Evaluation of the Differences Between Home and Away Matches Depending on GPS Data from a Senior Professional Football Team in the Turkish Super League
Abstract
1. Introduction
2. Materials and Methods
2.1. Participants
2.2. Study Design
2.3. Statistical Analysis
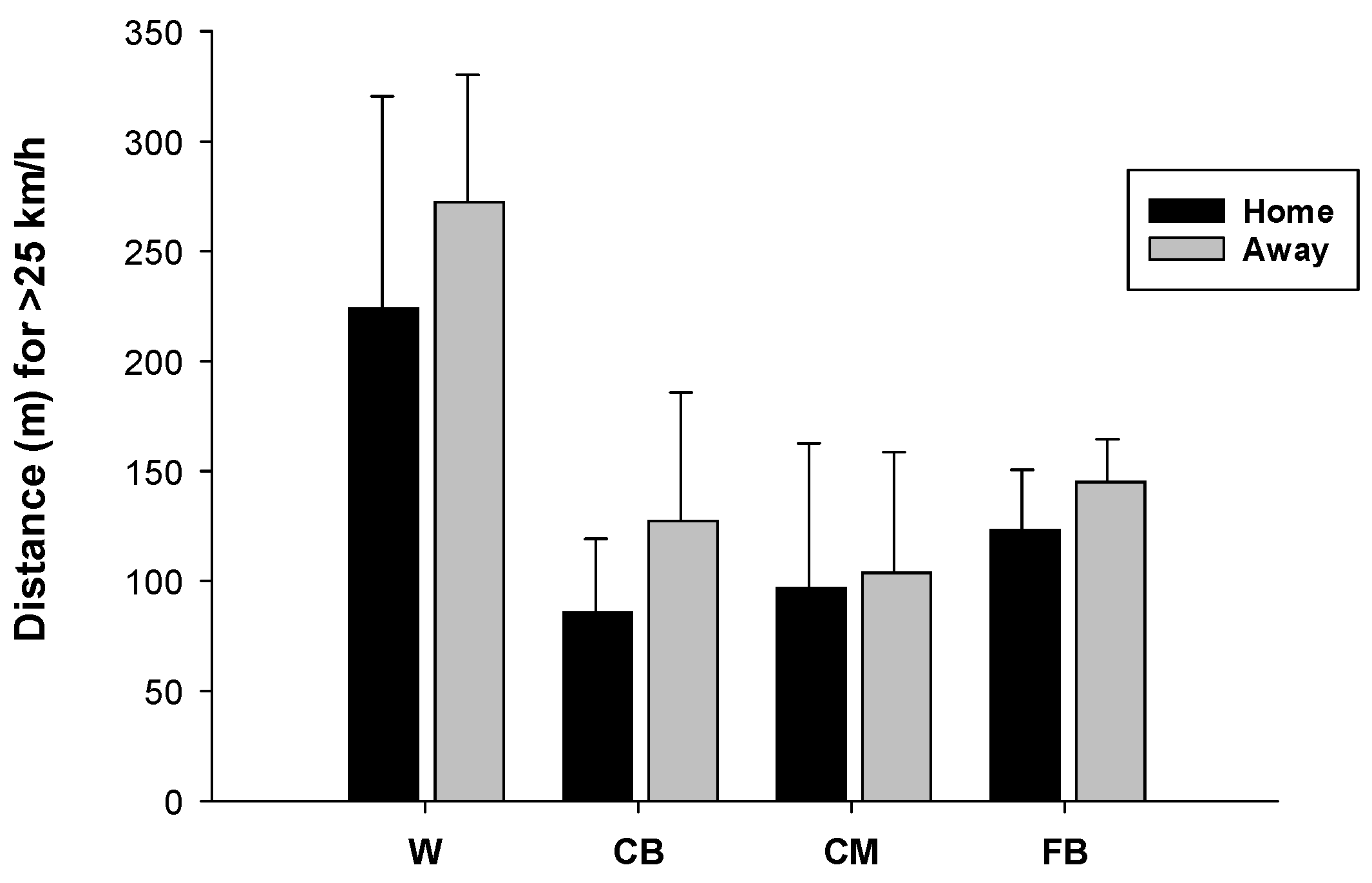
3. Results
3.1. Results for Playing Position Differences
3.2. Results for Match Location Differences
3.3. Results for Correlations
4. Discussion
5. Conclusions
Author Contributions
Funding
Institutional Review Board Statement
Informed Consent Statement
Data Availability Statement
Acknowledgments
Conflicts of Interest
References
- Bieryla, K.A.; Cook, J.; Snyder, R.C. Comparative Analysis of Activity Profiles in Division I Female Field Hockey Athletes: Before and after Game Time Modifications. Appl. Sci. 2024, 14, 6674. [Google Scholar] [CrossRef]
- Carlos-Vivas, J.; Franco-García, J.M.; Mendoza-Muñoz, D.M.; Gómez-Pomares, S.; Pérez-Gómez, J. High-Intensity GPS-Derived Parameters in Semi-Professional Soccer: Home vs. Away Roles of the Team and Their Relationship with the Match’s Final Score. Sensors 2024, 24, 4891. [Google Scholar] [CrossRef] [PubMed]
- Farrow, D.; Pyne, D.; Gabbett, T. Skill and physiological demands of open and closed training drills in Australian football. Int. J. Sports Sci. Coach. 2008, 3, 489–499. [Google Scholar] [CrossRef]
- De Silva, V.; Caine, M.; Skinner, J.; Dogan, S.; Kondoz, A.; Peter, T.; Axtell, E.; Birnie, M.; Smith, B. Player tracking data analytics as a tool for physical performance management in football: A case study from Chelsea football club academy. Sports 2018, 6, 130. [Google Scholar] [CrossRef]
- Beato, M.; Youngs, A.; Costin, A.J. The Analysis of Physical Performance During Official Competitions in Professional English Football: Do Positions, Game Locations, and Results Influence Players’ Game Demands? J. Strength Cond. Res. 2024, 38, e226–e234. [Google Scholar] [CrossRef]
- Chaize, C.; Allen, M.; Beato, M. Physical Performance Is Affected by Players’ Position, Game Location, and Substitutions During Official Competitions in Professional Championship English Football. J. Strength Cond. Res. 2022, 10, 1519. [Google Scholar] [CrossRef]
- Morgans, R.; Kweon, D.; Ryan, B.; Ju, W.; Zmijewski, P.; Oliveira, R.; Olthof, S. Playing position and match location affect the number of high-intensity efforts more than the quality of the opposition in elite football players. Biol. Sport 2024, 41, 29–37. [Google Scholar] [CrossRef]
