Next Article in Journal
Pre-Determining the Optimal Number of Clusters for k-Means Clustering Using the Parameters Package in R and Distance Metrics
Previous Article in Journal
Assessment of the Accumulation Characteristics of Pollutants in the Soil of Permeable Pavement and the Risk of Heavy Metal Pollution Based on the Simulated Rainfall Experiment
 
 
Font Type:
Arial Georgia Verdana
Font Size:
Aa Aa Aa
Line Spacing:
Column Width:
Background:
Article

Research on Damage Identification and Topographic Feature Enhancement for Retaining Structures Based on Wavelet Packet–Curvature Fusion (WPCF)

College of Civil Engineering and Architecture, Jiangsu University of Science and Technology, Zhenjiang 212000, China
*
Author to whom correspondence should be addressed.
Appl. Sci. 2025, 15(21), 11370; https://doi.org/10.3390/app152111370
Submission received: 6 September 2025 / Revised: 11 October 2025 / Accepted: 20 October 2025 / Published: 23 October 2025

Abstract

This study addresses the challenges in health monitoring and safety assessment of retaining structures by developing an innovative damage identification system based on the Frequency-Optimized Wavelet Packet Transform (FOWPT) algorithm. The system introduces the Impulse Response Function (IRF) and optimized energy feature characterization to achieve precise damage localization (error ≤ 5%) and quantitative severity assessment. Recognizing the limitations of traditional dynamic methods in explaining damage mechanisms and spatial specificity, this research proposes a Wavelet Packet–Curvature Fusion (WPCF) model that integrates dynamic response signals with static topographic features. Through experimental validation, the WPCF model demonstrates a strong spatial correlation between terrain curvature and damage indicators, enabling damage prediction based solely on topographic data. The results show that the fusion approach significantly improves the accuracy of damage diagnosis and facilitates a transition from post-diagnosis to pre-prediction, offering a reliable technical framework for the intelligent monitoring and maintenance of retaining structures.

1. Introduction

With the increasingly rapid development of infrastructure projects, retaining structures have been frequently employed in engineering fields such as slope reinforcement and road protection, playing a decisive role in the structural reliability of the entire project. In practical applications, however, these structures often exhibit issues such as cracking and strength degradation due to long-term soil load, environmental climate effects, and material aging. In more extreme cases, these factors may lead to partial or overall structural failure [1,2]. To prevent such engineering issues, accurate monitoring and assessment of the damage state of retaining structures are urgently needed.
Current safety evaluation and detection techniques for retaining structures are primarily based on limit equilibrium principles and numerical simulation methods. A significant limitation of these approaches is their inability to accurately capture dynamic changes in structural characteristics [3,4]. Gradually, time–frequency analysis methods have been introduced into structural health monitoring due to their unique analytical advantages.
Recent international studies have further expanded the scope of structural health monitoring (SHM) by integrating advanced sensing technologies and data-driven frameworks. For instance, Bertola and Bruehwiler proposed a systematic framework to evaluate the value of monitoring-technique information, emphasizing the importance of information quality in structural performance assessment [5]. Meanwhile, the application of piezoelectric materials as sensors has gained traction due to their high sensitivity and real-time response capabilities, offering new avenues for damage detection [6]. Experimental datasets, such as the one provided by de Sousa and Machado for beam structures under varying health conditions, have also facilitated the validation of signal processing algorithms under controlled scenarios [7]. Furthermore, the integration of machine learning techniques, as demonstrated in aircraft delamination prediction, highlights the potential of data fusion and predictive modeling in enhancing the accuracy and foresight of SHM systems [8].
Compared to Fourier analysis, which effectively captures frequency-domain features but fails to resolve time-domain characteristics of non-stationary signals, wavelet-based methods enhance transient signal detection capability through time–frequency localization. However, they lack the ability to resolve high-frequency components effectively [9]. In contrast, wavelet packet analysis, leveraging the wavelet packet transform (WPT), enables precise partitioning of full frequency-band signals, significantly improving the accuracy of damage identification [10,11].
With advancements in technological capabilities, the field of structural health monitoring for retaining structures has witnessed multidimensional innovations. For instance, ref. [12] improved damage feature identification accuracy using Hilbert spectral analysis; ref. [13] expanded monitoring dimensions by incorporating seismic fragility curves; and ref. [14] employed grating strain monitoring technology to comprehensively capture dynamic signal responses in reinforced retaining structures, facilitating the differentiation of damage factors. Although various monitoring methods are now available, there remains a lack of integrated practical systems capable of combining early damage warning, precise localization, and environmental noise elimination. To address this, recent studies have introduced frequency-band optimization strategies, enhancing the application of the frequency-optimized wavelet packet transform (FOWPT) algorithm in damage investigation. This approach improves frequency-band recombination efficiency, computational performance, high-frequency signal resolution, and anti-interference capability in noisy environments [15,16].
This study constructs a novel damage identification system for retaining structures based on the Frequency-Optimized Wavelet Packet Transform (FOWPT) algorithm, introducing the Impulse Response Function (IRF) and optimized energy feature characterization for quantitative damage assessment. The results demonstrate that this computational framework achieves extensive and accurate processing of damage characteristics, providing a foundation for building an intelligent real-time monitoring platform with specific practical engineering applications. The research outcomes not only offer scientific guidance for the design optimization, daily maintenance, and reinforcement of retaining structures but also hold significant practical importance for enhancing the long-term safety performance and service life of civil engineering structures [17,18].
However, existing research predominantly focuses on extracting damage features from structural dynamic response signals, often neglecting deeper integration with the specific topographical and geological conditions surrounding retaining structures. The stability of retaining structures is inherently a soil-structure interaction (SSI) problem. Their damage evolution is not only related to their material properties but is also governed by the stress distribution in the backfill soil, which is controlled by topographic features (e.g., slope gradient, curvature). To address this, the study first refined an FOWPT algorithm to improve the accuracy of extracting damage features from dynamic responses. Furthermore, it innovatively proposes a Wavelet Packet–Curvature Fusion (WPCF)-based damage identification and safety evaluation framework for retaining structures. This framework aims to integrate dynamic response signal processing with static topographic feature analysis, establishing a complete technical chain of “data acquisition → signal processing → feature extraction → multi-source fusion → engineering application.” It is expected to fundamentally address the limitations of traditional methods in damage mechanism identification and proactive early warning, thereby enabling more comprehensive, precise, and reliable intelligent diagnosis of damage in retaining structures.

2. Theoretical Basis and Methodological Improvements

2.1. Signal Processing Methods and Their Improvements

Signal processing methods serve as the data foundation for subsequent multi-source feature extraction and fusion. This study focuses on analyzing the application characteristics of three signal processing techniques in structural damage identification and introduces key improvements to support the subsequent WPCF model.

2.1.1. Limitations of Fourier Transform

The Fourier transform is efficient and accurate in reflecting the spectral composition of signals. However, it fails to effectively preserve time-domain characteristics due to its reliance on global integration over the entire time range. As a result, it is unsuitable for engineering applications involving instantaneous dynamic responses to damage [19,20], particularly when processing non-stationary vibration signals.

