Shock Absorption Control of Sand-Layer Isolation Liquid Storage Structure with Soft Steel
Abstract
1. Introduction
2. Shock Absorption Design
2.1. Seismic Isolation Design for Sand Layer
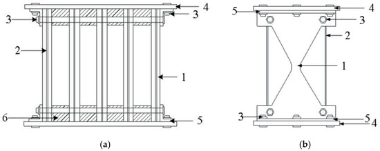
2.2. X-Type Soft Steel and SMA Shock Absorber Design
3. Finite Element Analysis
- (1)
- Boundary condition of the free liquid surface:
- (2)
- Boundary condition of the fluid–structure interaction (FSI) interface of the liquid storage structure:
4. Ground Vibration Response of CLSS Isolated by Sand Layer with Different Shock Absorber Damping Ratios
4.1. The Maximum Principal Stress of LSS with Different Element Spring-Damping Ratios Under Unidirectional Earthquake
- (1)
- Element spring-damping ratio = 0.1
- (2)
- Element spring-damping ratio = 0.2
- (3)
- Element spring-damping ratio = 0.3
- (4)
- Maximum principal stresses in CLSS with different cell spring-damping ratios
4.2. The Maximum Principal Stress of LSS with Different Element Spring-Damping Ratios Under Bidirectional Earthquake
- (1)
- Element spring-damping ratio = 0.1
- (2)
- Element spring-damping ratio = 0.2
- (3)
- Element spring-damping ratio = 0.3
- (4)
- Maximum principal stresses in CLSS for different cell spring-damping ratios
5. Ground Vibration Response of Sand-Layer-Isolated CLSS with Different Friction Coefficients
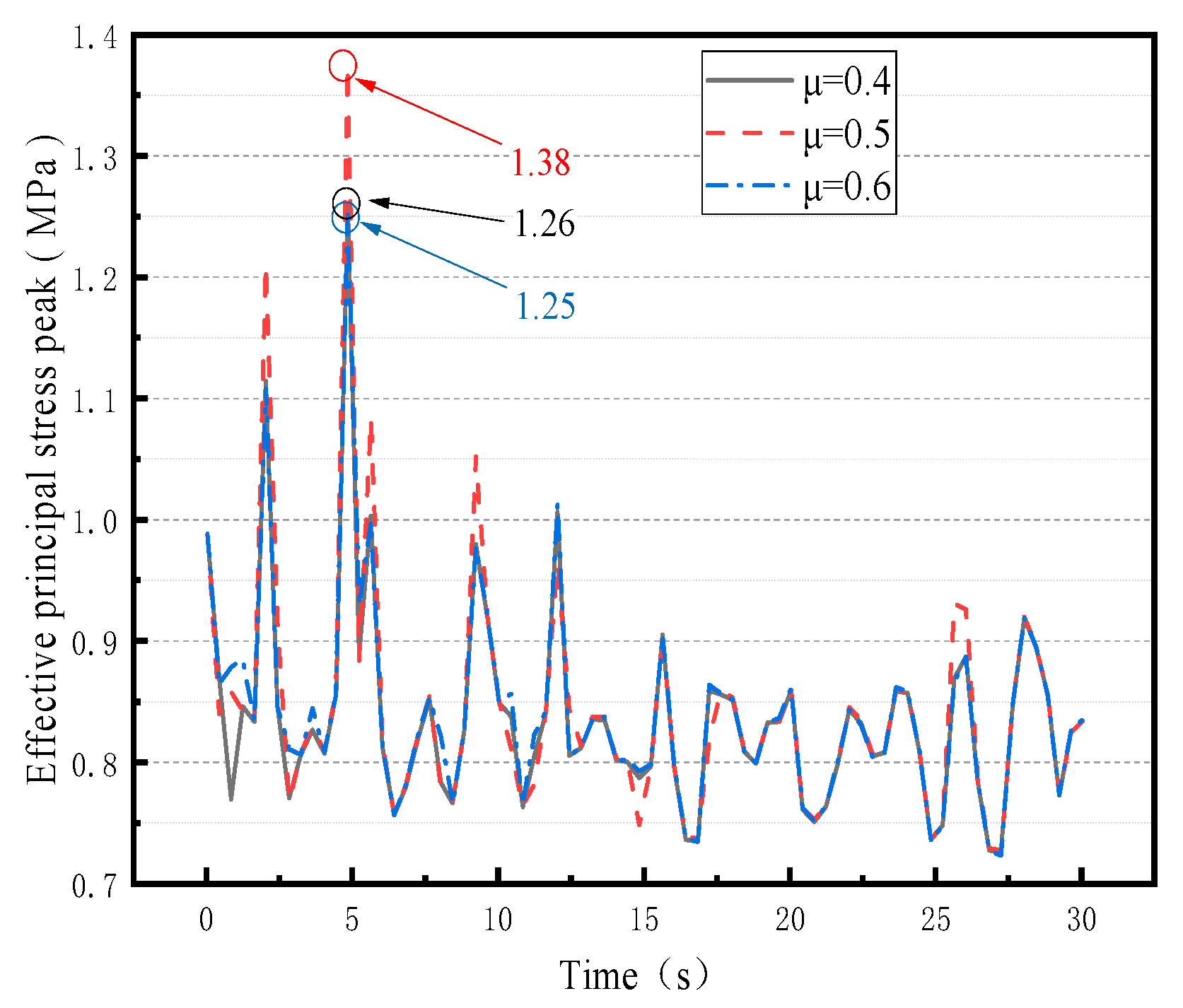
5.1. Maximum Principal Stresses of CLSS with Different Friction Coefficients of Isolation Sand Layer Under Unidirectional Seismic Action
- (1)
- Friction coefficient of isolation sand layer = 0.4
- (2)
- Friction coefficient of isolation sand layer = 0.5
- (3)
- Friction coefficient of isolation sand layer = 0.6
5.2. Maximum Principal Stresses of CLSS with Different Friction Coefficients of Isolation Sand Layer Under Bidirectional Seismic Action
- (1)
- Friction coefficient of isolation sand layer = 0.4
