Abstract
High dewatering costs, resulting from the harvesting and separation of microalgae from the cultivation medium, pose a significant challenge to the large-scale commercial production of algae-based products, accounting for 20–60% of total cultivation expenses. This study presents research findings on the recovery of Baltic green microalgae Chlorella vulgaris BA-167 from water under static sedimentation conditions, evaluating its potential as a cost-effective harvesting method. The study investigates the effect of suspension concentration on the kinetics and efficiency of sedimentation under both autoflocculation and targeted flocculation conditions, using the Flokor 1.2A coagulant, which is commonly employed in industrial water treatment processes in Poland. The novelty of this research lies in the application of the new coagulant Flokor 1.2A to explore its potential for harvesting Chlorella vulgaris BA-167 cultivated under laboratory conditions. The results demonstrate a strong correlation between the algae removal rate and their initial concentration in the suspension, within the range of 0.375–2.380 g/L. Under autoflocculation conditions, the final minimum algae concentration in the liquid after sedimentation ranged from 0.078 to 0.148 g/L, corresponding to initial concentrations of 0.960 g/L and 0.615 g/L, respectively. Experimental results indicate that combining sedimentation with targeted flocculation significantly increases microalgae harvesting efficiency. Flokor 1.2A facilitates the coagulation and agglomeration of microalgae cells, promoting the formation of larger aggregates (flocs) ranging from 20 μm to 690 μm, which settle more easily during gravity-driven sedimentation. Within the coagulant concentration range (CF) of 0.01–0.36 g/L, sedimentation time was reduced by 3–7 times, and algae harvesting efficiency exceeded 92%. The greatest reductions in algae concentration occurred with 0.12 g/L of coagulant for 0.615 g/L algae and 0.17 g/L for 0.960 g/L algae, achieving maximum harvesting efficiencies of 83.2% and 92.9%, respectively. These results represent a 2.02–2.53-fold improvement over autoflocculation.
1. Introduction
Energy is a fundamental driver of modern societal and economic development, with consumption rising markedly each year. The increase in energy consumption is driven by rapid population growth (9.5 billion by 2050), industrial expansion, technological advancements, and heightened demands for comfort and convenience in daily life. Currently, energy production predominantly relies on fossil fuels such as coal, oil, and gas, which are significant contributors to environmental degradation, global warming, and climate change [1]. As the world faces the challenges of climate change, lack of clean water, and food safety, it must address several critical issues, including implementing effective emission-reduction strategies, managing raw materials responsibly, and adopting clean, renewable energy sources to safeguard the environment [2,3,4].
Microalgae, as a third-generation biomass, have remained at the forefront of scientific interest for several decades due to their energy potential and ability to absorb carbon dioxide from the atmosphere [5,6]. Research centers worldwide continue to explore their capabilities and applications. The advancement of technologies related to the production and processing of algae holds significant promise for addressing global challenges, including a reduction in greenhouse gas emissions, energy transition, enhancement of energy security, and the effective management of problematic anthropogenic waste. Algae, as photosynthetic organisms (capable of harnessing energy from light, carbon dioxide, and inorganic substances), are among the primary producers of oxygen, contributing to 40% of global photosynthesis. Microalgae, due to their vitality, high growth rates, and ability to acclimatize to unfavorable environmental conditions, are capable of colonizing almost any type of habitat, including freshwater and marine environments, deserts, volcanic regions, frozen lands, and soils with high salinity or acidic pH. This enables their cultivation on lands that are not suitable for agriculture, without the use of pesticides [7,8]. They constitute an ecologically and economically valuable resource, utilized in areas such as agriculture and animal husbandry [9], as raw material for the production of biodegradable plastics [10], and for high-value-added molecules such as proteins, lipids, pigments, carbohydrates [11,12], antioxidants, and amino acids [13] used in the food, pharmaceutical, nutraceutical, and cosmetic industries.
As previously mentioned, microalgae can be economically utilized, but they can also act as pollutants in surface waters and wastewater, as indicated by studies such as those by [14]. Due to their ability to process various waste substances, microalgae can serve as an effective tool in bioremediation and sustainable resource management. They acquire nutrients from various waste sources, such as agro-industrial waste [15] and industrial effluents [2,16,17], including aquaculture wastewater [3], as well as domestic or municipal wastewater [5], contributing to the environmental cleansing of excess nitrogen and phosphorus compounds that can lead to water eutrophication. Moreover, utilizing microalgae for nutrient absorption from industrial waste [18] can provide a solution to the problem of untreated waste in various industrial sectors, thereby reducing their negative impact on aquatic ecosystems and the atmosphere. Furthermore, recent studies indicate that algae could serve as an affordable and environmentally safe coagulant for removing microplastics from rivers, lakes, and oceans, contributing to sustainable plastic waste management and addressing the global plastic pollution crisis [4,19]. Above all, microalgae are widely recognized as a valuable source of renewable biofuels, including bio-oil obtained through hydrothermal liquefaction (HTL) of raw wet biomass [18,20], hydrogen-rich biogas generated through photobiological processes [21], bioethanol produced via carbohydrate fermentation [22], methane produced by anaerobic fermentation of algal biomass [23], and biodiesel derived from lipid transesterification [24]. In many studies [25,26], integrated production systems for biofuels and various chemicals are highlighted. These systems, when utilizing waste resources, enable the distribution of capital and operational costs across the production of multiple target products. This, in turn, reduces high production costs and increases the competitiveness of these solutions in the market. An example of this is the co-pyrolysis of plastic waste and microalgae biomass, which offers synergistic benefits for both fuel production and the synthesis of value-added products, such as fine chemicals and biofertilizers [4,5]. The industrial utilization of by-products derived from algae aligns with the goals of sustainable development and the principles of the circular economy and can significantly contribute to improving the economic efficiency of production and the development of this industry sector [5,7].
To achieve relatively low cultivation costs for algae used in biofuel production, the photoautotrophic growth mode is most commonly employed. This cultivation approach requires the delivery of adequate light, carbon dioxide, and water enriched with various inorganic compounds, such as nitrogen and phosphorus, to the photobioreactors. The availability and intensity of light play a critical role in influencing algal growth, making light management a key factor in optimizing productivity [27]. The cultivation of algae in the photoautotrophic mode is carried out using both open systems, such as open ponds, and closed systems, such as photobioreactors [28,29].
Depending on the applied culture medium and cultivation conditions—such as light intensity and exposure time, mixing method, and aeration in photobioreactors—algae with diverse physicochemical properties can be obtained [5]. These properties are crucial in selecting the method for algae concentration, influencing dewatering efficiency, and thus the long-term removal of algae from the system. Considering the composition of the algal cell, where the average density of carbohydrates is 1500 kg/m3, proteins 1300 kg/m3, and lipids 860 kg/m3, the density of microalgal cells will be directly dependent on the proportion of these components in their total mass [8,30].
The lipid content of microalgae exhibits significant variability depending on the species and cultivation conditions [20]. Freshwater species such as Chlorella vulgaris and Ankistrodesmus falcatus demonstrate lipid content ranging from 25 to 42% and 28 to 37%, respectively, while marine species such as Tetraselmis suecica and Neochloris oleoabundans exhibit ranges of 18–26% and 36–42%, respectively. Cell density values for all species, as reported in the literature, fall within a narrow range of 1030–1200 g/L across both freshwater and marine environments. These slight differences in cell and water density are considered key factors contributing to the fundamental challenges in achieving effective gravitational separation of microalgal cells from water [8].
It is worth noting that the size of microalgal cells cultivated, for example, for energy purposes, primarily depends on their species and cultivation conditions, and typically falls within the micron range (1–50 μm). Their concentration in the liquid is generally low, ranging from 0.5 to 3 g/L [31].
