Google Scholar] [CrossRef]
- Kim, H.K.; Lee, H.K. Coal Bottom Ash in Field of Civil Engineering: A Review of Advanced Applications and Environmental Considerations. KSCE J. Civ. Eng. 2015, 19, 1802–1818. [Google Scholar] [CrossRef]
- Kumar, S.; Kapoor, K.; Singh, S.P.; Singh, P.; Sharma, V. A Review on the Properties of Natural and Recycled Coarse Aggregates Concrete Made with Different Coal Ashes. Clean. Mater. 2022, 5, 100109. [Google Scholar] [CrossRef]
- Aygun, B.F.; Bilir, T.; Uysal, M. Coal bottom ash and its applications in cement and concrete technologies: A review. Discov. Civ. Eng. 2024, 1, 86. [Google Scholar] [CrossRef]
- Singh, M.; Siddique, R. Effect of coal bottom ash as partial replacement of sand on workability and strength properties of concrete. J. Clean. Prod. 2016, 112, 620–630. [Google Scholar] [CrossRef]
- U.S. Federal Highway Administration (FHWA). Foundry Sand Facts for Civil Engineers; FHWA-IF-04-004; FHWA: Washington, DC, USA, 2004.
- Bhardwaj, B.; Kumar, P. Waste foundry sand in concrete: A review. Constr. Build. Mater. 2017, 156, 661–674. [Google Scholar] [CrossRef]
- Basar, H.M.; Deveci Aksoy, N. The effect of waste foundry sand (WFS) as partial replacement of sand on the mechanical, leaching and micro-structural characteristics of ready-mixed concrete. Constr. Build. Mater. 2012, 35, 508–515. [Google Scholar] [CrossRef]
- Guney, Y.; Sari, Y.D.; Yalcin, M.; Tuncan, M.; Donmez, S. Re-usage of waste foundry sand in high-strength concrete. Waste Manag. 2010, 30, 1705–1713. [Google Scholar] [CrossRef] [PubMed]
- Siddique, R.; Singh, G. Utilization of waste foundry sand (WFS) in concrete manufacturing. Resour. Conserv. Recycl. 2011, 55, 885–892. [Google Scholar] [CrossRef]
- Smarzewski, P. Microstructure and Mechanical Properties of Sustainable Concrete Incorporating Used Foundry Sand and Coal Bottom Ash. Sustainability 2025, 17, 5983. [Google Scholar] [CrossRef]
- Manoharan, T.; Laksmanan, D.; Mylsamy, K.; Sivakumar, P.; Sircar, A. Engineering properties of concrete with partial utilization of used foundry sand. Waste Manag. 2018, 71, 454–460. [Google Scholar] [CrossRef]
- de Matos, P.R.; Marcon, M.F.; Schankoski, R.A.; Prudêncio, L.R. Novel applications of waste foundry sand in conventional and dry-mix concretes. J. Environ. Manag. 2019, 244, 294–303. [Google Scholar] [CrossRef]
- Smarzewski, P. Mechanical Properties of Ultra-High Performance Concrete with Partial Utilization of Waste Foundry Sand. Buildings 2020, 10, 11. [Google Scholar] [CrossRef]
- García, G.; Cabrera, R.; Rolón, J.; Pichardo, R.; Thomas, C. Systematic review on the use of waste foundry sand as a partial replacement of natural sand in concrete. Constr. Build. Mater. 2024, 430, 136460. [Google Scholar] [CrossRef]
- Bhardwaj, A.; Kumar, P.; Siddique, S.; Shukla, A. Comprehensive review on utilization of waste foundry sand in concrete. Eur. J. Environ. Civ. Eng. 2023, 27, 1056–1087. [Google Scholar] [CrossRef]
- Jamaluddin, N.; Hamzah, A.F.; Wan Ibrahim, M.H.; Jaya, R.P.; Arshad, M.F.; Zainal Abidin, N.E.; Dahalan, N.H. Fresh Properties and Flexural Strength of Self-Compacting Concrete Integrating Coal Bottom Ash. MATEC Web Conf. 2016, 47, 01010. [Google Scholar] [CrossRef]
- Torres, A.; Aguayo, F.; Allena, S.; Ellis, M. Mechanical properties of ultra-high performance fiber reinforced concrete made with foundry sand. J. Civ. Eng. Constr. 2019, 8, 157–167. [Google Scholar] [CrossRef]
- Ahmad, J.; Aslam, F.; Zaid, O.; Alyousef, R.; Alabduljabbar, H. Mechanical and durability characteristics of sustainable concrete modified with partial substitution of waste foundry sand. Struct. Concr. 2021, 22, 2775–2790. [Google Scholar] [CrossRef]
- Siddique, R.; de Schutter, G.; Noumowe, A. Effect of used-foundry sand on the mechanical properties of concrete. Constr. Build. Mater. 2009, 23, 976–980. [Google Scholar] [CrossRef]
- Meena, A.; Singh, N.; Singh, S. Sustainable development of high-volume fly ash self-compacting concrete incorporating bottom ash and recycled concrete aggregates. J. Mater. Eng. Struct. 2023, 10, 615–630. [Google Scholar]
- Smarzewski, P. Long-Term Behavior and Microstructure of High-Performance Concrete with Coal Slag. Materials 2025, 18, 2585. [Google Scholar] [CrossRef]
- PN-EN 933-1:2012; Tests for Geometrical Properties of Aggregates—Part 1: Determination of Particle Size Distribution—Sieving Method. PKN: Warsaw, Poland, 2012.
