Abstract
Rapid and reliable detection of pesticide residues in vegetables is essential for food safety and sustainable agriculture. This work presents a four-port closed-loop ring resonator (CLRR) sensor for quantitative detection of carbamate residues in leafy vegetables. Operating through the S31 transmission path, the sensor enhances electric-field coupling and sensing resolution in the high-field region. Four resonance modes were identified at 1.05, 2.10, 3.12, and 4.11 GHz, with the third mode (3.12 GHz) showing the most stable and linear response. Vegetable extracts of Chinese kale and Choy sum were prepared with carbamate concentrations of 0–8% (w/v). Increasing concentration caused a red-shift in resonance frequency corresponding to a reduction in dielectric constant. Regression analysis revealed a strong linear correlation between frequency shift and concentration (R2 = 0.9855–0.9988). The CLRR achieved average normalized sensitivities of 6.39% and 6.54% per unit dielectric variation, outperforming most planar and metamaterial sensors. Fabricated on a single-layer FR-4 substrate, the sensor combines high sensitivity, low cost, and excellent repeatability, offering a practical, label-free, non-destructive tool for on-site monitoring of pesticide contamination in leafy vegetables.
1. Introduction
Pesticide residues in agricultural produce, particularly leafy vegetables, represent a pressing concern for both public health and environmental sustainability. Among the wide range of chemical classes used in pest management, carbamate pesticides are frequently applied due to their effectiveness against a broad spectrum of insects and their relatively fast degradation profile. However, improper or excessive application has been shown to result in persistent residues in edible crops, particularly in developing agricultural contexts with limited regulatory enforcement [1,2]. These compounds function by inhibiting cholinesterase enzymes, leading to an accumulation of acetylcholine in nerve synapses, which in turn disrupts normal neural transmission. This mechanism of action renders carbamates highly neurotoxic even at low concentrations, posing an immediate risk of acute toxicity and, with continued exposure, the potential for long-term health complications [3]. Recent toxicological evaluations have further associated chronic exposure to carbamate residues with endocrine disruption, neurodegenerative outcomes, and increased carcinogenic risk, highlighting the urgent need for improved monitoring and risk mitigation strategies [4,5].
Conventional analytical methods—such as gas chromatography (GC), liquid chromatography–tandem mass spectrometry (LC-MS/MS), and electrochemical biosensors—have demonstrated remarkable sensitivity and specificity for pesticide residue detection [6,7,8]. However, these techniques typically require elaborate sample preparation, costly instrumentation, and skilled personnel, limiting their practicality for routine screening or on-site applications [7,9]. Furthermore, the time-consuming nature of these methods makes them less ideal for applications requiring rapid decision-making, such as supply chain inspections or farm-gate assessments [10]. Recently, microwave-based sensors have emerged as promising tools for real-time, label-free, and non-invasive detection of chemical contaminants due to their ability to monitor dielectric property changes in target substances [11,12]. These sensors operate by detecting shifts in resonance frequency caused by variations in the permittivity of the material under test, enabling a fast and non-destructive assessment of contamination. In particular, microwave ring resonator structures are receiving increasing attention for use in environmental and food safety applications owing to their compactness, high sensitivity, and potential for integration into portable and wireless systems [13,14,15,16].
Recent studies have explored a wide range of microwave and metamaterial-based resonator designs—including open complementary split-ring resonators (OCSRR) [17], substrate-integrated waveguide (SIW) cavities [18], complementary spiral resonators (CSR) [19,20], inter-digital capacitor (IDC) structures [21], and complementary split-ring resonators (CSRR) [22,23]. While these designs have shown useful performance in specific applications, many require complex multilayer structures, precise coupling networks, or costly substrates. In particular, several resonator types designed for liquid characterization exhibit relatively low normalized sensitivities (often below 2%) due to weak field confinement and limited dielectric interaction [17,20,22,23,24]. To improve sensing performance, some studies have introduced enhanced metamaterial or dual-band structures, which successfully increased sensitivity to around 4–5% but at the cost of significantly higher structural complexity and reduced fabrication repeatability [18,19,21]. Flexible and metamaterial-based resonators also face challenges in maintaining long-term stability and cost-effective production for practical sensing applications.
To address these limitations, this work introduces a four-port closed-loop ring resonator (CLRR) architecture that combines structural simplicity with enhanced electromagnetic field coupling [25,26]. This design concept aims to provide a compact, single-layer platform suitable for high-sensitivity and broadband dielectric sensing, particularly for real agricultural samples such as leafy vegetables. In this study, we propose the design, simulation, and experimental validation of a microwave ring resonator sensor tailored for detecting varying concentrations of carbamate pesticide residues in leafy vegetable samples. The sensor operates by detecting shifts in resonance frequency caused by changes in the dielectric permittivity of the test material, as a quantitative indicator of pesticide contamination. This research aims not only to demonstrate the sensitivity and specificity of the proposed sensor but also to establish its feasibility as a low-cost, field-deployable tool for routine agricultural monitoring and food safety assurance. A preliminary version of this work was presented [27]. The present article represents a substantially extended version, incorporating additional experimental validation, multi-concentration pesticide testing, and an in-depth analysis of resonance mode sensitivity and practical applicability.
2. Materials and Methods
This section describes the materials, sample preparation procedures, and experimental methods used for the quantitative detection of carbamate pesticide residues with a microwave CLRR sensor. Two types of leafy vegetables were selected as representative matrices due to their high moisture content and distinct dielectric characteristics. The samples were prepared with various carbamate concentrations to evaluate the relationship between pesticide levels and corresponding dielectric responses.
2.1. Preparation of Vegetable Extract Samples
Two types of leafy vegetables, Chinese kale (Brassica oleracea var. alboglabra) and Choy sum (Brassica rapa var. parachinensis), were selected as representative matrices for pesticide residue detection due to their high-water content, cellular uniformity, and widespread consumption in Southeast Asia. Fresh organic samples were first verified to be pesticide-free using the MJPK pesticide test kit (Department of Medical Sciences, Ministry of Public Health, Nonthaburi, Thailand), which applies a colorimetric cholinesterase inhibition principle to detect carbamate contamination [28,29,30]. Samples that produced negative color responses were used as baseline controls representing 0% carbamate concentration.
To prepare contaminated samples, a carbamate stock solution was diluted with distilled water and mixed with vegetable extracts to achieve concentrations of 0.2%, 0.4%, 0.6%, 0.8%, 1%, 2%, 3%, 5%, and 8% (w/v). These concentration levels were chosen to cover a wide dielectric response range for accurate sensor calibration. The lower range (0.2–1% w/v) represents mild contamination, while the higher range (2–8% w/v) allows evaluation of sensor linearity and saturation under controlled laboratory conditions. In addition, test samples (from market) for both vegetables were included to represent real-world contamination scenarios. Approximately 50 g of each chopped vegetable was homogenized with 100 mL of distilled water using a laboratory blender, and the mixture was filtered through Whatman No. 1 paper to obtain a clear extract suitable for dielectric characterization. All prepared extracts were stored in sealed glass containers at room temperature (25 ± 1 °C) prior to measurement to prevent moisture loss or degradation. For dielectric testing, 10 mL of each extract was transferred into a test tube and analyzed using a Vector Network Analyzer (VNA) (E5071C, Keysight Technologies Inc., Santa Rosa, CA, USA) equipped with a slim-form dielectric probe (N1501A, Keysight Technologies Inc., Santa Rosa, CA, USA). Each concentration was measured three times to ensure statistical reproducibility and minimize random error.
To prepare contaminated samples, the concentration of each solution was calculated using the conventional weight-to-volume relationship can be expressed as:
where represents the mass of the solute (pesticide, in grams) and denotes the total volume of the prepared solution (in milliliters). For instance, a 1% (w/v) solution was prepared by dissolving 1 g of pesticide in 100 mL of vegetable extract, while a 1% (w/v) solution contained 1 g in 100 mL.
The overall preparation process and validation steps are illustrated in Figure 1, which shows (a) the experimental setup for dielectric measurement, (b) the extraction of Chinese kale (top) and Choy sum (bottom), and (c) the verification of pesticide-free organic samples. This standardized preparation procedure ensured that the variations in dielectric properties were primarily caused by the presence of carbamate residues, forming a reliable basis for correlating pesticide concentration with microwave resonance frequency shifts in subsequent experiments.
Figure 1.
Preparation and validation of vegetable samples for dielectric measurements: (a) Experimental setup for dielectric characterization; (b) Extract preparation of Chinese kale (top) and Choy sum (bottom); (c) Verification of pesticide-free organic samples.