Despite the numerous benefits of algae and their expanding range of potential applications, significant technical and economic challenges persist, hindering their global commercialization. The unique properties of algae necessitate addressing the high costs associated with their harvesting and separation from the cultivation medium. The colloidal nature of microalgae, combined with the negative charge on their cell surface due to carboxylate ions and other negatively charged functional groups (ranging from −7.5 to −40 mV), promotes their buoyancy in the liquid, leading to the formation of stable suspensions that are difficult to separate [32]. The negative surface charge of the cells induces electrostatic repulsion, effectively preventing coagulation or flocculation [8]. Additionally, the low sedimentation velocity of microalgae (0.008 mm/s) further complicates the harvesting process [31]. In fact, microalgae biomass dewatering typically accounts for 20 to 60% of the total cultivation cost, presenting a major barrier to large-scale commercial production [20,33]. To reduce the costs of algae harvesting and ensure high purity of wastewater discharge, numerous research efforts are currently underway to explore economically viable techniques for separating microalgae biomass from the cultivation medium [34]. These efforts are focused on adapting the separation methods based on the scale of cultivation, microalgae species, and the intended practical applications, such as for energy, chemicals, or food purposes. Microalgae harvesting and dewatering can be carried out via single-stage or multi-stage processes, depending on the desired quality and concentration of the end product [29].
Various conventional techniques are employed for microalgae dewatering, including mechanical methods (gravity sedimentation, filtration, centrifugation) [11,35], chemical methods (coagulation, flocculation) [8,36,37], electrical methods (electrophoresis) [33,38], and biological methods (bioflocculation) [34].
Among other researchers, Tripathi et al. [17] emphasize bioflocculation as a cost-effective, environmentally friendly, and industrially feasible method for microalgal harvesting. Meanwhile, Pratama and Hadiyanto [39] demonstrated that the electrocoagulation-flotation (ECF) method is an efficient approach for recovering Chlorella vulgaris biomass, achieving up to 98.7% efficiency. Additionally, Cao et al. [40] investigated electro-osmotic and electro-dewatering processes and found that excessively high ionic strength can decrease the effectiveness of algae electro-dewatering. Lucakova et al. [38] optimized electrocoagulation with iron electrodes for harvesting Chlorella vulgaris, achieving >95% efficiency with low iron residues meeting food standards. Using electrocoagulation before centrifugation reduced energy costs to 0.136 kWh/kg, less than 14% of the energy cost of centrifugation alone. Multistep methods for algae separation, such as flocculation-sedimentation followed by centrifugation, are being explored for improved efficiency. Rao et al. [37] compared gravity sedimentation and dissolved air flotation (DAF) for floc separation, achieving 87% and 98% harvesting efficiency, respectively. They concluded that combining these methods can significantly reduce capital and operational costs for large-scale production. Each of the methods listed has its own advantages and drawbacks, necessitating effective operational optimization and management to enhance dewatering efficiency.
Extensive research is also being conducted on the use of various membrane filtration methods for microalgal dewatering [29]. In these methods, fouling—which reduces permeate flux, increases cleaning frequency, and overall energy consumption—represents a major bottleneck in microalgal dewatering. The choice of a specific algae biomass concentration method is also influenced by its level of technical maturity for industrial-scale application. Therefore, methods that have proven effective in water treatment technology for organic pollution removal are currently the most commonly used [41].
Gravitational sedimentation is one of the simplest and most cost-effective dewatering methods. It is considered environmentally friendly since it does not require chemicals or significant energy input, unlike other techniques such as filtration, centrifugation, or electrophoresis. Moreover, it does not require complex equipment, making it a cost-effective and accessible option, particularly for large-scale applications. However, this method is relatively slow, with particle settling velocities averaging 0.1–2.6 cm/h, and is more effective for cells with larger dimensions [8,42,43]. To increase sedimentation efficiency, a preliminary flocculation process is carried out, resulting in the enlargement of settling particles. This requires the use of appropriate chemicals, such as inorganic salts Al2(SO4)3, AlCl3, FeCl3, Fe2(SO4)3, ZnCl2, ZnSO4, CaSO4, CaCl2, MgSO4, MgCl2, NH4Cl, and (NH4)2SO4 as indicated in studies by [8,11,33,34,35,36,44,45].
Many algal strains can also undergo autoflocculation, the intensity of which depends on the cultivation conditions [32,44,45,46]. The mechanisms involved in this process are typically associated with the formation of positively charged bridges between cells, connected by extracellular polymeric substances (EPS). Numerous studies also indicate a correlation between the production of EPS and factors such as light intensity, temperature, pH, and the concentration of dissolved oxygen in the culture medium [44].
Wu et al. [46] and Akış and Özçimen [47] demonstrated the critical role of pH in optimizing microalgae flocculation. Wu et al. [46] found that autoflocculation of Chlorella vulgaris began at pH 8.6, reaching over 90% efficiency at pH 10.6. Similarly, Akış and Özçimen [47] reported that adjusting Chlorella minutissima cultures to pH 10.5 with NaOH achieved 86.18% efficiency. This pH-induced flocculation process involves the addition of a base, such as KOH or NaOH, to elevate the pH of the algal culture.
In turn, Raeisossadati et al. [33] assessed the harvesting efficiency of electrocoagulation, flocculation, and pH-induced flocculation for microalgae consortium dominated by Chlorella sp. grown in anaerobically digested abattoir effluent at pH values of 6.5 and 9.5. The highest biomass recovery (77%) was achieved at pH 6.5 with 0.100 g/L of aluminum sulfate after 15 min, while at pH 9.5, recovery increased significantly to 89% with a reduced concentration of 0.010 g/L after 30 min. pH-induced flocculation experiments revealed that cultures adjusted to pH 10.5 exhibited a 36% higher biomass recovery compared to those at pH 8.5 after 2 h. Authors stated that higher pH conditions (9.5) resulted in improved microalgal recovery across all dewatering systems.
Similar, Lee and Choi [48] investigated the effect of pH on microalgae harvest efficiency, specifically for Chlorella vulgaris but using Mg–sericite as a flocculant. The highest harvesting efficiency of 99 ± 0.3% was achieved at pH 9, but efficiency decreased with further increases in pH, reaching only 92 ± 1.3% at pH 12. The optimal pH range for harvesting was found to be 9–11, while pH below 4 resulted in less than 20% efficiency. The pH effect is attributed to the physical properties of Mg–sericite and its interactions with microalgae cells. At alkaline pH, the flocculant forms larger flocs due to increased positive charge, enhancing flocculation efficiency.
Some investigators [45] suggest that the optimal pH corresponds to the pH at which the minimum flocculant dosage begins to trigger the formation of primary flocs. These studies emphasize the importance of pH control in enhancing microalgae harvesting.
It is important to note that autoflocculation is also influenced by the aging effect of cells in batch cultures, where optimal conditions for sedimentation occur at the end of the exponential growth phase and during the stationary phase [49]. In turn, Li et al. [43] found that hydrodynamic turbulence enhanced autoflocculation of Chlorella vulgaris by 40–53.3%, with efficiency increasing initially and then decreasing as turbulence strength increased.
Based on a thorough review of the literature, it is evident that, despite extensive research on algal harvesting and dewatering, there is a lack of comparative analysis of sedimentation efficiency under autoflocculation and targeted flocculation conditions, using coagulants commonly applied in drinking water treatment, specifically for the Baltic green microalga Chlorella vulgaris BA-167. In light of this, the present study provides a detailed discussion of the results regarding the use of the sedimentation process for recovering Chlorella vulgaris BA-167 algae from the cultivation medium, as well as the determination of the purity of the resulting effluents. The influence of suspension concentration on sedimentation rate is evaluated, and the potential for improving sedimentation efficiency through autoflocculation and targeted flocculation is explored. This study is the first to describe the sedimentation process of Baltic algae using the novel coagulant Flokor 1.2A, which is used in Poland for industrial and potable water treatment.
2. Scope and Methodology of the Research
The study assessed algae harvesting efficiency at pH 6.6, which corresponds to optimal cultivation conditions, without the addition of any chemicals that could alter the suspension’s pH. During cultivation in photobioreactors, pH 6.6 was continuously maintained through automated CO2 dosing, providing an environment conducive to microalgae growth. Analyzing the flocculation process under these cultivation conditions provides practical insights into optimizing algae harvesting processes. This approach ensures that the results are directly related to real-world microalgae production systems, closely reflecting the conditions used during cultivation.
