Next Article in Journal
ChatGPT in Computer Science Education: A Case Study on a Database Administration Course
Previous Article in Journal
Analyzing Cutting Temperature in Hard-Turning Technique with Standard Inserts Through Both Simulation and Experimental Investigations
 
 
Font Type:
Arial Georgia Verdana
Font Size:
Aa Aa Aa
Line Spacing:
Column Width:
Background:
Article

Optimized Super-Twisting Sliding Mode Control with Parameter Estimation for Autonomous Vehicle Longitudinal Motion on Downhill Road

by
Kbrom Lbsu Gdey
1 and
Woo Young Choi
2,*
1
Department of Intelligent Robot Engineering, Pukyong National University, Busan 48513, Republic of Korea
2
Department of Control and Instrumentation Engineering, Pukyong National University, Busan 48513, Republic of Korea
*
Author to whom correspondence should be addressed.
Appl. Sci. 2025, 15(2), 981; https://doi.org/10.3390/app15020981
Submission received: 9 December 2024 / Revised: 16 January 2025 / Accepted: 17 January 2025 / Published: 20 January 2025
(This article belongs to the Section Transportation and Future Mobility)

Abstract

Longitudinal motion control is a critical aspect of autonomous vehicle area, requiring a well-designed controller to ensure optimal system performance, safety, and comfort under varying driving conditions. Previous control methods often face challenges such as chattering effects, and model uncertainties. To address such challenges, in this paper, we propose the application of an optimized super-twisting sliding mode control (OST-SMC) for the longitudinal motion control of autonomous vehicles. The motivation is to enhance the robustness and efficiency of the control system while minimizing the chattering problem. The proposed system’s mathematical modeling and control design are presented in detail with stability analyzed using Lyapunov theory. To enhance the controller’s performance, uncertain parameters are optimized using the gradient descent method, a linear regression-based technique. The OST-SMC algorithm shows enhanced robustness against disturbances and parameter uncertainties compared to conventional sliding mode controllers. Simulations in MATLAB/Simulink and CarMaker validate the proposed method, demonstrating strong performance even on downhill roads. The OST-SMC reduces chattering more effectively than traditional SMCs, achieving smooth tracking and consistent robustness under varying road conditions.

1. Introduction

Recent advancements in autonomous driving systems have significantly contributed to the extensive research and development of longitudinal vehicle motion control at various levels. Commonly implemented longitudinal control systems in modern passenger vehicles include cruise control, anti-lock braking systems (ABS), and traction control systems [1,2,3]. Beyond these, more advanced longitudinal control technologies have been the subject of intensive research, such as radar-based collision avoidance systems, adaptive cruise control (ACC) systems, individual wheel torque control with active differentials, and longitudinal control systems designed for vehicle platooning in automated highway systems [4,5]. Longitudinal control primarily governs a vehicle’s throttle and braking mechanisms. For instance, traditional cruise control systems manage only the throttle, allowing a vehicle to maintain a relatively constant speed without the driver needing to press the accelerator. This feature has become a standard in modern vehicles, significantly enhancing driver comfort during long-distance travel. By relieving drivers from the physical effort of maintaining pedal pressure and the mental effort of monitoring speed to avoid speeding tickets, cruise control systems help reduce both physical and cognitive fatigue during highway driving. A basic cruise control system allows the driver to set a speed reference using a simple push-button interface [6,7].
The longitudinal control system, such as cruise control, is designed to maintain the vehicle’s speed set by the user and ensure that the system consistently achieves the desired output. This can be achieved by various methods of the controller such as using proportional-integral derivatives (PID) controller, fuzzy logic controller, and many more [8]. SMC has been widely applied to nonlinear systems, multi-input multi-output (MIMO) systems, discrete-time models, large-scale and infinite-dimension systems, and stochastic systems. The most eminent feature of SMC and its type is that it is completely insensitive to parametric uncertainty and external disturbances during sliding mode but suffers from chattering phenomena on its control input [9,10,11]. Many researchers have been working on longitudinal control systems, the following papers are some of them. In [1], the authors have designed a conventional PI as upper controller for cruise controller system, a PID controller design for cruise control system using a genetic algorithm [6], a cruise control system with feedforward controller for all-terrain vehicles [12], a cruise control design using fuzzy logic controller [13], an optimal PID controller for an automobile cruise control system [14], an optimized robust cruise control system for an electric vehicle [15], a cruise control for electric vehicle based on ADRC controller considering driver’s behavior [16], a cruise control based on gain scheduling PI diesel engine speed controller [17], a historical review on lateral and longitudinal control of autonomous vehicle motions [18], sliding order and sliding accuracy in sliding mode control [19], finite time stability and robust control synthesis of uncertain switched systems [20], nonlinear distance and cruise control for passenger cars [21], smooth second-order sliding modes: Missile guidance application [22]. Autonomous vehicles (AVs) require accurate dynamic models to operate safely and efficiently under diverse conditions, especially at driving limits. Reference [23] introduced a deep learning-based hybrid dynamic modeling approach that combines data-driven techniques with classical dynamic equations to enhance accuracy in modeling vehicle behavior under these conditions. Their study demonstrates the effectiveness of the hybrid model in improving prediction accuracy, especially in edge cases like rapid acceleration, sharp turns, or slippery surfaces. longitudinal collision avoidance and lateral stability adaptive control system based on MPC of autonomous vehicles [24], in this work they have proposed a model predictive control (MPC)-based adaptive control system designed for autonomous vehicles (AVs), with a dual focus on longitudinal collision avoidance and lateral stability. The research addresses critical safety and control challenges to enhance AV reliability during complex driving scenarios.
A particularly challenging scenario for longitudinal control systems in autonomous vehicles is driving on downhill roads. Maintaining consistent speed and stability in such conditions requires precise coordination of throttle and braking mechanisms, as the gravitational force increases vehicle acceleration. Downhill driving poses additional challenges such as an increased risk of brake overheating and reduced traction, especially on steep gradients or slippery surfaces [1,3]. Advanced vehicle control strategies, including model predictive control (MPC), parameter estimation, and uncertainty compensation, have been investigated to tackle autonomous vehicle challenges [25,26,27]. These methods focus on optimizing distribution, minimizing external disturbances, and accurately estimating key parameters to ensure robust performance under varying road conditions. Parameter estimation plays a vital role in real-time adaptation, allowing the control system to dynamically adjust braking force and throttle inputs based on environmental and vehicle-specific factors. Gradient-aware control algorithms and parameter estimation techniques have proven effective in improving speed regulation during downhill motion [28,29]. Furthermore, incorporating real-time road slope prediction and adaptive braking systems can significantly enhance the safety and energy efficiency of autonomous vehicles in such environments [30]. This underscores the importance of developing advanced control algorithms, equipped with reliable parameter estimation capabilities, tailored to challenging driving scenarios like downhill roads, which remain a critical area of research in autonomous driving.
Thus, previous studies have proposed control algorithms to enhance system performance. However, most of these papers fail to consider the impact of non-linear road scenarios, relying instead on conventional controllers, such as PID, which often lead to suboptimal performance. Additionally, many of the proposed controllers lack robustness, making them highly sensitive to uncertainties and external disturbances, particularly in challenging conditions like downhill roads.
This paper proposes a high-performance controller known as optimized super-twisting sliding mode control (OST-SMC), designed to overcome the shortcomings of prior works. The primary contribution of this research is the incorporation of a linear regression approach, specifically gradient descent, for estimating the uncertain parameters of the proposed controller. Furthermore, the controller compensates for disturbances from the downhill roads through a continuous and non-linear design, mitigates the chattering problem inherent in traditional sliding mode controllers, and achieves robustness under non-linear scenarios. This paper also provides a comprehensive finite-time stability analysis based on Lyapunov theory and presents experimental implementations in MATLAB/Simulink and CarMaker, encompassing various driving conditions, including downhill and straight roads.
The rest of the paper is organized as follows: Section 2 discusses the mathematical modeling of the system, the control input design approach, and stability analysis of the proposed controller, and in Section 3 and Section 4 an experimental scenario and experimental result analysis are presented, respectively. Finally, in Section 5 the conclusion of this work is presented.