2.2. Theoretical Background of Dielectric Property Measurement
The dielectric properties of biological materials provide essential insight into the interaction mechanisms between electromagnetic waves and molecular structures. In aqueous biological systems such as vegetable extracts, the complex permittivity () characterizes both the material’s energy storage capability and its energy dissipation due to dipole relaxation and ionic conduction [31]. It can be expressed as:
where represents the dielectric constant—indicating the ability of the material to store electric energy—and denotes the dielectric loss factor, which quantifies the energy dissipated as heat due to molecular friction and ionic polarization. Both parameters are frequency-dependent and sensitive to the chemical composition, water content, and ionic concentration of the material. In vegetable matrices, water molecules play a dominant role in polarization under an applied microwave field. The introduction of carbamate pesticide molecules affects this dynamic by partially displacing polar water molecules and altering the relaxation behavior of the system. Consequently, both and vary systematically with pesticide concentration, leading to detectable shifts in the resonance frequency of the microwave ring resonator sensor [32,33].
The frequency-dependent behavior of dielectric materials can be described using the Debye relaxation model, which accounts for dipole polarization processes as a function of angular frequency ():
where and are the static and high-frequency permittivity values, respectively, and is the relaxation time constant representing the molecular reorientation rate. In practical measurement, the VNA equipped with a dielectric probe estimates and by analyzing the reflection coefficient (S11) from the probe–sample interface. The measured dielectric parameters can then be correlated with microwave resonance frequency shifts observed in the ring resonator sensor. Such correlations provide a quantitative framework for determining pesticide concentration based on dielectric perturbation theory, where even small variations in permittivity result in measurable shifts in the resonant response.
3. Sensor Design and Theoretical Modeling
The proposed microwave sensor is based on a four-port CLRR structure designed for high-sensitivity dielectric detection and compact planar fabrication. The operating principle relies on electromagnetic resonance, in which the resonant frequency varies with the permittivity of the surrounding medium. Any change in this permittivity—such as that induced by pesticide residues—causes a measurable shift in the resonance frequency, which forms the basis of detection.
3.1. Sensor Configuration
The microwave sensor developed in this study is based on a CLRR, a widely used structure for high-sensitivity dielectric sensing. Unlike open-loop or split-ring resonators, the CLRR forms a continuous conductive path, allowing electromagnetic waves to circulate around the loop without discontinuities. This configuration supports multiple resonance modes, making it suitable for multi-band or multi-mode sensing applications. The resonance condition in a CLRR is governed by the relationship between the guided wavelength and the physical path length of the loop. For a circular ring resonator, the condition is expressed as Equation (4) [34].
where is the resonance wavelength, is the physical length of the ring, is the mode number, and is the effective refractive index of the transmission medium. Since the FR-4 substrate used in this design is a non-magnetic material, its relative permeability is approximately 1. Therefore, the effective refractive index can be simplified to , where is the effective relative permittivity of the microstrip configuration. Substituting into the equation and using , the resonance frequency for mode becomes Equation (5) [27].
To target a fundamental resonance at approximately 1 GHz (), the effective permittivity was estimated to be , based on the quasi-static approximation typically used for microstrip lines on FR-4 substrates [35] rather than repeating the numerical derivation, the relationship between the resonance frequency and the corresponding ring radius for different modes (m = 1, 2, 3, 4) is graphically illustrated in Figure 2. The plot clearly shows the inverse relationship described by Equation (5), where the red dashed line at a radius of approximately 25 mm intersects all four mode curves, corresponding to resonance frequencies at 1.058, 2.117, 3.174, and 4.232 GHz, respectively. These evenly spaced resonance intervals of roughly 1 GHz confirm the suitability of the selected radius for achieving stable multi-mode operation within the 1–5 GHz band. This frequency range was intentionally chosen to align with the stable dielectric behavior and low-loss characteristics of the FR-4 substrate in the microwave spectrum [36].
Figure 2.
Calculated ring radius as a function of resonance frequency at mode m = 1, 2, 3, 4.
The complete sensor structure is depicted in Figure 3a. The CLRR is symmetrically coupled to two straight microstrip lines, forming a four-port configuration. Port 1 (input) and Port 2 (through) form the primary signal path, while Port 3 (drop) and Port 4 (add) are configured to extract or reinject coupled energy at resonance. This configuration supports multi-path S-parameter measurements such as S21, S31 and S41, which are used to detect frequency shifts caused by dielectric perturbations near the resonator. The four-port layout also enables a broader sensing bandwidth and greater flexibility in selecting the optimal output port, depending on the resonance mode or sample placement. The symmetrical coupling design ensures consistent energy distribution around the ring and enhances measurement repeatability during experimental testing. Figure 3b illustrates the sensor’s operating principle and sample placement, where a droplet of vegetable extract is positioned at the high-field region of the ring. The interaction between the dielectric sample and the localized electric field perturbs the resonant condition, enabling quantitative detection of pesticide residues. The sensor is fabricated on an FR-4 substrate ( = 4.3, T = 1.6 mm) [37]. A copper layer is deposited on the top surface to form the resonator and transmission lines, while the bottom surface is fully metallized to serve as the ground plane. The transmission lines are matched to a characteristic impedance of 50 Ω. The key geometrical parameters are summarized in Table 1.
Figure 3.
Schematic geometry and operating principle of the proposed four-port CLRR sensor: (a) Geometric configuration and port arrangement; (b) Illustration of the sensor’s operating principle and sample placement. The different color arrows illustrate the signal flow within the sensor structure. The black arrow represents the signal propagating from Port 1 (input), which is divided into three parts: one continues toward Port 2 (through), while the other two portions are coupled into the ring resonator. The red arrow indicates the coupled signal circulating in the ring and exiting at Port 3 (drop), whereas the blue arrow represents the signal coupled and exiting at Port 4 (add).
Table 1.
Geometrical parameters of the proposed microwave ring resonator sensor.
3.2. S-Parameter Response and Electromagnetic Coupling
The electromagnetic response of the proposed four-port CLRR can be described using the coupled-mode theory, which explains the interaction between the input signal and the resonant field circulating within the ring. The add-drop configuration as depicted in Figure 3a,b, consisting of the input (Port 1), through (Port 2), drop (Port 3), and add (Port 4) ports, enables frequency-selective coupling that is highly sensitive to variations in the effective permittivity near the resonator.
When an electromagnetic wave propagates through this structure, part of its energy is coupled into the ring and re-radiated through the output ports depending on the resonance condition. The presence of a dielectric sample near the ring perturbs the local effective permittivity (), which modifies the propagation constant and consequently shifts the resonance frequency (). The sensor’s frequency-dependent transmission is characterized by the scattering parameters (S-parameters) defined in decibel (dB) [38], which represent the reflection and transmission of electromagnetic waves under 50 Ω matched conditions. In this design, S21, S31, and S41 correspond to the through, drop, and add ports, respectively, and are used to evaluate how the input power is distributed among the different ports. Changes in the dielectric properties of the material under test (MUT) lead to measurable resonance shifts in these S-parameter spectra, forming the fundamental sensing mechanism. The strength of these shifts directly depends on the field confinement around the coupling region and the dielectric interaction between the ring and the sample. To validate the electric field interaction within the dielectric region, full-wave simulations were conducted similarly to the EBG-based applicator design in [39], where rice samples were evaluated using CST. As illustrated in Figure 4, the simulated electric-field distributions for resonance modes m = 1, 2, 3, 4 reveal distinct regions of electric field localization around the ring. The strongest electric-field confinement appears on the left-hand side of the resonator at m = 3, which corresponds to the point of maximum dielectric interaction and highest sensitivity. This region (Point A) was therefore selected as the optimal sample-placement position in the experimental study.
Figure 4.
Simulated electric-field distribution and sample placement positions of the proposed four-port CLRR sensor at different resonance modes: (a) m = 1, (b) m = 2, (c) m = 3, and (d) m = 4.
A detailed mathematical derivation of the coupled-mode relations and analytical formulation of the S-parameters is provided in Appendix A for reference.
3.3. Sensor Performance
The performance of a microwave ring resonator sensor can be theoretically characterized through three main parameters—resonance frequency shift () and sensitivity (S)—which collectively determine the capability of the sensor to detect, discriminate, and quantify dielectric perturbations caused by the material under test (MUT). These parameters form the foundation for developing quantitative calibration models such as linear regression, which relates the observed frequency shift to the analyte concentration.