To evaluate the effect of microalgae concentration on harvesting efficiency, sedimentation studies were conducted under conditions of autoflocculation and flocculation using the coagulant Flokor 1.2A. This coagulant belongs to the group of pre-hydrolyzed, highly alkaline, polymerized aluminum coagulants of the latest generation, produced by Dempol-Eco (Opole, Poland). FLOKOR® products are available in liquid form and are used in the treatment of drinking water, process water, swimming pool water, industrial and municipal wastewater, as well as in technological processes across various industrial sectors. When Flokor 1.2A is used, a slight decrease in the pH and alkalinity of the water after coagulation can be observed (pH 6.8–7.5). Due to its high polymerization level (Al/Cl up to 1.8) and basicity >75%, it operates effectively across a wide range of impurity concentrations by neutralizing the surface charge of colloidal contaminants. This reduces the required dosage compared to other aluminum- and iron-based coagulants, thereby minimizing the volume of coagulation sludge and improving the efficiency of the technological system. The basic characteristics of Flokor 1.2A are presented in Table 1.
Table 1.
Characteristics of coagulant Flokor 1.2A.
The material used in the research consisted of the unicellular Baltic green algae Chlorella vulgaris BA-167, obtained from the Culture Collection of Baltic Algae (CCBA) at the Institute of Oceanography, University of Gdańsk.
The inoculum of Chlorella vulgaris BA-167 was prepared in 100 mL glass Erlenmeyer flasks, each containing 50 mL of f/2 medium, which contains nitrogen, phosphorus, vitamins, and trace elements [50]. The medium was prepared with demineralized water and autoclaved for 20 min at 121 °C.
The cultures were incubated for 21 days under constant light conditions (12 h light/12 h dark photoperiod, neutral white light provided by an LED panel) at room temperature (20 °C). The inoculum prepared in this way was used to initiate large-scale cultivation in the photobioreactors. The algae were cultivated in two rectangular glass tanks measuring 109 × 45 × 50 cm, with a total volume of 200 L and a working volume of 170 L, as shown in Figure 1. Each photobioreactor was equipped with a propeller pump (Jebao SINE Wave Maker SOM-16, Jebao Co., Ltd., Zhongshan, China) to maintain a constant flow of the algal suspension and ensure effective mixing. The photobioreactors were operated under controlled pH and temperature conditions. The pH was maintained at 6.6 and automatically regulated by a pH controller with an ERH-AQ1 sensor (Hydromet, Gliwice, Poland) integrated with the photobioreactor’s carbon dioxide supply system. The use of a porous ceramic sparger enabled the generation of fine CO2 bubbles in the algal suspension, enhancing gas-phase dissolution. Heaters installed in the photobioreactors ensured that the cultivation temperature remained constant within the range of 25–27 °C, with an accuracy of ±1 °C. Light energy was supplied by LED panels (GREENLUX, Staré Město u Frýdku-Místku, Czech Republic) emitting neutral white light (4000 K), with dimensions of 60 × 60 cm and 60 × 120 cm. The photobioreactor was equipped with a narrow, rectangular glass partition mounted inside the tank, in which a LED panel (60 × 60 cm) was placed to provide the necessary light for algal growth. Additionally, an LED panel (60 × 120 cm), positioned above the tank, illuminated the culture from above, supporting the photosynthesis process. The cultivation was conducted continuously, with regular harvesting of the biomass produced, and simultaneous replenishment of fresh water and nutrients.
Figure 1.
Photobioreactor for Chlorella vulgaris BA-167 cultivation: (a) schematic diagram, (b) real view at the initial stage of cultivation—low cell concentration, (c) view of pH (left) and mixing (right) controller, and (d) real view at the highest cell concentration during algae cultivation. 1—glass tank (200 L); 2—pH sensor and controller; 3—propeller pump; 4—pH sensor; 5—peristaltic pump (nutrients dosing); 6—temperature controller; 7—heater; 8—CO2 supply; 9—CO2 ceramic sparger; 10—lighting (LED panel).
The studies on the sedimentation efficiency of algae were conducted in two setups: specifically, in individual cylinders with a volume of 100 mL and using a four-position flocculation tester JT-40E from EnviSense (Lublin, Poland). The tester was equipped with four paddle stirrers, allowing for precise adjustment of both their suspension height and rotational speed. This design enabled the optimal adjustment of the mixing parameters to meet the specific requirements of each stage of the experiment, facilitating a detailed analysis of the sedimentation process. Additionally, the flocculation tester was equipped with an illuminated panel with adjustable positioning (vertical or horizontal), enabling observation and photographic documentation of the sedimentation process under transmitted light. Each 1 L beaker was filled with a microalgae suspension obtained from the photobioreactor tank. The stirrers were positioned 15 mm above the bottom of the beakers, ensuring efficient homogenization of the algal suspension. A precisely measured dose of coagulant was added to each beaker using a Sartorius pipette, followed by a two-stage mixing process. In the first stage, the suspension was vigorously mixed for 1 min at a speed of 150 rpm to ensure uniform distribution of the coagulant throughout the solution. In the second stage, gentle mixing was applied at a speed of 45 rpm for 9 min, facilitating the initiation of the floc formation process. In each series of experiments, one beaker was filled with a suspension without the addition of a coagulant to serve as a control for comparing sedimentation efficiency. The study tested nine doses of the coagulant Flokor 1.2A, ranging from 0.01 to 0.36 g/L, selected based on preliminary studies of Chlorella vulgaris BA-167 harvesting efficiency. The coagulant doses were determined with an accuracy of ±0.001 g, and all flocculation experiments were performed in triplicate.
During the observation of the microalgal sedimentation process, recorded with a Canon EOS 300D digital camera (Canon, Tokyo, Japan) and a Dino-Lite AM7515MT8A digital microscope (Torrance, CA, USA), measurements were taken of the increase in the clarified liquid layer and the sediment layer. Sedimentation tests were conducted for suspensions with varying initial concentrations (Ca,0), ranging from 0.375 to 2.38 g/L. The concentrations of the algal suspension sampled from the photobioreactor were determined based on the spectrophotometer’s calibration, as defined by Equation (1).
Additionally, samples of the algal suspension were collected from each beaker of the flocculation tester at regular intervals (typically every 5 min) to assess temporal variations in suspension concentration and dry weight content. The concentration was measured using an Orion AquaMate 8000 UV-VIS spectrophotometer (Thermo Scientific, Waltham, MA, USA), which recorded the optical density of the suspension at a wavelength of 684 nm. This wavelength was chosen based on a spectral scan that identified it as the point of maximum absorbance. To establish a relationship between absorbance A (optical density) and algae concentration Ca, a standard curve was created. This curve was generated by plotting optical density measurements of algae suspensions at known concentrations against their corresponding dry weight values. The algae dry weight was determined using a Radwag MA.X2.A moisture analyzer (Radwag, Radom, Poland), providing measurements with a precision of ±0.0001 g. The resulting data confirmed a linear relationship, as shown by the following equation:
This relationship allows for precise interpolation of unknown samples. The standard curve was stored in the spectrophotometer’s memory, enabling the instrument to directly convert absorbance readings into concentration values during analysis. The method proved to be highly reliable, with a correlation coefficient (R2 = 0.997952), confirming its accuracy and precision. The favorable values for the coefficient of determination (R2 = 0.997952) residual sum of squares σ2 = 0.110644 and residual mean square = 0.0110644 demonstrate statistical significance across the entire study range, with a mean relative error of ±4.04%. The local concentration of algae in the suspension (Cal) was determined as the average of three measurements. In each case, the measured concentration values were repeatable, with the standard deviation not exceeding 0.33% of the mean value.
