Abstract
Hyaluronan (HA) is a ubiquitous macromolecule in the human body with remarkable structure and function. HA presents a key role in several biological processes in mammals. The synthesis/catabolism of HA is critical in several pathologies and has been used as a marker for the prognosis of cancers. Among its physiological roles, HA is used for wound healing applications. This review reports many of the latest developments of hyaluronan and its derivatives in research, preclinical, and published clinical trials for wound healing. An adequate physico-chemical characterization and identification of selected physico-chemical properties of the prepared material are mandatory. Moreover, cytotoxicity and evaluation of biological effects in vitro using standardized protocols are required as preclinical. Finally, to choose adequate in vivo models for testing efficacy is requested. Unfortunately, the biological role of HA is still not well understood. Therefore, an overview of several HA-based products is provided and discussed. Several ways of HA chemical modification were evaluated. Finally, this review focuses on products containing HA, novel developments, gaps, and limitations of the current state of the art.
1. Introduction
Chronic skin wounds affect more than 40 million patients globally and represent a severe growing burden for the healthcare systems, with annual costs expected to exceed USD 15 billion in this decade [1]. Particularly, HA considerably improved the healing of leg ulcers compared to other vehicles without the polysaccharide or placebo [2]. Still, it is uncertain if there is any difference in effectivity between HA and other dressings on diabetic types of wounds. The vast majority of randomized controlled trials showed that HA and its derivatives significantly improved the healing of wounds versus traditional therapies or placebo [3]. Bandages and gauzes, serving as materials to absorb exudates and offer physical shielding, are the most used procedures for wound management [4]. Advanced wound dressings containing HA actively promoted wound healing in non-infected wounds compared to standard-of-care (SoC) treatments [5]. Even though several reviews described the use of polymers (synthetic and polysaccharides) for wound healing, HA is ubiquitously present in the human body and metabolism; thus, it presents more advantages. Therefore, this review presents the latest developments in HA-based formulations, including relevant clinical trials.
Sodium hyaluronate (hyaluronan, abbreviated as HA) is a linear polysaccharide consisting of D-glucuronic acid (GlcA) and N-acetyl-D-glucosamine (GlcNAc) disaccharides, linked via alternating β-(1,4) and β-(1,3) glycosidic bonds (Figure 1).
Figure 1.
Hyaluronan chain is composed of D-glucuronic acid and N-D-acetyl glucosamine linked together with β (1–3) and β (1–4) glycosidic bonds, respectively.
HA is a polysaccharide found in mammalian connective tissues and extracellular matrix (ECM) in high concentrations. HA plays an essential role in cell–cell interactions (adhesion), has unique hydrophilic properties, and forms elastic fibers in the ECM. HA biochemistry plays a vital role in both basic research into biological phenotypes. HA is involved in many recent developments concerning the regeneration of injured organs. Finally, HA is involved in the process of inflammation and cancer [6,7], immunity [8], and infection [9].
Hyaluronan is synthesized at the inner face of the cell plasma membrane by hyaluronan synthases (HASes). Three isoforms of HAS (HAS 1, 2, and 3) have been identified. HAS1 and HAS3 synthesize HA of medium molecular weight MMW-HA (∼2.0 × 105 to 2.0 × 106 g/mol). Very large MW-HA (>2 × 106 g/mol) is synthesized by HAS2. HASes catalyze the biosynthesis of HA by using UDP-glucuronic acid (UDP-GlcUA) and UDP-N-acetylglucosamine (UDP-GlcNAc) as substrates. The synthesis of HA in mammalian cells is regulated at the level of gene transcription and pathophysiologic conditions. Most gene transcription factors regulate the expression of the three HAS isoenzymes in a coordinated manner, leading to an overall decrease in HA production. The synthesis of HA in cells is primarily regulated by UDP-N-acetylglucosamine, N-acetylglucosaminyl-phosphotransferase, and UDP-glucuronic acid, which is rapidly transported into the cell lysosomal compartment [10]. To date, HASes have been found in bacteria, pathogenic yeast, protozoa, nematodes, plants, and vertebrates [11,12].
Synthesized via the Embden–Meyerhof–Parnas pathway, the precursor glucose-6-phosphate is converted to glucose-1-phosphate by phosphoglucomutase (pgm) before UDP-glucose pyrophosphorylase (hasC) transfers a phosphate group from UTP to glucose-1-phosphate, forming UDP-glucose (UDP-Glc). UDP-Glc is oxidized to UDP-glucuronic acid (UDP-GlcUA) by UDP-glucose dehydrogenase (hasB). The associated genes—hasB, hasC, hasD, and hasE—encode several enzymes such as UDP-glucose dehydrogenase (hasB), UDP-glucose pyrophosphorylase (hasC), the bifunctional enzyme (N-acetyltransferase and pyrophosphorylase, hasD), and phosphoglucoisomerase (hasE), respectively.
In the second set of reactions, glucose-6-phosphate is converted to fructose-6-phosphate mediated by phosphoglucoisomerase (hasE). Glutamine acts as an amino group donor to fructose-6-phosphate in a reaction catalyzed by an aminotransferase yielding D-glucosamine-6-phosphate (GlcN-6P). N-acetyltransferase (GNA1) catalyzes the N-acetylation of GlcN-6P, using acetyl-CoA as an acetyl donor, and produces N-acetyl-D-glucosamine-6-phosphate (GlcNAc-6P). A phosphomutase converts the last product into N-acetylglucosamine-1-phosphate (GlcNAc-1P). The final enzyme, a pyrophosphorylase, converts UTP and GlcNAc-1P to UDP-N-acetylglucosamine and pyrophosphate (hasD) [10]. The two monomers UDP-GlcUA and UDP-GlcNAc are involved in co-condensation encoded by hasA, producing HA in the cytoplasm, which is translocated outside the cell membrane. The final step in HA synthesis liberates two molecules of UDP (Figure 2) [11].
Figure 2.
The synthesis of HA by HASes embedded in a model of a cellular membrane with HA nascent in the formed pore of a multimer. In this image a HASes 1 tetramer is shown. The tetramer was modelled using Alpha Fold 3 server with default settings. The membrane model and nascent HA were built from CHARMM-GUI server, and for the membrane POPC molecules model was used. The ensemble of different molecular systems was performed in Pymol with homemade scripts (Retrieved from http://www.pymol.org/pymol (accessed on 2 January 2025)).
Throughout the polymerization, the HA chain remains bound to HAS in the membrane until completion. Therefore, HAS controls yield and molecular weight of the polysaccharide. Endogenous HA synthesis makes use of three distinct HASes isoforms playing unique roles in different tissues, including the skin, synovial joints, arterial wall, and brain [10]. Moreover, exogenous HA is synthesized in industrial processes employing microorganisms, plants, or fungi [13,14].
The degradation of HA occurs via free radicals and is catalyzed by proteins such as hyaluronidases (HYALs), such as HYAL1, HYAL2, HYAL3, HYAL4, PH20, TMEP2, and CEMIP, that break the polysaccharide into smaller fragments of different sizes under mechanisms that are still not well understood [15]. A recent trend in wound healing is to add antioxidants like salicylic acid, oxalic acid, and tannic acid to reduce the depolymerization of HA chain length. At the same time, it inhibits the production of reactive oxygen species (ROS) [16].
2. Hyaluronan Role in Wound Healing
HA biosynthesis is an energy-consuming process, and, together with its catabolism, is connected to the maintenance of homeostasis. HA production is influenced by signaling pathways such as growth factors and cytokines (i.e., recombinant tumor necrosis factor (TNF-α), IFN-γ, and IL-1) [17]. For normal cells, several signaling cascades activated by receptors on the cellular membrane can induce HA production upon ligand binding. To date, little is known about the role of the extracellular matrix in HA biosynthesis. The microenvironment and stress conditions alter HA metabolism at several levels: Increasing gene expression in response to various stress agents such as hypoxia [18]. Acute hypoxia results in an increase in vascular endothelial growth factor (VEGF) expression that stimulates the proliferation of human dermal fibroblasts. However, the persistence of chronic hypoxia in chronic wounds hinders angiogenesis via multiple mechanisms [19].
The microenvironment regulates HASes to balance the synthesis of HA in the extracellular space and cell surface in response to the organism’s state [20]. This regulation is crucial for maintaining tissue homeostasis and responding to physiological and pathological stimuli. Furthermore, cytokines, growth factors, and mechanical stress have been shown to influence the activity of HASes, leading to changes in HA metabolism in many cells [21,22,23].
HA serves diverse functions in a variety of cell types, influencing cellular proliferation, motility, differentiation, and survival, and maintaining the ECM structure. HA is essential in the skin, where it helps to maintain proper hydration and viscoelasticity [24]. Particularly, HA is produced by both epidermal and dermal fibroblasts and is accumulated in keratinocyte stem cells, influencing differentiation, migration, and proliferation. Skin aging and other photoinduced pathologies are strongly associated with decreased HA content [25]. In joint tissue, synovial fibroblasts and mast cells produce HA to maintain proper viscoelastic properties of synovial fluid that protect cartilage [26,27]. Cell lines from patients with osteoarthritis exhibit lower concentrations of HA. Indeed, reduced HA synthesis and increased catabolism are implicated in osteoarthritis [28]. Beyond these, HA is vital for viscoelasticity in the vitreous humor and interaction with epithelial mucin domains [29].
In conditions such as acute injury, chronic inflammation, or systemic infection, ECM undergoes changes due to modification in its structural integrity. During tissue injury or inflammation, high-molecular-weight hyaluronan (HMW-HA) is degraded by HYALs, producing smaller, low-molecular-weight hyaluronan (LMW-HA) fragments. These fragments play a crucial role in the inflammatory response by interacting with immune cells and activating pro-inflammatory pathways. This degradation has been observed in diseases such as osteoarthritis and systemic lupus erythematosus, where LMW-HA correlates with chronic inflammation and immune activation [30]. The Mw of HA is crucial and determinant in therapeutic application. For instance, HMW-HA is commonly used in viscosupplementation to reduce pain and improve joint function due to its ability to restore synovial fluid viscosity [31]. HA is involved in all the phases of wound healing (Figure 3).
Figure 3.
Hyaluronan role observed during wound healing.
Phase I: hemostasis: This phase involves the formation of blood clots to stop bleeding from injured blood vessels. In cases of severe trauma, excessive and uncontrolled bleeding dismisses the body’s natural hemostatic capacity, leading to significant blood loss and impaired wound healing. Thus, platelets generate HMW-HA that facilitates the passive diffusion of water into the interstitial space, resulting in edema. This promotes cell migration of inflammatory cells to the wound and provides a temporary scaffold [32].
Phase II: inflammation: At the molecular level, HMW-HA is metabolized from platelets, producing LMW-HA fragments (~2.0 × 104) that initiate inflammation. LMW-HA binds to TLR-2 and TLR-4 and promotes activation, infiltration, and maturation of immune cells, including neutrophils and monocytes, which further trigger pro-inflammatory cascades [33]. HA stimulated the function of neutrophils both in vitro and in vivo. After subcutaneous administration of HA to healthy volunteers, an enhanced rate of phagocytosis was observed in the neutrophils. HA injections to patients with increased susceptibility to bacterial infections and impaired neutrophil function demonstrated an improved function [34]. VEGF is one of the most potent proangiogenic growth factors in the skin and promotes repair in cutaneous wounds [35]. HMW-HA (1.5 × 106 g/mol) enhances intracellular ROS production and apoptosis in neutrophils (the most abundant immune cells) in the presence of inflammatory stimuli such as TNF-α. Thus, HA favors a fast neutrophil response and finishes inflammation [36]. Macrophages are classified into (M1) or classically activated, which is pro-inflammatory, and M2 (“alternatively activated”), which is anti-inflammatory and pro-healing. Macrophages participate in host defense by the production of cytokines, nitric oxide (NO), and toxic oxygen metabolites, contributing to collagen degradation.
HMW-HA and LMW-HA influence macrophage activation differently. HMW-HA plays a role in the phenotype transition from pro-inflammatory M1 to reparative M2 or the switching of the inflammation to the proliferation phase [37,38]. M1 macrophages secrete pro-inflammatory cytokines, such as IL-6, tumor necrosis factor-alpha (TNF-α), and reactive oxygen species (ROS). Particularly, HMW-HA up-regulates the production of pro-inflammatory cytokines such as TNF-α, interleukin-1β (IL-1b), and IL-6 [37]. LMW-HA modulates the toll-like receptor-4 (TLR-4) and activates the nuclear factor kappa B (NF-kB), promoting an anti-inflammatory effect via CD44 [39]. HMW-HA inhibits angiogenesis, whereas LMW-HA stimulates it [40]. LMW-HA promotes angiogenesis [41]. Anti-inflammatory cytokines, such as IL-4 and IL-13, lead to M2 macrophage subset formation, which regulates inflammation by expressing mediators such as decoy IL-1 receptor type II and IL-10, as well as several growth factors that promote tissue growth and regeneration, fibroblast proliferation, extracellular matrix synthesis, deposition of collagens, and angiogenesis [42]. In chronic wounds such as diabetic foot ulcers, the wound is under hypoxia with elevated levels of pro-inflammatory cytokines (IL-6, IL-8, TNF-α, and MMP-2/9) [43], damaging cells and growth factor-binding receptors, causing prolonged inflammation and impeded angiogenesis. Hypoxia affects wound healing, including granulation, re-epithelialization, infection clearance, angiogenesis, and tissue regeneration. In this part, ROS scavengers or O2 generators that oxygenate wound tissue are required.
Phase III: proliferation: In this phase, oligomeric HA reduces inflammation. Fibroblasts migrate to facilitate re-epithelization. Fibroblasts in the wound are stimulated by TGF-β and CXCL8 to differentiate into myofibroblasts [44]. During the first phase, granulation tissue fills the wound bed with type III collagen with neo-vascularization. As new tissue is formed, the wound begins to contract. The proliferative phase lasts up to 2 or 3 weeks, starting about 4 days after injury. Oligomeric-HA binds to CD44 and RHAMM receptors to regulate keratinocyte proliferation, further facilitating epithelial formation and wound closure [45].
Phase IV- Remodeling, or scar formation: ECM remodeling requires the up-regulation of matrix metalloproteinases (MMPs), including collagenase-1 (MMP-1), stromelysin (MMP-3), gelatinase B (MMP-9), and macrophage elastase (MMP-12), which are secreted by many cells, including fibroblasts, vascular smooth muscle (VSM), and leukocytes, and contribute to tissue remodeling and repair. MMPs are up-regulated during wound healing in epidermal and dermal cells, but they are dysregulated in chronic wounds. HMW-HA increases the expression of collagen III and increases the activity of anti-fibrotic transforming growth factor (TGF)-β [46]. TGF-β receptor signaling is the most potent pathway, which stimulates fibroblast to myofibroblast differentiation [47]. The remodeling phase can last over a year and consists of wound contraction, vascularization, and cellularity decline.
As described above, the molecular weight is a critical factor of HA biological properties (see Table 1). Molecular weight affects HA’s interactions with other biomolecules and its diffusion coefficient; thus its tortuosity and convection–diffusion rates can be influenced or impeded due to steric hindrance of the macromolecule. HA with different molecular weights presents different effects in normal tissue compared to after injury or disease. As a result, it is important to accurately characterize the molecular weight and molecular weight distribution of HA during the research and development phase of new products [48]. Using validated and reproducible methods that use adequate standards could determine the molecular distribution of HA [49]. Understanding the biological effect and metabolism of HA is crucial to regulating drug–receptor interactions, cell therapies, and wound healing treatments.
Table 1.
Effects of exogenous HA for wound healing.
3. Chemical Modification of Hyaluronan
This section provides an overview of the main methods used to chemically modify HA using the three HA functional groups available for chemical modification: carboxyl, hydroxyl, and acetamide groups after deacetylation. Additionally, it is possible to modify the skeleton of the polysaccharide after oxidation. The main reasons for chemical modification involve (i) decreased solubility under physiological conditions, increased stability, and boosted mechanical properties, and (ii) increased enzymatic and bacterial resistance on the wound bed [15]. Chemically modified HA is preferred due to the poor stability of native HA. Particularly, HMW-HA is very prone to fast degradation. Thus, it is important to use mild conditions for chemical modification and circumvent high temperatures or prolonged reaction times [56]. It is also recommended to avoid toxic chemicals, solvents, and catalysts.
3.1. Amidation of Hyaluronic Acid
The first moiety for chemical modification is the carboxyl group, or the recognition marker for CD44 and RHAMM receptors [7]. Therefore, the chemical modification of the carboxyl may compromise the biological properties of the polysaccharide in vivo. Thus, the modification at the hydroxyl moieties is preferred. In particular, amidation is one of the most common reactions performed at the HA carboxylic moiety. The most common activator is 1-ethyl-3[-(3-dimethylaminopropyl)] carbodiimide (EDC) used in combination with 1-hydroxybenzotriazole (HOBt) or N-hydroxysulfosuccinimide (NHS). The EDC coupling reaction is usually carried out in water, acidic buffers, or water mixed with an organic solvent. The reaction proceeds under mild conditions (low temperature, short reaction times) and is strongly pH dependent. Moreover, HOBt is explosive in its anhydrous form, which makes a possible scale-up difficult. The carbodiimide-mediated activation reaction includes the formation of a urea derivative. However, several side chemical reactions might occur. One of the advantages of EDC is the possibility to modify a broad range of HA molecular weights in water. In other words, without transforming HA to its salt (HA-TBA), a reaction is performed using cationic exchange reagents with consecutive degradation of the skeletal. However, if the ligand to be attached is highly hydrophobic, dimethyl sulfoxide (DMSO) is used in the reaction mixture. Furthermore, activation agents include the use of 4-(4,6-dimethoxy-1,3,5-triazin-2-yl)-4-methylmorpholinium chloride (DMTMM) in reactions performed in water [57]. The activation reaction mediated by diisopropylcarbodiimide (DIC)/ethyl cyanohydroxyiminoacetate (Oxyma) is performed in a mixture of DMSO/water due to the high hydrophobicity of functionalized cholesterol [8]. The activation of HA mediated via 2-bromo-1-ethyl pyridinium tetrafluoroborate (BEP) is carried out in DMSO [58]. Ethyl chloroformate (ECF) is able to activate the carbonyl moiety of HA toward amidation reactions in DMSO as ECF reacts with water [59]. The reagent 1,1′-carbonyldiimidazole (CDI) is used to modify HA-TBA salt in DMSO [60]. Figure 4 resumes several amidation reactions performed on HA.
Figure 4.
The amidation reaction of HA is mediated by (a) 1-ethyl-3[-(3-dimethylaminopropyl)] carbodiimide (EDC); (b) 4-(4,6-dimethoxy-1,3,5-triazin-2-yl)-4-methylmorpholinium chloride (DMTMM); (c) diisopropylcarbodiimide (DIC)/Ethyl cyanohydroxyiminoacetate (Oxyma) in water, buffers (pH 4–6) or water/DMSO. The amidation reaction of HA is carried out in DMSO by using (d) 2-bromo-1-ethyl pyridinium tetrafluoroborate (BEP); (e) Ethyl chloroformate (ECF); (f) 1,1′-carbonyldiimidazole (CDI).