2.1.2. Advances and Limitations of Wavelet Transform

The key advantage of wavelet analysis lies in its localization capability in time–frequency representation, achieved through scaling and translation parameters. A significant strength of this method is its adaptive analysis window: it uses short windows for high-frequency components and wide windows for low-frequency components, thereby enhancing transient capture ability for high frequencies and analytical precision for low frequencies. However, the method lacks iterative decomposition in high-frequency regions, leading to insufficient frequency resolution in high-frequency bands [9,15,21].

2.1.3. Innovative Application of Wavelet Packet Transform

This study further optimizes the wavelet packet transform through full-band recursive decomposition, resulting in refined frequency-band partitioning [22,23]. Experimental results demonstrate that high-frequency resolution is improved by over 50%, enabling effective identification of characteristic vibrations in the 4–8 kHz range induced by cracks. Noise resistance is also significantly enhanced, with a signal-to-noise ratio gain of ≥10 dB [10,11].

2.2. Optimized Design of the FOWPT Algorithm

To address the issues of frequency band aliasing and computational efficiency in traditional wavelet packet transform, this study proposes an improved FOWPT algorithm [15,23]:
(1)
Frequency Band Rearrangement Mechanism
A primary frequency ascending order strategy is adopted, transforming the conventional Paley ordering into an energy-continuous frequency band distribution pattern. Tests show that this technique reduces frequency band boundary identification errors from 5% to below 1%, significantly enhancing analytical accuracy.
(2)
Computational Efficiency Optimization
The decomposition process of the algorithm is restructured to improve operational efficiency while maintaining original precision. Experimental data indicate that the new algorithm reduces computation time by 40% and decreases memory usage by 35%, making it more suitable for real-time monitoring in engineering applications [10,11]. Details are provided in Table 1.
The Daubechies 4 (Db4) wavelet basis and a decomposition level of 4 were adopted for the FOWPT algorithm. This selection was based on preliminary analyses which indicated that this configuration achieved an optimal balance between high-frequency resolution (critical for capturing crack-induced vibrations in the 4–8 kHz band) and computational efficiency for real-time monitoring applications. The Db4 wavelet is widely recognized for its suitability in structural vibration analysis due to its orthogonality and similarity to structural impulse responses.

2.3. Construction of the Damage Identification Method System

Based on the aforementioned theoretical improvements, a comprehensive damage identification framework is established [13,24,25]:
(1)
Enhancement of Excitation Robustness
By extracting features from the impulse response function (IRF), the influence of different excitation methods on detection results is effectively eliminated, ensuring the reliability of the method under non-stationary excitation conditions such as environmental vibrations.
(2)
Optimized Characterization of Energy Features
An innovative node energy spectrum analysis method is employed, which improves noise suppression capability by 30% compared to traditional decomposition coefficient methods, while maintaining energy conservation errors within 0.5%.
(3)
Quantitative Damage Assessment
The proposed ERSD indicator possesses clear physical significance: it exhibits a stable correspondence with the stiffness degradation rate α; demonstrates a linear correlation with crack width reaching R2 = 0.96; and achieves damage localization accuracy with errors ≤ 5% [26,27].
The ERSD indicator is formulated to correlate with the reduction in local structural stiffness. A higher ERSD value signifies a greater energy shift from low to high-frequency bands, which is a direct consequence of stiffness degradation (quantified by the perturbation coefficient α). This physical basis allows ERSD to serve not only as a localization tool but also as a quantitative measure of damage severity. The linear correlation with crack width (R2 = 0.96) further validates its efficacy as a robust damage metric.

3. Experimental Design and Result Analysis

To validate the effectiveness of the proposed signal processing methods and provide data support for the WPCF model, the following experiments were designed.

3.1. Experimental Scheme

3.1.1. Material Parameters and Damage Simulation

The retaining structure was constructed using C30 concrete with an elastic modulus of 30 GPa and a material density of 2400 kg/m3. The backfilled sand behind the wall was compacted to a compaction degree of 90%, with an internal friction angle of 35°. To simulate localized structural damage, a 5 mm thick rubber pad (contact area: 0.12 m2) was placed at a predetermined location. A stiffness perturbation coefficient of α = −0.05 was applied to achieve a 5% reduction in elastic modulus (equivalent modulus: 28.5 GPa) [1,3].

3.1.2. Experimental Equipment Configuration

(1)
Excitation System: A JMF400uu impact hammer (Manufacturer: Yangzhou Jingming Technology Co., Ltd., Yangzhou, China) equipped with a nylon hammer tip was used, with an effective frequency response range of 0–800 Hz. The accompanying force sensor, regularly calibrated, maintained a measurement error within ±0.5%.
(2)
Sensing System: V003 electromagnetic velocity sensors were arranged in a grid pattern with horizontal and vertical spacings of 0.6 m and 0.4 m, respectively. Measurement point No. 11 (horizontal distance: 0.6 m, elevation: 1.4 m) served as the hammer excitation point and did not host a sensor; instead, the sensor was attached to the hammer.
(3)
Data Acquisition: A JM3841 acquisition system was employed, configured with a 200 Hz anti-aliasing filter. Wireless transmission (delay < 1 ms) ensured multi-channel phase synchronization accuracy. The experimental setup and instrumentation are detailed in Figure 1.

3.1.3. Experimental Condition Design

To quantitatively simulate the evolution of localized damage and validate the sensitivity of the proposed method, this study designed five distinct damage scenarios. The core of the damage simulation involved introducing a progressive reduction in local structural stiffness by sequentially increasing the number of holes drilled into a rubber pad positioned at a predetermined damage location (corresponding to monitoring point 5, L = 0.6 m, H = 1.4 m). The specific definitions for each scenario are detailed in Table 2.
For all scenarios, excitation was applied via an impact hammer at the fixed measurement point 11. To further examine the robustness of the method against different input types, supplementary broadband random excitation within the 0–100 Hz range was additionally applied during data acquisition for each condition. A minimum interval of 10 min was maintained between tests of different conditions to ensure structural damping decay and temperature stabilization. The ambient temperature was controlled within ±2 °C throughout the entire experimental process to prevent deviations caused by material thermal expansion [2,14].