Furthermore, samples of the clarified liquid, suspension, and sediment were collected for microscopic analysis. Observations were conducted using a Motic AE 2000 inverted microscope (MOTIC, Hong Kong, China), integrated with Motic Images Plus 3.0 software for computerized image analysis. This setup enabled seamless integration of microscopic observations with digital imaging, facilitating in-depth analysis of the recorded images.
3. Research Results and Their Analysis
In order to determine the size distribution of individual algae cells, their aggregates, and the forming flocs, samples were taken from the photobioreactor during the culture period and subjected to microscopic observations (Figure 2a). The Motic AE2000T inverted microscope, equipped with a MOTIC digital camera (Moticam A5, 5MP live resolution) and specialized image analysis software (Motic Images Plus 3.0), was used for this purpose. Each measurement was repeated 10 times, allowing for the determination of the average value of the measured quantities and providing high confidence in the obtained results.
Figure 2.
The algae Chlorella vulgaris BA-167: (a) general view of the cells under the microscope; (b) cell size distribution histogram.
The size distribution of individual algae cells in the suspension, ranging from 2.8 to 7.2 μm and corresponding to cell volumes between 11.5 and 195.4 μm3, is shown in Figure 2b. The cell size distribution histogram indicates an average size of 4.6 ± 0.2 μm, with relatively few cells smaller or larger than this value. During cultivation, the algal cells grew and, as a result of autoflocculation, aggregated into clusters of various sizes. To precisely determine the sizes of the forming aggregates, separate microscopic measurements were taken for the suspension samples. A representative image of a randomly selected sample is shown in Figure 3. As observed, the sizes of individual microalgae cells differ significantly from those of their aggregates, formed due to autoflocculation. Computerized image analysis revealed that the average size of the formed flocs ranged between 20 and 140 μm.
Figure 3.
Microscopic view of Chlorella vulgaris BA-167 algae (a); cell and aggregate size distribution histogram under autoflocculation, Ca,0 = 0.960 g/L (b).
The comparative analysis of floc sizes formed with the coagulant Flokor 1.2A revealed that their size significantly exceeded that of aggregates formed during autoflocculation, reaching over 140 µm.
The flocculation-sedimentation process with Flokor 1.2A follows the typical mechanism of metal coagulants commonly used in wastewater treatment to remove suspended solids. This process involves two main mechanisms: charge neutralization and sweep flocculation. In charge neutralization, positively charged metal coagulants (Al3+) are attracted to negatively charged colloidal particles (algal cells), leading to the formation of large microfloc agglomerates. This interaction minimizes the repulsive forces between the cells, causing cell collisions and destabilizing them, which initiates the bridging of algae into irregular floc formations, as observed in the microscopic images (see Figure 4). When excess coagulant is added beyond the neutralization point, metal hydroxide precipitates, such as Al(OH)3, are formed. These precipitates are large, heavy, and sticky, helping to capture colloidal materials. In sweep flocculation, the metal precipitates settle, entrapping the colloidal materials within the formed flocs.
Figure 4.
Microscopic image of the algae sample analyzed using Motic Images Plus 3.0 (a); cell and floc size distribution with the Flokor 1.2A, Ca,0 = 0.960 g/L and CF = 0.2 g/L (b).
Flokor 1.2A (polymerized aluminum coagulant) requires a lower concentration of Al3+ compared to other metal coagulants like ferric chloride, due to its smaller ionic radius (0.05 nm vs. 0.065 nm for Fe3+), resulting in a higher charge density. This higher charge density enables Al3+ to more effectively bridge and neutralize the surface charge of microalgal cells.
Flokor 1.2A requires both rapid and slow mixing stages. Rapid mixing (150 rpm) facilitates the “coating” of algal cells with Flokor 1.2A and helps prevent uneven dosing of the coagulant. However, excessive agitation can disrupt intercellular bridges and break down the formed flocs. In contrast, flocculation mixing (at 45 rpm) is slower, allowing optimal interaction and aggregation of the flocs. Depending on the impurities in the water, the addition of the coagulant can lead to the formation of flocs even during the rapid mixing phase. The precipitated Al(OH)3, with its highly developed adsorptive surface, serves as the initial bridging element, neutralizing the colloidal particles.
The size distribution of aggregates formed with Flokor 1.2A (initial algae concentration Ca,0 = 0.960 g/L) is shown in Figure 4, with floc sizes ranging from 20 to 160 μm (Figure 4b). A detailed analysis of the collected experimental data revealed that the largest flocs, in terms of size, were formed at Flokor 1.2A concentrations of 0.12 and 0.2 g/L. At these concentrations, the measured minimum, average, and maximum floc sizes were 50 (100) 410 μm and 100 (200) 690 μm, respectively. For all algae concentrations analyzed in this study, the algal suspension was found to be polydisperse.
The data presented in Figure 3 and Figure 4 show that the average size of the aggregates in the algal suspension was 39.4 µm for autoflocculation and 76.4 µm for flocculation with the addition of Flokor 1.2A. Given that the average size of a single algal cell is 4.6 ± 0.2 µm, the aggregates that settled in both cases were significantly larger. These differences in the size of individual cells and the formed aggregates had a substantial impact on the sedimentation rate, and consequently, on the efficiency of algal harvesting.
The studies also revealed that flocs exceeding 160 µm in size formed in algal suspensions with concentrations of 0.615 g/L and 0.960 g/L, when flocculant concentrations were 0.12 g/L and 0.17 g/L, respectively. Figure 5a shows the experimental setup for real-time observation of the sedimentation of the algal suspension. During the experiments, distinct zones with varying concentrations of microalgae, typical of the sedimentation process, were observed, including the clear water zone, the suspension zone, and the sludge zone. The particle size distribution of the flocs in the suspension was determined using the Dino-Lite AM7515MT8A digital microscope, mounted on a stand near the transparent wall of the container where sedimentation occurred. This setup allowed for the observation and real-time recording of the entire suspension, rather than just a small sample taken from the beaker, as shown in Figure 5b. Observations during the sedimentation process revealed that the degree of polydispersity of aggregates and flocs in the suspension was heterogeneous and changed throughout the process. In most cases, it was challenging to clearly define the boundaries between the clear liquid, concentrated suspension, and sediment. To determine these boundaries, an analysis of numerous images and videos recorded during the experiment was conducted. Example sedimentation curves of microalgae obtained under different process conditions are shown in Figure 6.
Figure 5.
Setup for real-time observation of algae sedimentation using the Dino-Lite AM7515MT8A digital microscope (a); image of the settling Chlorella vulgaris microalgae suspension with an initial concentration of 0.615 g/L, (magnification: 691×) (b).
Figure 6.
Sedimentation curves of Chlorella vulgaris BA-167: (a) under autoflocculation; (b) flocculation with Flokor 1.2A.
The curves represent the changes in the position of the boundary between the clarified liquid and the suspension. The slope of these curves reflects the sedimentation rate, and consequently, the volume of the forming supernatant. The data analysis presented in Figure 6a shows that the rate of formation of the clarified liquid zone varies over time and is influenced by the initial algal concentration in the suspension.
The sedimentation curves exhibit a linear pattern throughout the entire analyzed time period, suggesting that the process rate is constant and depends solely on the algal concentration in the suspension. These results indicate that the rate of supernatant formation remains relatively low. For initial algal suspension concentrations ranging from 0.375 to 2.380 g/L, the sedimentation rate varied between 0.11 and 1.86 mm/min. Substantially higher sedimentation rates were observed under induced flocculation conditions using Flokor 1.2A (Figure 6b).
The experimental data presented in Figure 6b indicate that the sedimentation rate ranged from 8.2 to 9.3 mm/min, depending on the concentration of the flocculant, which varied from 0.01 to 0.36 g/dm3. For instance, with an initial algal concentration of 0.615 g/L, the sedimentation rate was 28–32 times higher than that observed under autoflocculation conditions, where the rate was only 0.29 mm/min.