3.3.1. Resonance Frequency Shift
The resonance frequency of a microwave resonator is influenced by changes in the effective permittivity of its surrounding medium. When a dielectric sample interacts with the high electric-field region of the resonator, the local capacitance () increases, resulting in a red-shift of the resonance frequency according to the LC-resonant relation:
where represents the total inductance of the resonator structure, determined primarily by the conductive ring geometry and current path; is the intrinsic capacitance of the resonator in its unloaded state, governed by the substrate permittivity and gap spacing between metallic traces; and denotes the additional capacitance induced by the dielectric interaction of the sample under test (SUT) or material under test (MUT) within the high electric-field region. The resulting frequency shift can be expressed as a differential form:
where and represent the unloaded and loaded resonance frequencies, respectively. This frequency deviation serves as the primary sensing signal for quantifying variations in sample permittivity, which in this work correspond to different concentrations of carbamate pesticide residues in vegetable extracts. The sensitivity of the sensor increases proportionally with the electric-field intensity at the sample–resonator interface, as demonstrated in prior planar and metamaterial resonator studies [32,40,41,42].
3.3.2. Sensitivity and Linear Regression Model
The normalized sensitivity, of the sensor quantifies its responsiveness to changes in analyte concentration or dielectric property and can be defined as:
while a linear regression model provides a convenient first-order approximation of the relationship between resonance frequency shift () and analyte concentration (C), experimental data from dielectric-based microwave sensors often exhibit minor nonlinearities—particularly near low or high concentration boundaries—due to field-distribution effects and dielectric dispersion. To more accurately capture this behavior, the quantitative relationship can be represented by a second-degree polynomial (quadratic) regression model, expressed as [43]:
where Y is the predicted carbamate concentration (% w/v), X is the measured resonance frequency shift (in MHz), is the intercept, is the first-order (linear) coefficient representing baseline sensitivity, and is the second-order (quadratic) coefficient describing higher-order curvature in the sensor response. The polynomial model thus generalizes the linear form of Equation (9) by introducing a correction term proportional to , which compensates for weak nonlinearity in the electromagnetic coupling between the sample and resonator. The coefficients are obtained using the ordinary least-squares (OLS) fitting method, minimizing the sum of squared residuals between experimental and predicted values. The determination coefficient (R2) and root-mean-square error (RMSE) are subsequently used to assess the model’s accuracy [44]. When , the model naturally reduces to the linear case described earlier, confirming that linearity remains a valid approximation within the quasi-linear region (2.6–3.2 GHz). The degree of linear correlation between X and Y is assessed using the correlation coefficient (r) and the coefficient of determination (R2), defined respectively as:
where n is the number of measured data pairs, is the predicted concentration from Compared with a purely linear calibration, the polynomial approach improves fitting accuracy at both low and high concentration ranges (0–8% w/v), thereby enhancing the model’s predictive stability near the sensor’s operational limits. This ensures that subtle dielectric variations from molecular polarization and interfacial relaxation are accurately captured, yielding a more reliable quantitative correlation between resonance frequency shift and pesticide concentration [22,43].
The established polynomial calibration framework enables the conversion of frequency-domain responses into quantitative carbamate concentration estimates. These theoretical relations form the foundation for the simulation and experimental validations presented in Section 4, where the resonance characteristics and sensing performance of the fabricated CLRR are analyzed in detail.
4. Results and Discussion
This section presents both the simulated and experimental results used to evaluate the performance of the proposed microwave ring resonator sensor for detecting carbamate pesticide residues in vegetable extracts. The results include analyses of resonance behavior, comparison between simulated and measured S-parameters, dielectric characterization of vegetable samples, and quantitative correlation between resonance frequency shifts and pesticide concentrations.
4.1. Simulation and Resonance Characteristics
Full-wave electromagnetic simulations were performed using CST Microwave Studio to examine the resonance modes of the proposed bare sensor within the frequency range of 0.5–5 GHz. The simulated S-parameter responses (S21, S31, and S41) confirmed the presence of four distinct resonance modes (m = 1, 2, 3, 4), consistent with the analytical model described in Section 3. Multiple resonance peaks were observed, demonstrating the multi-mode capability of the CLRR.
The results confirmed that the designed CLRR supports multiple resonance modes corresponding to the mode numbers m = 1, 2, 3, 4, which are consistent with the analytical relationship in Equation (5). Each mode generated distinct resonance notches within the transmission spectrum, demonstrating the ability of the resonator to operate in a broadband frequency range. Among all ports, the S31 (drop-port) response exhibited the sharpest and deepest resonance dips, indicating stronger field localization and higher dielectric sensitivity compared to S21 and S41. Therefore, S31 was selected as the primary sensing parameter for subsequent experiments, in agreement with previous studies on multiport microwave resonators [34,37,45].
As illustrated in Figure 5, the simulated S-parameter spectra show that the fundamental resonance mode (m = 1) occurred at 1.057 GHz, while higher-order modes appeared around 2.110, 3.148, and 4.155 GHz, respectively. These results are in excellent agreement with the theoretical predictions derived in Section 3.1, as summarized in Table 2. The calculated resonance frequencies of bare sensor based on Equation (5) were 1.058, 2.117, 3.174, and 4.232 GHz for modes m = 1, 2, 3, 4, respectively, showing less than 1% deviation from the simulated values. This strong correlation confirms the accuracy of the analytical design model and validates that the CLRR operates within the intended 0.5–5 GHz range with high precision and mode stability. The uniform spacing between modes confirms the proportional relationship between frequency and mode number, as described by the resonance condition [35,36]. The observed resonance notches displayed good symmetry and narrow bandwidth, which are desirable features for high-Q and high-sensitivity sensors.
Figure 5.
Simulated and measured S-parameter responses of the proposed four-port CLRR sensor across 0.5–5 GHz: (a) S21; (b) S31; (c) S41.
Table 2.
Comparison of calculated, simulated and measured resonance frequencies of the proposed microwave ring resonator sensor (bare sensor).
Following fabrication, the measured S-parameter responses exhibited excellent agreement with the simulated results, with a frequency deviation of less than 2% across all modes. Minor discrepancies in resonance depth and bandwidth were attributed to fabrication tolerances, copper surface roughness, and imperfect SMA connector alignment—factors commonly observed in planar microwave resonators [45,46,47]. The strong correlation between simulation and experiment verifies both the design accuracy and the validity of the theoretical model presented in Section 3.
Overall, the simulation results confirm that the proposed four-port CLRR sensor exhibits stable multi-mode resonance characteristics, a high-quality factor, and strong coupling efficiency. These features collectively ensure enhanced detection performance when exposed to dielectric perturbations caused by carbamate pesticide residues in vegetable extracts.
4.2. Experimental Dielectric Characterization
The dielectric properties of the prepared vegetable extracts were experimentally measured to establish the relationship between carbamate concentration and the corresponding dielectric response. Measurements were carried out using a Vector Network Analyzer (E5071C, Keysight Technologies Inc., USA) equipped with a slim-form dielectric probe (N1501A, Keysight Technologies Inc., USA) covering the frequency range of 0.5–5.0 GHz, as described in Section 2.2. Prior to measurement, the probe was calibrated using open, short, and deionized water standards according to the manufacturer’s procedure to ensure measurement accuracy.