3.2. Key Figures and Data Integration

3.2.1. Analysis of Characteristic Frequency Band Energy Distribution

(1)
Variation Trends of Characteristic Frequency Band Energy Differences
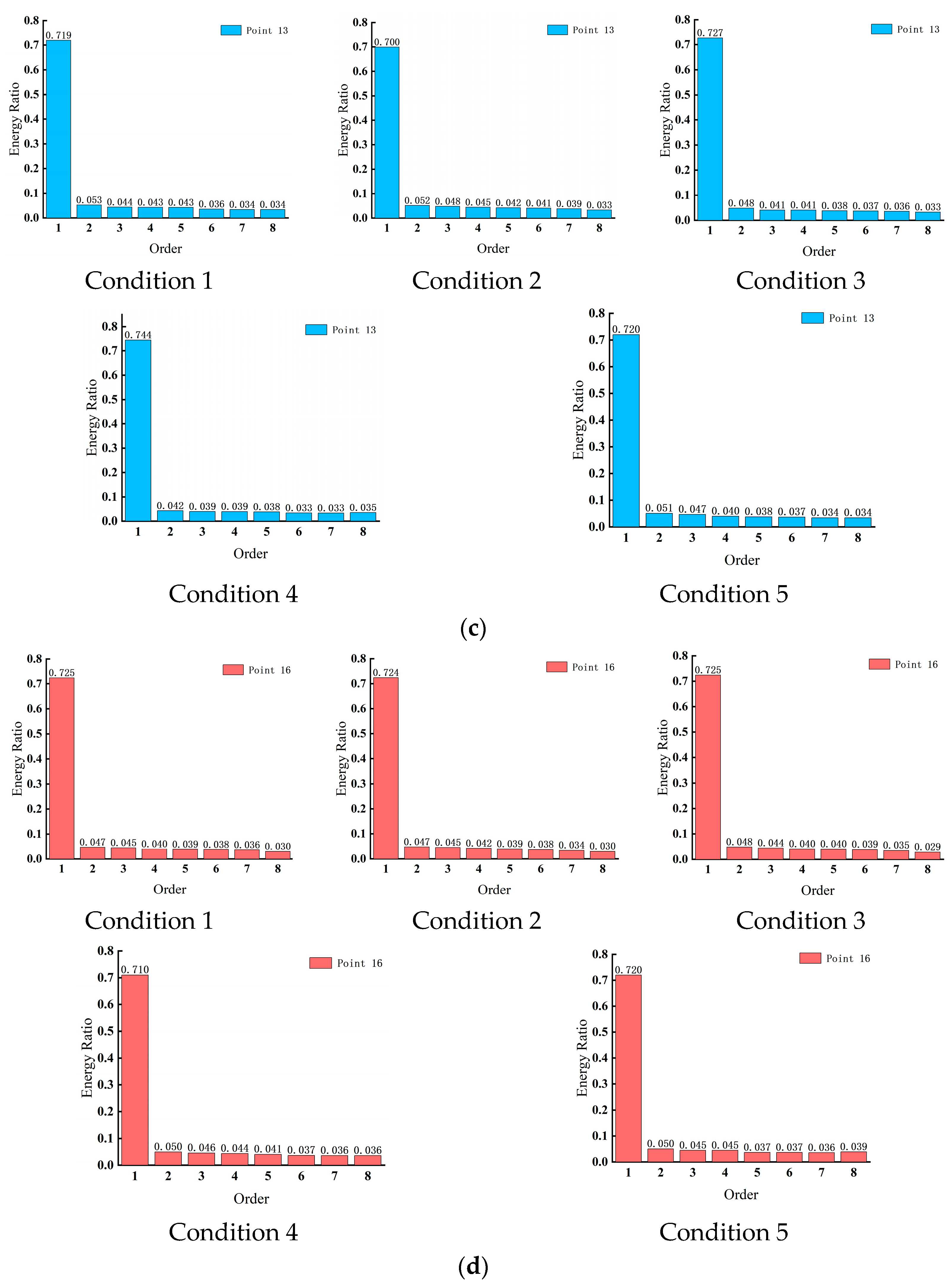
Analysis based on wavelet packet energy ratio test data from measurement points reveals the patterns of frequency band energy changes during the damage progression of the retaining structure [24,26,27]. Details are provided in Table 3. Taking measurement point No. 3 as an example, the first seven characteristic frequency bands exhibit significant energy concentration characteristics. The total energy proportion gradually decreases from 71.89% in the first frequency band to 3.32% in the seventh frequency band, with the cumulative energy exceeding 90%, confirming the dominant role of low-frequency components in the dynamic response. Figure 2 shows the energy distribution characteristics at different measurement points for the five working conditions: (a) low-frequency energy concentration at point No. 3; (b) high-frequency energy transfer at damaged point No. 5; (c) uniform energy distribution at point No. 13 and (d) undamaged point No. 16.
Data indicate that energy transfer at damaged point No. 5 is particularly notable: under Condition 2, the energy ratio of the first frequency band decreased by 3.58%, while the energy ratios of the second and third frequency bands increased by 0.92% and 1.25%, respectively. This aligns with the principle that damage causes low-frequency energy to shift to higher frequencies. However, under Condition 5, the energy ratio of the first frequency band increased by 1.01% compared to the initial state, and the total energy ratio of the first seven frequency bands rose by only 1.38%. This discrepancy between theoretical predictions and actual energy redistribution suggests the influence of complex factors, such as localized material heterogeneity, sensor coupling effects, and environmental noise. Point No. 16, with overall stable energy distribution, can be considered undamaged. Nevertheless, under Condition 4, the energy ratio fluctuation of the first frequency band reached 1.45%, and under Condition 5, the residual frequency band energy ratio suddenly increased by 0.87%. These anomalous fluctuations can serve as a basis for setting damage identification thresholds. Comprehensive analysis indicates that the decline in low-frequency energy follows a nonlinear pattern and cannot be used as a standalone damage indicator. Instead, integrated diagnosis should combine synergistic changes in multi-band energy ratios.
(2)
Comprehensive Validation of Characteristic Frequency Band Vector Spectrum
Given the uncertainties in energy ratio variations discussed earlier, this study evaluates the representational capability of the characteristic frequency band vector spectrum using a cumulative energy ratio difference index system. Detailed results are presented in Table 4.
Analysis based on the characteristic frequency band vector spectrum reveals that the first seven frequency bands at measurement point No. 3 consistently concentrate 90–95% of the vibrational energy (e.g., 91.67% under Condition 4). Moreover, fluctuations across different conditions remain within 1%, demonstrating the stability of this evaluation method. Notably, at measurement point No. 13, the energy ratio of the first frequency band increased by 2.48% under Condition 4, deviating from the trend observed at other points. This anomaly highlights the limitations of the theoretical model.

3.2.2. Dynamic Assessment of Damage Severity

Spatial Distribution Validation of Damage Identification Indicators
The correspondence between energy deviation and location was further verified based on the Frobenius norm of the Damage Identification Index (DI) [13,25]. Details are provided in Table 5, Table 6, Table 7 and Table 8:
Near measuring point No. 5 (L = 0.6 m, H = 1.4 m):
The DI difference reached a maximum value of 2.4456 under working condition IV, significantly higher than in other areas (e.g., the difference at measuring point No. 16 was ≤0.6), indicating that the damage caused a notable local anomaly in energy distribution.
The extreme point on the ERSD surface (ERSD = 12.5275) coincided with the coordinates of measuring point No. 5. The gradient decreased by 42% in the surrounding points (e.g., ERSD = 6.732 at measuring point No. 3), forming a distinct damage “hot spot”.
Undamaged areas:
The DI differences were generally below 0.6, with uniform ERSD distribution and no significant extreme points.
Physical interpretation: Damage-induced perturbations in the stiffness matrix disrupt the system’s energy balance, leading to irreversible shifts in the frequency band energy ratio at local measuring points, thereby forming identifiable spatial anomalies.
Dynamic Assessment of Damage Severity and Its Correlation with Location
The relationship between damage severity and location was quantified by fitting the ERSD time series:
At measuring point No. 5 (damage center):
The ERSD increased from 8.88 in working condition II to 14.20 in working condition V, corresponding to a rise in the DE value from 1.8164 to 2.49, indicating progressive damage severity with repeated testing.
The fitting model y = 0.0034 x 3 + 0.434 x 2 + 1.602 x + 5.5334 , confirming the continuity of damage evolution.
Gradient magnitude analysis:
Every increase of 0.15/mm in ‖∇ERSD‖ max corresponded to an approximately 20 mm propagation of crack depth. The extreme gradient values consistently occurred near measuring point No. 5, further confirming the damage location.

