Next Article in Journal
Monitoring of Polychlorinated Biphenyls in the Transboundary Ile River and Characteristics of Its Transformations Along the River’s Discharge
Previous Article in Journal
An Asymmetric SiC Power Module Directly Integrated with Vapor Chamber for Thermal Balancing in MMC
 
 
Font Type:
Arial Georgia Verdana
Font Size:
Aa Aa Aa
Line Spacing:
Column Width:
Background:
Article

Stability Assessment of Road Pavement over Lava Caves Formed in Basalt Ground

1
Department of Civil Engineering, Jeju National University, 102 Jejudaehak-Ro, Jeju 63243, Republic of Korea
2
K.GEO Co., Ltd., 724 Yeonbuk-Ro, Jeju-si, Jeju 63243, Republic of Korea
3
Department of Urban Infra Engineering, Halla University, 28 Halladae-gil, Wonju-si 26404, Republic of Korea
4
Incheon Disaster Prevention Research Center, Incheon National University, 119 Academy-ro, Yeonsu-gu, Incheon 22012, Republic of Korea
5
RISE Project Group, Halla University, 28 Halladae-gil, Wonju-si 26404, Republic of Korea
*
Authors to whom correspondence should be addressed.
Appl. Sci. 2025, 15(20), 10871; https://doi.org/10.3390/app152010871
Submission received: 10 September 2025 / Revised: 30 September 2025 / Accepted: 9 October 2025 / Published: 10 October 2025
(This article belongs to the Special Issue Disaster Prevention and Control of Underground and Tunnel Engineering)

Abstract

Featured Application

This study provides a quantitative basis for evaluating pavement stability above lava caves, supporting risk-informed design and reinforcement strategies in basaltic regions.

Abstract

Lava caves commonly occur in basaltic ground and can compromise roadway stability when present beneath pavements; however, their long-term effects remain insufficiently characterized. This study quantitatively evaluates how lava caves influence pavement behavior using numerical analyses in ABAQUS/CAE. The parameters examined include the presence/absence of a cave, cave width, cover depth, pavement thickness, and load range. Load–settlement curves under a uniformly distributed surface load show that narrower load ranges concentrate stresses and produce larger settlements, whereas wider load ranges disperse stresses and reduce deformation. Classification of deformation behavior using a rutting criterion indicates that plastic soil response dominates under most conditions. A Peak Load Reduction (PLR) index further demonstrates that structural resistance decreases markedly with shallow cover, larger cave width, and narrower load range. Overall, pavement stability above lava caves is governed primarily by cover depth, load range, and cave width, while the effect of pavement thickness is negligible. These findings suggest that, in basaltic terrains, design and maintenance should prioritize subsurface conditions and loading characteristics over pavement thickness.

1. Introduction

Volcanic islands such as the Galápagos, Iceland, Hawaii, and Jeju are predominantly underlain by basaltic formations [1,2,3,4]. Beyond islands, basaltic ground is also widespread inland—for example, the Cheorwon–Pyeonggang lava plateau in Korea [5]. Basalt is an extrusive igneous rock produced by rapid lava cooling, and its texture varies with cooling rate during flow [6]: fine—grained basalt forms near the surface where cooling is rapid, whereas medium—grained basalt develops at depth where cooling is slower. When gas bubbles escape and voids are later filled with secondary minerals, amygdaloidal basalt forms. Because molten basalt has low viscosity and high fluidity, the surface can solidify quickly into a rigid crust while the interior continues to flow, producing tube-shaped lava caves beneath the crust.
Lava caves, which are commonly found in basaltic volcanic regions, serve to reduce heat loss at the surface of lava flows and thereby extend the flow for several kilometers [7]. These caves have been described by many researchers, and their diverse formation mechanisms have been investigated [8,9,10,11]. Beyond their scenic appearance, lava caves hold considerable geological and ecological value [12,13,14]. The interior of a lava cave creates a unique microenvironment isolated from external conditions, providing habitats for endemic species and preserving critical geological records of past volcanic activity and climate change. Although precise estimates are difficult, previous studies have reported approximately 50 lava caves in the Galápagos Islands [15], 500 in Iceland [16], and about 130 on Jeju Island [17]. Hawaii is considered the region with the largest number of lava caves, with estimates suggesting the existence of several thousand [18]. Such uncertainty arises because lava caves exhibit varied formation mechanisms and are affected by subsurface environmental factors such as toxic gases and temperature, making them difficult to detect or explore [19].
From an infrastructure perspective, road pavements over lava caves may face stability problems. Although basalt is stiff, its performance is strongly influenced by discontinuities such as joints and fractures [20,21]. When these coincide with a cave void, the surrounding rock mass can exhibit elevated collapse risk. Yet pavement design standards in many countries primarily consider traffic loading and bearing capacity of the subgrade or rock mass, with little explicit treatment of natural subsurface caves [22,23]. Even in Hawaii—where lava caves are most abundant—practice often emphasizes ground improvement beneath the pavement and increased layer stiffness while applying unchanged failure criteria [24]. Undetected caves can cause surface cracking and subsidence, leading to substantial maintenance costs and safety hazards.
Studies on road pavements subjected to loads above lava caves in basaltic ground are limited, and most have been conducted on Jeju Island in the Republic of Korea [25,26,27]. Some studies measured cracks in lava caves caused by vehicular loads through experiments, while others analyzed the effects inside caves by examining traffic-induced vibrations from roads located above them. In addition, caveBIM has been proposed for the continuous management of lava caves. However, these studies cannot be regarded as investigations of the influence of lava caves on the overlying pavement layers; rather, they have focused more on the stability of the caves themselves under external conditions.
The lava caves considered in this study share similarities with underground cavities or sinkholes in that they constitute empty spaces formed under various conditions. However, compared to lava caves that have existed for hundreds or even thousands of years, sinkholes and underground cavities are formed and transformed rapidly within a short time, are highly sensitive to ground conditions and external environmental changes, and thus are difficult to predict and less stable. Numerous studies have investigated the behavior and safety of road pavements above underground cavities or sinkholes [28,29,30,31]. Nevertheless, due to the aforementioned differences, it is impractical to equate them with lava caves or to directly apply such results. Therefore, research is needed to clarify the long-term influence of lava caves on overlying road pavements, and an approach that comprehensively considers the geological characteristics of basaltic ground and the diverse variables of lava caves is required.
In this study, the stability of roads over lava caves in basaltic regions is evaluated through numerical analysis using ABAQUS/CAE. Pavements on basaltic ground were modeled, and the behavior associated with the presence of lava caves was analyzed. The analytical variables included the presence or absence of caves, cave size, cover depth, and pavement thickness. Finally, the stability of the pavement was assessed based on the failure behavior of each analysis case. The findings of this study are expected to provide important scientific evidence for the design and maintenance of roads in basaltic regions, thereby contributing to safer and more efficient road infrastructure.