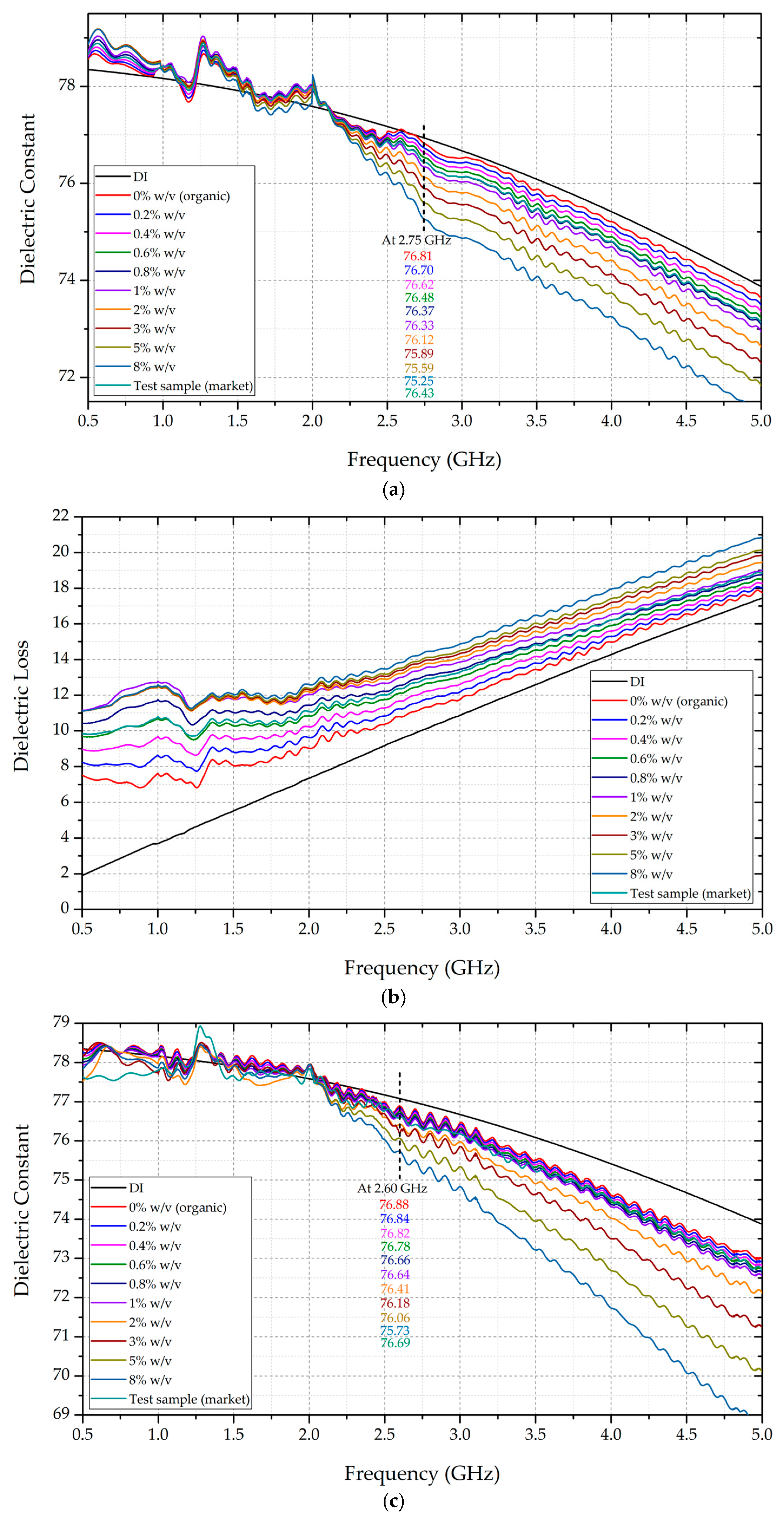
Figure 6 illustrates the measured dielectric constant () and dielectric loss () of the vegetable extracts—Chinese kale and Choy sum—at various carbamate concentrations (0%, 0.2%, 0.4%, 0.6%, 0.8%, 1%, 2%, 3%, 5%, 8% w/v, and test samples). The dielectric constant of both vegetables decreased gradually with increasing frequency and pesticide concentration, while the dielectric loss increased at higher frequencies and concentrations. This behavior reflects the reduced orientation polarization and enhanced ionic conduction caused by the replacement of polar water molecules with non-polar pesticide molecules within the extract. All dielectric measurements were performed at room temperature (25 ± 1 °C) with three repeated readings per concentration to ensure measurement repeatability and enable statistical analysis of frequency shift and sensitivity (reported with standard deviations in Table 3).

Figure 6.
Frequency-dependent dielectric properties of vegetable extracts under varying carbamate pesticide concentrations: (a) Dielectric constant of Chinese kale; (b) Dielectric loss of Chinese kale; (c) Dielectric constant of Choy sum; (d) Dielectric loss of Choy sum.
Table 3.
Measured resonance frequency shifts (m = 3) and dielectric properties of vegetable extract samples at different carbamate pesticide concentrations.
The frequency-dependent characteristics of and are well described by the Debye relaxation model in Equation (2), confirming that carbamate contamination significantly influences the dielectric relaxation dynamics of aqueous biological matrices. For instance, at 3 GHz, the dielectric constant of Chinese kale decreased from 76.5 (0% w/v) to 75.5 (8% w/v), whereas Choy sum exhibited a more pronounced reduction from 76.5 to 75.0, indicating stronger dielectric sensitivity. Correspondingly, the dielectric loss increased from 11.8 to 15.0 for Chinese kale and from 11.7 to 14.4 for Choy sum as the pesticide concentration rose.
When compared with deionized (DI) water, the dielectric constant () of both vegetable extracts exhibits a nearly linear decrease with frequency above approximately 2.7 GHz for Chinese kale and approximately 2.5 GHz for Choy sum. This trend indicates that, in the upper part of the measured band, orientation polarization contributes less while dispersion is weakly varying, yielding a quasi-linear relationship. Because the third and fourth resonance modes of the proposed ring resonator occur at 3.148 GHz and 4.155 GHz (Section 4.1), they lie squarely within this linear-response region. Consequently, small concentration-induced changes in translate into predictable and enhanced resonance frequency shifts () at these modes, improving the slope linearity and sensitivity of versus concentration for m = 3, 4 relative to lower modes.
Additional simulations and references from previous work [27] further support the selection of the third resonance mode (m = 3) as the primary sensing mode. We demonstrated that among the available transmission coefficients, S31 exhibited the highest sensitivity and the most distinct resonance notches compared with S41. The corresponding high-field region for this mode is located on the left side of the ring resonator, where the electric-field intensity reaches its maximum. Therefore, the droplet of vegetable extract was positioned at this left-side region to maximize field interaction and ensure reproducible dielectric perturbation. Under this configuration, small variations in permittivity near the S31 coupling path induce stronger and more predictable resonance frequency shifts, confirming that m = 3 in the S31 response provides the optimal balance between signal contrast, linearity, and sensitivity for quantitative pesticide detection. Overall, the experimental results validate the theoretical framework established in Section 2.2 and provide quantitative evidence that changes in dielectric properties ( and ) serve as effective indicators for estimating pesticide contamination levels. The measured dielectric data were subsequently used to interpret the resonance frequency shifts of the microwave ring resonator sensor discussed in Section 4.3.
4.3. Resonance Frequency Shift with Pesticide Concentration
The resonance characteristics of the proposed microwave ring resonator sensor were experimentally examined by measuring its transmission responses when exposed to vegetable extract samples containing varying concentrations of carbamate pesticide. The measurements were performed using the S31 parameter, which represents the drop-port transmission, as this configuration provides the sharpest resonance notches and highest field coupling intensity. The experiment was conducted in the frequency range of 0.5–5 GHz using a calibrated FieldFox vector network analyzer (N9912A, Keysight Technologies Inc., USA), as shown in Figure 7.
Figure 7.
Experimental setup and fabricated of the proposed four-port CLRR sensor: (a) Measurement configuration with droplet placement at the left-side high-field region; (b) Front view of the fabricated sensor; (c) Back view of the fabricated sensor.
A small droplet of vegetable extract was placed on the left-side region of the ring resonator, corresponding to the high-field intensity zone identified in simulation. This placement maximizes field–sample interaction and enhances the dielectric perturbation effect. The sensor was fabricated on a standard FR-4 substrate with copper metallization and four SMA connectors serving as ports 1–ports 4, as shown in Figure 7b,c. Figure 8 presents the measured S31 transmission spectra for the Chinese kale and Choy sum extracts. As the carbamate concentration increased from 0% to 8% (w/v), the resonance frequency of mode 3 exhibited a distinct red-shift (shift toward lower frequency), while the resonance depth and Q-factor remained nearly constant. This confirms that the dominant sensing mechanism is based on frequency displacement rather than amplitude attenuation. According to the LC-resonant principle described in Equation (6), the resonance frequency of a microwave ring resonator is inversely proportional to the square root of its total inductance and capacitance. When a dielectric material with higher permittivity interacts with the resonator, the effective capacitance increases, resulting in a lower resonance frequency. This shift—expressed in differential form by Equation (7), serves as the primary sensing parameter.
Figure 8.
Resonance response of the proposed four-port CLRR sensor with vegetable extracts of varying carbamate pesticide concentrations: (a) Measured S31 for Chinese kale extracts; (b) Measured S31 for Choy sum extracts.
For Chinese kale, as shown in Figure 8a, the resonance frequency decreased from 2.75 GHz at 0% to 2.46 GHz at 8%, corresponding to a total frequency shift of 290 MHz. Similarly, for Choy sum (Figure 8b), the resonance frequency shifted from 2.60 GHz at 0% to 2.40 GHz at 8%, resulting in a = 200 MHz. These downward shifts confirm the strong dielectric perturbation induced by increasing pesticide concentration. The detailed values of resonance frequency shifts () and dielectric constant variations () are summarized in Table 4, where each value represents the mean ± standard deviation (SD) from three independent measurements.
In this experiment, the reference frequency () was defined as the resonance frequency of the vegetable extract at 0% pesticide concentration, which serves as the baseline for evaluating relative frequency shifts. For Chinese kale, = 2.75 GHz, and for Choy sum, = 2.60 GHz. The sample-loaded frequencies () for each concentration level were extracted from the resonance dips in Figure 8, and the corresponding frequency shifts were calculated as according to Equation (7). The uncertainty of was evaluated according to the statistical theory of the standard deviation of the sum (or difference) of two independent random variables [48], which accounts for the combined measurement variability of and . This ensures that each SD value reported in Table 3 accurately reflects the overall experimental uncertainty derived from repeated measurements.