- Abbott, W.; Brickley, G.; Smeeton, N.J. Physical demands of playing position within English Premier League academy soccer. J. Hum. Sport Exerc. 2018, 13, 285–295. [Google Scholar] [CrossRef]
- Borghi, S.; Colombo, D.; La Torre, A.; Banfi, G.; Bonato, M.; Vitale, J.A. Differences in GPS variables according to playing formations and playing positions in U19 male soccer players. Res. Sports Med. 2021, 29, 225–239. [Google Scholar] [CrossRef]
- Kaldaras, V.; Michailidis, Y.; Gissis, I.; Metaxas, T.I. The running performance of amateur football players in matches with a 1-4-3-3 formation in relation to their playing position and the 15-min time periods. Appl. Sci. 2024, 14, 7036. [Google Scholar] [CrossRef]
- Mallo, J.; Mena, E.; Nevado, F.; Paredes, V. Physical demands of top-class soccer friendly matches in relation to a playing position using global positioning system technology. J. Hum. Kinet. 2015, 47, 179. [Google Scholar] [CrossRef]
- Nuttouch, W.; Hemarachatanon, P.; Huntula, S. Analysis of Positional Differences in the Thai National Football Team Players’ Performance Using Global Positioning System Tracking. Phys. Educ. Theory Methodol. 2023, 23, 373–379. [Google Scholar] [CrossRef]
- Aquino, R.; Martins, G.H.M.; Vieira, L.H.P.; Menezes, R.P. Influence of match location, quality of opponents, and match status on movement patterns in Brazilian professional football players. J. Strength Cond. Res. 2017, 31, 2155–2161. [Google Scholar] [CrossRef]
- Diana, B.; Zurloni, V.; Elia, M.; Cavalera, C.M.; Jonsson, G.K.; Anguera, M.T. How game location affects soccer performance: T-pattern analysis of attack actions in home and away matches. Front. Psychol. 2017, 8, 1415. [Google Scholar] [CrossRef]
- Lago-Peñas, C.; Lago-Ballesteros, J. Game location and team quality effects on performance profiles in professional soccer. J. Sports Sci. Med. 2011, 10, 465. [Google Scholar] [PubMed]
- Lago, C. The influence of match location, quality of opposition, and match status on possession strategies in professional association football. J. Sports Sci. 2009, 27, 1463–1469. [Google Scholar] [CrossRef] [PubMed]
- Nobari, H.; Fani, M.; Mainer-Pardos, E.; Oliveira, R. Comparison of GPS derived variables based on home versus away matches in the Asian professional soccer team. Proc. Inst. Mech. Eng. Part P J. Sports Eng. Technol. 2025, 239, 163–169. [Google Scholar] [CrossRef]