- (2)
- Friction coefficient of isolation sand layer = 0.5
- (3)
- Friction coefficient of isolation sand layer = 0.6
- (4)
- Maximum principal stresses in CLSS with different friction coefficients of isolation sand layers.
6. Sloshing Wave Height
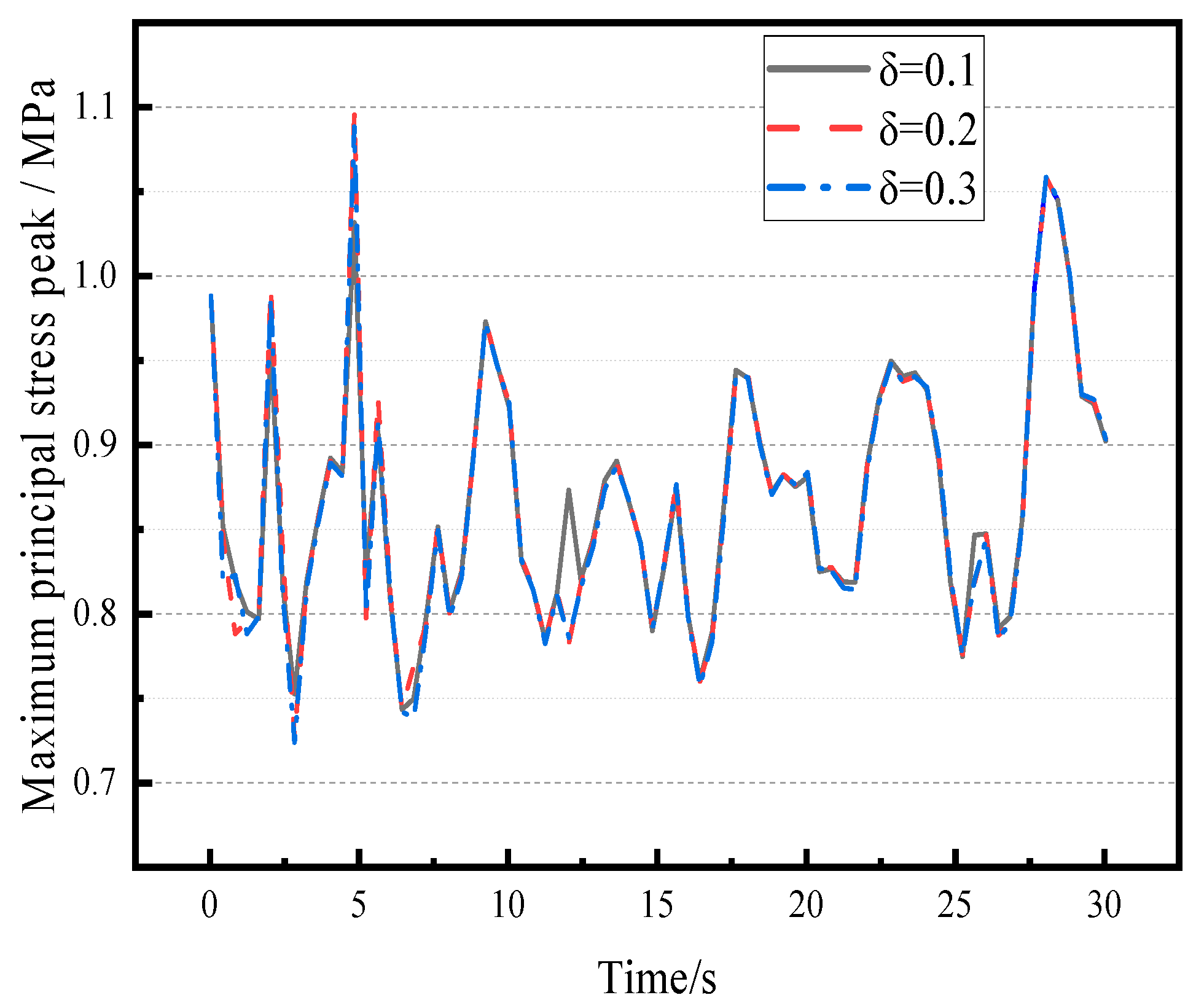
6.1. Sloshing Wave Heights of CLSS with Different Element Spring-Damping Ratios Under Unidirectional Seismic Action
- (1)
- Element spring-damping ratio = 0.1
- (2)
- Element spring-damping ratio = 0.2
- (3)
- Element spring-damping ratio = 0.3
- (4)
- Sloshing wave height of LSS with different element spring-damping ratios
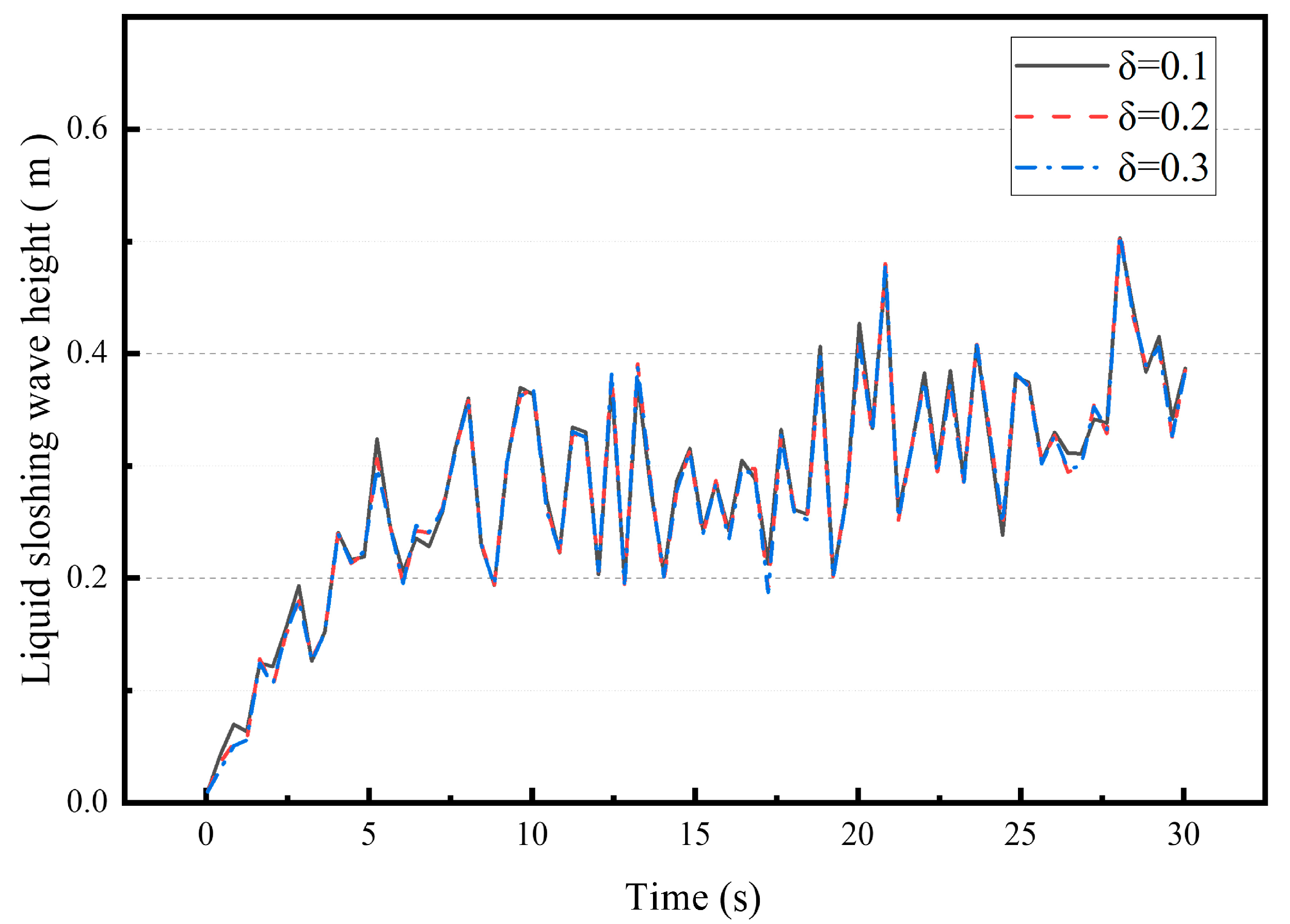
6.2. Liquid Sloshing Wave Heights of CLSS with Different Cell Spring-Damping Ratios Under Bidirectional Seismic Action
- (1)
- Element spring-damping ratio = 0.1
- (2)
- Element spring-damping ratio = 0.2
- (3)
- Element spring-damping ratio = 0.3
- (4)
- Liquid sloshing wave height of LSS with different element spring-damping ratios
7. Conclusions
Author Contributions
Funding
Data Availability Statement
Conflicts of Interest
Abbreviations
| m | total mass of LSS |
| T | isolation period |
| ξ | damping ratio of shock absorber |
| k | equivalent stiffness |
| c | damping factor |
References
- Cao, R.F. Dynamic Analysis on the Performance of Seismic Mitigation and Isolation Technology in Frame-Shear Wall Structures. Master’s Thesis, North China University of Water Resources and Electric Power, Zhengzhou, China, 2022. [Google Scholar]
- Chakraborty, S.; Roy, K.; Ray-Chaudhuri, S. Design of re-centering spring for flat sliding base isolation system: Theory and a numerical study. Eng. Struct. 2016, 126, 66–77. [Google Scholar] [CrossRef]
- Cheng, X.S.; Chen, J.; Luo, B.B. Reduced Sloshing Effect in Steel Tanks. Int. J. Steel Struct. 2022, 22, 1474–1496. [Google Scholar] [CrossRef]