The amidation HA mediated by EDC/NHS has been performed by several groups, i.e., for attaching adipic acid dihydrazide (ADH) in deionized water with adjusted pH to 4.75 [61]. The preparation of HA-ADH was also performed in deionized water with adjusted pH (4.0–6.0) with 0.1 M diluted hydrochloric acid and used as the intermediate for the synthesis of amphiphilic derivatives [62], self-HA crosslinking [63], crosslinking with a second polymer [64,65], or to attach a second substituent, i.e., streptomycin, for imparting antimicrobial properties to a formulation [66]. Yang et al. reported the modulation of macrophages by a paeoniflorin (PF)-loaded self-crosslinked HA-ADH-HA hydrogel. The carboxylic moiety of HA was activated by EDC/NHS and reacted with ADH at pH 4.75. Three different HMW-HA sizes were tested (Mw1 = 8.0 × 105–1.0 × 106, Mw2 = 1.3 × 106–1.5 × 106, and Mw3 = 1.8 × 106–2.2 × 106 g/mol). The hydrogel prepared with HA of the highest Mw presented the smallest pore size, the highest swelling, and an enhanced enzymatic resistance. HA-ADH-HA/PF of 8 wt.% gel was tested in vivo using a diabetic mice model. After 14 days, 90% of wound reduction was observed on the diabetic mice model. Interestingly, the authors evaluated as one of the controls the commercially available Intrasite gel (carboxymethylcellulose, propylene glycol). The in vitro studies showed decreased inflammation, angiogenesis, re-epithelialization, and deposition of newly formed collagen [63].
Luo et al. performed the synthesis of a derivative prepared from HA (1 × 106 g/mol) and ADH via activation mediated by EDC/HOBt in water mixed with DMSO. Hydroxyethyl cellulose (HEC) was oxidized by NaIO4; thus, the oxidation degree increased from 30.3 to 68.5% by increasing the oxidation agent. The authors crosslinked the HA-ADH derivative (DS = 30%) with oxidized hydroxyethyl cellulose without using any catalyst. The swelling degree, porosity, and hemolysis rate were controlled by the degree of oxidation of HEC. The swelling degree decreased from 2888% to 2040% as the degree of oxidation increased from 30.3% to 68.5%. The hemolysis was higher (4.0%) for the hydrogel with a lower oxidation degree [64]. Unfortunately, the gels were slightly cytotoxic.
Xu et al. reported the synthesis of injectable HA hydrogels with redox and pH dual-responsive properties for protein and cell delivery. Three different HAs (Mw = 1.0 × 105, 3.0 × 105, and 1.0 × 106 g/mol, respectively) were modified by amidation for crosslinking with oxidized HA. The substitution degree with 3,3′-dithiobis (propanoic dihydrazide)-modified HA (HA-TPH) was determined as 36.1% by nuclear magnetic resonance (NMR). In addition, this derivative was crosslinked by using HA-di-CHO (Figure 5). The oxidation degree was quantified using the trinitrobenzene sulfonate assay as 23.5, 34.9, and 48.3%, respectively. The Mw decreased due to oxidation from 5.5 to 7.8 × 105 by increasing the molar ratio of NaIO4. By increasing the oxidation degree, the porosity and pore size decreased (from 87.6 to 54.5 μm). Furthermore, the higher the oxidation degree was, the greater the mechanical strength due to an increased crosslinking density [67]. This kind of chemical modification has different applications in regenerative medicine. The authors have not reported potential degradation of the polysaccharide after amidation. The mechanical strength of this hydrogel was up to 4 kPa. Thus, it is not easy to handle it without the use of injection.
Figure 5.
The synthetic route of derivatives using a double type of chemical modification of HA for crosslinking: (a) amidation of HA with 3,3′-dithiobis (propanoic dihydrazide) (TPH) was mediated by EDC/NHS in MES buffer (above); (b) The second pathway involved the oxidation of HA [67].
Cao and collaborators modified HA (3.7 × 105 g/mol, 1.0 × 106 g/mol, and 2.0 × 106 g/mol) by EDC with cysteamine hydrochloride (CYS) in (2-(N-morpholino) ethanesulfonic acid) MES buffer for 2 h at pH 4.75. The DS was determined around 40%. Self-crosslinked HA was incorporated with collagen I to fabricate scaffolds towards chondrogenic differentiation of mesenchymal stem cells. Bone marrow mesenchymal stem cell suspension isolated from neonatal New Zealand white rabbits was dropped on the surface of the materials (2D scaffold). These results were compared with 3D scaffolds prepared by dispersion of the cells [68]. Even though the hydrogels presented poor mechanical properties, the scaffolds promoted cell proliferation in vitro.
Silva Garcia’s group described the use of amidation of HA with dithiobis-propanoic dihydrazide) followed by cleavage of the disulfide bonds by dithiothreitol. Thiolated HA was crosslinked with polyethylene glycol diacrylate (PEGDA) via Michael addition. These materials were used for the encapsulation of ECM-derived peptides, including RGD, IKVAV, or VFDNFVLK, to control myoblast behavior. Particularly, HA hydrogels loaded with the laminin peptide (IKVAV) promoted GFP + cell attachment and spreading, promoted migration of GFP cells, enhanced the proliferation, and up-regulated transcription factors (MPCs, Myod1, and Pax7), which are responsible for muscle repair [69].
In recent years, the application of bio-adhesive substrates as the potential wound dressing has captured wide interest. These materials are inspired by mussels, a marine organism that secretes a considerable amount of 3,4-dihydroxyphenylalanine (DOPA). The di-hydroxyl moieties help mussels achieve wet adhesion [70]. Mussel bio-adhesion materials included tannic acid [71], dopamine [72,73], or tyramine [74]. HA has been modified for adhesive hydrogel fabrication. Yegappan prepared polydopamine-based NPs (124 ± 8 nm) to load dimethyloxalylglycine (DMOG), a proangiogenic drug. The NPs were coated by HA-cysteamine attached to HA via EDC/NHS. Polydopamine enhanced the gel strength from G’ = 98.6 ± 1.6 Pa to 162.70 ± 2.2 Pa. Cells cultivated in the hydrogel enhanced the production of capillary tubes [73].
Hydrogels made of extracellular matrix such as collagen and HA could be used for wound healing. For example, Ying et al. prepared a hydrogel via in situ crosslinking of chemically modified collagen I with p-hydroxybenzoic acid and tyramine-modified HA. To reach this goal, HA (2 × 105 g/mol) was chemically modified by EDC/NHS with tyramine (DS = 14.2%) in water. The crosslinking reaction of the two polymers was performed via enzymatic polymerization using horseradish peroxidase. The hydrogels were soft and viscous with high adhesive properties [74]. Yang and coworkers prepared a hydrogel consisting of collagen grafted with gallic acid/HA-tyramine/γ-poly (glutamic acid) grafted with 3-APB. Intracellular ROS scavenging measurements were performed using cells treated with H2O2 based on the determination of 2, 7-dichlorodihydrofluor-escin diacetate. The hydrogel showed a reduced ROS effect. The hydrogel was tested on a wound full-thickness skin mice model defect. On day 14th, a wound closure rate of approximately 95% was observed [75].
Fan and collaborators prepared an HA-based hydrogel after double chemical modification. An excess of maleic anhydride was reacted with HA (1.28 × 106 g/mol). The DS of acrylate groups was determined as 75%. Secondly, dopamine was attached via EDC-mediated activation, with a substitution degree determined as 87% and oxidized in a second step. The photo-crosslinking of the methacrylated substituents was mediated with lithium phenyl (2,4,6-trimethylbenzoyl) phosphinate (LAP). The adhesion strength of the hydrogels was determined to be 179.9 ± 39.4 kPa by lap-shear test using gelatin as a skin tissue model. The compressive stress was determined to be 600 kPa, and it can withstand compressive strain up to 90%. The hydrogel stays in the wound site up to 6 days with a 30% loss of weight [76]. The high substitution of dopamine groups produced a fast hemostasis, but the reaction conditions were degradative as the Mw decreased to 2.8 × 105. A disadvantage of this type of material is the structural inhomogeneity in the hydrogel after oxidation of catechol by using NaIO4.
Platelet-rich plasma (PRP), because of its richness in several growth factors, has shown significant therapeutic potential in the treatment of diabetic wounds. A recent study based on bio-functionalized scaffolds made of HA combined with PRP concerning HA without PRP was utilized for chronic wounds. The platelet growth factors supported the three phases of wound healing (inflammation, proliferation, remodeling) and repair cascade [77]. However, PRP is rapidly cleared from the wound site, posing a challenge for achieving a sustained therapeutic effect [78]. To address this problem, Duan et al. prepared adhesive hydrogels by combining DOPA-modified HA and PRP. The chemical modification was performed via EDC/NHS using HMW-HA (8.0 × 105–1.2 × 106 g/mol). The degree of substitution was calculated to be 22% ± 2.8% by NMR. Three formulations with different crosslinking densities (30, 60, and 90%, respectively) were prepared by varying the FeCl3 content. PRP was encapsulated and delivered via the hydrogel. The HA-DOPA/PRP hydrogel showed adhesive strength as a function of crosslinking density. The hydrogels exhibited a bacteriostatic effect with a killing ratio larger than 95% for both E. coli and S. aureus. The in vitro anti-inflammation experiments were carried out by using lipopolysaccharide (LPS) over RAW264.7 macrophages. The expression of TNF-α, IL-6, and IL-1β was significantly up-regulated, while IL-10 was down-regulated [79]. Wei et al. described the Schiff base bond formation using oxidized dextran (Ox-DEX) and HA (2.0 × 105 g/mol) modified with an antimicrobial peptide (AMP = SWLSKTAKKLFKKIPKKIPKKRFPRPRPWPRPNMI-NH2) by amidation mediated by EDC/NHS for the loading of PRP [80].
Adipose-derived stem cells (ADSCs) have raised broad interest in therapeutic applications for wound healing [81]. Pak et al. developed an HA-based patch after chemical modification of HA (2 × 105 g/mol) using DOPA mediated by EDC/NHS (pH 5.0). The authors reported a substitution degree (DS) of up to 8%. The derivative was crosslinked by oxidizing with NaIO4 under basic conditions. The patches were tested in vivo using a C57BL/6 male mice model (7 weeks old, 23–26 g). Fluorescently labelled ADSCs (5 × 105 cells/100 µL) were transplanted into healthy tissues at the wound boundary or deposited at the HA-CA patch at the wound site. The wound area was examined, as well as collagen content, granulation tissue thickness and vascularity, cell apoptosis, and re-epithelialization. The epidermis was regenerated, and skin thickness was restored in mice treated with the scaffold [82].
Ren et al. prepared a nanocomposite hydrogel by loading 0.1 wt.% of graphene oxide (GO) in HA-tyramine derivative combined with gelatin grafted with gallic acid (GGA). The first step consisted of the amidation of HA (un-reported MW) using the EDC/NHS activation reaction. The authors reported a grafting ratio of 4.7% for HA and 7.9% for gelatin. The HA-Tyr/GGA/GO hydrogels presented a porous, crosslinked structure and good stability, biocompatibility, antioxidant, and hemostatic properties. The hydrogel presented photothermal antibacterial activity against E. coli and S. aureus, which accelerated healing [83]. However, hydrogels made of aromatic substances usually do not interact well with tissues or biodegrade in vivo.
The amidation of the carboxyl group in HA can also be mediated by DMTMM in water. Yu et al. prepared an HA/AgNPs/gentamicin nanocarrier. HA (Mw = 2.35 × 106 g/mol) was chemically modified by amidation using DMTMM as an activator for reacting with 3 aminophenylboronic acid (3-APB). The derivative was used for the encapsulation of silver and gentamycin for the construction of disinfectant coatings (HA-3APB/Ag/gentamycin). The scaffold exhibited strong inhibition of the growth and adhesion of bacteria without affecting cell attachment and proliferation. The in vivo results indicated accelerated wound healing on infected wounds with S. aureus [84]. However, the Mw of modified HA was unreported.
Conditioned medium secreted by stem cells exerts protective effects through stimulation of angiogenesis and improvement of tissue function [85]. Zhang et al. prepared double modification of HA. First, HA (3.4 × 105 g/mol) was esterified with methacrylic anhydride at low temperature (0–4 °C) with degrees of substitution (DS) of 21, 39, and 75%, respectively. Secondly, an amidation reaction mediated with DMTMM was performed using 2-morpholinoethanesulfonic acid (MES) to attach N-(2-aminoethyl)-4-[4-(hydroxymethyl)-2-methoxy-5-nitrophenoxy]-butanamine (NB) with a degree of substitution of 3.6%. The modified HA was crosslinked by LAP. The lap-shear strength of the hydrogel was 49.3 ± 1.0 kPa, which is three times stronger than that of the methacrylated hydrogel without NB and stronger than that of fibrin glue (14.1 ± 1.3 kPa), which is used as an adhesive in clinical applications. The burst pressure of the hydrogel was 78.9 ± 3.6 kPa, which was much higher than that of the hydrogel without NB groups (13.4 ± 1.2 kPa) or fibrin glue (4.9 ± 0.9 kPa). The hydrogel (DS 39%) was used to encapsulate a lyophilized amniotic membrane conditioned medium for wound healing. The hydrogel-promoted tube formation was measured on HUVECs. The hydrogel demonstrated an enhanced healing by promoting vascularization [86].
3.2. Esterification of HA at the Carboxyl Moieties
The esterification of the carboxyl moieties of the polysaccharide with alcohols or alkyl bromides, chlorides, or iodides is a common reaction (Figure 6). The HYAFF family, the benzyl (HYAFF11) and the ethyl ester of HA (HYAFF7), are examples of esterified HA, which are components of Hyalomatrix®. These derivatives were processed in dermal/epidermal graphs for non-diabetic wound healing [87]. These derivatives were prepared using HA-TBA salt. This type of reaction was used by Zuo and collaborators for the preparation of esterified HA (9.6 × 104 g/mol) with aromatic moieties using benzyl bromide. Electrospun nanofibers based on benzylated hyaluronan (HA-Bn) were used for immobilizing tetracycline by increasing π–π interactions in the delivery system. Additionally, a hydrogel based on HA (3.7 × 104) modified with dopamine (HA-DOPA)/collagen I was prepared. The hydrogel was loaded with the nanofibrous scaffold containing different concentrations of HA-Bn/tetracycline (0, 0.1, 0.3, and 0.5 wt.%). The stability of the nanocomposite hydrogels depended on the amount of the fibrous scaffolds added being 0.3–0.5% the most stable against collagenase degradation. The in vivo results showed that the composite contracted the wound after 12 days compared with a control group (commercially available Tegaderm film™) [88,89].
Figure 6.
(a) Esterification of HA with benzoyl substituents (HA-Bn) for tetracycline immobilization [88]; (b) Esterification of HA with curcumin mediated by DCC/DMAP [90].
Another widely used reaction on the carboxyl group is the Steglich esterification reaction. In this reaction, DCC is combined with 4-dimethyl-aminopyridine (DMAP). DCC is a coupling agent used in organic solvents (DMSO, DMF, or formamide), which impairs transfer to industrial scale due to the high price of organic solvents and their liquidation. For example, Sharma and collaborators used the esterification of HA (2.5 × 105 g/mol) with curcumin towards the preparation of a derivative for wound healing by using water/DMSO [90].
3.3. Alkylation Reactions at the Hydroxyl Group of Hyaluronic Acid
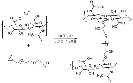
The modification of the hydroxyl group in HA via ring opening of low- or high-molecular-weight epoxides via ether bonds is a classical reaction for crosslinking. The most commonly employed crosslinkers are 1,4-butanediol diglycidyl ether (BDDE), 1,8-diepoxyoctane (DEO), divinyl sulfone (DVS), and polyethylene glycol diglycidyl ether (PEGDE). The crosslinking of HA with 1,4-butanediol diglycidyl ether (BDDE) to create HA-BDDE has been a clinically used product since the 1990s [91]. However, the manufacturing process for HA-BDDE is not well described in the literature due to industrial secrecy. Øvrebø et al. used the alkylation reaction of HA (Mw = 1.5 × 106) with PEGDE as shown in Figure 7 [92]. These kinds of derivatives are considered potentially applicable for wound healing as they can be loaded with antibiotics (cefuroxime, tetracycline, and amoxicillin) or anti-inflammatory agents (acetylsalicylic acid) with enhanced antibacterial and anti-inflammatory responses. The loaded hydrogels reported down-regulation of TNF-α, IL-6, and IL-8 [93]. However, no more biological tests are available.
Figure 7.
The alkylation reaction of HA with polyethylene glycol diglycidyl ether (PEGDE) for self-crosslinking [92].
3.4. Esterification of HA at the Hydroxyl
The esterification of HA is generally carried out on carboxyl moieties. However, the esterification of HA at the hydroxyl moieties with high molecular weight polymers and oligomers for physical crosslinking is also performed with significant biological compatibility and good physicochemical properties (Figure 8). The formation of amphiphilic HA esters by esterification with oligomers was reported by Pravata et al. that conjugated DL-lactic acid oligomers (OLA) to HA. The reaction was performed in DMSO with the reaction of the cetyltrimethylammonium hyaluronate salt of HA (HA-CTA) with carboxyl chloride of PLGA mediated by thionyl chloride [94].
Figure 8.
Esterification of hydroxyl moiety of HA (abbreviated as HA-OH) with high molecular weight polymers such as (a) PLA [94]; (b) Polyhydroxyalkanoates [95], and (c) PLGA [96].
Huerta and collaborators reported that the grafting of poly (hydroxyalkanoates) to HA was performed after activation of the carboxyl units with CDI/DMAP [95]. Both derivatives can be used for the encapsulation of hydrophobic drugs, which can be potentially used for wound healing.
Bhatnagar et al. prepared an amphiphilic derivative using poly (lactic-co-glycolic acid) grafted to HA (1.5 to 1.8 × 106 g/mol). The activation was performed by EDC in DMSO [96]. Zerrillo et al. prepared a similar derivative for osteoarthritis by using HA (Mw~ 2.1 to 4 × 104 g/mol). The copolymer reacted with HA after activation by DCC/DMAP [97].
On the other hand, the esterification reaction of HA at its hydroxyl moieties with low and reactive substituents is resumed on Figure 9 (reactions in water) and Figure 10 (reactions in DMSO). The esterification of HA with short hydrophobic moieties can be used for crosslinking via enzymatic esterification. Qin et al. prepared a vinyl ester of HA via enzymatic esterification mediated by lipase acrylic resin from Candida Antarctica B (CAL-B) and hydroquinone. In this study, LMW-HA (1.14 × 105, Đ ~ 1.6) was prepared through acidic degradation of HMW-HA. Furthermore, the reaction of divinyl adipate with HA was performed using a high excess of the reagent and prolonged reaction time (24, 48, 72, and 96 h, respectively) to reach a broad range of DS [98]. The reaction of HA with short-chain symmetric anhydrides such as methacrylic anhydride (MA) is usually performed by several groups. However, MA hydrolyzes in water fast, yielding methacrylic acid, which does not react with HA [99]. Thus, the esterification reaction is usually carried out using a high molar excess of reagents. The hydrolysis is pH and temperature dependent, making it difficult to achieve controlled DS and regioselectivity. Similar reactions were performed with glycidyl methacrylate or maleic anhydride due to easy control of side products and higher DS [100]. Vinyl substituents enable the photo-crosslinking of HA under several reagents and reaction conditions.