The application of Flokor 1.2A flocculant significantly reduced the sedimentation time. After approximately 15 min, the sedimentation dynamics slowed considerably, with the boundary between the clarified liquid and the flocculated algal suspension shifting very gradually. Continued gravitational sedimentation improved harvesting efficiency but required a much longer duration, approximately 120 min. By this time, the concentration of algae in the clarified liquid stabilized, ranging from 0.078 to 0.148 g/L, and a stable suspension formed. The changes in turbidity at various stages of sedimentation are shown in the photographs presented in Table 2 and Table 3, which illustrate the differences in the sedimentation process of microalgae under autoflocculation and chemical flocculation conditions. Analysis of the images in Table 2, which show the turbidity levels under autoflocculation conditions, indicates that sedimentation efficiency is closely dependent on the initial algal concentration in the suspension.
Table 2.
Sedimentation of Baltic Chlorella vulgaris BA-167 suspension at varying initial concentrations under autoflocculation conditions.
Table 3.
Sedimentation of Chlorella vulgaris BA-167 with Flokor 1.2A (initial algae concentration of 0.615 g/L).
During the first 15 min of the process, a noticeable decrease in turbidity was observed, which resulted from a reduction in algal concentration. By comparing the turbidity changes over time, it was found that the highest sedimentation effect occurred at an initial algal concentration of 0.615 g/L, with sedimentation efficiency being less than 20%. Higher sedimentation efficiencies were achieved after conducting the process for 120 min, as shown in Figure 6.
Figure 7 illustrates the changes in algal concentration in the clarified liquid during the gravitational sedimentation of algal suspensions with different initial concentrations (ranging from 0.375 to 1.740 g/L) under autoflocculation conditions.
Figure 7.
Changes in the concentration of Chlorella vulgaris BA-167 over time during sedimentation under autoflocculation conditions (a), and the corresponding harvesting efficiency (b).
The trends observed in Figure 7a indicate that the changes in algae concentration over time were primarily influenced by the initial concentration of the suspension. As the initial algae concentration increased, the efficiency of water clarification also improved. This, in turn, affected the harvesting efficiency, which was calculated using Equation (2):
where Ca,0 denotes initial concentration of algae suspension, and Ca,l represents the local concentration of algae at a specific time. Example values of algae harvesting efficiency are presented in Figure 7b. The data show that harvesting efficiency varied over time. The highest values, ranging from 52.6% to 71.7%, were observed at the highest initial algae concentrations of 0.960 and 1.740 g/L. In contrast, at lower initial concentrations (0.375–0.615 g/L), no significant impact of the initial suspension concentration on harvesting efficiency was observed.
A significantly higher process efficiency was achieved during sedimentation in the presence of the Flokor 1.2A. The data in Table 3, which show changes in suspension turbidity over time for an initial algae concentration of 0.615 g/L, indicate that even a small dose of flocculant (0.09 g/L) facilitated algae floc formation, improving their removal from the water. Increasing the flocculant concentration to 0.09–0.28 g/L further enhanced algae removal, achieving 58–73% efficiency within 15 min. Extended process durations led to even higher efficiency, as shown in Figure 8.

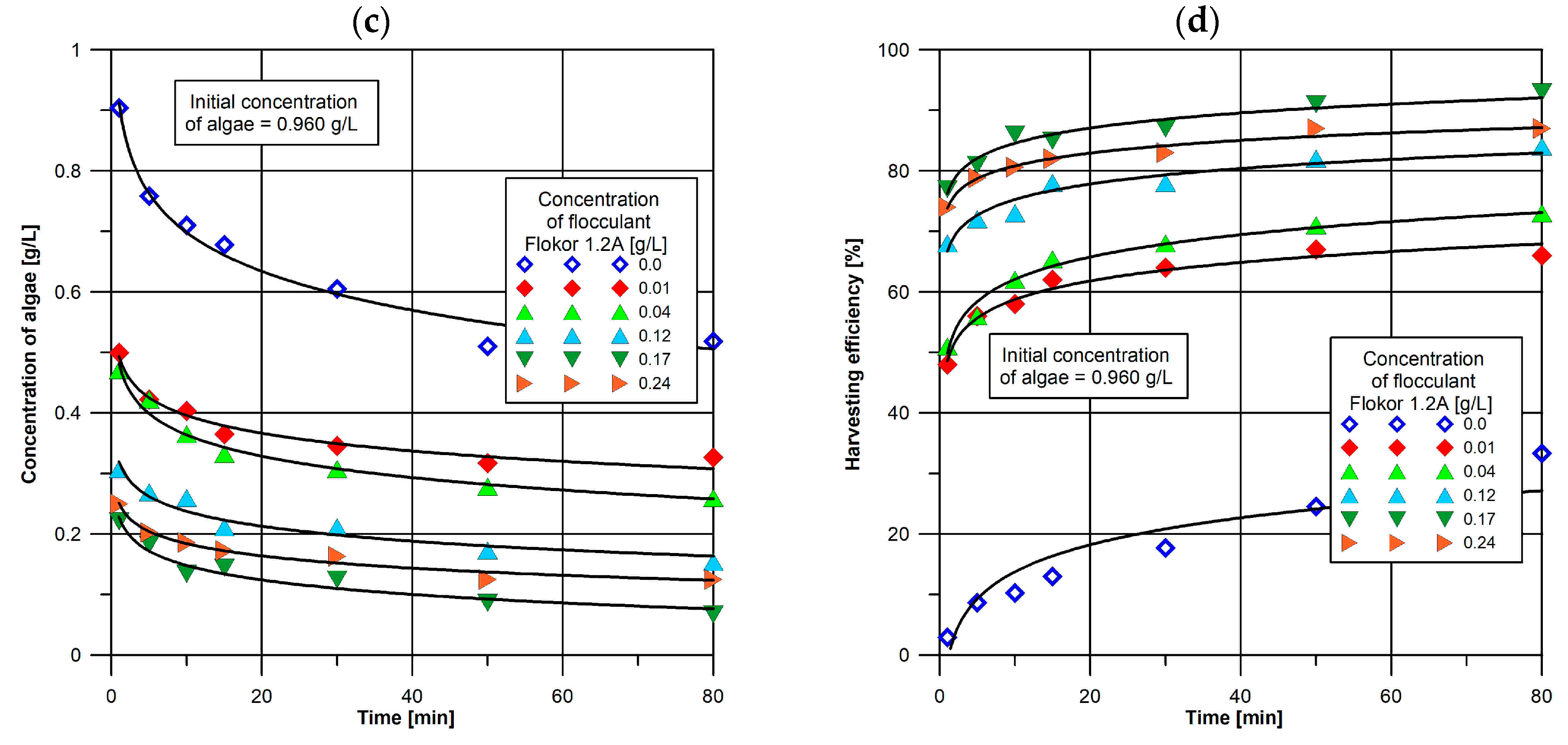
Figure 8.
Changes in the concentration of Chlorella vulgaris BA-167 during sedimentation assisted by Flokor 1.2A (a,c) and process efficiency (b,d).
The quantitative analysis of changes in algae concentration in the supernatant (Figure 8) during sedimentation with flocculant assistance reveals a significant influence of both the initial algae concentration (0.615 g/L and 0.960 g/L) and the flocculant concentration on the sedimentation efficiency.
The changes in algae concentration during sedimentation for both suspensions were primarily influenced by the flocculant concentration, with variations in this parameter significantly affecting the final algae concentration in the clarified liquid. However, it is important to note that exceeding the optimal coagulant dose does not enhance the process efficiency and may even reduce it. This decrease in efficiency occurs because an excess of coagulant leads to the formation of a stable colloidal system in the treated medium, where the electric charge of the excess coagulant neutralizes the charge of the particles. The greatest reductions in efficiency were observed at flocculant concentrations of 0.12 g/L for an initial algae concentration of 0.615 g/L and 0.17 g/L for 0.960 g/L. At other flocculant concentrations, harvesting efficiency was lower, as shown in Figure 8b,d. The maximum harvesting efficiencies achieved were 83.2% for a suspension with 0.615 g/L and 92.9% for 0.960 g/L, representing a 2.02–2.53-fold improvement over autoflocculation conditions.