- Curadelli, O. Seismic reliability of spherical containers retrofitted by means of energy dissipation devices. Eng. Struct. 2011, 33, 2662–2667. [Google Scholar] [CrossRef]
- Dai, H.Z.; Wang, W.; Xiao, Z.G. Fluid-structure interactive seismic response and vibration dissipation method of spherical liquid -storage tank. J. Harbin Inst. Technol. 2010, 42, 515–520. [Google Scholar] [CrossRef]
- Jing, X.F.; Wang, T.Y.; Chai, Y.J.; Liu, B.J.; Wang, C.M.; Li, Y.M. A Study of fluid-structure interaction dynamic response for reinforced liquid storage tank with internal components. Chin. J. Appl. Mech. 2024, 41, 1–10. [Google Scholar]
- Li, Z.L.; Li, Y.; Li, H.B. Parametric research on seismic response of large scale liquid storage tank isolated by lead-rubber bearings. J. Sichuan Univ. (Eng. Sci. Ed.) 2010, 42, 134–141. [Google Scholar] [CrossRef]
- Ozbulut, O.E.; Hurlebaus, S. Evaluation of the performance of a sliding-type base isolation system with a NiTi shape memory alloy device considering temperature effects. Eng. Struct. 2010, 32, 238–249. [Google Scholar] [CrossRef]
- Qi, L.; Cheng, X.S.; Zhang, S.L.; Zhou, X.H. Seismic Failure Mechanism of Plate-Shell Integrated Concrete Liquid Storage Structure. KSCE J. Civ. Eng. 2023, 27, 1191–1204. [Google Scholar] [CrossRef]
- Qi, L. Seismic Failure Mechanism and Isolation Control of Plate-Shell Integrated Concrete Liquid Storage Structure. Master’s Thesis, Lanzhou University of Technology, Lanzhou, China, 2021. [Google Scholar]
- Shekari, M.R.; Khaji, N.; Ahmadi, M.T. On the seismic behavior of cylindrical base-isolated liquid storage tanks excited by long-period ground motions. Soil Dyn. Earthq. Eng. 2010, 30, 968–980. [Google Scholar] [CrossRef]
- Shekari, M.R.; Khaji, N.; Ahmadi, M.T. A coupled BE-FE study for evaluation of seismically isolated cylindrical liquid storage tanks considering fluid-structure interaction. J. Fluids Struct. 2009, 25, 567–585. [Google Scholar] [CrossRef]