- Taylor, J.B.; Mellalieu, S.D.; James, N.; Shearer, D.A. The influence of match location, quality of opposition, and match status on technical performance in professional association football. J. Sports Sci. 2008, 26, 885–895. [Google Scholar] [CrossRef]
- Pollard, R. Home advantage in soccer: A retrospective analysis. J. Sports Sci. 1986, 4, 237–248. [Google Scholar] [CrossRef]
- Gómez-Ruano, M.A.; Pollard, R.; Lago-Peñas, C. Home Advantage in Sport; Routledge: New York, NY, USA, 2021. [Google Scholar]
- Fullagar, H.H.; Delaney, J.; Duffield, R.; Murray, A. Factors influencing home advantage in American collegiate football. Sci. Med. Footb. 2019, 3, 163–168. [Google Scholar] [CrossRef]
- Kuvvetli, Ü. An Investigation on Home Advantage and Away Disadvantage of Teams in the TFF 1. League. Spormetre J. Phys. Educ. Sport Sci. 2023, 21, 78–90. [Google Scholar] [CrossRef]
- Leite, W.S. Home advantage: Comparison between the major European football leagues. Athens J. Sports 2017, 4, 65–74. [Google Scholar] [CrossRef]
- Tucker, W.; Mellalieu, D.S.; James, N.; Taylor, B.J. Game location effects in professional soccer: A case study. Int. J. Perform. Anal. Sport 2005, 5, 23–35. [Google Scholar] [CrossRef]
- Bauer, A.M.; Young, W.; Fahrner, B.; Harvey, J. GPS variables most related to match performance in an elite Australian football team. Int. J. Perform. Anal. Sport 2015, 15, 187–202. [Google Scholar] [CrossRef]
- Brewer, C.; Dawson, B.; Heasman, J.; Stewart, G.; Cormack, S. Movement pattern comparisons in elite (AFL) and sub-elite (WAFL) Australian football games using GPS. J. Sci. Med. Sport 2010, 13, 618–623. [Google Scholar] [CrossRef] [PubMed]
- Teixeira, J.E.; Leal, M.; Ferraz, R.; Ribeiro, J.; Cachada, J.M.; Barbosa, T.M.; Monteiro, A.M.; Forte, P. Effects of match location, quality of opposition and match outcome on match running performance in a Portuguese professional football team. Entropy 2021, 23, 973. [Google Scholar] [CrossRef]
- Catapult. What Is Player Load? Available online: https://core.catapultsports.com/hc/en-us/articles/7209578939151-What-is-Player-Load (accessed on 29 September 2025).
- Catapult. Post-Activity Parameters. Available online: https://core.catapultsports.com/hc/en-us/articles/7209919599375-Post-Activity-Parameters (accessed on 29 September 2025).
