An Integrated Approach to Design Methane Drainage Boreholes in Post-Mining Areas of an Active Coal Mine: A Case Study from the Pniówek Coal Mine
Abstract
1. Introduction
Geological Settings
2. Materials and Methods
2.1. Emission of Methane into Post-Mining Areas
- Curve 1 reflects a scenario where methane from the mined seam itself predominates, with minimal contribution from the surrounding strata. If no gassy seams are present in the destressed zone, inflow can be nearly zero.
- Curves 2 and 3 indicate a significant and sustained methane influx from the destressed undermined and overmined seams, which becomes the primary long-term source. Underground field tests and geological analysis confirm this high variability in emission patterns.
2.2. Three-Dimensional Geological Characterization
2.3. Selection, Design, and Evaluation of the Dam Sealing
2.4. Drainage Borehole Design, Drilling, and Measurement Protocols
3. Results
3.1. Assessment of the Potential for Projected Release of Methane into Goafs in the Analyzed Parts of the Pniówek Coal Seam
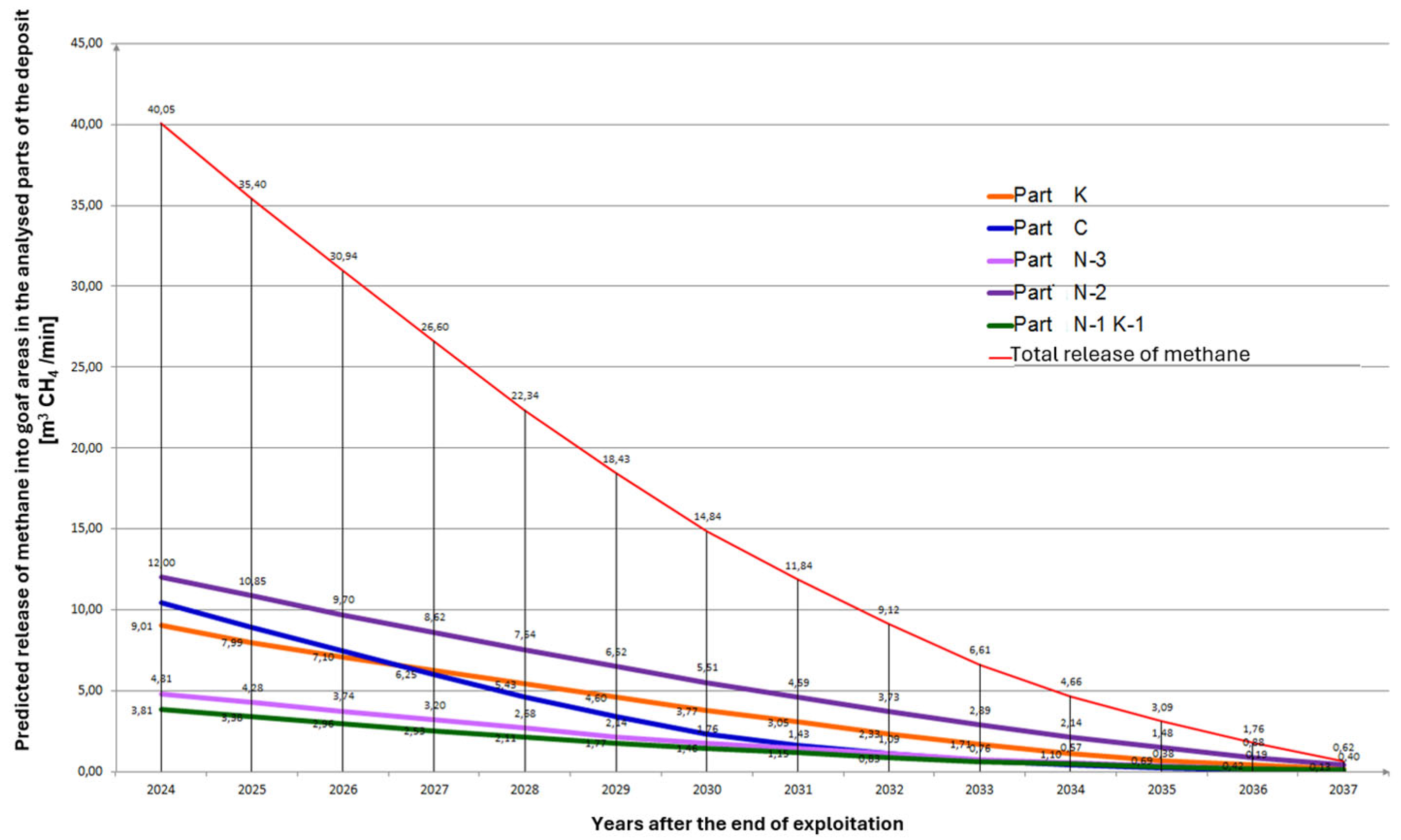
- Stage I: analysis of the predicted release of methane into the goaf areas in parts “K”, “C”, “N-3”, “N-2”, and “N-1 K-1” (locations are shown in Figure 3).
