Study on the Impact Coefficient of Tied Arch Bridge Shock Effect Based on Vehicle-Bridge Coupling
Abstract
1. Introduction
2. Case Study: Bridge Description and Experimental Configuration
2.1. Bridge Description
2.2. Overview of Testing Equipment
- (1)
- JM3839G: 4 measurement points per unit; a sampling frequency of 1 kHz per channel; and a measurement error of ±0.2% FS ± 1 με.
- (2)
- JM3872G: 2 channels (one built-in velocity pickup and one external voltage channel); a maximum sampling rate of 1024 Hz per channel with multiple selectable ranges; and an accuracy of ±3%.
2.3. Flexible Railway Track Model
3. Model Validation
3.1. Bridge Model Validation
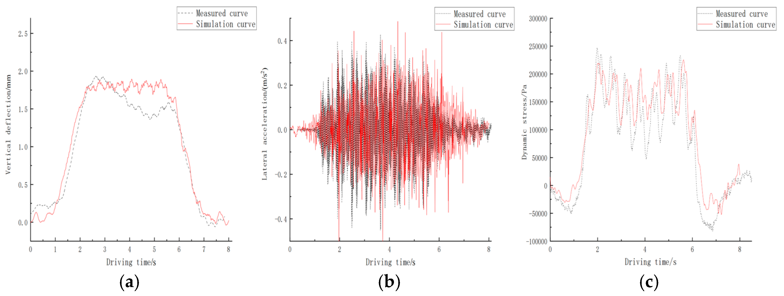
3.2. Vehicle-Bridge Coupled Vibration Model Validation
4. Bridge Dynamic Response
4.1. Driving Speed
4.2. Track Gauge
5. Conclusions
- (1)
- The reliability of dynamic response calculations for bridges was rigorously validated through integrated numerical–experimental verification. A vehicle–bridge coupled vibration system established via ANSYS-SIMPACK co-simulation demonstrates high accuracy in predicting structural dynamics. Based on field dynamic load testing and numerical validation, the ANSYS–SIMPACK co-simulation model for train–bridge coupled vibrations reliably reproduces the key dynamic responses of the in-service bridge under train loading—namely, midspan deflection, vertical acceleration, and dynamic stress—with relative errors kept within engineeringly acceptable limits. This workflow provides a reusable simulation paradigm for dynamic performance evaluation, parameter sensitivity analysis, and design verification of similar concrete-filled steel tube tied-arch bridges.
- (2)
- Stress impact coefficients of suspender cables in tied arch bridges exhibit wave-like incremental patterns with increasing train speed, accompanied by distinct critical velocity thresholds where impact effects intensify. The hanger stress impact factor exhibits an undulating upward trend with increasing train speed, and a critical speed range with pronounced dynamic amplification is observed. For the bridge type and parameters considered herein, the range of 180–200 km/h approaches the bridge’s low-order natural frequencies, within which the stress impact factors of the hangers and arch springings attain their peaks; the midspan deflection impact is simultaneously amplified, posing a potential risk of train–bridge resonance. This phenomenon, in a general sense, reflects a velocity-mode proximity-driven mechanism of dynamic amplification and is of reference value for long-span arch bridges more broadly.
- (3)
- This study shows that for the 128 m concrete-filled steel tube tied-arch bridge, when a CRH2 train travels at approximately 180–200 km/h, the dominant excitation from the vehicle–track–bridge interaction approaches the bridge’s low-order natural frequencies, creating a condition of velocity-mode proximity. Under this condition, the stress impact factors of hangers and arch springings peak, and the midspan deflection impact is simultaneously amplified; limited structural damping cannot fully suppress this effect, implying a risk of train–bridge resonance. The response is more pronounced in short and far-side hangers, reflecting the combined influence of eccentric loading and local stiffness disparities. These findings inform dynamic assessment and design verification for the present bridge type and provide guidance on speed planning, vibration mitigation, and operational safety for similar long-span arch bridges.
- (4)
- Limitations and future work: The findings are based on a 128 m CFST tied-arch bridge with a CRH2 train under specific track spectra and operational conditions, thus limited by bridge/train parameters, track spectra, and damping assumptions. Future work should: assess various track irregularity levels/spectra on velocity-mode proximity and impact factors; extend to multiple train types/formations and operational scenarios (crossing, braking/traction); perform sensitivity and scaling studies on span, rise-to-span ratio, and hanger layout/stiffness to build parametric design maps; and calibrate damping/boundary conditions with long-term SHM and multi-bridge tests, refining asymmetric impact factor provisions.