- Goumas, C. Modelling home advantage in sport: A new approach. Int. J. Perform. Anal. Sport 2013, 13, 428–439. [Google Scholar] [CrossRef]
- Stone, M.H.; Moir, G.; Glaister, M.; Sanders, R. How Much Strength Is Necessary? Phys. Ther. Sport 2002, 3, 88–96. [Google Scholar] [CrossRef]
- Barrera, J.; Sarmento, H.; Clemente, F.M.; Field, A.; Figueiredo, A.J. The effect of contextual variables on match performance across different playing positions in professional Portuguese soccer players. Int. J. Environ. Res. Public Health 2021, 18, 5175. [Google Scholar] [CrossRef]
- Miguel, M.; Oliveira, R.; Brito, J.P.; Loureiro, N.; García-Rubio, J.; Ibáñez, S.J. External match load in amateur soccer: The influence of match location and championship phase. Healthcare 2022, 10, 594. [Google Scholar] [CrossRef]
- Morgans, R.; Radnor, J.; Fonseca, J.; Rhodes, D.; Ryan, B.; King, M.; Zmijewski, P.; Oliveira, R. Comparison of running and accelerometry variables based on match outcome, match location and quality of opponent in elite professional soccer players. A five-season study. Biol. Sport 2025, 42, 67–79. [Google Scholar] [CrossRef]
- Del Coso, J.; Brito de Souza, D.; López-Del Campo, R.; Blanco-Pita, H.; Resta, R. The football championship is won when playing away: Difference in match statistics between the winner and the second-place team in LaLiga. Int. J. Perform. Anal. Sport 2020, 20, 879–891. [Google Scholar] [CrossRef]
- Staufenbiel, K.; Lobinger, B.; Strauss, B. Home advantage in soccer–A matter of expectations, goal setting and tactical decisions of coaches? J. Sports Sci. 2015, 33, 1932–1941. [Google Scholar] [CrossRef] [PubMed]
- Chacón-Fernández, E.; Brunsó-Costal, G.; Duarte, A.; Sánchez-Oro, J.; Alonso-Pérez-Chao, E. Home advantage in football: Exploring its effect on individual performance. Appl. Sci. 2025, 15, 2242. [Google Scholar] [CrossRef]
- Seçkin, A. Home Advantage in Association Football: Evidence from Turkish Super League. In Proceedings of the EcoMod Conference, Honk Kong, China, 28–30 June 2006; Available online: https://ecomod.net/sites/default/files/document-conference/ecomod2006/1596.pdf (accessed on 26 August 2025).
- Gómez, M.-Á.; Mitrotasios, M.; Armatas, V.; Lago-Peñas, C. Analysis of playing styles according to team quality and match location in Greek professional soccer. Int. J. Perform. Anal. Sport 2018, 18, 986–997. [Google Scholar] [CrossRef]
- Gollan, S.; Bellenger, C.; Norton, K. Contextual factors impact styles of play in the English premier league. J. Sports Sci. Med. 2020, 19, 78. [Google Scholar] [PubMed]
- Lago, C.; Martín, R. Determinants of possession of the ball in soccer. J. Sports Sci. 2007, 25, 969–974. [Google Scholar] [CrossRef]
- Mohr, M.; Krustrup, P.; Bangsbo, J. Match performance of high-standard soccer players with special reference to development of fatigue. J. Sports Sci. 2003, 21, 519–528. [Google Scholar] [CrossRef]