2. Underground Lava Cave and Road Pavement

2.1. Deformation and Risk of Lava Cave

Most studies describe lava caves (lava tubes) as forming when a solid crust develops over active lava channels [32]. Longer tubes can also form by inflation, a gradual process in which thin, hot lava spreads near the flow front, cools rapidly, and becomes a low-density crust; subsequent pulses of hotter lava then lift this crust and create new surface layers, repeating to build a primary roof with sharp boundaries [33]. In this way, the earliest, thin and viscous sheet is emplaced rapidly; the next pulse lifts it; and continued repetition forms a rigid lava crust while the hottest lava continues to flow beneath, ultimately excavating a tunnel.
When superstructures such as road pavements or buildings are located above lava caves, the loads imposed on the cave roof may affect ground stability. In particular, when the loads from structures are concentrated on the roof, stress concentration in the roof increases the risk of local collapse [34]. Such collapse can threaten the structural safety of pavements or buildings and may cause human casualties or property damage.
In general, studies directly analyzing the effects of structures placed above lava caves are very limited. However, by synthesizing the findings of existing studies on the structural stability of lava caves themselves [35,36], it can be inferred that the risks associated with the presence of structures above lava caves arise primarily from two aspects. First is the stress concentration and deformation potential in the cave roof due to loads. Laser scanning and finite element analysis (FEA) have demonstrated that stress is locally concentrated depending on the cross-sectional shape and aspect ratio of lava caves, thereby increasing the likelihood of roof collapse. Second is the potential influence of changes in groundwater flow or pore pressure induced by the presence of superstructures. Modifications or installations of superstructures can alter groundwater pathways or increase pore pressure, thereby reducing cave ground stability. Although direct research cases remain scarce, evidence from previous studies on lava cave stability indicates that the effects of superstructures cannot be neglected, and sufficient consideration is required in structural design.

2.2. Stability of Road Pavement

Pavement stability is commonly evaluated along two axes: (i) serviceability, and (ii) control of excessive permanent (plastic) deformation. Serviceability reflects the level of service delivered to users and is a core element in the AASHTO design framework [22,37]. It is often interpreted as maintaining surface condition and ride quality over time [38]. The AASHTO Road Test formalized this concept as the Present Serviceability Index (PSI), supported by indicators such as the International Roughness Index (IRI), rutting, fatigue cracking, and skid resistance.
Serviceability centers on user comfort and safety rather than structural capacity. As noted by FHWA, pavements with limited structural reserves may still provide acceptable ride quality; hence serviceability is not a direct measure of structural strength [39]. Structural deformation, in contrast, is typically assessed via rutting (permanent deformation in wheel paths), which can be related to material stress–strain response [40]. Accordingly, pavement structural behavior must be interpreted using both linear (elastic) and nonlinear (plastic) stress–strain characteristics.

2.2.1. Rutting

Rutting is a progressive depression in wheel paths under repeated traffic, often accompanied by slight lateral heave [41]. It results from a combination of densification and shear deformation and may occur within the subgrade and/or one or more pavement layers. Functionally, rutting forms water-holding troughs that exacerbate hydroplaning risk, loss of vehicle control, and splash and spray under wet conditions, thereby degrading ride quality and serviceability [42,43]. Accordingly, rutting limits are primarily a serviceability-based stability criterion that governs user comfort and operational safety rather than ultimate structural capacity.
Traditional flexible pavement design limits the maximum allowable rut depth for the whole structure. AASHTO [22] classifies surface rut severity as low (6–13 mm), medium (13–25 mm), and high (>25 mm). FHWA specifies 0.5 in (12.7 mm) as the maximum allowable rut depth to mitigate hydroplaning potential at approximately 55 mi/h (90 km/h) [44]. These thresholds regulate stability in the serviceability sense (ride quality and safety), even when structural reserves may remain.

2.2.2. Nonlinear Behavior for Structural Stability

Assessing nonlinear behavior is essential for verifying structural (strength-based) stability, which is distinct from the serviceability-based stability governed by rutting limits. The stress–strain response of pavement materials under applied loading enables evaluation beyond the elastic range and supports performance prediction under repeated loads [45]. Figure 1 illustrates representative stress–strain relationships for pavement systems.
Under loading, the system first exhibits elastic behavior—settlement proportional to load and fully recoverable upon unloading—then transitions past yield to plastic behavior with residual deformation and cumulative damage. Plastic response may manifest as hardening (resistance increases after yield, indicating development of a stable long-term capacity), perfect plasticity (continued deformation at approximately constant resistance), or softening (progressive deformation under decreasing resistance due to internal damage/microcracking). A residual strength plateau can occur in both hardening and softening; in the former it reflects a stable capacity, whereas in the latter it marks a minimum, potentially unstable post-peak state once peak strength is exhausted. In practice, nonlinear analysis of load–settlement or stress–strain curves determines whether adequate safety margins against collapse or progressive failure remain even when serviceability criteria are still satisfied.

3. Modeling and Methodology

3.1. Basic Model

To evaluate rutting (serviceability based stability) and nonlinear, strength-based behavior, we constructed a baseline finite element model consisting of a basalt foundation, a sand base course, and an asphalt concrete surface layer (Figure 2). The computational domain measured 60 m in width and 20 m in depth to fully capture the stress field induced by the applied loads and to minimize boundary effects. The asphalt concrete was selected as the surface layer because it is the most widely used flexible pavement and enables a clear assessment of its influence on ground response. The asphalt layer and base course were placed on the basalt under full-contact conditions. To examine thickness sensitivity, the asphalt concrete layer was modeled at three values: 0.10 m, 0.20 m, and 0.30 m.
The material properties in Table 1 were adopted from Jeju Island case studies of pavements over basaltic ground [46,47], matching the lithology, construction practice, and stress conditions considered here. The basaltic foundation is modeled as a Mohr–Coulomb rock mass with elastic–plastic behavior, because the field setting involves jointed and locally weathered basalt rather than intact cores; Mohr–Coulomb parameters (cohesion, friction angle) compactly represent shear strength at the rock-mass scale within the stress range relevant to pavement loading. The sand base is treated as a low-cohesion, friction-dominated granular layer, and the asphalt surface is idealized as linear elastic. This elastic idealization is intentional: it isolates the influence of ground nonlinearity on load–deformation behavior without confounding rate/temperature effects in asphalt.
Under the Mohr–Coulomb theory for the basaltic ground, higher cohesion and friction angle are expected to increase peak load capacity and reduce settlements, whereas lower values promote earlier yielding and larger deformations. A higher elastic modulus of basalt reduces settlement and steepens the initial load–deformation slope; a lower elastic modulus has the opposite effect. Variations in Poisson’s ratio are secondary relative to other parameters. For the linear elastic asphalt layer, changes in elastic modulus, Poisson’s ratio, or thickness mainly scale elastic surface deflection and do not contribute to permanent deformation in this setup.