Author Contributions
Funding
Institutional Review Board Statement
Informed Consent Statement
Data Availability Statement
Conflicts of Interest
References
- Zhao, L.; Wang, Q.; Wang, G. Vehicle-bridge coupling vibration analysis of long-span arch bridge under the action of traffic flow. J. Railw. Sci. Eng. 2022, 19, 1004–1013. [Google Scholar]
- Yao, D.; Deng, N. Vehicle-bridge coupling vibration analysis of long-span concrete-filled steel tubular arch bridge. J. Railw. Sci. Eng. 2022, 19, 3693–3704. [Google Scholar]
- Qin, S.; Feng, J.; Tang, J.; Huo, X.J. Experimental study on dynamic characteristics of long-span railway continuous rigid frame-CFST arch bridge. J. Railw. Sci. Eng. 2021, 18, 3247–3256. [Google Scholar]
- Chen, L.; Shao, C.; Tang, H.; Wang, W.; Lu, H. Design of a 420 m Span Network Hanger Tied Arch Bridge for Jinan Qilu Yellow River Bridge. Bridge Constr. 2022, 52, 113–120. [Google Scholar]
- Wang, Q.; Wang, C.; He, Y.; Wu, F.Y.; Li, Y.F. Research on Static Performance of Through-Type Dumbbell-Shaped Concrete-Filled Steel Tube Tied Arch Bridge. J. Shenyang Jianzhu Univ. Nat. Sci. Ed. 2022, 38, 496–503. [Google Scholar]
- Yang, Y.; Shen, Q. Static and Dynamic Load Tests and Structural Performance Study on the Continuous Steel Truss Girder Flexible Arch Composite Bridge of the Rongjiang Grand Bridge on the Xiamen-Shenzhen Railway. J. Railw. Sci. Eng. 2014, 11, 19–25. [Google Scholar]
- Liu, J.; Chen, B.; Li, C.; Zhang, M.J.; Mou, T.; Tabatabai, H. Recent application of and research on concrete arch bridges in China. Struct. Eng. Int. 2022, 33, 394–398. [Google Scholar] [CrossRef]
- Shao, Y.; Sun, Z.; Chen, Y. Analysis of the impact effect of the suspender system in a half-through concrete filled steel tubular arch bridge. Appl. Mech. Mater. 2014, 477, 705–709. [Google Scholar] [CrossRef]
- Barton, S.C.; Vermaas, G.W.; Duby, P.F.; West, A.C.; Betti, R. Accelerated corrosion and embrittlement of high-strength bridge wire. J. Mater. Civ. Eng. 2000, 12, 33–38. [Google Scholar] [CrossRef]
- Li, Y.; Xiang, H.; Zang, Y.; Qiang, S.Z. Study on wind-vehicle-bridge coupling vibration during the process of two vehicles passing each other. China Civ. Eng. J. 2011, 44, 73–78. [Google Scholar]
- Shen, H.; Chen, X.; Lu, K.; Huang, H. A New Vehicle-Bridge Coupling Analysis Method Based on Model Polycondensation. Ksce J. Civ. Eng. 2021, 25, 245–255. [Google Scholar] [CrossRef]
- Huang, D. Dynamic and impact behavior of half-through arch bridges. J. Bridge Eng. 2005, 10, 133–141. [Google Scholar] [CrossRef]
- Yang, J.; Li, J.; Shen, J. Numerical investigation of concrete-filled steel tubular tied-arch bridge under travelling vehicles. J. Beijing Univ. Technol. 2012, 38, 847–853. [Google Scholar]
- Lin, P.; Hou, S.; Wang, Y. Impact coefficients of continuous rigid-arch combination bridges for high-speed railroads. China Railw. Sci. 2023, 44, 73–80. [Google Scholar]
- Lin, P.; Wang, Y. Impact factor calculation of railway concrete-filled steel tubular tied-arch bridges based on vehicle-bridge coupling vibration analysis. Vib. Shock 2021, 40, 115–120. [Google Scholar]