- Shrimali, M.K.; Jangid, R.S. Seismic analysis of base-isolated liquid storage tanks. J. Sound Vib. 2004, 275, 59–75. [Google Scholar] [CrossRef]
- Sun, J.G.; Hao, J.F.; Liu, Y.; Wang, Z.; Cui, L.F. Simplified mechanical model for vibration isolation analysis of a vertical storage tank considering swinging effect. J. Vib. Shock 2016, 35, 20–27. [Google Scholar] [CrossRef]
- Vosoughifar, H.; Naderi, M. Numerical analysis of the base-isolated rectangular storage tanks under bi-directional seismic excitation. Br. J. Math. Comput. Sci. 2014, 4, 3054–3067. [Google Scholar] [CrossRef] [PubMed]
- Wang, J.; Wu, M.; Liu, F.; Bin, J.; He, J. Rubber-sand infilled soilbags as seismic isolation cushions: Experimental validation. Geosynth. Int. 2025, 32, 205–218. [Google Scholar] [CrossRef]
- Wang, H.G.; Wei, L.; Qiu, H.B. Experimental study on isolation performance of sand cushion and sand grains slip. Low Temp. Archit. Technol. 2013, 35, 65–66+75. [Google Scholar] [CrossRef]
- Wu, J.Y.; Yu, Q.Q.; Gu, X.L.; Zhou, F.Y. Seismic response analysis of large-scale lng storage tanks isolated by innovative isolation devices under near-fault earthquakes. Eng. Mech. 2024, 1–19. [Google Scholar] [CrossRef]
- Xu, W.J.; Yuan, K.; Li, Y.M.; Gou, X. Shaking table tests on the seismic performances of rural buildings with isolated sand cushion. J. Vib. Shock 2021, 40, 132–139. [Google Scholar] [CrossRef]
- Yang, Z.R.; Shou, B.N.; Sun, L.; Wamg, J.J. Earthquake response analysis of spherical tanks with seismic isolation. Procedia Eng. 2011, 14, 1879–1886. [Google Scholar] [CrossRef]
- Zheng, J.J. Dynamic Response Analysis of Three Dimensional Isolation of Large Scale Storage Tank Under the Action of Near Field Earthquake. Master’s Thesis, Guangzhou University, Guangzhou, China, 2018. [Google Scholar]





