- Stage II: analysis of the predicted release of methane into the goaf areas in parts “W-1”, “W-2”, “P-1”, “P-2”, “PW”, and “PN” (locations are shown in Figure 3).
3.2. Three-Dimensional Geological Model
3.3. Sealing Efficiency
3.4. Borehole Performance
4. Discussion
5. Conclusions
Author Contributions
Funding
Data Availability Statement
Conflicts of Interest
References
- Krause, E. Zagrożenie Metanowe w Kopalniach Węgla Kamiennego; Wydawnictwo GIG: Katowice, Poland, 2019; pp. 162–163. ISBN 978-83-65503-16-9. [Google Scholar]
- Kotas, A. (Ed.) Coal Bed Methane Potential of the Upper Silesian Coal Basin, Poland; Prace PIG, CXLII; Państwowy Instytut Geologiczny: Warszawa, Poland, 1994.
- Karacan, Ç.Ö.; Ruiz, F.A.; Cotè, M.A.; Phipps, S. Coal mine methane: A review of capture and utilisation practices with benefits to mining safety and to greenhouse gas reduction. Int. J. Coal Geol. 2011, 86, 121–156. [Google Scholar] [CrossRef]
- Szlązak, N.; Swolkień, J. Possibilities of Capturing Methane from Hard Coal Deposits Lying at Great Depths. Energies 2021, 14, 3542. [Google Scholar] [CrossRef]
- Swolkień, J.; Szlązak, N. The Impact of the Coexistence of Methane Hazard and Rock-Bursts on the Safety of Works in Underground Hard Coal Mines. Energies 2021, 14, 128. [Google Scholar] [CrossRef]
- Black, D.J.; Aziz, N. Improving UIS Gas Drainage in Underground Coal Mines. In Proceedings of the Coal Operators’ Conference, Wollongong, Australia, 14–15 February 2008; pp. 186–196. [Google Scholar]
- IPCC. Climate Change 2014: Synthesis Report; Contribution of Working Groups I, II and III to the Fifth Assessment Report of the Intergovernmental Panel on Climate Change; IPCC: Geneva, Switzerland, 2014; p. 151. [Google Scholar]
- International Energy Agency (IEA). Global Methane Tracker 2023; IEA: Paris, France, 2023; Available online: https://www.iea.org/reports/global-methane-tracker-2023 (accessed on 30 November 2024).
- UNECE. Best Practice Guidance for Effective Methane Drainage and Use in Coal Mines, 2nd ed.; United Nations Publications, ECE Energy Series No. 47; United Nations Economic Commission for Europe: Geneva, Switzerland, 2016; ISBN 978-92-1-117121-1. [Google Scholar]
- Guo, H.; Todhunter, C.; Qu, Q.; Kerr, H.; Qin, J. An Innovative Drainage System for Coal Mine Methane Capture Optimisation and Abatement Maximisation. In Proceedings of the 2016 Coal Operators’ Conference, Wollongong, Australia, 18–20 February 2016; Aziz, N., Kininmonth, B., Eds.; pp. 380–393. Available online: https://ro.uow.edu.au/coal/624 (accessed on 15 June 2025).
