Strength Prediction Model for Cohesive Soil–Rock Mixture with Rock Content
Abstract
1. Introduction
- (1)
- There are few current studies into SRMs in deep fault fracture zones, where sampling poses significant challenges, necessitating alternative materials to simulate fault mud.
- (2)
- Standard large triaxial compression testing machines introduce size effects on SRMs in fault fracture zones with block sizes of 25–270 mm [24,25]; therefore, large triaxial compression tests are required to assess the impact of sample size on the mechanical properties of SRMs, thereby mitigating the influence of size effects.
- (3)
- The limited number of laboratory triaxial compression tests prevents generalization to fault fracture zones comprising various fault mud types and different PBV values in SRMs. The use of the discrete element technique allows for the reproduction of laboratory triaxial compression tests for SRMs, the calibration of interaction models and mechanical parameters between the rock block and the soil matrix, and the analysis of influencing factors, which can be extended to a wider range of SRMs.
2. Test Materials
2.1. Materials and Methods
2.2. Analysis of Material Proportioning Results
2.3. Determination of Test Materials
3. Analysis of Large-Scale Triaxial Compression Test Results of Cohesive SRM
3.1. Effect of PBV on Cohesive SRM
3.2. Shear Strength of Cohesive SRM
4. Numerical Simulation on Mechanical Properties of Cohesive SRM
4.1. Modeling
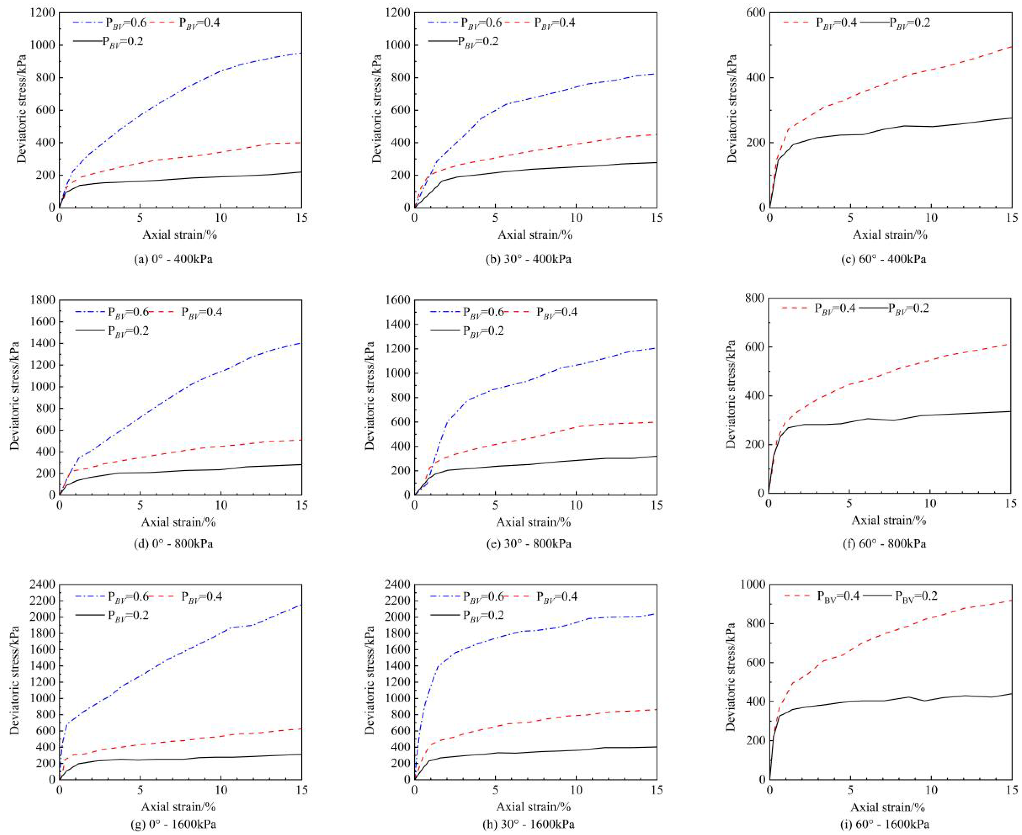
4.2. Stress–Strain Curves for Samples with Different PBV Values
4.3. Prediction Method for Shear Strength of Cohesive SRM
4.4. Validation of Strength Prediction Formulas for Cohesive SRM
5. Conclusions
Author Contributions
Funding
Institutional Review Board Statement
Informed Consent Statement
Data Availability Statement
Conflicts of Interest
References
- Medley, E.; Goodman, R.E. Estimating the block volumetric proportions of melanges and similar block in-matrix rocks (bimrocks). In Proceedings of the 1st North American Rock Mechanics Symposium, Austin, TX, USA, 1–3 June 1994; American Rock Mechanics Association: Seattle, WA, USA, 1994. [Google Scholar]
- Dearman, W.R. Description and Classification of Weathered Rocks for Engineering Purposes-the Background to the B55930-1981 Proposals. Q. J. Eng. Geol. 1995, 28, 267–276. [Google Scholar] [CrossRef]
- Li, X.; Liao, Q.L.; He, J.M. In-situ tests and a stochastic structural model of rock and soil aggregate in the three gorges reservoir area, china. J. Rock Mech. Min. Sci. 2005, 41, 494–495. [Google Scholar] [CrossRef]
- Li, X.; Liao, Q.L.; He, J.M. Study on in-situ tests of mechanical characteristics on soil-rock aggregate. J. Rock Mech. Eng. 2007, 26, 2377–2384. (In Chinese) [Google Scholar]
- Liao, Q.L.; Li, X.; Hao, Z.; Wang, S.; Wu, M.; He, J. Current status and future trends of studies on rock and soil aggregates. J. Eng. Geol. 2006, 14, 800–807. (In Chinese) [Google Scholar]
- Coli, N.; Berry, P.; Boldini, D. In situ non-conventional shear tests for the mechanical characterisation of a bimrock. Int. J. Rock Mech. Min. Sci. 2011, 48, 95–102. [Google Scholar] [CrossRef]