- Zhu, Z.; Wang, L.; Gong, W.; Yu, Z.W.; Cai, C.B. Comparative analysis of several types of vertical wheel/rail relationship and construction of an improved iteration model for train−track−bridge system. J. Cent. South Univ. (Nat. Sci. Ed.) 2017, 48, 1585–1593. [Google Scholar]
- Zhu, Z.; Zhao, T.; Wang, L.; Xu, H.Q.; Yu, Z.W. Study on stress impact coefficient of heavy-duty railroad arch bridge shock effect based on random vibration model. J. Vib. Eng. 2017, 30, 955–964. [Google Scholar]
- Malm, R.; Andersson, A. Field testing and simulation of dynamic properties of a tied arch railway bridge. Eng. Struct. 2006, 28, 143–152. [Google Scholar] [CrossRef]
- Yang, S.C.; Hwang, S.H. Train-track-bridge interaction by coupling direct stiffness method and mode superposition method. J. Bridge Eng. 2016, 21, 04016058. [Google Scholar] [CrossRef]
- Gou, H.; Zhou, W.; Yang, C.; Bao, Y.; Pu, Q. Dynamic response of a long-span concrete-filled steel tube tied arch bridge and the riding comfort of monorail trains. Appl. Sci. 2018, 8, 650. [Google Scholar] [CrossRef]
- Matsuura, A. A study of dynamic behavior of bridge girder for high speed railway. Proc. Jpn. Soc. Civ. Eng. 1976, 1976, 35–47. [Google Scholar] [CrossRef] [PubMed]
- Chu, K.-H.; Garg, V.K.; Bhatti, M.H. Impact in truss bridge due to freight trains. J. Eng. Mech. 1985, 111, 159–174. [Google Scholar] [CrossRef]
- Han, Z.; Zhao, B.; Li, Y. Dynamic Response Analysis of Long-Span Bridges under Moving Loads Considering the Impact Coefficient. Buildings 2023, 13, 2389. [Google Scholar] [CrossRef]
- Cao, H.; Li, Y.; Wu, K.; Qian, X.; Zheng, Q. Analysis of Vehicle-Bridge Coupling Vibration and Impact Coefficient on Long-Span Beam Bridge. Appl. Sci. 2024, 14, 2021. [Google Scholar] [CrossRef]
- Luo, H.; Zhong, Y.; Ren, W. The Train-Bridge Coupled Vibration Analysis of a Long Railway Bridge Considering Vehicle-Bridge Interaction. Appl. Sci. 2022, 12, 11838. [Google Scholar] [CrossRef]
- Yang, C.; Li, Q.; Feng, W.; Liu, Q.M. Static properties comparison of steel-concrete composite beams being equivalent as stiffness. Sichuan Constr. Sci. Res. 2012, 38, 37–39. [Google Scholar]
- Yu, Z.; Liu, H. Vibration performance and comfort evaluation of Xunjiang cable-stayed bridges under combined action of wind-vehicle-pedestrian loadings. J. Railw. Sci. Eng. 2023, 20, 1425–1432. [Google Scholar]
- Cui, S.; Liu, P.; Cao, Y.; Su, J.; Zhu, B. Simulation study on multiline vehicle-bridge coupled vibration. J. Southwest Jiaotong Univ. 2017, 52, 835–843. [Google Scholar]
- Zhu, W.; Qi, T.; Jia, L. Dynamic performance analysis of vehicle-bridge system for a cable-stayed bridge with steel truss girder based on SIMPACK. Railw. Stand. Des. 2014, 58, 89–94. [Google Scholar]
- Yan, W.; Fischer, F.D. Applicability of the Hertz contact theory to rail-wheel contact problems. Arch. Appl. Mech. 2000, 70, 255–268. [Google Scholar] [CrossRef]
- Chen, G.; Zhai, W.; Zuo, H. Comparing track irregularities PSD of Chinese main lines with foreign typical lines by numerical simulation computation. J. Railw. 2001, 23, 82–87. [Google Scholar]
- TB10002.2-2005; Ministry of Railways of the People’s Republic of China. Code for the Design of Railroad Bridge Steel Structures. China Railway Publishing House: Beijing, China, 2005.