2. Mathematical Modeling

The working principle of a standard cruise control system, one of the vehicle’s longitudinal control systems, involves the driver setting a constant desired speed, denoted as v d , at which the vehicle is intended to travel. The cruise control system then automatically regulates the throttle to maintain this desired speed. In this process, the longitudinal controller determines the vehicle’s desired acceleration. The engine output map is a critical tool in automotive engineering, as it provides detailed information about engine performance characteristics under various operating conditions. This map typically represents engine torque and power output as functions of engine speed and throttle position, serving as a foundation for optimizing control strategies in vehicle powertrain. A study in [31] explored the application of engine maps in predictive control for energy management in hybrid electric vehicles. Similarly, ref. [32] investigated Model-based predictive engine torque control for improved drivability. Their research highlighted the use of engine maps for optimizing combustion strategies, minimizing fuel consumption, and reducing engine wear.
In performance specifications for the design of the longitudinal controller, it is necessary to specify that the steady state tracking error of the controller should be zero. Other desirable performance specifications might include zero overshoot and adequately fast rise time. The main focus of this work is designing the upper controller for longitudinal motion control of autonomous vehicles.
The longitudinal controller is considered as the upper-level controller as shown in Figure 1, as long as the upper controller is our concern; therefore, the plant model used for control design is the same as [1], which is given in (1),
τ x + x ¨ = x ¨ d ,
where x is the longitudinal position, x d is the desired longitudinal position, and τ is the time constant for the actual acceleration to reach the desired acceleration. From the system (1), the state variables could be defined as a vectorized form,
X = x x ˙ x ¨ T = x 1 x 2 x 3 T .
Thus, by considering (1) and (2), the dynamics of the system could be rewritten as,
x ˙ 1 = x 2 , x ˙ 2 = x 3 , x ˙ 3 = 1 τ x 3 + 1 τ u ,
where u is the system control input which is the desired acceleration of the vehicle. The main objective of the control input is to make the vehicle track the reference speed set by the user. In this case u = x ¨ d .

2.1. Sliding Mode Controller Design

In this section, a step-by-step controller design has been discussed. Both the first-order and second-order sliding mode controller designing procedures have been provided for comparison purposes. SMC uses a discontinuous control law to drive the system to a specified sliding manifold and maintain it there. Once the system enters the sliding phase, its dynamics are restricted to the behavior of this defined manifold [33]. We have followed the following steps to design the controller.

2.1.1. Derivation of System Error Dynamics

In general, the output tracking error of the system could be described as,
e = x d x ,
furthermore, the error of each state could be computed as,
e 1 e 2 e 3 = x d x 1 x ˙ d x 2 x ¨ d x 3 ,
where x ˙ d and x ¨ d are the desired velocity, and desired acceleration, respectively. Thus, the error dynamics of the system can be described as
e ˙ 1 = e 2 , e ˙ 2 = e 3 , e ˙ 3 = 1 τ e 3 1 τ u .
As far as our purpose is to track the desired speed of the vehicle our main goal is to design a control input that makes the velocity error e 2 zero in a steady state.

2.1.2. Switching Variable Design

From (5) we can easily design the sliding surface in terms of the output tracking error state. As far as our purpose is to track the desired speed, the relative degree between the input-output dynamics of (6) is two, thus, the sliding variable could be defined as,
s = e 3 + λ e 2 ,
where λ > 0 is a constant design parameter. Consequently, the sliding variable dynamics could be determined as,
s ˙ = e ˙ 3 + λ e ˙ 2 , s ˙ = λ 1 τ e 3 1 τ u .

2.1.3. Control Law Design

The first-order sliding mode control input consists of two components, which are the nonlinear component u d i s which makes the system states to reach the sliding manifold and a linear component u e q which enforces the motion and thereby the performance of the system on the sliding manifold. Whenever the system is in the sliding phase, the linear control will force the error variables to the origin and hence the system states to the desired values. Thus, the total control input is given as,
u = u d i s + u e q .
Then, the non-linear component of (9) could be designed as,
u d i s = ρ sgn ( s ) ,
where ρ > 0 . We know that during the sliding phase motion s = s ˙ = 0 . Hence, the state s ˙ = 0 yields (11) and the equivalent control input u e q could be computed during this condition as,
λ 1 τ e 3 1 τ u e q = 0 ,
then by rearranging (11), the u e q is determined as,
u e q = ( τ λ 1 ) e 3 ,
the signum function is described as,
sgn ( s ) = 1 s > 0 , 0 s = 0 , 1 s < 0 .
Remark 1.
The equivalent control (12) is the control input applied to the system (1) after the reaching phase ends, that is, when s = 0 , to ensure that the system trajectory stays on the sliding surface thereafter. It is worth noticing that this control input is not the actual control that is applied to the system as soon as the sliding surface is reached.