- Savaly, J.P. Determination of shear strength of conglomerates using a caterpillar D9 ripper and comparsion with alternative methods. Int. J. Min. Geol. Eng. 1990, 8, 203–225. [Google Scholar] [CrossRef]
- Chandler, R.J. Inclination of talus, arctic talus terraces, and other slopes composed of granular materials. J. Geol. 1973, 8, 1–14. [Google Scholar] [CrossRef]
- Xu, W.J.; Hu, R.L.; Tan, R.J. Some geomechanical properties of SRMs in Tiger-Leaping Gprge Area, China. China Geotech. 2007, 57, 255–264. [Google Scholar] [CrossRef]
- Kalender, A.Y.C.A.N.; Sonmez, H.; Medley, E.; Tunusluoglu, C.; Kasapoglu, K.E. An approach to predicting the overall strengths of unwelded bimrocks and bimsoils. Eng. Geol. 2014, 183, 65–79. [Google Scholar] [CrossRef]
- Vallejo, L.E.; Mawby, R. Porosity influence on the shear strength of granular material-clay mixtures. Eng. Geol. 2000, 58, 125–136. [Google Scholar] [CrossRef]
- Vallejo, L.E. Interpretation of the limits in shear strength in binary granular mixtures. Can. Geotech. J. 2001, 38, 1097–1104. [Google Scholar] [CrossRef]
- Kuenza, K.; Towhata, I.; Orense, R.P.; Wassan, T.H. Undrained torsional shear tests on gravelly soils. Landslides 2004, 1, 185–194. [Google Scholar] [CrossRef]
- Bagherzadeh-Khalkhali, A.; Mirghasemi, A.A. Numerical and experimental direct shear tests for coarse-grained soils. Particuology 2009, 7, 83–91. [Google Scholar] [CrossRef]
- Jalili, J.; Jafari, M.K.; Shafiee, A.; Koseki, J.; Sato, T. An investigation on effect of inclusions on heterogeneity of excess pore pressure and strain distribution in composite soils. Int. J. Civ. Eng. 2012, 10, 124–138. [Google Scholar]
- Cao, G.X.; Xu, M.; Song, E.X. Mechanic properties of broken rock-soil mixture. J. South China Univ. Technol. (Nat. Sci. Ed.) 2010, 38, 32–39. (In Chinese) [Google Scholar]
- You, X.H. Stochastic structural Model of the earth-rock aggregate and its application. J. Rock Mech. Eng. 2002, 11, 1748. (In Chinese) [Google Scholar]
- Kaneko, K.; Terada, K.; Kyoya, T.; Kishino, Y. Global–local analysis of granular media in quasi-static equilibrium. Int. J. Solids Struct. 2003, 40, 4043–4069. [Google Scholar] [CrossRef]
- Liu, Y.; Liu, Q.; Chen, H.; Gong, X.; Zhang, D.; Yao, D.; Li, L. Numerical study on rainfall infiltration in rock-soil slop. Sci. China (Ser. E Technol. Sci.) 2005, 48, 33–46. [Google Scholar] [CrossRef]
- Hadjigeorgiou, J.; Esmaieli, K.; Grenon, M. Stability analysis of vertical excavations in hard rock by integrating a fracture system into a PFC model. Tunn. Undergr. Space Technol. 2009, 24, 296–308. [Google Scholar] [CrossRef]
- Fakhimi, A. A hybrid discrete–finite element model for numerical simulation of geomaterials. Comput. Geotech. 2009, 36, 386–395. [Google Scholar] [CrossRef]
- Bian, H.B.; Jia, Y.; Armand, G.; Duveau, G.; Shao, J.F. 3D numerical modelling thermo-hydromechanical behaviour of underground storages in clay rock. Tunn. Undergr. Space Technol. 2012, 30, 93–109. [Google Scholar] [CrossRef]
- Lee, S.J.; Hashash, Y.; Nezami, E.G. Simulation of triaxial compression tests with polyhedral discrete elements. Comput. Geotech. 2012, 43, 92–100. [Google Scholar] [CrossRef]