D’Amora and collaborators described the preparation of HA derivatives for crosslinking by reaction with either methacrylic (ME) or maleic anhydride (MA). While the synthesis of methacrylated HA was similarly as reported by Oudshoorn et al. (4 °C, pH 8–9, 24 h) [100]. The reaction of HA (3.4 × 105 g/mol) was performed with maleic anhydride after dissolution of the polysaccharide in nitromethane at 50 °C under nitrogen for 24 h. After dissolution in formamide, maleic anhydride reacted at 40 °C under inert atmosphere for 24 h. Both hydrogels were mineralized with CaPO4 by using in situ sol–gel synthesis. A degree of substitution of 51.1 ± 4.6% and 79.9 ± 2.5% was achieved using 20 and 30 molar excesses of methacrylic anhydride. Similarly, for MA-HA, DS of 54.1 ± 2.6% and 85.5 ± 4.9% were achieved by using 15 and 20 molar excess of maleic anhydride. The reinforcing effect of inorganic fillers was demonstrated after mineralization. The compressive stress was two-fold for ME-HA compared to MA-HA, and the reinforcement was related to DS [101].
Zhang C. et al. prepared a derivative of maleic anhydride with HA (1.5 × 106 g/mol) by one-step synthesis. The reaction takes place in an anhydrous DMSO for 24 h at 50 °C. At the end of the reaction, the pH was adjusted to 8–9 with a NaHCO3 solution (conversion of the carboxylic acid to its sodium salt). The product was precipitated with acetone, dissolved in water, and dialyzed. After dialysis, the precipitate is removed from the solution by centrifugation and lyophilized. The derivative was used for crosslinking with thiol-terminated poly(ethylene glycol) [102]. The reaction takes place in a suspension due to the insolubility of HA in DMSO. Disadvantages of this reaction for scaling up could be prolonged heating, wherein the molecular weight of HA decreased, and the use of an expensive solvent. The authors mentioned the potential use of the derivative for tissue engineering.
Wang and collaborators prepared physically and chemically crosslinked hydrogels, which the authors considered potential as wound dressings. The hydrogels were obtained by copolymerizing methacrylated HA (HA-MA) and carboxy betaine methacrylamide (CBMAA), which was prepared by reacting acrylic acid and N-(3-(dimethylamino)propyl) methyl acrylamide (DMAPMA). The physicochemical interaction of the positively charged CBMAA and negative HA reinforced the network. The chemical modification of HA (1.0 to 1.5 × 105 g/mol) with glycidyl methacrylate was performed under basic catalysis. The interpenetration network was obtained under radical polymerization mediated by Irgacure 2959. The prepared hydrogels were not cytotoxic to L929 cells after 24 h of contact. The hemolysis ratio of tested compositions was less than 5% [103]. However, the use of acrylates is not adequate for human use.
The reagent 1,1′-carbonyldiimidazole (CDI) can be used for the activation of carboxylic acids of several ligands; however, it reacts with water and is sensitive to degradation due to atmospheric moisture; thus, the reaction with HA occurs in solvents such as DMSO. This type of reaction can be used for crosslinking. For example, Capelli et al. studied the activation of ferulic acid (FA) with CDI. Two reactive intermediates, mono-imidazolide and bis-imidazolide, can be obtained [104].
This activation reaction can be used to attach fluorescent dyes to track the fate of HA during skin permeation. For example, Achbergerová et al. reported the HA esterification with activated cypate using CDI in the presence of imidazole as a base at 60 °C for 24 h in DMSO. The authors described that neither the use of a different base nor prolonged reaction time increased the degree of HA modification. The advantage of CDI to the activation of highly hydrophobic molecules is effective in reactive moieties that can be quenched by more reactive activators such as ethyl chloroformate or benzoyl chloride [105]. Though, these types of reactions are performed in DMSO, DMF, or formamide. Due to the insolubility of HA in organic solvents, HA has to be converted to tetrabutylammonium salt (TBA) or acid form (HA-H), so that it becomes soluble. Unfortunately, this conversion increases the risk of chain fragmentation. The use of organic solvents is also necessary for the covalent bonding of highly hydrophobic molecules. By using organic solvents, the process becomes highly expensive and less convenient for industrial applications.
Figure 9.
Chemical modification of HA performed at the C6-OH moieties in water: (a) Esterification of HA by aliphatic aromatic anhydrides in water: organic solvents [106]; (b) reaction of HA with alkynyl succinyl anhydrides in water and basic pH [107]; (c) carboxymethylation of HA with chloroacetic acid in isopropyl alcohol (water: IPA) [108]; (d) radical mediated esterification [109].
Figure 9.
Chemical modification of HA performed at the C6-OH moieties in water: (a) Esterification of HA by aliphatic aromatic anhydrides in water: organic solvents [106]; (b) reaction of HA with alkynyl succinyl anhydrides in water and basic pH [107]; (c) carboxymethylation of HA with chloroacetic acid in isopropyl alcohol (water: IPA) [108]; (d) radical mediated esterification [109].

Figure 10.
(a) Esterification of HA mediated by N-acyl imidazole in DMSO at 60 °C for 24 h [105]; (b) enzymatic esterification of HA salt in DMSO catalyzed by Lipase [98]; (c) esterification of by N-acyl imidazole in formamide [104]; (d) esterification of HA (acid form) carried out in formamide or DMSO [110,111].
Figure 10.
(a) Esterification of HA mediated by N-acyl imidazole in DMSO at 60 °C for 24 h [105]; (b) enzymatic esterification of HA salt in DMSO catalyzed by Lipase [98]; (c) esterification of by N-acyl imidazole in formamide [104]; (d) esterification of HA (acid form) carried out in formamide or DMSO [110,111].

On the other hand, the activation of carboxylic moieties of biologically active molecules such as fatty acids [29], steroids [112], and vitamins [113] can be easily performed by mixed anhydrides methodology. This type of activation reaction of the carboxylic moiety of several ligands is performed by (modified) benzoyl chloride in an organic solvent such as THF, isopropyl alcohol, or tert-butanol. After activation, HA quickly reacts with the mixed anhydride in a reaction with competitive hydrolysis in water [114].
Ceramides can be attached to HA to impart new properties to the polysaccharide, such as the promotion of epidermal repair. In this case, Juhaščik et al. prepared amphiphilic HA (1.5 × 104 g/mol) by grafting succinylated N-oleoyl-phytosphingosine after its activation using benzoyl chloride. The succinylated N-oleoyl-phytosphingosine was reacted with HA using mixed anhydrides. The self-assembling derivative permeated the stratum corneum due to the formation of nanoaggregates with the size of ~50 nm. The conjugates exhibited in vitro significant inhibition of the pro-inflammatory IL-6 production in macrophages differentiated from THP-1 cells [115].
3.5. Esterification of HA with Thiols
The preparation of sulfated HA (HA-O-SO3), as it is shown in Figure 11, has been reported by several groups [116,117]. Hauck used HMW-HA (1.1 × 106 g/mol) for the preparation of HA-TBA salt. After that, the fragmented HA underwent acrylation/sulfation. The degree of sulfation varied from 3.0 to 3.4, but the degree of substitution (DS) did not significantly affect macrophages. The authors studied the immunomodulatory effect of acrylated HA and collagen-based hydrogels containing highly substituted sulfated HA. Sulfated HA modulates the M1 and M2 repolarization via suppression of the NFκB pathway [116]. Hauck et al. reported that sulfated HA reduced the inflammatory activities of macrophages, impeding TLR signaling. Sulfated HA-mediated blockage of NFκB and subsequent impaired release of pro-inflammatory cytokines such as IL-6, IL-8, CXCL1, CCL2, and PGE2 in human mesenchymal stromal cells [118].
Figure 11.
Preparation of sulfated HA is performed via HA-TBA salt.
Song et al. used a double modification of HA of two different Mw (1.5 × 106 g/mol and 4 × 104 g/mol). The authors carried out the sulfation of HA mediated by H2SO4/DCC using HA-TBA salt. The hydrogel was formed via crosslinking of HA-DOPA after amidation of HMW-HA and LMW-HA mediated by EDC and sulfo-NHS. The degree of chemical modification varied 31.7% for HMW-HA and 12.0% for LMW-HA, using 13.1% for sulfated HA. The crosslinking of catechol via oxidation was mediated by sodium hydroxide. Due to the highly acidic conditions, the Mw of HA drastically decreased. Catechol makes the derivative adhere to the surface of bleeding wounds. To compare the hemostatic abilities of the materials, in vitro blood clotting tests were performed. Thrombin, sulfated HA/HA-DOPA patch, and thrombin-loaded patch were treated with recalcified citrated whole blood for various time intervals (30 s–10 min). The adhesive patches produced using the derivative stopped bleeding by absorbing blood and thrombin-supporting hemostasis. The dry patch prevented post-surgical adhesion by forming an anti-inflammatory physical barrier. This anti-inflammatory effect was confirmed by using RAW264.7 macrophages for 24 h stimulated by LPS (100 ng/mL). The effect of this patch was tested as an adhesion barrier compared to the commercial product Seprafilm® [117].
Yu et al. reported the synthesis of sulfated HA via chemical modification of HA (Mw = 1 × 105 g/mol). The synthesis is performed in DMF using HA-TBA salt, with degradation of the skeletal. After that, the reaction with SO3 in pyridine yielded sulfated HA. The amount of sulfur in the polymer can be varied from 2 to almost 10% by using an excess of this reagent from 8 to 32 molar eq. Interestingly, human umbilical vein endothelial cells (HUVECs) grow as a function of increasing the sulfur content [119].
Xue et al. used similar conditions to prepare HA-SO3 derivatives (DS = 11.6%) and HA of Mw = 1 × 105 g/mol. The HA-SO3 derivatives promoted the growth and migration of endothelial cells, regulating the transformation of vascular smooth muscle cells from synthetic phenotype to contractile phenotype and inhibiting the adhesion/aggregation of macrophages. Furthermore, the derivative improved the transformation of macrophages from M1 to M2 and inhibited hemolytic reaction and platelet aggregation [120].
Zhong et al. combined sulfated HA (sHA) with methacrylated gelatin and modified graphene. The hydrogel sHA/gelatin/G was applied to the rabbit ear wound model to evaluate the role of the material during scar formation. The material promoted scarless wound healing via fibrosis suppression. The hydrogels increased the expression of CD206 and IL-10 and decreased TNF-α, IL-1, and TGF-β [121].
3.6. Oxidation of Hyaluronan
The introduction of aldehydes can be used for functionalization via reductive amination or chemical crosslinking. The regioselective oxidation of HA at the primary alcohol located at position C6 of N-acetyl glucosamine is obtained by using 4-Ac-TEMPO or Dess–Martin periodinane (DMP) as depicted in Figure 12. The oxidation is performed in water mediated by 4-acetamido-TEMPO, NaBr, and the oxidant NaOCl and is carried out at 4 °C to slow down the degradation of the skeletal. This reaction is performed in DMSO mediated by DMP for a higher oxidation degree. DMP yielded a high substitution degree (up to 48%) [122]. However, the use of organic solvent increases the price of this type of modification. Ponedel’kina et al. reported that the oxidation of HA proceeds with a quantitative yield to the preparation of carboxylated HA (HA-COOH). The reaction was mediated via oxoammonium salt TEMPO+Cl− obtained by oxidation of (2,2,6,6-tetramethylpiperidin-1-yl) oxyl, commonly referred to as TEMPO. TEMPO+Cl− is prepared by reacting TEMPO radical with chlorine in carbon tetrachloride. The oxidation of 1.5 × 106 g/mol and 4–6 × 104 was compared. The degree of oxidation values (60 and 72%) depended on the molar equivalents of the oxidant [123]. The starting molecular weight of HA (7.3 × 104 g/mol) decreased to 3.4 × 104 at 4 °C, but the degradation was more pronounced at 25 °C (2.7 × 104 g/mol). The use of a tamponed buffer (such as phosphate buffer) also diminished the degradation of HA during oxidation. The authors reported that the isolation of the HA-COH in the degree of substitution was up to 15%. However, the reaction is extremely degradative of the HA-skeletal, thus, the Mw decreased from 5.4 × 105 to 1.3 × 104 g/mol. Depending on the conditions for oxidation, the reaction could give a mixture of HA-COH and HA-COOH.
The oxidation of HA is highly degradative, but the Mw of HA is usually not characterized. By controlling the temperature, time, and pH of the reaction, the degradation of HA skeletal can be diminished, allowing control of the Mw and degree of substitution. Furthermore, the isolation of intermediate HA-aldehyde can be easily reached. Unfortunately, the oxidation of HA not only reduces the Mw, but it also affects the interaction of the polysaccharide with CD44 receptors, so that it might interrupt the transduction signal [124].
The oxidation of HA can be mediated by sodium metaperiodate (NaIO4). In this case, vicinal hydroxyl groups presented at the second and third carbon atoms (C-2 and C-3) of glucuronic acid are oxidized. The reaction breaks C-C bonds and leads to the formation of two aldehydes at the monomeric sugar units (HA-di-CHO) [125]. This type of modification of HA can be used for self-crosslinking by reaction with diamino linkers or functionalization by reaction with primary amines. Chu et al. tested the pro-healing effects of tetramethylpyrazine loaded in (HA-di-CHO) of different molecular weights (Mw = 1.0 × 104–1 × 105 g/mol, 8.0 × 105–1.0 × 106, and 1.8 × 106–2.2 × 106 g/mol) and self-crosslinked by ADH [126].
Figure 12.
Hyaluronan oxidation effected at (a) hydroxyl of the position C6 in water or (b) DMSO [122]; (c) amidation and oxidation [127,128]. (d) Oxidation at the skeletal mediated by NaIO4 (several authors).
Figure 12.
Hyaluronan oxidation effected at (a) hydroxyl of the position C6 in water or (b) DMSO [122]; (c) amidation and oxidation [127,128]. (d) Oxidation at the skeletal mediated by NaIO4 (several authors).

Natural or synthetic polymers containing amino functional groups can be used to form Schiff base bonds with HA. These types of reactions are useful for chemical crosslinking of the polysaccharide. The prepared hydrogels can be used as reservoirs of active pharmaceutical ingredients. Chitosan [71] or gelatin [128] have been used due to their adequate biocompatibility. In this idea, Guo et al. prepared a hydrogel formed by Schiff base linkage between oxidized HA (HA-di-CHO) and carboxymethyl chitosan. A dressing was prepared by adding active polypeptides extracted from Periplaneta Americana for diabetic wound healing. The pro-inflammatory cytokines (TNF-α, IL-1β, and IL-6) were down-regulated, while the expression of growth-promoting cytokines (TGF-β1, EGF, and VEGF) was up-regulated, which demonstrated angiogenesis in the diabetic mouse wound model [129].
Zhong et al. reported a Schiff base hydrogel combining chitosan grafted with chlorogenic acid (CS–CGA) and HA-di-CHO for encapsulating deferoxamine (DFO) for wound healing. The hydrogel showed tube formation, which confirmed angiogenesis and extended new vascularization in the tissue as confirmed by CD31 (platelet-endothelial cell adhesion molecule-1) immunostaining. The expressions of IL-1β, IL-6, TNF-α, and C-reactive protein (CRP) in the hydrogel group were down-regulated by the hydrogel compared to a control group for both diabetic and bacterial-infected wounds. The expression of IL-10 was up-regulated demonstrating anti-inflammatory properties. The hydrogel promoted cell migration as confirmed by scratch assays in vitro on mouse fibroblasts (NIH-3T3) and HUVECs, showing antibacterial activity, and allowed a 96.5 ± 1.5% wound closure after 14 days. The wound closure of bacterial-infected wounds treated was 68.5 ± 2.4%, compared to 42.5 ± 3.2% for the control group [130]. Unfortunately, the authors have not reported the Mw of oxidized HA.
Liu et al. modified chitosan (1–3 × 105 g/mol) with tannic acid (TA) by ionic interactions and complexed it with HA-di-CHO for the preparation of injectable hydrogels. The oxidation of HA (4–7 × 105 g/mol) was performed with sodium periodate. The two polymers crosslinked within 2 min of injection via a dynamically reversible Schiff base reaction under mild conditions. The hydrogel presented a compression strength (G’) of 383 Pa, with swelling up to 1200%. The degradation of the hydrogel was faster at pH 7.4 than at pH 8.5. At pH 5.5 only 20% of the hydrogel remained after 24 h. The hemolysis rate of CS/OHA was determined to be 1.6% and increased to 3.3% in the hydrogels containing TA. The hydrogels stopped the bleeding as demonstrated in vivo in a rat liver injury model. A wound closure was observed after 13 days [71]. However, the Mw of oxidized HA was unreported to establish the biological effect of HA.
Zhou et al. reported the oxidation of HA with NaIO4 via ring opening of the polysaccharide at 50 °C for 24 h. Furthermore, the carboxyl moiety of HA was activated by EDC/NHS and reacted with dopamine for its polymerization. The derivative was crosslinked with carboxymethyl chitosan (CMCS, degree of carboxylation ≥ 80%) and poly(vinyl alcohol). The reagents 1,1-diphenyl-2-picrylhydrazyl radical (DPPH), 2,2′-Azino-bis (3-ethylbenzothiazoline-6-sulfonic acid) diammonium salt (ABTS), and 1,1-diphenyl- and 2-phenyl-4,4,5,5-tetramethylimidazoline-1-oxyl 3-oxide radical (PITO) were used to evaluate the antioxidant properties of the hydrogel. The adhesive properties of the material were demonstrated by the lap-shear strength test and showed a value of 105.45 ± 1.47 kPa. The immunomodulatory capacity of the hydrogel was performed through flow cytometry on RAW 264.7 cells. The M1 polarization of macrophages was promoted to M2 after treatment with hydrogel. The release of NO from macrophages was reduced. The hydrogel showed antibacterial activity against E. coli and S. aureus. An in vivo model of burn wound healing was tested, showing fast regeneration [72]. However, the Mw of native HA and modified HA were not reported in the work.
Kamedani et al. developed hydrogels composed of monoaldehyde HA and carbohydrazide-modified gelatin (GL-CDH). HA (unknown Mw) was modified by amidation mediated by EDC/HOBT with (±)-3-amino-1,2-propanediol followed by oxidation with NaIO4. The hydrogels exhibited a short gelation time (3 s). This time was controlled by the concentration of HA in the formulation. Strong shear-thinning and self-healing properties were observed due to the dynamic covalent bonding of the Schiff base bond. The hydrogel degraded in the mice’s peritoneum after a week of implantation and showed excellent biocompatibility and adhesive properties. The hydrogels decreased bleeding to as low as fibrin glue without using thrombin and fibrinogen in a mouse liver bleeding model in both single- and double-barreled syringe administrations [128]. However, the use of gelatin could produce immune reactions.