2.1.4. Stability Analyze

Lyapunov theory is a fundamental method in the study of the stability analysis of dynamical systems. Thus, by applying the Lyapunov theory, we can analyze the stability of the proposed system. To provide the asymptotic stability of (8), about the equilibrium point s = 0 , the following three important conditions must be satisfied [34],
(a)
lim | s | V = ,
(b)
V ˙ 0 , s 0 ,
(c)
V ( 0 ) = 0 .
Thus, the Lyapunov candidate function is chosen as
V ( s ) = 1 2 s 2 ,
the time derivative of (14) can be computed as,
V ˙ ( s ) = s s ˙ = s λ 1 τ e 3 1 τ u 0 ,
hence, what the Lyapunov stability theory says is that if (15) is satisfied, then the system is stable. To check whether (15) is satisfied, first from (9), we have the total control input u. Then, if we substitute (9) to (15), we obtain
V ˙ = s s ˙ = s λ 1 τ e 3 1 τ ρ sgn ( s ) + τ λ 1 e 3 0 , τ V ˙ = s τ λ 1 e 3 τ λ 1 e 3 ρ sgn ( s ) 0 , V ˙ = ρ τ s sgn ( s ) 0 , V ˙ = ρ τ | s | 0 .
Hence, the proof. Therefore, from (16), this shows that the proposed system (1) with the control input as (9) is stable based on the Lyapunov stability theory.
Remark 2.
While designing the sliding variable given in (7), we need to notice that s ˙ must be a function of the control u to successfully design the controller in (9). The state where s = 0 corresponds to a straight line in the state space of the system (1) is known as a sliding surface.

2.2. Optimal Super-Twisting Sliding Mode Controller Design

In the earlier section, the discontinuous high-frequency switching sliding mode controller was designed to drive the sliding variable to zero, which can yield the solution to the output tracking problem as time increases. However, in many cases, high-frequency switching control is impractical [34]. Therefore, continuous control is a necessity to drive the sliding variable to zero in finite time; hence this article is proposing an improved continuous super-twisting sliding mode controller for the same system given in (1) to attenuate the chattering phenomena of SMC and improve the overall performance of the proposed system. The super-twisting algorithm is designed similarly to the first-order sliding mode controller except the controller is nonlinear and continuous.

2.2.1. Designing Sliding Variable

Similarly, from (5) we can easily design the sliding variable in terms of the output tracking error state. As far as our purpose is to track the desired speed, the relative degree between the input-output dynamics of (6) is two, thus, the sliding variable is defined as,
s = e 3 + λ e 2 .
Thus, we have designed the proposed control input in the section below to drive the sliding variable in (17) to zero in finite time.

2.2.2. Control Input Design

The sliding mode controller based on the super-twisting algorithm could be designed as,
u = c | s | 1 2 sgn ( s ) + b sgn ( s ) d t ,
where c , b > 0 . The control law in (18) drives the sliding variable (17) to zero in finite time. This control law has the following characteristics. First, it is a second-order sliding mode control, since it drives both the sliding variable and its derivative to zero in finite time. Secondly, it is a continuous and non-linear controller. After designing the controller, the compensated sliding surface dynamics are derived as follows:
s ˙ = c | s | sgn ( s ) d ψ ( x , t ) , d ˙ = b sgn ( s ) ,
where the function ψ x , t is considered, the cumulative disturbance term of the system and is assumed to be upper-bounded by L and its derivative ψ ˙ x , t D . Where s and d are the scalar state variables of the compensated dynamics (19). Here, instead of just guessing the value of the uncertain parameters, initially, the value of the parameters c and b have been computed as what is proposed in [34], which is c = 1.5 D ; b = 1.1 D . Geometrical methods have been proposed for the finite time convergence and robustness of (19). As a result, V w = b s + 1 2 d 2 is chosen as the weak Lyapunov function for the system (19) without bounded disturbance, since V ˙ = c b s 1 / 2 is the only negative semidefinite [35]. However, based on [35], the weak Lyapunov function candidate is not practical, hence, further study is needed, so we are proposing a strong Lyapunov function candidate for exponential stability of the proposed system, which can be found in (33).
Remark 3.
The cumulative disturbance expressed in (19) is uncertain and bounded by the upper bound of L and since it appears in the main dynamics of the system, it is considered as a matched disturbance. The upper-bound value is not exactly known but it must be > 0 .

2.2.3. Proposed Control Input Parameter Estimation

From the literature, we find out that they just used the non-optimal method for calculating the value of the parameters of the super-twisting sliding mode controller. However, this technique does not guarantee the performance of the system rather it might cause instability. To solve such drawbacks and for the optimality of the super-twisting sliding mode controller, we have introduced an estimator to estimate its parameters using one of the machine learning algorithms known as linear regression based on the gradient descent method [36,37,38]. To apply this method for our parameter estimation purpose, we first identified three main variables: the target variable, the input feature, and the unknown parameters. The target variable, also known as the dependent variable represents the measured data used to predict the unknown parameters. The features, also referred to as independent variables are considered as input data to the measured output data. With these two datasets, the simplified linear regression model of the predicted model with one variable can be formulated as stated in [36,37,38]; the measured data can be related with the feature data as y = w x , where y is the measured data, w is unknown parameters, x the independent variable and linear regression model for multiple variable features can be also reformulated by extending the one variable model to vectorized form. Consequently, we have applied this estimation technique to estimate the uncertain parameters of our proposed method. We have provided the following assumption since finding the experimental data of the actual control input u was difficult.
Assumption A1.
It is assumed that data of the actual control input u needed for parameter estimation are obtained from simulated data since it was difficult to find the experimental data of the actual control input. The simulated data are obtained using the method provided in [34].
How we applied this algorithm for our parameter estimation purpose is that, first, we rearranged (18) to a form of the linear regression model as (20) to make it linear in parameters c and b, then the predicted model of u is described as,
u ^ = c ^ | s | 1 2 sgn ( s ) + b ^ sgn ( s ) d t ,
then, from (20) we separate the independent and dependent variables as follows,
y 1 = | s | 1 2 sgn ( s ) , y 2 = sgn ( s ) d t ,
where y 1 and y 2 are the independent variables or features whereas u ^ is the dependent or target variable. Therefore, (20) could be rewritten as,
u ^ = c ^ y 1 + b ^ y 2 ,
thus, (22) is a linear equation in terms of the unknown parameters c ^ and b ^ . Therefore, we can estimate the unknown parameters using the linear regression from the experimental data we have performed. From (21) and (22), both the variables and the parameters could be rewritten in vectorized form as,
Z = y 1 y 2 T , ζ = c ^ b ^ ,
thus, the linear regression could be reformulated as a dot product,
u ^ = ζ · Z ,
since our model is a multiple-feature model, then (24) should be reformulated as a multiple-variable linear regression form which is,
u ^ = ζ · Z ( i ) ,
let u ^ represent the predicted output, and u is the actual measured output. Then, the cost function J could be defined as the sum of squared errors between the predicted and actual values of u over all the simulation data.
Remark 4.
It is worth noticing that the actual control input u data are obtained using the method in [34] at D = 0.5 , after that, this shows us a good tracking performance and we record these data and use them for our parameter estimation purpose to find the optimal value of the uncertain parameters of the proposed control input.