3.2. Load Conditions

In general, the loads acting on road pavements arise as localized, concentrated pressures from wheel and axle actions. In this study, however, to simplify the analysis and focus on overall behavior, a uniformly distributed load (UDL) was assumed and applied across the full lane width, as shown in Figure 3. The load cases corresponded to one, two, and three lanes, with widths of 3 m, 6 m, and 9 m, respectively. This configuration was intended to simulate multiple vehicles traveling simultaneously, wherein individual loads overlap temporally and disperse spatially. By distributing the load across the entire lane width, the stresses and deformations transmitted to the pavement and subgrade can be evaluated in a conservative method [48].

3.3. Lava Cave Model Under Road Pavement

Field observations and process studies show that most lava caves form by channel roofing and/or inflation during lava flow emplacement, yielding passages with predominantly elliptical to sub elliptical cross-sections and spatially variable cover depth [8,49]. Their mechanical response under surficial loading is governed primarily by width, cover depth, and the rock mass quality of the host basalt (jointing, weathering) [50,51]. From a rock mechanics standpoint, curved perimeters such as elliptical sections reduce perimeter stress concentration, whereas corners elevate local stresses at the crown and haunches that an effect well established in underground excavation design [51,52]. These characteristics motivate a conservative idealization for numerical modeling and clarify which geometric controls should be emphasized when assessing pavement and void interaction.
In reality, lava caves have complex, irregular geometries, and their cross-sections are generally elliptical. In this study, however, the cave cross-section was idealized as rectangular for analytical simplification and conservative evaluation as shown in Figure 4. A rectangular section produces stress concentrations near the corners, which can yield a lower assessment of structural stability than an elliptical shape; thus, this approach provides a conservative estimate under more unfavorable conditions than typically occur in situ. The rectangular geometry also offers practical advantages for the analysis, simplifying mesh generation and the specification of boundary conditions in the numerical simulations.
The analytical cases comprised five parameters, as summarized in Table 2. Although no specific standard exists for cover depth, when a uniformly distributed load is applied over a finite width, the depth of influence generally depends on load-transfer characteristics and is typically estimated as approximately 1–2 times the loaded width. Accordingly, given the load ranges considered, the maximum cover depth was set to 18.0 m. The cave width was defined to be equal to the applied load range, while the cave height was fixed at 1 m. This assumption follows previous work [53], which reported that deformation attributable to cave height under pavement loading is negligible and that the load–deformation relationship remains essentially unchanged.
The results for the specified analysis cases will vary across field settings. Within the stated ranges, the cases are intended to elucidate how variations in geometry and loading alter the behavior of pavements underlain by lava caves. For application to other sites, the same case framework may be retained, but the case ranges should be selected to match local conditions, with the understanding that the resulting responses may change.

4. Results

4.1. Load and Deformation Curves

Figure 5 presents the results for the basic model without lava caves. In this case, pavement thickness had no discernible effect on the response. For a given applied load, narrower load ranges produced greater deformation because the load was more concentrated on the ground, whereas wider load ranges dispersed the load, reduced the stress per unit width, and resulted in smaller deformation. Viewed inversely, for a given deformation level, the required uniformly distributed load (UDL) was larger when the load range was narrower, since a more concentrated load is needed to induce the same deformation over a smaller width. As the load range increased, stresses were distributed over a wider area, and the UDL per unit width required to achieve the same deformation decreased.
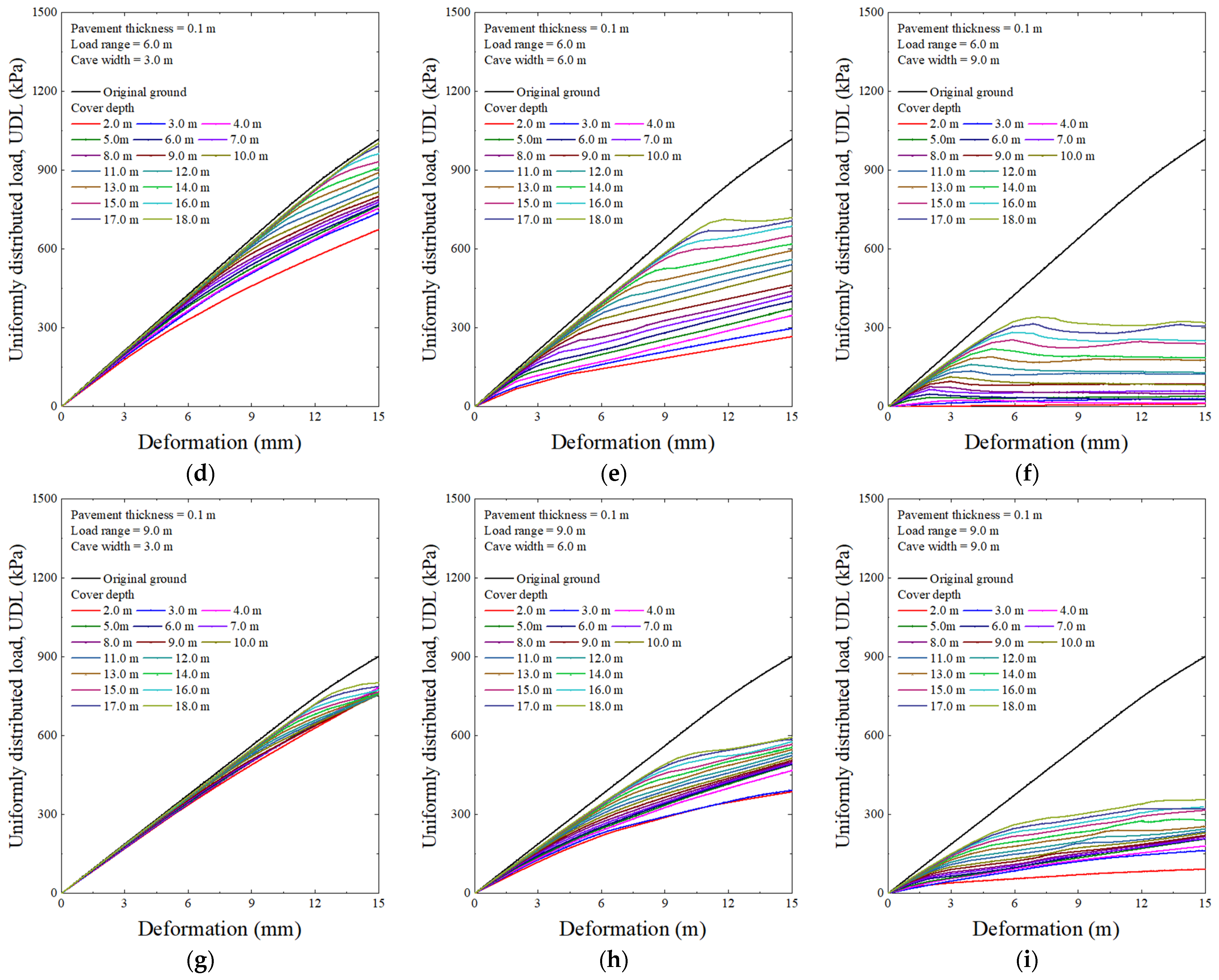
When a lava cave is present, the load–deformation responses are shown in Figure 6. Deformation is plotted up to 15 mm to reflect permanent deformation (rutting) in accordance with the FHWA criterion [44], and load is reported as UDL to enable visual comparison across cases. At this stage, the influence of asphalt thickness is negligible. Consequently, Figure 6 presents results for a representative pavement thickness of 0.10 m.
An increase in cover depth consistently enhanced the stability of the ground above the lava cave. At shallow cover, large deformations occurred due to stress concentration and low confining pressure; at intermediate cover, incomplete development of arching led to dominant softening behavior beyond the peak UDL. By contrast, at greater cover depths, higher confinement increased shear strength, producing smaller deformations under the same UDL and requiring larger loads to reach an equivalent deformation level.
As seen in Figure 6(a–d–g), (b–e–h), and (c–f–i), the influence of cover depth diminishes as the load range increases at constant cave width. Narrower load ranges cause localized stress concentration, amplifying variations in stress-transfer paths with cover depth, whereas wider load ranges disperse stresses over a broader area and therefore reduce sensitivity to cover depth.
Similarly, in Figure 6(a–b–c), (d–e–f), and (g–h–i), the curves shift downward as cave width increases under the same load-range conditions. For smaller cave widths, arching allows for effective lateral load transfer, yielding relatively high resistance. With larger widths, arching weakens and the overlying ground responds more like a plate, reducing bearing capacity at the same deformation. These trends identify cave width as a critical design parameter governing ground stability.