- Yoshinaka, R.; Osada, M.; Park, H.; Sasaki, T.; Sasaki, K. Practical determination of mechanical design parameters of intact rock considering scale effect. Eng. Geol. 2008, 96, 173–186. [Google Scholar] [CrossRef]
- Lin, Z.; Jiang, Y.; Xiong, Y.; Xu, C.; Guo, Y.; Wang, C.; Fang, T. Analytical solution for displacement-dependent active earth pressure considering the stiffness of cantilever retaining structure in cohesionless soil. Comput. Geotech. 2024, 170, 106258. [Google Scholar] [CrossRef]
- Da Cruz, F.; Emam, S.; Prochnow, M.; Roux, J.N.; Chevoir, F. Rheophysics of dense granular materials: Discrete simulation of plane shear flows. Phys. Rev. E Stat. Nonlinear Soft Matter Phys. 2005, 72, 021309. [Google Scholar] [CrossRef] [PubMed]














| Number | Water | Bentonite | Cement | Shear Strength |
|---|---|---|---|---|
| (kg) | (kg) | (kg) | (kPa) | |
| a | 10 | 1 | 2 | <10 |
| b | 3 | 38.65 | ||
| c | 4 | 40.35 | ||
| d | 1.5 | 2 | 33.52 | |
| e | 3 | 51.35 | ||
| f | 4 | 65.72 | ||
| g | 2 | 2 | 42.74 | |
| h | 3 | 61.84 | ||
| i | 4 | 84.82 |
| Relative Density of the Matrix | Block Length-to-Width-to-Height Ratio | The Long Axis of Rblock | Loading Rate |
|---|---|---|---|
| Dr = 0.3 | 2:1:1 | 8 mm | 0.15 m/s |
| Density | Contact Stiffness (N/m) | Bonding Strength (N) | Frictional Coefficient | |||
|---|---|---|---|---|---|---|
| (kg/m3) | normal | tangential | normal | tangential | ||
| soil mass | 1920 | 5.0 × 106 | 2.0 × 106 | 3.0 × 102 | 3.0 × 102 | |
| block | 2890 | 1.0 × 108 | 1.0 × 108 | - | - | 1 |
| soil mass block | - | 4.8 × 106 | 1.9 × 106 | 0 | 0 | 0.45 |
| film | 1500 | 7.0 × 106 | 4.7 × 106 | 1.0 × 10300 | 1.0 × 10300 | 0 |
Disclaimer/Publisher’s Note: The statements, opinions and data contained in all publications are solely those of the individual author(s) and contributor(s) and not of MDPI and/or the editor(s). MDPI and/or the editor(s) disclaim responsibility for any injury to people or property resulting from any ideas, methods, instructions or products referred to in the content. |
© 2025 by the authors. Licensee MDPI, Basel, Switzerland. This article is an open access article distributed under the terms and conditions of the Creative Commons Attribution (CC BY) license (https://creativecommons.org/licenses/by/4.0/).
Share and Cite
Sun, Y.; Xin, J.; He, J.; Yu, J.; Ding, H.; Hu, Y. Strength Prediction Model for Cohesive Soil–Rock Mixture with Rock Content. Appl. Sci. 2025, 15, 843. https://doi.org/10.3390/app15020843
Sun Y, Xin J, He J, Yu J, Ding H, Hu Y. Strength Prediction Model for Cohesive Soil–Rock Mixture with Rock Content. Applied Sciences. 2025; 15(2):843. https://doi.org/10.3390/app15020843
Chicago/Turabian StyleSun, Yang, Jianyong Xin, Junchao He, Junping Yu, Haibin Ding, and Yifan Hu. 2025. "Strength Prediction Model for Cohesive Soil–Rock Mixture with Rock Content" Applied Sciences 15, no. 2: 843. https://doi.org/10.3390/app15020843
APA StyleSun, Y., Xin, J., He, J., Yu, J., Ding, H., & Hu, Y. (2025). Strength Prediction Model for Cohesive Soil–Rock Mixture with Rock Content. Applied Sciences, 15(2), 843. https://doi.org/10.3390/app15020843