2.2.4. Cost Function Calculation

To ensure the accuracy of our parameter estimation, we define the squared error cost function in this section. This formulation minimizes the discrepancy between the observed data and the model predictions by summing the squares of their differences. By penalizing larger errors more heavily, the squared error cost function provides a robust framework for optimizing parameter estimates. This approach aligns the model outputs as closely as possible with the actual data, improving reliability and precision. Thus, the cost function is formulated as,
J ( ζ ) = 1 2 m i = 1 m u i u ^ i Z ( i ) 2 ,
where m is the number of experiments we have taken and i is an index that tells us the value of the independent variable and dependent variable of the experimental data. We aim to minimize the cost function (26). The cost function has been optimized using solver-based optimization in MATLAB where the algorithm is the gradient descent and the unknown parameters’ optimal value is determined. The proposed control input parameter estimation follows all the steps from (20) to (26). After determining the estimated parameter value, the proposed control law takes these optimal parameter values and then fed to the test vehicle.

2.2.5. Lyapunov Stability Analysis

Using the Lyapunov stability analysis theory, we analyzed the stability of the proposed system based on the proposed control input. To say the system is asymptotically stable in the sense of Lyapunov theory, the three conditions defined in Section 2.1.4 should be satisfied. The Lyapunov candidate function has been chosen as
V = 1 2 s 2 ,
then the time derivative of (27) is computed as
V ˙ = s s ˙ = s λ 1 τ e 3 1 τ u 0 ,
from (18) we have u, after substituting the value to (28), we obtain
V ˙ = s λ 1 τ e 3 1 τ c | s | 1 2 sgn ( s ) + b sgn ( s ) d t 0 ,
from (29) as time increases e 3 become zero, as a result, (29) could be rewritten as
V ˙ = c τ s sgn ( s ) | s | b τ s sgn ( s ) d t 0 , V ˙ = c τ | s | | s | b τ | s | d t 0 .
From (30) we see the proposed system (1) based on the proposed control input described as (18) is asymptotically stable according to the Lyapunov stability theory since it holds the conditions given earlier. However, this proof does not guarantee finite-time stability. Thus, to assure the finite time convergence of the proposed algorithm, the finite time convergency has been analyzed based on the strict Lyapunov function conditions for global exponential stability. Let us express the time derivative of the Lyapunov candidate as shown below,
V ˙ s γ V s ,
thus, if (31) is satisfied, then finite time stability of trajectories with respect to origin is ensured. Now let us introduce the quadratic Lyapunov function for the super-twisting algorithm, and from (19) we have the compensated dynamics of the sliding function and the dynamics could be rewritten in a form that is convenient for quadratic Lyapunov analysis by introducing a new state vector which is ξ = | s | sgn ( s ) d T . Since the derivative of the new state vector could be computed as,
ξ ˙ = 1 | s | 1 2 A ξ , A = 1 2 c 1 2 b 0 ,
then, the quadratic Lyapunov candidate function could be chosen as,
V ( s ) = ξ T P ξ ,
which (33) is known as the quadratic form. And the (33), can further reduce to the form of,
V ( s ) = p 11 | s | + 2 p 12 | s | sgn ( s ) + p 22 s ˙ 2 ,
where P = p 11 p 12 p 12 p 22 ,  P is a constant, symmetric, and positive definite matrix. Let’s prove the Lyapunov theorem now, the derivative of the Lyapunov function is given as,
V ˙ ( s ) = ξ T P ξ ˙ + ξ ˙ T P ξ = | s | 1 2 ξ T Q ξ ,
then the matrix P and Q are related by the algebraic Lyapunov equation, which is given as,
A T P + P A = Q .
Remark 5.
The matrix A is Hurwitz if and only if c , b > 0 , then for every Q = Q T , there exists a unique solution P = P T > 0 of the Lyapunov Equation (36) and this implies that (33) is a strict Lyapunov function, this analysis ensures the asymptotic stability of trajectories w.r.t origin.
However, for finite-time stability, more analysis is required. Hence, to show the finite time stability analysis, let us consider the well-known Rayleigh inequality which is given as,
λ m i n P ξ 2 2 V ( s ) λ m a x P ξ 2 2 , λ m i n Q ξ 2 2 ξ T Q ξ λ m a x Q ξ 2 2 , λ m i n Q ξ 2 2 ξ T Q ξ λ m i n Q ξ 2 2 ,
where λ m i n , λ m a x are the smallest and largest eigenvalues of the matrix A and ξ 2 2 = s + d is the Euclidean norm of ξ . Similarly,
| s | 1 2 | | ξ | | 2 V ( s ) 1 2 λ m i n 1 2 P ,
then, the time derivative of the Lyapunov function (35) further could be expressed as
V ˙ s = s 1 2 ξ T Q ξ s 1 2 λ m i n Q ξ 2 2 .
Then, from (39), indeed the time derivative of the Lyapunov function is the form of (31) which is
V ˙ ( s ) γ V ( s ) ,
where
γ = λ m i n 1 2 P λ m i n Q λ m a x P .
Finally, from (40), we can conclude that the system can be stabilized globally exponentially using the control input in (18). The stability analysis ends here, and we have proved the correctness of the quadratic Lyapunov function stability analysis through the following theorem.
Theorem 1.
Comparison Lemma: The comparison Lemma, basically says, let V t be differentiable scalar signals for which,
V ˙ t μ V t , t t 0 ,
for some constant μ R . Therefore,
V t e μ t t 0 V t 0 , t t 0 .
Thus, applying the comparison lemma to (40), we can obtain
V s e γ s s 0 V s 0 , s 0 ,
(43) shows the following properties, (1) V s converges to zero as s and (2) the system’s trajectory remains bounded for all s. The poof of the theorem can be found as follows.
Proof of Theorem 1. 
Let us define a new signal w t as follows
w t e μ t t 0 V t , t t 0 .
By taking the time derivative of (44), we obtain
w ˙ = μ e μ t t 0 V t + e μ t t 0 V ˙ t μ e μ t t 0 V t + μ e μ t t 0 V t = 0 .
Therefore, w is non-increasing whereas it is zero or decaying signal this implies that the boundness, thus we can rewrite (45) as
w t = e μ t t 0 V t u t 0 = V t 0 , t t 0 .
Hence, (46) shows the fact that V t is continuous and the positive function μ V t guarantees exponential decay of V t overtime and is indeed precisely equivalent to (43). □

3. Experimental Scenario

The experiment was conducted in such a scenario; As shown in Figure 2. We have designed the road in the CarMaker simulator using the road editor. The scenario includes two different road conditions such as a straight road 700 m in length, a downhill road characterized by a height of 26.8 m, a length of 100 m, and an angle of declination θ = 0.26 rad, and a second straight road 1084 m in length. The selected slope for the downhill segment was chosen to reflect a practical gradient commonly encountered by standard vehicles during downhill driving.
Figure 3 describes the experimental real scenario from CarMaker. The first screenshot is when the vehicle started in a straight line and after moving for about 700 m, then the vehicle entered a downhill road. The downhill road was 100 m long by 26.8 m wide. When the vehicle finishes downhill, it enters the second straight road.
To validate the proposed control algorithm, we implemented it in the CarMaker (ver. 12.0.1) simulator environment and MATLAB/Simulink (ver. 2022b). We have validated this algorithm on a Sonata passenger car that is front-wheel driven and uses gasoline. We performed our test on two different road conditions of two lanes (one in each direction), which are straight-line, and downhill road scenarios as shown in Figure 3 and Figure 4. The upper-level controller is the control input u ^ = u d , which is the vehicle’s desired acceleration, and is given to the experiment vehicle as shown in Figure 4. Table 1 describes the test vehicle parameters we used during the experiment.