- Chmura, P.; Konefał, M.; Wong, D.P.; Figueiredo, A.J.; Kowalczuk, E.; Rokita, A.; Chmura, J.; Andrzejewski, M. Players’ physical performance decreased after two-thirds of the season: Results of 3 consecutive seasons in the German first Bundesliga. Int. J. Environ. Res. Public Health 2019, 16, 2044. [Google Scholar] [CrossRef]
- Joo, C.H. The effects of short-term detraining on exercise performance in soccer players. J. Exerc. Rehabil. 2016, 12, 54. [Google Scholar] [CrossRef]



| GPS variables | Player Position | N | M ± SD | %95 CI | p | |
|---|---|---|---|---|---|---|
| Total time (min) | Winger | 4 | 91.3 ± 5.4 | 82.7 | 99.8 | 0.184 |
| Center Back | 5 | 96.4 ± 1.7 | 94.3 | 98.5 | ||
| Central Midfielder | 4 | 90.5 ± 3.7 | 84.6 | 96.4 | ||
| Full Back | 3 | 95.3 ± 1.5 | 91.5 | 99.1 | ||
| Striker | 2 | 94.0 ± 7.1 | 30.5 | 157.5 | ||
| Total distance (m) | Winger | 4 | 9579.0 ± 775.3 | 8345.3 | 10,812.7 | 0.408 |
| Center Back | 5 | 8867.2 ± 284.7 | 8513.7 | 9220.7 | ||
| Central Midfielder | 4 | 9448.0 ± 435.3 | 8755.4 | 10,140.6 | ||
| Full Back | 3 | 9554.3 ± 1012.3 | 7039.5 | 12,069.1 | ||
| Striker | 2 | 9148.0 ± 127.3 | 8004.4 | 10,291.6 | ||
| High-speed running distance (m) | Winger | 4 | 516.8 ± 94.3 | 366.7 | 666.8 | 0.016 |
| Center Back | 5 | 268.6 ± 58.4 * | 196.0 | 341.2 | ||
| Central Midfielder | 4 | 456.0 ± 85.2 | 320.4 | 591.6 | ||
| Full Back | 3 | 458.3 ± 122.3 | 154.4 | 762.3 | ||
| Striker | 2 | 479.5 ± 166.2 | −1013.5 | 1972.5 | ||
| Sprint distance (m) | Winger | 4 | 248.3 ± 68.3 | 139.5 | 357.0 | 0.004 |
| Center Back | 5 | 79.4 ± 51.3 * | 15.7 | 143.1 | ||
| Central Midfielder | 4 | 108.5 ± 49.4 * | 29.9 | 187.1 | ||
| Full Back | 3 | 134.0 ± 4.6 | 122.6 | 145.4 | ||
| Striker | 2 | 107.0 ± 60.8 * | −439.4 | 653.4 | ||
| Acceleration distance (m) | Winger | 4 | 88.3 ± 26.1 | 46.7 | 129.8 | 0.217 |
| Center Back | 5 | 57.8 ± 25.8 | 25.8 | 89.8 | ||
| Central Midfielder | 4 | 62.8 ± 15.2 | 38.6 | 86.9 | ||
| Full Back | 3 | 75.0 ± 14.1 | 40.0 | 110.0 | ||
| Striker | 2 | 91.5 ± 20.5 | −92.7 | 275.7 | ||
| Deceleration distance (m) | Winger | 4 | 50.0 ± 15.2 | 25.9 | 74.1 | 0.011 |
| Center Back | 5 | 24.0 ± 7.8 # | 14.3 | 33.7 | ||
| Central Midfielder | 4 | 39.0 ± 7.2 | 27.6 | 50.4 | ||
| Full Back | 3 | 47.7 ± 2.1 | 42.5 | 52.8 | ||
| Striker | 2 | 37.5 ± 9.2 | −45.1 | 120.1 | ||
| Total player load | Winger | 4 | 913.1 ± 25.5 | 872.5 | 953.7 | 0.530 |
| Center Back | 5 | 857.7 ± 95.5 | 739.2 | 976.2 | ||
| Central Midfielder | 4 | 940.3 ± 94.0 | 790.7 | 1089.8 | ||
| Full Back | 3 | 909.0 ± 49.8 | 785.3 | 1032.7 | ||
| Striker | 2 | 871.0 ± 24.0 | 655.0 | 1087.0 | ||
| Total distance for high metabolic power (m) | Winger | 4 | 2206.9 ± 336.2 | 1671.8 | 2741.9 | 0.026 |
| Center Back | 5 | 1612.9 ± 61.6 | 1536.4 | 1689.3 | ||
| Central Midfielder | 4 | 2203.5 ± 269.1 | 1775.3 | 2631.7 | ||
| Full Back | 3 | 2208.3 ± 411.6 | 1185.8 | 3230.8 | ||
| Striker | 2 | 1912.0 ± 322.4 | −985.0 | 4809.0 | ||
| 1. | 2. | 3. | 4. | 5. | 6. | 7. | 8. | 9. | 10. | ||
|---|---|---|---|---|---|---|---|---|---|---|---|