4.2. Behavior with Rutting Criteria

The loading conditions in this study did not explicitly simulate the cumulative effects of repeated traffic; instead, a static uniformly distributed load was applied across the full lane width. Even so, the FHWA rutting criterion of 12.7 mm was adopted as a serviceability limit, i.e., a critical deformation representative of functional performance. Using this threshold, the behavioral types observed under each analytical condition (elastic, hardening, softening, and residual strength) were identified, enabling a relative comparison of structural stability and potential performance degradation in cases where plastic ground behavior governs the overall response. In this way, the rutting criterion provides a practical linkage between static analysis results and serviceability-oriented pavement evaluation and design decision.
When the FHWA limit of 12.7 mm was reached, the behavior of the UDL–deformation curves for each analytical case is summarized in Table 3 (E = elastic, H = hardening, S = softening, R = residual strength). It was confirmed that pavement thickness had no effect in these classifications because the pavement layer was modeled as linear elastic; all deformation within the asphalt layer was recovered and did not contribute to permanent deformation. Consequently, rutting behavior in this analysis occurred primarily in the ground, which was modeled with Mohr–Coulomb plasticity, indicating that the overall permanent deformation was controlled by ground response rather than pavement thickness.
A schematic representation of Table 3 is shown in Figure 7. Out of a total of 459 analytical cases, 153 cases excluding pavement-thickness variations were classified. The most frequent behavior was hardening (82 cases; 53.6%), in which resistance increases continuously with deformation. The next most common was softening → residual (S → R) (44 cases; 28.8%), where resistance decreases with deformation and then converges to a residual-strength level. Hardening → residual (H → R) (17 cases; 11.1%) denotes an initial increase in resistance followed by a reduction and stabilization at a residual level, whereas elastic behavior (10 cases; 6.5%) corresponds to fully recoverable deformation with a linear response and no permanent plastic strain.
Overall, hardening and elastic responses dominated, indicating adequate ground resistance under many conditions. However, the occurrence of S → R warrants particular attention because it reflects a transition from strength degradation to a residual state. The proportion of S → R cases increased with larger cave widths, consistent with reduced overburden support and intensified stress concentration, and S → R became more prevalent as the load range widened to 6.0 m and 9.0 m. These trends identify S → R as a critical indicator of potential instability governed primarily by cave geometry and load distribution.

4.3. Peak Load Reduction with Lava Cave

To quantitatively evaluate the structural influence of the cave, the peak UDL of the basic model without a cave (Ppeak,basic) was compared with that of the model including a cave (Ppeak,cave). Based on this comparison, a dimensionless index, the Peak Load Reduction (PLR), was defined as Equation (1). For cases exhibiting ‘softening’ or ‘softening → residual’ behavior, the peak UDL was defined as the maximum UDL clearly observed on the curve. In contrast, for ‘elastic’ or ‘hardening’ behavior, where a distinct peak point does not exist, the peak UDL was determined as the load corresponding to the FHWA rutting criterion displacement of 12.7 mm.
P L R = P p e a k , c a v e P p e c k , b a s i c
The introduction of this index was motivated by two considerations. First, absolute peak UDL values vary markedly with cover depth, load range, and cave width, hindering direct comparison across conditions. PLR normalizes these differences and enables a consistent interpretation of the cave’s relative influence. Second, PLR provides an intuitive measure of the reduction in structural performance attributable to the cave, offering a practical criterion for design and safety assessment.
Figure 8 shows the variation in PLR with cover depth for different cave widths and load ranges. Although PLR generally increases with increasing cover depth, the most influential factor is cave width. For smaller widths (3 m), PLR remains high and approaches unity rapidly with depth, reflecting a strong arching effect that concentrates load transfer and enhances peak-load capacity. In contrast, larger widths (9 m) exhibit considerably lower PLR values, with only gradual increases even at greater depths, indicating weakened overburden support and reduced effectiveness of arching.
The influence of load range is evident but comparatively less significant. Narrow ranges (3.0 m) yield relatively higher PLR due to localized stress concentration, whereas wider ranges (6.0 m and 9.0 m) produce more gradual increases as stresses are distributed more evenly. However, the magnitude of these load-range effects is secondary to the dominant role of cave width.

