Next Article in Journal
Shock Absorption Control of Sand-Layer Isolation Liquid Storage Structure with Soft Steel
Previous Article in Journal
Lapatinib-Based Radioagents for Application in Nuclear Medicine
 
 
Font Type:
Arial Georgia Verdana
Font Size:
Aa Aa Aa
Line Spacing:
Column Width:
Background:
Article

Performance Characteristics of Intelligent Reflecting Surface-Assisted Non-Lambertian Visible Light Communications for 6G and Beyond Internet of Things

1
College of Technology and Data, Yantai Nanshan University, Yantai 265713, China
2
Key Laboratory of Signal Detection and Processing in Xinjiang Uygur Autonomous Region, School of Computer Science and Technology (School of Cyberspace Security), Xinjiang University, Urumqi 830046, China
3
Green Communication Research Center, China Mobile Research Institute, Beijing 100053, China
4
Department of Electronic Engineering, Beijing National Research Center for Information Science and Technology, Tsinghua University, Beijing 100084, China
*
Author to whom correspondence should be addressed.
Appl. Sci. 2025, 15(20), 10965; https://doi.org/10.3390/app152010965
Submission received: 28 August 2025 / Revised: 23 September 2025 / Accepted: 28 September 2025 / Published: 13 October 2025

Abstract

Thanks to the inherent advantages, including being green, broadband, and high security, visible light communication (VLC), as one powerful enabling technology for 6G and beyond the Internet of Things (IoT), has received ever-increasing discussion and attention. In order to improve the quality of VLC links and extend their coverage, various intelligent reflecting surfaces (IRSs) have been massively discussed and optimized into the VLC field. Apparently, the current research works are merely limited to the investigation of well-known Lambertian source-based, IRS-assisted VLC. Consequently, there is a lack of targeted analysis and evaluation of the diversity of beam configurations for light-emitting diodes (LEDs) and the potential non-Lambertian IRS-assisted VLC links. To fill the above research gap of this VLC branch, this article focuses on introducing the innovative LED non-Lambertian beams into typical IRS-assisted VLC systems to construct novel IRS-assisted non-Lambertian VLC links. The investigation results indicate that compared to the baseline Lambertian IRS-assisted VLC scheme, the proposed representative non-Lambertian IRS-assisted VLC schemes could provide up to 22.22 dB and 14.08 dB signal-to-noise ratio gains for side and corner receiver positions, respectively. Moreover, this article quantitatively evaluates the impact of the initial azimuth angle (i.e., beam azimuth orientation) of asymmetric non-Lambertian optical beams on the performance of IRS-assisted VLC and the relevant fundamental characteristics.

1. Introduction

Visible light communication (VLC) is becoming one key enabling technique for future 6G and beyond the Internet of Things (IoT), considering the potential electromagnetic disturbance and security issues of the well-discussed radio frequency (RF)-based paradigm [1,2,3]. Objectively, VLC could offer impressive advantages, including but not limited to compact size, low cost, anti-electromagnetic interference, unregulated and abundant optical spectrum bandwidth, availability of ubiquitous LED infrastructure, and high security for confidential information [4,5,6].
So far, due to the inherent directivity of VLC signal propagation, the limited mobility support and the unsatisfying link robustness are regarded as fatal issues that objectively hamper the development and commercialization of VLC. To enhance VLC performance, various intelligent reflecting surface (IRS) techniques are leveraged to improve VLC designs [7,8,9,10]. Particularly, the authors in [7] investigated an energy-efficient maximization design for the IRS-assisted VLC downlink. Moreover, under the point source assumption, the authors in [8] discussed both line-of-sight and non-line-of-sight channel gains in IRS-aided VLC systems. Furthermore, by utilizing multiple LED-based access points, the authors in [9] investigated the performance of an IRS-aided indoor VLC system to serve multiple users. In addition, the work in [10] proposed the use of IRSs to tackle the line-of-sight (LOS) blockage problem in one indoor VLC system.
Apparently, these IRS-aided VLC studies usually assume that the involved LED emitters follow the simple Lambertian beam [11], which actually ignores the amazing design’s degree of freedom and the potential beam diversity in the developing IRS-aided VLC domain. Actually, thanks to international manufacturers in the LED source domain, many distinct LED non-Lambertian beams have been elaborately designed and produced to provide diverse LED-based city infrastructures [12,13]. Moreover, these LED non-Lambertian beams have been consistently introduced and investigated in many developing VLC branches [14,15,16,17], including but not limited to secure VLC links [14], multiple-input–multiple-output VLC [15], vehicular VLC [16], and VLC multiscale simulation [17].
However, up to now, to the best of our knowledge, the distinctive and emerging LED non-Lambertian beam applications and the relevant performance metrics are still awaiting detailed investigation and numerical analysis in the mentioned research branch, i.e., IRS-assisted VLC. Motivated by the above research gaps, in this study, the typical non-Lambertian beams are utilized to construct the IRS-assisted VLC links for indoor wireless networks. Moreover, this work is capable of providing one novel and valuable optimization degree of freedom for the future-oriented IRS-assisted VLC technology. The main contribution and novelty of this article can be summarized as follows: (1) the novel non-Lambertian LED sources and distinct non-Lambertian light beams are introduced in the domain of intelligent reflecting surface-assisted non-Lambertian visible light communications in typical indoor environment; (2) the fundamental system models of the involved intelligent reflecting surface-assisted non-Lambertian visible light communications with distinct light beam patterns are presented in detail; and (3) the numerical performance comparisons and the fundamental performance gain provided by the representative intelligent reflecting surface-assisted non-Lambertian visible light communications are presented and analyzed for the first time, to the best of our knowledge.
The remainder of this work is organized as follows: the Lambertian LED beam-based, IRS-assisted VLC design is presented in Section 2. And the representative non-Lambertian LED beam-based, IRS-assisted VLC designs are investigated in Section 3. The numerical evaluation and discussion are presented in Section 4. Finally, Section 5 concludes this paper.

2. Lambertian Spatial Optical Beam-Based, IRS-Assisted Visible Light Communications

2.1. Lambertian Spatial Optical Beams

In conventional IRS-assisted VLC link analysis, the LED emitters are usually viewed as Lambertian sources. And the relevant Lambertian radiation intensity can be given as [11,18]:
R Lam ϕ = m Lam + 1 2 π cos ϕ m Lam
where ϕ is the irradiance angle from the optical source, and m Lam is the Lambertian index. And it can be given by:
m Lam = l log 2 cos Φ 1 / 2
where Φ 1 / 2 denotes the LED emission semi-angle. Without loss of generality, the Lambertian index is set as 1 in this work. Accordingly, the IRS-assisted VLC scenario with a 3D Lambertian emission pattern is illustrated in Figure 1.