- Guo, F.; Cai, H.; Li, H. Impact coefficient analysis on long-span beam bridge. J. Vibroeng. 2021, 23, 436–448. [Google Scholar] [CrossRef]














| Component | Elastic Modulus (Mpa) | Poisson’s Ratio | Density (kg/m3) | Dimension (mm) | |||
|---|---|---|---|---|---|---|---|
| Rail Height | Base Width | Head Width | Rail Web Thickness | ||||
| CHN60 rail section | 2.06 × 105 MPa | 0.3 | 7830 kg/m3 | 176 | 150 | 73 | 16.5 |
| Frequency Order | Main Characteristics of the Vibration Mode | Simulation Calculation Value/Hz | Measured Value/Hz | Percentage Difference |
|---|---|---|---|---|
| 1 | Transverse axial symmetry | 0.84 | 0.859 | 2.2% |
| 2 | Vertical antisymmetry | 1.436 | 1.438 | 0.14% |
| 3 | First-order torsional mode | 1.807 | 1.875 | 3.6% |
| Speed (km/h) | Component Number | |||||||||
|---|---|---|---|---|---|---|---|---|---|---|
| 1# | 1## | 2# | 2## | 6# | 6## | 7# | 7## | A# | A## | |
| 80 | 0.022 | 0.082 | 0.035 | 0.066 | 0.046 | 0.081 | 0.022 | 0.057 | 0.023 | 0.029 |
| 100 | 0.076 | 0.188 | 0.078 | 0.133 | 0.073 | 0.098 | 0.055 | 0.091 | 0.069 | 0.090 |
| 120 | 0.037 | 0.154 | 0.081 | 0.109 | 0.067 | 0.113 | 0.057 | 0.094 | 0.062 | 0.062 |
| 152 | 0.185 | 0.307 | 0.117 | 0.187 | 0.048 | 0.078 | 0.031 | 0.060 | 0.105 | 0.114 |
| 190 | 0.189 | 0.468 | 0.215 | 0.351 | 0.259 | 0.316 | 0.161 | 0.240 | 0.230 | 0.289 |
| 220 | 0.142 | 0.390 | 0.121 | 0.246 | 0.144 | 0.229 | 0.131 | 0.239 | 0.184 | 0.197 |
| 240 | 0.209 | 0.423 | 0.096 | 0.225 | 0.132 | 0.178 | 0.129 | 0.172 | 0.190 | 0.199 |
| 270 | 0.251 | 0.517 | 0.159 | 0.302 | 0.123 | 0.187 | 0.124 | 0.204 | 0.209 | 0.214 |
| Parameters | Quality/kg | Vehicle Body Rotational Inertia/(kg·m2) | Spacing/m | |||||
|---|---|---|---|---|---|---|---|---|
| Vehicle Body | Bogie | Wheel Pair | Roll Sideways | Pitch | Yaw | Bogie | Wheel Pair | |
| Bullet train | 36,630 | 2547 | 1784 | 118,000 | 1,775,000 | 1,670,000 | 17.5 | 2.5 |
| Trailer | 31,600 | 2300 | 1700 | 102,000 | 1,570,000 | 1,430,000 | 17.5 | 2.5 |
Disclaimer/Publisher’s Note: The statements, opinions and data contained in all publications are solely those of the individual author(s) and contributor(s) and not of MDPI and/or the editor(s). MDPI and/or the editor(s) disclaim responsibility for any injury to people or property resulting from any ideas, methods, instructions or products referred to in the content. |
© 2025 by the authors. Licensee MDPI, Basel, Switzerland. This article is an open access article distributed under the terms and conditions of the Creative Commons Attribution (CC BY) license (https://creativecommons.org/licenses/by/4.0/).
Share and Cite
Peng, Y.; Gan, H.; Tang, Z.; Zhou, N.; Wang, B. Study on the Impact Coefficient of Tied Arch Bridge Shock Effect Based on Vehicle-Bridge Coupling. Appl. Sci. 2025, 15, 11258. https://doi.org/10.3390/app152011258
Peng Y, Gan H, Tang Z, Zhou N, Wang B. Study on the Impact Coefficient of Tied Arch Bridge Shock Effect Based on Vehicle-Bridge Coupling. Applied Sciences. 2025; 15(20):11258. https://doi.org/10.3390/app152011258
Chicago/Turabian StylePeng, Yipu, Hongjun Gan, Zhiyuan Tang, Ning Zhou, and Bin Wang. 2025. "Study on the Impact Coefficient of Tied Arch Bridge Shock Effect Based on Vehicle-Bridge Coupling" Applied Sciences 15, no. 20: 11258. https://doi.org/10.3390/app152011258
APA StylePeng, Y., Gan, H., Tang, Z., Zhou, N., & Wang, B. (2025). Study on the Impact Coefficient of Tied Arch Bridge Shock Effect Based on Vehicle-Bridge Coupling. Applied Sciences, 15(20), 11258. https://doi.org/10.3390/app152011258