This study demonstrates significantly higher algae harvesting efficiencies with Flokor 1.2A compared to autoflocculation and natural flocculants. Zhu et al. [31] reported efficiencies exceeding 90% using chitosan (0.25 g/L) and aluminum sulfate (2.5 g/L) at an initial algae concentration of 1.2 g/L and pH 9.5. Chitosan was notably more efficient than aluminum sulfate, achieving similar recovery rates at a 10-fold lower concentration.
Flokor 1.2A surpassed these results, achieving >90% efficiency at just 0.17 g/L, underscoring its superior performance and reduced dosage requirements. This highlights Flokor 1.2A’s potential to outperform both natural and conventional flocculants while requiring reduced dosages, making it a more efficient and economical option.
Our previous studies showed that natural flocculants, such as inulin, yielded lower efficiencies (24–36%), with the maximum observed at 0.08 g/L. However, at concentrations above 0.06 g/L, flocs floated, reducing sedimentation effectiveness. Similarly, our experiments with Moringa oleifera leaf powder (0.05–0.4 g/L) and potato starch (0.02–0.12 g/L) achieved efficiencies of just 18.3% after prolonged sedimentation.
The results of Raeisossadati et al. [33] indicate slightly lower algae harvesting efficiencies (77–89%) compared to our findings (83.2% and 92.9%). It is important to note that they achieved the highest harvesting efficiency with a lower concentration of aluminum-based flocculant (0.01 g/L) at a pH of 9.5, suggesting that pH may significantly influence the flocculant’s effectiveness. At a comparable pH of 6.5 (6.6 in our study), their highest recovery efficiency was 77% with 0.100 g/L of aluminum sulfate, which is comparable to our results, but based on maximum algae autoflocculation efficiency (71.7%), i.e., without the use of a flocculant. In contrast, our study achieved harvesting efficiencies of 83.2% and 92.9%, depending on the microalgal concentration in suspension, with flocculant concentrations ranging from 0.12 to 0.17 g/L. However, it is crucial to acknowledge that Raeisossadati et al. [33] examined a microalgal consortium predominantly composed of Chlorella sp., while our study utilized the Chlorella vulgaris BA-167 strain, which may contribute to the observed differences in the results.
In comparison with other studies, such as those by Machado et al. [45], our findings are generally consistent, though some differences are evident. Machado et al. [45] evaluated both chitosan and aluminum sulfate across a wide range of pH values (5–9) and dosages (0.010–0.200 g/L). They optimized biomass harvesting for Chlorella vulgaris using chemical flocculation followed by sedimentation, achieving very high algae harvesting efficiencies with the use of chitosan. Their optimal conditions were 0.050–0.200 g/L of aluminum sulfate at pH 9 and 0.010–0.050 g/L of chitosan at pH 5, with harvesting efficiencies ranging from 89.8% to 96.4% for aluminum sulfate and 91.2% to 99.3% for chitosan, at an initial biomass concentration of 0.335 g/L. The maximum harvesting efficiency with aluminum sulfate was about 3.5% higher than that obtained in the present study. The authors emphasized the importance of both rapid and slow mixing phases during the flocculation process, where inorganic flocculant required both phases to achieve maximum harvesting efficiency, while excessive rapid mixing with chitosan led to floc breakdown, making slow mixing the preferred method.
Machado et al. [45] also observed that aluminum sulfate, which primarily operates through sweep flocculation at pH 9, required higher dosages for optimal biomass recovery. Conversely, excessive concentrations of chitosan (0.050 g/L) generated a strong positive charge around the negatively charged cells, hindering aggregation due to electrostatic repulsion. This destabilized the microalgal cells, causing some biomass to float rather than settle.
In a separate study, Chatsungnoen and Chisti [8] investigated the flocculation of five microalgal species, including Chlorella vulgaris, using aluminum sulfate and ferric chloride. They found that aluminum sulfate was more effective than ferric chloride in achieving 95% biomass removal within 62 min, particularly in a high ionic strength medium.
The observed differences in algae separation efficiency results, when compared to literature data, although small, may often arise from variations in the flocculation-separation process conditions. These comparisons highlight the intricate interplay of factors such as pH, coagulant type, dosage, and mixing conditions in determining algae harvesting efficiencies. For instance, at different pH values, ions such as phosphate (PO43−) and ammonia (NH4+) exist in varying forms within the suspension. At pH 6.5, the culture medium contains higher concentrations of NH4+ and PO43−, which may compete for interactions with the coagulant and microalgal cells. Conversely, higher pH values promote the precipitation of inorganic salts, including calcium phosphate, calcium carbonate, and magnesium hydroxides, which enhance floc formation through charge neutralization. This multi-step process—comprising charge neutralization, metal hydroxide precipitation, and sweep flocculation—efficiently removes suspended cells and improves flocculation and sedimentation in algal suspensions.
Optimization of Flokor 1.2A concentrations (0.01–0.36 g/L) identified the lowest effective dose for achieving maximum algae harvesting efficiency at pH 6.6. These findings establish Flokor 1.2A as a highly effective algae harvesting agent, surpassing natural and conventional alternatives at lower concentrations. Its high efficiency and reduced dosage requirements position Flokor 1.2A as a cost-effective solution for Chlorella vulgaris BA-167 recovery, with significant potential for industrial biomass production and water treatment applications.
4. Conclusions
This study demonstrates that suspension concentration significantly influences the sedimentation efficiency of Chlorella vulgaris BA-167. Higher algae concentrations under autoflocculation improved harvesting efficiency, reaching 52.6–71.7% at concentrations of 0.960 and 1.740 g/L. No significant effect was observed at lower concentrations (0.375–0.615 g/L). When Flokor 1.2A was applied, sedimentation efficiency significantly increased, achieving over 92% harvesting efficiency and reducing sedimentation times by 3–7 times. The highest efficiencies were observed at 0.12 g/L of coagulant for 0.615 g/L of algae and 0.17 g/L for 0.960 g/L, resulting in a 2.02–2.53-fold improvement over autoflocculation. These results highlight Flokor 1.2A as a promising and effective solution for Chlorella vulgaris BA-167 harvesting, with potential applications in industrial processes such as green energy production.
Author Contributions
Conceptualization, S.W.; Methodology, M.P., A.B. and S.W.; Validation, M.P. and S.W.; Formal analysis, S.W.; Investigation, A.B.; Resources, M.P., A.B. and S.W.; Data curation, A.B. and S.W.; Writing—original draft, M.P. and S.W.; Writing—review and editing, M.P. and S.W.; Visualization, M.P. All authors have read and agreed to the published version of the manuscript.
Funding
This research received no external funding.
Institutional Review Board Statement
Not applicable.
Informed Consent Statement
Not applicable.
Data Availability Statement
The original contributions presented in this study are included in the article. Further inquiries can be directed to the corresponding author.
Conflicts of Interest
The authors declare no conflicts of interest.