2.2. Lambertian Spatial Optical Beam-Based, IRS-Assisted VLC Channel Gain

In this considered IRS-assisted VLC, a scenario with one Lambertian optical source and one IRS is illustrated as well. Generally, once the LED emission matches the Lambertian light beam, the line-of-sight (LoS) channel gain between the Lambertian source and the optical receiver can be given as [11,18]:
h PD , Lam LoS = A d PD , LED 2 R Lam ϕ PD , LED × T s θ PD , LED G c θ PD , LED cos θ PD , LED ,       0 θ PD , LED θ FOV                                     0 ,                                                                             θ PD , LED > θ FOV = A m Lam + 1 2 π d PD , LED 2 cos ϕ PD , LED m Lam × T s θ PD , LED g θ PD , LED cos θ PD , LED ,       0 θ PD , LED θ FOV                                     0 ,                                                                             θ PD , LED > θ FOV
where A is the detection area of receiver; d PD , LED is the distance between the Lambertian source and the photodiode (PD) optical receiver; ϕ PD , LED is the irradiance angle from the optical source to the PD optical receiver; θ PD , LED is the incident angle to the PD receiver from the optical source; θ FOV denotes the receiver field of view (FOV); T s θ PD , LED denotes the gain of the optical filter; and g θ PD , LED denotes the gain of the optical concentrator, given by [11,18]:
G c θ = ς 2 sin 2 θ FOV ,                   0 θ θ FOV     0 ,                                                           otherwise
From analytical geometry, the irradiance and incidence angles can be calculated as:
cos ϕ PD , LED = d PD , LED n LED d PD , LED
cos θ PD , LED = - d PD , LED n PD d PD , LED
where the symbols       ·       and · are the Euclidean norm operators and the inner product, respectively, and n PD and n LED denote the normal vectors at the receiver and the LED planes, respectively.
In the studied Lambertian spatial optical beam-based, IRS-assisted VLC, the reflections include diffuse reflection components and specular reflection components, while the diffuse reflection components can be ignored, since compared to the specular reflection, its effect is of a much lower level. In the IRS-reflected path, the LED-IRS path and IRS–user path are considered. Following Snell’s reflection law, this IRS-reflected VLC path should be viewed as one LoS VLC path between the mirroring LED with the Lambertian radiation beam and the user. Based on this, the IRS-reflected channel gain through the n-th reflecting element (RE) is given as [18]:
h PD , n , Lam Ref = δ A d n , LED + d PD , n 2 R Lam ϕ n , LED × T s θ PD , n G c θ PD , n cos θ PD , n ,       0 θ PD , n θ FOV                     0 ,                                                                                         θ PD , n > θ FOV = δ A m Lam + 1 2 π d n , LED + d PD , n 2 cos ϕ n , LED m Lam × T s θ PD , n G c θ PD , n cos θ PD , n ,       0 θ PD , n θ FOV                     0 ,                                                                                         θ PD , n > θ FOV
where δ is the mirror reflection efficiency of RE; d n , LED is the distance between the Lambertian source and the n-th RE; d PD , n is the distance between the n-th RE and the PD receiver; ϕ n , LED is the irradiance angle from the optical source to the n-th RE; and θ PD , n is the incident angle to the PD receiver from the n-th RE, which can be calculated as:
cos ϕ n , LED = d n , LED n LED d n , LED
cos θ PD , n = - d PD , n n PD d PD , n
Accordingly, the non-line-of-sight (NLoS) channel gain vector can be given as:
h ˜ PD , Lam = h PD , 1 , Lam Ref , h PD , 2 , Lam Ref , , h PD , N , Lam Ref T
Furthermore, because each RE could serve the user at one time, the binary IRS allocation vector is defined and given as:
g PD = g PD , 1 , , g PD , 2 , , , g PD , N T
such that g PD , n , = 1 of the nth RE is serving the user, and g PD , n , = 0 otherwise.
As a result, the received signals for the Lambertian beam case can be expressed as:
y PD , Lam = ρ h PD , Lam LoS + h ˜ PD , Lam T g PD P LED x + z PD
where ρ is the PD responsivity; PLED is the emitted optical power of LED source; x donates the information signal; and z PD is the PD receiver noise, which can be modeled as additive white Gaussian noise (AWGN).

2.3. Lambertian Spatial Optical Beam-Based, IRS-Assisted VLC Performance Metrics

For IRS-assisted Lambertian VLC, the corresponding signal-to-noise ratio (SNR) can be written as [18]:
γ PD , Lam = ρ 2 P LED 2 h PD , Lam LoS + h ˜ PD , Lam T g PD 2 σ PD 2
where σ PD 2 is the AWGN variance at the optical receiver. Due to the distinct features of the illumination constraints as well as the optical channel, the tight lower bound is widely adopted to calculate the achievable data rates of IRS-assisted Lambertian VLC as follows [18]:
R PD , Lam = 1 2 W log 2 1 + e 2 π γ PD , Lam
where W denotes the modulation bandwidth of the VLC system.

3. Non-Lambertian Spatial Optical Beam-Based, IRS-Assisted Visible Light Communications

3.1. Non-Lambertian Spatial Optical Beams

According to the popular work of commercially available LED measurement and modeling in [12], the spatial radiation intensity of a Z-Power LED optical beam also conforms to rotational symmetry. And the spatial radiation intensity of a Z-Power LED beam can be given by the following equation [12]:
R Z - Power ϕ = k = 1 K g 1 k Z - Power exp [ ln 2 ( ϕ g 2 k Z - Power g 3 k Z - Power ) 2 ]
where K = 3 is the number of Gaussian functions. Specifically, the values of coefficients in this expression are g 11 Z - Power = 0.542, g 21 Z - Power = 22.75°, g 31 Z - Power = 49.96°, g 12 Z - Power = 0.573, g 22 Z - Power = 77.84°, g 32 Z - Power = 23.7°, g 13 Z - Power = 0.279, g 23 Z - Power = 86.67°, and g 33 Z - Power = 8.43° [12]. And the respective baseline Z-Power 3D radiation pattern and the respective application scenario of IRS-assisted Z-Power non-Lambertian VLC are shown in Figure 2. In this figure, one typical IRS-assisted non-Lambertian VLC scenario with one Z-Power non-Lambertian optical source is illustrated as well.
Furthermore, when an asymmetric NSPW beam is adopted to construct the IRS-assisted VLC link, the respective radiation intensity should be given by [12]:
R NSPW ( ϕ , α ) = m = 1 2 g 1 m NSPW exp In 2 ( ϕ g 2 m NSPW ) 2 cos 2 α ( g 3 m NSPW ) 2 + sin 2 α ( g 4 m NSPW ) 2
where α denotes the azimuth angle from the LED optical source and the PD receiver; the coefficient values of Gaussian functions are given as g 11 NSPW = 0.13, g 21 NSPW = 45°, g 31 NSPW = g 41 NSPW = 18°, g 12 NSPW = 1, g 22 NSPW = 0, g 32 NSPW = 38°, and g 42 NSPW = 22° [12]. Similarly, the respective baseline NSPW 3D radiation pattern and the respective application scenario of IRS-assisted NSPW non-Lambertian VLC are shown in Figure 3. In this figure, one typical IRS-assisted non-Lambertian VLC scenario with one NSPW non-Lambertian optical source is illustrated as well.