The dielectric constants ( and ) were measured using the dielectric probe method described in Section 2.2, allowing the determination of . To maintain consistency with the frequency data, the uncertainty of each measurement was obtained from three repeated readings, and the corresponding standard deviations are included. The final column of Table 3 lists the sensitivity (S), representing the resonance frequency shift per unit variation in dielectric constant. These paired datasets form the basis for the linear regression and sensitivity analysis presented in Section 4.4, following the relationships defined in Equations (8)–(11).
The results confirm that both vegetable extracts exhibit a progressive red-shift in resonance frequency () and a corresponding decrease in dielectric constant () with increasing carbamate concentration. The nearly constant ratio of —averaging 179.71 MHz/ (6.54% Normalized Sensitivity) for Chinese kale and 166.21 MHz/ (6.39% Normalized Sensitivity) for Choy sum (excluding test samples)—demonstrates a consistent and linear dielectric–frequency coupling mechanism within the quasi-linear dispersion region above 2.7 GHz and 2.5 GHz, respectively. The test samples exhibited intermediate values of and , aligning with the overall trend observed in controlled concentrations, thereby confirming the sensor’s capability for real-sample applicability. Moreover, the field localization on the left-side coupling region enhances sensitivity by maximizing the overlap between the sample and the high-intensity electric field. This is consistent with previous microwave sensing works [13], which confirmed that localized electric fields amplify dielectric loading effects and yield higher for a given .
4.4. Quantitative Regression and Sensitivity Analysis
To establish an accurate quantitative relationship between the resonance frequency shift () and the carbamate pesticide concentration (C), the experimental data summarized in Table 3 were analyzed using a second-degree polynomial regression model, as defined in Equation (9) of Section 3.3.2. This nonlinear approach was selected to account for the slight curvature observed in the sensor’s response—particularly at higher concentration levels—where dielectric relaxation and fringing-field effects become more pronounced. The regression was performed separately for Chinese kale and Choy sum using controlled concentrations ranging from 0 to 8% (w/v), while DI and market test samples were excluded from curve fitting and reserved for independent validation.
The regression results are illustrated in Figure 9a,b, where the measured pesticide concentration (% w/v) is plotted as a function of (MHz). The fitted second-order polynomial models are given as Equation (12) for Chinese kale and (13) for Choy sum:
where X denotes the measured frequency shift (MHz) and Y(%) is the predicted pesticide concentration (% w/v). Both regression models achieved excellent fitting accuracy, with coefficients of determination R2 = 0.99885 (Chinese kale) and R2 = 0.99547 (Choy sum), and corresponding correlation coefficients r = 0.99914 and r = 0.9966, respectively. These results indicate a strong and statistically consistent nonlinear correlation between and C across the tested range. The small positive quadratic coefficients () suggest a gradual increase in sensitivity at higher concentrations, which reflects the nonlinear coupling between the sample’s dielectric constant and the sensor’s effective capacitance, as discussed in Section 3.3.2. Each data point in Figure 9 represents the mean ± SD derived from three repeated measurements, with uncertainties in propagated according to the statistical theory of the standard deviation. The small error bars and low residual sums of squares confirm the reliability and repeatability of the experimental dataset.
Figure 9.
Polynomial regression analysis of the relationship between resonance frequency shift and carbamate pesticide concentration for vegetable extract samples: (a) Chinese kale; (b) Choy sum.
The polynomial regression therefore provides a refined quantitative calibration framework, extending the accuracy of the linear model while maintaining computational simplicity. Compared with previous planar and metamaterial-based microwave sensors—which typically report R2 values of 0.90–0.95 for liquid analytes [13,17]—the proposed four-port CLRR achieves superior fitting precision (R2 > 0.98) with a simpler single-layer PCB configuration. This confirms the sensor’s strong potential for precise, real-time quantification of pesticide residues in agricultural applications.
The strong linearity (R2 > 0.99547) observed in both datasets validates that frequency displacement can serve as a reliable indicator for quantifying chemical contamination in dielectric-based sensing. Compared with previous microwave and metamaterial resonator sensors—which typically report R2 values between 0.90 and 0.94 for liquid analytes [13,40]—the present design demonstrates improved predictive reliability with simpler geometry and single-layer PCB fabrication.
The sensitivity coefficient (S) derived from the regression slope represents the rate of frequency change per concentration unit, as defined in Equation (8). The measured sensitivities of 28.37 MHz/% w/v (Chinese kale) and 40.53 MHz/% w/v (Choy sum) correspond to 179.71 MHz/ (6.54% Normalized Sensitivity) and 166.21 MHz/ (6.39% Normalized Sensitivity), respectively, as determined from dielectric data in Table 3. These values align well with the results of prior studies such as Alahnomi et al. [13] and Wang et al. [16], confirming that the present sensor achieves comparable or higher responsiveness despite its simpler four-port ring configuration.
4.5. Discussion
To contextualize the sensing performance of the proposed four-port CLRR, Table 4 presents a comparison with recently reported microwave and metamaterial-based resonator sensors. The comparison includes parameters such as operating frequency, target analyte, normalized sensitivity, and structural characteristics, which together determine the practical efficiency of resonant dielectric sensors.
Among prior works, Vélez et al. [17] introduced a differential OCSRR sensor achieving precise NaCl detection with a normalized sensitivity of 1.86%, while Mohammadi et al. [18] developed a dual-band SIW resonator with negative-order resonance exhibiting sensitivities of 3.4% and 3.1% across two bands. The flexible CSR sensor by Su et al. [19] demonstrated higher normalized sensitivity (≈5%) on a PET substrate, and Wang et al. [21] reported a planar IDC resonator capable of high measurement accuracy with 3.98% normalized response. More complex metamaterial-based configurations, such as the triple CSRR sensor by Buragohain et al. [22] and the microfluidic-integrated CSRR by Han et al. [23], provided multi-sample detection capability but involved intricate fabrication or fluidic alignment.
In contrast, the proposed four-port CLRR (S31) provides the highest average normalized sensitivity (6.39–6.54%) within a simple, single-layer FR-4 implementation. Its multi-mode resonance behavior (at 1.05, 2.10, 3.12, and 4.11 GHz) enables versatile dielectric characterization, with the third mode (3.12 GHz) offering optimal field confinement and linear frequency–permittivity response. Unlike most previous works that relied on synthetic dielectric solutions, this design has been validated using real vegetable extracts, highlighting its suitability for practical agrochemical contamination monitoring.
Table 4.
Comparative Analysis of Microwave Resonator Sensors for Dielectric and Chemical Sensing Applications.
Table 4.
Comparative Analysis of Microwave Resonator Sensors for Dielectric and Chemical Sensing Applications.
| Reference | Sensor Type/ Structure | Operating Frequency (GHz) | Analyte/ Application | Normalized Sensitivity, S (%) | Key Features/ Remarks |
|---|---|---|---|---|---|
| [17] | OCSRR differential sensor | 0.9 | NaCl solution (liquid) | 1.86 | Differential mode, cross-coupled response, high accuracy |
| [18] | SIW dual-band negative-order resonator | 1.6 (1.405–1.795)/ 2.417 (2.095–2.470) | Dielectric permittivity (solid/liquid) | 3.4/3.1 | Dual transmission zeros, compact size |
| [19] | Flexible complementary spiral resonator (CSR) | 1.85 | PET flexible substrate | 5.03 | Bendable, exponential fit (R2 = 0.99976) |
| [21] | Parallel interdigital capacitor resonator | 2.45 | Solid permittivity (dielectric slabs) | 3.98 | Dual-gap IDC, high accuracy (>99%) |
| [22] | Triple CSRR | 1.2/2.335 | Liquid permittivity | 0.879/0.623 | Polynomial fitting, low fabrication cost |
| [23] | CSRR metamaterial sensor | 2.45 | Solids and liquids | Solid/liquid 4.12/0.78 | Microfluidic channel, multi-sample detection |
| This work | Four-port CLRR sensor | 1.05 (m = 1)/ 2.10 (m = 2)/ 3.12 (m = 3)/ 4.11 (m = 4)/ | Leafy vegetables (Chinese kale, Choy sum) | 6.39–6.54 at m = 3 | High sensitivity, High linearity, simple PCB design, FR-4 substrate |
From a “Green Chemistry” perspective, the proposed sensing method offers several sustainability advantages. It enables direct, reagent-free, and non-destructive measurement of aqueous vegetable extracts, reducing chemical waste, analysis time, and environmental impact compared with conventional chromatographic or chemical assays. Moreover, its reusability and low-power operation align with green analytical principles, supporting eco-friendly and energy-efficient pesticide monitoring.