- Bagherzadeh, A.; Najafi, M.; Mohammad, F.; Noroozi, M. A Proper Borehole Pattern Design for Coal Seam Methane Drainage in Tabas Coal Mine Using COMSOL Multiphysics. J. Sustain. Min. 2022, 21, 5. [Google Scholar] [CrossRef]
- Kędzior, S.; Kotarba, M.; Pękała, Z. Geology, spatial distribution of methane content and origin of coalbed gases in Upper Carboniferous (Upper Mississippian and Pennsylvanian) strata in the south-eastern part of the Upper Silesian Coal Basin, Poland. Int. J. Coal Geol. 2013, 105, 24–35. [Google Scholar] [CrossRef]
- Urych, T.; Chećko, J.; Rosa, M.; Wątor, A. Evaluation of undeveloped hard coal deposits and estimation of hard coal reserves in the Upper Silesian Coal Basin, Poland. J. Sustain. Min. 2021, 19, 230–242. [Google Scholar] [CrossRef]
- Dreger, M.; Kędzior, S. Methane Emissions Against the Background of Natural and Mining Conditions in the Budryk and Pniówek Mines in the Upper Silesian Coal Basin (Poland). Preprint 2020. [Google Scholar] [CrossRef]
- Weniger, P.; Franců, J.; Hemza, P.; Krooss, B. Investigations on the methane and carbon dioxide sorption capacity of coals from the SW Upper Silesian Coal Basin, Czech Republic. Int. J. Coal Geol. 2012, 93, 23–39. [Google Scholar] [CrossRef]
- Sechman, H.; Kotarba, M.; Kędzior, S.; Kochman, A.; Twaróg, A. Fluctuations in methane and carbon dioxide concentrations in the near-surface zone and their genetic characterization in abandoned and active coal mines in the SW part of the Upper Silesian Coal Basin, Poland. Int. J. Coal Geol. 2020, 227, 103529. [Google Scholar] [CrossRef]
- Kędzior, S.; Teper, L. Coal Properties and Coalbed Methane Potential in the Southern Part of the Upper Silesian Coal Basin, Poland. Energies 2023, 16, 3219. [Google Scholar] [CrossRef]
- Tajduś, K. Określenie Wartości Parametrów Odkształcenia Górotworu Uwarstwionego w Rejonie Wpływów Eksploatacji Górniczej. Ph.D. Thesis, AGH University of Science and Technology, Kraków, Poland, 2008. [Google Scholar]
- Krause, E.; Pokryszka, Z. Investigations on methane emission from flooded workings of closed coal mines. J. Sustain. Min. 2013, 12, 40–45. [Google Scholar] [CrossRef]
- Krause, E. Systematisation of seams designed for extraction in mines from the aspect of the mining-geological and gas recognition level. Arch. Min. Sci. 2009, 54, 203–222. [Google Scholar]
- Teng, T.; Chen, Y.; Wang, Y.; Qiao, X. In situ nuclear magnetic resonance observation of pore fractures and permeability evolution in rock and coal under triaxial compression. J. Energy Eng. 2025, 151, 04025036. [Google Scholar] [CrossRef]
- Li, X.; Ren, Z.; Cao, Z.; Ren, H. Study on coal drawing parameters of deeply buried hard coal seams based on PFC. Sci. Rep. 2025, 15, 21934. [Google Scholar] [CrossRef] [PubMed]

















| No | Coal Seam | Part | Projected Average Release of Methane | End of Exploitation |
|---|---|---|---|---|
| [m3 CH4/min] | ||||