3.2. Non-Lambertian Spatial Optical Beam-Based, IRS-Assisted VLC Channel Gain

In this considered IRS-assisted VLC, a scenario with one Z-Power non-Lambertian optical source and one IRS is illustrated as well. When the LED emission matches the Z-Power non-Lambertian beam, by referring to (3), the line-of-sight (LoS) channel gain between the non-Lambertian source and the optical receiver can be given as:
h PD , Z - Power LoS = A P normZ - Power d PD , LED 2 R Z - Power ϕ PD , LED × T s θ PD , LED G c θ PD , LED cos θ PD , LED ,       0 θ PD , LED θ FOV                   0 ,                                                                                                                       θ PD , LED > θ FOV = A P normZ - Power d PD , LED 2 k = 1 K g 1 k Z - Power exp [ ln 2 ( ϕ PD , LED g 2 k Z - Power g 3 k Z - Power ) 2 ] × T s θ PD , LED g θ PD , LED cos θ PD , LED ,       0 θ PD , LED θ FOV                           0 ,                                                                                                                   θ PD , LED > θ FOV
where ϕ PD , LED is the irradiance angle from the optical source to the PD optical receiver, and θ PD , LED is the incident angle to the PD receiver from the optical source. Based on Snell’s law of reflection and by referring to (7), the respective IRS-reflected channel gain through the n-th RE is given as:
h PD , n , Z - Power Ref = δ A P normZ - Power d n , LED + d PD , n 2 R Z - Power ϕ n , LED × T s θ PD , n G c θ PD , n cos θ PD , n ,       0 θ PD , n θ FOV                   0 ,                                                                                                 θ PD , n > θ FOV = δ A P normZ - Power d n , LED + d PD , n 2 k = 1 K g 1 k Z - Power exp [ ln 2 ( ϕ n , LED g 2 k Z - Power g 3 k Z - Power ) 2 ] × T s θ PD , n G c θ PD , n cos θ PD , n ,       0 θ PD , n θ FOV                                                     0 ,                                                                                           θ PD , n > θ FOV
where P normZ - Power is the normalization factor of the Z-Power beam power; δ is the mirror reflection efficiency of RE; and d n , LED is the distance between the Lambertian source and the n-th RE. Accordingly, the NLoS channel gain vector for IRS-assisted VLC based on a non-Lambertian Z-Power beam can be given as:
h ˜ PD , Z - Power = h PD , 1 , Z - Power Ref , h PD , 2 , Z - Power Ref , , h PD , N , Z - Power Ref T
As a result, the relevant received signals for the Z-Power beam case can be expressed as:
y PD , Z - Power = ρ h PD , Z - Power LoS + h ˜ PD , Z - Power g PD P LED x + z PD
where ρ is the PD responsivity, and PLED is the emitted optical power of LED source.
In this considered IRS-assisted VLC, a scenario with one NSPW non-Lambertian optical source and one IRS is illustrated as well. By referring to (3), once the LED source emission matches the NSPW beam, the LoS channel gain between the optical receiver and the non-Lambertian source should be given as:
h PD , NSPW LoS = A P normNSPW d PD , LED 2 R NSPW ϕ PD , LED × T s θ PD , LED G c θ PD , LED cos θ PD , LED ,       0 θ PD , LED θ FOV                   0 ,                                                                                                                       θ PD , LED > θ FOV   = A P normNSPW d PD , LED 2 i = 1 2 g 1 i exp In 2 ( ϕ PD , LED g 2 i ) 2 cos 2 α PD , LED ( g 3 i ) 2 + sin 2 α PD , LED ( g 4 i ) 2 × T s θ PD , LED g θ PD , LED cos θ PD , LED ,                                                   0 θ PD , LED θ FOV                                                               0 ,                                                                                                                                       θ PD , LED > θ FOV
where ϕ PD , LED denotes the irradiance angle; P normNSPW is the power normalization factor of the NSPW beam; and θ PD , LED is the incident angle to the PD receiver from the optical source. Based on Snell’s law of reflection and by referring to (7), the respective IRS-reflected channel gain through the n-th RE is given as:
h PD , n , NSPW Ref = δ A P normNSPW d n , LED + d PD , n 2 R NSPW ϕ n , LED × T s θ PD , n G c θ PD , n cos θ PD , n ,       0 θ PD , n θ FOV                     0 ,                                                                                               θ PD , n > θ FOV   = δ A P normNSPW d n , LED + d PD , n 2 i = 1 2 g 1 i exp In 2 ( ϕ n , LED g 2 i ) 2 cos 2 α n , LED ( g 3 i ) 2 + sin 2 α n , LED ( g 4 i ) 2 × T s θ PD , n G c θ PD , n cos θ PD , n ,       0 θ PD , n θ FOV                                                                                               0 ,                                                                                           θ PD , n > θ FOV
where δ is the mirror reflection efficiency of RE, and d n , LED is the distance between the Lambertian source and the n-th RE. Accordingly, the NLoS channel gain vector for IRS-assisted VLC based on a non-Lambertian NSPW beam can be given as:
h ˜ PD , NSPW = h PD , 1 , NSPW Ref , h PD , 2 , NSPW Ref , , h PD , N , NSPW Ref T
As a result, the relevant received signals for the NSPW beam case can be expressed as:
y PD , NSPW = ρ h PD , NSPW LoS + h ˜ PD , NSPW g PD P LED x + z PD
where ρ is the PD responsivity, and PLED is the emitted optical power of LED source.

3.3. Non-Lambertian Spatial Optical Beam-Based, IRS-Assisted VLC Performance Metrics

For IRS-assisted Z-Power non-Lambertian VLC, the corresponding SNR can be written as:
γ PD , Z - Power = ρ 2 P LED 2 h PD , Z - Power LoS + h ˜ PD , Z - Power g PD 2 σ PD 2
where σ PD 2 is the AWGN variance at the optical receiver. Hence, the tight lower bound is utilized to calculate the achievable data rates of IRS-assisted Z-Power non-Lambertian VLC as follows:
R PD , Z - Power = 1 2 W   log 2 1 + e 2 π γ PD , Z - Power
where W denotes the modulation bandwidth of the VLC system.
For IRS-assisted NSPW non-Lambertian VLC, the corresponding SNR can be written as:
γ PD , NSPW = ρ 2 P LED 2 h PD , NSPW LoS + h ˜ PD , NSPW g PD 2 σ PD 2
where σ PD 2 is the AWGN variance at the optical receiver. Hence, the tight lower bound is utilized to calculate the achievable data rates of IRS-assisted NSPW non-Lambertian VLC as follows:
R PD , NSPW = 1 2 W   log 2 1 + e 2 π γ PD , NSPW
where W denotes the modulation bandwidth of the VLC system.

4. Numerical Results and Discussion

In this section, to maintain consistency with the scenarios shown in Figure 1, Figure 2 and Figure 3, a typical indoor scenario is inherited to investigate the LED beam’s effects on the performance of IRS-assisted VLC, except for the involved LED radiation beam. And for fair comparison, all concerned non-Lambertian radiation patterns are normalized by a power normalization factor in the following work of IRS-assisted VLC. Furthermore, Table 1 summarizes the main parameters for the following distinct spatial beam-based, IRS-assisted VLC, which is mainly inherited from well-reported works [18,19,20]. Without loss of generality, the central position of the light receiver, i.e., (2.5, 2.5, 0.85) m, typical side positions of the light receiver, i.e., (2.5, 0.5, 0.85) m and (0.5, 2.5, 0.85) m, and typical corner positions of the light receiver, i.e., (0.5, 0.5, 0.85) m and (4.5, 0.5, 0.85) m, are considered for the following study [14,15,16].