4.4. Effects of Analytical Parameters on Road Pavement and Ground Behavior

Based on the overall analysis results, the effects of each parameter on road pavement behavior can be summarized as follows. First, cover depth was identified as the most dominant factor governing the stability of the ground above the cave. At shallow depths, large deformations occurred due to stress concentration and low confining pressure, leading to softening or residual behavior. In contrast, greater depths enhanced shear strength through increased confining pressure, resulting in smaller deformations under the same load and requiring higher loads to reach the same deformation level.
Second, the load range significantly altered stress distribution characteristics. Nar-rower ranges produced localized stress concentration, amplifying the behavioral differences depending on cover depth. As the load range widened, however, stresses became more evenly distributed, and the sensitivity to cover depth gradually decreased. This indicates that traffic load distribution characteristics are a critical parameter for stability assessment above caves.
Third, cave width was closely associated with the arching effect. Smaller widths al-lowed loads to be effectively transferred to the sides, resulting in greater resistance, whereas larger widths weakened the arching effect and caused the overlying ground to behave like a plate, reducing bearing capacity at the same deformation. This tendency was also confirmed in the PLR analysis, demonstrating that cave width is a key design parameter controlling structural vulnerability.
Finally, pavement thickness was found to have little influence on the analysis results. Since the pavement layer was modeled as an elastic material, all deformations caused by loading were recovered and did not contribute to permanent deformation. Therefore, the observed settlement and plastic behavior were governed predominantly by the ground characteristics, and increasing pavement thickness did not fundamentally enhance structural stability.

5. Discussion

This study shows that geotechnical parameters, cover depth, load range, and cave width, govern the structural stability of pavements over lava caves far more than pavement thickness. Simply increasing the asphalt layer does not ensure stability; instead, stability depends on subsurface conditions and loading characteristics. The proposed PLR index provides a normalized, intuitive measure of cave induced performance loss and thus offers a practical basis for risk assessment and reinforcement design.
Notably, pavement response was affected even for relatively deep caves in some scenarios. This outcome likely reflects several modeling choices: the linear elastic pavement assumption, the full-bond interface, and the rectangular cave idealization. Each can intensify stress transfer to the cave roof and thereby overstate the influence of deep voids. In addition, the 2D framework cannot reproduce the full 3D redistribution of stresses, particularly arching and lateral diffusion, that can mitigate surface response in the field. Addressing these limitations will require viscoelastic and damage accumulation models for asphalt, more realistic pavement–ground interface conditions, and 3D simulations to resolve multidirectional stress paths and load redistribution.
Our PLR results agree with prior studies in that cover depth (roof thickness) and cave width (span) are the primary controls on stability, whereas the influence of load range is observable but comparatively modest. Finite element analyses of lava cave stability consistently identify roof thickness and span as dominant parameters [34,50] and pavement–void studies likewise show that cavity size/shape and cover depth govern surface response [29]. Within this context, our study is distinctive in that it introduces a normalized PLR metric referenced to a no-cave baseline to compare differing cover depth, width of cave and load range conditions on a common scale, it utilizes PLR and nonlinear behavior within a full factorial analysis framework, providing a reusable basis for de-sign and assessment.
Additionally, further work should incorporate long-term deterioration mechanisms, repeated and dynamic traffic loading, and multiple caves with irregular geometries. Integrating the PLR metric with field monitoring would enhance the reliability of stability assessments. Overall, the stability of pavements above lava caves cannot be ensured by structural thickening alone; it requires a comprehensive ground–structure interaction approach. Such developments will support performance based design and risk-management frameworks for pavements in basaltic terrains.

6. Conclusions

The results indicate that stability above lava caves is governed primarily by subsurface geometry and loading not by pavement thickness. Therefore, design checks should begin with the cover depth: low cover depth relative to cave width promotes softening or residual behavior, whereas greater cover depth increases confinement and delays inelastic response. Routine increases in asphalt thickness improve serviceability but do not materially change structural safety within the ranges examined.
Also, the proposed PLR index enables normalized comparison across sites that differ in cover depth, cave width, and load range. In practice, a small set of finite element cases spanning plausible geometries and traffic scenarios can be used to compute PLR; segments with low PLR are candidates for mitigation, while high PLR segments may be managed through monitoring and periodic reassessment.
Because load range modulates stress dispersion, operational controls can be effective near sensitive cave widths, temporarily limiting simultaneous multi-lane loading, staggering heavy vehicles, or adjusting lane usage to avoid placing peak loads over the cave crown/haunches. Where analysis indicates persistent vulnerability, especially large cave widths with shallow cover depths, consider grouting, micro-piles, columns, bridge type slabs, or minor lane realignment to redirect load paths.

Author Contributions

Conceptualization, D.-W.L. and D.-H.K.; Methodology, D.-W.L.; Software, K.L.; Validation, D.-W.L., D.-H.K. and D.W.; Formal analysis, D.-W.L.; Investigation, D.-W.L., D.W. and J.P.; Resources, J.P. and D.W.; Data curation, D.-W.L.; Writing—original draft preparation, D.-W.L. and D.-H.K.; Writing—review and editing, K.L. and G.H.; Visualization, D.-W.L. and J.P.; Supervision, K.L. and G.H.; Project administration, D.-W.L.; Funding acquisition, D.W. and G.H. All authors have read and agreed to the published version of the manuscript.

Funding

This research was supported by the Regional Innovation System & Education (RISE) program through the Gangwon RISE Center, funded by the Ministry of Education (MOE) and the Gangwon State (G.S.), Republic of Korea (2025-RISE-10-008).

Institutional Review Board Statement

Not applicable.

Informed Consent Statement

Not applicable.

Data Availability Statement

The original contribution presented in the study are included in the article material, further inquiries can be directed to the corresponding authors.

Conflicts of Interest

Author Do-Hyeong Kim was employed by the company, K.GEO Co., Ltd. The remaining authors declare that the research was conducted in the absence of any commercial or financial relationships that could be construed as a potential conflict of interest.