Du and colleagues prepared a hydrogel composed of methacrylated gelatin (Gel-MA) and oxidized LMW-HA (HA-di-CHO). For the preparation, native HA (1.0–2.0 × 104 g/mol) was oxidized by means of NaIO4. The prepared hydrogels were used as delivery systems of the antibiotic gentamicin sulfate (GS) and lysozyme (LZM). The amino moieties of GS were reacted with dialdehydes presented on HA by the formation of Schiff base bonds to impart antibacterial properties. A composite hydrogel prepared by methacrylated gelatin and oxidized HA was prepared by photo-crosslinking mediated by LAP. The synergy between GS/LZM imparts higher antibacterial properties against S. aureus and E. coli. The hydrogel triggered the adhesion of platelets and gave a fast-hemostatic effect, with a hemolysis rate lower than 1%. These observed properties made the material as promising for wound healing [131]. Though, the mechanical properties of this material were not reported.
Some other groups have tested the anti-inflammatory efficacy of polysaccharides such as salecan (Sal) [132]. In this idea, Wang et al. prepared a self-healing injectable hydrogel via thermal treatment and dynamic Schiff base reaction using oxidized HA and hydrazide-modified salecan (Sal-ADH). The antimicrobial drug poly (hexamethylene) biguanide (PHMB) was encapsulated in the hydrogel. The oxidation of MMW-HA (2.0–4.0 × 105 g/mol) was performed by NaIO4. This polysaccharide was condensed with chemically modified high molecular weight Sal (2.0 × 106 g/mol). In the case of HA, its Mw decreased to 9.1 × 104 g/mol and dispersity (Đ) of 1.315. The hydrogel was non-cytotoxic and was hemocompatible. PHMB imparted antimicrobial properties against E. coli and S. aureus. Wound contraction was determined in mice after 14 days with extended collagen formation at the wound site [133].
4. Current Challenges for the Wound Healing Applications of HA
Current challenges in wound healing management include infection control, moisture management, adhesion to the tissue, pain, and discomfort during removal of the patches. Wound dressings should present porosity and adequate Young’s modulus. Building dressings with strong interfacial force, mechanical strength, and biodegradation that mimic the surrounding tissues is very challenging. Moreover, hydrogels should be characterized by adequate porosity, lap-shear strength, and controlled biodegradation. Some groups started reporting the use of lap-shear testing for characterizing adhesion to the tissue. But the methodologies do not exactly follow the norms. The characterization of commercially available products greatly varies. Hydrogels have the advantage of being reservoirs of active pharmaceutical ingredients (antimicrobials, antiseptics, painkillers). But they are usually characterized by poor mechanical properties. Therefore, building hydrogel-based wound dressings with strong interfacial force, mechanical strength, and biodegradation that mimic the surrounding tissues is consequently extremely difficult. The incorporation of synthetic polymers for wound management could present several drawbacks, such as occlusion of exudates, as they are not adsorbents. These polymers present different structures than the ECM with risks of infection, foreign body response, or immunogenic reactions.
Hydrocolloid dressings are occlusive (Duoderm, Granuflex, Comfeel) [134]. They are usually composed of polysaccharides or natural materials (agar, alginate, carrageenan, gelatin, or pectin) to avoid irritation after skin contact. They are formulated with carboxymethylcellulose to increase their adsorption capacity and poly(urethane) for strength, but they are not designed to prevent infections or to use for bleeding wounds. It is worth mentioning that novel developments should be compared to commercial hydrogel wound dressings, which occur in limited cases in the literature.
For example, Medifoam®, a commercially available polyurethane foam-film dressing, has one of the smallest pores (25~75 μm and 100~350 μm in the cross-section) and cell sizes with excellent uniformity on the wound contact layer, with elongation at break corresponding to 400% and tensile stress of 0.033 kgf/mm2 [135]. Mechanical characterization of commercial wound dressings is scarcely reported in the literature. For example, Minsart et al. determined the Young’s modulus of commercially available fibrous dressings such as Kaltostat®, Aquacel® Ag, Aquacel® Extra, and Exufiber®. The tested values vary between 0.24 and 0.95 MPa, with a total elongation from 68 to 134% [136]. Wang et al. reported elongation at break from 85.0 to 202.2%, the tensile strength was only 71.5 kPa [137]. Thus, it should be a compromise between bioactivity and functionality. Some other authors tested lap-shear strength to assess the hydrogel’s adhesive properties. In this case, a lap-shear test and a T-peel should be performed according to norms ASTM F2255-05 (Standard Test Method for Strength Properties of Tissue Adhesives in Lap-Shear by Tension Loading) and ASTM F2256-05 (Standard Test Method for Strength Properties of Tissue Adhesives in T-Peel by Tension Loading). It is worth mentioning that the main challenges of HA-based products for wound healing are their short shelf life and low stability due to their enzymatic degradation in vivo [43]. This is the main reason to use chemical modification by the reactions described in Section 3. However, inconsistent biological properties of the prepared materials may occur due to a lack of testing and correct description of physicochemical properties during research.
A known challenge is colonization of the wound bed with bacterial pathogens. This fact is responsible for delayed wound healing. Furthermore, persistent inflammation, odor, erythema of periwound skin, and increasing exudate promote progression to a chronic, non-healing wound type [138]. Even though HA is bacteriostatic, it is not bactericidal; therefore, HA-based dressings can be incorporated with inorganic nanoparticles [139,140], antibiotics [88], antimicrobial peptides [80], antiseptics [141,142], and materials capable of generating reactive oxygen species, which can be obtained via chemical modification [143] for imparting antimicrobial properties. A key characteristic of modern dressings is their ability to retain or create a moist environment around the wound [9]. Moisture-retentive wound dressings represent a new window toward wound therapy.
Recently, considerable efforts have been made toward the design of shape-personalized wound dressings using electrospinning [144]. However, a pure HA solution cannot be processed in a nanofiber matrix by electrospinning. Polymers such as polyethylene oxide (PEO) are used during the processing with a consequent problem due to loss of biocompatibility. A second challenge is the use of organic solvents such as 1,1,1,3,3,3-hexafluoro-2-propanol (HFP), which makes scaling-up difficult due to high price and toxicity. A third challenge is the fast dissolution of the polymeric mats, which is solved by using chemical crosslinking [145].
The use of 3D printing for the design of dressings with customizable shapes, drug dosage, and drug release rate is also a novel technology to be considered [146,147,148]. This technology allows forms able to fill the ulcer cavity. Hence, it could potentially lead to the fabrication of a new generation of wound dressings. In this case, the scale-up of 3D printing could decrease the price of personalized dressings.
The last challenge is the cost of wound dressings. As the patient needs continuous changes of dressings, a high cost is common. Indeed, evidence comparing the cost-effectiveness of HA and SoC dressings is still missing [149]. Educating patients on proper dressing changes and care to ensure optimal healing is a possible solution [150].
The current generation of wound dressings clinically used lacks hemostatic properties, as no components of theirs have been designed with the goal of reducing the clotting time, which would, in turn, reduce the propensity for infection or allergic reaction and speed up the healing. The combination of HA with active molecules (peptides, proteins) could impart the required bioactivity such as adhesion, hemostasis, and more. During the last five years, the most studied formulations found in the literature are hydrogels or injectable hydrogels. Table 2 describes highly potential developments in the field of HA.
Table 2.
Selected examples of novel developments containing HA describing in vitro, in vivo, and physicochemical properties.
The Michael addition reaction is useful for the functionalization of HA as depicted in Figure 13. Using this concept, Zhu et al. prepared a protein vector containing an AKPSYPPTYK motif and a C-terminal cysteine residue, which could impart adhesive properties to a dressing. The bioactivity of maleimide-HA, which was crosslinked by cysteine-modified MAPC (DOPA), was evaluated via blood clotting index (BCI) experiments. The material showed antibacterial properties and enhanced adhesion. At a concentration of 10 mg/mL, the hydrogel significantly induced platelet aggregation, showing hemostasis. After contact with the material, the release of platelet factor 4 (PF4) promotes blood clotting [152].
Figure 13.
Preparation of unsaturated HA for crosslinking via Michael addition reaction (a) with the cysteine residue of DOPA-modified C-terminus of the mussel adhesive protein MAPC (DOPA) [152] or (b) with elastin conjugate peptide [153].
In adult wound healing, elastin is lacking, and only a disorganized elastic fiber network is present after scar formation. In this idea, Laezza et al. prepared electrospun scaffolds as wound dressing materials containing elastin. The HA-elastin conjugate was prepared via a thiol-ene reaction mediated by tris (2-carboxyethyl) phosphine hydrochloride. The synthesis started with the amidation of HA with 2-aminoethylmethacrylamidehydrochloride containing a terminal double bond, which was reacted in a second step with an elastin-derived peptide via Michael addition. The HA derivative was electrospun with poly-D, L-lactide in a ratio of 1:50 using HFP [153].
The last challenge is to develop hydrogels with mechanical integrity without compromising their biocompatibility. By forming physical crosslinking between HA and a second polymer, it is possible to increase the mechanical properties. Silk fibroin (SF), a protein in epithelial cells within the glands of arthropods, presents considerable advantages such as compatibility [154]. A key benefit of SF-based scaffolds is their ability to closely resemble ECM thanks to their fibrous structure and biochemical properties. Furthermore, SF has been approved by the Food and Drug Administration. Despite its versatility, hydrogels based on native HA often have limitations in terms of mechanical properties and stability; thus, the combination of HA/SF/alginate for skin repair was reported by Yang et al. After 7 days, the presence of collagen fibers was observed, and on the 14th day, a considerable amount of collagen and new tissue formation was observed. After 21 days the HA/SF/SA group only had a reduction of 97% of wound size with regularly distributed collagen [155].
A second strategy for increasing mechanical properties is the preparation of nanocomposites. For example, the use of active bioglass (BG) nanoparticles and their derivatives, such as copper-doped bioglass (CuBG) NPs, has been extensively used in bone repair because of their osteogenic and angiogenic activities [156]. As a strategy, Yu and collaborators synthesized thiolated HA and combined it with bioactive glass and SF to build a composite hydrogel. The degree of substitution (DS) of thiolated HA (T-HA) was around 7.8%. The hydrogels showed enhanced strength and stiffness compared to the gels built from HA-SH and SF with well-defined elasticity and injectability. The BG/HA-SH/SF gels stimulated the migration of both fibroblasts and human umbilical vein endothelial cells. Furthermore, CD31, a typical biomarker for endothelial cells, was followed; thus, the gels stimulated angiogenesis and facilitated revascularization of neonatal skin tissues [157].
Yu et al. developed a composite consisting of HA-tyramine, thiolated glycol chitosan (TG-Chitosan), and CuBG for fast wound healing. HA (7.0 × 104) was activated by EDC/NHS and grafted with tyramine (DS = 6.0%). Glycol chitosan (8.0 × 104 g/mol, 0.8 percent of substitution) was chemically modified by 3,3′-dithiodipropionic acid. The mechanical strength reached 1.91 kPa. L929 cells were cultured in contact with composites to explore their migration using scratch assay. The migration of silica and copper ions stimulated the migration of human umbilical vein endothelial cells. The regeneration of hair follicles, sebaceous glands, and skin appendages was observed after 15 days [158].
Normal healing processes are impaired in conditions characterized by hypoxia, a common occurrence in the wound bed. This condition is treated by oxygen delivery or generating materials for wound dressings [159]. The use of metal peroxides that produce oxygen in the presence of humidity is also a known strategy. In wound healing, calcium peroxide (CPO) is the most used metal peroxide due to its desirable oxygen-generation potential and good thermal stability. Recently, the use of nanozymes such as HA/MnO2 was constructed via in situ mineralization and used Mn-hydrazide coordination crosslinking. This kind of material can be used for O2 generation by phototherapy applied to wound healing. [160]. Yang et al. reported lyophilized perfluorodecalin encapsulated in albumin nanoparticles immersed in an HA (unknown Mw) gel able to administer supplemental oxygen and improve wound healing. The hydrogel enhanced cell migration and angiogenesis in vitro [161].
Combining HA with conductive materials such as polypyrrole (PPy) is also helpful for macrophage activation and regeneration. Chu et al. combined polyethylene glycol (PEG), PVA, and HA with PPy nanoparticles prepared in alcohol solution via radical polymerization. The hydrogels were prepared by four freeze–thaw cycles using a composition of 0.74:0.11:0.11 up to 0.04% of PPy. It seems that the highest concentration of PPy imparts the best antimicrobial properties. The two synthetic polymers were added to increase the mechanical properties of the hydrogel, while PPy was added to impart photothermal properties. The antibacterial mechanism of the hydrogels was studied in vitro and in vivo under near-infrared light (NIR) stimulation using a bacterial colony plate and a diabetic foot infection wound model. Compared with the control group, the count of S. aureus bacteria was lower in both models [162]. However, the physicochemical properties of HA were not mentioned in the text, and HA was not the main component of this hydrogel.
Many new technologies and developments offer potential advantages to the current products; however, cost evaluation and risk analyses of the processes were not included, as many of the results correspond to basic research.
According to the evaluation of clinical products, high molecular weight HA mixed with antimicrobial agents is found in commercially available products. Some other products, such as Connettivina Bio (cream, gauze pads), are under post-market clinical evaluation (identified with the number NCT06108999). The same occurred with the highly esterified HA (HYAFF), which is now found in the form of membranes or gauze pads. The use of low molecular weight (3.5 × 103 g/mol) is now under scrutiny due to its high permeability in the skin compared to high molecular weight (NCT05764226).
An observed trend is that basic research relies on the use of “classical HA-derivatives”, as their synthesis is working effectively, and the reaction products are well identified —oxidized HA or hydrazine modified HA—and the authors test the efficacy of additives (antiseptics, bioactive agents). The final decision will be based on the added value that the formulation might offer in preclinic, but the advantages to patients, such as comfortability, less invasive, safer, effective, and lower cost, are generally not considered. Thus, the transfer to the patient will require a long time.
5. Clinical Products Containing Hyaluronan Used for Wound Healing
Clinical studies provided useful information on the safety, tolerability, and efficacy of medical devices. Particularly, products containing HA were evaluated in human probands with various types of wounds, including hard-to-heal wounds (wounds that have not been healed for more than three months), post-traumatic ulcers, diabetic ulcers, and burns. Clinical trials include wound healing outcomes, adverse events, and patient satisfaction. However, patient satisfaction is a subjective parameter that depends on many external factors. The efficacy could vary due to the comorbidities of the patient.
Clinical evidence demonstrated that dressings and topical agents containing HA are safe, effective, and well tolerated, with some studies reporting very positive outcomes in terms of wound closure and high healing rates compared with other dressings [2]. Traditional wound dressings in the market include gauzes, films, foams, sprays, hydrogels, hydrocolloids, or multi-layered dressings [163].
Gauze pads containing HA have been developed and marketed for 20 years for treating non-infected, exuding, or super-infected wounds, including leg ulcers [164]. Humbert and collaborators reported the results of a 60-day double-blind, randomized, controlled superiority trial designed to investigate the efficacy and safety of HA-impregnated gauze pads in the local treatment of venous leg ulcers, compared with a neutral vehicle. Totally 89 patients were included. At day 45, the percentage of ulcer surface reduction was significantly greater in the HA group (73 ± 4·6%) versus the neutral vehicle group (46 ± 9·6%, p = 0.011) [165].
The combination of HA and equine-type I collagen (Hyalo4 Regen) has been applied for diabetic foot ulcers. The ulcer affects subcutaneous skin and bone tissues. The clinical evaluation included the surface of the wounds on day 7 up to complete healing and size contraction of the wound [166].
Pecova et al. recently reported the clinical efficacy and applicability of a gel comprising HA/Iodine for treating hard-to-heal wounds of different etiologies. Patients (n = 56) with venous leg ulcers (VLU), diabetic foot ulcers (DFU), pressure ulcers (PU), or ulcers originating from post-surgical wounds (pSW) were involved in this study. The highest healing rate was in DFU (71.4%), followed by pSW (62.5%), VLU (55.6%), and PU (44.4%) [167].
Shaharudin published a review, “Effectiveness of Hyaluronic Acid and Its Derivatives on Chronic Wounds” [168]. However, the review included a description of clinical trials involving HYAFF derivatives. Similarly, Caravaggi et al. reported the efficacy and safety of HYAFF-11®-based autologous dermal and epidermal grafts for treating diabetic foot ulcers. Complete ulcer healing was observed in 65.3% of the patients treated with the grafts compared with 49.6% of the control group using a non-adherent paraffin gauze after 11 weeks. The material is readily hydratable and transforms into a clear, viscous gel in contact with body fluids [87]. HYAFF-based dressings are part of the treatment for severe, non-progressive wounds, including venous leg and diabetic foot ulcers. Benzoylated esters of HA have been studied since 2003 and identified as Hylase Wound Gel®. This product is one of the most frequently found in the European market for wounds, burns, and non-healing venous leg ulcers [169]. Laurano et al. recently revised HA wound dressings available on the market, including Hyalofill®, Hyalosafe®, or Hyalo Regen [1]. Hyalofill® is a wound care treatment for chronic wounds, composed of 75% esterified HA and presented as a non-woven fleece. The clinical evidence that supports the use of this product was described in 1998. Hyalosafe is a transparent film made of HYAFF-11®, or an esterified benzyl ester of HA (≥90% of carboxylic groups are modified), which is one of the most studied HA derivatives for wound healing [170]. Schneider and Landsman revised clinical evidence that supported the effectiveness of esterified HA for patients with difficult, non-progressive wounds, including venous leg ulcers (VLUs) and diabetic foot ulcers (DFUs). The authors found evidence that the wound area decreased, with a 50% increase in granulation tissue after 55 days [171].
Creams and ointments offer several advantages over other preparations due to the possibility of incorporation of water- and oil-soluble ingredients. Creams containing HA and sulfur sulfadiazine are indicated for use in burns, chronic wounds, surgical wounds, and skin abrasions/irritations. Russo and collaborators recently reported the results of the efficacy and tolerability of Connettivina Bio ® Plus (group A) gauze and cream containing HA and compared them to Fitostimoline® Plus (group B) gauze and cream for the treatment of acute superficial skin lesions containing a wheat-derived polysaccharide, polyhexanide and glycols using a single-center, parallel, randomized trial. The total healing observed for group A was 56.6%, while for group B it was 93.3% (p = 0.001), with 100% of healing for both patient groups [172]. Onesti and collaborators reported the use of LMW-HA (1–4 × 105 g/mol) and V. alginolyticus collagenase to treat 4 patients with deep traumatic skin lesions, or ulcers. The local application of collagenases has been reported to increase the effect of macrophage collagenases that break proteins of dead tissue; thus, it provides wound debridement. The lesion is covered by Hyalomatrix that maintains the moisture on the wound site [173].