4.1. Effect of Available Emitted Signal Power

In this subsection, the effect of the available emitted signal power on the achieved SNR performance of differentiated beam-based, IRS-assisted VLC is comparatively investigated. In the case of a central-position light receiver, as shown in Figure 4a, when IRS assistance is absent, the initial received SNR of conventional Lambertian beam pattern-based VLC is 31.87 dB. On the other hand, if IRS assistance is available for the baseline Lambertian VLC scenario, the initial received SNR is enhanced to 34.10 dB, which means that a 2.23 dB SNR enhancement is provided by the application of an IRS. In the meantime, as for the non-Lambertian Z-Power light beam-based VLC, the initial received SNR is just 21.71 dB with the absence of IRS assistance, while the counterpart is increased to 27.42 dB with the adoption of IRS assistance. This indicates that up to a 5.71 dB SNR enhancement is provided to non-Lambertian Z-Power VLC. Then, for the non-Lambertian, asymmetric NSPW light beam-based VLC, the initial received SNR goes up to a maximum of 38.63 dB with the absence of IRS assistance. Once IRS assistance is applied, this performance metric is slightly improved to 39.87 dB, which means that only a 1.24 dB gain could be brought to the non-Lambertian NSPW VLC for the receiver central position with the best channel condition. On the other, hand, when the available emitted signal power is increased to 1000 mW from the initial 100 mW, if IRS assistance is not available, the received SNR is changed to 51.87 dB, 41.71 dB, and 58.63 dB for the baseline Lambertian, non-Lambertian Z-Power, and non-Lambertian NSPW VLC scenarios, respectively, while this performance metric is separately varied to 54.10 dB, 47.42 dB, and 59.87 dB if IRS assistance is available. Accordingly, the SNR gain provided by the IRS assistance is 2.23 dB, 5.71 dB, and 1.24 dB for the three VLC link configurations concerned when the final 1000 mW signal power is emitted from the LED transmitter.
As shown in Figure 4b, for the side position case of the light receiver, due to the rotational symmetric property of the benchmark Lambertian and the novel non-Lambertian Z-Power beam, without IRS assistance, the respective SNR performance is the same for side position 1 of (2.5, 0.5, 0.85) m and side position 2 of (0.5, 2.5, 0.85) m. Specifically, if the emitted signal power is 100 mW, the received SNR is 21.04 dB and 15.88 dB for baseline Lambertian and non-Lambertian Z-Power light beam-based VLC for the two side positions simultaneously, while the received SNR at side position 1 is 16.52 dB and at side position 2 is 25.17 dB for the non-Lambertian NSPW VLC due to the rotational asymmetry of the NSPW LED beam. Once IRS assistance is applied, at side position 1, the received SNR is moderately increased to 25.34 dB, 22.50 dB, and 19.52 dB for baseline Lambertian, non-Lambertian Z-Power, and non-Lambertian NSPW VLC, respectively, since side position 1 is relatively far away from the IRS array. Therefore, the gain provided by the IRS assistance is 4.30 dB, 6.62 dB, and 3.00 dB, separately. At the same time, with IRS assistance, the received SNR of side position 2 is impressively enhanced to 38.85 dB, 38.10 dB, and 40.50 dB for the above-three VLC configurations, respectively, since side position 2 is quite close to the IRS array. When the emitted power is increased to the final 1000 mW, at side position 1, with IRS assistance, the received SNR is further increased to 45.34 dB, 42.50 dB, and 39.52 dB for baseline Lambertian, non-Lambertian Z-Power, and non-Lambertian NSPW VLC, respectively. And the derived gain from the IRS assistance is still 4.30 dB, 6.62 dB, and 3.00 dB, separately. As for side position 2 with the final emission power, the received SNR is further increased to 58.85 dB, 58.10 dB, and 60.51 dB for the above-three VLC links under IRS assistance, while the derived gain from the IRS assistance is also varied to 17.81 dB, 22.22 dB, and 15.34 dB, separately.
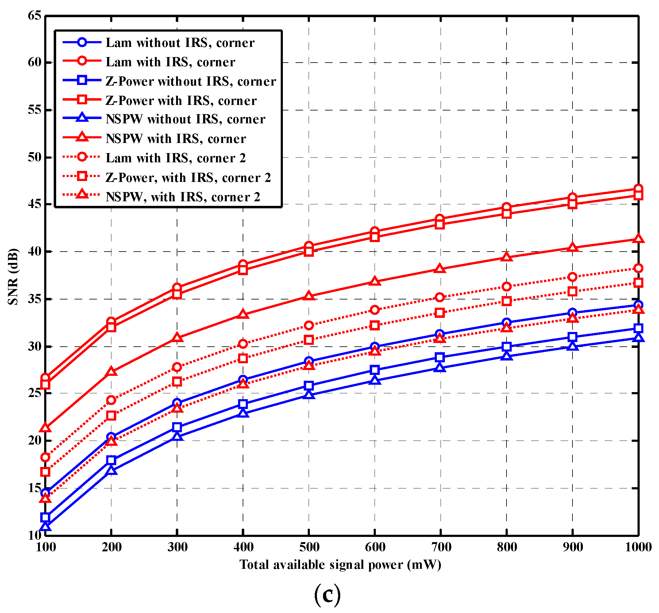
In the case of a corner-position light receiver, as shown in Figure 4c, due to the rotational symmetry of the baseline Lambertian and the non-Lambertian Z-Power light beam, without IRS assistance, the respective SNR performance is the same for corner position 1 of (0.5, 0.5, 0.85) m and corner position 2 of (4.5, 0.5, 0.85) m. It must be noted that since the link distance of all concerned corner positions is longer than that of the above-mentioned central position and side positions of the light receiver, the overall level of the received SNR for the corner positions is lower than that of the above-discussed central position and side positions when IRS assistance is absent. Particularly, if the emitted signal power is 100 mW, the received SNR is 14.41 dB, 11.91 dB, and 10.83 dB for baseline Lambertian, non-Lambertian Z-Power light, non-Lambertian NSPW beam-based VLC for the two corner positions simultaneously. Once IRS assistance is applied, at corner position 1, the received SNR is apparently increased to 26.65 dB, 25.99 dB, and 21.32 dB for baseline Lambertian, non-Lambertian Z-Power, and non-Lambertian NSPW VLC, respectively, since corner position 1 is relatively close to the wall where the IRS array is mounted, so a more powerful transmission assist could be provided by the IRS array. In this situation, the specific gain provided by the IRS assistance is 12.24 dB, 14.08 dB, and 10.49 dB, separately. Nevertheless, with IRS assistance, the received SNR of corner position 2 is merely enhanced to 18.26 dB, 16.68 dB, and 13.89 dB for the above-three VLC configurations, respectively, since corner position 2 is much farther away from the wall where the IRS array is mounted. When the emitted power is increased to the final 1000 mW, at corner position 1, with IRS assistance, the received SNR is steadily increased to 46.65 dB, 46.00 dB, and 41.32 dB for baseline Lambertian, non-Lambertian Z-Power, and non-Lambertian NSPW VLC, respectively. And the derived gain from the IRS assistance is 12.24 dB, 14.09 dB, and 10.49 dB, separately. As for corner position 2 with the final emission power, the received SNR is varied to 38.26 dB, 36.68 dB, and 33.89 dB for the above-three VLC links with IRS assistance, while the derived gain from the IRS assistance is still limited to 3.85 dB, 4.77 dB, and 3.06 dB, separately.
The trends of the results in this subsection can be summarized as follows: For all concerned receiver positions, with the total available signal power increase, the SNR performance is accordingly enhanced, no matter the specifically adopted LED beam configuration in the IRS-assisted VLC systems. At the same time, it could be found that the NSPW LED beam-based, IRS-assisted VLC systems consistently provide the more superior SNR performance than other cases during the whole process of the available emitted signal power variation.