4. Experimental Result and Analysis

In this section, the results are presented. The parameters are selected as, τ = 0.5 , λ = 3 , ρ = 2 and the function ψ x , t = 1 τ x 3 λ x 2 , D = 10 , 0.5 , 0.1 and the value of the super-twisting sliding mode controller parameters, c and b was initially determined as 4.7 , 0.75 , 0.47 and 11 , 0.55 , 0.11 , respectively. Since the response at D = 0.5 shows us a promising result, with the number of features n = 2 , m = 1 , we performed the estimation by taking the actual data of u (18) at c = 0.75 and b = 0.55 and then fed it to the parameter estimator (25); hence, the optimal value of c and b has been predicted as 0.73 and 0.53 , respectively. From the predicted value our estimation method shows 98 % accuracy.
Figure 5 illustrates the effects of the tuning parameter on the tracking performance during the experiment at 20 m/s. Thus, from the result, we can notice that these gains likely influence the responsiveness and damping of the system, especially during the transient response. The response with the highest gain leads to a high transient response overshoot which is about 25 % and this causes the control input to apply hard braking to bring the vehicle into the desired state (as shown in Figure 5a) around 5.5 s. This indicates the system is more sensitive to high gains, leading to overshooting and instability. We can notice that the response is stabilized after an initial transient behavior yet we can also see the tracking performance is suffering from a bit of oscillation during the downhill road.
Additionally, the system response at the lowest value also suffers a transient response overshoot of around 5 % and takes more time to settle down compared to optimal value. We noticed that with a smaller gain, the system response becomes slower but the vehicle settles down to the desired state as soon as the transient response ends with an adequately zero transient response overshoot and a very fast settling time at the optimal value. We can see that the high accuracy asymptotic output tracking is achieved. Let us remember our scenario is non-linear yet the tracking performance is performed well even when it is on the downhill road seen around 38.5–44.5 s, this result proves the fact that the super twisting algorithm is robust to parameter uncertainty and external disturbances during the sliding phase.
The proposed method achieves the optimal value quickly, as shown in Figure 5a, highlighting its superior performance. In Figure 5b, the acceleration response mirrors the velocity response, but high gain causes unpleasant deceleration during 5.5–9.5 s, leading to potential passenger discomfort and oscillations during the downhill phase. At the optimal value, acceleration is smoother. Figure 5c shows that high gain induces oscillations in the control input, making it undesirable. However, performance improves significantly at the optimal parameter value.
In Figure 6 the response of the vehicle pitch and pitch velocity is presented. The response appears to have similar characteristics with the velocity, meaning when the parameter value increases, the vehicle pitch tilts up and down faster and this movement impacts the riding comfort and stability unpleasantly. As a result, the high-pitch velocity can make a vehicle feel unstable, especially during sudden start and stop. In contrast, the result shows that at the optimal value, the pitching is smoother and passenger-friendly; consequently, the pitching velocity is slow and comfortable for the rider.

4.1. Performance Analysis of OST-SMC at Different Road Slopes

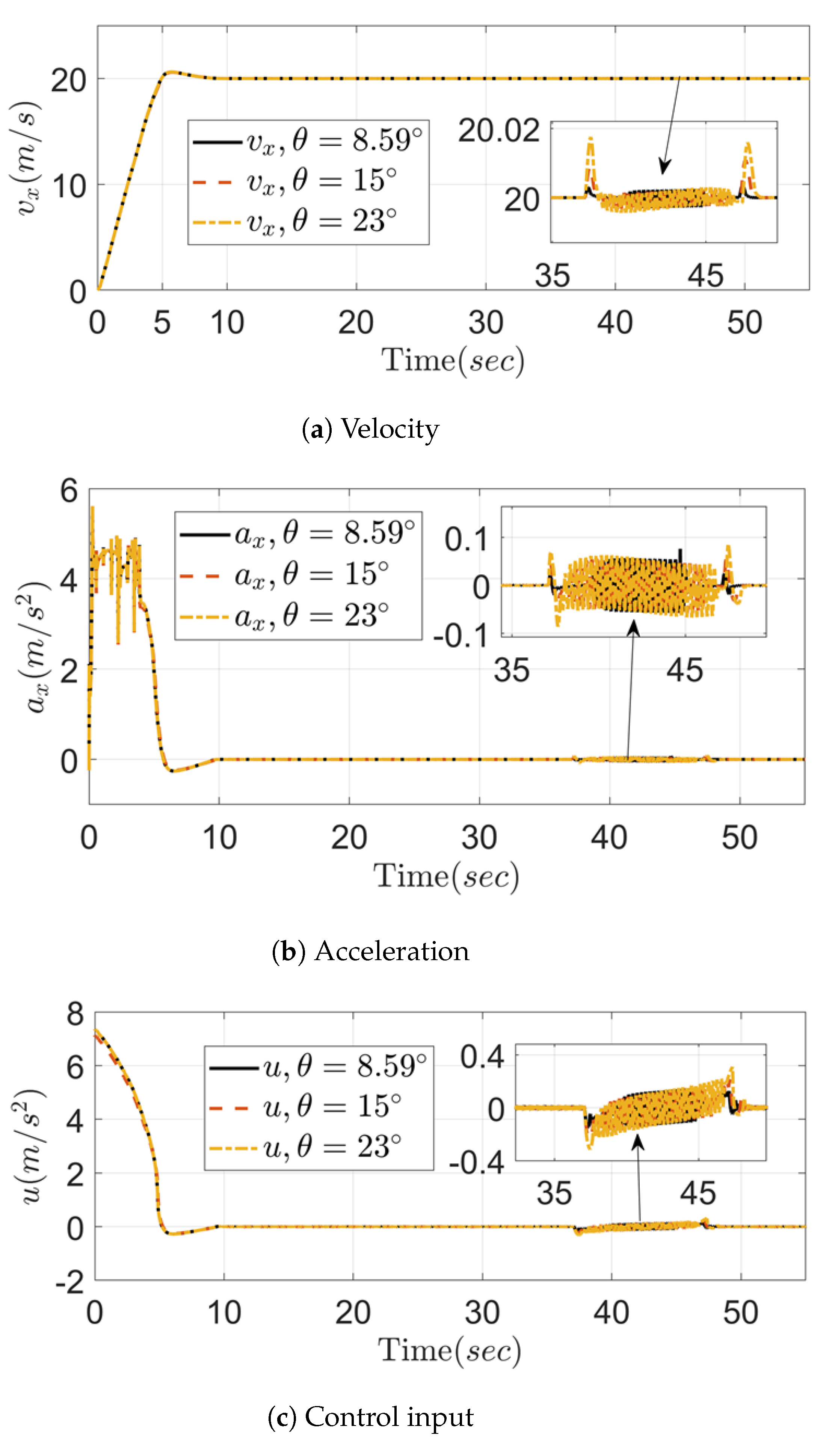
The performance of the proposed method is analyzed at variable road slopes for high credibility and effectiveness. The experiment was tested for three different angles of declination which are 0.15 rad, 0.26 rad, and 0.4 rad, respectively, and their equivalent angle in degrees is 8 . 59 , 15 and 23 , respectively.
From the velocity response, Figure 7a, we can notice that the vehicle is maintaining its desired speed at different slopes. The zoomed part tells us when the car enters the declined road and leaves the declined road. In Figure 7b, we can see that the vehicle acceleration has a similar trend with the velocity, meaning we can see that the vehicle acceleration is adjusted depending on the gradient of the road using the proposed method shown in Figure 7c. Thus, from the result we can see that the vehicle is cruising at its desired speed without any problem despite the changing road slope; eventually, this shows us the algorithm is robust for the practical variable slope of the road.