New therapies include the use of bio-functionalized scaffolds. For example, De Angelis et al. reported the use of HA-based scaffolds enriched with platelet-rich plasma (PRP) tested on a total of 364 patients affected by chronic ulcers (diabetic and vascular); 182 patients were treated by bio-functionalized scaffold PRP + HA, and the results were compared with a control group of 182 patients treated with traditional dressings containing only HA (group 1). PRP was obtained from the patient’s own blood, and the gel was applied to the wound bed after disinfection. The treatment was complemented with elastic pressure and antibiotics. After 30 days, the patients who underwent a combined treatment had 96.8% ± 1.5% of reepithelization compared to 78.4% ± 4.4% in group 1 (p < 0.01). The in vitro study includes the analyses of biopsies. The post-treatment images showed regenerated skin with reactive epidermal proliferation, newly formed dermal tissue, collagen deposition, and newly formed vessels [174].
New formulations include the use of emulsions. For example, Galleli and collaborators prepared a nanohydrogel composed of HA (2.8 × 105 g/mol), quercetin, and oleic acid for foot skin wound healing in diabetic patients. This study involved 83 patients (mean age 68.5 ± 9.6 years) with a history of diabetic foot ulcers (DFUs) unresponsive to SoC treatments. The use of HA alone developed an infection, while a synergism of HA/curcumin/oleic significantly (p < 0.01) reduced the wound healing time. Furthermore, the nanogel applied topically was demonstrated to be effective and safe for skin repair [175]. Hyalo-silver® is a topical spray powder combining HA and metallic silver. Recently, a single-site, prospective, open-label study involving patients with a vascular ulcer or pressure ulcers (PUs) category I-II with a bacterial infection was conducted. Patients with a wound size of ≤15 cm2 were enrolled. A reduction in the wound area was observed after one day of application in 56% of patients, with up to 99% healing after 28 days [138].
Even though the most widely studied antimicrobial agent is silver [176,177]. Several concerns have been raised due to its possible toxicity. This is the reason why new formulations included the incorporation of antiseptics. By using octenidine, a higher ratio of complete healing was observed after 8 weeks in chronic venous disease compared with dressings containing silver [178]. Pavlik and collaborators tested the healing of chronic wounds with dressings made of HA/octenidine (HA/OCT) with an SoC made of carboxymethyl cellulose/silver (Ag/CMC). Biopsies were taken at time 0, 2 or 6 weeks of treatment from two wound areas. CD68, a valuable cytochemical marker of inflamed tissues, was significantly lower in the wounds treated with HA/OCT than those treated with Ag/CMC. A significant decrease in granulocytes occurred after 2 weeks in the wounds that received HA/OCT treatment. The parts of the wounds treated with Ag/CMC exhibited significantly higher numbers of granulocytes. The expression of CD14, a marker of bacterial infection, was up-regulated in the wounds treated by Ag/CMC after 2 and 6 weeks [142]. A post-market clinical study reported a comparison of HA/OCT with SoC dressings containing silver. The clinical study included 48 patients using HA/OCT in the arm and 39 patients in the SoC arm. HA/OCT significantly reduced the wound area more than SoC. The patients observed a considerably decrease in pain [141].
As a common complication of diabetes, chronic wounds have a high incidence; due to expensive treatment, the recurrence of the pathologies causes long-term negative impacts on patients’ quality of life. De Francesco et al. reported the efficacy of an ointment based on HA/Collagenase (Bionect Start®) on patients affected by hard-to-heal ulcers (diabetes mellitus (n = 20), post-traumatic ulcers (n = 35), chronic burns degrees I and II (not healed in 12 weeks) (n = 10), and pressure ulcers (n = 5)). Patients with hard-to-heal wounds and necrotic tissue were included. The patients followed the same disinfection protocol and application of 2 mm of the ointment. The wound bed score was used to evaluate the data (black eschar, eczema/dermatitis, depth, scarring (fibrosis), the color of the wound bed, edema, resurfacing epithelium, and exudate amount). The clinical results showed a significant improvement in all the above-described parameters and pain reduction after two months of treatment. A reduction in bacteria in the wound was detected. At the end of the treatment, the bacterial pathogens were completely eliminated [179].
Reggiardo et al. published the results of six clinical studies involving 378 patients. The efficacy of Vulnamin® was evaluated according to a reduction in wound area, percentage of healing closure, or completed wound closure. The patients were divided into three groups: (i) Patients with alginate dressing; (ii) The HA/AA ointment under the alginate dressing; (iii) group 2 with an additional oral amino acid treatment. The treatment with the ointment (medical device made of HA + amino acids (AA)). The patients demonstrated a rapid wound size reduction and fast healing. With the reduction in dressing changes, a lower cost of the treatment was calculated as well as reduced infection risk in the patients [180]. Vulnamin® has been demonstrated to be effective in patients with difficult-to-treat wounds such as venous leg ulcer management or diabetic foot ulcer management. Hyalomatrix® PA is a bio-resorbable dermal substitute made of esterified HA (HYAFF), commonly used as a dermal substitute for chronic wounds of different etiologies (vascular ulcer, diabetic foot, traumatic wounds, or pressure ulcers), deep burns, and full-thickness burns [173]. The clinical trials showed that re-epithelization was reached in 83% of ulcers after 16 days. 26% of wounds achieved 75% of re-epithelization within the 60-day follow-up period using this treatment. A follow-up showed that 84% of ulcers achieved complete re-epithelialization by secondary intention [87]. This product was used in pediatric burned patients as a temporary dermal substitute to cover deep partial-thickness burns after dermabrasion [181] and scalp wounds exposing dura or cranium [182].
Mikosinski et al. reported the efficacy and safety of an HA-impregnated gauze pad and an identical gauze pad without HA for treating chronic leg ulcers of vascular origin (Ialuset gauze pad). After 23 weeks, the ulcer area (relative to baseline) was significantly smaller in the HA gauze pad group (41.1%) compared with a neutral gauze pad group (81.6%, p = 0.008) [164].
Fotso et al. reported a retrospective observational study including children with second-degree burns covering less than 20% of the body surface and being less than 15 years old. The patients were treated within 24 h of the burning with Ialuset®. No side adverse effects and 96.3% of epithelialization were observed after 14 days [183].
Ialuset® vital cream was investigated for moderate atopic dermatitis in adults. De vita and collaborators showed that after one week of treatment, a significant decrease in the SCORAD index (Scoring Atopic Dermatitis) was observed in the treated group compared to the control group. The scored index evaluates the area of the lesions and the intensity of symptoms (redness, swelling, crusting, scratch, skin thickness, and dryness), as well as subjective symptoms such as eczema and pruritus severity [184]. Additional information on commercially available products and their outcomes is described in Table 3.
Table 3.
A list of selected products containing HA used for wound healing.
6. Conclusions and Perspectives
The chemical and biological features previously described make HA a very sophisticated and intricate molecule. The synthesis of HA, its molecular size, and its roles in metabolism are knit together in a very subtle interplay that can generate different functions in the cell. A multidisciplinary approach is necessary to understand and further investigate the relevant challenges. Many well-known molecular biologists have focused on the endogenous synthesis and degradation of HA. While chemists are known for modifying the molecule. But the language between the two sciences is unclear. Despite the extensive body of data available today, the role of HA, which has been addressed in many contexts, is still not fully understood. There are instead many more open and intriguing questions, such as: What about the other cell types expressing fewer HA receptors than do eosinophils? What about the old fibroblasts that produce and store HA outside the microcarrier matrix? Harvesting the cell culture medium after three days, did we remove all significant amounts of HA from inside the immobile cells and in the extracellular matrix, or are there different lifetimes for different HA’s nature, action, binding of HA receptors, or capacity to trigger immune responses in differently conformed molecules? What about the very high percentages of water in these old “fixed” fibroblasts? Do we think that their real concentration would be much lower than that determined using the calculations performed? These and many other unclear points relative to HA’s function are still open to discussion in biology, biochemistry, clinical diagnostics, and therapeutics. Derived from the present knowledge, researchers will address the issues by developing new therapeutic approaches.
The research conducted has focused on the interaction of HA with the receptor CD44, but there are still many questions. The influence of the molecular size of HA on clinical and functional efficacy remains debatable, as many authors have not described a correct physicochemical characterization, with substitution degrees unreported or wrongly determined, possessing high degrees of inconsistency. The use of non-validated analytic methodologies for characterizing is also generating a lack of reproducibility of biological data. Up to now, the physicochemical characterization of HA-based formulations is still not predictive of clinical outcomes by physicochemical characterization or is not explaining efficacy or function due to a biological effect. The mechanism of absorption, distribution, metabolism, and excretion of HA degradation products has to be investigated. A great question is if the results observed on animal models in terms of efficacy and regeneration can be expected in humans. The biocompatibility studies of HA should include bio-functionality, bioactivity, and biostability. The last question is how fast the new technologies can be translated to the patient due to complex formulations, which can be very costly.
Author Contributions
Conceptualization, G.H.-Á. and E.M.; methodology, G.H.-Á. All authors have read and agreed to the published version of the manuscript.
Funding
This research received no external funding.
Conflicts of Interest
The authors declare no conflicts of interest.
References
- Laurano, R.; Boffito, M.; Ciardelli, G.; Chiono, V. Wound dressing products: A translational investigation from the bench to the market. Eng. Regen. 2022, 3, 182–200. [Google Scholar] [CrossRef]
- Roehrs, H.; Stocco, J.G.; Pott, F.; Blanc, G.; Meier, M.J.; Dias, F.A. Dressings and topical agents containing hyaluronic acid for chronic wound healing. Cochrane Database Syst. Rev. 2023, 2023, 12. [Google Scholar] [CrossRef]
- Voigt, J.; Driver, V.R. Hyaluronic acid derivatives and their healing effect on burns, epithelial surgical wounds, and chronic wounds: A systematic review and meta-analysis of randomized controlled trials. Wound Repair Regen. 2012, 20, 317–331. [Google Scholar] [CrossRef] [PubMed]
- Prete, S.; Dattilo, M.; Patitucci, F.; Pezzi, G.; Parisi, O.I.; Puoci, F. Natural and Synthetic Polymeric Biomaterials for Application in Wound Management. J. Funct. Biomater. 2023, 14, 455. [Google Scholar] [CrossRef] [PubMed]
- Monami, M.; Ragghianti, B.; Scatena, A.; Miranda, C.; Monge, L.; Uccioli, L.; Stefanon, L.; Cappella, C.; Silverii, A.; Vermigli, C.; et al. Effectiveness of different advanced wound dressings versus standard of care for the management of diabetic foot ulcers: A meta-analysis of randomized controlled trials for the development of the Italian guidelines for the treatment of diabetic foot syndrome. Acta Diabetol. 2024, 61, 1517–1526. [Google Scholar] [CrossRef] [PubMed]
- Bourguignon, L.Y.W.; Wong, G.; Earle, C.A.; Xia, W. Interaction of low molecular weight hyaluronan with CD44 and toll-like receptors promotes the actin filament-associated protein 110-actin binding and MyD88-NFκB signaling leading to proinflammatory cytokine/chemokine production and breast tumor invasion. Cytoskeleton 2011, 68, 671–693. [Google Scholar] [CrossRef] [PubMed]
- Misra, S.; Hascall, V.C.; Markwald, R.R.; Ghatak, S. Interactions between Hyaluronan and Its Receptors (CD44, RHAMM) Regulate the Activities of Inflammation and Cancer. Front. Immunol. 2015, 6, 201. [Google Scholar] [CrossRef]
- Lin, C.-A.; Ho, H.-M.; Venkatesan, P.; Huang, C.-Y.; Cheng, Y.-J.; Lin, Y.-H.; Lin, H.-Y.; Chen, T.-Y.; Huang, M.-H.; Lai, P.-S. Hyaluronic Acid-Glycine-Cholesterol Conjugate-Based Nanoemulsion as a Potent Vaccine Adjuvant for T Cell-Mediated Immunity. Pharmaceutics 2021, 13, 1569. [Google Scholar] [CrossRef]
- Catanzano, O.; Docking, R.; Schofield, P.; Boateng, J. Advanced multi-targeted composite biomaterial dressing for pain and infection control in chronic leg ulcers. Carbohydr. Polym. 2017, 172, 40–48. [Google Scholar] [CrossRef] [PubMed]
- Jabbari, F.; Babaeipour, V.; Saharkhiz, S. Comprehensive review on biosynthesis of hyaluronic acid with different molecular weights and its biomedical applications. Int. J. Biol. Macromol. 2023, 240, 124484. [Google Scholar] [CrossRef]
- Kobayashi, T.; Chanmee, T.; Itano, N. Hyaluronan: Metabolism and Function. Biomolecules 2020, 10, 1525. [Google Scholar] [CrossRef]
- Maloney, F.P.; Kuklewicz, J.; Corey, R.A.; Bi, Y.; Ho, R.; Mateusiak, L.; Pardon, E.; Steyaert, J.; Stansfeld, P.J.; Zimmer, J. Structure, substrate recognition and initiation of hyaluronan synthase. Nature 2022, 604, 195–201. [Google Scholar] [CrossRef] [PubMed]
- Qiu, Y.; Ma, Y.; Huang, Y.; Li, S.; Xu, H.; Su, E. Current advances in the biosynthesis of hyaluronic acid with variable molecular weights. Carbohydr. Polym. 2021, 269, 118320. [Google Scholar] [CrossRef]
- Gottschalk, J.; Aßmann, M.; Kuballa, J.; Elling, L. Repetitive Synthesis of High-Molecular-Weight Hyaluronic Acid with Immobilized Enzyme Cascades. ChemSusChem 2022, 15, e202101071. [Google Scholar] [CrossRef]
- Žádníková, P.; Šínová, R.; Pavlík, V.; Šimek, M.; Šafránková, B.; Hermannová, M.; Nešporová, K.; Velebný, V. The Degradation of Hyaluronan in the Skin. Biomolecules 2022, 12, 251. [Google Scholar] [CrossRef] [PubMed]
- Shah, M.V.; Badle, S.S.; Ramachandran, K.B. Hyaluronic acid production and molecular weight improvement by redirection of carbon flux towards its biosynthesis pathway. Biochem. Eng. J. 2013, 80, 53–60. [Google Scholar] [CrossRef]
- Sampson, P.M.; Rochester, C.L.; Freundlich, B.; Elias, J.A. Cytokine regulation of human lung fibroblast hyaluronan (hyaluronic acid) production. Evidence for cytokine-regulated hyaluronan (hyaluronic acid) degradation and human lung fibroblast-derived hyaluronidase. J. Clin. Investig. 1992, 90, 1492–1503. [Google Scholar] [CrossRef] [PubMed]