4.2. Effect of IRS Reflection Factor

In this subsection, the effect of the IRS reflection factor on the achieved SNR performance of differentiated beam-based, IRS-assisted VLC is comparatively investigated.
In the case of a central-position light receiver, as shown in Figure 5a, when the reflection factor of the IRS is the initial minimum, i.e., 0, the initial received SNR for baseline Lambertian, non-Lambertian Z-Power, and non-Lambertian NSPW VLC is 51.87 dB, 41.71 dB, and 58.63 dB, separately. Once the reflection factor of the IRS is increased to the ideal maximum, i.e., 1, the received SNR of the baseline Lambertian, non-Lambertian Z-Power, and non-Lambertian NSPW VLC is enhanced to 54.20 dB, 47.64 dB, and 59.93 dB, accordingly, which means that the maximum gain achieved by the IRS is just 2.33 dB, 5.93 dB, and 1.30 dB for the three VLC configurations at the central position of the light receiver. This phenomenon is mainly due to the receiver position being just under the optical transmitter, and the relatively sufficient LoS channel gain from the LED transmitter dominates the derived SNR at the VLC receiver to a large extent.
In the case of a more challenging side-position light receiver, as shown in Figure 5b, when the reflection factor of the IRS is the initial minimum, at both side positions, the initial received SNR for baseline Lambertian, non-Lambertian Z-Power, and non-Lambertian NSPW VLC is 41.03 dB, 35.88 dB, and 36.52 dB, separately. Once the reflection factor of the IRS is increased to the ideal maximum, i.e., 1, at side position 1, the received SNR for baseline Lambertian, non-Lambertian Z-Power, and non-Lambertian NSPW VLC is lightly enhanced to 45.52 dB, 42.74 dB, and 39.65 dB, accordingly, which means that the maximum gain achieved by the IRS is only 4.49 dB, 6.86 dB, and 3.13 dB for the three VLC configurations at side position 1 of the light receiver.
On the other hand, at side position 2, the initial received SNR for baseline Lambertian, non-Lambertian Z-Power, and non-Lambertian NSPW VLC is 41.03 dB, 35.88 dB, and 45.17 dB, separately. Once the reflection factor of the IRS is increased to the ideal maximum, at side position 2, the received SNR for baseline Lambertian, non-Lambertian Z-Power, and non-Lambertian NSPW VLC is exciting enhanced to 59.24 dB, 58.51 dB, and 60.88 dB, accordingly, which means that the maximum gain achieved by the IRS is up to 18.21 dB, 22.63 dB, and 15.71 dB for the three VLC configurations at side position 2 of the light receiver. This phenomenon is mainly due to side receiver position 2 being much closer to the IRS than side receiver position 1, while the domination of the LoS channel gain from the LED transmitter is much reduced for both side positions due to the longer LoS propagation distance between the LED transmitter and the studied two side positions, simultaneously.
In the case of the most challenging corner-position light receiver, as shown in Figure 5c, when the reflection factor of the IRS is the minimum, at both corner positions, the initial received SNR for baseline Lambertian, non-Lambertian Z-Power, and non-Lambertian NSPW VLC is just 34.41 dB, 31.91 dB, and 30.83 dB, separately. Once the reflection factor of the IRS is increased to the ideal maximum, i.e., 1, at corner position 1, the received SNR for baseline Lambertian, non-Lambertian Z-Power, and non-Lambertian NSPW VLC is significantly enhanced to 46.99 dB, 46.35 dB, and 41.63 dB, accordingly, which means that the maximum gain achieved by the IRS is up to 12.58 dB, 14.44 dB, and 10.80 dB for the three VLC configurations at corner position 1 of the light receiver. However, at corner position 2, the received SNR for baseline Lambertian, non-Lambertian Z-Power, and non-Lambertian NSPW VLC is slightly varied to 38.42 dB, 36.87 dB, and 34.02 dB, accordingly, which means that the maximum gain achieved by the IRS is just 4.01 dB, 4.96 dB, and 3.19 dB for the three VLC configurations at corner position 2 of the light receiver. This phenomenon is mainly due to corner position 1 being relatively closer to the IRS than corner position 2, while the domination of the LoS channel gain from the LED transmitter is further reduced to both corner positions due to the maximum LoS propagation distance between the LED transmitter and the two corner positions, simultaneously.
The trends of the results in this subsection can be summarized as follows: For all concerned receiver positions, with the increase in the reflection factor of the IRS, the SNR performance is accordingly enhanced, no matter the specifically adopted LED beam configuration in the IRS-assisted VLC systems. At the same time, it could be found that for the same receiver position, the NSPW LED beam-based, IRS-assisted VLC systems consistently provide the more superior SNR performance than other cases during the whole process of the reflection factor of IRS variation. Moreover, among the concerned side positions, the SNR performance of the side position with a shorter distance to the IRS is more sensitive than the SNR performance of the side position with a longer distance to the IRS. A similar change trend could also be identified among the SNR performances of all concerned corner receiver positions.

4.3. Effect of Receiver Radial Shift

In this subsection, the effect of receiver radial shift on the achieved SNR performance of differentiated beam-based, IRS-assisted VLC is comparatively investigated.
On one hand, as shown in Figure 6, without IRS assistance, the received SNR of the initial central position of the light receiver is 51.87 dB, 41.71 dB, and 58.63 dB for baseline Lambertian, non-Lambertian Z-Power, and non-Lambertian NSPW VLC. With an increase in the radial shift of the VLC receiver along the positive or negative directions of the x-coordinate axis, the received SNR for the three VLC configurations is gradually reduced, since that the LoS channel gain from the LED transmitter is accordingly further reduced for the positions with more radial shift. Therefore, the finally minimum received SNR of 37.01 dB, 33.46 dB, and 40.27 dB could be identified for the above-three VLC configurations separately, once the radial shift of the receiver is changed to the maximum of 2.5 m along the positive or negative directions of the x-coordinate axis.
On the other hand, with IRS assistance, the received SNR of the initial central position of the light receiver is 54.10 dB, 47.42 dB, and 59.87 dB for baseline Lambertian, non-Lambertian Z-Power, and non-Lambertian NSPW VLC, which means that the initial gain given by the IRS assisting is 2.23 dB, 5.71 dB, and 1.24 dB, separately. With the increase in the radial shift of the VLC receiver along the negative direction of the x-coordinate axis, the received SNRs for baseline Lambertian and non-Lambertian Z-Power VLC are gradually varied to the respective maximums 61.17 dB and 60.66 dB, while the received SNR for the non-Lambertian NSPW VLC is varied to the local minimum 57.89 dB, with an about −1.25 m radial shift, and then increased to the maximum 62.58 dB with a final −2.5 m radial shift. This observation illustrates that a final gain of 24.16 dB, 27.20 dB, and 22.31 dB could be provided by the IRS assisting with the final radial shift along the negative direction of the x-coordinate axis; thanks to that, the spatial distance between the VLC receiver and the IRS is dramatically reduced with more radial shift along this direction.
Nevertheless, with an increase in the radial shift of the VLC receiver along the positive direction of the x-coordinate axis, the received SNRs for baseline Lambertian, non-Lambertian Z-Power, and non-Lambertian NSPW VLC are gradually reduced. This performance metric is finally varied to the minimums 39.92 dB, 37.50 dB, and 42.63 dB, with a maximum 2.5 m radial shift along the positive direction of the x-coordinate axis. Accordingly, for the above-three VLC configurations, the final limited gains of 2.91 dB, 4.04 dB, and 2.36 dB could be provided by the IRS assistance with the final positive radial shift, which is mainly due to the spatial distance between the VLC receiver and the IRS being further increased with more radial shift along this direction.
The trends of the results in this subsection can be summarized as follows: In the direction away from the IRS, with the increase in radial shift of the light receiver, the SNR performance is accordingly reduced, no matter the specifically adopted LED beam configuration in the IRS-assisted VLC systems. On the contrary, in the direction close to the IRS, with the increase in radial shift of the light receiver, the SNR performance is accordingly enhanced, no matter the specifically adopted LED beam configuration in the IRS-assisted VLC systems. At the same time, it could be found that the NSPW LED beam-based, IRS-assisted VLC systems consistently provide the more superior SNR performance than other cases during the whole process of the radial shift variation of light receiver.