4.2. Performance Analysis of OST-SMC at Different Adhesion Coefficients

In this subsection, the performance of the proposed method at different adhesion coefficients is analyzed at 20 m/s target speed. As shown in Figure 8, the effect of changing the friction coefficient seems to have a potential effect on the system at the same time it is found the proposed method takes care of the system to be in the desired state after the steady state is reached. The values μ = 1 , μ = 0.5 , and μ = 0.2 is selected to represent road surface parameters similar to dry road, wet asphalt, and snow, respectively.
From the acceleration response Figure 8b, we can see that the variation in acceleration is small with magnitude differences at different values of the friction coefficient μ . When μ decreases, the vehicle seems to accelerate slowly. This behavior was found to be that lower friction leads to reduced control ability. Similarly, from the control input response, it is noticed that the lower the road friction the higher control is needed before the steady state is reached this indicates that the control input takes care of the system by adjusting its ability to control the vehicle. When μ = 1 , the system appears well-damped and reaches the steady state faster; at μ = 0.2 , the system response tends to be a bit slower. This indicates that at a lower friction, the controller needs to work harder to maintain stability and tracking, which is why as seen in Figure 8c the proposed method copes with such a problem by applying appropriate control input for different road friction coefficients to make riding is comfortable and smooth. This result proves that the proposed method is robust for changing road conditions.

4.3. Performance Analysis of OST-SMC at Different Desired Speed

In this subsection, the robustness of the proposed algorithm at variable desired longitudinal speed is validated. The experiment shows that the proposed method guarantees robustness for variable desired speed. The algorithm is validated at the desired speed of 10 m/s, 20 m/s, and 30 m/s, respectively.
Hence, as clearly shown in Figure 9 the result proves that the target speed could be achieved with high tracking performance based on the proposed method. At the same time, it is found that a bit of oscillation is seen during the declined road when the speed increases; nevertheless, the result confirms that the OST-SMC is indeed robust for such non-linearity.

4.4. Performance Comparison

The tracking performance comparison is provided in Figure 10.
The result shows that the system response due to the traditional SMC is much slower to reach the steady state as shown in Figure 10a. After reaching the steady state, we can see that the vehicle is tracking the target speed well even in the nonlinear scenario, this shows us the natural behavior of sliding mode controllers in handling external disturbances. However, the main drawback of the traditional SMC can be seen evolving in its control input over time. At the same time, it is noticed that the chattering is attenuated using the proposed control method refer to Figure 10c. Therefore, it is noticed that the tracking performance is improved by applying the proposed method.

5. Conclusions

In this paper, we thoroughly studied the modeling and design of the proposed system, developed the OST-SMC controller, and successfully analyzed the system’s stability using the Lyapunov stability theory. Simulations were implemented in an environment combining MATLAB/Simulink and CarMaker, and comparative experiments were conducted. Based on the simulation results, we concluded that the proposed control law effectively addressed the tracking problem with high performance. This demonstrates that the vehicle accurately followed the desired speed, a critical requirement for autonomous driving. Furthermore, the proposed method successfully attenuated the chattering issue inherent in first-order sliding mode controllers. It also proved its robustness to uncertain parameters and external disturbances from the road. In future work, we aim to advance this approach by designing an adaptive super-twisting control law and analyzing frequency response for the motion control of autonomous vehicles. Additionally, we plan to integrate the engine output map into the overall control framework to develop a more holistic model that accounts for both vehicle dynamics and engine behavior. We will also apply the proposed method to real vehicles to verify its effectiveness in real-time applications. Furthermore, we recommend exploring different scenarios, such as evaluating the system’s performance on slippery roads with low friction coefficients, for those interested in further research on this topic.

Author Contributions

Conceptualization, K.L.G. and W.Y.C.; methodology, K.L.G. and W.Y.C.; software, K.L.G.; validation, K.L.G. and W.Y.C.; formal analysis, K.L.G. and W.Y.C.; investigation, K.L.G. and W.Y.C.; resources, K.L.G.; data curation, K.L.G.; writing—original draft preparation, K.L.G.; writing—review and editing, K.L.G. and W.Y.C.; visualization, K.L.G. and W.Y.C.; supervision, W.Y.C.; project administration, W.Y.C.; funding acquisition, W.Y.C. All authors have read and agreed to the published version of the manuscript.

Funding

This work was supported by the National Research Foundation (NRF), Korea, under Project BK21 FOUR (Smart Robot Convergence and Application Education Research Center), NRF, Korea, grant funded by the Korea government (MSIT) (No. RS-2023-00213640, Accurate Autonomous Tracking Control by Unmatched Disturbance Compensator with Reference Re-design Filter) and partly supported by the Technological Innovation R&D Program (S3430140) funded by the Ministry of SMEs and Startups (MSS, Korea).

Institutional Review Board Statement

Not applicable.

Informed Consent Statement

Not applicable.

Data Availability Statement

The data presented in this study are available on request from the corresponding author. The data are not publicly available due to privacy.

Acknowledgments

The author appreciates Y. W. Jeong for pre-reviewing the proposed formulation of this paper before submission.

Conflicts of Interest

The authors declare no conflicts of interest.