- Pastwińska, J.; Walczak-Drzewiecka, A.; Kozłowska, E.; Harunari, E.; Ratajewski, M.; Dastych, J. Hypoxia modulates human mast cell adhesion to hyaluronic acid. Immunol. Res. 2022, 70, 152–160. [Google Scholar] [CrossRef] [PubMed]
- Thackham, J.A.; McElwain, D.L.S.; Long, R.J. The use of hyperbaric oxygen therapy to treat chronic wounds: A review. Wound Repair Regen. 2008, 16, 321–330. [Google Scholar] [CrossRef]
- Bandzerewicz, A.; Gadomska-Gajadhur, A. Into the Tissues: Extracellular Matrix and Its Artificial Substitutes: Cell Signalling Mechanisms. Cells 2022, 11, 914. [Google Scholar] [CrossRef]
- Wu, F.; Yang, J.; Liu, J.; Wang, Y.; Mu, J.; Zeng, Q.; Deng, S.; Zhou, H. Signaling pathways in cancer-associated fibroblasts and targeted therapy for cancer. Signal Transduct. Target. Ther. 2021, 6, 218. [Google Scholar] [CrossRef]
- Donelan, W.; Dominguez-Gutierrez, P.R.; Kusmartsev, S. Deregulated hyaluronan metabolism in the tumor microenvironment drives cancer inflammation and tumor-associated immune suppression. Front. Immunol. 2022, 13, 971278. [Google Scholar] [CrossRef]
- Carvalho, A.M.; Reis, R.L.; Pashkuleva, I. Hyaluronan Receptors as Mediators and Modulators of the Tumor Microenvironment. Adv. Healthc. Mater. 2023, 12, 2202118. [Google Scholar] [CrossRef]
- Buhren, B.A.; Schrumpf, H.; Gorges, K.; Reiners, O.; Bölke, E.; Fischer, J.W.; Homey, B.; Gerber, P.A. Dose- and time-dependent effects of hyaluronidase on structural cells and the extracellular matrix of the skin. Eur. J. Med. Res. 2020, 25, 60. [Google Scholar] [CrossRef] [PubMed]
- Juhaščik, M.; Kováčik, A.; Huerta-Ángeles, G. Recent Advances of Hyaluronan for Skin Delivery: From Structure to Fabrication Strategies and Applications. Polymers 2022, 14(22), 4833. [Google Scholar] [CrossRef]
- Knab, K.; Chambers, D.; Krönke, G. Synovial Macrophage and Fibroblast Heterogeneity in Joint Homeostasis and Inflammation. Front. Med. 2022, 9, 862161. [Google Scholar] [CrossRef]
- Guo, Y.; Wei, T.; Hu, N.; Zhou, X. Disrupted homeostasis of synovial hyaluronic acid and its associations with synovial mast cell proteases of rheumatoid arthritis patients and collagen-induced arthritis rats. Immunol. Res. 2021, 69, 584–593. [Google Scholar] [CrossRef]
- Fasanello, D.C.; Su, J.; Deng, S.; Yin, R.; Colville, M.J.; Berenson, J.M.; Kelly, C.M.; Freer, H.; Rollins, A.; Wagner, B.; et al. Hyaluronic acid synthesis, degradation, and crosslinking in equine osteoarthritis: TNF-α-TSG-6-mediated HC-HA formation. Arthritis Res. Ther. 2021, 23, 218. [Google Scholar] [CrossRef] [PubMed]
- Huerta-Ángeles, G.; Ondreáš, F.; Brandejsová, M.; Kopecká, K.; Vagnerová, H.; Kulhánek, J.; Drmota, T. Formulation of hyaluronan grafted with dodecanoic acid as a potential ophthalmic treatment. Carbohydr. Polym. 2020, 246, 116578. [Google Scholar] [CrossRef] [PubMed]
- Suarez-Fueyo, A.; Tsokos, M.G.; Kwok, S.-K.; Maeda, K.; Katsuyama, E.; Lapchak, P.H.; Tsokos, G.C. Hyaluronic Acid Synthesis Contributes to Tissue Damage in Systemic Lupus Erythematosus. Front. Immunol. 2019, 10, 2172. [Google Scholar] [CrossRef] [PubMed]
- Andreani, L.; Giuntoli, M.; Addevico, F.; Aringhieri, G.; Cosottini, M.; Marchetti, S. The effect of viscosupplementation on early-stage knee osteoarthritis: Clinical evaluation and assessment of cartilage in vivo with 7 T MRI. J. Clin. Orthop. Trauma 2021, 19, 53–61. [Google Scholar] [CrossRef]
- Meran, S.; Thomas, D.W.; Stephens, P.; Enoch, S.; Martin, J.; Steadman, R.; Phillips, A.O. Hyaluronan Facilitates Transforming Growth Factor-β1-mediated Fibroblast Proliferation. J. Biol. Chem. 2008, 283, 6530–6545. [Google Scholar] [CrossRef]
- Tolg, C.; Telmer, P.; Turley, E. Specific Sizes of Hyaluronan Oligosaccharides Stimulate Fibroblast Migration and Excisional Wound Repair. PLoS ONE 2014, 9, e88479. [Google Scholar] [CrossRef] [PubMed]
- Håkansson, L.; Hällgren, R.; Venge, P. Regulation of granulocyte function by hyaluronic acid. In vitro and in vivo effects on phagocytosis, locomotion, and metabolism. J. Clin. Investig. 1980, 66, 298–305. [Google Scholar] [CrossRef] [PubMed]
- Johnson, K.E.; Wilgus, T.A. Vascular Endothelial Growth Factor and Angiogenesis in the Regulation of Cutaneous Wound Repair. Adv. Wound Care 2014, 3, 647–661. [Google Scholar] [CrossRef]
- Niemietz, I.; Brown, K.L. Hyaluronan promotes intracellular ROS production and apoptosis in TNFα-stimulated neutrophils. Front. Immunol. 2023, 14, 1032469. [Google Scholar] [CrossRef]
- Rayahin, J.E.; Buhrman, J.S.; Zhang, Y.; Koh, T.J.; Gemeinhart, R.A. High and Low Molecular Weight Hyaluronic Acid Differentially Influence Macrophage Activation. ACS Biomater. Sci. Eng. 2015, 1, 481–493. [Google Scholar] [CrossRef] [PubMed]
- Kim, H.; Cha, J.; Jang, M.; Kim, P. Hyaluronic acid-based extracellular matrix triggers spontaneous M2-like polarity of monocyte/macrophage. Biomater. Sci. 2019, 7, 2264–2271. [Google Scholar] [CrossRef] [PubMed]
- Campo, G.M.; Avenoso, A.; Campo, S.; D’Ascola, A.; Nastasi, G.; Calatroni, A. Molecular size hyaluronan differently modulates toll-like receptor-4 in LPS-induced inflammation in mouse chondrocytes. Biochimie 2010, 92, 204–215. [Google Scholar] [CrossRef] [PubMed]
- Gao, F.; Liu, Y.; He, Y.; Yang, C.; Wang, Y.; Shi, X.; Wei, G. Hyaluronan oligosaccharides promote excisional wound healing through enhanced angiogenesis. Matrix Biol. 2010, 29, 107–116. [Google Scholar] [CrossRef]
- Gao, Y.; Sun, Y.; Yang, H.; Qiu, P.; Cong, Z.; Zou, Y.; Song, L.; Guo, J.; Anastassiades, T.P. A Low Molecular Weight Hyaluronic Acid Derivative Accelerates Excisional Wound Healing by Modulating Pro-Inflammation, Promoting Epithelialization and Neovascularization, and Remodeling Collagen. Int. J. Mol. Sci. 2019, 20, 3722. [Google Scholar] [CrossRef]
- Xiao, T.; Yan, Z.; Xiao, S.; Xia, Y. Proinflammatory cytokines regulate epidermal stem cells in wound epithelialization. Stem Cell Res. Ther. 2020, 11, 232. [Google Scholar] [CrossRef] [PubMed]
- Rao, S.S.; Prabhu, A.; Kudkuli, J.; Surya, S.; Rekha, P.D. Hyaluronic acid sustains platelet stability with prolonged growth factor release and accelerates wound healing by enhancing proliferation and collagen deposition in diabetic mice. J. Drug Deliv. Sci. Technol. 2022, 67, 102898. [Google Scholar] [CrossRef]
- Salminen, A.; Kaarniranta, K.; Kauppinen, A. Tissue fibroblasts are versatile immune regulators: An evaluation of their impact on the aging process. Ageing Res. Rev. 2024, 97, 102296. [Google Scholar] [CrossRef]
- Shang, L.; Li, M.; Xu, A.; Zhuo, F. Recent applications and molecular mechanisms of hyaluronic acid in skin aging and wound healing. Med. Nov. Technol. Devices 2024, 23, 100320. [Google Scholar] [CrossRef]
- Chistyakov, D.V.; Astakhova, A.A.; Azbukina, N.V.; Goriainov, S.V.; Chistyakov, V.V.; Sergeeva, M.G. High and Low Molecular Weight Hyaluronic Acid Differentially Influences Oxylipins Synthesis in Course of Neuroinflammation. Int. J. Mol. Sci. 2019, 20, 3894. [Google Scholar] [CrossRef] [PubMed]
- Akhurst, R.J.; Hata, A. Targeting the TGFβ signalling pathway in disease. Nat. Rev. Drug Discov. 2012, 11, 790–811. [Google Scholar] [CrossRef] [PubMed]
- Čožíková, D.; Šílová, T.; Moravcová, V.; Šmejkalová, D.; Pepeliaev, S.; Velebný, V.; Hermannová, M. Preparation and extensive characterization of hyaluronan with narrow molecular weight distribution. Carbohydr. Polym. 2017, 160, 134–142. [Google Scholar] [CrossRef]
- Suárez-Hernández, L.A.; Camacho-Ruíz, R.M.; Arriola-Guevara, E.; Padilla-Camberos, E.; Kirchmayr, M.R.; Corona-González, R.I.; Guatemala-Morales, G.M. Validation of an Analytical Method for the Simultaneous Determination of Hyaluronic Acid Concentration and Molecular Weight by Size-Exclusion Chromatography. Molecules 2021, 26, 5360. [Google Scholar] [CrossRef] [PubMed]
- Kawano, Y.; Patrulea, V.; Sublet, E.; Borchard, G.; Iyoda, T.; Kageyama, R.; Morita, A.; Seino, S.; Yoshida, H.; Jordan, O.; et al. Wound Healing Promotion by Hyaluronic Acid: Effect of Molecular Weight on Gene Expression and In Vivo Wound Closure. Pharmaceuticals 2021, 14, 301. [Google Scholar] [CrossRef] [PubMed]
- Lee, B.M.; Park, S.J.; Noh, I.; Kim, C.-H. The effects of the molecular weights of hyaluronic acid on the immune responses. Biomater. Res. 2021, 25, 27. [Google Scholar] [CrossRef] [PubMed]
- Huang, L.; Wang, Y.; Liu, H.; Huang, J. Local injection of high-molecular hyaluronan promotes wound healing in old rats by increasing angiogenesis. Oncotarget 2018, 9, 8241–8252. [Google Scholar] [CrossRef] [PubMed]
- Tavianatou, A.G.; Caon, I.; Franchi, M.; Piperigkou, Z.; Galesso, D.; Karamanos, N.K. Hyaluronan: Molecular size-dependent signaling and biological functions in inflammation and cancer. FEBS J. 2019, 286, 2883–2908. [Google Scholar] [CrossRef] [PubMed]
- Ruppert, S.M.; Hawn, T.R.; Arrigoni, A.; Wight, T.N.; Bollyky, P.L. Tissue integrity signals communicated by high-molecular weight hyaluronan and the resolution of inflammation. Immunol. Res. 2014, 58, 186–192. [Google Scholar] [CrossRef] [PubMed]
- Wang, Y.; Han, G.; Guo, B.; Huang, J. Hyaluronan oligosaccharides promote diabetic wound healing by increasing angiogenesis. Pharmacol. Rep. 2016, 68, 1126–1132. [Google Scholar] [CrossRef]
- Huerta-Ángeles, G.; Nešporová, K.; Ambrožová, G.; Kubala, L.; Velebný, V. An Effective Translation: The Development of Hyaluronan-Based Medical Products From the Physicochemical, and Preclinical Aspects. Front. Bioeng. Biotechnol. 2018, 6, 62. [Google Scholar] [CrossRef]
- Loebel, C.; D’Este, M.; Alini, M.; Zenobi-Wong, M.; Eglin, D. Precise tailoring of tyramine-based hyaluronan hydrogel properties using DMTMM conjugation. Carbohydr. Polym. 2015, 115, 325–333. [Google Scholar] [CrossRef]
- Cadete, A.; Olivera, A.; Besev, M.; Dhal, P.K.; Gonçalves, L.; Almeida, A.J.; Bastiat, G.; Benoit, J.-P.; De La Fuente, M.; Garcia-Fuentes, M.; et al. Self-assembled hyaluronan nanocapsules for the intracellular delivery of anticancer drugs. Sci. Rep. 2019, 9, 11565. [Google Scholar] [CrossRef] [PubMed]
- Huerta-Angeles, G.; Šmejkalová, D.; Chládková, D.; Ehlová, T.; Buffa, R.; Velebný, V. Synthesis of highly substituted amide hyaluronan derivatives with tailored degree of substitution and their crosslinking via click chemistry. Carbohydr. Polym. 2011, 84, 1293–1300. [Google Scholar] [CrossRef]
- D’Este, M.; Alini, M.; Eglin, D. Single step synthesis and characterization of thermoresponsive hyaluronan hydrogels. Carbohydr. Polym. 2012, 90, 1378–1385. [Google Scholar] [CrossRef]
- Waddad, A.Y.; Ramharack, P.; Soliman, M.E.S.; Govender, T. Grafted hyaluronic acid N-acetyl-l-methionine for targeting of LAT1 receptor: In-silico, synthesis and microscale thermophoresis studies. Int. J. Biol. Macromol. 2019, 125, 767–777. [Google Scholar] [CrossRef] [PubMed]
- Wang, H.; Li, Y.; Min, Y.; Zhang, H.; Hao, L.; Zhang, R.; Jiang, Y.; Song, Y. Preparation and properties of Pue-loaded HA-ADH-PS nanomicelles. Des. Monomers Polym. 2021, 24, 1–12. [Google Scholar] [CrossRef] [PubMed]
- Yang, H.; Song, L.; Sun, B.; Chu, D.; Yang, L.; Li, M.; Li, H.; Dai, Y.; Yu, Z.; Guo, J. Modulation of macrophages by a paeoniflorin-loaded hyaluronic acid-based hydrogel promotes diabetic wound healing. Mater. Today Bio 2021, 12, 100139. [Google Scholar] [CrossRef]
- Luo, P.; Liu, L.; Xu, W.; Fan, L.; Nie, M. Preparation and characterization of aminated hyaluronic acid/oxidized hydroxyethyl cellulose hydrogel. Carbohydr. Polym. 2018, 199, 170–177. [Google Scholar] [CrossRef]
- Li, S.; Dong, Q.; Peng, X.; Chen, Y.; Yang, H.; Xu, W.; Zhao, Y.; Xiao, P.; Zhou, Y. Self-Healing Hyaluronic Acid Nanocomposite Hydrogels with Platelet-Rich Plasma Impregnated for Skin Regeneration. ACS Nano 2022, 16, 11346–11359. [Google Scholar] [CrossRef]
- Qiu, Y.; Lu, C.; Chen, P.; Sun, F.; Wang, D.; Wang, Z.; Hou, C.; Mu, H.; Duan, J. Synergistic clearance of intracellular pathogens by hyaluronan-streptomycin micelles encapsulated with rapamycin. Carbohydr. Polym. 2019, 210, 364–371. [Google Scholar] [CrossRef]
- Xu, Y.; Lu, G.; Chen, M.; Wang, P.; Li, Z.; Han, X.; Liang, J.; Sun, Y.; Fan, Y.; Zhang, X. Redox and pH dual-responsive injectable hyaluronan hydrogels with shape-recovery and self-healing properties for protein and cell delivery. Carbohydr. Polym. 2020, 250, 116979. [Google Scholar] [CrossRef]
- Cao, H.; Li, Z.; Chen, Y.; Zhu, J.; Chen, M.; Lei, H.; Xiao, Y.; Liang, J.; Yuan, T.; Sun, Y.; et al. Viscoelasticity microenvironment constructed by self-crosslinking hyaluronan hybrid hydrogels regulates chondrogenic differentiation of mesenchymal stem cells. Compos. Part B Eng. 2023, 263, 110871. [Google Scholar] [CrossRef]
- Silva Garcia, J.M.; Panitch, A.; Calve, S. Functionalization of hyaluronic acid hydrogels with ECM-derived peptides to control myoblast behavior. Acta Biomater. 2019, 84, 169–179. [Google Scholar] [CrossRef] [PubMed]
- Zhong, C.; Gurry, T.; Cheng, A.A.; Downey, J.; Deng, Z.; Stultz, C.M.; Lu, T.K. Strong underwater adhesives made by self-assembling multi-protein nanofibres. Nat. Nanotechnol. 2014, 9, 858–866. [Google Scholar] [CrossRef] [PubMed]
- Liu, S.; Jiang, N.; Chi, Y.; Peng, Q.; Dai, G.; Qian, L.; Xu, K.; Zhong, W.; Yue, W. Injectable and Self-Healing Hydrogel Based on Chitosan-Tannic Acid and Oxidized Hyaluronic Acid for Wound Healing. ACS Biomater. Sci. Eng. 2022, 8, 3754–3764. [Google Scholar] [CrossRef]
- Zhou, Z.; Chen, Z.; Ji, C.; Wu, C.; Li, J.; Ma, Y.; Jin, S.; Fang, X.; Wu, Y.; Xun, J.; et al. A dopamine-assisted antioxidative in situ-forming hydrogel with photothermal therapy for enhancing scarless burn wound healing. Chem. Eng. J. 2024, 498, 155389. [Google Scholar] [CrossRef]
- Yegappan, R.; Selvaprithiviraj, V.; Mohandas, A.; Jayakumar, R. Nano polydopamine crosslinked thiol-functionalized hyaluronic acid hydrogel for angiogenic drug delivery. Colloids Surf. B Biointerfaces 2019, 177, 41–49. [Google Scholar] [CrossRef] [PubMed]
- Ying, H.; Zhou, J.; Wang, M.; Su, D.; Ma, Q.; Lv, G.; Chen, J. In situ formed collagen-hyaluronic acid hydrogel as biomimetic dressing for promoting spontaneous wound healing. Mater. Sci. Eng. C 2019, 101, 487–498. [Google Scholar] [CrossRef] [PubMed]
- Yang, C.; Zhang, Y.; Zhang, X.; Tang, P.; Zheng, T.; Ran, R.; Li, G. An injectable, self-healing, and antioxidant collagen- and hyaluronic acid-based hydrogel mediated with gallic acid and dopamine for wound repair. Carbohydr. Polym. 2023, 320, 121231. [Google Scholar] [CrossRef]
- Fan, P.; Dong, Q.; Yang, J.; Chen, Y.; Yang, H.; Gu, S.; Xu, W.; Zhou, Y. Flexible dual-functionalized hyaluronic acid hydrogel adhesives formed in situ for rapid hemostasis. Carbohydr. Polym. 2023, 313, 120854. [Google Scholar] [CrossRef] [PubMed]
- Everts, P.; Onishi, K.; Jayaram, P.; Lana, J.F.; Mautner, K. Platelet-Rich Plasma: New Performance Understandings and Therapeutic Considerations in 2020. Int. J. Mol. Sci. 2020, 21, 7794. [Google Scholar] [CrossRef] [PubMed]
- Freedman, B.R.; Kuttler, A.; Beckmann, N.; Nam, S.; Kent, D.; Schuleit, M.; Ramazani, F.; Accart, N.; Rock, A.; Li, J.; et al. Enhanced tendon healing by a tough hydrogel with an adhesive side and high drug-loading capacity. Nat. Biomed. Eng. 2022, 6, 1167–1179. [Google Scholar] [CrossRef] [PubMed]
- Duan, W.; Jin, X.; Zhao, Y.; Martin-Saldaña, S.; Li, S.; Qiao, L.; Shao, L.; Zhu, B.; Hu, S.; Li, F.; et al. Engineering injectable hyaluronic acid-based adhesive hydrogels with anchored PRP to pattern the micro-environment to accelerate diabetic wound healing. Carbohydr. Polym. 2024, 337, 122146. [Google Scholar] [CrossRef] [PubMed]