References
- Calvin, K.; Dasgupta, D.; Krinner, G.; Mukherji, A.; Thorne, P.W.; Trisos, C.; Romero, J.; Aldunce, P.; Barrett, K.; Blanco, G.; et al. IPCC, 2023: Climate Change 2023: Synthesis Report. Contribution of Working Groups I, II and III to the Sixth Assessment Report of the Intergovernmental Panel on Climate Change [Core Writing Team, H. Lee and J. Romero (Eds.)]; Arias, P., Bustamante, M., Elgizouli, I., Flato, G., Howden, M., Méndez-Vallejo, C., Pereira, J.J., Pichs-Madruga, R., Rose, S.K., Saheb, Y., Eds.; IPCC: Geneva, Switzerland, 2023. [Google Scholar]
- Silva, D.A.; Cardoso, L.G.; de Jesus Silva, J.S.; de Souza, C.O.; Lemos, P.V.F.; de Almeida, P.F.; Ferreira, E.d.S.; Lombardi, A.T.; Druzian, J.I. Strategy for the Cultivation of Chlorella vulgaris with High Biomass Production and Biofuel Potential in Wastewater from the Oil Industry. Environ. Technol. Innov. 2022, 25, 102204. [Google Scholar] [CrossRef]
- Daneshvar, E.; Antikainen, L.; Koutra, E.; Kornaros, M.; Bhatnagar, A. Investigation on the Feasibility of Chlorella vulgaris Cultivation in a Mixture of Pulp and Aquaculture Effluents: Treatment of Wastewater and Lipid Extraction. Bioresour. Technol. 2018, 255, 104–110. [Google Scholar] [CrossRef] [PubMed]
- Nawaz, A.; Haddad, H.; Shah, M.A.; Uddin, S.; Hossain, M.M.; Abdur Razzak, S. Fueling Sustainability: Co-Pyrolysis of Microalgae Biomass and Waste Plastics for Renewable Energy and Waste Mitigation. Biomass Bioenergy 2024, 187, 107303. [Google Scholar] [CrossRef]
- Kuo, C.M.; Sun, Y.L.; Lin, C.H.; Lin, C.H.; Wu, H.T.; Lin, C.S. Cultivation and Biorefinery of Microalgae (Chlorella sp.) for Producing Biofuels and Other Byproducts: A Review. Sustainability 2021, 13, 13480. [Google Scholar] [CrossRef]
- Sadvakasova, A.K.; Kossalbayev, B.D.; Bauenova, M.O.; Balouch, H.; Leong, Y.K.; Zayadan, B.K.; Huang, Z.; Alharby, H.F.; Tomo, T.; Chang, J.S.; et al. Microalgae as a Key Tool in Achieving Carbon Neutrality for Bioproduct Production. Algal Res. 2023, 72, 103096. [Google Scholar] [CrossRef]
- Levasseur, W.; Perré, P.; Pozzobon, V. A Review of High Value-Added Molecules Production by Microalgae in Light of the Classification. Biotechnol. Adv. 2020, 41, 107545. [Google Scholar] [CrossRef] [PubMed]
- Chatsungnoen, T.; Chisti, Y. Harvesting Microalgae by Flocculation–Sedimentation. Algal Res. 2016, 13, 271–283. [Google Scholar] [CrossRef]
- Chandrasekhar, K.; Raj, T.; Ramanaiah, S.V.; Kumar, G.; Banu, J.R.; Varjani, S.; Sharma, P.; Pandey, A.; Kumar, S.; Kim, S.H. Algae Biorefinery: A Promising Approach to Promote Microalgae Industry and Waste Utilization. J. Biotechnol. 2022, 345, 1–16. [Google Scholar] [CrossRef] [PubMed]
- Sudhakar, M.P.; Maurya, R.; Mehariya, S.; Karthikeyan, O.P.; Dharani, G.; Arunkumar, K.; Pereda, S.V.; Hernández-González, M.C.; Buschmann, A.H.; Pugazhendhi, A. Feasibility of Bioplastic Production Using Micro- and Macroalgae—A Review. Environ. Res. 2024, 240, 117465. [Google Scholar] [CrossRef] [PubMed]
- Tan, J.S.; Lee, S.Y.; Chew, K.W.; Lam, M.K.; Lim, J.W.; Ho, S.H.; Show, P.L. A Review on Microalgae Cultivation and Harvesting, and Their Biomass Extraction Processing Using Ionic Liquids. Bioengineered 2020, 11, 116–129. [Google Scholar] [CrossRef] [PubMed]
- Calijuri, M.L.; Silva, T.A.; Magalhães, I.B.; Pereira, A.S.A.d.P.; Marangon, B.B.; Assis, L.R.d.; Lorentz, J.F. Bioproducts from Microalgae Biomass: Technology, Sustainability, Challenges and Opportunities. Chemosphere 2022, 305, 135508. [Google Scholar] [CrossRef] [PubMed]
- Gamal, R.; Shreadah, M.A. Marine Microalgae and Their Industrial Biotechnological Applications: A Review. J. Genet. Eng. Biotechnol. 2024, 22, 100407. [Google Scholar] [CrossRef] [PubMed]
- Zhou, Z.; Sun, T.; Li, X.; Ren, J.; Lu, Z.; Liu, Y.; Li, K.; Qu, F. Reliable Assessment and Prediction of Moderate Preoxidation of Sodium Hypochlorite for Algae-Laden Water Treatment. Water Res. 2024, 266, 122398. [Google Scholar] [CrossRef] [PubMed]
- Alavianghavanini, A.; Shayesteh, H.; Bahri, P.A.; Vadiveloo, A.; Moheimani, N.R. Microalgae Cultivation for Treating Agricultural Effluent and Producing Value-Added Products. Sci. Total Environ. 2024, 912, 169369. [Google Scholar] [CrossRef] [PubMed]
- Bonissone, E.d.V.V.; Vicente, P.F.; Herrera, R.E.; Sáez, S.G.; Tereschuk, M.L. Biomass Production of Microalgae and Scale-up Design of High Rate Algal Ponds for Citrus Industry Effluent Tertiary Treatment, Tucumán, Argentina. Case Stud. Chem. Environ. Eng. 2023, 8, 100403. [Google Scholar] [CrossRef]
- Tripathi, G.; Dubey, P.; Shamim, A.; Farooqui, A.; Mishra, V. Bio-Flocculation: A Cost Effective and Energy Efficient Harvesting Technique for Algal Biofuel Production and Wastewater Treatment. Bioresour. Technol. Rep. 2024, 28, 101969. [Google Scholar] [CrossRef]
- Silva, T.A.; do Couto, E.d.A.; Assemany, P.P.; Costa, P.A.C.; Marques, P.A.S.S.; Paradela, F.; dos Reis, A.J.D.; Calijuri, M.L. Biofuel from Wastewater-Grown Microalgae: A Biorefinery Approach Using Hydrothermal Liquefaction and Catalyst Upgrading. J. Environ. Manag. 2024, 368, 122091. [Google Scholar] [CrossRef]
- P, A.P.R.; Joseph, S.J.P.; Subramani, N. Advancing Sustainability: The Role of Epiplastic Microalgae and Their Enzymatic Pathways in Freshwater Plastic Biodegradation. J. Water Process Eng. 2024, 67, 106134. [Google Scholar] [CrossRef]
- Mallick, N.; Bagchi, S.K.; Koley, S.; Singh, A.K. Progress and Challenges in Microalgal Biodiesel Production. Front. Microbiol. 2016, 7, 1019. [Google Scholar] [CrossRef]
- Pawlita-Posmyk, M.; Wzorek, M.; Płaczek, M. The Influence of Temperature on Algal Biomass Growth for Biogas Production. MATEC Web Conf. 2018, 240, 04008. [Google Scholar] [CrossRef]
- Silva, G.; Cerqueira, K.; Rodrigues, J.; Silva, K.; Coelho, D.; Souza, R. Cultivation of Microalgae Chlorella vulgaris in Open Reactor for Bioethanol Production. Phycology 2023, 3, 325–336. [Google Scholar] [CrossRef]
- Rossi, S.; Carecci, D.; Marazzi, F.; Di Benedetto, F.; Mezzanotte, V.; Parati, K.; Alberti, D.; Geraci, I.; Ficara, E. Integrating Microalgae Growth in Biomethane Plants: Process Design, Modelling, and Cost Evaluation. Heliyon 2024, 10, e23240. [Google Scholar] [CrossRef]
- Gaurav, K.; Neeti, K.; Singh, R. Microalgae-Based Biodiesel Production and Its Challenges and Future Opportunities: A Review. Green Technol. Sustain. 2024, 2, 100060. [Google Scholar] [CrossRef]