4.4. Effect of Beam Azimuth Deviation

In this subsection, the effect of receiver radial shift on the achievable data rate performance of differentiated beam-based, IRS-assisted VLC is comparatively investigated. Unlike baseline Lambertian, non-Lambertian Z-Power, and other rotational symmetric LED beam-based VLC systems, the link performance of non-Lambertian NSPW beam-based VLC is usually related to the beam azimuth deviation induced by the actual engineering installation, customized coverage, or decoration requirements, due the inherent rotational asymmetry of this distinct LED beam.
As shown in Figure 7, for the central position of the receiver, without IRS assistance, the achievable data rate is constant at 188.72 Mbps, since this position is just under the LED transmitter and any beam azimuth deviation could not vary the central radiation intensity, i.e., the radiation intensity in this direction of the central position. It must be noted that once IRS assistance is adopted, the achievable data rate performance of the central position will be mildly influenced periodically as well, which is mainly because the IRS-reflected channel gain is periodically changed by the azimuth deviation of the NSPW light beam, to some extent. Particularly, as the azimuth deviation angle is 0 deg., 180 deg., and 360 deg., the maximum achievable data rate, i.e., 192.84 Mbps, is derived for this central position, which means that the available maximum gain among all possible azimuth deviation angles is just 4.12 Mbps via IRS assistance.
At the same time, for the two side positions considered, a more intensive periodical change could be observed due to the introduction of different azimuth deviation angles. For side position 1, once the azimuth deviation angle is 90 deg. or 270 deg., the maximum achievable data rate, i.e., 144.00 Mbps, is derived without the IRS assisting, while this maximum achievable data rate is moderately enhanced to 154.80 Mbps with IRS assistance due to the relatively far link distance between side position 1 and the IRS array. And once the azimuth deviation angle is 0 deg., 180 deg., or 360 deg., for the same side position, the minimum achievable data rate, i.e., 115.29 Mbps, is derived without the IRS assisting, while this minimum achievable data rate is moderately enhanced to 125.232 Mbps with IRS assistance.
On the contrary, for side position 2, once the azimuth deviation angle is 90 deg. or 270 deg., the minimum achievable data rate, i.e., 115.29 Mbps, is derived without the IRS assisting, while this minimum achievable data rate is dramatically enhanced to 164.00 Mbps with IRS assistance due to the quite short link distance between side position 2 and the IRS array. And once the azimuth deviation angle is 0 deg., 180 deg., or 360 deg., for the same side position 2, the maximum achievable data rate, i.e., 144.00 Mbps, is derived without the IRS assisting, while this minimum achievable data rate is greatly enhanced to 194.95 Mbps with IRS assistance.
Last but not least, two important corner positions involved are also comparatively considered for exploring the effect of beam azimuth deviation. For corner position 1, once the azimuth deviation angle is about 40 deg. or about 230 deg., the maximum achievable data rate, i.e., 116.66 Mbps, is derived without the IRS assisting, while this maximum achievable data rate is obviously enhanced to 153.54 Mbps with IRS assistance, since corner position 1 is near the wall where the IRS array is installed. And once the azimuth deviation angle is about 130 deg. or 310 deg., for the same corner position 1, the minimum achievable data rate, i.e., 87.04 Mbps, is derived without the IRS assisting, while this minimum achievable data rate is apparently enhanced to 122.95 Mbps with IRS assistance.
Nevertheless, the benefit is not prominent anymore for the left corner position 2, due to the much longer link length between the IRS array and this challenging position. Accordingly, once the azimuth deviation angle is about 40 deg. or about 230 deg., the minimum achievable data rate, i.e., 87.04 Mbps, is derived without the IRS assisting, while this minimum achievable data rate is moderately enhanced to 97.65 Mbps with IRS assistance. And once the azimuth deviation angle is about 130 deg. or 310 deg., for the same corner position 2, the maximum achievable data rate, i.e., 116.66 Mbps, is derived without the IRS assisting, while this maximum achievable data rate is also moderately enhanced to 127.69 Mbps with IRS assistance.
The trends of the results in this subsection can be summarized as follows: For all concerned receiver positions, with the application of an IRS, the SNR performance of NSPW LED beam-based VLC systems is accordingly enhanced, no matter the specifically adopted LED beam azimuth deviation angle in the IRS-assisted VLC systems. Moreover, among the concerned receiver positions, the SNR performances of these positions with a shorter distance to the IRS illustrate more intense SNR performance fluctuations during the whole process of azimuth deviation angle variation.
As for potential Monte Carlo simulation of the topic in this article, although it utilizes the random variables to simulate the emitted optical signal and AWGN noise sample, the final obtained Monte Carlo simulation results will converge to the analytical results, which are presented in this article, once the amounts of the optical signal and AWGN noise sample are large enough. Therefore, it could be easily expected that the similar results could be obtained by the Monte Carlo simulation, which will not increase the true contribution of this article in the exploration of intelligent reflecting surface-assisted non-Lambertian visible light communication.
As for the feasibility of implementing this system, it must be noted that all the non-Lambertian beam models concerned in this article are all based on the top international work of LED beam patterns, i.e., reference [12] by I. Moreno, who is one top well-known researcher of beam patterns of various commercially available LEDs. In addition, all the non-Lambertian models in reference [12] are based on solid measurements and numerical modelling for the commercially available LED. Therefore, the non-Lambertian LEDs in this article are all commercially available, and the relevant datasheet information could be easily found in reference [12], which fundamentally assures the feasibility of implementing this intelligent reflecting surface-assisted non-Lambertian visible light communication system utilizing existing hardware.
As for the challenges of implementing the IRS with non-Lambertian beams in a real-world scenario, the top challenge is the shortage of high-quality research teams with essential interdisciplinary capabilities for non-Lambertian IRS-assisted VLC. Most researchers in the VLC community could not present wide technical perspectives to simultaneously cover the cutting-edge development of illumination engineering, optical communications, photometry, and radiometry. Last but not least, a challenge is that the most national and industry funds for VLC development are not invested to the most potential and fruitful researchers or teams in the non-Lambertian VLC domain, for example, Prof. Jupeng Ding and his team.
As for the potential for further research, it must be noted that the main contributions and novelty of this article can be summarized as follows: (1) novel non-Lambertian LED sources and distinct non-Lambertian light beams are introduced in the domain of intelligent reflecting surface-assisted non-Lambertian visible light communications in a typical indoor environment; (2) the fundamental system models of the involved intelligent reflecting surface-assisted non-Lambertian visible light communications with distinct light beam patterns are presented in detail; and (3) the numerical performance comparisons and the fundamental performance gain provided by the representative intelligent reflecting surface-assisted non-Lambertian visible light communications are presented and analyzed for the first time, to the best of our knowledge. Therefore, this article could not touch all the potential research directions of this novel branch of VLC, i.e., intelligent reflecting surface-assisted non-Lambertian visible light communications. And there are many research topics waiting for further exploration, which include but are not limited to (1) multiple-access schemes for IRS-assisted non-Lambertian VLC, (2) physical-layer security for IRS-assisted non-Lambertian VLC, (3) IRS-assisted non-Lambertian vehicular VLC, (4) resource management for IRS-assisted non-Lambertian VLC, (5) resource management for IRS-assisted non-Lambertian multiple-input–multiple-output VLC, (6) IRS-assisted non-Lambertian drone VLC, and (7) IRS-assisted non-Lambertian underwater VLC.