References

  1. Rajamani, R. Vehicle Dynamics and Control; Springer Science & Business Media: New York, NY, USA, 2011. [Google Scholar]
  2. Martinez, J.J.; Canudas-de Wit, C. A safe longitudinal control for adaptive cruise control and stop-and-go scenarios. IEEE Trans. Control Syst. Technol 2007, 15, 246–258. [Google Scholar] [CrossRef]
  3. Tanelli, M.; Savaresi, S.M.; Cantoni, C. Longitudinal vehicle speed estimation for traction and braking control systems. In Proceedings of the 2006 IEEE Conference on Computer Aided Control System Design, Munich, Germany, 4–6 October 2006; pp. 2790–2795. [Google Scholar]
  4. Rizk, H.; Chaibet, A.; Kribèche, A. Model-based control and model-free control techniques for autonomous vehicles: A technical survey. Appl. Sci. 2023, 13, 6700. [Google Scholar] [CrossRef]
  5. Choi, W.Y.; Lee, S.H.; Chung, C.C. On-road object collision point estimation by radar sensor data fusion. IEEE Trans. Intell. Transp. Syst. 2021, 23, 14753–14763. [Google Scholar] [CrossRef]
  6. Rout, M.; Sain, D.; Swain, S.; Mishra, S. PID controller design for cruise control system using genetic algorithm. In Proceedings of the 2016 International Conference on Electrical, Electronics, and Optimization Techniques (ICEEOT), Chennai, India, 3–5 March 2016; pp. 4170–4174. [Google Scholar]
  7. Choi, W.Y.; Lee, S.H.; Chung, C.C. Horizonwise model-predictive control with application to autonomous driving vehicle. IEEE Trans. Ind. Inform. 2021, 18, 6940–6949. [Google Scholar] [CrossRef]
  8. Osman, K.; Rahmat, M.F.; Ahmad, M.A. Modelling and controller design for a cruise control system. In Proceedings of the 2009 5th International Colloquium on Signal Processing & Its Applications, Kuala Lumpur, Malaysia, 6–8 March 2009; pp. 254–258. [Google Scholar]
  9. Yu, X.; Kaynak, O. Sliding mode control with soft computing: A survey. IEEE Trans. Ind. Electron. 2009, 56, 3275–3285. [Google Scholar]
  10. Liu, J.; Wang, X.; Liu, J.; Wang, X. Advanced Sliding Mode Control; Springer: Berlin/Heidelberg, Germany, 2011. [Google Scholar]
  11. Mohd Zaihidee, F.; Mekhilef, S.; Mubin, M. Robust speed control of PMSM using sliding mode control (SMC)—A review. Energies 2019, 12, 1669. [Google Scholar] [CrossRef]
  12. Sailan, K.; Kuhnert, K.D. Modeling and design of cruise control system with feedforward for all terrian vehicles. CS IT 2013, 1, 339–349. [Google Scholar]
  13. Asere, H.; Lei, C.; Jia, R. Cruise control design using fuzzy logic controller. In Proceedings of the 2015 IEEE International Conference on Systems, Man and Cybernetics, Hong Kong, China, 9–12 October 2015; pp. 2210–2215. [Google Scholar]
  14. Pradhan, R.; Pati, B.B. Optimal FOPID controller for an automobile cruise control system. In Proceedings of the 2018 International Conference on Recent Innovations in Electrical, Electronics & Communication Engineering (ICRIEECE), Bhubaneswar, India, 27–28 July 2018; pp. 1436–1440. [Google Scholar]
  15. Diba, F.; Arora, A.; Esmailzadeh, E. Optimized robust cruise control system for an electric vehicle. SSCE 2014, 2, 175–182. [Google Scholar] [CrossRef]
  16. Yuan, Q.; Liu, Z.; Chen, H.; Tian, Y. A cruise control for electric vehicle based on ADRC controller considering driver’s behavior. In Proceedings of the IECON 2017—43rd Annual Conference of the IEEE Industrial Electronics Society, Beijing, China, 29 October–1 November 2017; pp. 4597–4602. [Google Scholar]
  17. Huo, H.; Li, J. Cruise control based on gain scheduling PI diesel engine speed controller. In Proceedings of the IEEE International Vehicle Electronics Conference (IVEC’99) (Cat. No. 99EX257), Changchun, China, 9 September 1999; pp. 22–25. [Google Scholar]
  18. Khodayari, A.; Ghaffari, A.; Ameli, S.; Flahatgar, J. A historical review on lateral and longitudinal control of autonomous vehicle motions. In Proceedings of the 2010 International Conference on Mechanical and Electrical Technology, Singapore, 10–12 September 2010; pp. 421–429. [Google Scholar]
  19. Levant, A. Sliding order and sliding accuracy in sliding mode control. Int. J. Control. 1993, 58, 1247–1263. [Google Scholar] [CrossRef]
  20. Orlov, Y. Finite time stability and robust control synthesis of uncertain switched systems. SICON 2004, 43, 1253–1271. [Google Scholar] [CrossRef]
  21. Isermann, R. Nonlinear distance and cruise control for passenger cars. In Advances in Automotive Control 1995; Pergamon: Oxford, UK, 1995; pp. 209–214. [Google Scholar]
  22. Shtessel, Y.B.; Shkolnikov, I.A.; Levant, A. Smooth second-order sliding modes: Missile guidance application. Automatica 2007, 43, 1470–1476. [Google Scholar] [CrossRef]
  23. Cheng, S.; Hu, B.B.; Wei, H.L.; Li, L.; Lv, C. Deep Learning-Based Hybrid Dynamic Modeling and Improved Handling Stability Assessment for Autonomous Vehicles At Driving Limits. IEEE Trans. Veh. Technol. 2024, 14, 1–13. [Google Scholar] [CrossRef]
  24. Cheng, S.; Li, L.; Guo, H.Q.; Chen, Z.G.; Song, P. Longitudinal collision avoidance and lateral stability adaptive control system based on MPC of autonomous vehicles. IEEE Trans. Intell. Transp. Syst. 2019, 21, 2376–2385. [Google Scholar] [CrossRef]
  25. Tu, Q. MPC Based Car-Following Control Considering Uphill and Downhill; Technical Report; SAE Technical Paper; SAE: Warrendale, PA, USA, 2023. [Google Scholar]
  26. Choi, W.Y.; Chung, C.C. Optimizing Look-Ahead Distance for Vehicle Lateral Control: A Controller-Adaptive Approach. IEEE Trans. Intell. Veh. 2024, early access. [Google Scholar] [CrossRef]
  27. Choi, W.Y.; Lee, S.H.; Chung, C.C. Robust vehicular lane-tracking control with a winding road disturbance compensator. IEEE Trans. Ind. Inform. 2020, 17, 6125–6133. [Google Scholar] [CrossRef]
  28. Chen, Z.; Wang, X.; Guo, Q.; Tarko, A. Towards human-like speed control in autonomous vehicles: A mountainous freeway case. Accid. Anal. Prev. 2022, 166, 106566. [Google Scholar] [CrossRef] [PubMed]
  29. Qin, Z.; Chen, L.; Hu, M.; Chen, X. A lateral and longitudinal dynamics control framework of autonomous vehicles based on multi-parameter joint estimation. IEEE Trans. Veh. Technol. 2022, 71, 5837–5852. [Google Scholar] [CrossRef]
  30. Zhou, Y.; Pan, M.; Guan, W.; Cao, X.; Chen, H.; Yuan, L. A Novel Longitudinal Control Method Integrating Driving Style and Slope Prediction for High-Efficiency HD Vehicles. Appl. Sci. 2023, 13, 11968. [Google Scholar] [CrossRef]
  31. Ripaccioli, G.; Bemporad, A.; Assadian, F.; Dextreit, C.; Di Cairano, S.; Kolmanovsky, I.V. Hybrid modeling, identification, and predictive control: An application to hybrid electric vehicle energy management. In Proceedings of the Hybrid Systems: Computation and Control: 12th International Conference, HSCC 2009, San Francisco, CA, USA, 13–15 April 2009; pp. 321–335. [Google Scholar]
  32. Atabay, O.; Ötkür, M.; Ereke, İ.M. Model-based predictive engine torque control for improved drivability. J. Automob. Eng. 2018, 232, 1654–1666. [Google Scholar] [CrossRef]
  33. Utkin, V.I. Sliding Modes in Control and Optimization; Springer Science & Business Media: Berlin/Heidelberg, Germany, 2013. [Google Scholar]
  34. Shtessel, Y.; Edwards, C.; Fridman, L.; Levant, A. Sliding Mode Control and Observation; Springer: New York, NY, USA, 2014. [Google Scholar]
  35. Moreno, J.A.; Osorio, M. Strict Lyapunov functions for the super-twisting algorithm. IEEE Trans. Autom. Control 2012, 57, 1035–1040. [Google Scholar] [CrossRef]
  36. StanfordOnline. Machine Learning Lecture. Available online: https://youtu.be/4b4MUYve_U8 (accessed on 28 November 2024).
  37. Bishop, C.M.; Nasrabadi, N.M. Pattern Recognition and Machine Learning; Springer: New York, NY, USA, 2006. [Google Scholar]
  38. Fu, K. Sequential Methods in Pattern Recognition and Machine Learning; Academic Press: New York, NY, USA, 1968. [Google Scholar]
Figure 1. Schematic diagram of the proposed system.
Figure 1. Schematic diagram of the proposed system.
Applsci 15 00981 g001
Figure 2. Conceptual visualization of experimental scenario.
Figure 2. Conceptual visualization of experimental scenario.
Applsci 15 00981 g002
Figure 3. Visualization of the experimental test with CarMaker: At about 6 (s), the car is driving on a straight road. At about 38.5 (s), the road starts to go downhill. At about 44.5 (s), the downhill ends.
Figure 3. Visualization of the experimental test with CarMaker: At about 6 (s), the car is driving on a straight road. At about 38.5 (s), the road starts to go downhill. At about 44.5 (s), the downhill ends.
Applsci 15 00981 g003
Figure 4. Process of the proposed method: integration of OST-SMC controller with CarMaker and MATLAB/Simulink framework.
Figure 4. Process of the proposed method: integration of OST-SMC controller with CarMaker and MATLAB/Simulink framework.
Applsci 15 00981 g004
Figure 5. Tracking performance of the proposed system: vehicle velocity, acceleration, and control input under parameter variations.
Figure 5. Tracking performance of the proposed system: vehicle velocity, acceleration, and control input under parameter variations.
Applsci 15 00981 g005
Figure 6. Vehicle pitch and pitch rate comparison under parameter variations and optimal conditions: how the vehicle tilts up and down during the whole scenario can be seen.
Figure 6. Vehicle pitch and pitch rate comparison under parameter variations and optimal conditions: how the vehicle tilts up and down during the whole scenario can be seen.
Applsci 15 00981 g006
Figure 7. Proposed method performance analysis at different road slopes.
Figure 7. Proposed method performance analysis at different road slopes.
Applsci 15 00981 g007
Figure 8. Proposed method performance analysis at different friction coefficients.
Figure 8. Proposed method performance analysis at different friction coefficients.
Applsci 15 00981 g008
Figure 9. Proposed method performance analysis at different desired speeds.
Figure 9. Proposed method performance analysis at different desired speeds.
Applsci 15 00981 g009
Figure 10. Tracking performance comparison of OST-SMC vs SMC.
Figure 10. Tracking performance comparison of OST-SMC vs SMC.
Applsci 15 00981 g010
Table 1. Test vehicle parameters used during the experiment.
Table 1. Test vehicle parameters used during the experiment.
ParameterSymbolValueUnit
Vehicle massm1495.96kg
Vehicle lengthl4910.0mm
Vehicle widthw1860.0mm
Vehicle heighth1445.0mm
Track width front T f 1618.0mm
Track width rear T r 1625.0mm
WheelbaseL2840.0mm
Disclaimer/Publisher’s Note: The statements, opinions and data contained in all publications are solely those of the individual author(s) and contributor(s) and not of MDPI and/or the editor(s). MDPI and/or the editor(s) disclaim responsibility for any injury to people or property resulting from any ideas, methods, instructions or products referred to in the content.