References

  1. Richardson, C. Petrology of the Galapagos islands. Bernice P. Bish. Mus. Bull. 1933, 110, 45–67. [Google Scholar]
  2. Powers, H.A. Composition and origin of basaltic magma of the Hawaiian Islands. Geochim. Cosmochim. Acta 1955, 7, 77–107. [Google Scholar] [CrossRef]
  3. Sigmarsson, O.; Steinthórsson, S. Origin of Icelandic basalts: A review of their petrology and geochemistry. J. Geodyn. 2007, 43, 87–100. [Google Scholar] [CrossRef]
  4. Kim, C.; Khant, N.A.; Jeon, Y.; Kim, H.; Lim, C. Geochemical characterization of intraplate magmatism from quaternary alkaline volcanic rocks on Jeju Island, South Korea. Appl. Sci. 2021, 11, 7030. [Google Scholar] [CrossRef]
  5. Yoon, I.S.; Kim, S.B. A study on iron compounds of volcanic basalt at Hantan Riverside in Cheorwon. J. Korean Magn. Soc. 2015, 25, 169–173. [Google Scholar] [CrossRef]
  6. Prakash, I.; Pham, B.T. Geotechnical Evaluation of Basalt Rocks: A review in the context of the construction of Civil Engineering structures. J. Sci. Transp. Technol. 2023, 3, 10–24. [Google Scholar] [CrossRef]
  7. Grimes, K.G. Lava tube formation. Regolith Mapp. 2005, 1, 1–4. [Google Scholar]
  8. Calvari, S.; Pinkerton, H. Formation of lava tubes and extensive flow field during the 1991–1993 eruption of Mount Etna. J. Geophys. Res. Solid Earth 1998, 103, 27291–27301. [Google Scholar] [CrossRef]
  9. Dragoni, M. Modelling the rheology and cooling of lava flows. In Active Lavas, 1st ed.; Routledge: London, UK, 2022; pp. 235–261. [Google Scholar]
  10. Griffiths, R.W.; Kerr, R.C.; Cashman, K.V. Surface solidification in open channel flow. In Proceedings of the 14th Australasian Fluid Mechanics Conference, Adelaide, Australia, 9–14 December 2001. [Google Scholar]
  11. Cashman, K.V.; Kerr, R.C.; Griffiths, R.W. A laboratory model of surface crust formation and disruption on lava flows through non-uniform channels. Bull. Volcanol. 2006, 68, 753–770. [Google Scholar] [CrossRef]
  12. Phuc, L.T.; Tachihara, H.; Honda, T.; Tuat, L.T.; Thom, B.V.; Hoang, N.; Chikano, Y.; Yoshida, K.; Tung, N.T.; Danh, P.N.; et al. Geological values of lava caves in Krongno volcano geopark, Dak Nong, Vietnam. Vietnam. J. Earth Sci. 2018, 40, 299–319. [Google Scholar] [CrossRef]
  13. Sallam, E.S.; Ruban, D.A.; Mostafa, M.T.; Elkhodery, M.K.; Alwilily, R.L.; Molchanova, T.K.; Zorina, S.O. Unique desert caves as a valuable geological resource: First detailed geological heritage assessment of the Sannur Cave, Egypt. Arab. J. Geosci. 2020, 13, 141. [Google Scholar] [CrossRef]
  14. Piano, E.; Nicolosi, G.; Mammola, S.; Balestra, V.; Baroni, B.; Bellopede, R.; Cumino, E.; Muzzulini, N.; Piquet, A.; Isaia, M. A literature-based database of the natural heritage, the ecological status and tourism-related impacts in show caves worldwide. Nat. Conserv. 2022, 50, 159–174. [Google Scholar] [CrossRef]
  15. Hernández, J.J.; Izquierdo, I.; Oromí, P. Contribution to the vulcanospeleology of the Galapagos Islands. In Proceedings of the 6th International Symposium on Vulcanospeleology, Hilo, HI, USA, 5–9 August 1991. [Google Scholar]
  16. Exploring Iceland’s Volcanic Caves and Lava Tubes. Available online: https://www.icelandia.com/inspiration/volcanic-caves-and-lava-tubes (accessed on 9 January 2025).
  17. Kempe, S.; Woo, K.S. Geological Observations in Pyroducts of Jeju Island (South Korea). In Proceedings of the 17th Symposium of Vulcanospeleology, Big Island, HI, USA, 6–12 February 2016. [Google Scholar]
  18. Journey to the Center of the Earth. Available online: https://fluxhawaii.com/journey-to-the-center-of-the-earth/ (accessed on 15 July 2019).
  19. Plank, S.; Shevchenko, A.V.; d’Angelo, P.; Gstaiger, V.; González, P.J.; Cesca, S.; Martinis, S.; Walter, T.R. Combining thermal, tri-stereo optical and bi-static InSAR satellite imagery for lava volume estimates: The 2021 Cumbre Vieja eruption, La Palma. Sci. Rep. 2023, 13, 2057. [Google Scholar] [CrossRef] [PubMed]
  20. Zhang, J.C.; Jiang, Q.; Hao, X.J.; Feng, G.L.; Li, S.J.; Wang, Z.L.; Fan, Q.X. Analysis of stress-structural collapse mechanism of columnar jointed basalt under high stress. Rock Soil Mech. 2021, 42, 8. [Google Scholar] [CrossRef]
  21. Feng, Y.; Pan, P.Z.; Hou, W.; Zheng, Q.; Wang, Z. Mechanical behaviors and progressive fracture processes of dry basalt after Martian cryogenic freeze-thaw cycles. J. Mater. Res. Technol. 2024, 31, 4153–4164. [Google Scholar] [CrossRef]
  22. American Association of State Highway and Transportation Officials (AASHTO). Guide for Design of Pavement Structures; American Association of State Highway and Transportation Officials (AASHTO): Washington, DC, USA, 1993. [Google Scholar]
  23. Design Manual for Roads and Bridges (DMRB) CD 226; Design for New Pavement Construction. Available online: https://www.standardsforhighways.co.uk/search/9654b4de-efa7-4843-8598-295019387077 (accessed on 1 November 2021).
  24. The State of Hawaii Department of Transportation (HDOT). Hawaii Statewide Transportation Asset Management Plan; The State of Hawaii Department of Transportation (HDOT): Honolulu, HI, USA, 2024. [Google Scholar]
  25. Waltham, A.C.; Park, H.D. Roads over lava tubes in Cheju Island, South Korea. Eng. Geol. 2002, 66, 53–64. [Google Scholar] [CrossRef]
  26. Lee, J.H.; Jin, H.S.; An, J.S.; Baek, Y. Numerical Analysis Study for Behavioral Characteristics Analysis of Jeju Natural Caves (Jaeamcheon Lava tube) That Intersect with Roads. J. Eng. Geol. 2021, 31, 367–380. [Google Scholar] [CrossRef]
  27. An, J.S.; Kim, W.; Baek, Y.; Kim, J.H.; Lee, J.H. Building Information Modeling of Caves (CaveBIM) in Jeju Island at a Specific Site below a Road at Jaeamcheon Lava Tube and at a Broader Scale for Hallim Town. J. Eng. Geol. 2022, 32, 449–466. [Google Scholar] [CrossRef]
  28. Lee, S.; Park, J.J.; Cho, B.H. Management of cavities under flexible pavement road network in metropolitan area: Detection, evaluation, and rehabilitation. Dev. Built Environ. 2022, 12, 100091. [Google Scholar] [CrossRef]
  29. Coni, M.; Portas, S.; Rombi, J.; Maltinti, F. The effect of subgrade cavity on pavement. a case study. In Proceedings of the International Conference on Computational Science and Its Applications, Athens, Greece, 3–7 July 2023. [Google Scholar] [CrossRef]
  30. Cao, L.; Li, Z.; Li, X.; Li, J.; Lv, X. Method for Determining Road Comprehensive Bearing Capacity Based on the Cavity Diameter-to-Depth Ratio. Int. J. Geomech. 2025, 25, 04025123. [Google Scholar] [CrossRef]
  31. Luo, X.; He, J.; Zhang, D.; Zhu, J.; Li, M.; Zhang, B.; Li, Q. Evaluating subsurface cavities detection using innovative laser dynamic deflectometer for efficient and large-scale urban road network inspections. Tunn. Undergr. Space Technol. 2025, 159, 106471. [Google Scholar] [CrossRef]
  32. Francis, P. Volcanoes a Planetary Perspective; Oxford University Press: Oxford, UK, 1993. [Google Scholar]
  33. Kempe, S. Principles of pyroduct (lava tunnel) formation. In Proceedings of the 15th International Congress of Speleology, Kerrville, TX, USA, 19–26 July 2009. [Google Scholar]
  34. Theinat, A.K.; Modiriasari, A.; Bobet, A.; Melosh, H.J.; Dyke, S.J.; Ramirez, J.; Choi, J.; Maghareh, A.; Gomez, D. Geology exploration of lava tubes in the lava beds national monuments. In Proceedings of the 50th Lunar and Planetary Science Conference, The Woodlands, TX, USA, 18–22 March 2019. [Google Scholar]