| 1. Total assist (count) | r | 1 | |||||||||
| p | |||||||||||
| 2. Total goal (count) | r | −0.090 | 1 | ||||||||
| p | 0.724 | ||||||||||
| 3. Total time (min) | r | −0.323 | −0.043 | 1 | |||||||
| p | 0.191 | 0.866 | |||||||||
| 4. Total distance (m) | r | 0.381 | 0.109 | 0.118 | 1 | ||||||
| p | 0.119 | 0.668 | 0.641 | ||||||||
| 5. Distance for 20–25 km/h (m) | r | 0.452 | 0.267 | −0.420 | 0.625 | 1 | |||||
| p | 0.060 | 0.284 | 0.083 | 0.006 | |||||||
| 6. Distance for >25 km/h (m) | r | 0.475 | 0.386 | −0.229 | 0.420 | 0.580 | 1 | ||||
| p | 0.046 | 0.113 | 0.361 | 0.083 | 0.012 | ||||||
| 7. Acceleration distance (m) | r | 0.122 | 0.573 | −0.157 | 0.239 | 0.656 | 0.668 | 1 | |||
| p | 0.631 | 0.013 | 0.534 | 0.340 | 0.003 | 0.002 | |||||
| 8. Deceleration distance (m) | r | 0.143 | 0.121 | −0.164 | 0.524 | 0.810 | 0.650 | 0.714 | 1 | ||
| p | 0.570 | 0.632 | 0.514 | 0.025 | <0.001 | 0.003 | <0.001 | ||||
| 9. Total player load | r | 0.463 | −0.177 | −0.325 | 0.638 | 0.614 | 0.332 | 0.056 | 0.390 | 1 | |
| p | 0.053 | 0.483 | 0.189 | 0.004 | 0.007 | 0.178 | 0.825 | 0.110 | |||
| 10. Distance for high metabolic power (m) | r | 0.400 | 0.034 | 0.008 | 0.321 | 0.446 | 0.289 | 0.599 | 0.596 | −0.268 | 1 |
| p | 0.100 | 0.893 | 0.976 | 0.194 | 0.064 | 0.244 | 0.009 | 0.009 | 0.283 |
Disclaimer/Publisher’s Note: The statements, opinions and data contained in all publications are solely those of the individual author(s) and contributor(s) and not of MDPI and/or the editor(s). MDPI and/or the editor(s) disclaim responsibility for any injury to people or property resulting from any ideas, methods, instructions or products referred to in the content. |
© 2025 by the authors. Licensee MDPI, Basel, Switzerland. This article is an open access article distributed under the terms and conditions of the Creative Commons Attribution (CC BY) license (https://creativecommons.org/licenses/by/4.0/).
Share and Cite
Coskun, B.; Torun, M.C. Evaluation of the Differences Between Home and Away Matches Depending on GPS Data from a Senior Professional Football Team in the Turkish Super League. Appl. Sci. 2025, 15, 11275. https://doi.org/10.3390/app152011275
Coskun B, Torun MC. Evaluation of the Differences Between Home and Away Matches Depending on GPS Data from a Senior Professional Football Team in the Turkish Super League. Applied Sciences. 2025; 15(20):11275. https://doi.org/10.3390/app152011275
Chicago/Turabian StyleCoskun, Betul, and Mustafa Cebel Torun. 2025. "Evaluation of the Differences Between Home and Away Matches Depending on GPS Data from a Senior Professional Football Team in the Turkish Super League" Applied Sciences 15, no. 20: 11275. https://doi.org/10.3390/app152011275
APA StyleCoskun, B., & Torun, M. C. (2025). Evaluation of the Differences Between Home and Away Matches Depending on GPS Data from a Senior Professional Football Team in the Turkish Super League. Applied Sciences, 15(20), 11275. https://doi.org/10.3390/app152011275