| 1 | 361 | K-4 | 14.9 | 2010 |
| 2 | 361 | K-5 | 11.7 | 2011 |
| 3 | 362/1 | K-1 | 15.2 | 2015 |
| 4 | 362/1 | K-2 | 17.4 | 2017 |
| 5 | 362/3 | K-1 | 30.7 | 2019 |
| 6 | 362/3 | K-2 | 18.4 | 2020 |
| 7 | 362/3 | K-3 | 23.3 | 2022 |
| 8 | 362/3 | K-4 | 19.2 | 2023 |
| 9 | 401/1 | C-2 | 7.8 | 2010 |
| 10 | 401/1 | C-3 | 8.1 | 2012 |
| 11 | 401/1 | C-4 | 14.6 | 2013 |
| 12 | 401/1 | C-5 | 27.4 | 2015 |
| 13 | 404/1 | C-1 | 19.4 | 2013 |
| 14 | 404/1 | C-2 | 21.1 | 2014 |
| 15 | 404/1 | C-3 | 19.8 | 2015 |
| 16 | 404/1 | C-4 | 22.2 | 2016 |
| 17 | 404/1 | C-5 | 21.2 | 2018 |
| 18 | 404/2 | C-1 | 14.4 | 2016 |
| 19 | 404/2 | C-2 | 13.2 | 2018 |
| 20 | 404/2 | C-3 | 14.9 | 2019 |
| 21 | 404/2 | C-4 | 9.6 | 2021 |
| 22 | 404/2 | C-5 | 13.6 | 2022 |
| 23 | 404/1 | N-5 | 7.2 | 2015 |
| 24 | 404/1 | N-6 | 22.8 | 2014 |
| 25 | 404/2 | N-9 | 21.5 | 2018 |
| 26 | 404/4 | N-6 | 28.5 | 2022 |
| No | Coal Seam | Part | Projected Average Release of Methane | End of Exploitation |
|---|---|---|---|---|
| [m3 CH4/min] | ||||
| 1 | 403/1 | N-4 | 10.8 | 2011 |
| 2 | 403/1 | N-5 | 10.6 | 2013 |
| 3 | 403/1 | N-6 | 12.0 | 2016 |
| 4 | 404/1 | N-2 | 11.8 | 2015 |
| 5 | 404/1 | N-3 | 9.3 | 2019 |
| 6 | 404/1 | N-4 | 10.2 | 2020 |
| 7 | 404/1 | N-7 | 12.0 | 2021 |
| 8 | 404/2 | N-4 | 18.2 | 2018 |
| 9 | 404/2 | N-5 | 7.8 | 2021 |
| 10 | 404/2 | N-10 | 10.2 | 2022 |
| 11 | 404/2 | N-8 | 14.9 | 2023 |
| 12 | 404/2 | N-11 | 12.5 | 2023 |
| 13 | 404/4 | N-10 | 32.9 | 2023 |
| 14 | 404/2 | N-1 | 15.5 | 2013 |
| 15 | 404/2 | N-2 | 14.6 | 2017 |
| 16 | 404/2 | N-3 | 11.8 | 2018 |
| 17 | 404/4 | N-1 | 3.8 | 2020 |
| 18 | 404/4 | N-2 | 4.8 | 2021 |
| 19 | 404/4 | N-3 | 13.4 | 2023 |
| No | Coal Seam | Part | Projected Average Release of Methane | End of Exploitation |
|---|---|---|---|---|
| [m3 CH4/min] | ||||
| 1 | 362/1 | W-2 | 22.5 | 2024 |
| 2 | 363 | W-1 | 20.6 | 2024 |
| 3 | 362/1 | W-1 | 22.6 | 2024 |
| 4 | 361 | PW | 28.4 | 2025 |
| 5 | 363 | W-1 | 18.3 | 2026 |
| 6 | 363 | W-2 | 23.0 | 2028 |
| 7 | 362/1 | PW | 19.8 | 2027 |
| 8 | 362/3+363 | W-1 | 16.5 | 2027 |
| 9 | 401/1 | W-2 | 11.5 | 2028 |
| 10 | 362/3+363 | W-1 | 18.4 | 2028 |
| 11 | 401/1 | PW | 34.7 | 2029 |
| 12 | 357/1 | PN | 25.9 | 2029 |
| 13 | 362/3+363 | W-1 | 17.5 | 2029 |
| 14 | 357/1 | PN | 27.8 | 2030 |
| 15 | 401/1 | W-1 | 8.8 | 2031 |
| 16 | 357/1 | PN | 27.7 | 2031 |
| No | Coal Seam | Part | Projected Average Release of Methane [m3 CH4/min] | End of Exploitation |
|---|---|---|---|---|
| 1 | 361 | W-1 | 13.4 | 2012 |
| 2 | 361 | W-1 | 14.5 | 2015 |
| 3 | 361 | W-1 | 15.2 | 2017 |
| 4 | 361 | W-1 | 9.5 | 2018 |
| 5 | 362/1 | W-2 | 7.8 | 2019 |
| Fluid Type | Viscosity (Dynamic) [cP] | Total Injected Volume [m3] | Maximum BHP [kPa] | Grid Cells Penetrated by Injectant |
|---|---|---|---|---|
| VLOWV | 50 | 110 | 7000 (at end of injection) | 3136 |
| LOWV | 100 | 110 | 13,700 (at end of injection) | 3122 |