5. Conclusions

This article is prompted by the investigation limitation of the well-known Lambertian IRS-assisted VLC works, which are not suitable for the potential and diverse non-Lambertian IRS-assisted VLC applications. In this article, the typical non-Lambertian LED emitters are adopted to construct the IRS-assisted VLC links. For the typical indoor 6G wireless network scenario, IRS-assisted non-Lambertian VLC could provide up to a 22.22 dB SNR gain, while the SNR level of the baseline IRS-assisted Lambertian VLC link is just 17.81 dB. Objectively, there is an apparent difference between the well-known Lambertian LED sources and the emerging series of non-Lambertian LED sources with distinct radiation beam characteristics. And unlike the traditional Lambertian ones, these novel non-Lambertian LED beams could not be profiled by the simple Lambertian sphere any more, especially in the case without rotation symmetry and with unique spatial selectivity. Considering that all involved non-Lambertian LEDs are commercially available from international LED manufacturers, all the numerical results of this article are quite useful to open one novel design and optimization dimension for further enhancing the performance potentials of the intelligent reflecting surface-assisted visible light communication systems from an engineering point of view. In the near future, the potential optical beam management and scheduling methods will be applied and explored in the indoor 6G wireless network domain for achieving further performance gains.

Author Contributions

J.D. determined the theme and structure of the article, provided professional knowledge in the field of visible light communication, wrote and modified the article, and replied to comments from editors and reviewers; C.-L.I. provided theoretical knowledge of mobile communication and wireless communication; J.W. looked for the literature and participated in the discussion of the content; H.Y. looked for the literature and participated in the discussion. All authors have read and agreed to the published version of the manuscript.

Funding

This work was supported, in part, by the National Natural Science Foundation of China (Grant No. 62061043), Yantai Nanshan University Research and Development Fund Project (Grant No. 2025KJ01001), Tianshan Cedar Project of Xinjiang Uygur Autonomous Region (Grant No. 2020XS27), and High-level Talents Introduction Project in Autonomous Region (Grant No. 042419004).

Institutional Review Board Statement

Not applicable.

Informed Consent Statement

Not applicable.

Data Availability Statement

The data presented in this study are available on request from the corresponding author due to privacy, legal or ethical reasons.

Conflicts of Interest

The authors declare no conflict of interest.