- Sari, Y.W.; Kartikasari, K.; Widyarani; Setyaningsih, I.; Lestari, D. Techno-Economic Assessment of Microalgae for Biofuel, Chemical, and Bioplastic. Microalgae Cultiv. Recover. Compd. Appl. 2021, 409–432. [Google Scholar] [CrossRef]
- Watkins, J.; Zhu, Y.; Valdez, P.; Lords, C.; Zeller, A.; Bohutskyi, P.; Sims, R.C. Techno-Economic Analysis of Bioplastic and Biofuel Production from a High-Ash Microalgae Biofilm Cultivated in Effluent from a Municipal Anaerobic Digester. Algal Res. 2024, 84, 103774. [Google Scholar] [CrossRef]
- Maltsev, Y.; Maltseva, K.; Kulikovskiy, M.; Maltseva, S. Influence of Light Conditions on Microalgae Growth and Content of Lipids, Carotenoids, and Fatty Acid Composition. Biology 2021, 10, 1060. [Google Scholar] [CrossRef] [PubMed]
- Płaczek, M.; Patyna, A.; Witczak, S. Technical Evaluation of Photobioreactors for Microalgae Cultivation. Proc. E3S Web Conf. 2017, 19, 02032. [Google Scholar] [CrossRef]
- Mkpuma, V.O.; Moheimani, N.R.; Ennaceri, H. Microalgal Dewatering with Focus on Filtration and Antifouling Strategies: A Review. Algal Res. 2022, 61, 102588. [Google Scholar] [CrossRef]
- Van Ierland, E.T.; Peperzak, L. Separation of Marine Seston and Density Determination of Marine Diatoms by Density Gradient Centrifugation. J. Plankton Res. 1984, 6, 29–44. [Google Scholar] [CrossRef]
- Zhu, L.; Li, Z.; Hiltunen, E. Microalgae Chlorella vulgaris Biomass Harvesting by Natural Flocculant: Effects on Biomass Sedimentation, Spent Medium Recycling and Lipid Extraction. Biotechnol. Biofuels 2018, 11, 183. [Google Scholar] [CrossRef]
- Young, P.; Phasey, J.; Wallis, I.; Vandamme, D.; Fallowfield, H. Autoflocculation of Microalgae, via Magnesium Hydroxide Precipitation, in a High Rate Algal Pond Treating Municipal Wastewater in the South Australian Riverland. Algal Res. 2021, 59, 102418. [Google Scholar] [CrossRef]
- Raeisossadati, M.; Moheimani, N.R.; Bahri, P.A. Evaluation of Electrocoagulation, Flocculation, and Sedimentation Harvesting Methods on Microalgae Consortium Grown in Anaerobically Digested Abattoir Effluent. J. Appl. Phycol. 2021, 33, 1631–1642. [Google Scholar] [CrossRef]
- Deepa, P.; Sowndhararajan, K.; Kim, S. A Review of the Harvesting Techniques of Microalgae. Water 2023, 15, 3074. [Google Scholar] [CrossRef]
- Uduman, N.; Qi, Y.; Danquah, M.K.; Forde, G.M.; Hoadley, A. Dewatering of Microalgal Cultures: A Major Bottleneck to Algae-Based Fuels. J. Renew. Sustain. Energy 2010, 2, 012701. [Google Scholar] [CrossRef]
- Li, S.; Hu, T.; Xu, Y.; Wang, J.; Chu, R.; Yin, Z.; Mo, F.; Zhu, L. A Review on Flocculation as an Efficient Method to Harvest Energy Microalgae: Mechanisms, Performances, Influencing Factors and Perspectives. Renew. Sustain. Energy Rev. 2020, 131, 110005. [Google Scholar] [CrossRef]
- Rao, N.R.H.; Beyer, V.; Thielemans, W.; Muylaert, K. Techno-Economic Comparison of Flocculation Combined with Dissolved Air Flotation versus Sedimentation for Microalgae Harvesting. Algal Res. 2024, 81, 103581. [Google Scholar] [CrossRef]
- Lucakova, S.; Branyikova, I.; Kovacikova, S.; Pivokonsky, M.; Filipenska, M.; Branyik, T.; Ruzicka, M.C. Electrocoagulation Reduces Harvesting Costs for Microalgae. Bioresour. Technol. 2021, 323, 124606. [Google Scholar] [CrossRef]
- Pratama, W.D.; Hadiyanto, H. Evaluation of Different Electrodes in Electrocoagulation-Flotation Process for Chlorella vulgaris Harvesting. Case Stud. Chem. Environ. Eng. 2024, 10, 100801. [Google Scholar] [CrossRef]
- Cao, B.; Zhang, Y.; Shi, Y.; Ren, R.; Wu, H.; Zhang, W.; Wang, D.; Zhang, T.; Xiong, J. Extracellular Organic Matter (EOM) Distribution Characteristic in Algae Electro-Dewatering Process. J. Environ. Manag. 2020, 265, 110541. [Google Scholar] [CrossRef] [PubMed]
- Saleh, T.A. Materials, Nanomaterials, Nanocomposites, and Methods Used for the Treatment and Removal of Hazardous Pollutants from Wastewater: Treatment Technologies for Water Recycling and Sustainability. Nano-Struct. Nano-Objects 2024, 39, 101231. [Google Scholar] [CrossRef]
- Patyna, A.; Płaczek, M.; Witczak, S. Study of Chlorella vulgaris Sedimentation Process. Proc. MATEC Web Conf. 2018, 240, 05023. [Google Scholar] [CrossRef]
- Li, L.; Chen, W.; Wang, Y.; Zhang, Y.; Chen, H. Effect of Hydrodynamics on Autoflocculation and Gravity Sedimentation of Chlorella vulgaris. J. Water Process Eng. 2021, 43, 102259. [Google Scholar] [CrossRef]
- de Morais, E.G.; Sampaio, I.C.F.; Gonzalez-Flo, E.; Ferrer, I.; Uggetti, E.; García, J. Microalgae Harvesting for Wastewater Treatment and Resources Recovery: A Review. New Biotechnol. 2023, 78, 84–94. [Google Scholar] [CrossRef] [PubMed]
- Machado, C.A.; Esteves, A.F.; Pires, J.C.M. Chlorella vulgaris Harvesting: Chemical Flocculation with Chitosan, Aluminum Sulfate, and Ferric Sulfate. Appl. Sci. 2024, 14, 598. [Google Scholar] [CrossRef]
- Wu, Z.; Zhu, Y.; Huang, W.; Zhang, C.; Li, T.; Zhang, Y.; Li, A. Evaluation of Flocculation Induced by pH Increase for Harvesting Microalgae and Reuse of Flocculated Medium. Bioresour. Technol. 2012, 110, 496–502. [Google Scholar] [CrossRef] [PubMed]
- Akış, S.; Özçimen, D. Optimization of pH-Induced Flocculation of Marine and Freshwater Microalgae via Central Composite Design. Biotechnol. Prog. 2019, 35, e2801. [Google Scholar] [CrossRef] [PubMed]
- Lee, S.M.; Choi, H.J. Harvesting of microalgae species using Mg–sericite flocculant. Bioprocess Biosyst. Eng. 2015, 38, 2323–2330. [Google Scholar] [CrossRef] [PubMed]
- Zhang, X.; Amendola, P.; Hewson, J.C.; Sommerfeld, M.; Hu, Q. Influence of Growth Phase on Harvesting of Chlorella Zofingiensis by Dissolved Air Flotation. Bioresour. Technol. 2012, 116, 477–484. [Google Scholar] [CrossRef] [PubMed]
- Anderson, R.A. Algal Culturing Techniques, 1st ed.; Elsevier: Amsterdam, The Netherlands, 2005; Volume 53. [Google Scholar]
Disclaimer/Publisher’s Note: The statements, opinions and data contained in all publications are solely those of the individual author(s) and contributor(s) and not of MDPI and/or the editor(s). MDPI and/or the editor(s) disclaim responsibility for any injury to people or property resulting from any ideas, methods, instructions or products referred to in the content. |
© 2025 by the authors. Licensee MDPI, Basel, Switzerland. This article is an open access article distributed under the terms and conditions of the Creative Commons Attribution (CC BY) license (https://creativecommons.org/licenses/by/4.0/).