  35. Chwała, M.; Bodlak, M.; Whelley, P. Stability and collapse analysis of terrestrial lava tubes under irregular shapes: Case study of skull and Valentine Caves. J. Geophys. Res. Planets 2025, 130, e2025JE009109. [Google Scholar] [CrossRef]
  36. Jordá-Bordehore, L.; Toulkeridis, T. Stability assessment of volcanic natural caves–Lava tunnels–Using both empirical and numerical approach, case studies of galapagos islands (Ecuador) and lanzarote Island (Canary–Spain). In Proceedings of the ISRM International Symposium-EUROCK, Cappadocia, Turkey, 29–31 August 2016. [Google Scholar]
  37. Hernán de Solminihac, T.; Salsilli, R.; Kohler, E.; Bengoa, E. Analysis of pavement serviceability for the ASHTO design method: The Chilean case. Arab. J. Sci. Eng. 2003, 28, 143–160. [Google Scholar]
  38. Cary, W.N. The pavement serviceability-performance concept. HRB Bull. 1960, 250, 40–58. [Google Scholar]
  39. Relating Ride Quality and Structural Adequacy for Pavement Rehabilitation/Design Decisions. Available online: https://www.fhwa.dot.gov/publications/research/infrastructure/pavements/ltpp/12035/001.cfm?utm_source=chatgpt.com (accessed on 1 November 2012).
  40. Nega, A.; Gedafa, D.; Nikraz, H. Stress and strain characteristics in flexible pavement using three-dimensional nonlinear finite element analysis. Int. J. Pavement Res. Technol. 2024, 17, 1498–1512. [Google Scholar] [CrossRef]
  41. Albayati, A. A review of rutting in asphalt concrete pavement. Open Eng. 2023, 13, 20220463. [Google Scholar] [CrossRef]
  42. Cenek, P.D.; Henderson, R.J.; Forbes, M.; Davies, R.B.; Tait, A. The Relationship Between Crash Rates and Rutting. In Tiehallinn; Finnish Road Administration: Helsinki, Finland, 2014. [Google Scholar]
  43. Elvik, R.; Høye, A.; Vaa, T.; Sørensen, M. (Eds.) The Handbook of Road Safety Measures. Emerald Group Publishing Limited: Leeds, UK, 2009; ISBN 978-1-84855-250-0. [Google Scholar]
  44. Pavement Performance Measures and Forecasting and The Effects of Maintenance and Rehabilitation Strategy on Treatment Effectiveness. Available online: https://www.fhwa.dot.gov/publications/research/infrastructure/pavements/ltpp/17095/004.cfm?utm_source=chatgpt.com (accessed on 1 September 2017).
  45. Leon, L.; Gay, D.; Simpson, N.; Edwin, S. Stress-strain and failure modes of asphalt concrete in compression due to geometrical changes. In Proceedings of the 16th LACCEI International Multi-Conference for Engineering, Education, and Technology, Lima, Peru, 18–20 July 2018. [Google Scholar]
  46. Lee, K.C.; Song, J.Y.; Ahn, U.S.; Park, Y.C.; Cho, K.N. A study on the vehicles and construction equipments vibration characteristics of Geomunoreum lava tube system, Jeju island. J. Geol. Soc. Korea 2021, 57, 209–225. [Google Scholar] [CrossRef]
  47. Nam, J.M.; Yun, J.M.; Song, Y.S.; Kim, J.H. Analysis of influence factors to compressive and tensile strength of basalt in Cheju Island. J. Eng. Geol. 2008, 18, 215–225. [Google Scholar]
  48. Vale, C. Influence of vertical load models on flexible pavement response—An investigation. Int. J. Pavement Eng. 2008, 9, 247–255. [Google Scholar] [CrossRef]
  49. Cooper, K.M.; Kauahikaua, J.P. Morphology of Extinct Lava Tubes and the Implications for Tube Evolution, Chain of Craters Road, Hawaii Volcanoes National Park, Hawaii (No. 92-352); US Geological Survey: Reston, VA, USA, 1992. [Google Scholar]
  50. Blair, D.M.; Chappaz, L.; Sood, R.; Milbury, C.; Bobet, A.; Melosh, H.J.; Howell, K.C.; Freed, A.M. The structural stability of lunar lava tubes. Icarus 2017, 282, 47–55. [Google Scholar] [CrossRef]
  51. Hoek, E. Practical Rock Engineering; Rocscience: Toronto, ON, Canada, 2007. [Google Scholar]
  52. Hoek, E. Rock Mechanics—An introduction for the practical engineer. Min. Mag. 1966, 114, 236–255. [Google Scholar]
  53. Lee, K.; Park, J.; Choi, B.H.; Kim, D. Analysis of influencing factors on cavity collapse and evaluation of the existing cavity management system. J. Korean Geosynth. Soc. 2018, 17, 45–54. [Google Scholar] [CrossRef]
Figure 1. Nonlinear behavior of road pavement under loading.
Figure 1. Nonlinear behavior of road pavement under loading.
Applsci 15 10871 g001
Figure 2. Modeling of basalt and road pavement.
Figure 2. Modeling of basalt and road pavement.
Applsci 15 10871 g002
Figure 3. Application of uniformly distributed load along the lane.
Figure 3. Application of uniformly distributed load along the lane.
Applsci 15 10871 g003
Figure 4. Modeling of simulation for basalt lava cave.
Figure 4. Modeling of simulation for basalt lava cave.
Applsci 15 10871 g004
Figure 5. Results of basic model with range of UDL.
Figure 5. Results of basic model with range of UDL.
Applsci 15 10871 g005
Figure 6. UDL and deformation curves with different load ranges (3, 6, and 9 m) and cave widths (3, 6, and 9 m) at a pavement thickness of 0.1 m. Cases: (a) 3 m × 3 m, (b) 3 m × 6 m, (c) 3 m × 9 m, (d) 6 m × 3 m, (e) 6 m × 6 m, (f) 6 m × 9 m, (g) 9 m × 3 m, (h) 9 m × 6 m, (i) 9 m × 9 m.
Figure 6. UDL and deformation curves with different load ranges (3, 6, and 9 m) and cave widths (3, 6, and 9 m) at a pavement thickness of 0.1 m. Cases: (a) 3 m × 3 m, (b) 3 m × 6 m, (c) 3 m × 9 m, (d) 6 m × 3 m, (e) 6 m × 6 m, (f) 6 m × 9 m, (g) 9 m × 3 m, (h) 9 m × 6 m, (i) 9 m × 9 m.
Applsci 15 10871 g006aApplsci 15 10871 g006b
Figure 8. PLR analysis with cover depth.
Figure 8. PLR analysis with cover depth.
Applsci 15 10871 g007
Figure 7. Classification of ground behavioral patterns with respect to cover depth, cave width, and load range.
Figure 7. Classification of ground behavioral patterns with respect to cover depth, cave width, and load range.
Applsci 15 10871 g008
Table 1. Material properties of numerical parameters.
Table 1. Material properties of numerical parameters.
MaterialModelUnit Weight
(kN/m3)
Elastic Modulus (MPa)Poisson’s RatioCohesion
(kPa)
Friction
Angle (°)
References
BasaltElastic and plastic21.010000.2710028[46]
SandElastic and plastic18.0200.35528[46]
AsphaltElastic24.513800.44--[47]
Table 2. Analytical cases.
Table 2. Analytical cases.
No.ParametersValue (Number)
1Range of load (m)3, 6, 9 (3)
2Thickness of asphalt (m)0.1, 0.2, 0.3 (3)
3Cover depth (m)2, 3, 4, 5, 6, 7, 8, 9, 10, 11, 12, 13, 14, 15, 16, 17, 18 (17)
4Width of cave (m)3, 6, 9 (3)
5Height of cave (m)1 (1)
Total459
Table 3. UDL-deformation behavior at FHWA rutting criteria (12.7 mm).
Table 3. UDL-deformation behavior at FHWA rutting criteria (12.7 mm).
Cover DepthWidth of Cave (m)
at Load Range 3.0 m
Width of Cave (m)
at Load Range 6.0 m
Width of Cave (m)
at Load Range 9.0 m
369369369
2HS → RS → RHHS → RHHH→ R
3HS → RS → RHHS → RHHH→ R
4HS → RS → RHHS → RHHH→ R
5HS → RS → RHHS → RHHH→ R
6HS → RS → RHHS → RHHH→ R
7HS → RS → RHHS → RHHH→ R
8HS → RS → RHHS → RHHH→ R
9HS → RS → RHHS → RHHH→ R
10HS → RS → RHHS → RHHH→ R
11HS → RS → RHHS → RHHH→ R
12EHS → RHHS → RHHH→ R
13EHS → RHHS → RHHH→ R
14EHS → RHHS → RHHH→ R
15EHS → RHHS → RHHH→ R
16EES → RHHS → RHHH→ R
17EES → RHHS → RHHH→ R
18EES → RHHS → RHHH→ R
‘E’ is elastic behavior, ‘H’ is hardening behavior, ‘S’ is softening behavior and ‘R’ is residual strength behavior.
Disclaimer/Publisher’s Note: The statements, opinions and data contained in all publications are solely those of the individual author(s) and contributor(s) and not of MDPI and/or the editor(s). MDPI and/or the editor(s) disclaim responsibility for any injury to people or property resulting from any ideas, methods, instructions or products referred to in the content.