Share and Cite

MDPI and ACS Style

Gdey, K.L.; Choi, W.Y. Optimized Super-Twisting Sliding Mode Control with Parameter Estimation for Autonomous Vehicle Longitudinal Motion on Downhill Road. Appl. Sci. 2025, 15, 981. https://doi.org/10.3390/app15020981

AMA Style

Gdey KL, Choi WY. Optimized Super-Twisting Sliding Mode Control with Parameter Estimation for Autonomous Vehicle Longitudinal Motion on Downhill Road. Applied Sciences. 2025; 15(2):981. https://doi.org/10.3390/app15020981

Chicago/Turabian Style

Gdey, Kbrom Lbsu, and Woo Young Choi. 2025. "Optimized Super-Twisting Sliding Mode Control with Parameter Estimation for Autonomous Vehicle Longitudinal Motion on Downhill Road" Applied Sciences 15, no. 2: 981. https://doi.org/10.3390/app15020981

APA Style

Gdey, K. L., & Choi, W. Y. (2025). Optimized Super-Twisting Sliding Mode Control with Parameter Estimation for Autonomous Vehicle Longitudinal Motion on Downhill Road. Applied Sciences, 15(2), 981. https://doi.org/10.3390/app15020981

Note that from the first issue of 2016, this journal uses article numbers instead of page numbers. See further details here.

Article Metrics

Back to TopTop