- PN-EN 197-1:2012; Cement—Part 1: Composition, Specifications and Conformity Criteria for Common Cements. Polish Committee for Standardization: Warsaw, Poland, 2012.
- ASTM C642-21; Standard Test Method for Density, Absorption, and Voids in Hardened Concrete. ASTM International: West Conshohocken, PA, USA, 2021.
- PN-EN 12390-3:2019; Testing Hardened Concrete—Part 3: Compressive Strength of Test Specimens. PKN: Warsaw, Poland, 2019.
- PN-EN 12390-6:2019; Testing Hardened Concrete—Part 6: Tensile Splitting Strength of Test Specimens. PKN: Warsaw, Poland, 2019.
- PN-EN 12390-5:2019; Testing Hardened Concrete—Part 5: Flexural Strength of Test Specimens. PKN: Warsaw, Poland, 2019.
- PN-EN 12390-13:2021; Testing Hardened Concrete—Part 13: Determination of Secant Modulus of Elasticity in Compression. PKN: Warsaw, Poland, 2021.
- PN-EN 12390-7:2020; Testing Hardened Concrete—Part 7: Density of Hardened Concrete. PKN: Warsaw, Poland, 2020.
- PN-EN 12504-4:2021; Testing Concrete—Part 4: Determination of Ultrasonic Pulse Velocity. PKN: Warsaw, Poland, 2021.
- Malhotra, V.M.; Carino, N.J. (Eds.) Handbook on Nondestructive Testing of Concrete, 2nd ed.; CRC Press: Boca Raton, FL, USA, 2003. [Google Scholar]
- Martins, M.A.B.; Silva, L.R.R.; Kuffner, B.H.B.; Barros, R.M.; Melo, M.L.N.M. Behavior of High-Strength Self-Compacting Concrete with Marble/Granite Processing Waste and Waste Foundry Exhaust Sand, Subjected to Chemical Attacks. Constr. Build. Mater. 2022, 323, 126492. [Google Scholar] [CrossRef]
- Di Maida, P.; Sciancalepore, C.; Radi, E.; Lanzoni, L.; Milanese, D. Recycling Foundry Sands in Concrete: A Comparative Study on the Use of Green Sand and Chemically Bonded Sand as Partial Replacements for Natural Sand. Materials 2025, 18, 4245. [Google Scholar] [CrossRef]
- Makul, N.; Sua-Iam, G. Innovative utilization of foundry sand waste obtained from the manufacture of automobile engine parts as a cement replacement material in concrete production. J. Clean. Prod. 2018, 199, 305–320. [Google Scholar] [CrossRef]
- Ma, H.; Zhu, H.; Wu, C.; Chen, H.; Sun, J.; Liu, J. Study on compressive strength and durability of alkali-activated coal gangue-slag concrete and its mechanism. Powder Technol. 2020, 368, 112–124. [Google Scholar] [CrossRef]
- ACI Committee 318. Building Code Requirements for Structural Concrete; American Concrete Institute: Farmington Hills, MI, USA, 2019. [Google Scholar]
- fib Model Code. CEB-FIP Model Code for Concrete Structures; John Wiley & Sons: Hoboken, NJ, USA, 2010. [Google Scholar]







Disclaimer/Publisher’s Note: The statements, opinions and data contained in all publications are solely those of the individual author(s) and contributor(s) and not of MDPI and/or the editor(s). MDPI and/or the editor(s) disclaim responsibility for any injury to people or property resulting from any ideas, methods, instructions or products referred to in the content. |
© 2025 by the authors. Licensee MDPI, Basel, Switzerland. This article is an open access article distributed under the terms and conditions of the Creative Commons Attribution (CC BY) license (https://creativecommons.org/licenses/by/4.0/).
Share and Cite
Smarzewski, P.; Muzolf, P. Long-Term Mechanical Properties and Microstructure of High-Performance Concrete with Waste Foundry Sand and Coal Bottom Ash. Appl. Sci. 2025, 15, 11797. https://doi.org/10.3390/app152111797
Smarzewski P, Muzolf P. Long-Term Mechanical Properties and Microstructure of High-Performance Concrete with Waste Foundry Sand and Coal Bottom Ash. Applied Sciences. 2025; 15(21):11797. https://doi.org/10.3390/app152111797
Chicago/Turabian StyleSmarzewski, Piotr, and Paweł Muzolf. 2025. "Long-Term Mechanical Properties and Microstructure of High-Performance Concrete with Waste Foundry Sand and Coal Bottom Ash" Applied Sciences 15, no. 21: 11797. https://doi.org/10.3390/app152111797
APA StyleSmarzewski, P., & Muzolf, P. (2025). Long-Term Mechanical Properties and Microstructure of High-Performance Concrete with Waste Foundry Sand and Coal Bottom Ash. Applied Sciences, 15(21), 11797. https://doi.org/10.3390/app152111797