- Wei, S.; Xu, P.; Yao, Z.; Cui, X.; Lei, X.; Li, L.; Dong, Y.; Zhu, W.; Guo, R.; Cheng, B. A composite hydrogel with co-delivery of antimicrobial peptides and platelet-rich plasma to enhance healing of infected wounds in diabetes. Acta Biomater. 2021, 124, 205–218. [Google Scholar] [CrossRef]
- Li, P.; Guo, X. A review: Therapeutic potential of adipose-derived stem cells in cutaneous wound healing and regeneration. Stem Cell Res. Ther. 2018, 9, 302. [Google Scholar] [CrossRef]
- Pak, C.S.; Heo, C.Y.; Shin, J.; Moon, S.Y.; Cho, S.-W.; Kang, H.J. Effects of a Catechol-Functionalized Hyaluronic Acid Patch Combined with Human Adipose-Derived Stem Cells in Diabetic Wound Healing. Int. J. Mol. Sci. 2021, 22, 2632. [Google Scholar] [CrossRef]
- Ren, Y.; Ma, S.; Zhang, D.; Guo, S.; Chang, R.; He, Y.; Yao, M.; Guan, F. Functionalized injectable hyaluronic acid hydrogel with antioxidative and photothermal antibacterial activity for infected wound healing. Int. J. Biol. Macromol. 2022, 210, 218–232. [Google Scholar] [CrossRef] [PubMed]
- Yu, N.; Wang, X.; Qiu, L.; Cai, T.; Jiang, C.; Sun, Y.; Li, Y.; Peng, H.; Xiong, H. Bacteria-triggered hyaluronan/AgNPs/gentamicin nanocarrier for synergistic bacteria disinfection and wound healing application. Chem. Eng. J. 2020, 380, 122582. [Google Scholar] [CrossRef]
- Rehman, J.; Traktuev, D.; Li, J.; Merfeld-Clauss, S.; Temm-Grove, C.J.; Bovenkerk, J.E.; Pell, C.L.; Johnstone, B.H.; Considine, R.V.; March, K.L. Secretion of Angiogenic and Antiapoptotic Factors by Human Adipose Stromal Cells. Circulation 2004, 109, 1292–1298. [Google Scholar] [CrossRef]
- Zhang, Y.; Zheng, Y.; Shu, F.; Zhou, R.; Bao, B.; Xiao, S.; Li, K.; Lin, Q.; Zhu, L.; Xia, Z. In situ-formed adhesive hyaluronic acid hydrogel with prolonged amnion-derived conditioned medium release for diabetic wound repair. Carbohydr. Polym. 2022, 276, 118752. [Google Scholar] [CrossRef]
- Caravaggi, C.; De Giglio, R.; Pritelli, C.; Sommaria, M.; Dalla Noce, S.; Faglia, E.; Mantero, M.; Clerici, G.; Fratino, P.; Dalla Paola, L.; et al. HYAFF 11-Based Autologous Dermal and Epidermal Grafts in the Treatment of Noninfected Diabetic Plantar and Dorsal Foot Ulcers. Diabetes Care 2003, 26, 2853–2859. [Google Scholar] [CrossRef] [PubMed]
- Zou, Y.; Zhou, C.; Li, Z.; Han, X.; Tong, L.; Liu, T.; Xiong, L.; Bai, L.; Liang, J.; Fan, Y.; et al. Hydrophobic Tetracycline Immobilized in Fibrous Hyaluronan Regulates Adhesive Collagen-Based Hydrogel Stability for Infected Wound Healing. Small 2023, 19, 2303414. [Google Scholar] [CrossRef] [PubMed]
- Jenks, M.; Craig, J.; Green, W.; Hewitt, N.; Arber, M.; Sims, A. Tegaderm CHG IV Securement Dressing for Central Venous and Arterial Catheter Insertion Sites: A NICE Medical Technology Guidance. Appl. Health Econ. Health Policy. 2016, 14, 135–149. [Google Scholar] [CrossRef] [PubMed]
- Sharma, M.; Sahu, K.; Singh, S.P.; Jain, B. Wound healing activity of curcumin conjugated to hyaluronic acid: In vitro and in vivo evaluation. Artif. Cells Nanomed. Biotechnol. 2018, 46, 1009–1017. [Google Scholar] [CrossRef] [PubMed]
- De Boulle, K.; Glogau, R.; Kono, T.; Nathan, M.; Tezel, A.; Roca-Martinez, J.-X.; Paliwal, S.; Stroumpoulis, D. A Review of the Metabolism of 1,4-Butanediol Diglycidyl Ether-Crosslinked Hyaluronic Acid Dermal Fillers. Dermatol. Surg. 2013, 39, 1758–1766. [Google Scholar] [CrossRef] [PubMed]
- Øvrebø, Ø.; Giorgi, Z.; De Lauretis, A.; Vanoli, V.; Castiglione, F.; Briatico-Vangosa, F.; Ma, Q.; Perale, G.; Haugen, H.J.; Rossi, F. Characterisation and biocompatibility of crosslinked hyaluronic acid with BDDE and PEGDE for clinical applications. React. Funct. Polym. 2024, 200, 105920. [Google Scholar] [CrossRef]
- Andrade Del Olmo, J.; Pérez-Álvarez, L.; Sáez Martínez, V.; Benito Cid, S.; Pérez González, R.; Vilas-Vilela, J.L.; Alonso, J.M. Drug Delivery from Hyaluronic Acid–BDDE Injectable Hydrogels for Antibacterial and Anti-Inflammatory Applications. Gels 2022, 8, 223. [Google Scholar] [CrossRef] [PubMed]
- Pravata, L.; Braud, C.; Boustta, M.; El Ghzaoui, A.; Tømmeraas, K.; Guillaumie, F.; Schwach-Abdellaoui, K.; Vert, M. New Amphiphilic Lactic Acid Oligomer−Hyaluronan Conjugates: Synthesis and Physicochemical Characterization. Biomacromolecules 2008, 9, 340–348. [Google Scholar] [CrossRef]
- Huerta-Angeles, G.; Brandejsová, M.; Nigmatullin, R.; Kopecká, K.; Vágnerová, H.; Šmejkalová, D.; Roy, I.; Velebný, V. Synthesis of graft copolymers based on hyaluronan and poly(3-hydroxyalkanoates). Carbohydr. Polym. 2017, 171, 220–228. [Google Scholar] [CrossRef]
- Bhatnagar, P.; Kumari, M.; Pahuja, R.; Pant, A.B.; Shukla, Y.; Kumar, P.; Gupta, K.C. Hyaluronic acid-grafted PLGA nanoparticles for the sustained delivery of berberine chloride for an efficient suppression of Ehrlich ascites tumors. Drug Deliv. Transl. Res. 2018, 8, 565–579. [Google Scholar] [CrossRef] [PubMed]
- Zerrillo, L.; Gigliobianco, M.R.; D’Atri, D.; Garcia, J.P.; Baldazzi, F.; Ridwan, Y.; Fuentes, G.; Chan, A.; Creemers, L.B.; Censi, R.; et al. PLGA Nanoparticles Grafted with Hyaluronic Acid to Improve Site-Specificity and Drug Dose Delivery in Osteoarthritis Nanotherapy. Nanomaterials 2022, 12, 2248. [Google Scholar] [CrossRef] [PubMed]
- Qin, X.-H.; Gruber, P.; Markovic, M.; Plochberger, B.; Klotzsch, E.; Stampfl, J.; Ovsianikov, A.; Liska, R. Enzymatic synthesis of hyaluronic acid vinyl esters for two-photon microfabrication of biocompatible and biodegradable hydrogel constructs. Polym Chem 2014, 5, 6523–6533. [Google Scholar] [CrossRef]
- Skardal, A.; Zhang, J.; McCoard, L.; Xu, X.; Oottamasathien, S.; Prestwich, G.D. Photocrosslinkable Hyaluronan-Gelatin Hydrogels for Two-Step Bioprinting. Tissue Eng. Part A 2010, 16, 2675–2685. [Google Scholar] [CrossRef]
- Oudshoorn, M.H.M.; Rissmann, R.; Bouwstra, J.A.; Hennink, W.E. Synthesis of methacrylated hyaluronic acid with tailored degree of substitution. Polymer 2007, 48, 1915–1920. [Google Scholar] [CrossRef]
- D’Amora, U.; Ronca, A.; Raucci, M.G.; Dozio, S.M.; Lin, H.; Fan, Y.; Zhang, X.; Ambrosio, L. In situ sol-gel synthesis of hyaluronan derivatives bio-nanocomposite hydrogels. Regen. Biomater. 2019, 6, 249–258. [Google Scholar] [CrossRef] [PubMed]
- Zhang, C.; Dong, Q.; Liang, K.; Zhou, D.; Yang, H.; Liu, X.; Xu, W.; Zhou, Y.; Xiao, P. Photopolymerizable thiol-acrylate maleiated hyaluronic acid/thiol-terminated poly(ethylene glycol) hydrogels as potential in-situ formable scaffolds. Int. J. Biol. Macromol. 2018, 119, 270–277. [Google Scholar] [CrossRef] [PubMed]
- Wang, S.; Ren, K.; Zhang, M.; Shen, L.; Zhou, G.; Ding, Y.; Xin, Q.; Luo, J.; Xie, J.; Li, J. Self-Adhesive, Strong Antifouling, and Mechanically Reinforced Methacrylate Hyaluronic Acid Cross-Linked Carboxybetaine Zwitterionic Hydrogels. Biomacromolecules 2024, 25, 474–485. [Google Scholar] [CrossRef] [PubMed]
- Cappelli, A.; Grisci, G.; Paolino, M.; Giuliani, G.; Donati, A.; Mendichi, R.; Artusi, R.; Demiranda, M.; Zanardi, A.; Giorgi, G.; et al. Hyaluronan derivatives bearing variable densities of ferulic acid residues. J. Mater. Chem. B 2014, 2, 4489–4499. [Google Scholar] [CrossRef]
- Achbergerová, E.; Šmejkalová, D.; Huerta-Angeles, G.; Souček, K.; Hermannová, M.; Vágnerová, H.; Vícha, R.; Velebný, V. In vivo monitoring of tumor distribution of hyaluronan polymeric micelles labeled or loaded with near-infrared fluorescence dye. Carbohydr. Polym. 2018, 198, 339–347. [Google Scholar] [CrossRef] [PubMed]
- Huerta-Angeles, G.; Bobek, M.; Příkopová, E.; Šmejkalová, D.; Velebný, V. Novel synthetic method for the preparation of amphiphilic hyaluronan by means of aliphatic aromatic anhydrides. Carbohydr. Polym. 2014, 111, 883–891. [Google Scholar] [CrossRef]
- Tømmeraas, K.; Mellergaard, M.; Malle, B.M.; Skagerlind, P. New amphiphilic hyaluronan derivatives based on modification with alkenyl and aryl succinic anhydrides. Carbohydr. Polym. 2011, 85, 173–179. [Google Scholar] [CrossRef]
- Relleve, L.S.; Gallardo, A.K.R.; Abad, L.V. Radiation crosslinking of carboxymethyl hyaluronic acid. Radiat. Phys. Chem. 2018, 151, 211–216. [Google Scholar] [CrossRef]
- Jiang, M.; Yang, S.-Z.; Zhang, X.-Y.; Zhang, L.-Z.; Gong, J.-S.; Han, T.-T.; Chen, Y.; Wang, X.-N.; Shi, J.-S. Protective effect of ferulic acid-hyaluronic acid copolymer against UVB irradiation in a human HaCaT cell line. Int. J. Biol. Macromol. 2024, 279, 135570. [Google Scholar] [CrossRef]
- Vasi, A.-M.; Popa, M.I.; Butnaru, M.; Dodi, G.; Verestiuc, L. Chemical functionalization of hyaluronic acid for drug delivery applications. Mater. Sci. Eng. C 2014, 38, 177–185. [Google Scholar] [CrossRef]
- Lin, H.; Liu, J.; Zhang, K.; Fan, Y.; Zhang, X. Dynamic mechanical and swelling properties of maleated hyaluronic acid hydrogels. Carbohydr. Polym. 2015, 123, 381–389. [Google Scholar] [CrossRef]
- Huerta-Ángeles, G.; Brandejsová, M.; Novotný, J.; Kopecká, K.; Šógorková, J.; Šmejkalová, D.; Velebný, V. Grafting of steroids to hyaluronan towards the design of delivery systems for antioxidants: The role of hydrophobic core. Carbohydr. Polym. 2018, 193, 383–392. [Google Scholar] [CrossRef]
- Huerta-Ángeles, G.; Brandejsová, M.; Štěpán, P.; Pavlík, V.; Starigazdová, J.; Orzol, P.; Kopecká, K.; Halamková, P.; Kulhánek, J.; Velebný, V. Retinoic acid grafted to hyaluronan for skin delivery: Synthesis, stability studies, and biological evaluation. Carbohydr. Polym. 2020, 231, 115733. [Google Scholar] [CrossRef] [PubMed]
- Štrympl, O.; Vohlídal, J.; Hermannová, M.; Maldonado-Domínguez, M.; Brandejsová, M.; Kopecká, K.; Velebný, V.; Huerta-Ángeles, G. Oleate-modified hyaluronan: Controlling the number and distribution of side chains by varying the reaction conditions. Carbohydr. Polym. 2021, 267, 118197. [Google Scholar] [CrossRef]
- Juhaščik, M.; Štarmanová, K.; Brandejsová, M.; Večeřová, P.; Hermannová, M.; Exnerová, A.; Vagnerová, H.; Štrympl, O.; Nešporová, K.; Kováčik, A.; et al. Synthesis and self-assembling of hyaluronan grafted with ceramide NP for topical drug delivery. Carbohydr. Polym. 2023, 321, 121283. [Google Scholar] [CrossRef] [PubMed]
- Hauck, S.; Zager, P.; Halfter, N.; Wandel, E.; Torregrossa, M.; Kakpenova, A.; Rother, S.; Ordieres, M.; Räthel, S.; Berg, A.; et al. Collagen/hyaluronan based hydrogels releasing sulfated hyaluronan improve dermal wound healing in diabetic mice via reducing inflammatory macrophage activity. Bioact. Mater. 2021, 6, 4342–4359. [Google Scholar] [CrossRef]
- Song, W.; Choi, Y.H.; Moon, Y.G.; Lee, C.; Sundaram, M.N.; Hwang, N.S. Mussel-inspired sulfated hyaluronan cryogel patch with antioxidant, anti-inflammatory, and drug-loading properties for multifunctional wound adhesives. Bioact. Mater. 2024, 40, 582–596. [Google Scholar] [CrossRef] [PubMed]
- Hempel, U.; Matthäus, C.; Preissler, C.; Möller, S.; Hintze, V.; Dieter, P. Artificial Matrices With High-Sulfated Glycosaminoglycans and Collagen Are Anti-Inflammatory and Pro-Osteogenic for Human Mesenchymal Stromal Cells. J. Cell. Biochem. 2014, 115, 1561–1571. [Google Scholar] [CrossRef]
- Yu, Y.; Zhu, S.; Hou, Y.; Li, J.; Guan, S. Sulfur Contents in Sulfonated Hyaluronic Acid Direct the Cardiovascular Cells Fate. ACS Appl. Mater. Interfaces 2020, 12, 46827–46836. [Google Scholar] [CrossRef] [PubMed]
- Xue, Z.; Sun, X.; Li, H.; Iqbal, M.; Hou, Y.; Jin, Z.; Li, J. Response of cardiovascular environment to sulfonated hyaluronic acid with higher sulfur content. Colloids Surf. B Biointerfaces 2023, 222, 113046. [Google Scholar] [CrossRef]
- Zhong, S.; Lu, C.; Liu, H.-Y.; Zhang, J.; Wang, J.; Liu, Y.; Chen, Y.; Zhang, X. Electrical and immune stimulation-based hydrogels synergistically realize scarless wound healing via amplifying endogenous electrophysiological function and promoting Macrophage Phenotype-Switching. Chem. Eng. J. 2024, 491, 152048. [Google Scholar] [CrossRef]
- Šedová, P.; Buffa, R.; Kettou, S.; Huerta-Angeles, G.; Hermannová, M.; Leierová, V.; Šmejkalová, D.; Moravcová, M.; Velebný, V. Preparation of hyaluronan polyaldehyde—A precursor of biopolymer conjugates. Carbohydr. Res. 2013, 371, 8–15. [Google Scholar] [CrossRef]
- Ponedel’kina, I.Y.; Khaibrakhmanova, E.A.; Tyumkina, T.V.; Romadova, I.V.; Odinokov, V.N. Stoichiometric C6-oxidation of hyaluronic acid by oxoammonium salt TEMPO+Cl− in an aqueous alkaline medium. Carbohydr. Polym. 2015, 130, 69–76. [Google Scholar] [CrossRef]
- Yusupov, M.; Privat-Maldonado, A.; Cordeiro, R.M.; Verswyvel, H.; Shaw, P.; Razzokov, J.; Smits, E.; Bogaerts, A. Oxidative damage to hyaluronan–CD44 interactions as an underlying mechanism of action of oxidative stress-inducing cancer therapy. Redox Biol. 2021, 43, 101968. [Google Scholar] [CrossRef] [PubMed]
- Pandit, A.H.; Mazumdar, N.; Ahmad, S. Periodate oxidized hyaluronic acid-based hydrogel scaffolds for tissue engineering applications. Int. J. Biol. Macromol. 2019, 137, 853–869. [Google Scholar] [CrossRef]
- Chu, D.; Chen, J.; Liu, X.; Liao, A.; Song, X.; Li, Y.; Yang, L.; Chen, Z.; Yu, Z.; Guo, J. A tetramethylpyrazine-loaded hyaluronic acid-based hydrogel modulates macrophage polarization for promoting wound recovery in diabetic mice. Int. J. Biol. Macromol. 2023, 245, 125495. [Google Scholar] [CrossRef] [PubMed]
- Hozumi, T.; Kageyama, T.; Ohta, S.; Fukuda, J.; Ito, T. Injectable Hydrogel with Slow Degradability Composed of Gelatin and Hyaluronic Acid Cross-Linked by Schiff’s Base Formation. Biomacromolecules 2018, 19, 288–297. [Google Scholar] [CrossRef] [PubMed]
- Kamedani, M.; Okawa, M.; Madhavikutty, A.S.; Tsai, C.-C.; Singh Chandel, A.K.; Fujiyabu, T.; Inagaki, N.F.; Ito, T. Injectable Extracellular Matrix-Inspired Hemostatic Hydrogel Composed of Hyaluronan and Gelatin with Shear-Thinning and Self-Healing. Biomacromolecules 2024, 25, 1790–1799. [Google Scholar] [CrossRef]
- Guo, F.; Liu, Y.; Chen, S.; Lin, Y.; Yue, Y. A Schiff base hydrogel dressing loading extracts from Periplaneta Americana for diabetic wound healing. Int. J. Biol. Macromol. 2023, 230, 123256. [Google Scholar] [CrossRef]
- Zhong, H.; Fang, Y.; Luo, M.; Wang, L.; Huang, J.; Dai, G.; Liu, K.; Wu, J.; Du, J. Deferoxamine-Loaded Injectable Chitosan-Grafted Chlorogenic Acid/Oxidized Hyaluronic Acid Hybrid Hydrogel with Antibacterial, Anti-inflammatory, and Angiogenesis-Promoting Properties for Diabetic Wound Repair. ACS Appl. Mater. Interfaces 2024, 16, 28209–28221. [Google Scholar] [CrossRef]
- Du, M.; Jin, J.; Zhou, F.; Chen, J.; Jiang, W. Dual drug-loaded hydrogels with pH-responsive and antibacterial activity for skin wound dressing. Colloids Surf. B Biointerfaces 2023, 222, 113063. [Google Scholar] [CrossRef] [PubMed]
- Liu, Y.; Li, P.; Pan, W.; Zhao, J.; Olnood, C.G.; Liu, Y.; Xu, Y.-J. Salecan confers anti-inflammatory effects in liver injury via regulating gut microbiota and its metabolites. Carbohydr. Polym. 2023, 302, 120418. [Google Scholar] [CrossRef]
- Wang, P.; Zhang, Q.; Wang, S.; Wang, D.; Yip, R.C.S.; Xie, W.; Chen, H. Injectable Salecan/hyaluronic acid-based hydrogels with antibacterial, rapid self-healing, pH-responsive and controllable drug release capability for infected wound repair. Carbohydr. Polym. 2025, 347, 122750. [Google Scholar] [CrossRef] [PubMed]
- Thomas, S. Hydrocolloid dressings in the management of acute wounds: A review of the literature. Int. Wound J. 2008, 5, 602–613. [Google Scholar] [CrossRef]
- Lee, S.M.; Park, I.K.; Kim, Y.S.; Kim, H.J.; Moon, H.; Mueller, S.; Jeong, Y.-I. Physical, morphological, and wound healing properties of a polyurethane foam-film dressing. Biomater. Res. 2016, 20, 15. [Google Scholar] [CrossRef]