The comparative data in Table 4 show that the proposed ring resonator achieves a higher normalized sensitivity than any of the reviewed designs while maintaining structural simplicity and repeatability. Its operation across multiple resonant modes allows for broadband analysis without the need for complex metamaterial inclusions or coupling networks.
Compared to OCSRR and CSRR-based sensors, which depend on strong subwavelength confinement for enhanced field interaction, the ring resonator exploits the distributed electric field of the S31 port configuration to achieve equivalent or greater sensitivity with lower insertion loss. This not only simplifies fabrication but also improves long-term stability, as verified through repeated droplet measurements of vegetable extracts.
Furthermore, the observed normalized sensitivity range (6.39–6.54%) is consistent with or superior to that of advanced designs such as Mohammadi et al. [18] and Su et al. [19], confirming that mode 3 (3.12 GHz) operates within a quasi-linear dielectric dispersion region that enhances coupling efficiency. The strong linear correlation (R2 > 0.92) obtained in Section 4.4 reinforces the quantitative reliability of this response.
To further verify the practical applicability of the proposed sensor, the measured resonance frequency shifts of the market vegetable samples were substituted into the linear regression equations derived in Section 4.4 to estimate their carbamate contamination levels. Each regression model relates the measured frequency shift (MHz) to pesticide concentration (% w/v) through a linear calibration function, in which the slope represents the sensitivity coefficient and the intercept corresponds to the baseline offset. The resonance frequencies obtained from the S31 spectra were expressed in GHz and subsequently converted to MHz before calculation.
It is noted that both the size and placement of the droplet can influence the magnitude of the observed frequency shift, as they determine the extent of dielectric coupling with the resonator’s high-field region. In this study, these parameters were carefully controlled by using a 3 mL calibrated dropper. Preliminary tests were conducted to verify droplet uniformity, and the results showed that the dropper could consistently dispense 20 uniform droplets per full volume (3 mL). For each measurement reported in this work, three droplets were placed at the designated high-field region (Point A) identified in the simulation as shown in Figure 4, corresponding to a total applied volume of approximately 0.45 mL per test. This procedure ensured consistent droplet geometry, placement, and electromagnetic coupling between the resonator and each test sample. From a practical application perspective, using a sample holder or confinement well could further minimize positional and geometrical variations of the liquid sample, as reported in several recent microwave sensing studies [13,19,22]. Such a holder would allow more reproducible droplet placement and facilitate automated or field-deployable measurements in future implementations of the proposed sensor.
Overall, the proposed sensor delivers a high performance-to-complexity ratio, combining elevated sensitivity, strong regression linearity, and simple fabrication on a low-cost FR-4 substrate. These characteristics make it highly suitable for non-destructive, on-site detection of pesticide residues and integration with AIoT-based smart agriculture systems. In future work, the sensor will be implemented as a compact hardware module by interfacing it with a nanoVNA to perform real-time S-parameter acquisition. The measured frequency responses will be transmitted via a NodeMCU microcontroller to the Home Assistant platform, allowing continuous monitoring through a local or cloud-based dashboard [49,50]. This setup will enable AI-driven analysis of the acquired frequency and dielectric data to estimate the percentage of pesticide contamination in vegetables and visualize the results dynamically. The integration of the microwave sensor with low-cost IoT hardware and open-source software will transform it into a portable, autonomous, and intelligent system suitable for practical deployment in smart farms, local markets, and food-safety inspection stations.
5. Conclusions
This study presented the design, simulation, and experimental validation of the proposed four-port CLRR sensor for quantitative detection of carbamate pesticide residues in leafy vegetables. The sensor exploits multi-mode microwave resonance, in which variations in the dielectric permittivity of the test material induce measurable frequency shifts in the S31 response. The proposed single-layer FR-4 design achieved a normalized sensitivity of 6.39–6.54% and a correlation coefficient exceeding 0.995, demonstrating high accuracy and repeatability for quantitative pesticide detection. The third resonance mode (3.12 GHz) provided optimal field confinement and linear frequency–permittivity coupling, enabling reliable quantification within the 0–8% (w/v) concentration range. In addition, the polynomial regression analysis yielded empirical calibration equations that relate the measured resonance frequency shift to the predicted pesticide concentration Y(%) with high determination coefficients (R2 = 0.9855–0.9988). These regression models enable direct prediction of carbamate concentration from measured S-parameter responses, confirming the sensor’s capability for quantitative estimation in real applications. Compared with previously reported microwave and metamaterial-based sensors, the proposed CLRR exhibits a simpler structure, multi-mode operation, and superior sensitivity, while maintaining low fabrication cost and high measurement stability. The quantitative regression analysis confirmed that frequency displacement can serve as a reliable dielectric indicator for carbamate contamination, supporting the sensor’s potential use in rapid, non-destructive agricultural monitoring.
Despite these promising results, several limitations should be acknowledged. First, the present measurements were performed using controlled droplet placement on a planar resonator surface, which may introduce minor variability due to droplet geometry and positioning. Second, the current study focused exclusively on two leafy vegetable types, suggesting the need for broader validation across diverse agricultural matrices. Finally, as the sensing mechanism fundamentally relies on detecting changes in dielectric permittivity, analytes that exhibit concentration variations without a corresponding dielectric contrast may yield negligible or indistinguishable resonance shifts. This condition defines the intrinsic detection boundary of permittivity-based microwave sensors. Future research will therefore focus on integrating a sample holder or confinement well to minimize geometric variation and enhance measurement reproducibility. The sensor will also be implemented as a compact hardware module interfaced with a nanoVNA and NodeMCU microcontroller, enabling real-time S-parameter acquisition and wireless transmission to a Home Assistant-based monitoring dashboard. The integration of AI-assisted frequency analysis and cloud-based data visualization is expected to transform the CLRR sensor into an autonomous, field-deployable system for continuous monitoring of pesticide residues in smart agriculture and food-safety applications.
Author Contributions
Conceptualization, F.W., S.P. and P.K.; methodology, F.W., S.P. and P.K.; software, F.W., S.P., A.Y. and P.K.; validation, F.W., S.P., S.N. and P.K.; formal analysis, F.W., S.P., N.S., S.S., S.N. and P.K.; investigation, F.W., S.P. and P.K.; resources, F.W., S.P., A.Y. and P.K.; data curation, F.W., S.P., A.Y. and P.K.; writing—original draft preparation, F.W., S.P. and A.Y.; writing—review and editing, S.K., N.S., S.S. and P.K.; visualization, F.W., S.P., A.Y. and P.M.; supervision, S.K., N.S., S.S. and P.K.; project administration, S.P. and P.K.; funding acquisition, F.W., S.P. and P.K. All authors have read and agreed to the published version of the manuscript.
Funding
This research was funded by Suranaree University of Technology (SUT), Thailand Science Research and Innovation (TSRI), and National Science Research and Innovation Fund (NSRF) (NRIIS no. 204225).
Institutional Review Board Statement
Not applicable.
Informed Consent Statement
Not applicable.
Data Availability Statement
The raw data supporting the conclusions of this article will be made available by the authors on request.
Acknowledgments
The authors express their sincere gratitude to the School of Telecommunication Engineering and the School of Electronic Engineering, Suranaree University of Technology (SUT), for providing facilities, fabrication support, and measurement instruments. Appreciation is extended to the Faculty of Engineering and Technology, Rajamangala University of Technology Isan (RMUTI), for dielectric measurement support, to the Department of Applied Chemistry, Lampang Rajabhat University (LPRU), for sample preparation, and to the Center for Educational Innovation and Technology, SUT, for assistance with data visualization and figure preparation.
Conflicts of Interest
The authors declare no conflicts of interest.
Abbreviations
The following abbreviations are used in this manuscript:
| CLRR | Closed-loop ring resonator |
| OCSRR | Open complementary split ring resonator |
| SIW | Substrate integrated waveguide |
| CSRs | Complementary spiral resonator |
| IDC | Inter-digital capacitor |
| CSRR | Complementary split-ring resonator |
| GC | Gas chromatography |
| LC-MS | Liquid chromatography–tandem mass spectrometry |
| VNA | Vector Network Analyzer |
| SUT | Sample under test |
| MUT | Material under test |
Appendix A
The theoretical derivation of the S-parameters presented in Section 3.2 is summarized here for completeness. The electromagnetic response of the four-port CLRR the coupled-mode theory originally formulated for optical microring resonators. Under the assumption of linear response, weak loss, and symmetric coupling, the electric field amplitudes at each port can be described by Equations (A1)–(A4):
- Input Port (Port 1):
It is important to note that the parameter used in this model accounts for both propagation losses within the ring and coupling-related losses at the junctions. Unlike more detailed optical models that distinguish between propagation loss and coupler loss, the current formulation assumes a single effective loss term for simplicity. This assumption is common in microwave ring resonator analysis, where loss mechanisms are typically lumped into one round-trip attenuation coefficient for ease of modeling and parameter extraction from experimental data [34,45,46,47,51].