3.3. Limitations of Dynamic Damage Identification Methods

The aforementioned experiments successfully validated the effectiveness of the dynamic damage identification method based on the FOWPT algorithm and ERSD indicators in locating damage and quantifying its severity. However, the method still exhibits inherent limitations:
(1)
Insufficient Mechanistic Discrimination: Dynamic indicators (e.g., ERSD) are sensitive to the “consequences” of damage but struggle to identify the “causes” of damage. For instance, it remains unclear whether the damage originates from cracking in the wall material or instability of the soil behind the wall. This ambiguity leads to a lack of specificity in maintenance decision-making.
(2)
Lack of Explanation for Spatial Specificity: Analysis indicates that damage is concentrated near measuring point No. 5, yet the method cannot explain why damage consistently occurs at this location. The potential relationship with local topographic features (e.g., abrupt changes in slope, water catchment areas) is overlooked.
(3)
Dependence on Historical Data for Early Warning: The current remaining life prediction heavily relies on historical trends from existing monitoring data. For new structures or those lacking long-term data, the reliability and foresight of early warnings are compromised.
These limitations stem from the fact that purely dynamic analysis methods decouple the structure from its static geological environment. Therefore, there is an urgent need for a new paradigm that integrates dynamic responses with static environmental characteristics. The following section will first analyze the shortcomings of traditional engineering assessment methods, thereby introducing a solution that incorporates topographic and static features.

4. Limitations of Traditional Assessment Methods and the Necessity of Multi-Source Fusion

4.1. Traditional Methods for Crack Monitoring and Stability Assessment

(1) In high-risk areas identified through dynamic analysis (e.g., near measuring point No. 5), VWCM-200 vibrating wire crack meters were deployed to monitor crack width ( w ) and dislocation ( Δ ) in real time, with a resolution of 0.01 mm. Simultaneously, the SSUT-500 ultrasonic testing device was used to quantitatively determine crack depth ( d ) by measuring the difference in ultrasonic wave propagation time ( Δ t ) through concrete, based on the formula d   =   0.68 v · Δ t ,   v   =   4200   m / s . This provides direct evidence for damage assessment.
(2) Stability Coefficient Calculation: In accordance with the Code for Design of Concrete Structures (GB 50003), stability assessment primarily focuses on the anti-sliding stability coefficient ( K s ) and the anti-overturning stability coefficient ( K t ) [18,28]. Based on measured soil parameters (internal friction angle φ = 35 ° , unit weight γ = 18 k N m 3 ) and the modulus reduction due to damage (stiffness perturbation coefficient α =   0.05 ), the earth pressure and stability coefficients in the damaged area z = 1.4   m ) were calculated. The calculated active earth pressures are P A = P i = 18.2   k P a and   P B = 16.8   k P a . Accordingly, the anti-sliding stability coefficient K s = P A P B = 18.2 16.8 = 1.08 , indicating a basically stable state but requiring early warning. The anti-overturning stability coefficient K t 0 = P A · A P B · B = 1.08 × 0.7 = 0.76 (where 0.7 is the empirical value of the force arm ratio), which already indicates an unstable state requiring reinforcement. Furthermore, the decay rates of the stability coefficients with respect to the damage-sensitive parameter D t were determined ( K s / D = 0.23 , K t / D = 0.18 ), and the daily decay under different precipitation probabilities during dry and rainy seasons was analyzed, providing a parametric basis for subsequent predictions. Details are presented in Table 9.

4.2. Damage Identification and Stability Assessment Based on Dynamic Indicators

The analytical paradigm of traditional dynamic assessment methods, despite its utility in identifying damage, exhibits inherent limitations that hinder accurate diagnosis and proactive early warning in complex environments. These limitations are primarily reflected in the following three aspects:
(1)
Damage Identification and Localization
Damage indicators (e.g., ERSD) extracted through wavelet packet energy spectrum and HHT methods can effectively identify the presence and spatial location of damage. As shown in Table 5, Table 6, Table 7 and Table 8 and related analyses, the ERSD value near measuring point No. 5 (L = 0.6 m, H = 1.4 m) reached 12.53 under working condition IV, significantly higher than that in undamaged areas (e.g., ERSD ≈ 3.89 at measuring point No. 16), forming a distinct damage “hot spot.” Gradient analysis further confirmed the damage location.
(2)
Quantification of Damage Severity
The ERSD indicator exhibited a continuous increasing trend over time (from working condition II to V), rising from 8.88 to 14.20. A fitting model effectively quantified the damage evolution process with a residual error of <1%. Energy ratio analysis also revealed typical characteristics of low-frequency energy shifting to high frequencies at the damage point (No. 5), such as a 3.58% decrease in first-frequency band energy.
(3)
Stability Coefficient Calculation
Based on design codes, the stability coefficients of the damaged area were calculated. Taking working condition IV (ERSD = 2.4456) as an example, the calculated anti-sliding stability coefficient K s = 2.72, and the anti-overturning stability coefficient K t = 1.79. The results indicate that the structure’s anti-overturning capacity is approaching a critical state. Using a relational model between damage indicators and stability coefficients, the remaining service life under this damage state was predicted to be approximately 120 days [4,13]. The forecast is premised on an extrapolation of the observed degradation trend in the anti-overturning stability coefficient K t . The model posits that the temporal decay of K t is linear and driven by cumulative damage, as quantified by the ERSD indicator. The remaining service life is defined as the time period until K t is predicted to attain a predetermined failure threshold (with K t = 1.0 typically regarded as the critical limit for overturning stability). This computation accounted for the daily degradation rate of the stability coefficient under sustained operational loads ( K t / D = 0.18 , cf. Section 4.1) but explicitly disregarded the effects of extreme environmental incidents.

4.3. Multi-Source Fusion Framework

A multi-source fusion framework was developed to overcome the limitations of dynamic-only methods identified in Section 3.3. This framework integrates dynamic response signals with static topographic features to achieve a more comprehensive damage assessment.
The core of this methodology lies in incorporating topographic curvature—a key geometric parameter that controls stress distribution in soil. A quantitative relationship was established between dynamic damage indicators (e.g., ERSD) and this static terrain characteristic. This relationship allows the framework not only to localize damage but also to provide mechanistic insight into the spatial specificity of damage initiation.
This integrated strategy enables a crucial transition in monitoring methodology from post-diagnosis to pre-prediction. It thereby addresses the fundamental shortcoming of traditional methods, which decouple the structural response from its geological environment.