| HIGHV | 200 | 90 | 14,000 (few minutes after injection start) | 2584 |
| Coal Seam | Vertical Distance [m] |
|---|---|
| 360/1 | 48.0 |
| 361 | 17.5 |
| 362/1 | 0.0 |
| 362/3 and 363 | 27.5 |
| Name | Concentration [%] | Volumetric Flow of Gas Mixture [m3/min] | Volumetric Flow of Methane [m3 CH4/min] |
|---|---|---|---|
| TM 1a | 85 | 11.5 | 9.8 |
| TM 1b | 36 | 1.4 | 0.5 |
| Month | TM 1 Volume [m3 CH4] | TM 2 Volume [m3 CH4] | TM 4 Volume [m3 CH4] | Total Volume [m3 CH4] |
|---|---|---|---|---|
| 1 | 213,984.00 | - | - | 213,984.00 |
| 2 | 98,352.00 | 18,144.00 | - | 116,496.00 |
| 3 | 89,424.00 | 36,864.00 | 22,176.00 | 148,464.00 |
| 4 | 67,392.00 | 16,704.00 | 12,816.00 | 39,312.00 |
| Summary | 469,152.00 | 71,712.00 | 34,992.00 | 575,856.00 |
Disclaimer/Publisher’s Note: The statements, opinions and data contained in all publications are solely those of the individual author(s) and contributor(s) and not of MDPI and/or the editor(s). MDPI and/or the editor(s) disclaim responsibility for any injury to people or property resulting from any ideas, methods, instructions or products referred to in the content. |
© 2025 by the authors. Licensee MDPI, Basel, Switzerland. This article is an open access article distributed under the terms and conditions of the Creative Commons Attribution (CC BY) license (https://creativecommons.org/licenses/by/4.0/).
Share and Cite
Kaczmarczyk-Kuszpit, W.; Słota-Valim, M.; Wrana, A.; Surma, R.; Badylak, A.; Cicha-Szot, R.; Wojnicki, M.; Krzemień, A.; Lubosik, Z.; Leśniak, G. An Integrated Approach to Design Methane Drainage Boreholes in Post-Mining Areas of an Active Coal Mine: A Case Study from the Pniówek Coal Mine. Appl. Sci. 2025, 15, 11548. https://doi.org/10.3390/app152111548
Kaczmarczyk-Kuszpit W, Słota-Valim M, Wrana A, Surma R, Badylak A, Cicha-Szot R, Wojnicki M, Krzemień A, Lubosik Z, Leśniak G. An Integrated Approach to Design Methane Drainage Boreholes in Post-Mining Areas of an Active Coal Mine: A Case Study from the Pniówek Coal Mine. Applied Sciences. 2025; 15(21):11548. https://doi.org/10.3390/app152111548
Chicago/Turabian StyleKaczmarczyk-Kuszpit, Weronika, Małgorzata Słota-Valim, Aleksander Wrana, Radosław Surma, Artur Badylak, Renata Cicha-Szot, Mirosław Wojnicki, Alicja Krzemień, Zbigniew Lubosik, and Grzegorz Leśniak. 2025. "An Integrated Approach to Design Methane Drainage Boreholes in Post-Mining Areas of an Active Coal Mine: A Case Study from the Pniówek Coal Mine" Applied Sciences 15, no. 21: 11548. https://doi.org/10.3390/app152111548
APA StyleKaczmarczyk-Kuszpit, W., Słota-Valim, M., Wrana, A., Surma, R., Badylak, A., Cicha-Szot, R., Wojnicki, M., Krzemień, A., Lubosik, Z., & Leśniak, G. (2025). An Integrated Approach to Design Methane Drainage Boreholes in Post-Mining Areas of an Active Coal Mine: A Case Study from the Pniówek Coal Mine. Applied Sciences, 15(21), 11548. https://doi.org/10.3390/app152111548