- Minsart, M.; Van Vlierberghe, S.; Dubruel, P.; Mignon, A. Commercial wound dressings for the treatment of exuding wounds: An in-depth physico-chemical comparative study. Burns Trauma 2022, 10, tkac024. [Google Scholar] [CrossRef] [PubMed]
- Wang, Y.; Zhang, Y.; Yang, Y.-P.; Jin, M.-Y.; Huang, S.; Zhuang, Z.-M.; Zhang, T.; Cao, L.-L.; Lin, X.-Y.; Chen, J.; et al. Versatile dopamine-functionalized hyaluronic acid-recombinant human collagen hydrogel promoting diabetic wound healing via inflammation control and vascularization tissue regeneration. Bioact. Mater. 2024, 35, 330–345. [Google Scholar] [CrossRef]
- Gazzabin, L.; Serantoni, S.; Palumbo, F.P.; Giordan, N. Hyaluronic acid and metallic silver treatment of chronic wounds: Healing rate and bacterial load control. J. Wound Care 2019, 28, 482–490. [Google Scholar] [CrossRef] [PubMed]
- Csenkey, A.; Hargitai, E.; Pakai, E.; Kajtar, B.; Vida, L.; Lorincz, A.; Gergics, M.; Vajda, P.; Jozsa, G.; Garami, A. Effectiveness of four topical treatment methods in a rat model of superficial partial-thickness burn injury: The advantages of combining zinc-hyaluronan gel with silver foam dressing. Injury 2022, 53, 3912–3919. [Google Scholar] [CrossRef]
- Huang, Y.; Kang, H.; Wang, Y.; Liu, K.; Wei, W.; Dai, H. One Stone Three Birds: Silver Sulfadiazine Modulates the Stability and Dynamics of Hydrogels for Infected Wound Healing. Adv. Healthc. Mater. 2024, 13, 2400242. [Google Scholar] [CrossRef]
- Stryja, J.; Teplá, K.; Routek, M.; Pavlík, V.; Perutková, D. Octenidine with hyaluronan dressing versus a silver dressing in hard-to-heal wounds: A post-marketing study. J. Wound Care 2023, 32, 480–491. [Google Scholar] [CrossRef] [PubMed]
- Pavlík, V.; Sobotka, L.; Pejchal, J.; Čepa, M.; Nešporová, K.; Arenbergerová, M.; Mrózková, A.; Velebný, V. Silver distribution in chronic wounds and the healing dynamics of chronic wounds treated with dressings containing silver and octenidine. FASEB J. 2021, 35, e21580. [Google Scholar] [CrossRef] [PubMed]
- Hassan, M.A.; Tamer, T.M.; Valachová, K.; Omer, A.M.; El-Shafeey, M.; Mohy Eldin, M.S.; Šoltés, L. Antioxidant and antibacterial polyelectrolyte wound dressing based on chitosan/hyaluronan/phosphatidylcholine dihydroquercetin. Int. J. Biol. Macromol. 2021, 166, 18–31. [Google Scholar] [CrossRef]
- Liu, S.; Zhang, Q.; Yu, J.; Shao, N.; Lu, H.; Guo, J.; Qiu, X.; Zhou, D.; Huang, Y. Absorbable Thioether Grafted Hyaluronic Acid Nanofibrous Hydrogel for Synergistic Modulation of Inflammation Microenvironment to Accelerate Chronic Diabetic Wound Healing. Adv. Healthc. Mater. 2020, 9, 2000198. [Google Scholar] [CrossRef] [PubMed]
- Huerta-Angeles, G.; Brandejsová, M.; Knotková, K.; Hermannová, M.; Moravcová, M.; Šmejkalová, D.; Velebný, V. Synthesis of photo-crosslinkable hyaluronan with tailored degree of substitution suitable for production of water resistant nanofibers. Carbohydr. Polym. 2016, 137, 255–263. [Google Scholar] [CrossRef] [PubMed]
- Loh, J.M.; Lim, Y.J.L.; Tay, J.T.; Cheng, H.M.; Tey, H.L.; Liang, K. Design and fabrication of customizable microneedles enabled by 3D printing for biomedical applications. Bioact. Mater. 2024, 32, 222–241. [Google Scholar] [CrossRef] [PubMed]
- Yang, J.; Chu, Z.; Jiang, Y.; Zheng, W.; Sun, J.; Xu, L.; Ma, Y.; Wang, W.; Shao, M.; Qian, H. Multifunctional Hyaluronic Acid Microneedle Patch Embedded by Cerium/Zinc-Based Composites for Accelerating Diabetes Wound Healing. Adv. Healthc. Mater. 2023, 12, 2300725. [Google Scholar] [CrossRef]
- Yao, S.; Luo, Y.; Wang, Y. Engineered microneedles arrays for wound healing. Eng. Regen. 2022, 3, 232–240. [Google Scholar] [CrossRef]
- Blunck, D.; Schöffski, O. Hyaluronic acid treatment versus standard of care in chronic wounds in a German setting: Cost-effectiveness analysis. Health Sci. Rep. 2023, 6, e969. [Google Scholar] [CrossRef]
- Pađen, L.; Gschwind, G.; Vettorazzi, R.; Probst, S. Facilitators and barriers for nurses when educating people with chronic wounds—A qualitative interview study. J. Tissue Viability 2024, 33, 174–178. [Google Scholar] [CrossRef] [PubMed]
- Liu, Y.; Zhu, M.; Ou, J.; Li, K.; Ju, X.; Tian, Y.; Niu, Z. Multi-responsive sodium hyaluronate/tannic acid hydrogels with ROS scavenging ability promote the healing of diabetic wounds. Int. J. Biol. Macromol. 2024, 278, 134896. [Google Scholar] [CrossRef] [PubMed]
- Zhu, P.; You, T.; Wang, Y.; Ma, M.; Ye, S.; Liu, S. A Cysteine-Maleimide-Based Design for Hemostatic, Antibacterial, and Biodegradable Wound Dressing. Bioconjug. Chem. 2024, 35, 203–213. [Google Scholar] [CrossRef] [PubMed]
- Laezza, A.; Pepe, A.; Solimando, N.; Armiento, F.; Oszust, F.; Duca, L.; Bochicchio, B. A Study on Thiol-Michael Addition to Semi-Synthetic Elastin-Hyaluronan Material for Electrospun Scaffolds. ChemPlusChem 2024, 89, e202300662. [Google Scholar] [CrossRef]
- Sun, W.; Gregory, D.A.; Tomeh, M.A.; Zhao, X. Silk Fibroin as a Functional Biomaterial for Tissue Engineering. Int. J. Mol. Sci. 2021, 22, 1499. [Google Scholar] [CrossRef] [PubMed]
- Yang, W.; Xu, H.; Lan, Y.; Zhu, Q.; Liu, Y.; Huang, S.; Shi, S.; Hancharou, A.; Tang, B.; Guo, R. Preparation and characterisation of a novel silk fibroin/hyaluronic acid/sodium alginate scaffold for skin repair. Int. J. Biol. Macromol. 2019, 130, 58–67. [Google Scholar] [CrossRef] [PubMed]
- Hoppe, A.; Güldal, N.S.; Boccaccini, A.R. A review of the biological response to ionic dissolution products from bioactive glasses and glass-ceramics. Biomaterials 2011, 32, 2757–2774. [Google Scholar] [CrossRef]
- Yu, Y.; Yang, B.; Tian, D.; Liu, J.; Yu, A.; Wan, Y. Thiolated hyaluronic acid/silk fibroin dual-network hydrogel incorporated with bioglass nanoparticles for wound healing. Carbohydr. Polym. 2022, 288, 119334. [Google Scholar] [CrossRef] [PubMed]
- Yu, Y.; Wang, C.; Fu, Q.; Wan, Y.; Yu, A. Multi-crosslinked hydrogel built with hyaluronic acid-tyramine, thiolated glycol chitosan and copper-doped bioglass nanoparticles for expediting wound healing. Carbohydr. Polym. 2024, 327, 121635. [Google Scholar] [CrossRef]
- Han, X.; Ju, L.S.; Irudayaraj, J. Oxygenated Wound Dressings for Hypoxia Mitigation and Enhanced Wound Healing. Mol. Pharm. 2023, 20, 3338–3355. [Google Scholar] [CrossRef]
- Wang, J.; Xu, W.; Qian, J.; Wang, Y.; Hou, G.; Suo, A.; Ma, Y. Injectable hyaluronan/MnO2 nanocomposite hydrogel constructed by metal-hydrazide coordinated crosslink mineralization for relieving tumor hypoxia and combined phototherapy. J. Colloid Interface Sci. 2022, 628, 79–94. [Google Scholar] [CrossRef] [PubMed]
- Yang, Z.; Chen, H.; Yang, P.; Shen, X.; Hu, Y.; Cheng, Y.; Yao, H.; Zhang, Z. Nano-oxygenated hydrogels for locally and permeably hypoxia relieving to heal chronic wounds. Biomaterials 2022, 282, 121401. [Google Scholar] [CrossRef]
- Chu, Z.; Liu, X.; Zhao, T.; Jiang, D.; Zhao, J.; Dong, X.; Yeung, K.W.K.; Liu, X.; Liao, Y.; Ouyang, L. Self-healing Ppy-hydrogel promotes diabetic skin wound healing through enhanced sterilization and macrophage orchestration triggered by NIR. Biomaterials 2025, 315, 122964. [Google Scholar] [CrossRef]
- Brumberg, V.; Astrelina, T.; Malivanova, T.; Samoilov, A. Modern Wound Dressings: Hydrogel Dressings. Biomedicines 2021, 9, 1235. [Google Scholar] [CrossRef]
- Mikosinski, J.; Di Landro, A.; Łuczak-Szymerska, K.; Soriano, E.; Caverzasio, C.; Binelli, D.; Falissard, B.; Dereure, O. Efficacy and Safety of a Hyaluronic Acid-Containing Gauze Pad in the Treatment of Chronic Venous or Mixed-Origin Leg Ulcers: A Prospective, Multicenter, Randomized Controlled Trial. Wounds Compend. Clin. Res. Pract. 2021, 66, 147–157. [Google Scholar] [CrossRef]
- Humbert, P.; Mikosinki, J.; Benchikhi, H.; Allaert, F. Efficacy and safety of a gauze pad containing hyaluronic acid in treatment of leg ulcers of venous or mixed origin: A double-blind, randomised, controlled trial. Int. Wound J. 2013, 10, 159–166. [Google Scholar] [CrossRef] [PubMed]
- Riccio, M.; Bondioli, E.; Senesi, L.; Zingaretti, N.; Gargiulo, P.; De Francesco, F.; Parodi, P.C.; Zavan, B. Fragmented Dermo-Epidermal Units (FdeU) as an Emerging Strategy to Improve Wound Healing Process: An In Vitro Evaluation and a Pilot Clinical Study. J. Clin. Med. 2023, 12, 6165. [Google Scholar] [CrossRef]
- Pecová, J.; Rohlíková, V.; Šmoldasová, M.; Marek, J. Clinical Efficacy of Hyaluronic Acid with Iodine in Hard-to-Heal Wounds. Pharmaceutics 2023, 15, 2268. [Google Scholar] [CrossRef]
- Shaharudin, A.; Aziz, Z. Effectiveness of hyaluronic acid and its derivatives on chronic wounds: A systematic review. J. Wound Care 2016, 25, 585–592. [Google Scholar] [CrossRef] [PubMed]
- Colletta, V.; Dioguardi, D.; Di Lonardo, A.; Maggio, G.; Torasso, F. A trial to assess the efficacy and tolerability of Hyalofill-F in non-healing venous leg ulcers. J. Wound Care 2003, 12, 357–361. [Google Scholar] [CrossRef]
- Milella, E.; Brescia, E.; Massaro, C.; Ramires, P.A.; Miglietta, M.R.; Fiori, V.; Aversa, P. Physico-chemical properties and degradability of non-woven hyaluronan benzylic esters as tissue engineering scaffolds. Biomaterials 2002, 23, 1053–1063. [Google Scholar] [CrossRef] [PubMed]
- Schneider, H.P.; Landsman, A. Preclinical and Clinical Studies of Hyaluronic Acid in Wound Care: A Case Series and Literature Review. Wounds Compend. Clin. Res. Pract. 2019, 31, 41–48. [Google Scholar]
- Russo, R.; Carrizzo, A.; Barbato, A.; Rasile, B.R.; Pentangelo, P.; Ceccaroni, A.; Marra, C.; Alfano, C.; Losco, L. Clinical Evaluation of the Efficacy and Tolerability of Rigenase® and Polyhexanide (Fitostimoline® Plus) vs. Hyaluronic Acid and Silver Sulfadiazine (Connettivina® Bio Plus) for the Treatment of Acute Skin Wounds: A Randomized Trial. J. Clin. Med. 2022, 11, 2518. [Google Scholar] [CrossRef]
- Onesti, M.G.; Fino, P.; Ponzo, I.; Ruggieri, M.; Scuderi, N. Non-surgical treatment of deep wounds triggered by harmful physical and chemical agents: A successful combined use of collagenase and hyaluronic acid. Int. Wound J. 2016, 13, 22–26. [Google Scholar] [CrossRef]
- De Angelis, B.; D’Autilio, M.F.L.M.; Orlandi, F.; Pepe, G.; Garcovich, S.; Scioli, M.G.; Orlandi, A.; Cervelli, V.; Gentile, P. Wound Healing: In Vitro and In Vivo Evaluation of a Bio-Functionalized Scaffold Based on Hyaluronic Acid and Platelet-Rich Plasma in Chronic Ulcers. J. Clin. Med. 2019, 8, 1486. [Google Scholar] [CrossRef] [PubMed]
- Gallelli, G.; Cione, E.; Serra, R.; Leo, A.; Citraro, R.; Matricardi, P.; Di Meo, C.; Bisceglia, F.; Caroleo, M.C.; Basile, S.; et al. Nano-hydrogel embedded with quercetin and oleic acid as a new formulation in the treatment of diabetic foot ulcer: A pilot study. Int. Wound J. 2020, 17, 485–490. [Google Scholar] [CrossRef]
- Fayaz, R.; Farahpour, M.R.; Tabatabaei, Z.G. The effects of bioactive glass hydrogel coated with hyaluronic acid-Pluronic F-127 conjugates containing silver nanoparticles to accelerate healing of infected wounds. Int. J. Pharm. 2024, 664, 124448. [Google Scholar] [CrossRef] [PubMed]
- Ozelin, S.D.; Esperandim, T.R.; Dias, F.G.G.; Pereira, L.D.F.; Garcia, C.B.; De Souza, T.O.; Magalhães, L.F.; Barud, H.D.S.; Sábio, R.M.; Tavares, D.C. Nanocomposite Based on Bacterial Cellulose and Silver Nanoparticles Improve Wound Healing Without Exhibiting Toxic Effect. J. Pharm. Sci. 2024, 113, 2383–2393. [Google Scholar] [CrossRef] [PubMed]
- Krasowski, G.; Jawień, A.; Tukiendorf, A.; Rybak, Z.; Junka, A.; Olejniczak-Nowakowska, M.; Bartoszewicz, M.; Smutnicka, D. A comparison of an antibacterial sandwich dressing vs dressing containing silver. Wound Repair Regen. 2015, 23, 525–530. [Google Scholar] [CrossRef]
- De Francesco, F.; De Francesco, M.; Riccio, M. Hyaluronic Acid/Collagenase Ointment in the Treatment of Chronic Hard-to-Heal Wounds: An Observational and Retrospective Study. J. Clin. Med. 2022, 11, 537. [Google Scholar] [CrossRef]
- Reggiardo, G.; Aghina, B.; Landi, F. Topical application of hyaluronic acid and amino acids in hard-to-heal wounds: A cost-effectiveness analysis. J. Wound Care 2024, 33, 210–219. [Google Scholar] [CrossRef] [PubMed]
- Gravante, G.; Delogu, D.; Giordan, N.; Morano, G.; Montone, A.; Esposito, G. The Use of Hyalomatrix PA in the Treatment of Deep Partial-Thickness Burns. J. Burn Care Res. 2007, 28, 269–274. [Google Scholar] [CrossRef]
- Kozusko, S.D.; Bird, D.; Fahey, A.L. Hyalomatrix coverage in scalp wounds with exposed cranium and dura. J. Wound Care 2023, 32, 206–212. [Google Scholar] [CrossRef]
- Fotso Kamdem, A.; Parmentier, A.-L.; Mauny, F.; Soriano, E. Assessment of care protocol using hyaluronic acid dressing in Second-Degree skin burns in children. Burns Open 2021, 5, 118–124. [Google Scholar] [CrossRef]
- De Vita, F.; Ferravante, A.; Vecchi, G.; Nobile, V.; Giori, A.M. Evaluation of the Efficacy of IALUSET VITAL® Cream in Helping the Improvement of the Atopic Dermatitis Symptoms in Adults: A Randomized, Double Blind, Vehicle-Controlled Clinical Trial. Allergies 2021, 1, 195–205. [Google Scholar] [CrossRef]
- Barrois, B.; Carles, M.; Rumeau, M.; Tell, L.; Toussaint, J.-F.; Bonnefoy, M.; De Vathaire, F. Efficacy and Tolerability of Hyaluronan (ialuset??) in the Treatment of Pressure Ulcers: A Multicentre, Non-Randomised, Pilot Study. Drugs R. D. 2007, 8, 267–273. [Google Scholar] [CrossRef]
- Costagliola, M.; Agrosì, M. Second-degree burns: A comparative, multicenter, randomized trial of hyaluronic acid plus silver sulfadiazine vs. silver sulfadiazine alone. Curr. Med. Res. Opin. 2005, 21, 1235–1240. [Google Scholar] [CrossRef]
- Mahedia, M.; Shah, N.; Amirlak, B. Clinical Evaluation of Hyaluronic Acid Sponge with Zinc versus Placebo for Scar Reduction after Breast Surgery. Plast. Reconstr. Surg. Glob. Open 2016, 4, e791. [Google Scholar] [CrossRef]
- Lee, M.; Han, S.H.; Choi, W.J.; Chung, K.H.; Lee, J.W. Hyaluronic acid dressing (Healoderm) in the treatment of diabetic foot ulcer: A prospective, randomized, placebo-controlled, single-center study. Wound Repair Regen. 2016, 24, 581–588. [Google Scholar] [CrossRef]
- Romanelli, M.; Dini, V.; Bertone, M.; Barbanera, S.; Brilli, C. OASIS ® wound matrix versus Hyaloskin ® in the treatment of difficult-to-heal wounds of mixed arterial/venous aetiology. Int. Wound J. 2007, 4, 3–7. [Google Scholar] [CrossRef] [PubMed]
- Abbruzzese, L.; Rizzo, L.; Fanelli, G.; Tedeschi, A.; Scatena, A.; Goretti, C.; Macchiarini, S.; Piaggesi, A. Effectiveness and Safety of a Novel Gel Dressing in the Management of Neuropathic Leg Ulcers in Diabetic Patients: A Prospective Double-Blind Randomized Trial. Int. J. Low. Extrem. Wounds 2009, 8, 134–140. [Google Scholar] [CrossRef]
- Romanelli, M. Unique combination of hyaluronic acid and amino acids in the management of patients with a range of moderate-to-severe chronic wounds: Evidence from international clinical trials. Int. Wound J. 2024, 21, 4–8. [Google Scholar] [CrossRef] [PubMed]
Disclaimer/Publisher’s Note: The statements, opinions and data contained in all publications are solely those of the individual author(s) and contributor(s) and not of MDPI and/or the editor(s). MDPI and/or the editor(s) disclaim responsibility for any injury to people or property resulting from any ideas, methods, instructions or products referred to in the content. |
© 2025 by the authors. Licensee MDPI, Basel, Switzerland. This article is an open access article distributed under the terms and conditions of the Creative Commons Attribution (CC BY) license (https://creativecommons.org/licenses/by/4.0/).