The corresponding S-parameters (S21, S31, S41) are obtained by substituting these field expressions into the scattering relation:
These formulations provide a closed-form analytical basis for interpreting the frequency-dependent coupling and resonance behavior observed in the proposed sensor.
References
- Gama, J.; Neves, B.C.; Pereira, A. Developmental inequity and the impact of pesticide exposure on gut and brain health in developing nations—A Brazilian perspective. Humanit. Soc. Sci. Commun. 2025, 12, 122. [Google Scholar] [CrossRef]
- Tesi, G.O.; Okpara, K.E.; Tesi, J.N.; Agbozu, I.E.; Techato, K. Assessment of organophosphate pesticides in soils and vegetables from agricultural areas of Delta Central District, Nigeria. Sci. Rep. 2025, 15, 8267. [Google Scholar] [CrossRef] [PubMed]
- Mdeni, N.L.; Adeniji, A.O.; Okoh, A.I.; Okoh, O.O. Analytical Evaluation of Carbamate and Organophosphate Pesticides in Human and Environmental Matrices: A Review. Molecules 2022, 27, 618. [Google Scholar] [CrossRef] [PubMed]
- Ogwu, M.C.; Izah, S.C.; Aigberua, A.O.; Ngun, C.T. Editorial: Detection, risk analysis and monitoring of chemical contaminants from agro-aqua food production and processing: Implications on the One Health triad. Front. Sustain. Food Syst. 2024, 8, 1501930. [Google Scholar] [CrossRef]
- Jones, A.; Ali, M.U.; Mayhew, A.; Aryal, K.; Correia, R.H.; Dash, D.; Manis, D.R.; Rehman, A.; O’COnnell, M.E.; Taler, V.; et al. Environmental risk factors for all-cause dementia, Alzheimer’s disease dementia, vascular dementia, and mild cognitive impairment: An umbrella review and meta-analysis. Environ. Res. 2025, 270, 121007. [Google Scholar] [CrossRef]
- Derewiaka, D.; Pydyn, M. Quantitative Analysis of Sterols and Oxysterols in Foods by Gas Chromatography Coupled with Mass Spectrometry. Appl. Sci. 2024, 14, 7934. [Google Scholar] [CrossRef]
- Wang, S.; Chen, H.; Sun, B. Recent progress in food flavor analysis using gas chromatography–ion mobility spectrometry (GC–IMS). Food Chem. 2020, 315, 126158. [Google Scholar] [CrossRef]
- Pang, M.; Lee, J.; Choi, M.K.; Song, I.S. Pharmacokinetics and Tissue Distribution of Enavogliflozin in Mice Using a Validated Liquid Chromatography–Tandem Mass Spectrometry Method. Appl. Sci. 2025, 15, 1445. [Google Scholar] [CrossRef]
- Fan, Z.; Li, Y.; Fan, X.; Wang, P.; Yang, R.; Xie, C. Simultaneous Determination of Three Active Forms of Vitamin B12 In Situ Produced During Fermentation by LC-MS/MS. Foods 2025, 14, 309. [Google Scholar] [CrossRef]
- Albu, C.; Chira, A.; Radu, G.L.; Eremia, S.A.V. Advances in Cost-Effective Chemosensors for Sustainable Monitoring in Food Safety and Processing. Chemosensors 2025, 13, 113. [Google Scholar] [CrossRef]
- Rivera-Rivera, D.M.; Quintanilla-Villanueva, G.E.; Luna-Moreno, D.; Sánchez-Álvarez, A.; Rodríguez-Delgado, J.M.; Cedillo-González, E.I.; Kaushik, G.; Villarreal-Chiu, J.F.; Rodríguez-Delgado, M.M. Exploring Innovative Approaches for the Analysis of Micro- and Nanoplastics: Breakthroughs in (Bio)Sensing Techniques. Biosensors 2025, 15, 44. [Google Scholar] [CrossRef]
- Zhu, X.; Zhao, Y.; Wu, L.; Gao, X.; Huang, H.; Han, Y.; Zhu, T. Advances in Biosensors for the Rapid Detection of Marine Biotoxins: Current Status and Future Perspectives. Biosensors 2024, 14, 203. [Google Scholar] [CrossRef]
- Alahnomi, R.A.; Zakaria, Z.; Yussof, Z.M.; Althuwayb, A.A.; Alhegazi, A.; Alsariera, H.; Rahman, N.A. Review of Recent Microwave Planar Resonator-Based Sensors: Techniques of Complex Permittivity Extraction, Applications, Open Challenges and Future Research Directions. Sensors 2021, 21, 2267. [Google Scholar] [CrossRef]
- Omer, A.E.; Gigoyan, S.; Shaker, G.; Safavi-Naeini, S. Whispering-Gallery-Mode Microwave Sensing Platform for Oil Quality Control Applications. IEEE Internet Things J. 2022, 9, 4065–4075. [Google Scholar] [CrossRef]
- Raju, R.; Bridges, G.E. A Compact Wireless Passive Harmonic Sensor for Packaged Food Quality Monitoring. IEEE Trans. Microw. Theory Tech. 2022, 70, 2389–2397. [Google Scholar] [CrossRef]
- Wang, J.; Wang, R.; Shen, Z.; Liu, B.; Sun, C.; Xue, Q. Microwave biosensors utilizing metamaterial enhancement: Design and application. Nanotechnol. Precis. Eng. 2025, 8, 015001. [Google Scholar] [CrossRef]
- Velez, P.; Grenier, K.; Mata-Contreras, J.; Dubuc, D.; Martin, F. Highly-sensitive microwave sensors based on Open Complementary Split Ring Resonators (OCSRRs) for dielectric characterization and solute concentration measurement in liquids. IEEE Access 2018, 6, 48324–48338. [Google Scholar] [CrossRef]
- Mohammadi, P.; Teimouri, H.; Mohammadi, A.; Demir, S.; Kara, A. Dual Band, Miniaturized Permittivity Measurement Sensor with Negative-Order SIW Resonator. IEEE Sens. J. 2021, 21, 22695–22702. [Google Scholar] [CrossRef]
- Su, L.; Huang, X.; Guo, W.; Wu, H. A Flexible Microwave Sensor Based on Complementary Spiral Resonator for Material Dielectric Characterization. IEEE Sens. J. 2020, 20, 1893–1903. [Google Scholar] [CrossRef]
- Nikkhah, N.; Keshavarz, R.; Abolhasan, M.; Lipman, J.; Shariati, N. Highly Sensitive Differential Microwave Sensor Using Enhanced Spiral Resonators for Precision Permittivity Measurement. IEEE Sens. J. 2024, 24, 14177–14188. [Google Scholar] [CrossRef]
- Wang, C.; Ali, L.; Meng, F.-Y.; Adhikari, K.K.; Zhou, Z.L.; Wei, Y.C.; Zou, D.Q.; Yu, H. High-Accuracy Complex Permittivity Characterization of Solid Materials Using Parallel Interdigital Capacitor-Based Planar Microwave Sensor. IEEE Sens. J. 2021, 21, 6083–6093. [Google Scholar] [CrossRef]
- Buragohain, A.; Mostako, A.T.T.; Das, G.S. Low-Cost CSRR Based Sensor for Determination of Dielectric Constant of Liquid Samples. IEEE Sens. J. 2021, 21, 27450–27457. [Google Scholar] [CrossRef]
- Han, X.; Liu, K.; Zhang, S.; Peng, P.; Fu, C.; Qiao, L.; Ma, Z. CSRR Metamaterial Microwave Sensor for Measuring Dielectric Constants of Solids and Liquids. IEEE Sens. J. 2024, 24, 14167–14176. [Google Scholar] [CrossRef]
- Kiani, S.; Rezaei, P.; Navaei, M. Dual-sensing and dual-frequency microwave SRR sensor for liquid samples permittivity detection. Measurement 2020, 160, 107805. [Google Scholar] [CrossRef]
- Ali, L.; Mohammed, M.U.; Khan, M.; Yousuf, A.H.B.; Chowdhury, M.H. High-Quality Optical Ring Resonator-Based Biosensor for Cancer Detection. IEEE Sens. J. 2020, 20, 1867–1875. [Google Scholar] [CrossRef]
- Shekhar, A.; Mandal, S. Z-Domain Modeling and Performance Evaluation of Triple Optical Ring Resonator With Embedded Bragg Gratings as Optical Filter and Biosensor. IEEE Sens. J. 2025, 25, 30727–30734. [Google Scholar] [CrossRef]
- Wongsa, F.; Sritan, N.; Phunklang, S.; Krachodnok, P. A Study of the Frequency Response of a Microwave Ring Resonator Circuit for Use as a Sensor. In Proceedings of the ITC-CSCC 2022—37th International Technical Conference on Circuits/Systems, Computers and Communications, Phuket, Thailand, 5–8 July 2022; pp. 926–929. [Google Scholar] [CrossRef]
- Ritthirong, A.; Sinloyma, P. Determination of Organophosphate and Carbamate Pesticide Residues in Vegetables Used in Nutrition Division of Police Cadet Academy. Suan Dusit Grad. Sch. Acad. J. 2022, 18, 87–103. Available online: https://so19.tci-thaijo.org/index.php/SDUGSAJ/article/view/228 (accessed on 1 October 2025).