| Parameter Category | Concrete | Stored Liquid |
|---|---|---|
| Elastic/bulk modulus | 3.0 × 1010 Pa | 2.3 × 109 Pa |
| Density | 2500 kg/m3 | 1000 kg/m3 |
| Poisson’s ratio | 0.167 | / |
| Damping Ratio | K (N/m) | C (N.s/m) |
|---|---|---|
| 0.1 | 1.61 × 105 | 1.02 × 104 |
| 0.2 | 1.61 × 105 | 2.05 × 104 |
| 0.3 | 1.61 × 105 | 3.07 × 104 |
Disclaimer/Publisher’s Note: The statements, opinions and data contained in all publications are solely those of the individual author(s) and contributor(s) and not of MDPI and/or the editor(s). MDPI and/or the editor(s) disclaim responsibility for any injury to people or property resulting from any ideas, methods, instructions or products referred to in the content. |
© 2025 by the authors. Licensee MDPI, Basel, Switzerland. This article is an open access article distributed under the terms and conditions of the Creative Commons Attribution (CC BY) license (https://creativecommons.org/licenses/by/4.0/).
Share and Cite
Zhang, H.; Mu, Y.; Ding, K.; Cheng, X. Shock Absorption Control of Sand-Layer Isolation Liquid Storage Structure with Soft Steel. Appl. Sci. 2025, 15, 10966. https://doi.org/10.3390/app152010966
Zhang H, Mu Y, Ding K, Cheng X. Shock Absorption Control of Sand-Layer Isolation Liquid Storage Structure with Soft Steel. Applied Sciences. 2025; 15(20):10966. https://doi.org/10.3390/app152010966
Chicago/Turabian StyleZhang, Hulin, Yiting Mu, Kai Ding, and Xuansheng Cheng. 2025. "Shock Absorption Control of Sand-Layer Isolation Liquid Storage Structure with Soft Steel" Applied Sciences 15, no. 20: 10966. https://doi.org/10.3390/app152010966
APA StyleZhang, H., Mu, Y., Ding, K., & Cheng, X. (2025). Shock Absorption Control of Sand-Layer Isolation Liquid Storage Structure with Soft Steel. Applied Sciences, 15(20), 10966. https://doi.org/10.3390/app152010966