5. Construction and Validation of the Wavelet Packet–Curvature Fusion (WPCF) Model

Traditional dynamic evaluation methods exhibit significant limitations in interpreting damage mechanisms, explaining spatial specificity, and providing forward-looking early warnings because they decouple the structure from its static geological environment. To fundamentally address this issue, a Wavelet Packet–Curvature Fusion (WPCF) model is proposed. The core concept of this model lies in comprehensively utilizing wavelet packet transform (WPT) to extract high-precision damage indicators (effects) from dynamic responses, while employing terrain curvature derived from digital elevation models (DEMs) to characterize the static geological background (causes) controlling the initiation and evolution of damage. Through multi-scale analysis techniques, the coupling mechanism between these two aspects is revealed, ultimately establishing an integrated diagnostic and predictive model [14,29].

5.1. Rationale and Mechanism of the WPCF Model

To achieve an in-depth interpretation of damage mechanisms and a rational explanation of spatial specificity, this study integrates dynamic damage indicators with terrain curvature features. The theoretical basis of this fusion approach is as follows:
Advantages of Wavelet Packet Transform in Dynamic Feature Extraction: Wavelet packet transform (WPT) and its improved algorithms (e.g., FOWPT) possess full-frequency-band fine decomposition capabilities, enabling the extraction of high-frequency components sensitive to damage (e.g., 4–8 kHz) from complex dynamic response signals, thereby forming high-precision damage indicators (e.g., ERSD). This makes WPT an ideal tool for identifying the “dynamic manifestations” (effects) of damage.
Physical Significance of Terrain Curvature in Characterizing Static Environments: Terrain curvature is a key geometric parameter quantifying surface concavity and convexity, directly controlling stress distribution and transmission paths in soil behind retaining structures. High-curvature regions (e.g., ridges and valleys) are often stress concentration zones, more prone to soil instability and subsequent local damage in retaining structures. Thus, curvature is an ideal static feature for revealing the “static causes” (triggers) of damage and explaining its spatial distribution patterns.
In summary, the core idea of the WPCF model is to comprehensively utilize WPT to capture the “dynamic manifestations” of damage and leverage curvature features to reveal the “static causes” of damage. The fusion of these two aspects enables a complete understanding of the damage state of retaining structures from both dynamic and static dimensions, thereby overcoming the limitations of traditional methods and achieving a transition from “post-diagnosis” to “pre-prediction”.

5.2. Wavelet-Curvature Fusion Processing Workflow

5.2.1. Terrain Curvature Calculation and Feature Enhancement

Terrain curvature is a key geometric parameter quantifying surface concavity and convexity, directly influencing stress redistribution within soil. This study computes two core curvature types:
Normal Curvature ( K ): Represents the degree of surface bending along a normal section, with extreme values often occurring at ridges or valleys, highly correlated with stress concentration zones.
Planar Curvature ( K ): Reflects the convergence/divergence trends of surface water flow or material along horizontal directions, affecting soil permeability and pore water pressure distribution.
Using a quadratic surface fitting method, partial derivatives of elevation ( Z ) with respect to coordinates ( x ,   y ) ( Z ,   Z ,   Z ,   Z ,   Z ) are solved within a 3 × 3 moving window for each point in the DEM (resolution: 1 m × 1 m), enabling precise calculation of K and K .
First, DEM data (resolution: 1 m × 1 m) of the retaining structure area are acquired. Normal curvature K and planar curvature K h are computed for each point using quadratic surface fitting:
K = Z x x Z y y Z x y 2 ( 1 + Z x 2 + Z y 2 ) 2 ,   K h = Z x x Z y 2 2 Z x y Z x Z y + Z y y Z x 2 ( 1 + Z x 2 + Z y 2 ) 3 / 2
Regions with absolute curvature values greater than 0.05 are selected as significant terrain feature areas (e.g., ridges, valleys), indicating higher curvature ( K > 0.08) near Damage Point 5 (L = 0.6 m, H = 1.4 m) and lower curvature ( K < 0.03) in the area of Undamaged Point 16.

5.2.2. Wavelet Multi-Scale Decomposition

To separate macroscopic trends and local details in the terrain, a Biorthogonal 3.9 wavelet basis is used to perform a 2-level discrete wavelet transform (DWT) on the curvature-enhanced DEM. The decomposition structure is as follows:
Level 1: Low-frequency component LL1 (reflecting macroscopic terrain trends) and high-frequency components LH1, HL1, HH1 (reflecting detailed terrain features).
Level 2: LL1 is further decomposed into LL2 (lower frequency), LH2, HL2, HH2.
To quantify the distribution of terrain energy across different scales, energy concentration ( E c ) is defined as:
E c ( i ) = ( W i 2 ) j = 1 7 ( W j 2 )
where W i represents the coefficients of the i -th sub-band. Calculations reveal that the LL2 sub-band (lowest frequency) at Point 5 has E c = 72.3%, significantly higher than that at Point 16 ( E c = 52.1%). This indicates that terrain energy in damaged areas is more concentrated in macroscopic low-frequency trends, with micro-fluctuations weakened, likely due to local settlement from damage leading to smoother terrain.

5.2.3. Feature Point Selection and Kriging Interpolation

To focus on key terrain features, the top 15% of points with the highest curvature in the LL2 component are selected as key feature points. The number of points is determined by the root mode:
N b = N e · D R D M = 1000 × 1000 5000 447
The top 15% of points (67 points) with the highest curvature are selected as key feature points, most of which are distributed at abrupt changes in the slope of backfill soil. Kriging interpolation is used to reconstruct the low-frequency terrain surface. The interpolation formula is:
z ^ x 0 = i = 1 n λ i z ( x i )
where weights λ i are solved using a variogram model (exponential model), ensuring optimal and unbiased interpolation results.

5.2.4. Wavelet Reconstruction and Terrain Feature Fusion

The interpolated low-frequency terrain is combined with original high-frequency details (LH, HL, HH) through wavelet reconstruction to obtain a fused DEM. Comparison of pre- and post-reconstruction terrain shows that the elevation standard deviation near Point 5 decreases from 0.24 m to 0.15 m, indicating smoother terrain in the damaged area, consistent with foundation settlement patterns due to stiffness degradation.

5.3. Correlation Analysis Between Terrain Features and Damage Indicators

5.3.1. Spatial Coupling Analysis of Curvature and ERSD

Spatial overlay of terrain curvature ( K ) and damage indicator (ERSD) reveals that both exhibit extreme values near Point 5, where ERSD = 12.53 corresponds to K = 0.082 , while at Point 16, ERSD = 3.89 corresponds to K = 0.027 . Coupling degree ( C ) is defined as:
C = E R S D · K E R S D · K
The calculated C value at Point 5 is 0.76, significantly higher than in other regions ( C < 0.3 ), indicating a high spatial correlation between damage and terrain changes.

5.3.2. Damage Prediction Model Based on Terrain Factors

A predictive model for ERSD is established using curvature ( K ) and low−frequency energy concentration ( E c ) as independent variables:
E R S D = 3.28 + 18.46 K + 2.37 E c
The model achieves a goodness-of-fit R 2 = 0.84 and a root mean square error (RMSE) of 1.26, demonstrating that terrain features alone can predict damage severity with high accuracy. This significantly enhances the method’s capability for damage early warning in unknown regions or scenarios with only undamaged baseline data (Table 10).