Share and Cite

MDPI and ACS Style

Lee, D.-W.; Kim, D.-H.; Won, D.; Park, J.; Lee, K.; Hong, G. Stability Assessment of Road Pavement over Lava Caves Formed in Basalt Ground. Appl. Sci. 2025, 15, 10871. https://doi.org/10.3390/app152010871

AMA Style

Lee D-W, Kim D-H, Won D, Park J, Lee K, Hong G. Stability Assessment of Road Pavement over Lava Caves Formed in Basalt Ground. Applied Sciences. 2025; 15(20):10871. https://doi.org/10.3390/app152010871

Chicago/Turabian Style

Lee, Dong-Wook, Do-Hyeong Kim, Deokhee Won, Jeongjun Park, Kicheol Lee, and Gigwon Hong. 2025. "Stability Assessment of Road Pavement over Lava Caves Formed in Basalt Ground" Applied Sciences 15, no. 20: 10871. https://doi.org/10.3390/app152010871

APA Style

Lee, D.-W., Kim, D.-H., Won, D., Park, J., Lee, K., & Hong, G. (2025). Stability Assessment of Road Pavement over Lava Caves Formed in Basalt Ground. Applied Sciences, 15(20), 10871. https://doi.org/10.3390/app152010871

Note that from the first issue of 2016, this journal uses article numbers instead of page numbers. See further details here.

Article Metrics

Article metric data becomes available approximately 24 hours after publication online.
Back to TopTop