- Wongta, A.; Hongsibsong, S.; Anand, P.; Jaitum, U.; Sawarng, N.; Wongwilai, W.; Dhumtanom, P. Developing an in-house colorimetric method for detecting organophosphate and carbamate residue using cricket cholinesterase. Chem. Biol. Technol. Agric. 2023, 10, 65. [Google Scholar] [CrossRef]
- Jaitham, U.; Kawichai, S.; Yadoung, S.; Tongchai, P.; Jeeno, P.; Yana, P.; Chuttong, B.; Danmek, K.; Hongsibsong, S. Development of an organophosphate and carbamate pesticide test kit by using a magnetic particle coated with esterase enzyme from honey bee heads. Chem. Biol. Technol. Agric. 2024, 11, 77. [Google Scholar] [CrossRef]
- Kornsing, S.; Phunklang, S.; Thongsopa, C.; Krachodnok, P.; Santalunai, N.; Santalunai, S. Development of a Dielectric Heating System for Selective Thermal Targeting of Liver Fluke Regions in Cirrhinus microlepis. Appl. Sci. 2025, 15, 5466. [Google Scholar] [CrossRef]
- Liu, C.; Liao, C.; Peng, Y.; Zhang, W.; Wu, B.; Yang, P. Microwave Sensors and Their Applications in Permittivity Measurement. Sensors 2024, 24, 7696. [Google Scholar] [CrossRef]
- El Khaled, D.; Novas, N.; Gazquez, J.A.; Garcia, R.M.; Manzano-Agugliaro, F. Fruit and Vegetable Quality Assessment via Dielectric Sensing. Sensors 2015, 15, 15363–15397. [Google Scholar] [CrossRef]
- Bogaerts, W.; De Heyn, P.P.; Van Vaerenbergh, T.T.; De Vos, K.K.; Selvaraja, S.K.; Claes, T.T.; Dumon, P.; Bienstman, P.; Van Thourhout, D.D.; Baets, R.R. Silicon microring resonators. Laser Photon Rev. 2012, 6, 47–73. [Google Scholar] [CrossRef]
- Rashidian, A.; Aligodarz, M.T.; Klymyshyn, D.M. Dielectric characterization of materials using a modified microstrip ring resonator technique. IEEE Trans. Dielectr. Electr. Insul. 2012, 19, 1392–1399. [Google Scholar] [CrossRef]
- Sabory-García, R.; Arteche-Alday, B.; Ortega-Blanco, C.; Gomez-Fuentes, R.; Noriega, J.R.; García-Juárez, A.; Delgado, L.A.G.; Pérez-Alcocer, R.; Acosta-Enríquez, M.C. Relative permittivity estimation of patch antennas on FR4 substrates for S and C frequency bands. Int. J. Model. Simul. 2024, 45, 1573–1583. [Google Scholar] [CrossRef]
- Sritan, N.; Phunklang, S.; Krachodnok, P. The Study of Bandwidth Expansion of Metamaterial Antenna Designed by Using Spiral Resonator. In Proceedings of the 2021 9th International Electrical Engineering Congress, iEECON 2021, Pattaya, Thailand, 10–12 March 2021; pp. 237–240. [Google Scholar] [CrossRef]
- Sonasang, S.; Prabpal, P.; Sirikan, P.; Hakaew, P.; Pham, N.T.; Yupapin, P.; Ray, K.; Boonkirdram, S. Rabi antenna using microstrip add-drop multiplexer for electron warp speed investigation. Chin. Opt. Lett. 2022, 20, 073901. [Google Scholar] [CrossRef]
- Santalunai, N.; Santalunai, S.; Meesawad, P.; Tongsopa, C.; Santalunai, S. Plus-Shape of Mushroom-Like EBG with Square Microstrip Emitter to Expand the Working Space in Dielectric Heating Applications. Int. J. Intell. Eng. Syst. 2021, 14, 189–200. [Google Scholar] [CrossRef]
- Islam, M.R.; Islam, M.T.; M Salaheldeen, M.; Bais, B.; Almalki, S.H.A.; Alsaif, H.; Islam, S. Metamaterial sensor based on rectangular enclosed adjacent triple circle split ring resonator with good quality factor for microwave sensing application. Sci. Rep. 2022, 12, 6792. [Google Scholar] [CrossRef] [PubMed]
- Chuma, E.L.; Rasmussen, T. Metamaterial-Based Sensor Integrating Microwave Dielectric and Near-Infrared Spectroscopy Techniques for Substance Evaluation. IEEE Sens. J. 2022, 22, 19308–19314. [Google Scholar] [CrossRef]
- Anwar, S.; Khan, S.; Ali, G.; Khan, M. Sensing of Microorganisms and Pesticides Based on Metamaterial Refractive Index Sensor. Sens. Imaging 2024, 25, 48. [Google Scholar] [CrossRef]
- Bagci, F.; Alp, K.; Akaoglu, B. Multi-band microwave dielectric sensing using a defected ground structure with dual interdigital capacitor units. Measurement 2026, 257, 118705. [Google Scholar] [CrossRef]
- Phunklang, S.; Mesawad, P.; Krachodnok, P. Utilizing Moisture Sensors for Accurate Measurement of Starch Content in Cassava. In Proceedings of the ICPEI 2024—6th International Conference on Power, Energy and Innovations, Nakhon Ratchasima, Thailand, 16–18 October 2024; pp. 114–117. [Google Scholar] [CrossRef]
- Heebner, J.E.; Wong, V.; Schweinsberg, A.; Boyd, R.W.; Jackson, D.J. Optical transmission characteristics of fiber ring resonators. IEEE J. Quantum Electron. 2004, 40, 726–730. [Google Scholar] [CrossRef]
- Azhigulov, D.; Nakarmi, B.; Ukaegbu, I.A. High-speed thermally tuned electro-optical logic gates based on micro-ring resonators. Opt. Quantum Electron. 2020, 52, 412. [Google Scholar] [CrossRef]
- Kundu, S.; Hossain, M.; Mandal, S. Modeling of silicon microring resonator-based programmable logic device for various arithmetic and logic operation in Z-domain. Opt. Quantum Electron. 2023, 55, 175. [Google Scholar] [CrossRef]
- Hill, T.P.; Miller, J. How to combine independent data sets for the same quantity. Chaos An Interdiscip. J. Nonlinear Sci. 2011, 21, 033102. [Google Scholar] [CrossRef] [PubMed]
- Yueanket, A.; Phunklang, S.; Kornsing, S.; Kupimai, M.; Innok, A.; Pumpoung, T.; Todnatee, S. AIoT-Based Water Management Solutions for Sustainable Sugarcane Farming. In Proceedings of the ICPEI 2024—6th International Conference on Power, Energy and Innovations, Nakhon Ratchasima, Thailand, 16–18 October 2024; pp. 19–23. [Google Scholar] [CrossRef]
- Tran, V.L.; Doan, T.N.C.; Ferrero, F.; Le Huy, T.; Le-Thanh, N. The Novel Combination of Nano Vector Network Analyzer and Machine Learning for Fruit Identification and Ripeness Grading. Sensors 2023, 23, 952. [Google Scholar] [CrossRef]
- Bahadoran, M.; Amiri, I.S. Double critical coupled ring resonator-based add–drop filters. J. Theor. Appl. Phys. 2019, 13, 213–220. [Google Scholar] [CrossRef]
Disclaimer/Publisher’s Note: The statements, opinions and data contained in all publications are solely those of the individual author(s) and contributor(s) and not of MDPI and/or the editor(s). MDPI and/or the editor(s) disclaim responsibility for any injury to people or property resulting from any ideas, methods, instructions or products referred to in the content. |
© 2025 by the authors. Licensee MDPI, Basel, Switzerland. This article is an open access article distributed under the terms and conditions of the Creative Commons Attribution (CC BY) license (https://creativecommons.org/licenses/by/4.0/).