5.4. Performance Comparison of Different Methods

To comprehensively evaluate the superiority of the proposed WPCF model, a comparative analysis was conducted against two benchmark methods: (1) a conventional method based on Wavelet Transform (WT) energy features, and (2) the dynamic-only FOWPT-ERSD method without terrain fusion. The performance was assessed using multiple metrics: prediction accuracy (RMSE, MAE, R2), computational efficiency (relative to the WT method), and noise resistance (SNR improvement).
As summarized in Table 11, the proposed WPCF model achieved the highest overall performance. It yielded the most accurate ERSD predictions, with the lowest RMSE (1.26) and MAE (0.98), and the highest goodness-of-fit ( R 2 = 0.8 4). While the WPCF model incurred a moderate increase in computational time (1.6×) compared to the traditional WT method (1.0×), this is considered a reasonable trade-off for its significant gains in accuracy and robustness. Notably, the FOWPT algorithm itself (even without fusion) already provided substantial improvements in noise resistance and accuracy over the WT method. The WPCF model further enhanced this anti-interference capability, achieving the highest SNR improvement (12.8 dB), which underscores the stabilizing effect of integrating static topographic features.
The practical engineering value of the WPCF model was further demonstrated through its integration into the stability evaluation system. A topographic modification factor, T f = 1 + 0.15 K , was defined to quantify the influence of terrain on stability:
K s = K s T f , K t = K t T f
Taking the high-risk area near Point 5 (L = 0.6 m, H = 1.4 m) as an example, where the curvature K   =   0.082   m 1 , the modification factor was calculated as T f = 1.012 . Applying this factor, the modified stability coefficients became K s = 1.08 × 1.012 =   1.093 and K t = 0.76 × 1.012   =   0.769 . Although the modification magnitude is small, the influence of terrain creep over long−term monitoring cannot be neglected. Particularly during the rainy season, an increase in the K s value may lead to a further rise in T f , potentially accelerating stability degradation.

6. Conclusions

This research focused on the health monitoring and safety assessment of retaining structures. Through theoretical innovation and experimental validation, the following three main achievements were accomplished:
(1)
Algorithmic Enhancement: The proposed Frequency-Optimized Wavelet Packet Transform (FOWPT) algorithm successfully mitigates issues of frequency band aliasing and computational inefficiency inherent in traditional signal processing methods. This foundation enabled the establishment of a damage identification system utilizing the ERSD indicator, achieving precise damage localization (error ≤ 5%) and quantitative severity assessment.
(2)
Paradigm Identification: The research critically identified and articulated the fundamental limitations of relying exclusively on dynamic monitoring methods, particularly their inability to explain damage mechanisms and spatial specificity, which stem from neglecting critical static environmental factors like topography.
(3)
Systemic Innovation: The most significant outcome is the novel Wavelet Packet-Curvature Fusion (WPCF) model. By fusing high-precision dynamic damage features with static topographic indicators, this model establishes a quantitative “topography–damage” relationship. This innovation enables damage prediction based on topographic data alone, facilitating a crucial shift from post-diagnosis to pre-prediction.
Progress in these three aspects collectively constitutes a more comprehensive and reliable health monitoring system for retaining structures. It not only enhances monitoring accuracy but also deepens our understanding of damage mechanisms and improves predictive capability.

Author Contributions

Conceptualization, A.Y. and L.M.; methodology, A.Y.; software, A.Y.; validation, A.Y. and L.M.; formal analysis, A.Y.; investigation, A.Y.; resources, L.M.; data curation, A.Y.; writing—original draft preparation, A.Y.; writing—review and editing, L.M.; visualization, A.Y.; supervision, L.M.; project administration, L.M.; funding acquisition, L.M. All authors have read and agreed to the published version of the manuscript.

Funding

This research was supported by Jiangsu University of Science and Technology. The APC was funded by Jiangsu University of Science and Technology.

Institutional Review Board Statement

Not applicable.

Informed Consent Statement

Not applicable.

Data Availability Statement

The original contributions presented in this study are included in the article. Further inquiries can be directed to the corresponding author.

Conflicts of Interest

The authors declare no conflict of interest.