References

  1. Huang, T.; Yang, W.; Wu, J.; Ma, J.; Zhang, X.; Zhang, D. A survey on green 6G network: Architecture and technologies. IEEE Access 2019, 7, 175758–175768. [Google Scholar] [CrossRef]
  2. Emilio, C.; Sergio, B.; Jose, L. 6G: The next frontier: From holographic messaging to artificial intelligence using subterahertz and visible light communication. IEEE Veh. Technol. Mag. 2019, 14, 42–50. [Google Scholar] [CrossRef]
  3. Chen, C.; Huang, S.; Abumarshoud, H.; Tavakkolnia, I.; Safari, M.; Haas, H. Frequency-Domain Channel Characteristics of Intelligent Reflecting Surface Assisted Visible Light Communication. J. Light. Technol. 2023, 41, 7355–7369. [Google Scholar] [CrossRef]
  4. Ndjiongue, A.R.; Ngatched, T.M.N.; Dobre, O.A.; Haas, H.; Shin, H. Double-Sided Beamforming in VLC Systems Using Omni-Digital Reconfigurable Intelligent Surfaces. IEEE Commun. Mag. 2024, 62, 150–155. [Google Scholar] [CrossRef]
  5. Zhan, L.; Zhao, H.; Zhang, W.; Lin, J. An Optimal Scheme for the Number of Mirrors in Vehicular Visible Light Communication via Mirror Array-Based Intelligent Reflecting Surfaces. Photonics 2022, 9, 129. [Google Scholar] [CrossRef]
  6. Teixeira, L.; Loose, F.; Barriquello, C.H.; Reguera, V.A.; Costa, M.A.D.; Alonso, J.M. On Energy Efficiency of Visible Light Communication Systems. IEEE J. Emerg. Sel. Top. Power Electron. 2021, 9, 6396–6407. [Google Scholar] [CrossRef]
  7. Cao, B.; Chen, M.; Yang, Z.; Zhang, M.; Zhao, J.; Chen, M. Reflecting the Light: Energy Efficient Visible Light Communication with Reconfigurable Intelligent Surface. In Proceedings of the IEEE 92nd Vehicular Technology Conference (VTC2020-Fall), Victoria, BC, Canada, 18 November–16 December 2020; pp. 1–5. [Google Scholar] [CrossRef]
  8. Sun, S.; Yang, F.; Song, J.; Han, Z. Joint Resource Management for Intelligent Reflecting Surface–Aided Visible Light Communications. IEEE Trans. Wirel. Commun. 2022, 21, 6508–6522. [Google Scholar] [CrossRef]
  9. Hamad, A.N.; Qidan, A.A.; El-Gorashi, T.E.H.; Elmirghani, J.M.H. Resource Allocation in IRS-aided Optical Wireless Communication Systems. In Proceedings of the 23rd International Conference on Transparent Optical Networks (ICTON), Bucharest, Romania, 2–6 July 2023; pp. 1–5. [Google Scholar] [CrossRef]
  10. Aboagye, S.; Ngatched, T.M.N.; Dobre, O.A.; Ndjiongue, A.R. Intelligent Reflecting Surface-Aided Indoor Visible Light Communication Systems. IEEE Commun. Lett. 2021, 25, 3913–3917. [Google Scholar] [CrossRef]
  11. Komine, T.; Nakagawa, M. Fundamental analysis for visible-light communication system using LED lights. IEEE Trans. Consum. Electron. 2004, 50, 100–107. [Google Scholar] [CrossRef]
  12. Moreno, I.; Sun, C. Modeling the radiation pattern of LEDs. Opt. Express 2008, 16, 1808–1819. [Google Scholar] [CrossRef] [PubMed]
  13. Ding, J.; Chih-Lin, I.; Xu, Z. Indoor optical wireless channel characteristics with distinct source radiation patterns. IEEE Photonics J. 2016, 8, 1–15. [Google Scholar] [CrossRef]
  14. Ding, J.; Chih-Lin, I.; Wang, J.; Yang, H.; Wang, L. Multiple Optical Beam Switching for Physical Layer Security of Visible Light Communications. IEEE Photonics J. 2022, 14, 7306209. [Google Scholar] [CrossRef]
  15. Kumar, A.; Ghorai, S.K. Performance of MIMO-VLC System for Different Radiation Patterns of LED in Indoor Optical wireless Communication System. In Proceedings of the IEEE International Conference on Advanced Networks and Telecommunications Systems (ANTS), Goa, India, 16–19 December 2019; pp. 1–5. [Google Scholar] [CrossRef]
  16. Alsalami, F.M.; Aigoro, N.; Mahmoud, A.A.; Ahmad, Z.U.; Haigh, P.A.; Haas, O.C.; Rajbhandari, S.; Al-Sallami, F. Impact of Vehicle Headlights Radiation Pattern on Dynamic Vehicular VLC Channel. J. Light. Technol. 2021, 39, 3162–3168. [Google Scholar] [CrossRef]
  17. Mermet-Lyaudoz, R.; Combeau, P.; Drouard, E.; Julien-Vergonjanne, A.; Seassal, C.; Nguyen, H.S.; Sahuguede, S. Multiscale Simulation for Visible Light Communication using Perovskite Metasurface. In Proceedings of the 17th International Symposium on Wireless Communication Systems (ISWCS), Berlin, Germany, 6–9 September 2021; pp. 1–6. [Google Scholar] [CrossRef]
  18. Abumarshoud, H.; Chen, C.; Tavakkolnia, I.; Haas, H.; Imran, M.A. Intelligent Reflecting Surfaces for Enhanced Physical Layer Security in NOMA VLC Systems. In Proceedings of the ICC 2023-IEEE International Conference on Communications, Rome, Italy, 28 May–1 June 2023; pp. 3284–3289. [Google Scholar] [CrossRef]
  19. Sun, S.; Yang, F.; Song, J. Sum Rate Maximization for Intelligent Reflecting Surface-Aided Visible Light Communications. IEEE Commun. Lett. 2021, 25, 3619–3623. [Google Scholar] [CrossRef]
  20. Zhong, X.; Chen, C.; Wen, W.; Liu, M.; Fu, H.Y.; Haas, H. Optimization of Surface Configuration in IRS-Aided MIMO-VLC: A BER Minimization Approach. IEEE Photonics J. 2024, 16, 7301712. [Google Scholar] [CrossRef]
Figure 1. Schematic of IRS-assisted visible light communication based on baseline Lambertian light beam for 6G wireless network.
Figure 1. Schematic of IRS-assisted visible light communication based on baseline Lambertian light beam for 6G wireless network.
Applsci 15 10965 g001
Figure 2. Schematic of IRS-assisted visible light communication based on non-Lambertian Z-Power light beam for 6G wireless network.
Figure 2. Schematic of IRS-assisted visible light communication based on non-Lambertian Z-Power light beam for 6G wireless network.
Applsci 15 10965 g002
Figure 3. Schematic of IRS-assisted visible light communication based on non-Lambertian asymmetric NSPW light beam for 6G wireless network.
Figure 3. Schematic of IRS-assisted visible light communication based on non-Lambertian asymmetric NSPW light beam for 6G wireless network.
Applsci 15 10965 g003
Figure 4. Achieved SNR performance versus the total available signal power in IRS-assisted VLC: (a) central position of light receiver; (b) side position of light receiver; (c) corner position of light receiver.
Figure 4. Achieved SNR performance versus the total available signal power in IRS-assisted VLC: (a) central position of light receiver; (b) side position of light receiver; (c) corner position of light receiver.
Applsci 15 10965 g004aApplsci 15 10965 g004b
Figure 5. Achieved SNR performance versus the reflection factor of the IRS in IRS-assisted VLC: (a) central position of light receiver; (b) side position of light receiver; (c) corner position of light receiver.
Figure 5. Achieved SNR performance versus the reflection factor of the IRS in IRS-assisted VLC: (a) central position of light receiver; (b) side position of light receiver; (c) corner position of light receiver.
Applsci 15 10965 g005
Figure 6. Achieved SNR performance versus radial shift of light receiver in target area of IRS-assisted VLC.
Figure 6. Achieved SNR performance versus radial shift of light receiver in target area of IRS-assisted VLC.
Applsci 15 10965 g006
Figure 7. Comparison of achievable data rate versus azimuth deviation angle for IRS-assisted VLC with asymmetric NSPW light beam configuration.
Figure 7. Comparison of achievable data rate versus azimuth deviation angle for IRS-assisted VLC with asymmetric NSPW light beam configuration.
Applsci 15 10965 g007
Table 1. The main parameters for this work.
Table 1. The main parameters for this work.
ParametersValues
Room size (W × L × H)5 × 5 × 3 m3
Total available signal power of transmitter1000 mW
LED Lambertian semiangle60°
LED transmitter position(2.5, 2.5, 3) m
Receiver field of view90°
Height of receiving plane0.85 m
Physical area of PD1 cm2
Responsively of PD0.8 A/W
Concentrator refractive index1.5
Optical filter gain1
Signal bandwidth10 MHz
VLC noise power density1 × 10−22 A2/Hz
Reflection of IRS unit0.95
Area of each IRS unit10 × 10 cm2
Spacing of adjacent IRS unit2.5 cm
IRS center position(0, 2.5, 1.5) m
Amount of IRS units4 × 4
Disclaimer/Publisher’s Note: The statements, opinions and data contained in all publications are solely those of the individual author(s) and contributor(s) and not of MDPI and/or the editor(s). MDPI and/or the editor(s) disclaim responsibility for any injury to people or property resulting from any ideas, methods, instructions or products referred to in the content.

Share and Cite

MDPI and ACS Style

Ding, J.; I, C.-L.; Wang, J.; Yang, H. Performance Characteristics of Intelligent Reflecting Surface-Assisted Non-Lambertian Visible Light Communications for 6G and Beyond Internet of Things. Appl. Sci. 2025, 15, 10965. https://doi.org/10.3390/app152010965

AMA Style

Ding J, I C-L, Wang J, Yang H. Performance Characteristics of Intelligent Reflecting Surface-Assisted Non-Lambertian Visible Light Communications for 6G and Beyond Internet of Things. Applied Sciences. 2025; 15(20):10965. https://doi.org/10.3390/app152010965

Chicago/Turabian Style

Ding, Jupeng, Chih-Lin I, Jintao Wang, and Hui Yang. 2025. "Performance Characteristics of Intelligent Reflecting Surface-Assisted Non-Lambertian Visible Light Communications for 6G and Beyond Internet of Things" Applied Sciences 15, no. 20: 10965. https://doi.org/10.3390/app152010965

APA Style

Ding, J., I, C.-L., Wang, J., & Yang, H. (2025). Performance Characteristics of Intelligent Reflecting Surface-Assisted Non-Lambertian Visible Light Communications for 6G and Beyond Internet of Things. Applied Sciences, 15(20), 10965. https://doi.org/10.3390/app152010965

Note that from the first issue of 2016, this journal uses article numbers instead of page numbers. See further details here.

Article Metrics

Back to TopTop