References

  1. Javadi, M.; Hassanli, R.; Rahman, M.M.; Karim, M.R. Self-centring segmental retaining walls—A new construction system for retaining walls. Front. Struct. Civ. Eng. 2021, 15, 980–1000. [Google Scholar] [CrossRef]
  2. Kalateh-Ahani, M.; Sarani, A. Performance-based Optimal Design of Cantilever Retaining Walls. Period. Polytech. Civ. Eng. 2019, 63, 660–673. [Google Scholar] [CrossRef]
  3. Pulatsu, B.; Kim, S.; Erdogmus, E.; Lourenço, P.B. Advanced analysis of masonry retaining walls using mixed discrete–continuum approach. Proc. Inst. Civ. Eng. Geotech. Eng. 2021, 174, 302–314. [Google Scholar] [CrossRef]
  4. Zamiran, S.; Osouli, A. Seismic motion response and fragility analyses of cantilever retaining walls with cohesive backfill. Soils Found. 2018, 58, 412–426. [Google Scholar] [CrossRef]
  5. Bertola, N.J.; Brühwiler, E. Framework to evaluate the value of monitoring-technique information for structural performance monitoring. Struct. Infrastruct. Eng. 2024, 20, 1033–1052. [Google Scholar] [CrossRef]
  6. Ju, M.; Dou, Z.; Li, J.-W.; Qiu, X.; Shen, B.; Zhang, D.; Yao, F.-Z.; Gong, W.; Wang, K. Piezoelectric Materials and Sensors for Structural Health Monitoring: Fundamental Aspects, Current Status, and Future Perspectives. Sensors 2023, 23, 543. [Google Scholar] [CrossRef] [PubMed]
  7. de Sousa, A.A.S.R.; Machado, M.R. Experimental vibration dataset collected of a beam reinforced with masses under different health conditions. Data Brief. 2024, 52, 110043. [Google Scholar] [CrossRef]
  8. Devarajan, R.; Khalaf, O.I.; Rajendran, S.; M, P.; Hamam, H. Structural health monitoring of aircraft through prediction of delamination using machine learning. PeerJ Comput. Sci. 2024, 10, e1955. [Google Scholar] [CrossRef]
  9. Mandal, U.K.; Verma, S.K.; Prasad, A. Composition of Wavelet Transforms and Wave Packet Transform Involving Kontorovich-Lebedev Transform. Filomat 2021, 35, 47–60. [Google Scholar] [CrossRef]
  10. Cao, D.; Gu, Y.; Lin, W. Fault Diagnosis Based on Optimized Wavelet Packet Transform and Time Domain Convolution Network. Trans. Famena 2023, 47, 1–14. [Google Scholar] [CrossRef]
  11. Singh, G.; Chiluveru, S.R.; Raman, B.; Tripathy, M.; Kaushik, B.K. Novel Architecture for Lifting Discrete Wavelet Packet Transform With Arbitrary Tree Structure. IEEE Trans. Very Large Scale Integr. (Vlsi) Syst. 2021, 29, 1490–1494. [Google Scholar] [CrossRef]
  12. Xu, Q. Investigation of Damage Diagnosis of Retaining Wall Structures Based on the Hilbert Damage Feature Vector Spectrum. Shock. Vib. 2019, 3509470. [Google Scholar] [CrossRef]
  13. Li, Q.; Li, P.; Cui, K.; Ji, Y.; Zhang, D.; Qing, Y. Seismic fragility curves for concrete gravity retaining wall. Soil. Dyn. Earthq. Eng. 2024, 183, 108806. [Google Scholar] [CrossRef]
  14. Wang, J.; Zhong, W.; Lin, Z.; Tang, Y. Dynamic Response and Geogrid Strain Analysis of GRS Retaining Wall. Appl. Sci. 2022, 12, 9930. [Google Scholar] [CrossRef]
  15. Singh, G.; Chiluveru, S.R.; Raman, B.; Tripathy, M.; Kaushik, B.K. Memory Efficient Architecture for Lifting-Based Discrete Wavelet Packet Transform. IEEE Trans. Circuits Syst. II Express Briefs 2021, 68, 1373–1377. [Google Scholar] [CrossRef]
  16. Peng, Y.; Ding, M.; Cao, J.; Dongye, G.; Ding, Y. Indoor Target Localization Using Through-Wall Radar Based on the Time-Frequency Enhancement Algorithm. IEEE Sens. J. 2024, 24, 31357–31366. [Google Scholar] [CrossRef]
  17. Che, F.; Yin, C.; Zhang, H.; Tang, G.; Hu, Z.; Liu, D.; Li, Y.; Huang, Z. Assessing the Risk Probability of the Embankment Seismic Damage Using Monte Carlo Method. Adv. Civ. Eng. 2020, 2020, 8839400. [Google Scholar] [CrossRef]
  18. Kim, J. Numerical study on the structural stability of the precast joint buttress wall. J. Korean Soc. Disaster Inf. 2016, 12, 366–372. [Google Scholar] [CrossRef]
  19. Zhang, H.; Wu, X.; He, B.; Guo, M. Time-synchroextracting of generalized S-transform and its application in fault identification. J. Appl. Geophys. 2023, 216, 105147. [Google Scholar] [CrossRef]
  20. Chen, Q.; Zhang, Y. Frame-type kernel and time-frequency transforms. Math. Methods Appl. Sci. 2022, 45, 7845–7858. [Google Scholar] [CrossRef]
  21. Chen, J.; Liu, Y.; Tian, Y.; Xie, P. Fast Streaming Local Time-Frequency Transform for Nonstationary Seismic Data Processing. IEEE Trans. Geosci. Remote Sens. 2025, 63, 5902809. [Google Scholar] [CrossRef]
  22. Bhat, M.Y.; Dar, A.H. Wavelet packets associated with linear canonical transform on spectrum. Int. J. Wavelets Multiresolution Inf. Process. 2021, 19, 2150030. [Google Scholar] [CrossRef]
  23. Shi, J.; Liu, X.; Xiang, W.; Han, M.; Zhang, Q. Novel Fractional Wavelet Packet Transform: Theory, Implementation, and Applications. IEEE Trans. Signal Process. 2020, 68, 4041–4054. [Google Scholar] [CrossRef]
  24. Li, X.; Zhao, H.; Yu, L.; Chen, H.; Deng, W.; Deng, W. Feature Extraction Using Parameterized Multisynchrosqueezing Transform. IEEE Sens. J. 2022, 22, 14263–14272. [Google Scholar] [CrossRef]
  25. Liu, J.; Meng, Z.; Sun, D.; Guan, Y.; Cao, W.; Li, J. Local time-reassigned synchrosqueezing transform and its application in bearing fault characteristic extraction. Mech. Syst. Signal Process. 2023, 203, 110726. [Google Scholar] [CrossRef]
  26. Xu, J.; Qiao, B.; Liu, M.; Wang, Y.; Dai, J.; Fan, Y.; Chen, X. Time-frequency reassignment of blade tip timing signal. Mech. Syst. Signal Process. 2025, 224, 112163. [Google Scholar] [CrossRef]
  27. Yan, J.; Peng, Y.; Li, Q.; Shao, H.; Bin, G.; Zheng, J.; Pan, H.; Shen, Y.; Guo, Y.; Zhou, J. Riesz Time-Frequency Spectrum Transform and Its Application in Rolling Bearing Fault Diagnosis. IEEE Sens. J. 2025, 25, 16764–16774. [Google Scholar] [CrossRef]
  28. Abu-Odeh, A.Y.; Kim, K.-M. Crash Wall Design to Protect Mechanically Stabilized Earth Retaining Walls. Transp. Res. Rec. J. Transp. Res. Board. 2013, 2377, 49–60. [Google Scholar] [CrossRef]
  29. Tang, B.; Ding, Y.; Ping, Y.; Liu, R.; Ding, M. Local Maximum Reassignment Chirplet Basis Transform With Doppler Through-Wall Radar Target Localization. IEEE Internet Things J. 2025, 12, 26596–26606. [Google Scholar] [CrossRef]
Figure 1. Experimental setup and field installation: (a) Sensor grid layout; (b) Individual sensor installation; (c) Simulated damage drilling; (d) Data acquisition system.
Figure 1. Experimental setup and field installation: (a) Sensor grid layout; (b) Individual sensor installation; (c) Simulated damage drilling; (d) Data acquisition system.
Applsci 15 11370 g001
Figure 2. Energy Ratio at Each Monitoring Point under different working conditions: (a) Energy distribution characteristics at Point 3, showing low-frequency energy concentration; (b) Energy distribution at Point 5 (damage point), demonstrating notable high-frequency energy transfer; (c) Relatively uniform energy distribution at Point 13; (d) Stable energy distribution at Point 16 (undamaged area).
Figure 2. Energy Ratio at Each Monitoring Point under different working conditions: (a) Energy distribution characteristics at Point 3, showing low-frequency energy concentration; (b) Energy distribution at Point 5 (damage point), demonstrating notable high-frequency energy transfer; (c) Relatively uniform energy distribution at Point 13; (d) Stable energy distribution at Point 16 (undamaged area).
Applsci 15 11370 g002aApplsci 15 11370 g002b
Table 1. Performance Comparison of Signal Processing Methods.
Table 1. Performance Comparison of Signal Processing Methods.
MethodTime–Frequency ResolutionNoise ResistanceApplicable Scenarios
FTNo time-domain localizationPoorStationary signals
WTHigh-frequency limitedModerateTransient events
WPTFull-band refinementExcellentNon-stationary signals
Table 2. Definition of experimental damage scenarios.
Table 2. Definition of experimental damage scenarios.
Working ConditionDamage Simulation MethodDescriptionStiffness Perturbation Coefficient (α)
Condition 1No drillingBaseline (no damage)0.00
Condition 2Drill 1 holeSlight damage−0.01
Condition 3Drill 2 holesModerate damage−0.03
Condition 4Drill 3 holesSignificant damage−0.04
Condition 5Drill 4 holesSevere damage−0.05
Table 3. Measurement point wavelet packet characteristic frequency band energy ratio.
Table 3. Measurement point wavelet packet characteristic frequency band energy ratio.
Monitoring PointWorking Condition1st Order 2nd
Order
3rd
Order
4th Order 5th
Order
6th Order 7th Order Residual Band
Point 3Condition 10.7190.0520.0470.0430.0410.0350.0330.032
Condition 20.7280.0540.0410.0390.0390.0370.0320.032
Condition 30.7170.0540.0520.0420.0410.0330.0330.027
Condition 40.7270.0460.0410.0390.0390.0380.0370.023
Condition 50.7220.0450.0450.0410.0390.0390.0370.023
Point 5Condition 10.7310.0470.0400.0400.0390.0360.0340.033
Condition 20.6950.0560.0530.0460.0440.0420.0370.028
Condition 30.7220.0470.0470.0400.0390.0380.0360.031
Condition 40.6970.0520.0460.0440.0430.0410.0400.026
Condition 50.7210.0520.0490.0400.0380.0370.0360.028
Point 13Condition 10.7190.0530.0440.0430.0430.0360.0340.034
Condition 20.7000.0520.0480.0450.0420.0410.0390.033
Condition 30.7270.0480.0410.0410.0380.0370.0360.033
Condition 40.7440.0420.0390.0390.0380.0330.0330.035
Condition 50.7200.0510.0470.0400.0380.0370.0340.034
Point 16Condition 10.7250.0470.0450.0400.0390.0380.0360.030
Condition 20.7240.0470.0450.0420.0390.0380.0340.030
Condition 30.7240.0480.0440.0400.0400.0390.0350.029
Condition 40.7100.0500.0460.0440.0410.0370.0360.036
Condition 50.7200.0500.0450.0450.0370.0370.0360.039
Table 4. Measurement point wavelet packet characteristic frequency band energy ratio difference.
Table 4. Measurement point wavelet packet characteristic frequency band energy ratio difference.
Monitoring PointCondition Comparison1st Order Difference (%)2nd Order Difference (%)3rd Order Difference (%)4th Order Difference (%)5th Order Difference (%)6th Order Difference (%)7th Order Difference (%)Residual Band Difference (%)
Point 3Condition 10.000.000.000.000.000.000.000.00
Condition 20.890.180.590.350.200.230.160.00
Condition 30.210.220.510.060.000.110.030.48
Condition 40.850.630.590.320.180.330.360.82
Condition 50.310.720.200.190.170.460.400.89
Point 5Condition 10.000.000.000.000.000.000.000.00
Condition 23.580.921.250.630.450.570.250.49
Condition 30.900.050.670.070.070.180.180.18
Condition 43.440.590.580.460.370.510.550.62
Condition 51.010.500.870.010.140.110.150.47
Point 13Condition 10.000.000.000.000.000.000.000.00
Condition 21.970.050.470.210.030.570.480.04
Condition 30.750.420.300.230.450.160.210.10
Condition 42.481.010.470.410.510.240.090.09
Condition 50.080.170.290.290.200.000.140.03
Point 16Condition 10.000.000.000.000.000.000.000.00
Condition 20.020.020.000.190.070.010.230.02
Condition 30.010.110.090.020.160.130.100.12
Condition 41.450.250.100.380.230.090.020.60
Condition 50.470.320.010.460.200.110.060.87
Table 5. Damage identification index (difference one).
Table 5. Damage identification index (difference one).
L/m0.61.21.82.4
H/m
1.81.67561.31580.58310.2653
1.41.96531.51571.28642.4456
1.00.61240.53420.78650.4672
0.61.02680.65320.74680.1579
Table 6. Damage identification index (difference two).
Table 6. Damage identification index (difference two).
L/m0.61.21.82.4
H/m
1.81.15351.56320.61550.4804
1.40.97821.33471.06780.9365
1.01.20680.46721.57681.1535
0.60.85320.71580.37590.3068
Table 7. Damage identification index (difference three).
Table 7. Damage identification index (difference three).
L/m0.61.21.82.4
H/m
1.81.02471.43681.37591.2345
1.42.06791.89231.56781.2954
1.01.61241.75682.00680.9532
0.61.44680.95323.58950.6
Table 8. Damage identification index (difference four).
Table 8. Damage identification index (difference four).
L/m0.61.21.82.4
H/m
1.80.67321.24681.15790.4621
1.40.81241.02460.93651.5678
1.00.61240.53421.39681.0768
0.60.46720.81241.25791.0768
Table 9. Classification of Crack Safety Levels.
Table 9. Classification of Crack Safety Levels.
ParameterSafety Level (Ⅰ)Warning Level (Ⅱ)Danger Level (Ⅲ)
Width w/mm<1.01.0–3.0>3.0
Length L/m<0.50.5–2.0>2.0
Dislocation Δ/mm<2.02.0–5.0>5.0
Table 10. Correspondence Between Topographic Features and ERSD Values.
Table 10. Correspondence Between Topographic Features and ERSD Values.
Monitoring Point Number K (m−1) E c (%) Measured ERSDPredicted ERSD
50.08272.312.5313.02
160.02752.13.893.75
30.04568.26.737.18
130.03859.75.245.56
Table 11. Performance Comparison of Different Damage Identification Methods.
Table 11. Performance Comparison of Different Damage Identification Methods.
Method CategoryRMSEMAER2Computational Efficiency (Relative Time)
Traditional Wavelet Transform Energy Feature Method2.451.920.621.0×
FOWPT-ERSD Method (without terrain fusion)1.581.240.751.4×
WPCF Model (Proposed Method)1.260.980.841.6×
Disclaimer/Publisher’s Note: The statements, opinions and data contained in all publications are solely those of the individual author(s) and contributor(s) and not of MDPI and/or the editor(s). MDPI and/or the editor(s) disclaim responsibility for any injury to people or property resulting from any ideas, methods, instructions or products referred to in the content.

Share and Cite

MDPI and ACS Style

Yang, A.; Mei, L. Research on Damage Identification and Topographic Feature Enhancement for Retaining Structures Based on Wavelet Packet–Curvature Fusion (WPCF). Appl. Sci. 2025, 15, 11370. https://doi.org/10.3390/app152111370

AMA Style

Yang A, Mei L. Research on Damage Identification and Topographic Feature Enhancement for Retaining Structures Based on Wavelet Packet–Curvature Fusion (WPCF). Applied Sciences. 2025; 15(21):11370. https://doi.org/10.3390/app152111370

Chicago/Turabian Style

Yang, Ao, and Ling Mei. 2025. "Research on Damage Identification and Topographic Feature Enhancement for Retaining Structures Based on Wavelet Packet–Curvature Fusion (WPCF)" Applied Sciences 15, no. 21: 11370. https://doi.org/10.3390/app152111370

APA Style

Yang, A., & Mei, L. (2025). Research on Damage Identification and Topographic Feature Enhancement for Retaining Structures Based on Wavelet Packet–Curvature Fusion (WPCF). Applied Sciences, 15(21), 11370. https://doi.org/10.3390/app152111370

Note that from the first issue of 2016, this journal uses article numbers instead of page numbers. See further details here.

Article Metrics

Back to TopTop